Next Article in Journal
Probing Protein-Protein Interactions Using Asymmetric Labeling and Carbonyl-Carbon Selective Heteronuclear NMR Spectroscopy
Next Article in Special Issue
Selective Photokilling of Human Pancreatic Cancer Cells Using Cetuximab-Targeted Mesoporous Silica Nanoparticles for Delivery of Zinc Phthalocyanine
Previous Article in Journal
Preparation of Silica Aerogels by Ambient Pressure Drying without Causing Equipment Corrosion
Previous Article in Special Issue
Measurement of Cyanine Dye Photobleaching in Photosensitizer Cyanine Dye Conjugates Could Help in Optimizing Light Dosimetry for Improved Photodynamic Therapy of Cancer
 
 
Font Type:
Arial Georgia Verdana
Font Size:
Aa Aa Aa
Line Spacing:
Column Width:
Background:
Review

Use of Cyclodextrins in Anticancer Photodynamic Therapy Treatment

1
Laboratoire de Chimie Phusique Macromoléculaire, Université de Lorraine, CNRS, LCPM, F-54000 Nancy, France
2
Laboratoire Réactions et Génie des Procédés, Université de Lorraine, CNRS, LRGP, F-54000 Nancy, France
*
Author to whom correspondence should be addressed.
Molecules 2018, 23(8), 1936; https://doi.org/10.3390/molecules23081936
Submission received: 28 June 2018 / Revised: 19 July 2018 / Accepted: 28 July 2018 / Published: 2 August 2018
(This article belongs to the Special Issue Advances in Photodynamic Therapy 2018)

Abstract

Photodynamic therapy (PDT) is mainly used to destroy cancerous cells; it combines the action of three components: a photoactivatable molecule or photosensitizer (PS), the light of an appropriate wavelength, and naturally occurring molecular oxygen. After light excitation of the PS, the excited PS then reacts with molecular oxygen to produce reactive oxygen species (ROS), leading to cellular damage. One of the drawbacks of PSs is their lack of solubility in water and body tissue fluids, thereby causing low bioavailability, drug-delivery efficiency, therapeutic efficacy, and ROS production. To improve the water-solubility and/or drug delivery of PSs, using cyclodextrins (CDs) is an interesting strategy. This review describes the in vitro or/and in vivo use of natural and derived CDs to improve antitumoral PDT efficiency in aqueous media. To achieve these goals, three types of binding modes of PSs with CDs are developed: non-covalent CD–PS inclusion complexes, covalent CD–PS conjugates, and CD–PS nanoassemblies. This review is divided into three parts: (1) non-covalent CD-PS inclusion complexes, covalent CD–PS conjugates, and CD–PS nanoassemblies, (2) incorporating CD–PS systems into hybrid nanoparticles (NPs) using up-converting or other types of NPs, and (3) CDs with fullerenes as PSs.

1. Introduction

1.1. Cancer and Treatments

Cancer has more than 277 different types and is the second leading cause of global death after cardiovascular diseases [1]. Through its GLOBOCAN project, the International Agency for Research on Cancer (IARC), a semi-autonomous unit of the World Health Organization (WHO), has estimated in 2012 approximately 14.1 million new global cases of cancer and 8.2 million global deaths, with slightly more incidence cases and death effects on men than women (men:women ratios of 53:47 and 57:43 for cases and deaths, respectively) [2]. The top five killer cancers for both sexes combined are reported in Table 1, and these data revealed that lung (19.4% of the total), liver (9.1%), stomach (8.8%), colorectal (8.5%) and breast (6.4%) are the five most common causes of cancer death. Based on these estimates and on the prediction that the number of new global cancer cases is expected to increase by 70% over the next two decades, the Global action plan for the prevention and control of noncommunicable diseases 2013‒2020 was endorsed in 2013 by the World Health Assembly [3]. This global action plan has nine goals, including a 25% reduction in global premature mortality by 2025 from the four types of noncommunicable diseases, i.e., cardiovascular and chronic respiratory diseases, cancer, and diabetes, relying in particular on greater coordinated and coherent actions at all levels (local, national, and international). Cancer as a whole is responsible of nearly one-sixth of global deaths and the latest available estimates of cancer mortality from the Institute for Health Metrics and Evaluation (IHME) indicate 8.9 million global deaths in 2016, whose most common causes of death are the cancers of lung (19.2% of the total), stomach (9.4%), colorectal (9.3%), liver (9.3%), and breast (6.1%) (Table 1) [4]. As a general point, it is noted that around 70% of global cancer deaths occur in low and middle-income countries, and one-third of global deaths are due to the five-leading behavioral and dietary risk factors, which are obesity, low intakes of fruit and vegetables, physical inactivity, tobacco use, and alcohol consumption.
There are many types of cancer treatment [5,6], and the health care team is going to establish a treatment plan for cancer depending on various parameters, such as the type, stage, and spread of cancer, and the patient’s age and general health. The aim of the treatment planning for cancer, with the use of a single or combination therapy, is to treat and cure cancer but in other cases to control the cancer’s proliferation or minimize symptoms for as long as possible. The most common cancer treatments are surgery [7,8], radiation therapy [9,10], and chemotherapy [11]. Surgery can be used to diagnose and treat many types of cancer, and consists in removing all or part of a tumor, especially when the cancer has not spread to other parts of the body. Radiation therapy is intended to deprive the cancer cells of their cell division and multiplication processes with the aim of damaging or destroying cancer cells using radiation, such as X-rays, gamma rays, electron beams, or protons. Chemotherapy, for its part, can be implemented for killing or controlling the growth of cancer cells, and is based on the use of one drug or a combination of drugs. These three cancer treatments have side effects, and are not always effective to treat and cure cancer. In addition, the duration, frequency, and the number of chemotherapy or radiation therapy cycles produce negative side effects that tend to gradually get worse over time. Based on these findings, researchers have developed further cancer therapies to improve the effectiveness of treatments while reducing undesired side effects, such as immunotherapy [12,13], hormone therapy [14], gene therapy [15,16], cryotherapy [17], targeted cancer therapies [18,19], stem cell transplant [20,21], thermal therapy [22,23], and photodynamic therapy [24,25,26].

1.2. Photodynamic Therapy for Cancer Treatment

The basic principle of photodynamic therapy (PDT) is to combine the action of three components: (1) a photoactivatable molecule or photosensitizer (PS), (2) a certain kind of light typically in the visible spectrum, and (3) naturally occurring molecular oxygen (triplet oxygen, 3O2) [27]. The PDT as cancer treatment (Figure 1) involves the administration of a PS to patients, followed by visible light excitation. The excited PS then reacts with molecular oxygen to produce reactive oxygen species (ROS) [28,29], including singlet oxygen (1O2) [30], leading to cellular damage [31,32].
The PDT story is well-documented [33,34], and the light is known for its therapeutic effect for millennia with the first uses of light in Chinese, Egyptian, or Indian civilizations for the treatment of numerous diseases such psoriasis, vitiligo, and rickets dating back to over 3000 years ago [35,36]. PS employed in PDT are divided into four categories, namely, first, second, third, and fourth-generation PS, according to the chronological development and the evolution of conceptual approaches to reduce their disadvantages for a PDT treatment. Although there are various types of PSs, most of them belong to the porphyrinoid groups (Figure 2).
Historically and from a clinical point of view, the use of PDT for cancer in humans began in the 1970s with the study of the effects of hematoporphyrin derivatives (HpD) and light on five patients with bladder cancer [37] and on 25 patients with a large series of malignant tumors [38]. The findings of these studies have paved the way in 1993 for the first clinically approved PS (Photofrin®, a purified fraction of HpD) to treat bladder cancer in Canada. However, the use of Photofrin® (a first-generation PS) for PDT cancer treatments is confronted by several limitations, such as a fairly low absorption band close to 630 nm driving the need for high PS injection to produce enough ROS to result in tumor destruction. Ideally, a good PS (second-generation PS) should have a strong absorption band in the 650 nm to 800 nm range with a high extinction coefficient (εmax above 50,000 M−1·cm−1) allowing light penetration deeper into tissue up to 1 cm, and thus offering the possibility of producing ROS to kill tumor cells under centimeter-thick tissue. In addition, an ideal PS (third-generation PS, i.e., second-generation PS conjugated with a targeting agent) should also be able to specifically accumulate in cancer tissues compared with in healthy tissues. Finally, concerning the theranostic approach, an optimal PS (fourth-generation PS, i.e., third-generation PS conjugated with an imaging agent) should also be able to combine tumor-targeted PDT treatment and precise tumor diagnosis. To date, hundreds clinical trials concerning PDT (alone or in combination with other therapies) were investigated, and there are several reviews in the literature relating to the use of PDT in clinical trials or preclinical studies [26,39,40]. An overview of the few clinically approved PSs for PDT as a cancer treatment are listed in Table 2.
Another problem faced by many PSs is their lack of solubility in water and the body’s tissue fluids, thereby causing amongst other things the low bioavailability, drug-delivery efficiency, and therapeutic efficacy of PSs in vivo, which restricts their clinical applications.
Among various strategies to improve the water solubility and/or drug delivery of PSs [25], e.g., by using hydrophilic substituents (cationic or anionic groups [41,42,43], amino acids [44,45], peptides [46,47], sugars [48,49,50], polyethylene glycol derivatives [51], liposomes [52,53], or organic and inorganic nanoparticles [54,55,56,57,58,59,60], cyclodextrins (CDs) represent interesting hydrophilic substituents to resolve these challenges and help in the development of drugs with enhanced water solubility [61] as well as enhanced drug delivery [62,63,64,65].

1.3. Cyclodextrins for Enhancing Drug Solubility and Delivery

CDs are a class of natural cyclic oligosaccharides produced during the bacterial digestion of cellulose that consist of (α-1,4)-linked α-D-glucopyranose units. There are three types of natural CDs, named α-CD, β-CD, and γ-CD (Figure 3), depending on the number of glucopyranose units (six to eight units) linked together. CDs are water-soluble, biocompatible, crystalline, and non-hygroscopic substances. From a structural point of view and due to the chair conformation of glucopyranose units, CDs are toroidal (truncated cone), with a nonpolar tapered cavity and a hydrophilic tapered surface (primary hydroxyl groups at the narrow edge and secondary hydroxyl groups at the wider edge).
The discovery of CD by Villiers was made in 1891 from the fermentation of potato starch by the butyric ferment Bacillus amylobacter, and the story of CDs is well-documented [66,67,68]. It was not until the 1980s that the first CD applications in the pharmaceutical and food industries would appear thanks to the possible industrial-scale production of the three natural CDs, making CDs commercially available at a reasonable price. From the 1980s to date, CDs (especially β-CD) are found applications in various industrial sectors [69,70,71,72,73] such as medicine [74], pharmacy [62,75,76,77], food [78,79,80,81], cosmetics [82], chromatography [83,84,85,86,87,88], catalysis [89,90,91], biotechnology [92,93], textiles [94,95,96], and the environment [97,98].
The use of CDs in the medicinal and pharmaceutical applications comes from, among other things, their ability to (1) encapsulate hydrophobic drugs, i.e., the formation of CD-drug inclusion complexes, and (2) formulate orodispersible tablets of poorly-soluble drugs, i.e., CDs as vehicles in tabletting. These two important factors make the drug available at the surface of the biological barrier, and thereby lead to an improvement of the water solubility, stability, bioavailability, release, and under certain conditions, permeability of the drug. In addition to these natural CDs, researchers also developed derived CDs by the modification and polymerization of natural CDs with the aim of improving biopharmaceutical and physicochemical drug properties, and the complexation efficiency of natural CDs. An overview of natural and derived CDs and their characteristics (water solubility and molecular weight) is listed in Table 3.
As stated above, one main interest of CDs both in research and applications stem from CDs (hosts) being able to selectively and reversibility form host–guest inclusion complexes with a large variety of guest molecules in aqueous solutions [99,100,101,102,103,104]. The host–guest inclusion complex formation is based on the insertion (encapsulation) of the guest molecule into the internal cavity of CD, which is driven by the release of enthalpy-rich water molecules from the CD’s cavity, the release of conformational strain, and the establishment of several interactions between the guest molecule and CD via hydrogen bonds, van der Waals forces, electrostatic interactions, hydrophobic interactions, and charge-transfer interactions. The ability of CDs to form reversible host–guest inclusion complexes was first described by Cramer in the early 1950s [105], and is governed by two key factors: the steric effect, and the thermodynamic interactions between the size/shape of the CD’s cavity and the guest molecule. Depending on the structure and properties of the drug (guest molecule), different host–guest inclusion complexes and stoichiometry can be obtained (Figure 4). The host–guest complexes provide refuge and protection for guest molecules in the biological environment, leading to an enhancement in the water solubility, stability, and bioavailability of the guest molecules.

2. Cyclodextrins for Anticancer Photodynamic Therapy

2.1. General

CDs made their appearance in the field of cancer treatment in the 1990s. The use of natural and derived CDs as drug delivery carriers for various poorly water-soluble chemotherapeutic cytotoxic anticancer drugs was recently discussed in an exhaustive review [106].
Concerning CDs in anticancer PDT treatment, the first results of these researches were introduced in 1992 by Morgan et al. during the 6th International Cyclodextrin Symposium held in Chicago [107], and aimed to use γ-CD and HP-γ-CD as solubilizing agents instead of Chremophore to improve in vivo the solubility and concentration efficiency of the synthetic PS, tin etiopurpurin, in the tumor cells.
This review focuses only on the use of CDs to improve the in vitro or/and in vivo biological effect of PSs in anticancer PDT treatment without including the addition of active targeting ligands.

2.2. Cyclodextrin–Photosensitizer Systems

CD–PS systems can be formed by three types of binding modes of PSs with CDs. This paragraph will focus on the CD–PS system formation by non-covalent binding (CD–PS inclusion complexes, Section 2.2.1.), covalent binding (CD–PS conjugates, Section 2.2.2.), and non-specific external binding (CD–PS nanoassemblies, Section 2.2.3.)

2.2.1. Non-Covalent Cyclodextrin–Photosensitizer Inclusion Complexes

CDs are known as an attractive option for the PDT of cancers due to their ability to interact with a large variety of PSs, leading to the formation of non-covalent inclusion complexes. This part of the review focuses on the in vitro or/and in vitro biological effect of CD-PS inclusion complexes in anticancer PDT. However, with respect to articles involving the potential use of CD-PS inclusion complexes in anticancer PDT (without in vitro and/or in vivo biological studies), we can emphasize that several studies have estimated benefit of CD–PS inclusion complexes on the physicochemical properties of PSs. For porphyrinoid PSs, various studies showed that CD–PS inclusion complexes could (1) increase some of the photophysical properties of PSs (fluorescence intensity [108,109], tripling the lifetime in neutral aqueous solutions [110], 1O2 production [111], and quantum yield [112] in aqueous solutions), (2) reduce some drawbacks of PSs (such as poor water solubility [113], self-aggregation [111,114], protonation of pyrrole nitrogens [110], metalation [110], thermal degradation [115]), and (3) enhance drug delivery [110,115] and lipid membrane penetration [116]. Similar results were also obtained for non-porphyrinoids PSs, i.e., the improvement of photophysical properties (fluorescence lifetime, emission, and quantum yield) [117], drug delivery [117,118], and photostability [119]. The studies that have presented an in vitro or/and in vivo biological anticancer PDT evaluation of CD–PS inclusion complexes are summarized below.
  • Porphyrinoid Photosensitizers
Generally, host–guest inclusion complexes between CDs and porphyrinoid PSs are formed by encapsulating the “aryl” substituent portion of the PS into the fairly large cavity of CD. Across all three natural types of CD, α-CD does not allow the formation of inclusion complexes due to its small cavity, while β-CD and γ-CD can generate inclusion complexes typically through the primary face of the β-CD cavity and the secondary face of the γ-CD (Figure 5). Different CD–PS inclusion complexes’ stoichiometry can be obtained, but 1:1 and 2:1 stoichiometries are the most common.
In 2003, Kolàrovà et al. [120] studied the in vitro phototoxicity of two PSs models: meso-tetrakis(4-sulphonatophenyl)porphyrin (TPPS4) and its zinc metallocomplex (ZnTPPS4) on G361 human melanoma cells in the presence and absence of 2-hydroxypropyl-β-cyclodextrin (HP-β-CD). Based on the biological studies performed on G361 human melanoma cells, the inclusion complexes of each PS with HP-β-CD showed a lower cytotoxicity and higher phototoxicity compared to the PSs alone. They already found that the most effective system was the HP-β-CD-ZnTPPS4 inclusion complex, since the IC50 value was 12.5 mg/mL at a light radiation dose of of 10 J/cm2.
In 2005, the same team [121] investigated the influence of the HP-β-CD-ZnTPPS4 inclusion complex on the in vitro phototoxic properties of ZnTPPS4 using the same G361 human melanoma cells. According to the cellular uptake studies, the prepared HP-β-CD-ZnTPPS4 inclusion complex showed a good penetration through the cell membrane. Indeed, the inclusion complex accumulation was dependent of PS concentration and incubation time, and the best uptake was found at 3 µM of the inclusion complex after 48 h of incubation. The in vitro phototoxicity efficiency after 24 h of incubation of G361 cells with ZnTPPS4 (10 µM) and HP-β-CD (1 mM) and under light irradiation (12.5 J/cm2, 24 V/250 W) showed DNA breaks in G361 cells. The authors concluded that binding ZnTPPS4 to HP-β-CD may improve its PDT efficiency against malign melanoma.
In 2007, Lo et al. [122] studied the supramolecular hetero-arrays of tetrapyrrole derivatives held by host–guest interactions (1:1 stoichiometric ratio). The nanostructure contained heptakis(2,3,6-tri-O-methyl)-β-cyclodextrin-conjugated silicon(IV) phthalocyanine (TMe-β-CD-SiIVPc) complexed with the tetrasulfonated porphyrin (TPPS4) (Figure 6).
The authors studied briefly the in vitro PDT efficiency of TMe-β-CD-SiIVPc and TPPS4, and the 1:1 inclusion complex on HT29 human colon adenocarcinoma cells upon illumination with a red light (λ > 610 nm, total fluence = 48 J/cm2; Figure 7). They concluded that the porphyrin enhances the water solubility and facilitates the formulation of phthalocyanine through complex formation.
In 2011, Silva et al. [123] studied a complex 2:1 of β-CD or HP-β-CD with a chloro-aluminum phthalocyanine (ClAlPc). The photophysical properties of the inclusion complexes in deuterated ethanol showed a fluorescence quantum yield of 0.38 and 0.09 for ClAlPc/β-CD and ClAlPc/HP-β-CD, respectively, and a 1O2 quantum yield of 0.65 and 0.80 for ClAlPc/β-CD and ClAlPc/HP-β-CD, respectively; the authors concluded that the ClAlPc/Hp-β-CD inclusion complex should be the best candidate for PDT application. An in vitro study on J774 mouse macrophage tumor cells with a CIAlPc/HP-β-CD inclusion complex under various irradiation (70 mJ/cm2, 140 mJ/cm2, and 700 mJ/cm2) indicated a decrease of the cell viability depending on the applied dose light (Figure 8).
In 2014, Lu et al. [124] prepared and studied a 4:1 inclusion complex of zinc phthalocyanine (ZnPc) with HP-β-CD ((HP-β-CD)4-ZnPc) to improve the PDT efficiency of ZnPc by increasing the water solubility and decreasing the aggregation in the physiological environment of ZnPc. No obvious toxicity was observed on human cervical carcinoma (HeLa) cells at a high concentration of 80 µM. The inclusion complex exhibited superior 1O2 production, intracellular ROS generation cellular uptake ability, and phototoxicity to cancer cells compared to free ZnPc. The first results are presented in Figure 9.
Two years later, the same group [125] studied the influence of the size of CD and synthesized 4:1 inclusion complexes: (α-CD)4-ZnPc, (β-CD)4-ZnPc, and (γ-CD)4-ZnPc. Based on extracellular 1O2 generation ability studies, (β-CD)4-ZnPc appeared to be the best generator of 1O2. The cellular uptake of the inclusion complexes was increased when compared with free ZnPc and particularly with (β-CD)4-ZnPc. They also compared the PDT efficiency of these different compounds using Hela cells, and Figure 10 shows the better in vitro PDT efficiency of the inclusion complexes compared to free ZnPc.
In 2015, Paul and his coworker [126] described the incorporation of chlorin e6 (Ce6) into the HP-β-CD cavity, and a 1:1 stoichiometric ratio was found. The authors showed that the complexation of Ce6 with HP-β-CD enhanced the Ce6 solubility, decreased its aggregation in water, and enhanced its 1O2 yield at the pH tumor environment compared to the free Ce6. However, the in vitro cellular uptake of the Ce6-HP-β-CD inclusion complex performed on human oral squamous carcinoma (OSC) indicated that Ce6-HP-β-CD with a higher HP-β-CD concentration decreased their cellular uptake due to the higher viscosity of the microenvironment in the presence of a significant amount of HP-β-CD. Finally, the in vitro phototoxicity studies of the Ce6-HP-β-CD inclusion complex (Ce6:HP-β-CD = 1:25, pH 6.2, 30 mW/cm2 for 5 min) were performed on the OSC cells. The obtained results highlighted the important role of HP-β-CD in affecting the phototoxicity and PDT efficiency of Ce6 against tumors (Figure 11). The authors concluded that CDs derivatives of larger size such HP-β-CD could be a successful formulation excipient to deliver monomeric Ce6 with improved PDT efficiency.
Recently, Yankovsky et al. [127] studied the effect of two β-CDs derivatives, i.e., methyl-β-cyclodextrin (Me-β-CD) and HP-β-CD, at a wide range of concentrations on the in vitro and in vivo distribution of meta-tetra(hydroxyphenyl)chlorin (mTHPC). The authors found that the association of mTHPC with the β-CDs prevents its aggregation after introduction into blood, and enhanced its diffusion movement between biological structures. In addition, they demonstrated that the mTHPC distribution in blood serum and its accumulation in cellular culture medium were highly dependent on the β-CDs concentrations (maximal mTHPC accumulation at 10 µM of Me-β-CD and 200 µM of HP-β-CD) (Figure 12a). Furthermore, photosensitization studies showed that the addition of β-CDs affect the intracellular distribution of mTHPC and enhance its photocytotoxicity effect toward HT29 human adenocarcinoma cultured cells inclusion complexes (Me-β-CD LD50: 70 mJ/cm2 and 14 mJ/cm2 at 3 h and 24 h, and in the case of HP-β-CD 27 mJ/cm2 and 8 mJ/cm2) (Figure 12a). Finally, the in vivo fluorescence kinetics studies and fluorescent imaging of the mTHPC distribution in different tissues (Figure 12b) confirm that the use of β-CDs modifies the mTHPC distribution process in tumor-bearing animals with a decreased level of mTHPC in skin and muscles, and an increased mTHPC accumulation in tumor were observed.
More recently, the same group published a work concerning the distribution and PDT efficiency of Me-β-CD or HP-β-CD encapsulating mTHPC on multicellular HT29 tumor spheroids [128]. The 2:1 inclusion (Me-β-CD/mTHPC or HP-β-CD/mTHPC) induced showed two and three times higher mTHPC accumulation in spheroids than mTHPC alone. The authors highlighted the different distribution of the two inclusion complexes: whereas HP-β-CD/mTHPC accumulated at the spheroid periphery, Me-β-CD/mTHPC penetrated deeper, with a more homogeneous distribution into the spheroid. At a low light dose such as 20 J/cm2, the Me-β-CD/mTHPC inclusion complex presented a phototoxicity that was 25% higher than mTHPC alone (Figure 13).
In 2017, Ikeda et al. [129] described the PDT effect of 2:1 inclusion complexes 16 of trimethyl-β-CD (TMe-β-CD) with different porphyrins, as described in Figure 14.
For photostability reasons and 1O2 generation ability, only 24 were selected for in vitro PDT study. Inclusion complexes 1, 2, and 6 were unstable under light irradiation. Inclusion complexes 24 generated 1O2 in the order 3 > 24. PDT experiments were done with the HeLa cell line after irradiation of 610–740 nm for 30 min under 9 mW/cm2 of light power. The order of PDT activity was 3 > 2 >> 4, suggesting that the PDT effect is more due to the higher intracellular uptake of inclusion complexes 2 and 3 (endocytosis) than 1O2 formation. The authors could check the formation of 1O2 in Hela cells by inclusion complexes 2 and 3, which presented 14 and 26 times higher PDT activity than Photofrin®.
  • Non-Porphyrinoid photosensitizers
Many of the approved PDT PSs for clinical use are porphyrinoid derivatives. However, their usefulness in PDT can sometimes be limited by various factors such as relatively poor water solubility and photostability. As a consequence, major efforts are made to develop new non-porphyrinoid PSs [130].
In 2005, Bruzell et al. compared the PDT efficiency of different formulations of curcumin (curc) into DMSO, non-ionic micelles liposomes (LP), HP-β-CD, or alginate viscous solution [131]. PDT efficiency was evaluated by two techniques: PI/Hoechst staining and fluorescence technique, and 3-(4,5-dimethylthiazol-2-yl)-2,5-diphenyl tetrazolium bromide (MTT) assay. By MTT assay, no effect of light could be observed after 350 nm to 550 nm of light irradiation (1.6 J/cm2 and 3.6 J/cm2 per well) of HP-β-CD/curcumin inclusion complex (5% HP-β-CD), whereas curcumin in HP-β-CD increased the apoptotic SM10-12 cells by 20-40-fold compared to non-irradiated cells or irradiated cells without curcumin (Figure 15).
As a conclusion, except for viscous alginate solution, all of the formulations were suitable for using curcumin in damaging submandibular acinar cells. The phototoxic effect can be detected at low curcumin concentration (13.5 µM) with low light doses (1.6 J/cm2 and 3.6 J/cm2 per well) and a short incubation time (3 h). Unfortunately, the authors did not continue their study on anticancer PDT, and focused their efforts on antimicrobial PDT (see Valeron Bergh; Hjorth Tonnesen. [113] and references cited therein.)
The non-porphyrinoid PS Corannulene (Cora) is known to produce ROS in a controlled manner, but the use of Cora is limited because of its low water solubility. Very recently, Zhang et al. [132] designed two types of water-soluble Cora systems, i.e., methoxy poly(ethylene glycol)-corannulene (mPEG-Cora) micelle and a γ-CD/Cora inclusion complex (Figure 16).
Subsequently, the vehicle effect on the ROS production by Cora contained in mPEG-Cora and γ-CD/Cora systems at the cellular level was studied using confocal laser scanning microscopy (365 nm, 95 mW/cm2, 20 min). It was found that both systems can produce ROS, but the γ-CD/Cora inclusion complex was the most effective system.
The PDT effect (type I, 365 nm, 95 mW/cm2 for 5 min, 10 min, and 15 min) of each system on PC-3 cells were studied. At the same irradiation circumstance and Cora dose, the authors found that γ-CD/Cora inclusion complex could induce a higher extent of photocytotoxicity (e.g., for 15 min of irradiation, IC50 of γ-CD/Cora = 9.2 ± 4.7 μM, IC50 of m-PEG-Cora = 22.5 ± 2.6 μM), indicating more satisfactory therapeutic outcomes (Figure 17).
Finally, the vehicles’ effect on the mitochondria targeting behavior of Cora was studied on PC-3 cells (365 nm, 95 mM/cm2, 20 min). It was found that the γ-CD/Cora complex has shown superior ability to deliver more Cora to mitochondria compared with the m-PEG-Cora micelle. The authors concluded that the CD complexation approach prevailed over the PEGylation method for PDT applications.

