A Pharmacometabolomic Approach to Predict Response to Metformin in Early-Phase Type 2 Diabetes Mellitus Patients
Abstract
1. Introduction
2. Results
2.1. Subject Characteristics
2.2. Multivariate Analyses
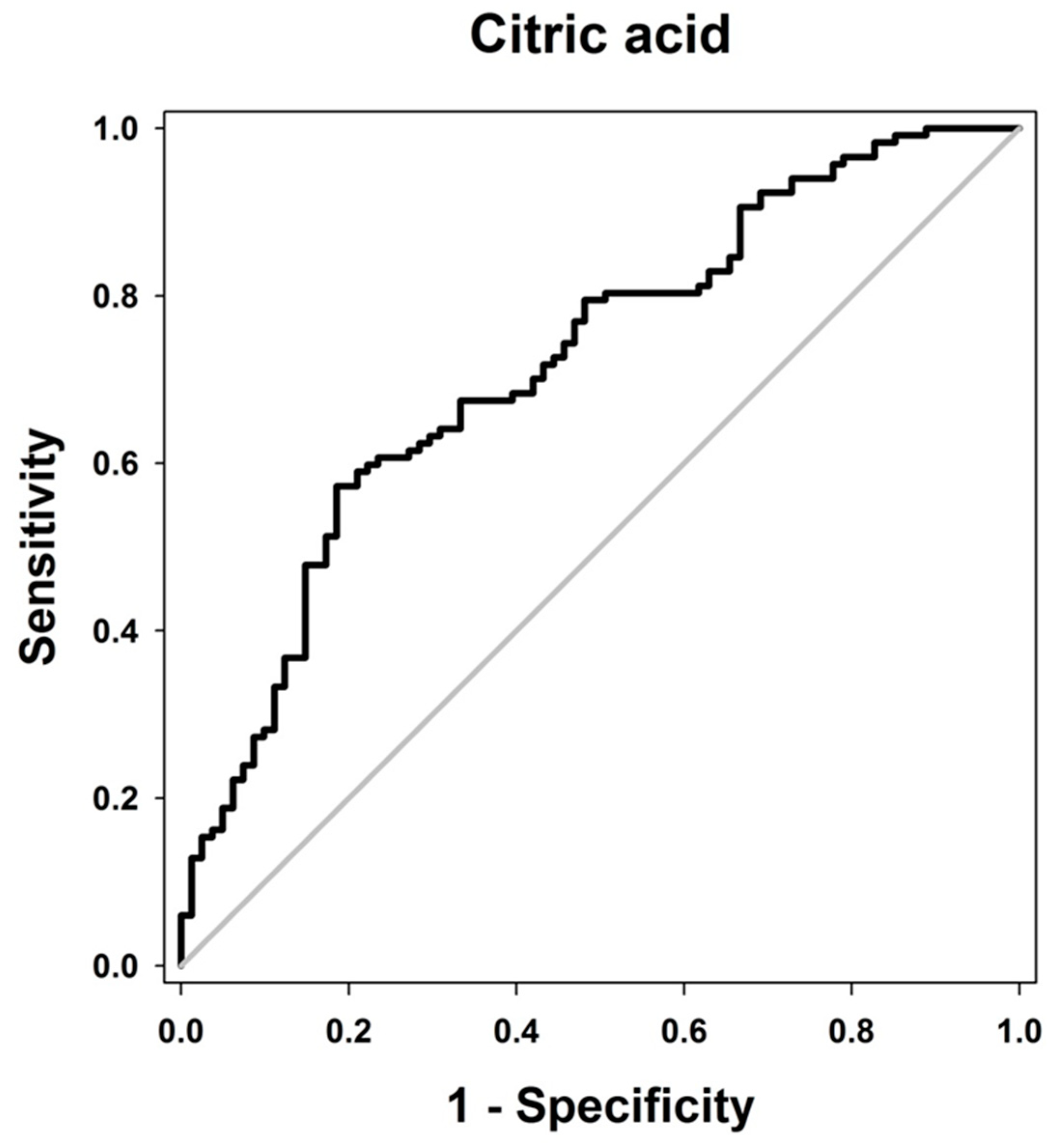