2.2.2. Cyclodextrin–Photosensitizer Conjugates

A second possible way to improve the photophysical properties of PSs for an anticancer PDT application would be to bind the CD and PS by a covalent link, i.e., the formation of a CD–PS conjugate. This binding mode has shown its potential validity for anticancer PDT application in various studies. This part of the review focuses on the in vitro or/and in vitro biological effect of CD–PS conjugates in anticancer PDT. However, with respect to articles involving the potential use of CD–PS conjugates in anticancer PDT (without in vitro and/or in vivo biological studies), we can emphasize the use of CD dimers as potential carriers with a 1O2-responsive linker that would allow either the PS release [133,134,135] or the PS concentration in the light beam and water solubility [136]. In addition, the conjugation of β-CD with a PS via a non-cleavable ether bond showed an improvement of the water solubility and in vitro fluorescent intensity of PS [137]. Other CD–PS conjugates with a dithienylethene linker have an enhanced water solubility and biocompatibility of PS, while also resulting in photo-controlled 1O2 generation in aqueous solution [138]. The studies that have presented an in vitro and/or in vivo biological anticancer PDT evaluation of CD–PS conjugates are summarized below.
  • Porphyrinoid photosensitizers
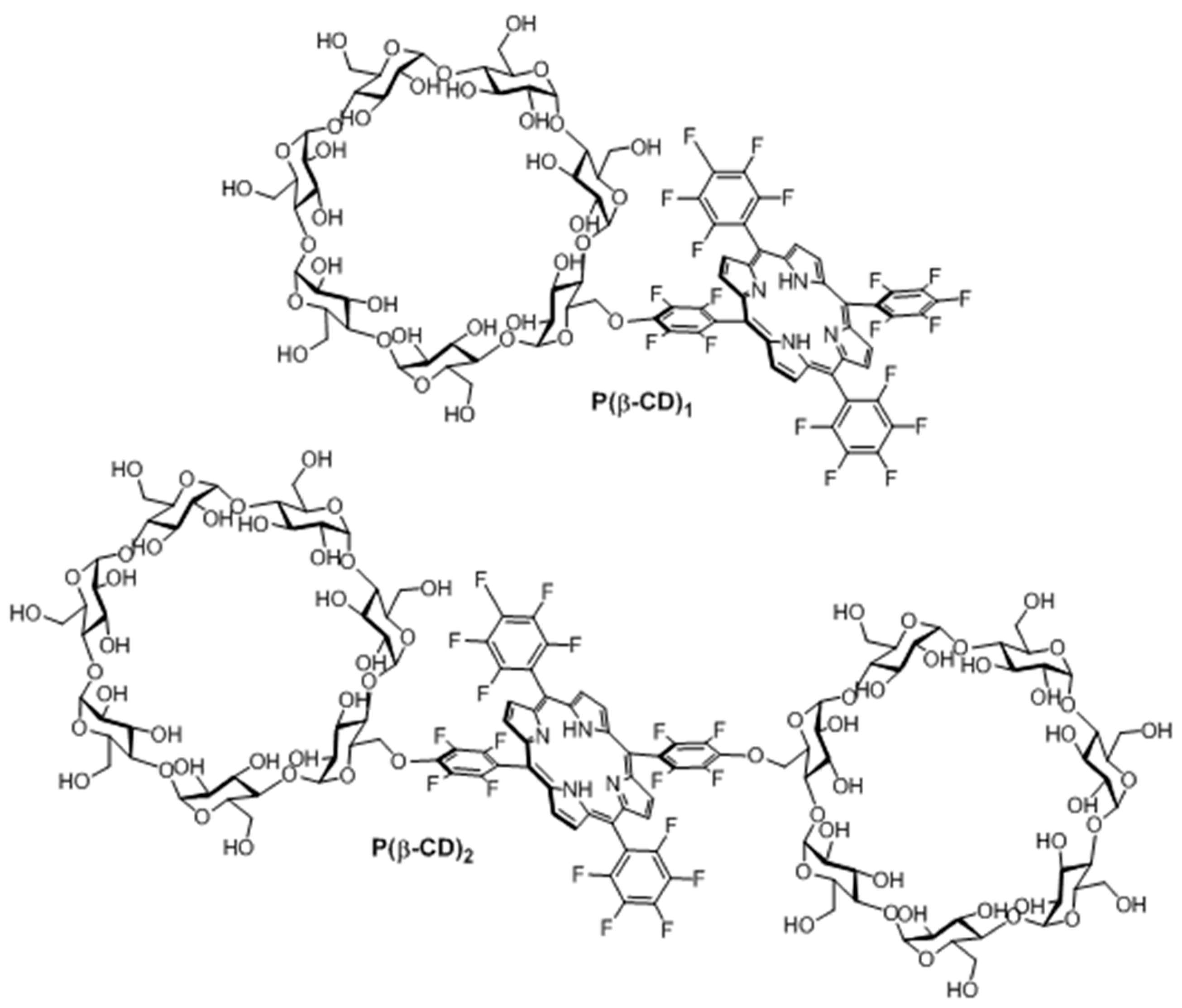
In 2006, Králová et al. [139] synthesized two new perfluorinated porphyrin derivatives conjugated to one or two β-CD units (P(β-CD)1 and P(β-CD)2, as shown in Figure 18).
With the aim of estimating the pharmacokinetic and photosensitizing properties of P(β-CD)1 and P(β-CD)2, in vitro studies were performed on different cell lines, i.e., human promyelotic leukemia (HL-60), mouse mammary carcinoma (4T1), mouse colon carcinoma (CT26.CL25), and human cervical carcinoma (HeLa). The phototoxicity of P(β-CD)1 and P(β-CD)2 at concentrations of 5 µM and 10 µM were investigated with HL-60 and 4T1 cells under irradiation at various doses of light (0 to 4.2 J/cm2). No dark cytotoxicity was detected; nevertheless, an increased cell death was seen in both cell lines when concentration and light dose increased. It was found that P(β-CD)2 was less efficient compared to P(β-CD)1. A similar effect was observed with the other cell lines (CT26.CL25 and HeLa), along with an increase in cell death over time. Furthermore, the accumulation in the tumor is higher and faster for P(β-CD)2.
Finally, in vivo studies were realized using a 4T1 mouse-tumor model. P(β-CD)1 and P(β-CD)2 were injected into mice (5 mg/kg) and then exposed to light illumination (100 J/cm2) at various times between 0.5 h and 35 h after injection. It was found that P(β-CD)2 was the most efficient at totally inhibiting the tumor growth for a drug-light interval of 6 h (Figure 19).
In 2010, the same team synthesized a new Lego-like system composed of perfluorinated porphyrin–CD conjugates (P(CD)x) and various chemotherapy drugs [140]. The perfluorinated porphyrins were first conjugated to CDs (β-CD or γ-CD) by covalent ether bond (Figure 20) using the same strategy as described in their previous study [139]. The chemotherapy drugs were then encapsulated into the cavity of CDs by non-covalent bond, i.e., inclusion complexes.
Due to the low affinity of P(β-CD)1 conjugate with the various chemotherapy drugs, the authors only investigated P(β-CD)2, P(γ-CD)2, and P(β-CD)4 conjugates for in vitro and in vivo studies using mouse mammary carcinoma (4T1) and human chronic myelogenous leukemia (K562) cell lines. The dark cytotoxicity and phototoxicity (λ = 500–520 nm, 4 J/cm2, 0.7 mW/cm2) of cells treated with chemotherapy drugs alone or their corresponding inclusion complexes with (P(CD)x conjugates were compared. They found that compared to the non-irradiated cells, the irradiated ones were much efficient in cancer cell killing. Furthermore, the authors observed a synergistic effect between PDT and a large fraction of chemotherapy drugs compared to chemotherapy or PDT alone.
Finally, in vivo studies were also done in a mouse cancer model. The P(β-CD)2, P(γ-CD)2, and P(β-CD)4 conjugates or their corresponding inclusion complexes with two chemotherapy drug models (doxorubicin and paclitaxel) were injected to the mouse followed by light irradiation (100 J/cm2, 200 mW/cm2). The highest decrease of tumor growth was observed for inclusion complexes of P(β-CD)2 and P(γ-CD)2 with chemotherapy drugs (paclitaxel and doxorubicin, respectively). These results are in agreement with those of in vitro studies indicating the usefulness of the synthesized conjugates for both targeted chemotherapy drug delivery and combined cancer therapy.
One year after and being encouraged by the results obtained in the last study [140], the same team developed another “Lego”-like system based on a combination of therapeutic protein, metallo-cyclodextrin-porphyrin, and chemotherapy drugs in order to enhance the inhibition of tumor progress [141]. The authors used the previous P(β-CD)2 and P(γ-CD)2 conjugates with the encapsulation of chemotherapy drugs (paclitaxel, doxorubicin), but this time by metalating the porphyrin core with Zn to coordinate therapeutic proteins (Figure 21).
The authors prepared two types of Lego-like systems based on ZnP(β-CD)2/paclitaxel/endoglobulin or ZnP(γ-CD)2/doxorubicin/endoglobulin. The effect of combined therapy with both systems on the tumor volume of human amelanotic melanoma C32 in the in vivo nude mouse was studied. They found that compared to the ZnP(β-CD)2/paclitaxel/endoglobulin system, the ZnP(γ-CD)2/doxorubicin/endoglobulin system was most efficient in the case of PDT treatment alone (λ = 500–700 nm, 100 J/cm2, 200 mW/cm2) or combined therapy. Moreover, they found that by combining ZnP(β-CD)2 or ZnP(γ-CD)2 conjugates, the chemotherapy drug and endoglobulin enhanced the tumor destruction (Figure 22).
In 2011, Ng et al. designed a new series of analogous complexes [142,143]. In the first study [142], they studied the influence of the linker’s size (Figure 23) on the photophysical properties and in vitro PDT activity.
All of the conjugates, except PMe-β-CD-ethyl-SiIVPc due to a photoinduced electron transfer (PET) process, have the ability to greatly enhance the water solubility of the phtalocyanine core and reduce its self-aggregation in water. In vitro PDT activity using human colon adenocarcinoma (HT29) and human hepatocarcinoma (HepG2) cells was evaluated and summarized in Table 4.
The PMe-β-CD-hexyl-SiIVPc conjugate showed the best photocytotoxicity, which was explained by the difference in ROS production efficiency and cellular uptake by the lysosomes of the cells. It was shown by flow cytometry that cells in the early apoptotic state increase to 80% upon red light illumination. In vivo PDT activity was performed using nude mice with an HT29 tumor, PMe-β-CD-hexyl-SiIVPc, and irradiation at 675 nm (30 J/cm2). Figure 24 shows the relative tumor size for 15 days, and clearly indicates that the PMe-β-CD-hexyl-SiIVPc conjugate is a promising system for anticancer PDT.
In their second study [143], the authors Lau; Lo; Fong; Ng reported the synthesis of unsymmetrical PMe-β-CD-SiIVPc conjugates using Leng’s procedure [122] (Figure 25). The Q-band was sharp for PMe-β-CD-hexyl-SiIVPc conjugates 1 and 4, and significantly broadened for PMe-β-CD-hexyl-SiIVPc conjugates 2 and 3, suggesting that the sugar units are less effective at reducing the aggregation.
The in vitro studies were performed on HT29 and HepG2 cells with PMe-β-CD-SiIVPc conjugates 14. No dark cytotoxicity was observed for all of the compounds, but high cytotoxicity upon illumination (λ = 610 nm, 40 mW/cm2, 48 J/cm2) was highlighted. It was found also that the replacement of CD moieties in 1 by sugar or diamino groups enhance greatly the phototoxicity of the conjugates. The IC50 value comparison of conjugates 14 against HT29 and HepG2 cells are summarized in Table 5.
The in vivo study was also performed by injection of PMe-β-CD-SiIVPc conjugate 2 in the nude mice bearing (HT29) tumor using the same protocol conditions as described in Lau; Lo; Fong; Ng [142]. Similarly, the same PDT effect was observed, indicating that the PMe-β-CD-hexyl-SiIVPc conjugate 2 is a promising system for anticancer PDT.
In 2013, Aggelidou et al. [144] described a new bimodal conjugate constituted of protoporphyrin IX (PpIX) covalently linked through amide bond to β-CD (PpIX+β-CD). Spectroscopy studies were used to confirm the formation of two conjugates (PpIX-β-CD “Major” and PpIX-2β-CD “Minor”). The photophysical studies of PpIX alone compared to conjugates revealed that the presence of β-CD in the conjugates enhanced the water solubility of PpIX. Furthermore, the authors found also that both conjugates have the ability to host an anticancer drug (N-desmethyltamoxifen, NDMTAM.HCl) by its complexation in the empty cavity of β-CD, which shows that PpIX+βCD could efficaciously solubilize and transport NDMTAM.
The in vitro phototoxic properties of PpIX+β-CD compared to PpIX alone were performed on human prostate carcinoma (DU145) and breast adenocarcinoma (MCF7) cell lines. PpIX+β-CD displayed less toxicity in the dark than PpIX (15% against 25%, respectively) in both cell lines, which could be explained by β-CD improving the solubility of PpIX, and thus reducing its ability to aggregate. The in vitro evaluation of the phototoxicity depending of the light dose (λ = 610 nm, 0 to 15 J/cm2, 15 mW/cm2) is given in Figure 26a. There were no significant differences between PpIX and PpIX+β-CD, indicating that β-CD had no impact on the phototoxicity properties of PpIX.
Finally, the ability of PpIX+β-CD conjugates to host and transport a therapeutic molecule was investigated using NDMTAM. The PpIX+β-CD seemed to be a good drug carrier for the intracellular transport of this drug. Finally, the bimodal action of PpIX+β-CD complexed to tamoxifen citrate (TAM-CIT) was investigated using the MCF7 cell line (Figure 26b). Under an irradiation of 4 J/cm2, the PpIX+β-CD complexed to TAM-CIT had a toxicity of 70% against 30% for PpIX+β-CD alone, and under 8 J/cm2, the toxicity was 85% against 67%. These observations highlighted that there was a synergistic effect of the toxicity of the chemotherapy drug and the phototoxicity of the PpIX+β-CD conjugates.
In the same year, Fraix et al. [145] synthesized and investigated the properties of a new supramolecular assembly as a bimodal agent for PDT and imaging composed of meta-(3-hydroxyphenyl)-porphyrin (mTHPP) conjugated to β-CD (mTHPP-β-CD conjugate) by an ether bond, and a nitric oxide photodonor (NO phodonor) tailored to fit the β-CD cavity (Figure 27).
They found that compared to the free mTHPP, the mTHPP-β-CD conjugate has shown less aggregation in an aqueous environment, and formed small nanoassemblies with diameters of around 13 nm. Furthermore, the empty cavity of β-CD in the mTHPP-β-CD conjugate also had the ability to a host a nitroaniline derivative (NO photodonor) while maintaining the nanometer character of the aggregate and the fluorescence of the porphyrin core. In addition, bichromophoric nanoassemblies (β-CD-mTHPP/NO photodonor) were found to be able to generate both NO and 1O2 upon excitation with visible light (λexc > 400 nm).
By in vitro studies, the internalization in a human amelanotic melanoma cell line (A375) was evaluated for the conjugate and the bichromophoric nanaoassemblies at a concentration of 8 µM after 4 h of incubation, and the authors found a localization mainly in cytoplasm. The in vitro ability of the conjugate and the bichromophoric nanaoassemblies to induce A375 cell mortality upon light irradiation was compared. No dark toxicity was found, but a high phototoxicity was observed for both compounds, with a slight difference between them explained by the liberation of NO and 1O2 for the nanoassemblies (Figure 28).
Being encouraged by the potential properties of the mTHPP-βCD conjugate, recently, the same team [146] investigated the photochemical internalization (PCI) potential of the same conjugate with the NDMTAM drug as the guest molecule. In order to improve the water solubility of the mTHPP core in the conjugate, the authors encapsulated the mTHPP core in the empty cavity of heptakis(2,3,6-O-methyl)-β-CD (pM-β-CD), leading to the formation of a new mTHPP-β-CD/pM-β-CD nanosystem. The obtained nanosystem has shown the ability to host the NDMTAM drug through either one of its unsubstituted phenyl groups (Figure 29).
According to confocal microscopy studies, it was found that under irradiation, the porphyrin core of mTHPP-β-CD expedited endosomal membrane rupture and NDMTAM release into the cytosol. Furthermore, the authors also investigated the in vitro photocytotoxicity efficiency on breast human carcinoma (MDA-MB-231) and MCF7 cell lines of the mTHPP-β-CD conjugate, tamoxifen (4-OHT), and the resulting mTHPP-β-CD/4-OHT complex. Upon irradiation at LD50 light doses, in the case of cells treated with the conjugate, phototoxicity around 70% was observed, which was annulled after 48 h and 72 h. Concerning cells irradiated after treatment with the complex, they showed a cell death of 80%, with no change even after 48 h and 72 h (Figure 30).
In 2014, Lourenço et al. described the synthesis and PDT properties of CD–PS conjugates (ZnPc-α-CD, ZnPc-β-CD, and ZnPc-γ-CD) constituted by a zinc perfluorinated phthalocyanine (ZnPc) covalently linked through ether bonds to various types of CDs (α-CD, β-CD, and γ-CD) (Figure 31) [147].
It was found that ZnPc-α-CD and ZnPc-γ-CD have a better solubility compared to ZnPc-β-CD due to the lesser solubility of the β-CD unity itself in water compared to α-CD and γ-CD. The ability of each ZnPc–CD conjugate to generate 1O2 was evaluated using 1,3-diphenylisobenzofuran as a probe. The authors found a similar effectiveness for ZnPc-α-CD and ZnPc-γ-CD conjugates compared to ZnPc alone, but ZnPc-β-CD seemed to be less effective, which was maybe due to the same reasons mentioned before.
The human cancer cell line derived from the transitional cell carcinoma of the bladder (UM-UC-3) was selected as a cancer cell model to study the in vitro photosensitizing efficiency. No dark toxicity was observed for the different conjugates at concentrations up to 10 µM and 4 h of incubation time. Under light irradiation (white or red-light source, 50 mW/cm2), after incubation with various concentrations of conjugates (0–1 µM), only ZnPc-α-CD and ZnPc-γ-CD conjugates have shown a phototoxic effect, and this effect was irradiation time and concentration-dependent. In addition, this effect was found to be more efficient under white-light irradiation compared to the red one. To better understand these results, the authors investigated the ROS production capacity of the conjugates under white or red-light irradiation using a 2′,7′-dichlorodihydrofluorescein diacetate (DCFDA) probe. They found that all of the conjugates produced ROS under white or red irradiation, and intracellular ROS production was higher in the case of ZnPc-α-CD and ZnPc-γ-CD conjugates. Indeed, they accumulated more in cells than ZnPc-β-CD, proving again their higher potential compared to ZnPc-β-CD for PDT.
Recently, Barata et al. [148] described and investigated the photosensitizing properties of corrole β-cyclodextrin conjugates (Cor(β-CD)1 and Cor(β-CD)2), which were composed of 5,10,15-tris(pentafluorophenyl)corrole (Cor) and one or two β-CD units (Figure 32).
The authors found that the presence of β-CD units in both conjugates improved the hydrophicility of the corrole core. It was found also that all of the conjugates are highly photostable and able to produce 1O2.
In vitro studies were performed on human cervical cancer cell line (HeLa). The cytotoxicity of each compound (Cor(β-CD)1, Cor(β-CD)2, and Cor) was evaluated by using MTT assay at different concentrations (from 10−7 M to 10−4 M) in the dark. No cytotoxicity was found for both Cor and Cor(β-CD)1 conjugate in contrast to the Cor(β-CD)2 conjugate, which conduced to 14% of cytotoxicity in cells. Upon red-light irradiation (3 J/cm2, 6 J/cm2, 9 J/cm2, and 12 J/cm2, 5 mW/cm2), all of the compounds showed concentration-dependent and light-dose dependent cell-destruction ability. Therefore, as shown in Table 6, Cor seems to be the most effective compound to be used as a PS for PDT.
Due to the dark cytotoxicity of the Cor(β-CD)2 conjugate, the authors selected only Cor and Cor(β-CD)1 compounds for the next studies. According to the subcellular localization study, Cor was found to be mainly accumulated in lysosomes, whereas Cor(β-CD)1 conjugate accumulated in the Golgi apparatus. Finally, they investigated the PDT effect of Cor and Cor(β-CD)1 compounds on the cytoskeleton by combination of the injection of Cor or Cor(β-CD)1 compounds (10−5 M) upon red-light irradiation (12 J/cm2) on microtubules in HeLa cells. They observed changes on microtubules for both Cor and Cor(β-CD)1 compounds, but a higher PDT efficiency was observed in the case of Cor, which may be due to its localization in lysosomes.
  • Non-Porphyrinoid photosensitizers
In 2002, Ou et al. [149] synthesized a modified non-porphyrinoid PS (hypocrellin B, HB) conjugated to the β-CD (HB-β-CD conjugate) (Figure 33), and studied its water solubility and PDT properties. They found that the HB-β-CD conjugate had a higher water solubility compared to free HB. They also proved that the HB-β-CD conjugate can produce different ROS such as O2•−, OH, and 1O2 species. Furthermore, the authors found that the β-CD unit present in the HB-β-CD conjugate reinforced their affinity for calf thymus DNA (CT DNA), leading to the stronger photodamage of CT DNA compared to free HB. The authors concluded that the introduction of β-CD units enhanced the water solubility and PDT properties of HB.
In 2017, Cao et al. [150] developed a new PDT agent (MMMPB(PMe-β-CD)2 conjugate) by conjugation of a non-porphyrinoid PS (a mono-mannose modified perylene bisimide, MMMPB) to two permethyl β-CDs (PMe-β-CDs) via click triazole links (Figure 34), and evaluated its PDT properties.
In vitro studies were performed to investigate the PDT activity of the MMMPB(PMe-β-CD)2 conjugate using four cell lines (A549, Hela, MCF-7, and Hep G2) at various concentrations of MMMPB(PMe-β-CD)2 conjugate, TPPS4, and cisplatin as controls (0.2 µM, 1 µM, 5 µM, 25 µM, and 100 µM). The conjugate showed no dark toxicity, but was highly phototoxic under irradiation (20 mW/cm2) with better IC50 than controls. The ability to produce 1O2 was evaluated by using 1,3-diphenylisobenzofuran as a trap, and the production of 1O2 was highlighted. Fluorescence imaging was performed in MCF-7 cells by incubation with the conjugate (10.0 µM) to localize the distribution of the conjugate in cells, and it was found mainly in cytoplasm. They finally found that the cell death was induced with an apoptotic pathway.

2.2.3. Cyclodextrins-Photosensitizer Nanoassemblies

The last type of binding between CD and PS refers to CD–PS nanoassemblies. These nanoassemblies are supramolecular colloidal systems involving non-specific external links between the external sites of CDs and PSs. Chemical modifications of either narrow or wide edges of natural CDs by various substituents make them possible to produce ionic or nonionic CD derivatives that are capable of forming supramolecular buildings such as vesicles, micelles, or nanoparticles (NPs) that have the capacity to host PSs. With regard to the anticancer PDT application, it has been shown in vitro that this type of vector can improve PS administration and PDT efficacy [151,152]. However, to date, no in vivo PDT study has been devoted to PS–CD nanoassemblies.
  • Nanoassemblies using amphiphilic cyclodextrines
Among the various types of CD derivatives, amphiphilic CDs are largely used to form supramolecular nanoassemblies, and have had many applications in the biomedical field [153,154,155,156,157]. Researchers have developed the concept of amphiphilic CDs to adjust the hydrophobic/hydrophilic balance of their construction, leading to the formation of various types of supramolecular nanoassemblies (vesicles, micelles, NPs…) [158,159,160,161]. Amphiphilic CDs can be obtained by enzymatic pathways or by grafting various substituent groups via amino, amido, thio, ester, and ether bonds [155].
All the studies described below are drawn from the work of Mazzaglia et al.
In two articles published in 2003 and 2005 [162,163], Mazzaglia et al. investigated the development of a new carrier–PS system TPPS4/SC6-β-CD-NH2 composed of amphiphilic heptakis(2-o-amino-O-oligo(ethylene oxide)-6-hexylthio)-β-CD (SC6-β-CD-NH2, Figure 35) self-assembled into vesicles and an encapsulated water-soluble porphyrin (TPPS4). The authors showed that TPPS4/SC6-β-CD-NH2 nanoaggregates produced 1O2, but in lower amounts than free TPPS4. However, it was found that SC6-β-CD-NH2 vesicles seemed to be an efficient carrier for intracellular PS delivery.
In 2006, Mazzaglia et al. [164] investigated the PDT activity of TPPS4/SC6-β-CD-NH2 nanoassemblies. It was found that they had a size ranging from 100 nm to 1000 nm, and that 1O2 generation was highly dependent on the SC6-β-CD-NH2 concentration in nanoassemblies. Based on in vitro studies, the TPPS4 internalization and PDT efficiency of nanoassemblies using HeLa cells were found to be highly dependent on the TPPS4/SC6-β-CD-NH2 molar ratio. Molar ratio of 1:10 seemed to be the best ratio in terms of TPPS4 internalization, which is the highest percentage of cells alive before irradiation and a considerably high percentage of cell death after irradiation (Figure 36). The authors concluded that TPPS4/SC6-β-CD-NH2 nanoassemblies can be used as potential candidates for PDT application.
In 2011, the same team [165] used the above amphiphilic TPPS4/SC6-β-CD-NH2 nanoassemblies covalently functionalized by the dansyl fluorophore. The resulting supramolecular system showed a good PS delivery while allowing a simultaneously detection of carrier and PS in tumor cells (Figure 37).
In 2014, Mazzaglia et al. [166] synthesized the hydroxylated analog of SC6-βCD-NH2 (noted SC16-βCD-OH), and developed a novel biodegradable phototherapeutic nanoassembly ZnPc/SC16-β-CD-OH based on the self-assembly in aqueous media of heptakis(2-oligo(ethylene-oxide)-6-hexadecylthio-)-β-CD (SC16-βCD-OH) and zinc-phthalocyanine (ZnPc) (Figure 38). ZnPc/SC16-β-CD-OH nanoassemblies have a hydrodynamic diameter of around 200 nm, and a shown ability to produce 1O2.
The nanoassemblies’ formation was assessed by Dynamic Light Scattering (DLS), zeta potential, 1H NMR, TEM, and Scanning Near-Field Optical Luminescence (SNOL) spectroscopy. ZnPc/SC16-β-CD-OH nanoassemblies have a hydrodynamic diameter of around 200 nm and a shown ability to produce 1O2. Cellular uptake and cytotoxicity was investigated in HeLa cancer cells. The in vitro studies showed that ZnPc/SC16-β-CD-OH can be internalized in HeLa cells at 37 °C, and their uptake was mediated by endocytosis, which is strongly temperature-dependent. Furthermore, the PDT efficiency of ZnPc/SC16-β-CD-OH was performed using HeLa cells under irradiation (λ = 340 nm, 5 J/cm2, 30 min), and ZnPc/SC16-β-CD-OH showed a better phototoxic activity against HeLa cells than free ZnPc in DMSO (Figure 39).
Encouraged by the promising results of their previous work, the authors investigated the possibility of using the same nanoasemblies for combined cancer therapies (PDT and chemotherapy) [167]. The new nanoassemblies (hydrodynamic size of 200 nm) were formed as previously described [166] in aqueous medium in the presence of docetaxel (DTX) as the chemotherapeutic drug (ZnPc/DTX/SC16-β-CD-OH, Figure 40).
The new ZnPc/DTX/SC16-β-CD-OH nanoassemblies were characterized as previously described [166]. These NPs have a hydrodynamic diameter of around 200 nm, and no specific interaction with the SC16-β-CD-OH cavity was shown. Finally, the PDT efficiency of ZnPc/DTX/SC16-β-CD-OH NPs using HeLa cells was investigated and compared to free drugs. Based on in vitro studies using HeLa cells, no dark cytotoxicity was detected in all of the treated cells in the dark, but under irradiation (λ = 340 nm, 5 J/cm2, 30 min), a similar phototoxic effect was observed for ZnPc/DTX/SC16-β-CD-OH NPs, and exhibited a comparable phototoxic effect to that of irradiated free ZnPc in DMSO (Figure 41).
Finally, Mazzaglia et al. in 2017 [168] described the elaboration of a novel nanophototherapeutic using the same emulsion–solvent evaporation procedure in a water environment as described in their previous studies [162,163,165,166,167]. For this novel nanoassembly (hydrodynamic size of around 40 nm) and as reported in their previous work [164], the authors used the same water-soluble anionic PS (TPPS4), but this time with a new cationic amphiphilic CD, i.e., heptakis[6-(2-aminoethylthio)-6-deoxy-2,3-di-O-hexanoyl] cyclomaltoheptaose (CD-N) (Figure 42).
Cellular uptake was performed on HeLa cells treated with TPPS4/CD-N nanoassemblies, and the authors showed that amphiphilic CD-N was able to promote the intracellular delivery of TPPS4. The in vitro PDT efficiency of TPPS4/CD-N nanoassemblies on the same cell lines model upon visible light irradiation (λ = 340 nm, 5 J/cm2, 30 min) were also investigated. In the absence of light, higher dark cytotoxicity was observed in the case of cells treated with the TPPS4/CD-N nanosystem compared to those treated with TPPS4 alone, which may be due to a higher TPPS4 uptake. Interestingly, the TPPS4/CD-N nanosystem was found to be more efficient than free TPPS4 to induce photodamage upon light irradiation (Figure 43).
The development of supramolecular self-assemblies using amphiphilic CDs as drug delivery nanocarriers may suffer from the conjugate’s lack of stability [169,170,171]. In fact, the chemical bonds that are often used to bind CDs to the drugs can be labile, and thus cause the premature loss of drugs [156,172]. To deal with this problem, Xiong et al. [173] in 2017 used the high affinity of carboranes (CBs) for the β-CD and developed two stable amphiphilic supramolecular nanossemblies based on β-CDs and CBs, and loaded with PS (5-(4-hydroxy-phenyl)-10,15,20-triphenyl-porphyrin, TPP). Host–guest interactions between amphiphilic PEG-modified β-CD (PEG-β-CD) and octyl-carborane (C8-CB) led to the formation of 1:1 and 2:1 inclusion complexes named PEG-β-CD/C8-CB and 2PEG-β-CD/C8-CB. These inclusion complexes self-assembled into spherical NPs and finally loaded with TPP to afford TPP@PEG-β-CD/C8-CB and TPP@2PEG-β-CD/C8-CB NPs with hydrodynamic sizes of 113 nm and 93 nm, respectively. The in vitro behavior of TPP@PEG-β-CD/C8-CB NPs was investigated on human liver cancer cells (HepG2) using confocal microscopy and flow cytometry. The authors showed that NPs were mainly localized in the cytoplasm region, in close vicinity to the nuclei, and provided higher fluorescent signals compared to cells treated with free TPP or with the physical mixture of PEG-β-CD/C8-CB and TPP. In vitro cell viability on normal human bronchial epithelial (BEAS-2B) cells, and HepG2 and HeLa cancer cells was investigated by MTT assay under irradiation (λ = 620 nm, 16 mW/cm2). No dark cytotoxicity was observed, even at an NP concentration of 8 µg/mL. For TPP@PEG-β-CD/C8-CB NPs, it was found that the viability of cancer cells (HepG2 and HeLa) after irradiation was 10 times lower compared to TPP alone or to the physical mixture of PEG-β-CD/C8-CB and TPP. Finally, the stability in solution and the photostability of TPP@PEG-β-CD/C8-CB NPs were evaluated, and the authors estimated that less than 5% of TPP leaked after five days in physiological solution (10% fetal bovine serum), and only a 5.2% absorbance decrease was observed after 90 min of irradiation.
As complementary information and concerning the elaboration of the nanoassemblies of amphiphilic CDs and porphyrinoid PSs, we can mention also an article published in 2013 by Voskuhl et al. [174]. The authors investigated the self-assembly of a supramolecular 1O2 photosensitizing system based on host–guest interactions between an adamantane-functionalized ZnPc (Ada-ZnPc) and β-CD vesicles (β-CDVs). The resulted Ada-ZnPc/ β-CDV nanoassemblies allowed an increase of the 1O2 photosensitizing ability of ZnPc, while preventing its self-aggregation. These results reflect the possible use of this supramolecular assembly as a biocompatible photoactive platform for the design of phototherapeutic agents. Concerning non-porphyrinoid PSs, only one article has been found in the literature. In 2016, Kauscher et al. [175] described the immobilization of photoreactive squaraines (non-porphyrinoid PS) on a supramolecular amphiphilic CD nanoassemblies, and highlighted the 1O2 production under irradiation and an improvement in the photochemical activity of squaraines. However, no in vitro biological study has yet been made of the impact of these nanoassemblies on the PDT efficiency.
  • Nanoassemblies using polymeric cyclodextrines
Besides the supramolecular nanoassemblies based on amphiphilic CD, the researchers are studying new CD derivatives, and some works deal with the use of polymeric CDs for new stable and efficient buildings that can be used for PDT [176].
In 2014, Sortino et al. [177] engineered supramolecular nanoassemblies that were composed of four different components, i.e., a poly(β-CD) polymer, a hydrophobically modified dextran (hDex), an anionic zinc phthalocyanine (ZnPc), and a NO photodonor. The assembly occurred spontaneously in aqueous medium forming a “Lock and Key” hydrogel, since the alkyl chains of hDex were included in the cavity of poly(β-CD) (Figure 44). The authors described for the first time a hydrogel system that was suitable for (1) producing both red and green fluorescence signals, (2) photoreleasing simultaneously two cytotoxic species (1O2 and NO), and (3) inducing an amplified cancer cell death (Figure 44).
In that same year, Sortino et al. [178] engineered supramolecular nanoassemblies composed of three different components, i.e., a poly(β-CD) polymer, an anionic zinc phthalocyanine (ZnPc), and an NO photodonor attached to an adamantane moiety (NO photodonor-Ada). The adamantane unit is known to form an inclusion complex with the cavity of β-CD. The self-assembly led to the formation of ZnPc/NO photodonor-Ada/Poly(β-CD) NPs with an average hydrodynamic diameter of 35 nm (Figure 45).
To validate the feasibility of ZnPc/NO photodonor-Ada/Poly(β-CD) NPs as bimodal phototherapeutic agents, an in vitro PDT study were performed using human squamous carcinoma (A431) cells (Figure 46). The authors thereby showed that the irradiation of ZnPc/NO photodonor-Ada/Poly(β-CD) NPs with visible light (405-nm and 633-nm light to target the NO photodonor and ZnPc, respectively) triggered the simultaneous delivery of cytotoxic 1O2 and NO species, resulting in an amplified cell photomortality due to the synergistic effect of both cytotoxic agents. It was shown also that ZnPc/NO photodonor-Ada/poly(β-CD) NPs could act as two photon emission (TPE) imaging agents.
In 2015, Lee et al. [179] developed a new biocompatible nanoassembly that was constituted of poly(β-CD) linked by carbonate bonds to cholesteryl chloroformate (CC) and chlorin e6 (Ce6). The self-assembly induced the formation of core-shell poly(β-CD)-g-CC-g-Ce6 NPs (average particle size of 61 nm) in which the hydrophobic CC and Ce6 core is enclosed with a layer of hydrophilic poly(β-CD) shell. The authors found that the poly(β-CD)-g-CC-g-Ce6 properties as drug carrier were highly pH-dependent. It was also found that at an acidic pH, poly(β-CD)-g-CC-g-Ce6 NPs disintegration happened due to the carbonate linkages cleavage producing CO2 (Figure 47).
Furthermore, they found that upon irradiation (λ = 670 nm, 5.2 mW/cm2 during 10 min), poly(β-CD)-g-CC-g-Ce6 NPs have the ability to produce more 1O2 at acidic pH (tumor environment, pH 6.5) compared to the physiological pH (pH 7.4). The in vitro studies performed on the human nasopharyngeal epidermal carcinoma (KB) cell line showed that compared to Ce6 alone, a highest cellular uptake at acidic pH and mainly in nucleus for poly(β-CD)-g-CC-g-Ce6 NPs was observed. No dark cytotoxicity was detected for the poly(β-CD)-g-CC-g-Ce6 NPs. However, upon irradiation (λ = 670 nm, 5.2 mW/cm2, during 10 min), poly(β-CD)-g-CC-g-Ce6 NPs exhibited stronger phototoxicity at pH 6.5 compared to that at pH 7.4 (Figure 48). These results highlighted the potential usefulness of poly(β-CD)-g-CC-g-Ce6 NPs in anticancer PDT treatment.
As complementary information concerning the elaboration of nanoassemblies polymeric CDs and non-porphyrinoid PSs, only one article has been found in the literature. In 2014, Kirakci et al. [180] described three supramolecular nanoassemblies composed by poly(β-CD) and octahedral molybdenum cluster complexes (non-porphyrinoid PSs). The resulting assemblies afforded hydrogel particles (hydrodynamic diameter from 160 nm to 240 nm) without adversely affecting the photophysical properties of the octahedral molybdenum cluster complexes (red luminescence and high quantum yield). The photophysical properties of these hydrogel particles were associated with the oxygen sensitivity of the luminescence, making them interesting for a usefulness as potential dual agents for PDT/boron neutron capture therapy.
  • Other cyclodextrin–photosensitizer nanoassemblies
Aside from the supramolecular CD–PS nanoassemblies based on PSs and chemically modified CDs, some teams wished to reverse this strategy by forming nanoassemblies with CDs and chemically modified PSs.
In 2015, Liu et al. [181] synthesized a supramolecular system using poly(ethylene glycol 400)-β-CD (PEG400-β-CD) and a porphyrin derivative containing a disulfide bond (S-S) and an adamantane (Ada) group (TPPC6-SS-Ada, Figure 49).
The host–guest interactions between PEG400-β-CD and TPPC6-SS-Ada led to the formation of TPPC6-SS-Ada/PEG400-β-CD polypseudorotaxanes (PPRs) that were able to self-assemble into spherical micelles in aqueous solution (average particle size of around 72 nm, Figure 50). The S–S linkage can be cleaved in reducing intracellular microenvironment. The high level of glutathione (GSH) in cytosol could allow the PS release.
For comparison, the authors also synthesized the TPPC6-Ada/PEG-β-CD analog without the disulfide bridge. The authors proved that the S–S bond could be cleaved upon the addition of GSH. Moreover, an in vitro study using MCF-7 cells showed that free porphyrin accumulated less than TPPC6-SS-Ada/PEG400-β-CD, which might be taken up through an endocytosis process. No dark toxicity could be observed for free porphyrin, TPPC6-SS-Ada/PEG-β-CD, and TPPC6-Ada/PEG400-β-CD micelles, even up to 100 mg/µL of porphyrin. The phototoxic effect upon irradiation with a visible light LED lamp (400 mW/cm2) for 20 min was the best for TPPC6-SS-Ada/PEG400-β-CD with an IC50 of 31 µg/mL. At 100 mg/µL of porphyrin, cell viability was 60% for TPPC6-Ada/PEG400-β-CD, and around 35% for TPPC6-SS-Ada/PEG400-β-CD. This better result is due to the release of the porphyrin upon cleavage of the S–S bond with GSH. The authors were the first to report the utilization of polypseudorotaxanes (PPRs) for PDT.
Based on the work above described about PPRs for PDT [181], Tong et al. [182] used a similar strategy in 2016 to develop GSH activatable PS-conjugated PPR nanocarriers (Ce6-SS-α-CD/PEG-b-PMPC with an average size of 60 nm) for photodynamic theranostics. This time, the supramolecular system was based on host–guest interactions between PEG-b-poly (2-methacryl-oyloxyethyl phosphorylcholine) (PEG-b-PMPC) block copolymers and a chlorin e6 derivative containing a disulfide bond and α-CD (Ce6-SS-α-CD). The in vitro cellular redox activatable behavior of Ce6-SS-α-CD/PEG-b-PMPC NPs was investigated on human oral epidermoid carcinoma (KB) cells using confocal microscopy and flow cytometry. The authors observed (1) a clear red fluorescence of Ce6 in KB cells without any treatment, indicating an efficient internalization of NPs, (2) the strongest intracellular Ce6 fluorescence in the presence of high GSH concentration, which became weakest in the presence of low GSH concentration. The in vitro study of KB cells under irradiation (λ = 660 nm, 50 mW/cm2) showed a better phototoxic effect on cells treated with Ce6-SS-α-CD/PEG-b-PMPC NPs compared to cells treated with free Ce6. Finally, in vivo fluorescence imaging-guided PDT of Ce6-SS-α-CD/PEG-b-PMPC NPs in tumor-bearing mice (tumor size of 250 mm3) highlighted an impressive PDT effect on the tumor size after 14 days of therapy. All of these results demonstrated the ability of Ce6-SS-α-CD/PEG-b-PMPC NPs to exhibit redox activatable fluorescence signal and ROS generation for photodynamic theranostics.
In 2017, Xu et al. [183] developed polypseudorotaxane NPs (mPEG-PpIX/α-CD) based on self-assembly of mPEG-protoporphyrin IX (mPEG-PpIX) conjugate and α-CDs via host–guest interactions, followed by a chemotherapy drug (doxorubicin, DOX) encapsulation (DOX/mPEG-PpIX/α-CD NPs) with an average size of 89 nm, as shown in Figure 51.
A cytotoxicity study of mPEG-PpIX/α-CD NPs using L929 fibroblasts cells was performed, and low dark cytotoxicity was found after the 48 h incubation of cells with mPEG-PpIX/α-CD NPs, even with a high concentration of NPs (80% cell viability at a NP concentration of 300 µg/mL). The in vitro PDT efficiency of mPEG-PpIX/α-CD and DOX/mPEG-PpIX/α-CD NPs was evaluated with different NP concentrations (4.0 µg/mL, 12.1 µg/mL, and 36.2 µg/mL) with diiode laser irradiation (λ = 620–630 nm) using HepG2 cells (Figure 52). For mPEG-PpIX/α-CD NPs, no dark cytotoxicity was observed, whatever the concentration used. However, the cell viability upon irradiation was found to be NP concentration-dependent with a higher impact in the presence of DOX. These results revealed that DOX/mPEG-PpIX/α-CD NPs exhibited synergistic PDT/chemotherapy effects under laser irradiation.
As complementary information and concerning the elaboration of supramolecular nanoassemblies based on CDs and chemically modified PSs, we can also mention the work of Jin et al. [184] in 2015. This work described the development of supramolecular hydrogels based on host–guest interactions between amphiphilic PS cored and α-CD leading to the formation of PPRs, which were subsequently self-assembled into hydrogels and loaded with DOX (chemotherapy drug). The resulted supramolecular DOX@PS/α-CD hydrogel exhibited efficient DOX release and 1O2 generation upon light irradiation, which makes this promising for both cancer chemotherapy drug delivery systems and as a potential PDT agent.
Aside from the supramolecular CD–PS nanoassemblies based on PSs (or chemically modified PSs) and chemically modified CDs (or CDs), another strategy employed by Zhang et al. [171] involved the use of platinium(IV) prodrug bridged β-CD dimer (PtIV(β-CD)2) and 5,10,15,20-tetrakis(1-adamantyl-pyridinium-4-yl)porphyrin (TPyP-(Ada)4). The authors investigated the formation of PtIV(β-CD)2/TPyP-(Ada)4 NPs (average size of around 100 nm) by host–guest interactions (stable 2:1 CD-PS inclusion complex) for chemo-photodynamic dual therapy against cisplatin-resistant cancer cells. The in vitro behavior of PtIV(β-CD)2/TPyP-(Ada)4 NPs was investigated on cisplatin-resistant human lung adenocarcinoma epithelial cells (A549R) using confocal microscopy and flow cytometry. PtIV(β-CD)2/TPyP-(Ada)4 NPs were internalized by A549R cells in the form of NPs, and a rapid spread of PtIV(β-CD)2/TPyP-(Ada)4 NPs happened in the whole cytoplasm under light irradiation. An in vitro cytotoxicity study on A549R cells in the dark or with light irradiation (λ = 430 nm, 10 mW/cm2 for 2 min) showed that PtIV(β-CD)2/TPyP-(Ada)4 NPs were much more cytotoxic than cisplatin, even in the dark. The cytotoxicity of PtIV(β-CD)2/TPyP-(Ada)4 NPs was better under light irradiation, owing to the PDT effect (Table 7). All of these results highlighted a further synergistic effect by the combination of PDT treatment.

2.3. Cyclodextrin–Photosensitizer Systems into Hybrid Nanoparticles

As mentioned in Section 2.2, various CD–PS systems, i.e., inclusion complexes, conjugates, and nanoassemblies, were investigated by researchers to improve some PS properties such as drug delivery, water solubility, stability, and 1O2 production in aqueous media. The main goal of all of these improvements was to obtain the most adapted PDT agent for anticancer therapy. However, CDs alone cannot solve all of the problems related to PSs, and various studies aimed to combine nanoparticles to CD–PS systems to overcome a part of these limitations.

2.3.1. Cyclodextrin–Photosensitizer Systems into Up-Conversion Nanoparticles

One of the problems limiting the use of many PSs, and that cannot be addressed by using only CD–PS systems, is the limited light penetration depth in biological tissues. This limitation is due to the light absorption and scattering by biological tissue, resulting in ineffective PDT effect in cases where cancer cells are located deeply in the body [185,186,187]. Irradiations in the near-infrared (NIR) region are known to have a penetration depth that is greater than UV visible light, but PSs that can efficiently absorb NIR light are still rare [188]. As a consequence, major efforts are made to develop CD–PS systems such as up-converting NPs (UCNPs), which are known for their ability to absorb and convert NIR light to visible photons efficiently [189,190,191].
In 2013, Tian et al. [73] synthesized red-emitting oleic acid-capped NaYF4:Yb/Er UCNPs (OA-UCNPs) functionalized with α-CD and loaded by different PSs (Figure 53). Firstly, functionalizing the OA-UCNPs with α-CD aimed to tune the hydrophobic character of the OA-UCNPs and make it water-soluble in a host–guest strategy. The hydrophobic cavity of α-CD interacted with the hydrophobic oleic acid surfactants that occupied the surface of the OA-UCNPs.
The biocompatibility of the yielded α-CD/OA-UCNPs was assessed by exposing the human epithelial lung cancer (A549) cells to different concentrations of the UCNPs (12.5 µg/mL to 400 µg/mL) in the dark. The α-CD/OA-UCNPs left more than 90% of the cells alive. Moreover, the efficacy of α-CD/OA-UCNPs in the in vivo imaging of deep tissues was further demonstrated through their inoculation into a Kunming mouse (10 mm depth) and observing their red emission under 980-nm NIR excitation. After those validations, and for their efficient use in PDT, OA-capped Mn2+-doped NaYF4-based UCNPs (OA-UCNPs) were loaded by three PSs, i.e., chlorine e6 (Ce6), zinc phthalocyanine (ZnPc), and methylene blue (MB) via hydrophobic interactions to form a stable donor-acceptor system (PS@α-CD/OA-UCNPs). The NIR irradiation of PS@α-CD/OA-UCNPs could indirectly activate the loaded PSs that in their turn generated large levels of 1O2 in contrast to the free PS and the bare α-CD/OA-UCNPs. The 1O2 production was time and dose-dependent for all three PSs, with different levels, which were probably due to their different absorption profiles or loading capacities. The pre-mentioned advantageous properties of the PS@α-CD/OA-UCNPs enabled this system to reduce the viability of A549 cells under NIR irradiation at 980 nm while keeping a very low dark toxicity for all the three PSs (Figure 54a). It is noteworthy to mention that Ce6@α-CD/OA-UCNPs yielded the largest phototoxicity among the three tested PSs. Encouraged by these phototoxicity results, the authors co-loaded a PDT agent (Ce6) and a chemotherapy drug (DOX) into their α-CD/OA-UCNPs to estimate their efficiency in a combined therapy. In response to the change in pH from more basic to a more acidic media, DOX showed a high tendency to detach as it became more hydrophilic. On the contrary, Ce6 was barely released from the α-CD/OA-UCNPs under the same conditions. This behavior of Ce6 conserved the PDT effect that was based on the proximity of both α-CD/OA-UCNPs and Ce6 to guarantee the latter’s activation by Förster Resonance Energy Transfer (FRET). Although the presence of DOX in the Ce6/DOX@α-CD/OA-UCNPs triggered a larger phototoxicity toward A549 cells under 980 nm-NIR excitation, in parallel, it caused a higher dark toxicity (Figure 54b).
Conjugating the CD to the UCNPs aims to confine the PSs, prevent their release, and maintain their accessibility to the UCNPs to ensure the activation of the PS through the pre-mentioned FRET process. Thus, to avoid the liberation of ZnPc and strengthen the interactions between ZnPc and CD/UCNPs, Wang et al. [192] functionalized ZnPc with adamantane (Ada-ZnPc) and synthetized a stable Ada-ZnPc@β-CD-COOH/UCNP complex (Figure 55). The prepared Ada-ZnPc@β-CD-COOH/UCNPs had the advantageous properties of β-CD-COOH, especially its good water solubility. In addition, under NIR excitation (980 nm), the β-CD-COOH/UCNPs emitted in red at about 660 nm, which enabled the excitation of Ada-ZnPc through FRET.
The ability of Ada-ZnPc@β-CD-COOH/UCNPs to produce 1O2 in water was indirectly detected using anthracene-9,10-dipropionic acid (ADPA) as a fluorescent probe. Based on the in vitro 1O2 production results using HeLa cells when exposed to NIR irradiation, a significant level of 1O2 was generated by Ada-ZnPc@β-CD-COOH/UCNPs compared to β-CD-COOH/UCNPs and Ada-ZnPc. The amount of 1O2 increased proportionately with the time of light exposure. Separately, the components of the Ada-ZnPc@β-CD-COOH/UCNP complex could not produce any ROS; yet, a lower level of 1O2 was generated when β-CD-COOH/UCNPs and Ada-ZnPc were physically mixed together. The superior 1O2 production in the case of Ada-ZnPc@β-CD-COOH/UCNPs was attributed to the short distance between the β-CD-COOH/UCNPs and Ada-ZnPc that was convenient to establish an efficient FRET, which was not the case when those two components were only mixed together. However, when the intracellular generation of 1O2 was assessed after NIR irradiation using a SOSG (singlet oxygen sensor green) probe and HeLa cells, all of the cells treated with β-CD-COOH/UCNPs, Ada-ZnPc, and Ada-ZnPc@β-CD-COOH/UCNPs exhibited a fluorescence of the probe that was strongest in the case of Ada-ZnPc@β-CD-COOH/UCNPs (Figure 56a). These results assured their capability of elaborating 1O2 inside the cells. The Ada-ZnPc@β-CD-COOH/UCNP complex was proved to localize into the cytoplasm of the cells, similarly to the unmodified β-CD-COOH/UCNPs. Thus, under NIR excitation, FRET between β-CD-COOH/UCNPs and ZnPc took place; consequently, ZnPc became excited and produced 1O2, which finally caused the massive destruction of the cells that appeared stained in blue due to their chromatin damage (Figure 56(bF)).
The PDT efficiency of the different components was evaluated by trypan blue, excluding experiments and MTT assay. It is noteworthy to mention that this PDT effect also took place with the cells exposed to β-CD-COOH/UCNPs and Ada-ZnPc together, but to a much lower extent than with the complex. The PDT effect appeared to be drug and light dose-dependent (Figure 57). This research effort proved that the intervention of CD made these β-CD-COOH/UCNPs efficient as drug-delivery systems for NIR-triggered PDT.
In 2016, Wang et al. [193] developed new core-shell NPs constituted of a NaYF4:Yb/Er UCNP core (UCNP), a methylene Blue (MB)-loaded silica shell (@SiO2(MB), MB as PS), and a rhodamine B-anchored mesoporous silica shell (@mSiO2(RhB), rhodamine B (RhB) as model drug). The resulted UCNP@SiO2(MB)@mSiO2(RhB) NPs were functionalized on the surface with an adamantane-1O2-sensitive linker (Ada-linker) which forms an inclusion complex with β-CD (Figure 58). The inclusion complexes served to enhance water dispersion of resulting NPs and as « gatekeepers » to prevent PS release. The UCNP@SiO2(MB)@mSiO2(RhB)-Ada-linker-β-CD NPs (hydrodynamic diameter of 75 nm) could be used for simultaneous photo-responsive drug release, PDT and cell imaging.
Photoluminescence and UV-vis analysis revealed that UCNP@SiO2@mSiO2(RhB)-Ada-linker-β-CD NPs have a strong emission in the red upon 980-nm NIR excitation, and MB absorbs intensely in the range between 650–670 nm. The sound emission–absorption match at around 660 nm may prompt a FRET. This FRET was proved to exist by observing a decrease of emission intensity at 660 nm when UCNP@SiO2@mSiO2(RhB)-Ada-linker-β-CD NPs were loaded with MB under 980-nm NIR excitation. Interestingly, the emission spectra of UCNP@SiO2(MB)@mSiO2(RhB)-Ada-linker-β-CD NPs showed also a strong emission peak at 540 nm (green light), offering the feasibility of in vitro cell imaging. In vitro cytotoxicity on human lung adenacarcinoma (A549) cells were evaluated by MTT assay after the incubation of UCNP@SiO2(MB)@mSiO2(RhB)-Ada-linker-β-CD NPs. A study of the influence of both UCNP@SiO2(MB)@mSiO2(RhB)-Ada-linker-β-CD NPs concentration and laser treatment (exposure time at the power density of 2.0 W/cm2) allowed authors to determine safe conditions, i.e., [UCNP@SiO2(MB)@mSiO2(RhB)-Ada-linker-β-CD NPs] = 32 µg/mL with 980-nm NIR irradiation at 2.0 W/cm2 during 50 s, for performing cell imaging and PDT studies. The use of UCNP@SiO2(MB)@mSiO2(RhB)-Ada-linker-β-CD NPs as cell imaging agents was checked via confocal Upconversion Luminescence (UCL)/fluorescence in vitro imaging of A549 cells incubated with UCNP@SiO2(MB)@mSiO2(RhB)-Ada-linker-β-CD NPs upon 980-nm NIR excitation and in bright field mode. The in vitro imaging study of human lung adenacarcinoma (A549) cells treated with UCNP@SiO2(MB)@mSiO2(RhB)-Ada-linker-β-CD NPs (32 µg/mL) upon 980-nm NIR excitation (2.0 W/cm2 during 50 s) results showed an intense green luminescence and a successful cell uptake of UCNP@SiO2(MB)@mSiO2(RhB)-Ada-linker-β-CD NPs mainly located at the cytoplasmic regions. The in vitro PDT efficiency of UCNP@SiO2(MB)@mSiO2(RhB)-Ada-linker-β-CD NPs was evaluated on A549 cells under the previously determined as safe mentioned conditions, and showed a cell viability reaching 50%. Finally, the authors highlighted the photo-release of RhB from UCNP@SiO2(MB)@mSiO2(RhB)-Ada-linker-β-CD NPs induced by the 1O2-labile linkers thanks to a periodic 980-nm NIR ON/OFF illumination (2.0 W/cm2, periodicity of 10 min).
One year later, the same team [194] described a novel PDT nanoplatform (RB-NH2-UCNP@mSiO2(Ada)-β-CD) constituted of a NaYF4:Yb/Er/Nd@NaYF4:Nd UCNP core (UCNP, 40 nm), a Ada-anchored silica shell (@mSiO2(Ada), 12 nm), positive amino groups into inner channels of mSiO2, a negatively charged PS (Rose Bengal, RB), and β-CD as a solubilizing agent and « gatekeeper » to prevent PS release via an inclusion complex with Ada. Fluorescence microscopy imaging of HeLa cells incubated with RB-NH2-UCNP@mSiO2(Ada)-β-CD NPs showed that NPs were uptaken by HeLa cells through either endocytosis or micropinocytosis with a localization mainly in cytoplasm. No dark cytotoxicity of RB-NH2-UCNP@mSiO2(Ada)-β-CD NPs was observed, even with high NP concentrations (250 µg/mL). The in vitro PDT activity of RB-NH2-UCNP@mSiO2(Ada)-β-CD NPs using HeLa cells under 808-nm NIR excitation increased with the increasing irradiation time exposure (0 min to 10 min), laser power density (0 to 4 W/cm2), and NPs concentration (0 to 250 µg/mL). The in vitro results highlighted that under 808-nm NIR irradiation, the green 540 nm up-conversion from UNCP could activate RB to efficiently generate 1O2 and promote cancer cell death, enabling a high efficient anticancer PDT treatment upon the low heat effect 808-nm excitation.

2.3.2. Cyclodextrin–Photosensitizer Systems into Other Types of Nanoparticles

As well as the UCNPs being used for improving CD–PS system properties, some studies are devoted to the use of other types of nanoparticles, and are briefly discussed below.
In 2011, Dong et al. [195] developed supramolecular polymer micelles (SMPMs) as intelligent drug delivery systems. SMPMs were constructed from ethylcellulose-graft-poly(ε-caprolactone (EC-g-PCL) and maleic anhydride modified α-CD (Mah-α-CD) derivative via host–guest and hydrophobic interactions. The resulted Mah-α-CD/EC-g-PCL SMPMs were loaded with a PS (5,10,15,20-tetrakis(4-hydroxyphenyl)-21H,23H-porphyrin, THPP). The in vitro behavior of THPP-loaded SMPMs was investigated on breast tumor (MCF-7) cells using confocal microscopy, and it was found that THPP can be internalized in the MCF-7 cells via SMPMs. In vitro trigger-controlled THPP release was evaluated, and THPP was efficiently released from SMPMs by the addition of l-phenylalanine. The in vitro cell viability on MCF-7 cells was investigated by MTT assay under irradiation (λ = 400 nm, Xe lamp with total light dose of 120 J/cm2). No dark cytotoxicity was observed and the photomortality of MCF-7 cells was clearly demonstrated, which increases as the trigger l-phenylalanine concentration increases (from 0 mM to 3 mM). All of these results showed a promising application of the THPP-loaded SMPMs in cancer treatment as a drug delivery and controlled release system.
In 2013, Ma et al. [196] described the covalent conjugation of Ada onto both the surface and nanochannels of mesoporous silica NPs (MSNPs). Hydrophobic ZnPc was then loaded into the nanochannels of the resulted Ada-MSNPs (ZnPc/Ada-MSNPs) and capped with β-CD, which forms an inclusion complex with Ada. The inclusion complexes served to enhance water solubility of β-CD/ZnPc/Ada-MSNPs and act as « gatekeepers » to prevent ZnPc release. In vitro PDT activity on HeLa cells used MTT assay with light irradiation (λ = 675 nm, 2.5 mW/cm2). No dark cytotoxicity was observed, and the authors showed a higher phototoxicity after 60 min of light irradiation compared with 30 min. Furthermore, in the case of 30 min of light irradiation, an IC50 value of 10 µg/mL was determined.
In 2013 also, Mazzaglia et al. [197] built on their results achieved in 2006 [164] concerning the PDT effect of TPPS4/SC6-β-CD-NH2 nanoassemblies (results previously described in Section 2.2.3.). In this new work, the authors investigated the coating of gold nanoparticles (AuNPs) with their previous TPPS4/SC6-β-CD-NH2 nanoassemblies to afford new hybrid assemblies AuNPs@TPPS4/SC6-β-CD-NH2 (average size of around 200 nm, Figure 59). AuNPs were added to the previous TPPS4/SC6-β-CD-NH2 nanoassemblies for the purpose of generating an in vitro dual photothermal (PTT)–PDT effect on HeLa cells.
The in vitro behavior of supramolecular AuNPs@TPPS4/SC6-β-CD-NH2 hybrid assemblies was investigated by fluorescence microscopy analysis of Hela cells, and AuNPs@TPPS4/SC6-β-CD-NH2 assemblies were mainly localized in the cytoplasm region. To evaluate the feasibility of using a ternary AuNPs@TPPS4/SC6-β-CD-NH2 system for dual PTT–PDT action, HeLa cells were treated with AuNPs@TPPS4/SC6-β-CD-NH2 NPs and either kept in the dark or irradiated with 532 nm neodymium-doped yttrium aluminium garnet (Nd-YAG) pulsed laser and then by visible light for 30 min. AuNPs@TPPS4/SC6-β-CD-NH2 showed scarce dark toxicity while single components, binary TPPS4/SC6-β-CD-NH2 and AuNPs@SC6-β-CD-NH2 systems, showed some dark toxicity. After PTT treatment, the toxicity was almost unaltered, except for the ternary system (~30% cell death), demonstrating that AuNPs were playing a role in the cell photodamage. Finally, after PTT–PDT treatment, the cells incubated with the ternary AuNPs@TPPS4/SC6-β-CD-NH2 system showed a further increase of toxicity (~45% cell death), which was higher with respect to the PTT–PDT effect on the cells incubated with binary systems (Figure 60).
As complementary information and concerning the elaboration of supramolecular nanoassemblies based on CD–PS systems into other types of nanoparticles, we can also mention the work of Xu et al. [198] in 2016, who described host–guest interactions between di-β-CD-modified PpIX (PpIX-CD2) and azobenzene (AZO)-focused hydrophobic/hydrophilic hyperbranched polymers, leading to the formation of PpIX-bridged Janus particles via self-assembly (PpIX-CD2@AZO Janus particles). The obtained supramolecular Janus particles (average size of around 10 nm) were used to build large vesicles (up to 694 nm) by aggregation. UV irradiation (λ = 365 nm) caused vesicles destruction because of the trans-cis isomerization of the AZO unit. A decrease of 25% in the absorbance of the main Soret band indicated some PpIX degradation, but less than free PpIX, in favor of a protection (photostability) effect induced by vesicles. The conversion rate of triiodide ion was measured in buffer solution at 86% after 1 h of irradiation, indicating a high 1O2 quantum yield production.

2.4. Cyclodextrins with Fullerenes

Many researchers, in their quest for the development of a better suitable PS for anticancer PDT treatment, pursue their efforts and grapple with this challenge by trying to develop new original PSs. Among these, one can cite the use of fullerenes. Fullerenes are carbon molecules whose shape can be close to a sphere, an ellipsoid, a tube, or a ring. They are composed of hexagonal rings (such as graphite) but also pentagonal rings, which give the possibility of closed structures. Fullerenes are natural molecules (found in soot) that were identified in 1985 by Kroto et al. [199] who received the Nobel Chemistry Prize in 1996 for this discovery. Fullerenes are extracted from the soot using a multistep procedure. After dissolution of the soot in appropriate organic solvents (solution containing up to 70% of C60 ([60]Fullerene) and 15% of C70 ([70]Fullerene), as well as other fullerenes), each fullerene fraction is separated using chromatography.
[60]Fullerene is the most stable form of fullerene whose composition includes 60 carbon atoms forming 20 hexagons and 12 pentagons, with a carbon atom at the top of each polygon and a bond at each side of the polygon. Each hexagon is adjacent to three hexagons and three pentagons, and each pentagon is surrounded by five hexagons (Figure 61). [60]Fullerene has the same shape as a traditional football with sewn panels.
Over three decades have passed since the discovery of fullerenes, and the interest for medical applications generated by them over the years has increased considerably [200,201,202,203,204]. Fullerenes combine many very interesting properties, making them good candidates for developing suitable PSs for PDT application [205,206,207,208]. These interesting properties include: (1) a higher photostability and a lower photobleaching compared to tetrapyrroles (porphyrinoid PSs) and synthetic dyes (non-porphyrinoid PSs); (2) both type I (free radicals) and type II (1O2) ROS generation compared to largely type II for tetrapyrroles; (3) an increase of both overall quantum yield and ROS production; (4) an extension of their absorption spectrum further into the red wavelengths; and (5) an ability to self-assemble into vesicles and functionalize with the aim of improving drug delivery. In spite of all these benefits, pristine [60]Fullerene is poorly soluble in water and biological media and self-assembles into nano-aggregates, limiting its photoactivity [209]. Therefore, it appears obvious that the combination of fullerenes and CDs would be a reasonable alternative for developing ideal PSs for use in anticancer PDT treatment.
Between 2008–2017, Ikeda et al. focused on the application of cyclodextrin /fullerenes inclusion complexes in PDT [210,211,212,213,214,215,216]. In 2008, Ikeda et al. synthesized lipid membrane-incorporated fullerenes (LMICx: x = 60 or 70) with high concentrations of fullerenes (Cx) through a simple and time-saving approach [211]. The method was based on an exchange reaction where Cx was transferred from the Cx-γ-CD complex to the liposomes. The elaborated LMIC60 and LMIC70 possessed an average diameter of about 100 nm. The authors also proved the efficiency of their guest exchange method for the preparation of the lipid membrane-incorporated fullerenes (LMICx) in comparison to the conventional injection and premixing approaches [212]. LMIC60 and LMIC70 prepared by the guest exchange approach displayed a higher PDT activity accompanied with a better stability and solubility as compared to those prepared by the premixing one (Figure 62). γ-CD were employed in this method to embrace the fullerene in the first step and facilitate the transfer of this fullerene from the cavity of the CD to the liposomes or lipid membrane, where only fullerene was the PS fulfilling the PDT effect.
To investigate the localization and the mode of internalization of the LMICx, only the liposomes were labeled by fluorochrome, and were incubated with HeLa cells. Fullerene was avoided, since it can quench fluorochrome. It appeared that only cationic liposomes were uptaken by the cells via endocytosis to be finally localized into the lysosomes. After 24 h of incubation with HeLa cells, both LMIC60 and LMIC70 revealed no dark toxicity. When excited at a wavelength between 350–500 nm, LMIC60 induced an 85% decrease of cell viability. However, when PDT was performed at a wavelength longer than 400 nm (400–740 nm), only LMIC70 was able to induce a significant decrease in the cell viability by 89% versus only 19% of reduction in the case of LMIC60. This difference in the performance was due to the greater production of 1O2 by LMIC60. Both LMIC60 and LMIC70 induced an early apoptotic cell death.
Ikeda et al. synthesized an inclusion complex that was constituted of fullerene Cx (x = 60 or 70) and γ-CD to implement the same concept but on the cellular membrane [214] (Figure 63). The intracellular uptake of both C60 and C70 from C60-γ-CD and C60-γ-CD inclusion complexes, respectively, was studied using human cervical HeLa cells ([C60] = [C70] = 20 µM). At 4 °C and 37 °C, C60-γ-CD preserved its encapsulated structure, as no transfer of C60 into the cells occurred. However, under the same conditions, C70 from C70-γ-CD were well incorporated into HeLa cells. Especially at 37 °C, 60% C70-γ-CD was uptaken by the cells after only 5 min of incubation. The stability and solubility C70-γ-CD was lower than that of the C60-γ-CD complex. The incorporation mechanism was the direct exchange reaction from the C70-γ-CD complex to the cell membrane. The fluorescence of rhodamine B 1,2-dihexadecanoyl-sn-glycero-3-phosphoethanolamine (RhB-DHPE) that was used to stain the HeLa cells was only quenched in the presence of C70-γ-CD. This result confirmed that C70 and RhB-DHPE coexisted in the cellular membrane. Under visible light irradiation (λ = 400–700 nm, 54 mW/cm2), the PDT efficiency against HeLa cells agreed with the results of the cellular uptake. In the dark, both complexes were not cytotoxic. Yet, as compared with the C60-γ-CD complex and 5-Aminolevulinic acid (5-ALA) as a reference, only C70-γ-CD triggered a drastic decrease of 75% of the cell viability, with only 1 µM of fullerene.
Encouraged and inspired by the good PDT activity obtained with LMIC70 (λ > 400 nm) and C70-γ-CD, the same team dedicated their efforts to improving this system for a higher stability and a more selective drug-delivery [215]. In this study, their cerasome-incorporated C70 (CIC70) system was based on encapsulating the C70 into a surface cross-linked liposomal bilayer covered with a polysiloxane surface (cerasome). This system was formed by the transfer of C70 from the cavities of the γ-CD to occupy the vesicles of the cerasomes. The stability of the cerasomes was enhanced compared with the general liposomes by the deposition of silica on the surface of the cerasomes. C70 acted as a fluorescence quencher in the presence of RhB, which confirmed the encapsulation of this fullerene in the lipid membrane of the cerasomes. A complete transfer of C70 from the γ-CD cavities into the cerasomes was achieved at 25 °C after 1 min. The CIC70 system possessed a diameter of about 170 nm, which was considered suitable for implementing an enhanced permeability and retention (EPR) effect. In addition, CIC70 held high surface positive charges (+50.8 mV) that induced a good cellular uptake, yet was still slightly lower than that of LMIC70 (+57.2 mV). The presence of C70 improved the morphological stability of the cerasomes. For their application in PDT toward HeLa cells, CIC70 appeared to be non-cytotoxic in darkness and induced a forceful PDT effect that was as good as that displayed by LMIC70 under visible light irradiation (57 mW/cm2, 400–740 nm) (Figure 64).
On this basis, Ikeda et al. [216] used a γ-CD derivative holding primary amine groups as pH responsive functions to carry their C60 (C60-γ-CD-NH2). To validate the efficiency of the γ-CD-NH2 carrier compared with γ-CD, the in vitro PDT activity of C60-γ-CD-NH2 and C60-γ-CD toward HeLa cells under visible light illumination (400–500 nm) was assessed. The experiments were conducted at two pH values, 7.4 and 6.4, which correspond respectively to the extracellular pH of normal and neoplastic cells. Both C60-γ-CD-NH2 and C60-γ-CD exhibited no dark toxicity, and negligible photoinduced toxicity was attained with C60-γ-CD under both pH conditions. As for C60-γ-CD-NH2, it was photoactive in destroying HeLa cells at both pH values, with an enhanced activity witnessed at pH 6.4 (Figure 65). Thus, it was revealed that as the pH started to become more acidic, the amine groups of the γ-CD-NH2 became gradually protonated up to a critical pH, i.e., 6.7, where the C60 was rapidly squeezed out of the γ-CD-NH2 into the extracellular region. The released C60 were rapidly uptaken by the cells through either endocytosis or direct insertion to the cellular membrane (Figure 66). This γ-CD-NH2 system represented a smart carrier of C60 for a more efficient application in PDT.
In 2013, Ikeda et al. addressed the problem of the stability and solubility of the Cx-γ-CD inclusion complexes that affected their performance in PDT [213]. To form a stable inclusion complex, the authors used C60 derivatives holding nitrogen atom-containing groups, namely N-methylpyrrolidine (MePyrr, amino group), N,N-dimethylpyrrolidinium iodide (Me2Pyrr, ammonium group), and N-acetylpyrrolidine (AcPyrr, amide group) instead of C60 (Figure 67a). Compared with C60-γ-CD, all of the γ-CD-complexed C60 derivatives (MePyrr-C60-γ-CD, Me2Pyrr-C60-γ-CD and AcPyrr-C60-γ-CD) were found similarly water-soluble but more stable. In the absence of an irradiation source, the complexes were non-cytotoxic. The photoirradiation was performed at high wavelengths (610-720 nm). Under irradiation, Me2Pyrr-C60-γ-CD followed by AcPyrr-C60-γ-CD complexes exhibited a superior PDT activity against HeLa cells as compared to Photofrin®-γ-CD, C60-γ-CD, C70-γ-CD and MePyrr-γ-CD (Figure 67b). This superior photoactivity, especially for Me2Pyrr-C60-γ-CD, was attributed to the increased cellular uptake caused by the cationic nature of the surface of this complex vs. the other two neutral complexes MePyrr-γ-CD and AcPyrr-C60-γ-CD. In addition, higher levels of 1O2 were elaborated by Me2Pyrr-C60-γ-CD. The suppressed PDT activity of MePyrr-γ-CD complex was imputed to the low 1O2 production caused by the quenching effect of the triplet excited state of this complex by the lone pair of the electrons on the amino groups.
After they proved that using C60 derivatives with the γ-CD improved the cellular uptake and therefore the PDT activity compared with C60-γ-CD and C60-γ-CD, Ikeda et al. used those γ-CD-complexed C60 derivatives to prepare lipid membrane-incorporated C60 derivatives by an exchange method [210]. The C60 derivatives were transferred from the two cavities of γ-CD into the lipid membranes of the liposomes. In a similar trend, Me2Pyrr-C60-γ-CD incorporated into the lipid membranes (Me2Pyrr-LMIC60) resulted in the higher PDT activity toward HeLa cells under excitation between 610–740 nm as compared to the other C60 derivatives. The cationic nature of the incorporated Me2Pyrr-C60 did not induce any large effect on the surface potential of the Me2Pyrr-LMIC60 that might affect their internalization into the cells. Thus, the intercellular uptake of all of the tested liposomes was comparable. The source of this higher PDT activity of Me2Pyrr-LMIC60 was the greater ability to produce 1O2, since even more 1O2 was generated by Me2Pyrr-LMIC60 than that produced by the Me2Pyrr-C60-γ-CD inclusion complex.
The good photophysical properties of fullerenes nominate them as potential PSs in PDT. However, their scarce solubility in aqueous media hinders their biological application. To overcome this issue, Iizumi et al. [217] prepared water-soluble fullerene derivatives. The unmodified C60 and C70 were dispersed in water using γ-CD (C60-γ-CD and C70-γ-CD) or poly(vinylpyrrolidone) (C60-PVP) (Figure 68a). In C60-γ-CD and C70-γ-CD complexes, both fullerenes produced an appreciable amount of 1O2 in water as compared to Rose Bengal (RB). Yet, the produced 1O2 was less than that produced by fullerenes alone in organic solvents, most probably due to their inclusion into the cavities of γ-CD. This might have disrupted the efficient contact and accordingly the energy transfer between fullerenes and the molecular oxygen. Lower levels of 1O2 were produced by C60 in C60-PVP. The assumption that C60 tended to aggregate with the PVP dispersant while it formed a stable complex with γ-CD as monomers was possibly the reason behind the difference in 1O2 generation. Dark toxicity and phototoxicity (λ = 633 nm, 3 mW/cm2) were performed on the rat fibroblast cell line 5RP7 in the presence of C60-γ-CD, C70-γ-CD and C60-PVP with fullerene concentration fixed at 10 µM. Slight dark toxicity was revealed in all cases. Nevertheless, and in coherence with the 1O2 results, C70-γ-CD exhibited a massive phototoxic impact leaving only 12% of the cells alive (Figure 68b). Although C60-γ-CD was proved analogous to C70-γ-CD in terms of the 1O2 generation, a much lower PDT effect was observed (66% of cell survival). This was most probably due the much lower extinction coefficient of C60-γ-CD at 633 nm. Conversely, C60-PVP mediated no cell death under irradiation. Thus, the phototoxicities of C60 and C70 were greatly influenced by their dispersed forms.
In 2011, Iohara et al. [218] prepared C60-HP-β-CD NPs by a co-grinding method. The authors compared the different properties of those NPs to C60 dispersed in poly(vinylpyrrolidone) (PVP). It appeared that when HP-β-CD was used as a dispersant for C60, a much lower mean particle diameter was attained (90 nm) than the one obtained in PVP (215 nm). This outcome agreed with the results obtained by Iizum et al. [217]. 1O2 was already proved to be elaborated from C60-HP-β-CD NPs through a type-II mechanism. Yet, in addition to 1O2, the authors revealed the great aptitude of those NPs to generate multiple ROS, including HO and O2 under visible light irradiation through a type I reaction. The increase in the particle size due to the aggregation caused a restricted penetration of light that consequently led to a gradual loss of the capability of C60-HP-β-CD NPs to produce ROS (Figure 69). C60-PVP and C60 alone produced lower levels of HO and O2, and barely generated 1O2. In the dark, C60, C60-PVP, and C60-HP-β-CD did not cause the death of HeLa cells, even at high concentrations. C60 remained non-toxic, even under visible light irradiation. In contrary, C60-PVP and C60-HP-β-CD prompted an interesting dose-dependent phototoxic effect. Bringing up their high capacity to produce different ROS, it was not surprising that C60-HP-β-CD NPs induced the most significant PDT effect among all. Those results assured the crucial role of HP-β-CD in elaborating such a stable and efficient system.
Many scientific efforts were devoted to render the fullerenes water-soluble for biological applications. Those attempts include the solubilization of those fullerenes by CDs through inclusion complexes, as previously presented by Ikeda et al. in their water-soluble host–guest fullerene–liposomes. On a similar track, Altaf et al. [219] prepared their C60-HSA NPs where the C60 were transferred from the C60/HP-β-CD NPs to the human serum albumin (HSA). The elaborated C60-HSA NPs did not aggregate and exhibited a narrow size distribution and good dispersion stability. When linked to C60, the fluorescence intensity of HSA decreased. C60-HSA held a slightly improved high-affinity binding and a larger scavenging activity, and produced much more multiple ROS under visible light (1O2 and O2) than HSA alone. HSA, C60-HSA, and C60-HP-β-CD did not exhibit dark cellular toxicity. However, the visible light-induced PDT effect of C60-HSA NPs toward A549 cells was interesting, and analogous to that displayed by C60-HP-β-CD NPs, and negligible in the case of HSA alone (Figure 70). In conclusion, β-CD helped elaborate a potential drug delivery system for PDT.
In vitro and in vivo experiments were also conducted on C60/HP-β-CD NPs to assess their photosensitizing activity for PDT [220]. In those NPs, C60 partially occupied the hydrophobic cavity of CD. Under visible light irradiation, this system generated a high level of 1O2Δ = 0.96 in benzene) that even exceeded that produced by PpIX (φΔ = 0.56 in PBS). In addition, O2 was also produced by the C60 component of the NPs. The generation of both types of ROS was dose-dependent, and it progressively and proportionally increased with the increase of the irradiation time and the energy of the light. In vitro, only when illuminated by visible light, C60-HP-β-CD NPs caused remarkable photoinduced toxicity toward HeLa and A549 cells, with IC50 values of 10 µM and 60 µM, respectively. C60-HP-β-CD NPs acted better as PDT PS than 5-ALA, which was probably due to the greater ROS production. Moreover, the authors investigated the most appropriate parameters for an efficient in vivo PDT. In the presence of C60-HP-β-CD NPs (2 mg/Kg of C60), 12 times repeated visible light irradiation (λ = 400–700 nm, 350 mW/cm2) for short period (15 s) with a total light dose of 63 J/cm2 efficiently suppressed the growth of the sarcoma S-180 cells in ddY mice without causing any skin damage or major hyperthermia (Figure 71).
Zhao et al. also addressed in their study the problem of the lack of solubility of fullerene in water [221]. The authors prepared a supramolecular complex that was constituted of fullerene and γ-CD. This complex appeared to be water-soluble at room temperature, but tended to aggregate when heated at 85 °C (Figure 72). The aggregated complexes were much more incorporated into the lens epithelial cells HLE B-3. In darkness and under visible light illumination, the monomeric and aggregated C60-γ-CD displayed no toxicity. Nevertheless, under UV-A irradiation, the viability of the HLE B-3 cells exposed to the monomeric C60-γ-CD decreased sharply to less than 10% in a dose-dependent manner. As for the aggregated fullerenes, the PDT efficiency was gradually lost with the gradual growth of the aggregates, and finally vanished when the cells were treated with the largest aggregates attained after 150 min of heating at 85 °C. The production of 1O2 followed the same trend, where the maximum amount was generated by C60-γ-CD, and decreased proportionally with the increasing aggregate size (Figure 73). After UVA irradiation, the 1O2 was generated by C60-γ-CD inside the cells, and it targeted the intracellular proteins in HLE B-3 cells. This outcome was confirmed by the presence of high amounts of protein peroxides in the cells, which led to their damage by the induced apoptosis.
In their approach, Wang et al. [222] associated the fullerene C60 to the outside of the β-CD molecule to yield a water-soluble exclusion complex rather than embedding it in the cavities. C60 and β-CD were linked together via diaminotriethylene glycol as a hydrophilic spacer. Both the hydrophilic spacer and β-CD maintained an enhanced solubility of C60 in water. The absorption profile and thus the basic structure of C60 remained intact after being conjugated to β-CD. On the one hand, when this C60-β-CD was introduced in different concentrations up to 200 µg/mL into the human neuroblastoma SH-SY5Y cells, a negligible dark toxicity was witnessed. On the other hand, under irradiation with visible light (λ ≥ 400 nm, 20 min), C60-β-CD revealed a dose-dependent phototoxicity against the tumor cells (Figure 74a). After investigating the in vitro cytotoxicity and phototoxicity of their C60-β-CD, the authors aimed to assess the dispersion distribution of the C60-β-CD throughout the living body. For actions to serve this goal, they labeled C60-β-CD with a NIR-dye, i.e., NIR-797, and injected it into hepatic H22 tumor-bearing mice. At 96 h post-injection, C60-β-CD was massively localized in the tumor and scarcely in the liver (Figure 74b). C60-β-CD appeared to circulate throughout the blood with a half-life of about 4 h, leaving behind no acute or subacute toxicity in the different organs of the mice’s body. Only in the presence of visible light and nicotinamide adenine dinucleotide (NADH), which is a reducing agent that naturally assists in the photocleavage of DNA, was C60-β-CD was active toward the cleavage of pBR322 plasmid DNA into form II (Figure 74c). Both the ability of C60-β-CD to cleave DNA and kill tumor cells by PDT were due to the action of ROS, precisely HO and O2, which were significantly produced by the excited PS.
To overcome the water-solubility problem of fullerene C60 and enhance its phototoxicity, Zhang et al. manipulated C60 via the pre-used CD-functionalization tactic [223]. However, instead of working with unmodified γ-CD, they used γ-CD polymer (γ-CD-P) to form their inclusion complex (C60-γ-CD-P) (Figure 75a). In this system, monomeric C60 occupied the hydrophobic cavities of γ-CD-P. Similar to β-CD and γ-CD, γ-CD-P successfully rendered C60 water-soluble, and the absorption spectrum of this inclusion complex displayed the characteristic peaks of C60. However, those peaks were red-shifted as compared to the absorption peaks obtained from C60-γ-CD-P. However, γ-CD-P appeared to be capable of forming inclusion complexes easier than γ-CD. In addition, C60 in the C60-γ-CD-P complex remained well-dispersed in water without forming aggregates, even at high concentrations of the complex due to the supramolecular interaction with γ-CD-P, which was an advantage over the other C60 inclusion complexes with CD. The C60-γ-CD-P complex efficiently produced 1O2 only under UVA light, unlike C60-β-CD, which can generate 1O2 under both visible and UVA lights. Those complexes were studied in vitro (MTT assay) with mouse melanoma cell lines B16-F10. γ-CD-P increased the biocompatibility of C60, as no cytotoxic was observed when the cells were exposed to different concentrations of C60-γ-CD-P ([C60] = 0.5–20 µM) after 48 h of incubation in the dark. Due to the non-aggregated nature of the C60 enclosed into γ-CD-P and in agreement with the significant 1O2 production, C60-γ-CD-P exhibited a superior phototoxic effect than C60 toward the tumor cells under UVA irradiation (Figure 75b).

3. Conclusions and Perspectives

As a conclusion, we can notice that all of the papers describing the use of CDs stress how important CD–PS systems are in improving PDT efficiency. Various CD–PS systems have been developed and can be formed by three types of binding mode of PSs with CDs, which are non-covalent binding (CD–PS inclusion complexes), covalent binding (CD–PS conjugates), and non-specific external binding (CD–PS nanoassemblies). For porphyrinoid PSs, it was found that CD–PS inclusion complexes can: (1) improve PDT efficiency [120,121,126] compared with free PSs; (2) reduce some drawbacks of PSs such as their lack of water solubility [120,121,124,125,126] and self-aggregation [124,127]; (3) induce a lower cytotoxicity than free PSs in some cases [120]; (4) lead to a better or different cellular uptake [125,129] even in spheroids [128]; (5) modify the intracellular distribution [127]; and (6) induce an acceleration of the PS diffusion into the biological media [127]. Similar results are also obtained for non-porphyrinoid PSs.
Moreover, some CD–PS conjugates and nanoassemblies have proven their usefulness to encapsulate (1) chemotherapeutic drugs allowing both PDT and chemotherapy with a synergistic effect [140,141,144,167,171,183], or (2) NO photodonor, enabling an amplified PDT effect due to the simultaneous photorelease of two cytotoxic species (1O2 and NO) [145,177].
In addition, the combination of CD–PS systems with NPs leads to passive-targeting PDT treatment, thanks to the EPR effect of NPs. NIR excitation-type NPs (UCNPs) allow also to reach deeper tumors due to their better penetration into biological tissues [73,192,193,194], and AuNPs enable doing PTT and PDT simultaneously [197].
With the aim of improving the selectivity of all of these CD–PS systems, we believe that in the near future, new CD–PS systems combined to active targeting agents will emerge. In this regard, few articles already describe the grafting of active targeting agents on CD–PS systems, i.e., grafting of cell penetrating peptide R6H4 [224], membrane-permeable and mitochondria-targeted peptide RLA [225], CD44-targeted hyaluronic acid [226], folate-targeted folic acid [227], and asialoglycoprotein-targeted sugars (galactose [228] and lactobionic acid [229]).

Author Contributions

Conceptualisation, Frochot C., Acherar, S.; Writing Review, all authors, Bibliography, Baros F., Vanderesse R.; Figures and Schemes, Colombeau L.

Funding

This research received no external funding.

Conflicts of Interest

The authors declare no conflict of interest.

References

  1. Naghavi, M. Global, regional, and national age-sex specific mortality for 264 causes of death, 1980–2016: A systematic analysis for the Global Burden of Disease Study 2016. Lancet 2016, 390, 1151–1210. [Google Scholar] [CrossRef]
  2. Ferlay, J.; Soerjomataram, I.; Dikshit, R.; Eser, S.; Mathers, C.; Rebelo, M.; Parkin, D.M.; Forman, D.; Bray, F. Cancer incidence and mortality worldwide: Sources, methods and major patterns in GLOBOCAN 2012. Int. J. Cancer 2015, 136, E359–E386. [Google Scholar] [CrossRef] [PubMed]
  3. WHO. Global Action Plan for the Prevention and Control of NCDs 2013–2020; WHO: Geneva, Switzerland, 2013; 55p, Available online: http://www.who.int/nmh/publications/ncd-action-plan/en/ (accessed on 20 July 2018).
  4. Institute for Health Metrics and Evaluation. Global Burden of Disease Collaborative Network. Global Burden of Disease Study 2016 (GBD 2016) Results. 2017. Available online: http://ghdx.healthdata.org/gbd-results-tool (accessed on 20 July 2018).
  5. Gupta, M.; Dahiya, J.; Marwaha, R.K.; Dureja, H. Therapies in cancer treatment: An overview. Int. J. Pharm. Pharm. Sci. 2015, 7, 1–9. [Google Scholar]
  6. DeVita, V.T., Jr.; Rosenberg, S.A. Two hundred years of cancer research. N. Engl. J. Med. 2012, 366, 2207–2214. [Google Scholar] [CrossRef] [PubMed]
  7. Wyld, L.; Audisio, R.A.; Poston, G.J. The evolution of cancer surgery and future perspectives. Nat. Rev. Clin. Oncol. 2015, 12, 115–124. [Google Scholar] [CrossRef] [PubMed]
  8. Foster, D.; Shaikh, M.F.; Gleeson, E.; Babcock, B.D.; Ringold, D.; Bowne, W.B. Palliative surgery for advanced cancer: Identifying evidence-based criteria for patient selection: Case report and review of literature. J. Palliat. Med. 2015, 19, 22–29. [Google Scholar] [CrossRef] [PubMed]
  9. Baskar, R.; Lee, K.A.; Yeo, R.; Yeoh, K.W. Cancer and radiation therapy: Current advances and future directions. Int. J. Med. Sci. 2012, 9, 193–199. [Google Scholar] [CrossRef] [PubMed]
  10. Baumann, M.; Krause, M.; Overgaard, J.; Debus, J.; Bentzen, S.M.; Daartz, J.; Richter, C.; Zips, D.; Bortfeld, T. Radiation oncology in the era of precision medicine. Nat. Rev. Cancer 2016, 16, 234. [Google Scholar] [CrossRef] [PubMed]
  11. Chabner, B.A.; Roberts, T.G. Chemotherapy and the war on cancer. Nat. Rev. Cancer 2005, 5, 65–72. [Google Scholar] [CrossRef] [PubMed]
  12. Koury, J.; Lucero, M.; Cato, C.; Chang, L.; Geiger, J.; Henry, D.; Hernandez, J.; Hung, F.; Kaur, P.; Teskey, G.; et al. Immunotherapies: Exploiting the Immune System for Cancer Treatment. J. Immunol. Res. 2018, 2018, 9585614. [Google Scholar] [CrossRef] [PubMed]
  13. Moore, C.D.; Chen, I. Immunotherapy in cancer treatment: A review of checkpoint inhibitors. US Pharm. 2018, 43, 27–31. [Google Scholar]
  14. Fairchild, A.; Tirumani, S.H.; Rosenthal, M.H.; Howard, S.A.; Krajewski, K.M.; Nishino, M.; Shinagare, A.B.; Jagannathan, J.P.; Ramaiya, N.H. Hormonal therapy in oncology: A primer for the radiologist. AJR Am. J. Roentgenol. 2015, 204, W620–W630. [Google Scholar] [CrossRef] [PubMed]
  15. Das, S.K.; Menezes, M.E.; Bhatia, S.; Wang, X.Y.; Emdad, L.; Sarkar, D.; Fisher, P.B. Gene therapies for cancer: Strategies, challenges and successes. J. Cell. Physiol. 2015, 230, 259–271. [Google Scholar] [CrossRef] [PubMed]
  16. Kumar, S.R.; Markusic, D.M.; Biswas, M.; High, K.A.; Herzog, R.W. Clinical development of gene therapy: Results and lessons from recent successes. Mol. Ther. Methods Clin. Dev. 2016, 3, 16034. [Google Scholar] [CrossRef] [PubMed]
  17. Yu, C.-H.; Lin, H.-P.; Cheng, S.-J.; Sun, A.; Chen, H.-M. Cryotherapy for oral precancers and cancers. J. Formos. Med. Assoc. 2014, 113, 272–277. [Google Scholar] [CrossRef] [PubMed]
  18. Baudino, T.A. Targeted Cancer Therapy: The Next Generation of Cancer Treatment. Curr. Drug Discov. Technol. 2015, 12, 3–20. [Google Scholar] [CrossRef] [PubMed]
  19. Padma, V.V. An overview of targeted cancer therapy. Biomedicine 2015, 5, 19. [Google Scholar] [CrossRef] [PubMed]
  20. Truong, S.N.; Van Pham, P. Stem cell technology and engineering for cancer treatment. Biomed. Res. Ther. 2015, 2, 13. [Google Scholar] [CrossRef]
  21. Mitku, W.; Tesfaye, W. Review on stem cell therapy and their role in cancer treatment. Int. J. Biotechnol. Bioeng. 2017, 3, 71–79. [Google Scholar] [CrossRef]
  22. Sethi, M.; Chakarvarti, S.K. Hyperthermia techniques for cancer treatment: A review. Int. J. PharmTech Res. 2015, 8, 292–299. [Google Scholar]
  23. Mellal, I.; Oukaira, A.; Kengene, E.; Lakhssassi, A. Thermal therapy modalities for cancer treatment: A review and future perspectives. Int. J. Appl. Sci. 2017, 4, 14. [Google Scholar] [CrossRef]
  24. Dougherty, T.J. Photodynamic therapy (PDT) of malignant tumors. Crit. Rev. Oncol. Hematol. 1984, 2, 83–116. [Google Scholar] [CrossRef]
  25. Zhang, J.; Jiang, C.; Figueiro Longo, J.P.; Azevedo, R.B.; Zhang, H.; Muehlmann, L.A. An updated overview on the development of new photosensitizers for anticancer photodynamic therapy. Acta Pharm. Sin. B 2018, 8, 137–146. [Google Scholar] [CrossRef] [PubMed]
  26. Van Straten, D.; Mashayekhi, V.; de Bruijn, H.S.; Oliveira, S.; Robinson, D.J. Oncologic photodynamic therapy: Basic principles, current clinical status and future directions. Cancers 2017, 9, 19. [Google Scholar] [CrossRef] [PubMed]
  27. Macdonald, I.J.; Dougherty, T.J. Basic principles of photodynamic therapy. J. Porphyr. Phthalocyanines 2001, 5, 105–129. [Google Scholar] [CrossRef]
  28. Zhou, Z.; Song, J.; Nie, L.; Chen, X. Reactive oxygen species generating systems meeting challenges of photodynamic cancer therapy. Chem. Soc. Rev. 2016, 45, 6597–6626. [Google Scholar] [CrossRef] [PubMed]
  29. Dąbrowski, J. Reactive oxygen species in photodynamic therapy: Mechanisms of their generation and potentiation. Adv. Inorg. Chem. 2017, 70, 343–394. [Google Scholar]
  30. Li, B.; Lin, L.; Lin, H.; Wilson, B.C. Photosensitized singlet oxygen generation and detection: Recent advances and future perspectives in cancer photodynamic therapy. J. Biophotonics 2016, 9, 1314–1325. [Google Scholar] [CrossRef] [PubMed]
  31. Mroz, P.; Yaroslavsky, A.; Kharkwal, G.B.; Hamblin, M.R. Cell death pathways in photodynamic therapy of cancer. Cancers 2011, 3, 2516–2539. [Google Scholar] [CrossRef] [PubMed]
  32. Kubiak, M.; Lysenko, L.; Gerber, H.; Nowak, R. Cell reactions and immune responses to photodynamic therapy in oncology. Postępy Higieny i Medycyny Doświadczalnej 2016, 70, 735–742. [Google Scholar] [CrossRef] [PubMed]
  33. Gold, M.H. History of Photodynamic Therapy. In Photodynamic Therapy in Dermatology; Gold, M.H., Ed.; Springer: New York, NY, USA, 2011; pp. 1–4. [Google Scholar]
  34. Abdel-Kader, M.H. Photodynamic Therapy. From Theory to Application; Springer Science & Business Media: Berlin/Heidelberg, Germany, 2014; p. 312. [Google Scholar]
  35. Ackroyd, R.; Kelty, C.; Brown, N.; Reed, M. The history of photodetection and photodynamic therapy. Photochem. Photobiol. 2001, 74, 656–669. [Google Scholar] [CrossRef]
  36. Pathak, M.A.; Fitzpatrick, T.B. The evolution of photochemotherapy with psoralens and UVA (PUVA): 2000 BC to 1992 AD. J. Photochem. Photobiol. B Biol. 1992, 14, 3–22. [Google Scholar] [CrossRef]
  37. Kelly, J.F.; Snell, M.E. Hematoporphyrin derivative: A possible aid in the diagnosis and therapy of carcinoma of the bladder. J. Urol. 1976, 115, 150–151. [Google Scholar] [CrossRef]
  38. Dougherty, T.J.; Kaufman, J.E.; Goldfarb, A.; Weishaupt, K.R.; Boyle, D.; Mittleman, A. Photoradiation therapy for the treatment of malignant tumors. Cancer Res. 1978, 38, 2628–2635. [Google Scholar] [PubMed]
  39. Dougherty, T.J.; Henderson, B.W. Photodynamic Therapy: Basic Principles and Clinical Applications; M. Dekker: New York, NY, USA, 1992; p. 459. [Google Scholar]
  40. Filonenko, E.V.; Serova, L.G. Photodynamic therapy in clinical practice. Biomed. Photonics 2016, 5, 26–37. [Google Scholar]
  41. Bıyıklıoğlu, Z.; Kantekin, H. Synthesis and spectroscopic properties of a series of octacationic water-soluble phthalocyanines. Synth. Met. 2011, 161, 943–948. [Google Scholar] [CrossRef]
  42. Arslanoğlu, Y.; Nyokong, T. Synthesis and photophysical studies of monocarboxy phthalocyanines containing quaternizable groups. Polyhedron 2011, 30, 2733–2739. [Google Scholar] [CrossRef]
  43. Li, H.; Jensen, T.J.; Fronczek, F.R.; Vicente, M.G.H. Syntheses and properties of a series of cationic water-soluble phthalocyanines. J. Med. Chem. 2008, 51, 502–511. [Google Scholar] [CrossRef] [PubMed]
  44. Jinadasa, R.G.; Zhou, Z.; Vicente, M.G.; Smith, K.M. Syntheses and cellular investigations of di-aspartate and aspartate-lysine chlorin e(6) conjugates. Org. Biomol. Chem. 2016, 14, 1049–1064. [Google Scholar] [CrossRef] [PubMed]
  45. Meng, Z.; Yu, B.; Han, G.; Liu, M.; Shan, B.; Dong, G.; Miao, Z.; Jia, N.; Tan, Z.; Li, B.; et al. Chlorin p6-based water-soluble amino acid derivatives as potent photosensitizers for photodynamic therapy. J. Med. Chem. 2016, 59, 4999–5010. [Google Scholar] [CrossRef] [PubMed]
  46. Kamarulzaman, E.; Gazzali, A.; Acherar, S.; Frochot, C.; Barberi-Heyob, M.; Boura, C.; Chaimbault, P.; Sibille, E.; Wahab, H.; Vanderesse, R. New peptide-conjugated chlorin-type photosensitizer targeting neuropilin-1 for anti-vascular targeted photodynamic therapy. Int. J. Mol. Sci. 2015, 16, 24059–24080. [Google Scholar] [CrossRef] [PubMed]
  47. Ranyuk, E.; Cauchon, N.; Klarskov, K.; Guerin, B.; van Lier, J.E. Phthalocyanine-peptide conjugates: Receptor-targeting bifunctional agents for imaging and photodynamic therapy. J. Med. Chem. 2013, 56, 1520–1534. [Google Scholar] [CrossRef] [PubMed]
  48. Kato, A.; Kataoka, H.; Yano, S.; Hayashi, K.; Hayashi, N.; Tanaka, M.; Naitoh, I.; Ban, T.; Miyabe, K.; Kondo, H.; et al. Maltotriose conjugation to a chlorin derivative enhances the antitumor effects of photodynamic therapy in peritoneal dissemination of pancreatic cancer. Mol. Cancer Ther. 2017, 16, 1124–1132. [Google Scholar] [CrossRef] [PubMed]
  49. Narumi, A.; Tsuji, T.; Shinohara, K.; Yamazaki, H.; Kikuchi, M.; Kawaguchi, S.; Mae, T.; Ikeda, A.; Sakai, Y.; Kataoka, H.; et al. Maltotriose-conjugation to a fluorinated chlorin derivative generating a PDT photosensitizer with improved water-solubility. Org. Biomol. Chem. 2016, 14, 3608–3613. [Google Scholar] [CrossRef] [PubMed]
  50. Nishie, H.; Kataoka, H.; Yano, S.; Kikuchi, J.I.; Hayashi, N.; Narumi, A.; Nomoto, A.; Kubota, E.; Joh, T. A next-generation bifunctional photosensitizer with improved water-solubility for photodynamic therapy and diagnosis. Oncotarget 2016, 7, 74259–74268. [Google Scholar] [CrossRef] [PubMed]
  51. Zhou, X.Q.; Meng, L.B.; Huang, Q.; Li, J.; Zheng, K.; Zhang, F.L.; Liu, J.Y.; Xue, J.P. Synthesis and in vitro anticancer activity of zinc(II) phthalocyanines conjugated with coumarin derivatives for dual photodynamic and chemotherapy. ChemMedChem 2015, 10, 304–311. [Google Scholar] [CrossRef] [PubMed]
  52. Bovis, M.J.; Woodhams, J.H.; Loizidou, M.; Scheglmann, D.; Bown, S.G.; Macrobert, A.J. Improved in vivo delivery of m-THPC via pegylated liposomes for use in photodynamic therapy. J. Control. Release 2012, 157, 196–205. [Google Scholar] [CrossRef] [PubMed]
  53. Hinger, D.; Gräfe, S.; Navarro, F.; Spingler, B.; Pandiarajan, D.; Walt, H.; Couffin, A.-C.; Maake, C. Lipid nanoemulsions and liposomes improve photodynamic treatment efficacy and tolerance in CAL-33 tumor bearing nude mice. J. Nanobiotechnol. 2016, 14, 71. [Google Scholar] [CrossRef] [PubMed]
  54. Jia, X.; Yang, F.F.; Li, J.; Liu, J.Y.; Xue, J.P. Synthesis and in vitro photodynamic activity of oligomeric ethylene glycol-quinoline substituted zinc(II) phthalocyanine derivatives. J. Med. Chem. 2013, 56, 5797–5805. [Google Scholar] [CrossRef] [PubMed]
  55. Bechet, D.; Couleaud, P.; Frochot, C.; Viriot, M.L.; Guillemin, F.; Barberi-Heyob, M. Nanoparticles as vehicles for delivery of photodynamic therapy agents. Trends Biotechnol. 2008, 26, 612–621. [Google Scholar] [CrossRef] [PubMed]
  56. Debele, T.A.; Peng, S.; Tsai, H.C. Drug Carrier for Photodynamic Cancer Therapy. Int. J. Mol. Sci. 2015, 16, 22094–22136. [Google Scholar] [CrossRef] [PubMed]
  57. Deda, D.K.; Araki, K. Nanotechnology, light and chemical action: An effective combination to kill cancer cells. J. Braz. Chem. Soc. 2015, 26, 2448–2470. [Google Scholar] [CrossRef]
  58. Hong, E.J.; Choi, D.G.; Shim, M.S. Targeted and effective photodynamic therapy for cancer using functionalized nanomaterials. Acta Pharm. Sin. B 2016, 6, 297–307. [Google Scholar] [CrossRef] [PubMed]
  59. Li, L.; Huh, K.M. Polymeric nanocarrier systems for photodynamic therapy. Biomater. Res. 2014, 18, 19. [Google Scholar] [CrossRef] [PubMed]
  60. Paszko, E.; Ehrhardt, C.; Senge, M.O.; Kelleher, D.P.; Reynolds, J.V. Nanodrug applications in photodynamic therapy. Photodiagn. Photodyn. Ther. 2011, 8, 14–29. [Google Scholar] [CrossRef] [PubMed]
  61. Maheriya, P.M. A promising candidate in enhancing oral bioavailability of poorly water soluble drugs. MOJ Bioequivalence Availab. 2016, 3, 30–63. [Google Scholar] [CrossRef]
  62. Lakkakula, J.R.; Krause, R.W.M. A vision for cyclodextrin nanoparticles in drug delivery systems and pharmaceutical applications. Nanomedicine 2014, 9, 877–894. [Google Scholar] [CrossRef] [PubMed]
  63. Chordiya Mayur, A.; Senthilkumaran, K. Cyclodextrin in drug delivery: A review. J. Pharm. Pharm. Sci. 2012, 1, 19–29. [Google Scholar]
  64. Tiwari, G.; Tiwari, R.; Rai, A.K. Cyclodextrins in delivery systems: Applications. J. Pharm. Bioallied Sci. 2010, 2, 72–79. [Google Scholar] [CrossRef] [PubMed]
  65. Zhang, J.; Ma, P.X. Cyclodextrin-based supramolecular systems for drug delivery: Recent progress and future perspective. Adv. Drug Deliv. Rev. 2013, 65, 1215–1233. [Google Scholar] [CrossRef] [PubMed]
  66. Crini, G. Review: A History of Cyclodextrins. Chem. Rev. 2014, 114, 10940–10975. [Google Scholar] [CrossRef] [PubMed]
  67. Huang, J.R.; Zhuang, H.N.; Jin, Z.Y. Cyclodextrin Chemistry; World Scientific/ChemicalIndustryPress: Beijing, China, 2013; p. 292. [Google Scholar]
  68. Loftsson, T.; Duchêne, D. Cyclodextrins and their pharmaceutical applications. Int. J. Pharm. 2007, 329, 1–11. [Google Scholar] [CrossRef] [PubMed]
  69. Fourmentin, S.; Crini, G.; Lichtfouse, E. Cyclodextrin Applications in Medicine, Food, Environment and Liquid Crystals; Springer International Publishing: Basel, Switzerland, 2015; p. 240. [Google Scholar]
  70. Hedges, A. Chapter 22—Cyclodextrins: Properties and Applications. In Starch, 3rd ed.; Academic Press: San Diego, CA, USA, 2009; pp. 833–851. [Google Scholar]
  71. Jin, Z.Y. Preparation and Application in Industry; World Scientific Publishing Co. Pte. Ltd.: Singapore, 2018; p. 285. [Google Scholar]
  72. Sharma, N.; Baldi, A. Exploring versatile applications of cyclodextrins: An overview. Drug Deliv. 2016, 23, 729–747. [Google Scholar] [CrossRef] [PubMed]
  73. Tian, G.; Ren, W.; Yan, L.; Jian, S.; Gu, Z.; Zhou, L.; Jin, S.; Yin, W.; Li, S.; Zhao, Y. Red-emitting upconverting nanoparticles for photodynamic therapy in cancer cells under near-infrared excitation. Small 2013, 9, 1928–1938. [Google Scholar] [CrossRef]
  74. Szejtli, J. Medicinal applications of cyclodextrins. Med. Res. Rev. 1994, 14, 353–386. [Google Scholar] [CrossRef] [PubMed]
  75. Akasha, A.A.; Elwahedi, M.A.; Eldeeb, A.M. Cyclodextrins and their pharmaceutical applications. PharmaTutor 2014, 2, 40–46. [Google Scholar]
  76. Di Cagno, M. The potential of cyclodextrins as novel active pharmaceutical ingredients: A short overview. Molecules 2017, 22, 1. [Google Scholar] [CrossRef] [PubMed]
  77. Jansook, P.; Ogawa, N.; Loftsson, T. Cyclodextrins: Structure, physicochemical properties and pharmaceutical applications. Int. J. Pharm. 2018, 535, 272–284. [Google Scholar] [CrossRef] [PubMed]
  78. Dos Santos, C.; Buera, P.; Mazzobre, F. Novel trends in cyclodextrins encapsulation. Applications in food science. Curr. Opin. Food Sci. 2017, 16, 106–113. [Google Scholar] [CrossRef]
  79. Fenyvesi, E.; Vikmon, M.; Szente, L. Cyclodextrins in food technology and human nutrition: Benefits and limitations. Crit. Rev. Food Sci. Nutr. 2016, 56, 1981–2004. [Google Scholar] [CrossRef] [PubMed]
  80. Kfoury, M.; Auezova, L.; Greige-Gerges, H.; Fourmentin, S. Promising applications of cyclodextrins in food: Improvement of essential oils retention, controlled release and antiradical activity. Carbohydr. Polym. 2015, 131, 264–272. [Google Scholar] [CrossRef] [PubMed]
  81. Li, Z.; Chen, S.; Gu, Z.; Chen, J.; Wu, J. Alpha-cyclodextrin: Enzymatic production and food applications. Trends Food Sci. Technol. 2014, 35, 151–160. [Google Scholar] [CrossRef]
  82. Feng, T.; Zhuang, H.; Yang, N. Applications in Cosmetics. In Cyclodextrins; World Scientific: Singapore, 2018; pp. 143–207. [Google Scholar]
  83. Chandrul, K.K. Role of macromolecules in chromatography: Cyclodextrines. J. Chem. Pharm. Res. 2011, 3, 822–828. [Google Scholar]
  84. Tang, J.; Zhang, S.; Lin, Y.; Zhou, J.; Pang, L.; Nie, X.; Zhou, B.; Tang, W. Engineering cyclodextrin clicked chiral stationary phase for high-efficiency enantiomer separation. Sci. Rep. 2015, 5, 11523. [Google Scholar] [CrossRef] [PubMed]
  85. Tang, W.; Ng, S.C.; Sun, D. Modified Cyclodextrins for Chiral Separation; Springer: Heidelberg, Germany, 2013; p. 258. [Google Scholar]
  86. Wang, Y.; Chen, H.; Xiao, Y.; Ng, C.H.; Oh, T.S.; Tan, T.T.; Ng, S.C. Preparation of cyclodextrin chiral stationary phases by organic soluble catalytic ‘click’ chemistry. Nat. Protoc. 2011, 6, 935–942. [Google Scholar] [CrossRef] [PubMed]
  87. Xiao, Y.; Ng, S.C.; Tan, T.T.; Wang, Y. Recent development of cyclodextrin chiral stationary phases and their applications in chromatography. J. Chromatogr. A 2012, 1269, 52–68. [Google Scholar] [CrossRef] [PubMed]
  88. Zhang, X.; Zhang, Y.; Armstrong, D.W. 8.10 Chromatographic Separations and Analysis: Cyclodextrin Mediated HPLC, GC and CE Enantiomeric Separations. In Comprehensive Chirality; Carreira, E.M., Yamamoto, H., Eds.; Elsevier Ltd.: New York, NY, USA, 2012; Volume 8, pp. 177–199. [Google Scholar]
  89. Bai, C.C.; Tian, B.R.; Zhao, T.; Huang, Q.; Wang, Z.Z. Cyclodextrin-catalyzed organic synthesis: Reactions, mechanisms, and applications. Molecules 2017, 22, 1475. [Google Scholar] [CrossRef] [PubMed]
  90. Bhosale, S.V.; Bhosale, S.V. beta-Cyclodextrin as a catalyst in organic synthesis. Mini-Rev. Org. Chem. 2007, 4, 231–242. [Google Scholar] [CrossRef]
  91. Hapiot, F.; Ponchel, A.; Tilloy, S.; Monflier, E. Cyclodextrins and their applications in aqueous-phase metal-catalyzed reactions. C. R. Chim. 2011, 14, 149–166. [Google Scholar] [CrossRef]
  92. Singh, M.; Sharma, R.; Banerjee, U.C. Biotechnological applications of cyclodextrins. Biotechnol. Adv. 2002, 20, 341–359. [Google Scholar] [CrossRef]
  93. Szejtli, J. The cyclodextrins and their applications in biotechnology. Carbohydr. Polym. 1990, 12, 375–392. [Google Scholar] [CrossRef]
  94. Bhaskara-Amrit, U.R.; Agrawal, P.B.; Warmoeskerken, M. Applications of β-cyclodextrins in textiles. Autex Res. J. 2011, 11, 94–101. [Google Scholar]
  95. Voncina, B.; Vivod, V. Cyclodextrins in Textile Finishing; Intech Open Science: Valencia, Spain, 2013; Volume 3, pp. 53–75. [Google Scholar]
  96. Xu, J. Applications in the Textile Industry. In Cyclodextrins; Jin, Z.-Y., Ed.; World Scientific: Singapore, 2018; pp. 209–230. [Google Scholar]
  97. Krause, R.W.M.; Mamba, B.B.; Bambo, F.M.; Malefetse, T.J. 9. Cyclodextrin polymers: Synthesis and application in water treatment. In Cyclodextrins: Chemistry and Physics; Hu, J., Ed.; Transworld Research Network: Kerala, India, 2010; pp. 1–25. [Google Scholar]
  98. Morin-Crini, N.; Crini, G. Environmental applications of water-insoluble β-cyclodextrin-epichlorohydrin polymers. Prog. Polym. Sci. 2013, 38, 344–368. [Google Scholar] [CrossRef]
  99. Cheirsilp, B.; Rakmai, J. Inclusion complex formation of cyclodextrin with its guest and their applications. Biol. Eng. Med. 2016, 2, 1–6. [Google Scholar] [CrossRef]
  100. Das, S.K.; Rajabalaya, R.; David, S.; Gani, N.; Khanam, J.; Nanda, A. Cyclodextrins—The molecular container. Res. J. Pharm. Biol. Chem. Sci. 2013, 4, 1694–1720. [Google Scholar]
  101. Dodziuk, H. Molecules with Holes—Cyclodextrins. In Cyclodextrins and Their Complexes: Chemistry, Analytical Methods, Applications; Dodziuk, H., Ed.; Wiley-VCH Verlag GmbH & Co. KGaA: Weinheim, Germany, 2006; pp. 1–30. [Google Scholar]
  102. Patil, J.S.; Kadam, D.V.; Marapur, S.C.; Kamalapur, M.V. Inclusion complex system; a noveltechnique to improve the solubility and bioavailability of poorly soluble drugs: A review. Int. J. Pharm. Sci. Rev. Res. 2010, 2, 29–34. [Google Scholar]
  103. Zarzycki, P.K.; Fenert, B.; Głód, B.K. 17—Cyclodextrins-based nanocomplexes for encapsulation of bioactive compounds in food, cosmetics, and pharmaceutical products: Principles of supramolecular complexes formation, their influence on the antioxidative properties of target chemicals, and recent advances in selected industrial applications A2—Grumezescu, Alexandru Mihai. In Encapsulations; Grumezescu, A.M., Ed.; Academic Press: Cambridge, MA, USA, 2016; Volume 2, pp. 717–767. [Google Scholar]
  104. Iacovino, R.; Caso, J.V.; Donato, C.D.; Malgieri, G.; Palmieri, M.; Russo, L.; Isernia, C. Cyclodextrins as complexing agents: Preparation and applications. Curr. Org. Chem. 2017, 21, 162–176. [Google Scholar] [CrossRef]
  105. Cramer, F.; Saenger, W.; Spatz, H.C. Inclusion compounds. XIX.1a The formation of inclusion compounds of beta-cyclodextrin in aqueous solutions. Thermodynamics and kinetics. J. Am. Chem. Soc. 1967, 89, 14–20. [Google Scholar] [CrossRef]
  106. Gidwani, B.; Vyas, A. A comprehensive review on cyclodextrin-based carriers for oelivery of Chemotherapeutic Cytotoxic Anticancer Drugs. BioMed Res. Int. 2015, 2015, 15. [Google Scholar] [CrossRef] [PubMed]
  107. Morgan, A.R.; Garbo, G.B.; Sehker, P.; Selman, S.H. Cyclodextrin for administration of anti-cancer agents. In Proceedings of the Sixth International Cyclodextrin Symposium, Chicago, IL, USA, 21–24 April 1992. [Google Scholar]
  108. Guo, X.L.; An, W.T.; Shuang, S.M.; Cheng, F.Q.; Dong, C. Study on spectroscopic characterization of meso-tetrakis (4-hydroxyphenyl) porphyrin (THPP) in β-cyclodextrin and its derivatives. J. Photochem. Photobiol. A Chem. 2005, 173, 258–263. [Google Scholar] [CrossRef]
  109. Desroches, M.C.; Kasselouri, A.; Bourdon, O.; Chaminade, P.; Blais, J.; Prognon, P. A direct sensitized fluorimetric determination of 5,10,15,20-tetra(m-hydroxyphenyl)chlorin [m-THPC (Foscan)(R)] in human plasma using a cyclodextrin inclusion complex. Analyst 2001, 126, 923–927. [Google Scholar] [CrossRef] [PubMed]
  110. Mosinger, J.; Deumié, M.; Lang, K.; Kubát, P.; Wagnerová, D.M. Supramolecular sensitizer: Complexation of meso-tetrakis(4-sulfonatophenyl)porphyrin with 2-hydroxypropyl-cyclodextrins. J. Photochem. Photobiol. A Chem. 2000, 130, 13–20. [Google Scholar] [CrossRef]
  111. Mosinger, J.; Kliment, V.; Sejbal, J.; Kubát, P.; Lang, K. Host-guest complexes of anionic porphyrin sensitizers with cyclodextrins. J. Porphyr. Phthalocyanines 2002, 6, 514–526. [Google Scholar] [CrossRef]
  112. Tau, P.; Ogunsipe, A.O.; Maree, S.; Maree, M.D.; Nyokong, T. Influence of cyclodextrins on the fluorescence, photostability and singlet oxygen quantum yields of zinc phthalocyanine and naphthalocyanine complexes. J. Porphyr. Phthalocyanines 2003, 07, 439–446. [Google Scholar] [CrossRef]
  113. Valeron Bergh, V.J.; Hjorth Tonnesen, H. Interaction between the photosensitizer lumichrome and human serum albumin: Effect of excipients. Pharm. Dev. Technol. 2017, 22, 992–1000. [Google Scholar] [CrossRef] [PubMed]
  114. Ribó, J.M.; Farrera, J.-A.; Valero, M.L.; Virgili, A. Self-assembly of cyclodextrins with meso-tetrakis(4-sulfonatophenyl)porphyrin in aqueous solution. Tetrahedron 1995, 51, 3705–3712. [Google Scholar] [CrossRef]
  115. Dai, X.H.; Dong, C.M.; Fa, H.B.; Yan, D.Y.; Wei, Y. Supramolecular polypseudorotaxanes composed of star-shaped porphyrin-cored poly(epsilon-caprolactone) and α-cyclodextrin. Biomacromolecules 2006, 7, 3527–3533. [Google Scholar] [CrossRef] [PubMed]
  116. Ikeda, A.; Hino, S.; Mae, T.; Tsuchiya, Y.; Sugikawa, K.; Tsukamoto, M.; Yasuhara, K.; Shigeto, H.; Funabashi, H.; Kuroda, A.; et al. Porphyrin-uptake in liposomes and living cells using an exchange method with cyclodextrin. RSC Adv. 2015, 5, 105279–105287. [Google Scholar] [CrossRef]
  117. Arun, K.T.; Jayaram, D.T.; Avirah, R.R.; Ramaiah, D. β-Cyclodextrin as a photosensitizer carrier: Effect on photophysical properties and chemical reactivity of squaraine dyes. J. Phys. Chem. B 2011, 115, 7122–7128. [Google Scholar] [CrossRef] [PubMed]
  118. Karar, M.; Paul, S.; Mallick, A.; Majumdar, T. Shipment of a photodynamic therapy agent into model membrane and its controlled release: A photophysical approach. Chem. Phys. Lipids 2018, 210, 122–128. [Google Scholar] [CrossRef] [PubMed]
  119. Sortino, S.; Scaiano, J.C.; De Guidi, G.; Monti, S. Effect of β-cyclodextrin complexation on the photochemical and photosensitizing properties of tolmetin: A steady-state and time-resolved study. Photochem. Photobiol. 1999, 70, 549–556. [Google Scholar] [PubMed]
  120. Kolarova, H.; Mosinger, J.; Lenobel, R.; Kejlova, K.; Jirova, D.; Strnad, M. In vitro toxicity testing of supramolecular sensitizers for photodynamic therapy. Toxicol. In Vitro 2003, 17, 775–778. [Google Scholar] [CrossRef]
  121. Kolarova, H.; Macecek, J.; Nevrelova, P.; Huf, M.; Tomecka, M.; Bajgar, R.; Mosinger, J.; Strnad, M. Photodynamic therapy with zinc-tetra(p-sulfophenyl)porphyrin bound to cyclodextrin induces single strand breaks of cellular DNA in G361 melanoma cells. Toxicol. In Vitro 2005, 19, 971–974. [Google Scholar] [CrossRef] [PubMed]
  122. Leng, X.B.; Choi, C.F.; Lo, P.C.; Ng, D.K.P. Assembling a mixed phthalocyanine-porphyrin array in aqueous media through host-guest interactions. Org. Lett. 2007, 9, 231–234. [Google Scholar] [CrossRef] [PubMed]
  123. Silva, A.R.A.; Simioni, A.R.; Tedesco, A.C. Photophysical and complexation studies of chloro-aluminum phthalocyanine with β-cyclodextrin and hydroxypropyl-β-cyclodextrin. J. Nanosci. Nanotechnol. 2011, 11, 4046–4055. [Google Scholar] [CrossRef] [PubMed]
  124. Lu, S.; Ma, Y.J.; Xuan, H.Y.; Wang, A.; Zhao, B.; Li, X.D.; Zhou, J.H.; Lin, Y.; Zhou, L.; Wei, S.H. A novel assembling complex of hydrobobic phthalocyanine-cyclodextrin: Preparation, characterization, molecular modeling, and in vitro activity. RSC Adv. 2014, 4, 59759–59763. [Google Scholar] [CrossRef]
  125. Lu, S.; Wang, A.; Ma, Y.J.; Xuan, H.Y.; Zhao, B.; Li, X.D.; Zhou, J.H.; Zhou, L.; Wei, S.H. Cyclodextrin type dependent host-guest interaction mode with phthalocyanine and their influence on photodynamic activity to cancer. Carbohydr. Polym. 2016, 148, 236–242. [Google Scholar] [CrossRef] [PubMed]
  126. Paul, S.; Heng, P.W.S.; Chan, L.W. pH-dependent complexation of hydroxypropyl-β-cyclodextrin with chlorin e6: Effect on solubility and aggregation in relation to photodynamic efficacy. J. Pharm. Pharmacol. 2015, 68, 439–449. [Google Scholar] [CrossRef] [PubMed]
  127. Yankovsky, I.; Bastien, E.; Yakavets, I.; Khludeyev, I.; Lassalle, H.P.; Gräfe, S.; Bezdetnaya, L.; Zorin, V. Inclusion complexation with β-cyclodextrin derivatives alters photodynamic activity and biodistribution of meta-tetra(hydroxyphenyl)chlorin. Eur. J. Pharm. Sci. 2016, 91, 172–182. [Google Scholar] [CrossRef] [PubMed]
  128. Yakavets, I.; Yankovsky, I.; Millard, M.; Lamy, L.; Lassalle, H.P.; Wiehe, A.; Zorin, V.; Bezdetnaya, L. The alteration of temoporfin distribution in multicellular tumor spheroids by b-cyclodextrins. Int. J. Pharm. 2017, 529, 568–575. [Google Scholar] [CrossRef] [PubMed]
  129. Ikeda, A.; Satake, S.; Mae, T.; Ueda, M.; Sugikawa, K.; Shigeto, H.; Funabashi, H.; Kuroda, A. Photodynamic activities of porphyrin derivative-cyclodextrin complexes by photoirradiation. ACS Med. Chem. Lett. 2017, 8, 555–559. [Google Scholar] [CrossRef] [PubMed]
  130. Yano, S.; Hirohara, S.; Obata, M.; Hagiya, Y.; Ogura, S.; Ikeda, A.; Kataoka, H.; Tanaka, M.; Joh, T. Current states and future views in photodynamic therapy. J. Photochem. Photobiol. C 2011, 12, 46–67. [Google Scholar] [CrossRef]
  131. Bruzell, E.M.; Morisbak, E.; Tonnesen, H.H. Studies on curcumin and curcuminoids. XXIX. Photoinduced cytotoxicity of curcumin in selected aqueous preparations. Photochem. Photobiol. Sci. 2005, 4, 523–530. [Google Scholar] [CrossRef] [PubMed]
  132. Zhang, L.M.; Dong, X.P.; Lu, D.; Liu, S.H.; Ding, D.; Kong, D.L.; Fan, A.P.; Wang, Z.; Zhao, Y.J. Controlled ROS production by corannulene: The vehicle makes a difference. Biomater. Sci. 2017, 5, 1236–1240. [Google Scholar] [CrossRef] [PubMed]
  133. Ruebner, A.; Kirsch, D.; Andrees, S.; Decker, W.; Roeder, B.; Spengler, B.; Kaufmann, R.; Moser, J.G. Dimeric cyclodextrin carriers with high binding affinity to porphyrinoid photosensitizers. J. Incl. Phenom. Mol. Recognit. Chem. 1997, 27, 69–84. [Google Scholar] [CrossRef]
  134. Ruebner, A.; Moser, J.G.; Kirsch, D.; Spengler, B.; Andrees, S.; Roehrs, S. Synthesis of β-cyclodextrin dimers as carrier systems for photodynamic therapy of cancer. J. Incl. Phenom. Mol. Recognit. Chem. 1996, 25, 35–38. [Google Scholar] [CrossRef]
  135. Ruebner, A.; Yang, Z.W.; Leung, D.; Breslow, R. A cyclodextrin dimer with a photocleavable linker as a possible carrier for the photosensitizer in photodynamic tumor therapy. Proc. Natl. Acad. Sci. USA 1999, 96, 14692–14693. [Google Scholar] [CrossRef] [PubMed]
  136. Baugh, S.D.; Yang, Z.; Leung, D.K.; Wilson, D.M.; Breslow, R. Cyclodextrin dimers as cleavable carriers of photodynamic sensitizers. J. Am. Chem. Soc. 2001, 123, 12488–12494. [Google Scholar] [CrossRef] [PubMed]
  137. Kirejev, V.; Goncalves, A.R.; Aggelidou, C.; Manet, I.; Martensson, J.; Yannakopoulou, K.; Ericson, M.B. Photophysics and ex vivo biodistribution of β-cyclodextrin-meso-tetra(m-hydroxyphenyl)-porphyrin conjugate for biomedical applications. Photochem. Photobiol. Sci. 2014, 13, 1185–1191. [Google Scholar] [CrossRef] [PubMed]
  138. Liu, G.; Xu, X.; Chen, Y.; Wu, X.; Wu, H.; Liu, Y. A highly efficient supramolecular photoswitch for singlet oxygen generation in water. Chem. Commun. 2016, 52, 7966–7969. [Google Scholar] [CrossRef] [PubMed]
  139. Králová, J.; Synytsya, A.; Pouckova, P.; Koc, M.; Dvorak, M.; Kral, V. Novel porphyrin conjugates with a potent photodynamic antitumor effect: Differential efficacy of mono- and bis-β-cyclodextrin derivatives in vitro and in vivo. Photochem. Photobiol. 2006, 82, 432–438. [Google Scholar] [CrossRef] [PubMed]
  140. Králová, J.; Kejik, Z.; Briza, T.; Pouckova, P.; Kral, A.; Martasek, P.; Kral, V. Porphyrin-cyclodextrin conjugates as a nanosystem for versatile drug delivery and multimodal cancer therapy. J. Med. Chem. 2010, 53, 128–138. [Google Scholar] [CrossRef] [PubMed]
  141. Kejik, Z.; Briza, T.; Kralova, J.; Pouckova, P.; Kral, A.; Martasek, P.; Kral, V. Coordination conjugates of therapeutic proteins with drug carriers: A new approach for versatile advanced drug delivery. Bioorg. Med. Chem. Lett. 2011, 21, 5514–5520. [Google Scholar] [CrossRef] [PubMed]
  142. Lau, J.T.F.; Lo, P.C.; Fong, W.P.; Ng, D.K.P. Preparation and photodynamic activities of silicon(IV) phthalocyanines substituted with permethylated β-cyclodextrins. Chem. Eur. J. 2011, 17, 7569–7577. [Google Scholar] [CrossRef] [PubMed]
  143. Lau, J.T.F.; Lo, P.C.; Tsang, Y.M.; Fong, W.P.; Ng, D.K.P. Unsymmetrical β-cyclodextrin-conjugated silicon(IV) phthalocyanines as highly potent photosensitisers for photodynamic therapy. Chem. Commun. 2011, 47, 9657–9659. [Google Scholar] [CrossRef] [PubMed]
  144. Aggelidou, C.; Theodossiou, T.A.; Yannakopoulou, K. Protoporphyrin IX-β-cyclodextrin bimodal conjugate: Nanosized drug transporter and potent phototoxin. Photochem. Photobiol. 2013, 89, 1011–1019. [Google Scholar] [CrossRef] [PubMed]
  145. Fraix, A.; Goncalves, A.R.; Cardile, V.; Graziano, A.C.; Theodossiou, T.A.; Yannakopoulou, K.; Sortino, S. A multifunctional bichromophoric nanoaggregate for fluorescence imaging and simultaneous photogeneration of RNOS and ROS. Chem. Asian J. 2013, 8, 2634–2641. [Google Scholar] [CrossRef] [PubMed]
  146. Theodossiou, T.A.; Goncalves, A.R.; Yannakopoulou, K.; Skarpen, E.; Berg, K. Photochemical internalization of tamoxifens transported by a “Trojan-horse” nanoconjugate into breast-cancer cell lines. Angew. Chem. Int. Ed. Engl. 2015, 54, 4885–4889. [Google Scholar] [CrossRef] [PubMed]
  147. Lourenço, L.M.O.; Pereira, P.M.R.; Maciel, E.; Valega, M.; Domingues, F.M.J.; Domingues, M.R.M.; Neves, M.; Cavaleiro, J.A.S.; Fernandes, R.; Tome, J.P.C. Amphiphilic phthalocyanine-cyclodextrin conjugates for cancer photodynamic therapy. Chem. Commun. 2014, 50, 8363–8366. [Google Scholar] [CrossRef] [PubMed]
  148. Barata, J.F.B.; Zamarron, A.; Neves, M.; Faustino, M.A.F.; Tome, A.C.; Cavaleiro, J.A.S.; Roder, B.; Juarranz, A.; Sanz-Rodriiguez, F. Photodynamic effects induced by meso-tris(pentafluorophenyl)corrole and its cyclodextrin conjugates on cytoskeletal components of HeLa cells. Eur. J. Med. Chem. 2015, 92, 135–144. [Google Scholar] [CrossRef] [PubMed]
  149. Ou, Z.Z.; Chen, J.R.; Wang, X.S.; Zhang, B.W.; Cao, Y. Synthesis of a water-soluble cyclodextrin modified hypocrellin and ESR study of its photodynamic therapy properties. New J. Chem. 2002, 26, 1130–1136. [Google Scholar] [CrossRef]
  150. Cao, G.J.; Rong, R.X.; Wang, Y.N.; Xu, Q.; Wang, K.R.; Li, X.L. Synthesis and photodynamic therapy of mono-mannose modified perylene bisimide bridged permethyl-b-CDs. Dyes Pigments 2017, 136, 569–576. [Google Scholar] [CrossRef]
  151. Mazzaglia, A. Photodynamic tumor therapy with cyclodextrin nanoassemblies. In Cyclodextrins in Pharmaceutics, Cosmetics, and Biomedicine; John Wiley & Sons, Inc.: Hoboken, NJ, USA, 2011; pp. 343–361. [Google Scholar]
  152. Mazzaglia, A.; Micali, N.; Scolaro, L.M.; Sciortino, M.T.; Sortino, S.; Villari, V. Design of photosensitizer/cyclodextrin nanoassemblies: Spectroscopy, intracellular delivery and photodamage. J. Porphyr. Phthalocyanines 2010, 14, 661–677. [Google Scholar] [CrossRef]
  153. Mendez-Ardoy, A.; Urbiola, K.; Aranda, C.; Ortiz-Mellet, C.; Garcia-Fernandez, J.M.; de Ilarduya, C.T. Polycationic amphiphilic cyclodextrin-based nanoparticles for therapeutic gene delivery. Nanomedicine 2011, 6, 1697–1707. [Google Scholar] [CrossRef] [PubMed]
  154. Parrot-Lopez, H.; Perret, F.; Bertino-Ghera, B. Amphiphilic cyclodextrins and their applications. Preparation of nanoparticles based on amphiphilic cyclodextrins for biomedical applications. Ann. Pharm. Fr. 2010, 68, 12–26. [Google Scholar] [CrossRef] [PubMed]
  155. Zerkoune, L.; Angelova, A.; Lesieur, S. Nano-assemblies of modified cyclodextrins and their complexes with guest molecules: Incorporation in nanostructured membranes and amphiphile nanoarchitectonics design. Nanomaterials 2014, 4, 741–765. [Google Scholar] [CrossRef] [PubMed]
  156. Bonnet, V.; Gervaise, C.; Djedaini-Pilard, F.; Furlan, A.; Sarazin, C. Cyclodextrin nanoassemblies: A promising tool for drug delivery. Drug Discov. Today 2015, 20, 1120–1126. [Google Scholar] [CrossRef] [PubMed]
  157. Varan, G.; Varan, C.; Erdogar, N.; Hincal, A.A.; Bilensoy, E. Amphiphilic cyclodextrin nanoparticles. Int. J. Pharm. 2017, 531, 457–469. [Google Scholar] [CrossRef] [PubMed]
  158. Roux, M.; Perly, B.; Djedaini-Pilard, F. Self-assemblies of amphiphilic cyclodextrins. Eur. Biophys. J. 2007, 36, 861–867. [Google Scholar] [CrossRef] [PubMed]
  159. Sallas, F.; Darcy, R. Amphiphilic cyclodextrins—Advances in synthesis and supramolecular chemistry. Eur. J. Org. Chem. 2008, 2008, 957–969. [Google Scholar] [CrossRef]
  160. Sun, T.; Guo, Q.; Zhang, C.; Hao, J.; Xing, P.; Su, J.; Li, S.; Hao, A.; Liu, G. Self-assembled vesicles prepared from amphiphilic cyclodextrins as drug carriers. Langmuir 2012, 28, 8625–8636. [Google Scholar] [CrossRef] [PubMed]
  161. Jabbari, A.; Sadeghian, H. Amphiphilic cyclodextrins, synthesis, utilities and application of molecular modeling in their design. In Recent Advances in Novel Drug Carrier Systems; Intech Open Sciences: London, UK, 2012; pp. 332–354. [Google Scholar]
  162. Mazzaglia, A.; Angelini, N.; Darcy, R.; Donohue, R.; Lombardo, D.; Micali, N.; Sciortino, M.T.; Villari, V.; Scolaro, L.M. Novel heterotopic colloids of anionic porphyrins entangled in cationic amphiphilic cyclodextrins: Spectroscopic investigation and intracellular delivery. Chem. Eur. J. 2003, 9, 5762–5769. [Google Scholar] [CrossRef] [PubMed]
  163. Mazzaglia, A.; Angelini, N.; Lombardo, D.; Micali, N.; Patane, S.; Villari, V.; Scolaro, L.M. Amphiphilic cyclodextrin carriers embedding porphyrins: Charge and size modulation of colloidal stability in heterotopic aggregates. J. Phys. Chem. B 2005, 109, 7258–7265. [Google Scholar] [CrossRef] [PubMed]
  164. Sortino, S.; Mazzaglia, A.; Scolaro, L.M.; Merlo, F.M.; Valveri, V.; Sciortino, M.T. Nanoparticles of cationic amphiphilic cyclodextrins entangling anionic porphyrins as carrier-sensitizer system in photodynamic cancer therapy. Biomaterials 2006, 27, 4256–4265. [Google Scholar] [CrossRef] [PubMed]
  165. Mazzaglia, A.; Valerio, A.; Micali, N.; Villari, V.; Quaglia, F.; Castriciano, M.A.; Scolaro, L.M.; Giuffre, M.; Siracusano, G.; Sciortino, M.T. Effective cell uptake of nanoassemblies of a fluorescent amphiphilic cyclodextrin and an anionic porphyrin. Chem. Commun. 2011, 47, 9140–9142. [Google Scholar] [CrossRef] [PubMed]
  166. Conte, C.; Scala, A.; Siracusano, G.; Leone, N.; Patane, S.; Ungaro, F.; Miro, A.; Sciortino, M.T.; Quaglia, F.; Mazzaglia, A. Nanoassembly of an amphiphilic cyclodextrin and Zn(II)-phthalocyanine with the potential for photodynamic therapy of cancer. RSC Adv. 2014, 4, 43903–43911. [Google Scholar] [CrossRef]
  167. Conte, C.; Scala, A.; Siracusano, G.; Sortino, G.; Pennisi, R.; Piperno, A.; Miro, A.; Ungaro, F.; Sciortino, M.T.; Quaglia, F.; et al. Nanoassemblies based on non-ionic amphiphilic cyclodextrin hosting Zn(II)-phthalocyanine and docetaxel: Design, physicochemical properties and intracellular effects. Colloids Surf. B Biointerfaces 2016, 146, 590–597. [Google Scholar] [CrossRef] [PubMed]
  168. Mazzaglia, A.; Micali, N.; Villari, V.; Zagami, R.; Pennisi, R.M.; Mellet, C.O.; Fernandez, J.M.G.; Sciortino, M.T.; Scolaro, L.M. A novel potential nanophototherapeutic based on the assembly of an amphiphilic cationic β-cyclodextrin and an anionic porphyrin. J. Porphyr. Phthalocyanines 2017, 21, 398–405. [Google Scholar] [CrossRef]
  169. Chen, X.; Chen, L.; Yao, X.; Zhang, Z.; He, C.; Zhang, J.; Chen, X. Dual responsive supramolecular nanogels for intracellular drug delivery. Chem. Commun. 2014, 50, 3789–3791. [Google Scholar] [CrossRef] [PubMed]
  170. Martin, C.; Aibani, N.; Callan, J.F.; Callan, B. Recent advances in amphiphilic polymers for simultaneous delivery of hydrophobic and hydrophilic drugs. Ther. Deliv. 2016, 7, 15–31. [Google Scholar] [CrossRef] [PubMed]
  171. Zhang, W.; Li, Y.; Sun, J.-H.; Tan, C.-P.; Ji, L.-N.; Mao, Z.-W. Supramolecular self-assembled nanoparticles for chemo-photodynamic dual therapy against cisplatin resistant cancer cells. Chem. Commun. 2015, 51, 1807–1810. [Google Scholar] [CrossRef] [PubMed]
  172. Antoniuk, I.; Amiel, C. Cyclodextrin- mediated hierarchical self- assembly and its potential in drug delivery applications. J. Pharm. Sci. 2016, 105, 2570–2588. [Google Scholar] [CrossRef] [PubMed]
  173. Xiong, H.; Zhou, D.; Zheng, X.; Qi, Y.; Wang, Y.; Jing, X.; Huang, Y. Stable amphiphilic supramolecular self-assembly based on cyclodextrin and carborane for the efficient photodynamic therapy. Chem. Commun. 2017, 53, 3422–3425. [Google Scholar] [CrossRef] [PubMed]
  174. Voskuhl, J.; Kauscher, U.; Gruener, M.; Frisch, H.; Wibbeling, B.; Strassert, C.A.; Ravoo, B.J. A soft supramolecular carrier with enhanced singlet oxygen photosensitizing properties. Soft Matter 2013, 9, 2453–2457. [Google Scholar] [CrossRef]
  175. Kauscher, U.; Ravoo, B.J. A self-assembled cyclodextrin nanocarrier for photoreactive squaraine. Beilstein J. Org. Chem. 2016, 12, 2535–2542. [Google Scholar] [CrossRef] [PubMed]
  176. Wintgens, V.; Layre, A.M.; Hourdet, D.; Amiel, C. Cyclodextrin polymer nanoassemblies: Strategies for stability improvement. Biomacromolecules 2012, 13, 528–534. [Google Scholar] [CrossRef] [PubMed]
  177. Fraix, A.; Gref, R.; Sortino, S. A multi-photoresponsive supramolecular hydrogel with dual-color fluorescence and dual-modal photodynamic action. J. Mater. Chem. B 2014, 2, 3443–3449. [Google Scholar] [CrossRef]
  178. Kandoth, N.; Kirejev, V.; Monti, S.; Gref, R.; Ericson, M.B.; Sortino, S. Two-photon fluorescence imaging and bimodal phototherapy of epidermal cancer cells with biocompatible self-assembled polymer nanoparticles. Biomacromolecules 2014, 15, 1768–1776. [Google Scholar] [CrossRef] [PubMed]
  179. Lee, J.M.; Oh, K.T.; Youn, Y.S.; Lee, E.S. Highly enhanced phototoxicity of chlorin e6-conjugated poly(β-cyclodextrin) with gas forming capacity at an acidic tumor extracellular pH and its in vitro evaluation. Polym. Adv. Technol. 2015, 27, 162–168. [Google Scholar] [CrossRef]
  180. Kirakci, K.; Šícha, V.; Holub, J.; Kubát, P.; Lang, K. Luminescent hydrogel particles prepared by self-assembly of β-cyclodextrin polymer and octahedral molybdenum cluster complexes. Inorg. Chem. 2014, 53, 13012–13018. [Google Scholar] [CrossRef] [PubMed]
  181. Liu, F.; Ma, Y.F.; Xu, L.; Liu, L.C.; Zhang, W.A. Redox-responsive supramolecular amphiphiles constructed via host-guest interactions for photodynamic therapy. Biomater. Sci. 2015, 3, 1218–1227. [Google Scholar] [CrossRef] [PubMed]
  182. Tong, H.; Chen, Y.; Li, Z.; Li, H.; Chen, T.; Jin, Q.; Ji, J. Glutathione activatable photosensitizer-conjugated pseudopolyrotaxane nanocarriers for photodynamic theranostics. Small 2016, 12, 6223–6232. [Google Scholar] [CrossRef] [PubMed]
  183. Xu, T.T.; Li, J.H.; Cheng, F.R.; Zhang, Y.X.; Cao, J.; Gao, W.X.; He, B. Fabrication of a polypseudorotaxane nanoparticle with synergistic photodynamic and chemotherapy. Chin. Chem. Lett. 2017, 28, 1885–1888. [Google Scholar] [CrossRef]
  184. Jin, H.; Dai, X.-H.; Wu, C.; Pan, J.-M.; Wang, X.-H.; Yan, Y.-S.; Liu, D.-M.; Sun, L. Rational design of shear-thinning supramolecular hydrogels with porphyrin for controlled chemotherapeutics release and photodynamic therapy. Eur. Polym. J. 2015, 66, 149–159. [Google Scholar] [CrossRef]
  185. Wang, C.; Tao, H.; Cheng, L.; Liu, Z. Near-infrared light induced in vivo photodynamic therapy of cancer based on upconversion nanoparticles. Biomaterials 2011, 32, 6145–6154. [Google Scholar] [CrossRef] [PubMed]
  186. Detty, M.R.; Gibson, S.L.; Wagner, S.J. Current clinical and preclinical photosensitizers for use in photodynamic therapy. J. Med. Chem. 2004, 47, 3897–3915. [Google Scholar] [CrossRef] [PubMed]
  187. Weissleder, R.; Ntziachristos, V. Shedding light onto live molecular targets. Nat. Med. 2003, 9, 123–128. [Google Scholar] [CrossRef] [PubMed]
  188. Lovell, J.F.; Liu, T.W.; Chen, J.; Zheng, G. Activatable photosensitizers for imaging and therapy. Chem. Rev. 2010, 110, 2839–2857. [Google Scholar] [CrossRef] [PubMed]
  189. Auzel, F. Upconversion and anti-Stokes processes with f and d ions in solids. Chem. Rev. 2004, 104, 139–174. [Google Scholar] [CrossRef] [PubMed]
  190. Haase, M.; Schafer, H. Upconverting nanoparticles. Angew. Chem. Int. Ed. Engl. 2011, 50, 5808–5829. [Google Scholar] [CrossRef] [PubMed]
  191. Wang, F.; Liu, X. Recent advances in the chemistry of lanthanide-doped upconversion nanocrystals. Chem. Soc. Rev. 2009, 38, 976–989. [Google Scholar] [CrossRef] [PubMed]
  192. Wang, A.; Jin, W.; Chen, E.; Zhou, J.; Zhou, L.; Wei, S. Drug delivery function of carboxymethyl-β-cyclodextrin modified upconversion nanoparticles for adamantine phthalocyanine and their NIR-triggered cancer treatment. Dalton Trans. 2016, 45, 3853–3862. [Google Scholar] [CrossRef] [PubMed]
  193. Wang, H.; Han, R.L.; Yang, L.M.; Shi, J.H.; Liu, Z.J.; Hu, Y.; Wang, Y.; Liu, S.J.; Gan, Y. Design and synthesis of core-shell-shell upconversion nanoparticles for NIR-induced drug release, photodynamic therapy, and cell imaging. ACS Appl. Mater. Interfaces 2016, 8, 4416–4423. [Google Scholar] [CrossRef] [PubMed]
  194. Han, R.; Shi, J.; Liu, Z.; Wang, H.; Wang, Y. Fabrication of mesoporous-silica-coated upconverting nanoparticles with ultrafast photosensitizer loading and 808 nm NIR-light-triggering capability for photodynamic therapy. Chem. Asian J. 2017, 12, 2197–2201. [Google Scholar] [CrossRef] [PubMed]
  195. Dong, H.; Li, Y.; Wen, H.; Xu, M.; Liu, L.; Li, Z.; Guo, F.; Shi, D. Highly efficient drug delivery nanosystem via L-phenylalanine triggering based on supramolecular polymer micelles. Macromol. Rapid Commun. 2011, 32, 540–545. [Google Scholar] [CrossRef] [PubMed]
  196. Ma, X.; Sreejith, S.; Zhao, Y.L. Spacer intercalated disassembly and photodynamic activity of zinc phthalocyanine inside nanochannels of mesoporous silica nanoparticles. ACS Appl. Mater. Interfaces 2013, 5, 12860–12868. [Google Scholar] [CrossRef] [PubMed]
  197. Trapani, M.; Romeo, A.; Parisi, T.; Sciortino, M.T.; Patane, S.; Villari, V.; Mazzaglia, A. Supramolecular hybrid assemblies based on gold nanoparticles, amphiphilic cyclodextrin and porphyrins with combined phototherapeutic action. RSC Adv. 2013, 3, 5607–5614. [Google Scholar] [CrossRef]
  198. Xu, Y.Q.; Wang, L.; Zhu, X.Y.; Wang, C.Q. Hierarchical self-assembly of protoporphyrin IX-bridged Janus particles into photoresponsive vesicles. RSC Adv. 2016, 6, 31053–31058. [Google Scholar] [CrossRef]
  199. Kroto, H.W.; Heath, J.R.; O’Brien, S.C.; Curl, R.F.; Smalley, R.E. C60: Buckminsterfullerene. Nature 1985, 318, 162. [Google Scholar] [CrossRef]
  200. Bosi, S.; Da Ros, T.; Spalluto, G.; Prato, M. Fullerene derivatives: An attractive tool for biological applications. Eur. J. Med. Chem. 2003, 38, 913–923. [Google Scholar] [CrossRef] [PubMed]
  201. Bakry, R.; Vallant, R.M.; Najam-ul-Haq, M.; Rainer, M.; Szabo, Z.; Huck, C.W.; Bonn, G.K. Medicinal applications of fullerenes. Int. J. Nanomed. 2007, 2, 639–649. [Google Scholar]
  202. Dellinger, A.; Zhou, Z.; Connor, J.; Madhankumar, A.B.; Pamujula, S.; Sayes, C.M.; Kepley, C.L. Application of fullerenes in nanomedicine: An update. Nanomedicine 2013, 8, 1191–1208. [Google Scholar] [CrossRef] [PubMed]
  203. Thakral, S.; Thakral, N.K. Potential medical applications of fullerenes: An overview. In Bio-Nanotechnology: A Revolution in Food, Biomedical and Health Sciences; Blackwell Publishing Ltd.: Oxford, UK, 2013; pp. 424–441. [Google Scholar]
  204. Medicinal Chemistry and Pharmacological Potential of Fullerenes and Carbon Nanotubes; Cataldo, F., da Ros, T., Eds.; Springer: Dordrecht, The Netherlands, 2008; p. 408. [Google Scholar]
  205. Huang, Y.-Y.; Sharma, S.K.; Yin, R.; Agrawal, T.; Chiang, L.Y.; Hamblin, M.R. Functionalized Fullerenes in Photodynamic Therapy. J. Biomed. Nanotechnol. 2014, 10, 1918–1936. [Google Scholar] [CrossRef] [PubMed]
  206. Mroz, P.; Tegos, G.P.; Gali, H.; Wharton, T.; Sarna, T.; Hamblin, M.R. Photodynamic therapy with fullerenes. Photochem. Photobiol. Sci. 2007, 6, 1139–1149. [Google Scholar] [CrossRef] [PubMed]
  207. Mroz, P.; Tegos, G.P.; Gali, H.; Wharton, T.; Sarna, T.; Hamblin, M.R. Fullerenes as Photosensitizers in Photodynamic Therapy. In Medicinal Chemistry and Pharmacological Potential of Fullerenes and Carbon Nanotubes; Cataldo, F., Da Ros, T., Eds.; Springer: Dordrecht, The Netherlands, 2008; pp. 79–106. [Google Scholar]
  208. Sharma, S.K.; Chiang, L.Y.; Hamblin, M.R. Photodynamic therapy with fullerenes in vivo: Reality or a dream? Nanomedicine 2011, 6, 1813–1825. [Google Scholar] [CrossRef] [PubMed]
  209. Hotze, E.M.; Labille, J.; Alvarez, P.; Wiesner, M.R. Mechanisms of photochemistry and reactive oxygen production by fullerene suspensions in water. Environ. Sci. Technol. 2008, 42, 4175–4180. [Google Scholar] [CrossRef] [PubMed]
  210. Ikeda, A.; Mae, T.; Ueda, M.; Sugikawa, K.; Shigeto, H.; Funabashi, H.; Kuroda, A.; Akiyama, M. Improved photodynamic activities of liposome-incorporated [60]fullerene derivatives bearing a polar group. Chem. Commun. 2017, 53, 2966–2969. [Google Scholar] [CrossRef] [PubMed]
  211. Doi, Y.; Ikeda, A.; Akiyama, M.; Nagano, M.; Shigematsu, T.; Ogawa, T.; Takeya, T.; Nagasaki, T. Intracellular uptake and photodynamic activity of water-soluble [60]- and [70]fullerenes Incorporated in liposomes. Chem. Eur. J. 2008, 14, 8892–8897. [Google Scholar] [CrossRef] [PubMed]
  212. Ikeda, A. Photodynamic activity of fullerenes and other molecules incorporated into lipid membranes by exchange. Chem. Rec. 2016, 16, 249–260. [Google Scholar] [CrossRef] [PubMed]
  213. Ikeda, A.; Iizuka, T.; Maekubo, N.; Aono, R.; Kikuchi, J.; Akiyama, M.; Konishi, T.; Ogawa, T.; Ishida-Kitagawa, N.; Tatebe, H.; et al. Cyclodextrin complexed [60]fullerene derivatives with high levels of photodynamic activity by long wavelength excitation. ACS Med. Chem. Lett. 2013, 4, 752–756. [Google Scholar] [CrossRef] [PubMed]
  214. Ikeda, A.; Matsumoto, M.; Akiyama, M.; Kikuchi, J.; Ogawa, T.; Takeya, T. Direct and short-time uptake of [70]fullerene into the cell membrane using an exchange reaction from a [70]fullerene-g-cyclodextrin complex and the resulting photodynamic activity. Chem. Commun. 2009, 1547–1549. [Google Scholar] [CrossRef] [PubMed]
  215. Ikeda, A.; Nagano, M.; Akiyama, M.; Matsumoto, M.; Ito, S.; Mukai, M.; Hashizume, M.; Kikuchi, J.; Katagiri, K.; Ogawa, T.; et al. Photodynamic activity of C70 caged within surface-cross-linked liposomes. Chem. Asian J. 2009, 4, 199–205. [Google Scholar] [CrossRef] [PubMed]
  216. Nobusawa, K.; Akiyama, M.; Ikeda, A.; Naito, M. pH responsive smart carrier of [60]fullerene with 6-amino-cyclodextrin inclusion complex for photodynamic therapy. J. Mater. Chem. 2012, 22, 22610–22613. [Google Scholar] [CrossRef]
  217. Iizumi, Y.; Okazaki, T.; Zhang, M.; Yudasaka, M.; Iijima, S. High efficiencies for singlet oxygen generation of fullerenes and their phototoxicity. Bull. Chem. Soc. Jpn. 2008, 81, 1584–1588. [Google Scholar] [CrossRef]
  218. Iohara, D.; Hiratsuka, M.; Hirayama, F.; Takeshita, K.; Motoyama, K.; Arima, H.; Uekama, K. Evaluation of photodynamic activity of C60/2-hydroxypropyl-β-cyclodextrin nanoparticles. J. Pharm. Sci. 2011, 101, 3390–3397. [Google Scholar] [CrossRef] [PubMed]
  219. Altaf, A.; Aldawsari, H.; Banjar, Z.M.; Makoto, A.; Daisuke, I.; Masaki, O.; Kaneto, U.; Fumitoshi, H. Preparation of soluble stable C-60/human serum albumin nanoparticles via cyclodextrin complexation and their reactive oxygen production characteristics. Life Sci. 2013, 93, 277–282. [Google Scholar]
  220. Altaf, A.; Aldawsari, H.; Banjar, Z.M.; Iohara, D.; Anraku, M.; Uekama, K.; Hirayama, F. Potential use of C60/2-hydroxypropyl-β-cyclodextrin nanoparticles as a new photosensitizer in the treatment of cancer. Int. J. Photoenergy 2014, 2014, 8. [Google Scholar] [CrossRef]
  221. Zhao, B.Z.; He, Y.Y.; Chignell, C.F.; Yin, J.J.; Andley, U.; Roberts, J.E. Difference in phototoxicity of cyclodextrin complexed fullerene [(g-CyD)(2)/C-60] and its aggregated derivatives toward human lens epithelial cells. Chem. Res. Toxicol. 2009, 22, 660–667. [Google Scholar] [CrossRef] [PubMed]
  222. Wang, J.J.; Zhang, Z.H.; Wu, W.; Jiang, X.Q. Synthesis of β-cyclodextrin-[60]fullerene conjugate and its DNA cleavage performance. Chin. J. Chem. 2014, 32, 78–84. [Google Scholar] [CrossRef]
  223. Zhang, W.; Gong, X.D.; Liu, C.; Piao, Y.Z.; Sun, Y.; Diao, G.W. Water-soluble inclusion complex of fullerene with g-cyclodextrin polymer for photodynamic therapy. J. Mater. Chem. B 2014, 2, 5107–5115. [Google Scholar] [CrossRef]
  224. Tong, H.; Wang, Y.; Li, H.; Jin, Q.; Ji, J. Dual pH-responsive 5-aminolevulinic acid pseudopolyrotaxane prodrug micelles for enhanced photodynamic therapy. Chem. Commun. 2016, 52, 3966–3969. [Google Scholar] [CrossRef] [PubMed]
  225. Liu, J.J.; Liang, H.N.; Li, M.H.; Luo, Z.; Zhang, J.X.; Guo, X.M.; Cai, K.Y. Tumor acidity activating multifunctional nanoplatform for NIR-mediated multiple enhanced photodynamic and photothermal tumor therapy. Biomaterials 2018, 157, 107–124. [Google Scholar] [CrossRef] [PubMed]
  226. Chen, W.H.; Luo, G.F.; Qiu, W.X.; Lei, Q.; Liu, L.H.; Wang, S.B.; Zhang, X.Z. Mesoporous silica-based versatile theranostic nanoplatform constructed by layer-by-layer assembly for excellent photodynamic/chemo therapy. Biomaterials 2017, 117, 54–65. [Google Scholar] [CrossRef] [PubMed]
  227. Chai, S.; Guo, Y.; Zhang, Z.; Chai, Z.; Ma, Y.; Qi, L. Cyclodextrin-gated mesoporous silica nanoparticles as drug carriers for red light-induced drug release. Nanotechnology 2017, 28, 145101. [Google Scholar] [CrossRef] [PubMed]
  228. Hu, X.L.; Zang, Y.; Li, J.; Chen, G.R.; James, T.D.; He, X.P.; Tian, H. Targeted multimodal theranostics via biorecognition controlled aggregation of metallic nanoparticle composites. Chem. Sci. 2016, 7, 4004–4008. [Google Scholar] [CrossRef]
  229. Luo, G.F.; Chen, W.H.; Lei, Q.; Qiu, W.X.; Liu, Y.X.; Cheng, Y.J.; Zhang, X.Z. A triple-collaborative strategy for high-performance tumor therapy by multifunctional mesoporous silica-coated gold nanorods. Adv. Funct. Mater. 2016, 26, 4339–4350. [Google Scholar] [CrossRef]
Figure 1. Two-step photodynamic therapy (PDT) cancer treatment process involving: (a) photosensitizer (PS) injection; (b) PS accumulation in the tumor; (c) PS activation by light; (d) reactive oxygen species (ROS) production and tumor damage response.
Figure 1. Two-step photodynamic therapy (PDT) cancer treatment process involving: (a) photosensitizer (PS) injection; (b) PS accumulation in the tumor; (c) PS activation by light; (d) reactive oxygen species (ROS) production and tumor damage response.
Molecules 23 01936 g001
Figure 2. Examples of molecular skeletons of porphyrinoid-based PSs.
Figure 2. Examples of molecular skeletons of porphyrinoid-based PSs.
Molecules 23 01936 g002
Figure 3. Chemical structure of natural α, β, and γ-cyclodextrins.
Figure 3. Chemical structure of natural α, β, and γ-cyclodextrins.
Molecules 23 01936 g003
Figure 4. Two examples of stoichiometry adopted by CD–drug inclusion complexes.
Figure 4. Two examples of stoichiometry adopted by CD–drug inclusion complexes.
Molecules 23 01936 g004
Figure 5. Two examples of typical geometry adopted by CD–PS inclusion complexes between β-CD and γ-CD with a porphyrinoid PS (meso-tetrakis(4-sulfonatophenyl)porphyrin, TPPS4). Adapted from Ribó; Farrera; Valero; Virgili [114].
Figure 5. Two examples of typical geometry adopted by CD–PS inclusion complexes between β-CD and γ-CD with a porphyrinoid PS (meso-tetrakis(4-sulfonatophenyl)porphyrin, TPPS4). Adapted from Ribó; Farrera; Valero; Virgili [114].
Molecules 23 01936 g005
Figure 6. Schematic representation of TMe-β-CD-SiIVPc and TPPS4. Adapted from Leng; Choi; Lo; Ng [122].
Figure 6. Schematic representation of TMe-β-CD-SiIVPc and TPPS4. Adapted from Leng; Choi; Lo; Ng [122].
Molecules 23 01936 g006
Figure 7. In vitro photocytotoxicity of TMe-β-CD-SiIVPc (♦), TPPS4 (■), and the 1:1 host–guest complex (●) against HT29 cells under red light illumination (λ > 610 nm, total fluence = 48 J/cm2). Adapted from Leng; Choi; Lo; Ng [122].
Figure 7. In vitro photocytotoxicity of TMe-β-CD-SiIVPc (♦), TPPS4 (■), and the 1:1 host–guest complex (●) against HT29 cells under red light illumination (λ > 610 nm, total fluence = 48 J/cm2). Adapted from Leng; Choi; Lo; Ng [122].
Molecules 23 01936 g007
Figure 8. Cellular viability of J774-A1 after treatment with (a) CIAlPc/HP-β-CD and (b) CIAlPc/β-CD complexes under various irradiation. The cells were exposed to increasing doses of light at 70 mJ/cm2, 140 mJ/cm2, and 700 mJ/cm2 (a) p-values < 0.001 and (b) p-values < 0.05 in relation to the respective control. Data is expressed as means ± SD (n = 3). Adapted from Silva; Simioni; Tedesco [123].
Figure 8. Cellular viability of J774-A1 after treatment with (a) CIAlPc/HP-β-CD and (b) CIAlPc/β-CD complexes under various irradiation. The cells were exposed to increasing doses of light at 70 mJ/cm2, 140 mJ/cm2, and 700 mJ/cm2 (a) p-values < 0.001 and (b) p-values < 0.05 in relation to the respective control. Data is expressed as means ± SD (n = 3). Adapted from Silva; Simioni; Tedesco [123].
Molecules 23 01936 g008
Figure 9. (a) Dark toxicity of zinc phthalocyanine (ZnPc) and (HP-β-CD)4-ZnPc (drug concentration was calculated by ZnPc. * p < 0.05, ** p < 0.01, *** p < 0.001 ZnPc vs. (HP-β-CD)4-ZnPc). (b) Human cervical carcinoma (HeLa) cellular uptake of ZnPc and (HP-β-CD)4-ZnPc ([ZnPc] = [(HP-β-CD)4-ZnPc] = 5 µM). (c) In vitro ROS production induced by ZnPc and (HP-β-CD)4-ZnPc ([ZnPc] = [(HP-β-CD)4-ZnPc] = 5 µM, irradiation time = 5 min, *** p < 0.001 ZnPc vs. (HP-β-CD)4-ZnPc). (d) Light toxicity of ZnPc and (HP-β-CD)4-ZnPc with different drug doses and 5 min irradiation (* p < 0.05, ** p < 0.01, ZnPc vs. (HP-β-CD)4-ZnPc). Adapted from Lu; Ma; Xuan; Wang; Zhao; Li; Zhou; Lin; Zhou; Wei [124].
Figure 9. (a) Dark toxicity of zinc phthalocyanine (ZnPc) and (HP-β-CD)4-ZnPc (drug concentration was calculated by ZnPc. * p < 0.05, ** p < 0.01, *** p < 0.001 ZnPc vs. (HP-β-CD)4-ZnPc). (b) Human cervical carcinoma (HeLa) cellular uptake of ZnPc and (HP-β-CD)4-ZnPc ([ZnPc] = [(HP-β-CD)4-ZnPc] = 5 µM). (c) In vitro ROS production induced by ZnPc and (HP-β-CD)4-ZnPc ([ZnPc] = [(HP-β-CD)4-ZnPc] = 5 µM, irradiation time = 5 min, *** p < 0.001 ZnPc vs. (HP-β-CD)4-ZnPc). (d) Light toxicity of ZnPc and (HP-β-CD)4-ZnPc with different drug doses and 5 min irradiation (* p < 0.05, ** p < 0.01, ZnPc vs. (HP-β-CD)4-ZnPc). Adapted from Lu; Ma; Xuan; Wang; Zhao; Li; Zhou; Lin; Zhou; Wei [124].
Molecules 23 01936 g009
Figure 10. (a) Dark toxicity and (b) light toxicity of ZnPc, (α-CD)4-ZnPc, (β-CD)4-ZnPc, and (γ-CD)4-ZnPc on Hela cells. For dark toxicity study, the cells were incubated for 24 h, and their survival percent were studied by 3-(4,5-dimethylthiazol-2-yl)-2,5-diphenyl tetrazolium bromide (MTT) assay. For light toxicity study, after 4 h of incubation by drugs (drug concentration was 5 µM, which was calculated by ZnPc), the cells were irradiated using 665 nm LED for 5 min, and then laid back into an incubator for 24 h before cell viability measurement by MTT assay (* p < 0.05, ** p < 0.01, host-guest complex vs. ZnPc. ## p < 0.01, ### p < 0.001 ZnPc, (α-CD)4-ZnPc, and (γ-CD)4-ZnPc vs. (β-CD)4-ZnPc). Adapted from Lu; Wang; Ma; Xuan; Zhao; Li; Zhou; Zhou; Wei [125].
Figure 10. (a) Dark toxicity and (b) light toxicity of ZnPc, (α-CD)4-ZnPc, (β-CD)4-ZnPc, and (γ-CD)4-ZnPc on Hela cells. For dark toxicity study, the cells were incubated for 24 h, and their survival percent were studied by 3-(4,5-dimethylthiazol-2-yl)-2,5-diphenyl tetrazolium bromide (MTT) assay. For light toxicity study, after 4 h of incubation by drugs (drug concentration was 5 µM, which was calculated by ZnPc), the cells were irradiated using 665 nm LED for 5 min, and then laid back into an incubator for 24 h before cell viability measurement by MTT assay (* p < 0.05, ** p < 0.01, host-guest complex vs. ZnPc. ## p < 0.01, ### p < 0.001 ZnPc, (α-CD)4-ZnPc, and (γ-CD)4-ZnPc vs. (β-CD)4-ZnPc). Adapted from Lu; Wang; Ma; Xuan; Zhao; Li; Zhou; Zhou; Wei [125].
Molecules 23 01936 g010
Figure 11. (a) In vitro cellular uptake of the Ce6-HP-β-CD inclusion complex by oral squamous carcinoma (OSC) cells for different Ce6 to HP-β-CD ratios and (b) phototoxicity of optimized inclusion complex and control formulations against OSC cells. Adapted from Paul; Heng; Chan [126].
Figure 11. (a) In vitro cellular uptake of the Ce6-HP-β-CD inclusion complex by oral squamous carcinoma (OSC) cells for different Ce6 to HP-β-CD ratios and (b) phototoxicity of optimized inclusion complex and control formulations against OSC cells. Adapted from Paul; Heng; Chan [126].
Molecules 23 01936 g011
Figure 12. (a) Influence of 10 μM methyl-β-cyclodextrin (Me-β-CD) and 200 μM HP-β-CD on the photosensitivity of HT29 cells incubated in the presence of 1.47 μM meta-tetra(hydroxyphenyl)chlorin (mTHPC) over 3 h and 24 h. LD50 was determined in three independent experiments and expressed as the mean with the vertical bar showing SD. (b) Kinetics of in vivo fluorescence (λexc = 405 nm, λem = 600–700 nm) from the surface of the HT29 tumor grafted to NMRInu/nu mice after injection of 0.5 mg/kg mTHPC alone in the tail vein or with 2.5 mg/kg Me-β-CD. Results are expressed as the mean of three to four measurements with the vertical bar showing SD. Adapted from Yankovsky; Bastien; Yakavets; Khludeyev; Lassalle; Gräfe; Bezdetnaya; Zorin [127].
Figure 12. (a) Influence of 10 μM methyl-β-cyclodextrin (Me-β-CD) and 200 μM HP-β-CD on the photosensitivity of HT29 cells incubated in the presence of 1.47 μM meta-tetra(hydroxyphenyl)chlorin (mTHPC) over 3 h and 24 h. LD50 was determined in three independent experiments and expressed as the mean with the vertical bar showing SD. (b) Kinetics of in vivo fluorescence (λexc = 405 nm, λem = 600–700 nm) from the surface of the HT29 tumor grafted to NMRInu/nu mice after injection of 0.5 mg/kg mTHPC alone in the tail vein or with 2.5 mg/kg Me-β-CD. Results are expressed as the mean of three to four measurements with the vertical bar showing SD. Adapted from Yankovsky; Bastien; Yakavets; Khludeyev; Lassalle; Gräfe; Bezdetnaya; Zorin [127].
Molecules 23 01936 g012
Figure 13. Cell viability of spheroids incubated 24 h with free mTHPC and Me-β-CD/mTHPC inclusion complex. The percentage of cell survival was counted by means of clonogenic assay 15 days after PDT. mTHPC concentration was 4.5 µM. Statistically different from mTHPC alone treatment at the given fluence, p < 0.05; NS: no significant differences from mTHPC alone treatment at the given fluence, p < 0.05. Adapted from Yakavets; Yankovsky; Millard; Lamy; Lassalle; Wiehe; Zorin; Bezdetnaya [128].
Figure 13. Cell viability of spheroids incubated 24 h with free mTHPC and Me-β-CD/mTHPC inclusion complex. The percentage of cell survival was counted by means of clonogenic assay 15 days after PDT. mTHPC concentration was 4.5 µM. Statistically different from mTHPC alone treatment at the given fluence, p < 0.05; NS: no significant differences from mTHPC alone treatment at the given fluence, p < 0.05. Adapted from Yakavets; Yankovsky; Millard; Lamy; Lassalle; Wiehe; Zorin; Bezdetnaya [128].
Molecules 23 01936 g013
Figure 14. Chemical structure and schematic illustration of the trimethyl-β-CD (TMe-β-CD) complexed with porphyrin derivatives.
Figure 14. Chemical structure and schematic illustration of the trimethyl-β-CD (TMe-β-CD) complexed with porphyrin derivatives.
Molecules 23 01936 g014
Figure 15. Cytotoxicity expressed as percentage of salivary gland acinar cells SM 10–12 cell death in terms of apoptosis and necrosis assayed by the PI/Hoechst staining and fluorescence technique. The cells were irradiated with blue light of a 6 J/cm2 beam area or kept for 5 min in the dark in the presence of 13.5 µM natural curcumin in 5% cyclodextrin (CD) or 0.4 µM in 5 µg/mL liposomes (LP). Data are means ± SEM (n ≥ 6). Significantly different from corresponding unirradiated samples (for phosphate buffered saline (PBS): necrosis only) (*); significantly different from irradiated vehicle in PBS and PBS only (for CD samples: also different from unirradiated vehicle) (); p ≤ 0.05. Adapted from Bruzell; Morisbak; Tonnesen [131].
Figure 15. Cytotoxicity expressed as percentage of salivary gland acinar cells SM 10–12 cell death in terms of apoptosis and necrosis assayed by the PI/Hoechst staining and fluorescence technique. The cells were irradiated with blue light of a 6 J/cm2 beam area or kept for 5 min in the dark in the presence of 13.5 µM natural curcumin in 5% cyclodextrin (CD) or 0.4 µM in 5 µg/mL liposomes (LP). Data are means ± SEM (n ≥ 6). Significantly different from corresponding unirradiated samples (for phosphate buffered saline (PBS): necrosis only) (*); significantly different from irradiated vehicle in PBS and PBS only (for CD samples: also different from unirradiated vehicle) (); p ≤ 0.05. Adapted from Bruzell; Morisbak; Tonnesen [131].
Molecules 23 01936 g015
Figure 16. Two types of Corannulene (Cora) solubilization vehicles. The γ-CD/Cora inclusion complex is proposed to have a better ability for apparent ROS generation compared to the self-assembling methoxy poly(ethylene glycol)-corannulene (mPEG-Cora) micelle. Adapted from Zhang; Dong; Lu; Liu; Ding; Kong; Fan; Wang; Zhao [132].
Figure 16. Two types of Corannulene (Cora) solubilization vehicles. The γ-CD/Cora inclusion complex is proposed to have a better ability for apparent ROS generation compared to the self-assembling methoxy poly(ethylene glycol)-corannulene (mPEG-Cora) micelle. Adapted from Zhang; Dong; Lu; Liu; Ding; Kong; Fan; Wang; Zhao [132].
Molecules 23 01936 g016
Figure 17. The dose-dependent viability of PC-3 cells in response to (a) γ-CD/Cora inclusion complex and (b) mPEG-Cora micelle in the absence or presence of light irradiation (365 nm, 95 mW/cm2). Three irradiation times were set at 5 min, 10 min, and 15 min (n = 3). Adapted from Zhang; Dong; Lu; Liu; Ding; Kong; Fan; Wang; Zhao [132].
Figure 17. The dose-dependent viability of PC-3 cells in response to (a) γ-CD/Cora inclusion complex and (b) mPEG-Cora micelle in the absence or presence of light irradiation (365 nm, 95 mW/cm2). Three irradiation times were set at 5 min, 10 min, and 15 min (n = 3). Adapted from Zhang; Dong; Lu; Liu; Ding; Kong; Fan; Wang; Zhao [132].
Molecules 23 01936 g017
Figure 18. Chemical structure of P(β-CD)1 and P(β-CD)2.
Figure 18. Chemical structure of P(β-CD)1 and P(β-CD)2.
Molecules 23 01936 g018
Figure 19. Effects of (a) P(β-CD)l- and (b) P(β-CD)2-mediated PDT on tumor growth. BALB/c mice bearing subcutaneously growing 4T1 mammary carcinoma (n = six per each group) received a single dose of the drug (5 mg/kg) and were then irradiated (100 J/cm2, 200 mW/cm2) at indicated time points. The control group consisted of untreated tumor bearing mice. Adapted from Králová; Synytsya; Pouckova; Koc; Dvorak; Kral [139].
Figure 19. Effects of (a) P(β-CD)l- and (b) P(β-CD)2-mediated PDT on tumor growth. BALB/c mice bearing subcutaneously growing 4T1 mammary carcinoma (n = six per each group) received a single dose of the drug (5 mg/kg) and were then irradiated (100 J/cm2, 200 mW/cm2) at indicated time points. The control group consisted of untreated tumor bearing mice. Adapted from Králová; Synytsya; Pouckova; Koc; Dvorak; Kral [139].
Molecules 23 01936 g019
Figure 20. Chemical structure of porphyrin–CD conjugates (P(CD)x).
Figure 20. Chemical structure of porphyrin–CD conjugates (P(CD)x).
Molecules 23 01936 g020
Figure 21. Schematic representation of Lego-like systems (including three parts: therapeutic protein, ZnP(β-CD)2 or ZnP(γ-CD)2 conjugates, and a chemotherapy drug) for targeted and combined therapy. Adapted from Kejik; Briza; Kralova; Pouckova; Kral; Martasek; Kral [141].
Figure 21. Schematic representation of Lego-like systems (including three parts: therapeutic protein, ZnP(β-CD)2 or ZnP(γ-CD)2 conjugates, and a chemotherapy drug) for targeted and combined therapy. Adapted from Kejik; Briza; Kralova; Pouckova; Kral; Martasek; Kral [141].
Molecules 23 01936 g021
Figure 22. Effect of combined therapy with ZnP(β-CD)2 or ZnP(γ-CD)2 conjugates, chemotherapy drugs (paclitaxel or doxorubicin), and endoglobulin on the tumor volume of human amelanotic melanoma C32 in an in vivo nude mouse model. (a) ZnP(β-CD)2/paclitaxel/endoglobulin or (b) ZnP(γ-CD)2/doxorubicin/endoglobulin (n = 6 at each group). Adapted from Kejik; Briza; Kralova; Pouckova; Kral; Martasek; Kral [141].
Figure 22. Effect of combined therapy with ZnP(β-CD)2 or ZnP(γ-CD)2 conjugates, chemotherapy drugs (paclitaxel or doxorubicin), and endoglobulin on the tumor volume of human amelanotic melanoma C32 in an in vivo nude mouse model. (a) ZnP(β-CD)2/paclitaxel/endoglobulin or (b) ZnP(γ-CD)2/doxorubicin/endoglobulin (n = 6 at each group). Adapted from Kejik; Briza; Kralova; Pouckova; Kral; Martasek; Kral [141].
Molecules 23 01936 g022
Figure 23. Chemical structure of PMe-β-CD-R-SiIVPc conjugates.
Figure 23. Chemical structure of PMe-β-CD-R-SiIVPc conjugates.
Molecules 23 01936 g023
Figure 24. Tumor growth delay after PDT treatment with PMe-β-CD-hexyl-SiIVPc under illumination (λ = 635 nm, 30 J/cm2) (□) and mice kept in darkness for control (■). Adapted from Lau; Lo; Fong; Ng [142].
Figure 24. Tumor growth delay after PDT treatment with PMe-β-CD-hexyl-SiIVPc under illumination (λ = 635 nm, 30 J/cm2) (□) and mice kept in darkness for control (■). Adapted from Lau; Lo; Fong; Ng [142].
Molecules 23 01936 g024
Figure 25. Chemical structure of PMe-β-CD-SiIVPc conjugates 14.
Figure 25. Chemical structure of PMe-β-CD-SiIVPc conjugates 14.
Molecules 23 01936 g025
Figure 26. (a) Phototoxicity 24 h following 3 h of cell incubation with 7 µM of protoporphyrin IX (PpIX) and PpIX+β-CD and irradiation through a Schott RG610 long-pass filter (LD50 values for PpIX were 10 J/cm2 and 7 J/cm2 for MCF7 and DU145 cells, respectively, whereas the corresponding values for PpIX+β-CD were 10 J/cm2 and 6 J/cm2, respectively). (b) Bimodal action of PpIX+β-CD complexed with tamoxifen citrate (TAM-CIT) in MCF7 cells. Phototoxicity 48 h following 3 h of cell incubation with 7 µM of PpIX+β-CD and PpIX+β-CD complexed with TAM-CIT and irradiation through a Schott RG610 long-pass filter at 4 J/cm2 and 8 J/cm2. Adapted from Aggelidou; Theodossiou; Yannakopoulou [144].
Figure 26. (a) Phototoxicity 24 h following 3 h of cell incubation with 7 µM of protoporphyrin IX (PpIX) and PpIX+β-CD and irradiation through a Schott RG610 long-pass filter (LD50 values for PpIX were 10 J/cm2 and 7 J/cm2 for MCF7 and DU145 cells, respectively, whereas the corresponding values for PpIX+β-CD were 10 J/cm2 and 6 J/cm2, respectively). (b) Bimodal action of PpIX+β-CD complexed with tamoxifen citrate (TAM-CIT) in MCF7 cells. Phototoxicity 48 h following 3 h of cell incubation with 7 µM of PpIX+β-CD and PpIX+β-CD complexed with TAM-CIT and irradiation through a Schott RG610 long-pass filter at 4 J/cm2 and 8 J/cm2. Adapted from Aggelidou; Theodossiou; Yannakopoulou [144].
Molecules 23 01936 g026
Figure 27. Schematic representation of the photoresponsive supramolecular nanoaggregate. Adapted from Fraix; Goncalves; Cardile; Graziano; Theodossiou; Yannakopoulou; Sortino [145].
Figure 27. Schematic representation of the photoresponsive supramolecular nanoaggregate. Adapted from Fraix; Goncalves; Cardile; Graziano; Theodossiou; Yannakopoulou; Sortino [145].
Molecules 23 01936 g027
Figure 28. Dark and photoinduced mortality of A375 cells treated with meta-(3-hydroxyphenyl)-porphyrin (mTHPP)-β-CD conjugate and mTHPP-β-CD/nitric oxide (NO) photodonor assemblies (ca. 8 mm) in culture medium containing 0.5% DMSO compared to dark and photoinduced mortality in culture medium in the absence and the presence of 0.5% DMSO. Adapted from Fraix; Goncalves; Cardile; Graziano; Theodossiou; Yannakopoulou; Sortino [145].
Figure 28. Dark and photoinduced mortality of A375 cells treated with meta-(3-hydroxyphenyl)-porphyrin (mTHPP)-β-CD conjugate and mTHPP-β-CD/nitric oxide (NO) photodonor assemblies (ca. 8 mm) in culture medium containing 0.5% DMSO compared to dark and photoinduced mortality in culture medium in the absence and the presence of 0.5% DMSO. Adapted from Fraix; Goncalves; Cardile; Graziano; Theodossiou; Yannakopoulou; Sortino [145].
Molecules 23 01936 g028
Figure 29. Solution structure of mTHPP-β-CD/pM-β-CD/N-desmethyltamoxifen (NDMTAM) as a 1:1 mixture of diastereoisomeric complexes, as derived from NMR spectroscopic data. Adapted from Theodossiou; Goncalves; Yannakopoulou; Skarpen; Berg [146].
Figure 29. Solution structure of mTHPP-β-CD/pM-β-CD/N-desmethyltamoxifen (NDMTAM) as a 1:1 mixture of diastereoisomeric complexes, as derived from NMR spectroscopic data. Adapted from Theodossiou; Goncalves; Yannakopoulou; Skarpen; Berg [146].
Molecules 23 01936 g029
Figure 30. Photocytotoxicity to (a) breast adenocarcinoma (MCF7) and (b) breast human carcinoma (MDA-MB-231) cells following overnight (16 h) incubation with medium only (Control), tamoxifen (4-OHT) (7.5 µM), mTHPP-β-CD conjugate (10 µM), and mTHPP-β-CD(10 µM)-4-OHT(7.5 µM) complex. Adapted from Theodossiou; Goncalves; Yannakopoulou; Skarpen; Berg [146].
Figure 30. Photocytotoxicity to (a) breast adenocarcinoma (MCF7) and (b) breast human carcinoma (MDA-MB-231) cells following overnight (16 h) incubation with medium only (Control), tamoxifen (4-OHT) (7.5 µM), mTHPP-β-CD conjugate (10 µM), and mTHPP-β-CD(10 µM)-4-OHT(7.5 µM) complex. Adapted from Theodossiou; Goncalves; Yannakopoulou; Skarpen; Berg [146].
Molecules 23 01936 g030
Figure 31. Chemical structure of ZnPc-α-CD, ZnPc-β-CD, and ZnPc-γ-CD conjugates.
Figure 31. Chemical structure of ZnPc-α-CD, ZnPc-β-CD, and ZnPc-γ-CD conjugates.
Molecules 23 01936 g031
Figure 32. Chemical structure of Cor(β-CD)1 and Cor(β-CD)2 conjugates.
Figure 32. Chemical structure of Cor(β-CD)1 and Cor(β-CD)2 conjugates.
Molecules 23 01936 g032
Figure 33. Synthesis of HB-β-CD conjugate.
Figure 33. Synthesis of HB-β-CD conjugate.
Molecules 23 01936 g033
Figure 34. Chemical structure of mono-mannose modified perylene bisimide (MMMPB)/(PMe-β-CD)2 conjugate.
Figure 34. Chemical structure of mono-mannose modified perylene bisimide (MMMPB)/(PMe-β-CD)2 conjugate.
Molecules 23 01936 g034
Figure 35. Chemical structure of SC6-β-CD-NH2 vesicles.
Figure 35. Chemical structure of SC6-β-CD-NH2 vesicles.
Molecules 23 01936 g035
Figure 36. Cell death percentage in HeLa through trypan blue assay. HeLa cells treated with TPPS4 alone as a control, and with TPPS4/SC6-β-CD-NH2 nanoassemblies at 1:2, 1:10, and 1:20 molar ratios, respectively before and after exposition to visible light irradiation for 30 min. Adapted from Sortino; Mazzaglia; Scolaro; Merlo; Valveri; Sciortino [164].
Figure 36. Cell death percentage in HeLa through trypan blue assay. HeLa cells treated with TPPS4 alone as a control, and with TPPS4/SC6-β-CD-NH2 nanoassemblies at 1:2, 1:10, and 1:20 molar ratios, respectively before and after exposition to visible light irradiation for 30 min. Adapted from Sortino; Mazzaglia; Scolaro; Merlo; Valveri; Sciortino [164].
Molecules 23 01936 g036
Figure 37. Functionalization of SC6-β-CD-NH2 with the dansyl fluorophore.
Figure 37. Functionalization of SC6-β-CD-NH2 with the dansyl fluorophore.
Molecules 23 01936 g037
Figure 38. Molecular structure of SC16-β-CD-OH, ZnPc, and corresponding ZnPc/SC16-β-CD-OH nanoassembly. Adapted from Conte; Scala; Siracusano; Leone; Patane; Ungaro; Miro; Sciortino; Quaglia; Mazzaglia [166].
Figure 38. Molecular structure of SC16-β-CD-OH, ZnPc, and corresponding ZnPc/SC16-β-CD-OH nanoassembly. Adapted from Conte; Scala; Siracusano; Leone; Patane; Ungaro; Miro; Sciortino; Quaglia; Mazzaglia [166].
Molecules 23 01936 g038
Figure 39. Effects of ZnPc and ZnPc/SC16-β-CD-OH nanoassemblies on HeLa cells viability at 24 h, 48 h, and 72 h. ZnPc concentration was set at 0.012 µg/mL in all of the samples. Cell viability was quantified before (dark) and after irradiation (λ = 340 nm, 5 J/cm2, 30 min) by using MTS assay. Adapted from Conte; Scala; Siracusano; Leone; Patane; Ungaro; Miro; Sciortino; Quaglia; Mazzaglia [166].
Figure 39. Effects of ZnPc and ZnPc/SC16-β-CD-OH nanoassemblies on HeLa cells viability at 24 h, 48 h, and 72 h. ZnPc concentration was set at 0.012 µg/mL in all of the samples. Cell viability was quantified before (dark) and after irradiation (λ = 340 nm, 5 J/cm2, 30 min) by using MTS assay. Adapted from Conte; Scala; Siracusano; Leone; Patane; Ungaro; Miro; Sciortino; Quaglia; Mazzaglia [166].
Molecules 23 01936 g039
Figure 40. Molecular structure of SC16-β-CD-OH, ZnPc, docetaxel (DTX), and corresponding ZnPc/DTX/SC16-β-CD-OH nanoassembly. Adapted from Conte; Scala; Siracusano; Sortino; Pennisi; Piperno; Miro; Ungaro; Sciortino; Quaglia; Mazzaglia [167].
Figure 40. Molecular structure of SC16-β-CD-OH, ZnPc, docetaxel (DTX), and corresponding ZnPc/DTX/SC16-β-CD-OH nanoassembly. Adapted from Conte; Scala; Siracusano; Sortino; Pennisi; Piperno; Miro; Ungaro; Sciortino; Quaglia; Mazzaglia [167].
Molecules 23 01936 g040
Figure 41. HeLa cell viability (MTS assay, *** p < 0.01 by Student’s t-test) in the dark and after light irradiation (λ = 340 nm, 5 J/cm2, 30 min). The cells were treated with free DTX, free ZnPc, DTX/SC16-β-CD-OH nanoparticles (NPs), and ZnPc/DTX/SC16-β-CD-OH NPs (10 µg/mL for all samples) and collected at 24 h. Adapted from Conte; Scala; Siracusano; Sortino; Pennisi; Piperno; Miro; Ungaro; Sciortino; Quaglia; Mazzaglia [167].
Figure 41. HeLa cell viability (MTS assay, *** p < 0.01 by Student’s t-test) in the dark and after light irradiation (λ = 340 nm, 5 J/cm2, 30 min). The cells were treated with free DTX, free ZnPc, DTX/SC16-β-CD-OH nanoparticles (NPs), and ZnPc/DTX/SC16-β-CD-OH NPs (10 µg/mL for all samples) and collected at 24 h. Adapted from Conte; Scala; Siracusano; Sortino; Pennisi; Piperno; Miro; Ungaro; Sciortino; Quaglia; Mazzaglia [167].
Molecules 23 01936 g041
Figure 42. Molecular structure of cyclomaltoheptaose (CD-N), TPPS4 and corresponding TPPS44/CD-N nanoassembly. Adapted from Mazzaglia; Micali; Villari; Zagami; Pennisi; Mellet; Fernandez; Sciortino; Scolaro [168].
Figure 42. Molecular structure of cyclomaltoheptaose (CD-N), TPPS4 and corresponding TPPS44/CD-N nanoassembly. Adapted from Mazzaglia; Micali; Villari; Zagami; Pennisi; Mellet; Fernandez; Sciortino; Scolaro [168].
Molecules 23 01936 g042
Figure 43. Cell death percentage in HeLa using trypan blue assay. HeLa cells were treated with free TPPS4 (1.7 µM) and unloaded CD-N as controls, and with TPPS4/CD-N nanoassemblies prepared at 1:5 molar ratios, respectively. TPPS4 amount was fixed at 1.7 µM. Samples were exposed to visible light irradiation (λ = 340 nm, 5 J/cm2, 30 min). Adapted from Mazzaglia; Micali; Villari; Zagami; Pennisi; Mellet; Fernandez; Sciortino; Scolaro [168].
Figure 43. Cell death percentage in HeLa using trypan blue assay. HeLa cells were treated with free TPPS4 (1.7 µM) and unloaded CD-N as controls, and with TPPS4/CD-N nanoassemblies prepared at 1:5 molar ratios, respectively. TPPS4 amount was fixed at 1.7 µM. Samples were exposed to visible light irradiation (λ = 340 nm, 5 J/cm2, 30 min). Adapted from Mazzaglia; Micali; Villari; Zagami; Pennisi; Mellet; Fernandez; Sciortino; Scolaro [168].
Molecules 23 01936 g043
Figure 44. Molecular structure of Poly(β-CD), ZnPc, hydrophobically modified dextran (hDex), NO photodonor, and corresponding ZnPc/NO photodonor/hDex/Poly(β-CD) hydrogel. Adapted from Fraix; Gref; Sortino [177].
Figure 44. Molecular structure of Poly(β-CD), ZnPc, hydrophobically modified dextran (hDex), NO photodonor, and corresponding ZnPc/NO photodonor/hDex/Poly(β-CD) hydrogel. Adapted from Fraix; Gref; Sortino [177].
Molecules 23 01936 g044
Figure 45. Molecular structure of Poly(β-CD), ZnPc, an NO photodonor attached to an adamantane moiety (NO photodonor-Ada), and corresponding ZnPc/NO photodonor-Ada/Poly(β-CD) nanoparticle. Adapted from Kandoth; Kirejev; Monti; Gref; Ericson; Sortino [178].
Figure 45. Molecular structure of Poly(β-CD), ZnPc, an NO photodonor attached to an adamantane moiety (NO photodonor-Ada), and corresponding ZnPc/NO photodonor-Ada/Poly(β-CD) nanoparticle. Adapted from Kandoth; Kirejev; Monti; Gref; Ericson; Sortino [178].
Molecules 23 01936 g045
Figure 46. Dark and photoinduced mortality of A431 cells incubated with aqueous dispersion of Poly(β-CD), ZnPc/Poly(β-CD), NO photodonor-Ada/Poly(β-CD), and ZnPc/NO photodonor-Ada/Poly(β-CD) NPs. The samples were simultaneously irradiated with 405 nm (10 J/cm2) and 633 nm (10 J/cm2) LED sources. [Poly(β-CD)] = 11 µM (7.75 mM in β-CD), [ZnPc] = 15 µM, [NO photodonor-Ada] = 40 µM. Adapted from Kandoth; Kirejev; Monti; Gref; Ericson; Sortino [178].
Figure 46. Dark and photoinduced mortality of A431 cells incubated with aqueous dispersion of Poly(β-CD), ZnPc/Poly(β-CD), NO photodonor-Ada/Poly(β-CD), and ZnPc/NO photodonor-Ada/Poly(β-CD) NPs. The samples were simultaneously irradiated with 405 nm (10 J/cm2) and 633 nm (10 J/cm2) LED sources. [Poly(β-CD)] = 11 µM (7.75 mM in β-CD), [ZnPc] = 15 µM, [NO photodonor-Ada] = 40 µM. Adapted from Kandoth; Kirejev; Monti; Gref; Ericson; Sortino [178].
Molecules 23 01936 g046
Figure 47. Schematic concept of the poly(β-CD)-g-CC-g-Ce6 NPs responding to an acidic pH. Adapted from Lee; Oh; Youn; Lee [179]. CC: cholesteryl chloroformate, Ce6: chlorin e6.
Figure 47. Schematic concept of the poly(β-CD)-g-CC-g-Ce6 NPs responding to an acidic pH. Adapted from Lee; Oh; Youn; Lee [179]. CC: cholesteryl chloroformate, Ce6: chlorin e6.
Molecules 23 01936 g047
Figure 48. Photoinduced mortality of the human nasopharyngeal epidermal carcinoma (KB) cell line treated with Poly(β-CD)-g-CC-g-Ce6 NPs (equivalent Ce6 1–10 µg/mL) or free ZnPc (1–10 µg/mL) upon irradiation (λ = 670 nm, 5.2 mW/cm2 for 10 min) at (a) pH 7.4 and (b) pH 6.5. ** p < 0.01 compared to free Ce6. Results are expressed as the mean of seven measurements with the vertical bar showing SD. Adapted from Lee; Oh; Youn; Lee [179].
Figure 48. Photoinduced mortality of the human nasopharyngeal epidermal carcinoma (KB) cell line treated with Poly(β-CD)-g-CC-g-Ce6 NPs (equivalent Ce6 1–10 µg/mL) or free ZnPc (1–10 µg/mL) upon irradiation (λ = 670 nm, 5.2 mW/cm2 for 10 min) at (a) pH 7.4 and (b) pH 6.5. ** p < 0.01 compared to free Ce6. Results are expressed as the mean of seven measurements with the vertical bar showing SD. Adapted from Lee; Oh; Youn; Lee [179].
Molecules 23 01936 g048
Figure 49. Chemical structure of a porphyrin derivative containing a disulfide bond (S-S) and an adamantane (Ada) group (TPPC6-SS-Ada).
Figure 49. Chemical structure of a porphyrin derivative containing a disulfide bond (S-S) and an adamantane (Ada) group (TPPC6-SS-Ada).
Molecules 23 01936 g049
Figure 50. Self-assembly and disaggregation process of TPPC6-SS-Ada/PEG400-β-CD micelles. Adapted from Liu; Ma; Xu; Liu; Zhang [181].
Figure 50. Self-assembly and disaggregation process of TPPC6-SS-Ada/PEG400-β-CD micelles. Adapted from Liu; Ma; Xu; Liu; Zhang [181].
Molecules 23 01936 g050
Figure 51. Illustration of polypseudorotaxane doxorubicin (DOX)/mPEG-PpIX/α-CD NPs with dual PDT/chemotherapy effect. Adapted from Xu; Li; Cheng; Zhang; Cao; Gao; He [183].
Figure 51. Illustration of polypseudorotaxane doxorubicin (DOX)/mPEG-PpIX/α-CD NPs with dual PDT/chemotherapy effect. Adapted from Xu; Li; Cheng; Zhang; Cao; Gao; He [183].
Molecules 23 01936 g051
Figure 52. Cell viability of HepG2 cells incubated with mPEG-PpIX/α-CD and DOX/mPEG-PpIX/α-CD NPs before and after laser irradiation (λ = 620–630 nm) at different NPs concentration. Adapted from Xu; Li; Cheng; Zhang; Cao; Gao; He [183].
Figure 52. Cell viability of HepG2 cells incubated with mPEG-PpIX/α-CD and DOX/mPEG-PpIX/α-CD NPs before and after laser irradiation (λ = 620–630 nm) at different NPs concentration. Adapted from Xu; Li; Cheng; Zhang; Cao; Gao; He [183].
Molecules 23 01936 g052
Figure 53. Schematic illustration of 980-nm near-infrared (NIR)-induced PDT using PS@α-CD/oleic acid-capped NaYF4:Yb/Er up-converting nanoparticle (OA-UCNP) complexes. Adapted from Tian; Ren; Yan; Jian; Gu; Zhou; Jin; Yin; Li; Zhao [73].
Figure 53. Schematic illustration of 980-nm near-infrared (NIR)-induced PDT using PS@α-CD/oleic acid-capped NaYF4:Yb/Er up-converting nanoparticle (OA-UCNP) complexes. Adapted from Tian; Ren; Yan; Jian; Gu; Zhou; Jin; Yin; Li; Zhao [73].
Molecules 23 01936 g053
Figure 54. Dark and photoinduced (λ = 980 nm, 1 W/cm2 for 5 min) mortality of A549 cells treated with (a) α-CD/OA-UCNPs as control, Ce6@α-CD/OA-UCNPs, ZnPc@α-CD/OA-UCNPs, MB@α-CD/OA-UCNPs, and (b) Ce6/DOX@α-CD/OA-UCNPs at different concentrations. Adapted from Tian; Ren; Yan; Jian; Gu; Zhou; Jin; Yin; Li; Zhao. [73].
Figure 54. Dark and photoinduced (λ = 980 nm, 1 W/cm2 for 5 min) mortality of A549 cells treated with (a) α-CD/OA-UCNPs as control, Ce6@α-CD/OA-UCNPs, ZnPc@α-CD/OA-UCNPs, MB@α-CD/OA-UCNPs, and (b) Ce6/DOX@α-CD/OA-UCNPs at different concentrations. Adapted from Tian; Ren; Yan; Jian; Gu; Zhou; Jin; Yin; Li; Zhao. [73].
Molecules 23 01936 g054
Figure 55. Schematic representation of Ada-ZnPc@β-CD-COOH/UCNP complex. Adapted from Wang; Jin; Chen; Zhou; Zhou; Wei [192].
Figure 55. Schematic representation of Ada-ZnPc@β-CD-COOH/UCNP complex. Adapted from Wang; Jin; Chen; Zhou; Zhou; Wei [192].
Molecules 23 01936 g055
Figure 56. (a) Singlet oxygen sensor green (SOSG) fluorescence images of HeLa cells. (b) Micrographs of HeLa cells stained with trypan blue of (A) control cells, and when exposed to (B) β-CD-COOH/UCNPs, (C) β-CD-COOH, (D) Ada-ZnPc, (E) β-CD-COOH/UCNPs + Ada-ZnPc, and (F) Ada-ZnPc@β-CD-COOH/UCNPs after 980-nm laser irradiation. Bar = 100 μm. Reproduced by permission of The Royal Society of Chemistry [192].
Figure 56. (a) Singlet oxygen sensor green (SOSG) fluorescence images of HeLa cells. (b) Micrographs of HeLa cells stained with trypan blue of (A) control cells, and when exposed to (B) β-CD-COOH/UCNPs, (C) β-CD-COOH, (D) Ada-ZnPc, (E) β-CD-COOH/UCNPs + Ada-ZnPc, and (F) Ada-ZnPc@β-CD-COOH/UCNPs after 980-nm laser irradiation. Bar = 100 μm. Reproduced by permission of The Royal Society of Chemistry [192].
Molecules 23 01936 g056
Figure 57. (a) Drug dose and (b) light dose-dependent in vitro PDT activity for β-CD-COOH/UCNPs, β-CD-COOH, Ada-ZnPc, β-CD-COOH/UCNPs + Ada-ZnPc, and Ada-ZnPc@β-CD-COOH/UCNPs after 980-nm laser irradiation. * p < 0.05, ** p < 0.01, *** p < 0.0001. Adapted from Wang; Jin; Chen; Zhou; Zhou; Wei [192].
Figure 57. (a) Drug dose and (b) light dose-dependent in vitro PDT activity for β-CD-COOH/UCNPs, β-CD-COOH, Ada-ZnPc, β-CD-COOH/UCNPs + Ada-ZnPc, and Ada-ZnPc@β-CD-COOH/UCNPs after 980-nm laser irradiation. * p < 0.05, ** p < 0.01, *** p < 0.0001. Adapted from Wang; Jin; Chen; Zhou; Zhou; Wei [192].
Molecules 23 01936 g057
Figure 58. Schematic diagram showing the synthetic procedure of UCNP@SiO2(MB)@mSiO2(RhB)-Ada-linker-β-CD NPs. Adapted from Wang; Han; Yang; Shi; Liu; Hu; Wang; Liu; Gan [193]. @mSiO2(RhB): Ada-linker: adamantane-1O2-sensitive linker, RhB: rhodamine B-anchored mesoporous silica shell.
Figure 58. Schematic diagram showing the synthetic procedure of UCNP@SiO2(MB)@mSiO2(RhB)-Ada-linker-β-CD NPs. Adapted from Wang; Han; Yang; Shi; Liu; Hu; Wang; Liu; Gan [193]. @mSiO2(RhB): Ada-linker: adamantane-1O2-sensitive linker, RhB: rhodamine B-anchored mesoporous silica shell.
Molecules 23 01936 g058
Figure 59. Sketch (not to scale) of the two typologies of ternary AuNPs@TPPS4/SC6-β-CD-NH2 systems presumably formed in aqueous solution. Adapted from Trapani; Romeo; Parisi; Sciortino; Patane; Villari; Mazzaglia [197].
Figure 59. Sketch (not to scale) of the two typologies of ternary AuNPs@TPPS4/SC6-β-CD-NH2 systems presumably formed in aqueous solution. Adapted from Trapani; Romeo; Parisi; Sciortino; Patane; Villari; Mazzaglia [197].
Molecules 23 01936 g059
Figure 60. HeLa cell viability (MTS assay). Cells treated with SC6-β-CD-NH2, TPPS4, gold nanoparticles (AuNPs), AuNPs@SC6-β-CD-NH2, TPPS4/SC6-β-CD-NH2, and AuNPs@TPPS4/SC6-β-CD-NH2 compared to negative control (cell untreated). Cells washed in PBS (10 mM, pH 7.4) and analyzed in the dark and after photothermal (PTT)–PDT bimodal treatment. Adapted from Trapani; Romeo; Parisi; Sciortino; Patane; Villari; Mazzaglia [197].
Figure 60. HeLa cell viability (MTS assay). Cells treated with SC6-β-CD-NH2, TPPS4, gold nanoparticles (AuNPs), AuNPs@SC6-β-CD-NH2, TPPS4/SC6-β-CD-NH2, and AuNPs@TPPS4/SC6-β-CD-NH2 compared to negative control (cell untreated). Cells washed in PBS (10 mM, pH 7.4) and analyzed in the dark and after photothermal (PTT)–PDT bimodal treatment. Adapted from Trapani; Romeo; Parisi; Sciortino; Patane; Villari; Mazzaglia [197].
Molecules 23 01936 g060
Figure 61. Three-dimensional (3D) representation of [60]Fullerene and a football with sewn panels.
Figure 61. Three-dimensional (3D) representation of [60]Fullerene and a football with sewn panels.
Molecules 23 01936 g061
Figure 62. Cell viability following treatment with lipid membrane-incorporated fullerenes LMIC60 and LMIC70, prepared by the exchange and premixing methods, under excitation at 350–500 nm for 2 h in the case of LMIC60 and 30 min for LMIC70) ([C60] = 2 mM and [C70] = 0.3 mM). Adapted from Ikeda [212].
Figure 62. Cell viability following treatment with lipid membrane-incorporated fullerenes LMIC60 and LMIC70, prepared by the exchange and premixing methods, under excitation at 350–500 nm for 2 h in the case of LMIC60 and 30 min for LMIC70) ([C60] = 2 mM and [C70] = 0.3 mM). Adapted from Ikeda [212].
Molecules 23 01936 g062
Figure 63. Schematic illustration of the exchange reaction from γ-CD cavity to the liposomal and cell membranes at 37 °C. Adapted from Ikeda; Matsumoto; Akiyama; Kikuchi; Ogawa; Takeya [214].
Figure 63. Schematic illustration of the exchange reaction from γ-CD cavity to the liposomal and cell membranes at 37 °C. Adapted from Ikeda; Matsumoto; Akiyama; Kikuchi; Ogawa; Takeya [214].
Molecules 23 01936 g063
Figure 64. HeLa cell viability as a function of irradiation time (λ > 400 nm at 35 °C). Cells treated with LMIC70 and CIC70 and stained with propidium iodide immediately after irradiation and subsequent 24 h incubation (n = 3). Adapted from Ikeda; Nagano; Akiyama; Matsumoto; Ito; Mukai; Hashizume; Kikuchi; Katagiri; Ogawa; Takeya [215].
Figure 64. HeLa cell viability as a function of irradiation time (λ > 400 nm at 35 °C). Cells treated with LMIC70 and CIC70 and stained with propidium iodide immediately after irradiation and subsequent 24 h incubation (n = 3). Adapted from Ikeda; Nagano; Akiyama; Matsumoto; Ito; Mukai; Hashizume; Kikuchi; Katagiri; Ogawa; Takeya [215].
Molecules 23 01936 g064
Figure 65. Cell viability of HeLa cells treated with C60-γ-CD-NH2 after irradiation (λ = 400–500 nm for 30 min). * p < 0.005 as compared to the PDT activity at pH 7.4. Adapted from Nobusawa; Akiyama; Ikeda; Naito [216].
Figure 65. Cell viability of HeLa cells treated with C60-γ-CD-NH2 after irradiation (λ = 400–500 nm for 30 min). * p < 0.005 as compared to the PDT activity at pH 7.4. Adapted from Nobusawa; Akiyama; Ikeda; Naito [216].
Molecules 23 01936 g065
Figure 66. Schematic representation of efficient cellular uptake mechanisms and 2:1 C60-γ-CD-NH2 inclusion complex under neutral and acidic pH. Adapted from Nobusawa; Akiyama; Ikeda; Naito [216].
Figure 66. Schematic representation of efficient cellular uptake mechanisms and 2:1 C60-γ-CD-NH2 inclusion complex under neutral and acidic pH. Adapted from Nobusawa; Akiyama; Ikeda; Naito [216].
Molecules 23 01936 g066
Figure 67. (a) Chemical structure of C60 derivatives and C60 derivatives-γ-CD inclusion complexes. (b) Concentration-dependent cytotoxicity of C60-γ-CD, C70-γ-CD, N-methylpyrrolidine (MePyrr)-C60-γ-CD, N,N-dimethylpyrrolidinium iodide (Me2Pyrr)-C60-γ-CD, and N-acetylpyrrolidine (AcPyrr)-C60-γ-CD on Hela cells under irradiation (λ = 610–740 nm for 30 min). Adapted from Ikeda; Iizuka; Maekubo; Aono; Kikuchi; Akiyama; Konishi; Ogawa; Ishida-Kitagawa; Tatebe; Shiozaki [213].
Figure 67. (a) Chemical structure of C60 derivatives and C60 derivatives-γ-CD inclusion complexes. (b) Concentration-dependent cytotoxicity of C60-γ-CD, C70-γ-CD, N-methylpyrrolidine (MePyrr)-C60-γ-CD, N,N-dimethylpyrrolidinium iodide (Me2Pyrr)-C60-γ-CD, and N-acetylpyrrolidine (AcPyrr)-C60-γ-CD on Hela cells under irradiation (λ = 610–740 nm for 30 min). Adapted from Ikeda; Iizuka; Maekubo; Aono; Kikuchi; Akiyama; Konishi; Ogawa; Ishida-Kitagawa; Tatebe; Shiozaki [213].
Molecules 23 01936 g067
Figure 68. (a) Chemical structure of unmodified C60 and C70 dispersed in water using γ-CD (C60-γ-CD) and poly(vinylpyrrolidone) (C60-PVP). (b) 5RP7 cell viability (WST-1 assay). Cells treated with C60-γ-CD, C70-γ-CD, and C60-PVP aqueous solutions under irradiation (λ = 633 nm, 3 mW/cm2 for 1 h) compared to negative control (cell untreated). Adapted from Iizumi; Okazaki; Zhang; Yudasaka; Iijima [217].
Figure 68. (a) Chemical structure of unmodified C60 and C70 dispersed in water using γ-CD (C60-γ-CD) and poly(vinylpyrrolidone) (C60-PVP). (b) 5RP7 cell viability (WST-1 assay). Cells treated with C60-γ-CD, C70-γ-CD, and C60-PVP aqueous solutions under irradiation (λ = 633 nm, 3 mW/cm2 for 1 h) compared to negative control (cell untreated). Adapted from Iizumi; Okazaki; Zhang; Yudasaka; Iijima [217].
Molecules 23 01936 g068
Figure 69. Particle size dependencies of C60 for the generation of (a) HO• and (b) 1O2 after visible light irradiation supplied from a fluorescence lamp (3500 lux, λ = 400–700 nm, 2 cm from the bottom) for 15 min. Each point represents the mean ± S.E. of three to five experiments. Adapted from Iohara; Hiratsuka; Hirayama; Takeshita; Motoyama; Arima; Uekama [218].
Figure 69. Particle size dependencies of C60 for the generation of (a) HO• and (b) 1O2 after visible light irradiation supplied from a fluorescence lamp (3500 lux, λ = 400–700 nm, 2 cm from the bottom) for 15 min. Each point represents the mean ± S.E. of three to five experiments. Adapted from Iohara; Hiratsuka; Hirayama; Takeshita; Motoyama; Arima; Uekama [218].
Molecules 23 01936 g069
Figure 70. PDT activity of human serum albumin (HSA) solution alone, HSA-C60 solution, and C60-HP-β-CD NPs on A549 cells in the dark or after irradiation (λ = 400-700 nm, 35 mW/cm2 for 30 min). Each point represents the mean ± SE of five experiments. * p < 0.05 vs. HAS alone solution. Adapted from Altaf; Aldawsari; Banjar; Makoto; Daisuke; Masaki; Kaneto; Fumitoshi [219].
Figure 70. PDT activity of human serum albumin (HSA) solution alone, HSA-C60 solution, and C60-HP-β-CD NPs on A549 cells in the dark or after irradiation (λ = 400-700 nm, 35 mW/cm2 for 30 min). Each point represents the mean ± SE of five experiments. * p < 0.05 vs. HAS alone solution. Adapted from Altaf; Aldawsari; Banjar; Makoto; Daisuke; Masaki; Kaneto; Fumitoshi [219].
Molecules 23 01936 g070
Figure 71. PDT effect of C60-HP-β-CD NPs (a) on tumor growth and (b) changes in body weight of ddY mice in the dark or after irradiation from a xenon light source (λ = 400–700 nm, 63 J/cm2, 350 mW/cm2). Each point represents the mean ± S.E. of six to nine experiments. * p < 0.05 vs. saline. p < 0.05 vs. saline plus light irradiation. p < 0.05 vs. C60-HP-β-CD (0.4 mg/Kg) plus light irradiation (63 J/cm2). Adapted and reproduced from Altaf; Aldawsari; Banjar; Iohara; Anraku; Uekama; Hirayama [220].
Figure 71. PDT effect of C60-HP-β-CD NPs (a) on tumor growth and (b) changes in body weight of ddY mice in the dark or after irradiation from a xenon light source (λ = 400–700 nm, 63 J/cm2, 350 mW/cm2). Each point represents the mean ± S.E. of six to nine experiments. * p < 0.05 vs. saline. p < 0.05 vs. saline plus light irradiation. p < 0.05 vs. C60-HP-β-CD (0.4 mg/Kg) plus light irradiation (63 J/cm2). Adapted and reproduced from Altaf; Aldawsari; Banjar; Iohara; Anraku; Uekama; Hirayama [220].
Molecules 23 01936 g071
Figure 72. Visual and TEM images of C60-γ-CD and C60 aggregates after 150 min of heating at 85 °C. Reproduced and adapted by permission of The American Chemical Society [221].
Figure 72. Visual and TEM images of C60-γ-CD and C60 aggregates after 150 min of heating at 85 °C. Reproduced and adapted by permission of The American Chemical Society [221].
Molecules 23 01936 g072
Figure 73. Effect of 2-μM fullerene water solutions as a function of heating time on the viability of HLE B-3 cells irradiated with UVA. Results were presented as the means ± SEMs from three independent experiments in quadruplicate. ** p < 0.01 and * p < 0.05 as compared with cells without fullerene treated and in the dark. # p < 0.01 as compared with corresponding cells in the dark. Adapted from Zhao; He; Chignell; Yin; Andley; Roberts [221].
Figure 73. Effect of 2-μM fullerene water solutions as a function of heating time on the viability of HLE B-3 cells irradiated with UVA. Results were presented as the means ± SEMs from three independent experiments in quadruplicate. ** p < 0.01 and * p < 0.05 as compared with cells without fullerene treated and in the dark. # p < 0.01 as compared with corresponding cells in the dark. Adapted from Zhao; He; Chignell; Yin; Andley; Roberts [221].
Molecules 23 01936 g073
Figure 74. (a) In vitro cytotoxicity of C60-β-CD against human neuroblastoma SH-SY5Y cells upon visible light for 20 min. (b) Near Infrared Fluorescence (NIRF) images of different organs at 96 h after tail-vein injection of the NIR-797-labeled C60-β-CD. (c) Photoinduced DNA cleavage behavior of C60-β-CD. The pBR322 supercoiled plasmid was incubated with each chemical for 4 h at room temperature. Lane 1: pBR322 DNA (0.017 μg/μL) with C60-β-CD (33 μmol/L), NADH (330 μmol/L), incubated under visible light irradiation. Lane 2: pBR322 DNA (0.017 μg/μL) with C60-CD (33 μmol/L), NADH (330 μmol/L), incubated in dark. Lane 3: pBR322 DNA (0.017 μg/μL) incubated in the dark. Reproduced and adapted by permission of The John Wiley and Sons [222].
Figure 74. (a) In vitro cytotoxicity of C60-β-CD against human neuroblastoma SH-SY5Y cells upon visible light for 20 min. (b) Near Infrared Fluorescence (NIRF) images of different organs at 96 h after tail-vein injection of the NIR-797-labeled C60-β-CD. (c) Photoinduced DNA cleavage behavior of C60-β-CD. The pBR322 supercoiled plasmid was incubated with each chemical for 4 h at room temperature. Lane 1: pBR322 DNA (0.017 μg/μL) with C60-β-CD (33 μmol/L), NADH (330 μmol/L), incubated under visible light irradiation. Lane 2: pBR322 DNA (0.017 μg/μL) with C60-CD (33 μmol/L), NADH (330 μmol/L), incubated in dark. Lane 3: pBR322 DNA (0.017 μg/μL) incubated in the dark. Reproduced and adapted by permission of The John Wiley and Sons [222].
Molecules 23 01936 g074
Figure 75. (a) Schematic illustration of γ-CD polymer (γ-CD-P), C60, and C60-γ-CD-P. (b) Effect of different concentration of C60-γ-CD-P exposure on the B16-F10 cell viability irradiated with UV-A from two fluorescent PUV-A lamps (Philips, PL-L36W) or two cool white visible light lamps (Philips, TLD36W) for 20 min. Adapted from Zhang; Gong; Liu; Piao; Sun; Diao [223].
Figure 75. (a) Schematic illustration of γ-CD polymer (γ-CD-P), C60, and C60-γ-CD-P. (b) Effect of different concentration of C60-γ-CD-P exposure on the B16-F10 cell viability irradiated with UV-A from two fluorescent PUV-A lamps (Philips, PL-L36W) or two cool white visible light lamps (Philips, TLD36W) for 20 min. Adapted from Zhang; Gong; Liu; Piao; Sun; Diao [223].
Molecules 23 01936 g075
Table 1. Estimated cancer deaths worldwide and top five killer cancers for both sexes combined, 2012 (International Agency for Research on Cancer (IARC) data) and 2016 (Institute for Health Metrics and Evaluation (IHME) data).
Table 1. Estimated cancer deaths worldwide and top five killer cancers for both sexes combined, 2012 (International Agency for Research on Cancer (IARC) data) and 2016 (Institute for Health Metrics and Evaluation (IHME) data).
YearGlobal Cancer DeathTop Five Killer Cancers
Lung 1LiverStomachColorectalBreast
20128.2 million1.59 million745,517723,027693,881521,817
20168.9 million1.71 million828,945834,171829,558545,590
Rates of change 2+8.6%+7.6%+11.2%+15.4%+19.6%+4.6%
1 Included tracheal, bronchus, and lung cancer. 2 Cancer mortality rates from 2012 to 2016.
Table 2. Overview of clinically approved PSs for PDT as cancer treatment.
Table 2. Overview of clinically approved PSs for PDT as cancer treatment.
PSTrademarkApprovedλexc. (nm)Application
Porfimer sodiumPhotofrinWW 9632Bladder, esophogeal, lung, cervical, endobronchial, and gastric cancers
5-ALA 1Levulan/AmeluzWW 9635Actinic keratosis
MAL 2Metvix/MetvixiaWW 9570–670Actinic keratosis and basal cell carcinoma
HAL 3Cysview/HexvixUSA635Colon and bladder diagnosis cancer
mTHPC 4FoscanEU 10652Head and neck cancer
NPe6 5LaserphyrinJapan664Lung cancer
Synthetic hypericinSGX301 8EU 10/USA570–650Cutaneous T-cell lymphoma
LUZ11Redaporfin 8EU 10749Biliary tract cancer
AlPcS4 6PhotosensRussia675Stomach, skin, lips, oral cavity, tongue, and breast cancers
Pd-Bpheid 7TookadEU 10538/762Prostate cancer
1 5-Aminolevulinic acid. 2 Methyl aminolevulinate. 3 Hexyl aminolevulinate. 4 Meta-tetra(hydroxyphenyl)chlorin. 5 N-aspartyl chlorin e6. 6 Aluminium phthalocyanine tetrasulfonate. 7 Pd-bacteriopheophorbide. 8 Orphan status. 9 Worldwide. 10 European Union.
Table 3. Overview of natural and derived cyclodextrins (CDs).
Table 3. Overview of natural and derived cyclodextrins (CDs).
Type of CDWater Solubility (mg/mL)Molecular Weight (Da)
Natural CDs
α-CD145972
β-CD18.51135
γ-CD2321297
Chemically modified CDs
HP-β-CD 1≥6001400
SBE-β-CD 2≥5002163
RM-β-CD 3≥5001312
HP-γ-CD 4≥5001576
Polymerized CDs
ECH-β-CD 5>5001.12 × 105
ECH-CM-β-CD 6>2502 × 106–15 × 106
1 Hydroxypropyl-β-cyclodextrin. 2 Sulfobutyl ether-β-cyclodextrin. 3 Randomly methylated-β-cyclodextrin. 4 Hydroxypropyl-γ-cyclodextrin. 5 Epichlorohydrin cross-linked β-cyclodextrin polymers. 6 Epichlorohydrin cross-linked carboxymethyl-β-cyclodextrin polymers.
Table 4. IC50 value comparison of all conjugates against human colon adenocarcinoma (HT29) and human hepatocarcinoma (HepG2) cells.
Table 4. IC50 value comparison of all conjugates against human colon adenocarcinoma (HT29) and human hepatocarcinoma (HepG2) cells.
CompoundIC50 (µm) HT29IC50 (µm) HepG2
PMe-β-CD-hexyl-SiIVPc0.040.05
PMe-β-CD-DEG-SiIVPc0.160.17
PMe-β-CD-ethyl-SiIVPc0.911.32
PMe-β-CD-TEG-SiIVPc0.140.15
Table 5. IC50 value comparison of PMe-β-CD-SiIVPc conjugates 14 against HT29 and HepG2 cells.
Table 5. IC50 value comparison of PMe-β-CD-SiIVPc conjugates 14 against HT29 and HepG2 cells.
PMe-β-CD-SiIVPc ConjugatesIC50 (nm) HT29IC50 (nm) HepG2
1150190
22126
32335
42894
Table 6. Percent survival of Hela cells at different light doses (irradiance of 5 mW/cm2) of Cor(β-CD)1, Cor(β-CD)2, and Cor at a concentration of 10−5 M (n = 3).
Table 6. Percent survival of Hela cells at different light doses (irradiance of 5 mW/cm2) of Cor(β-CD)1, Cor(β-CD)2, and Cor at a concentration of 10−5 M (n = 3).
CompoundSurviving Hela Cells Fraction (% ± SD) at Light Dose
6 J/cm29 J/cm212 J/cm2
Cor(β-CD)195.6 ± 0.681.6 ±3.281.6 ± 3.1
Cor(β-CD)2120.7 ± 3.5110.8 ± 0.5110.4 ± 3.9
Cor80.9 ± 3.044.5 ± 2.338.5 ± 1.4
Table 7. Cytotoxicity of the compounds toward A549R cells 1.
Table 7. Cytotoxicity of the compounds toward A549R cells 1.
IC50 (µM)
CisplatinPtIV(β-CD)2/TPyP-(Ada)4PtIV(β-CD)2
Dark23.24.6> 20
Light 222.81.5> 20
1 The IC50 values were calculated based on PtIV concentration. 2 Light irradiation (λ = 430 nm, 10 mW/cm2 for 2 min).

Share and Cite

MDPI and ACS Style

Ben Mihoub, A.; Larue, L.; Moussaron, A.; Youssef, Z.; Colombeau, L.; Baros, F.; Frochot, C.; Vanderesse, R.; Acherar, S. Use of Cyclodextrins in Anticancer Photodynamic Therapy Treatment. Molecules 2018, 23, 1936. https://doi.org/10.3390/molecules23081936

AMA Style

Ben Mihoub A, Larue L, Moussaron A, Youssef Z, Colombeau L, Baros F, Frochot C, Vanderesse R, Acherar S. Use of Cyclodextrins in Anticancer Photodynamic Therapy Treatment. Molecules. 2018; 23(8):1936. https://doi.org/10.3390/molecules23081936

Chicago/Turabian Style

Ben Mihoub, Amina, Ludivine Larue, Albert Moussaron, Zahraa Youssef, Ludovic Colombeau, Francis Baros, Céline Frochot, Régis Vanderesse, and Samir Acherar. 2018. "Use of Cyclodextrins in Anticancer Photodynamic Therapy Treatment" Molecules 23, no. 8: 1936. https://doi.org/10.3390/molecules23081936

APA Style

Ben Mihoub, A., Larue, L., Moussaron, A., Youssef, Z., Colombeau, L., Baros, F., Frochot, C., Vanderesse, R., & Acherar, S. (2018). Use of Cyclodextrins in Anticancer Photodynamic Therapy Treatment. Molecules, 23(8), 1936. https://doi.org/10.3390/molecules23081936

Article Metrics

Back to TopTop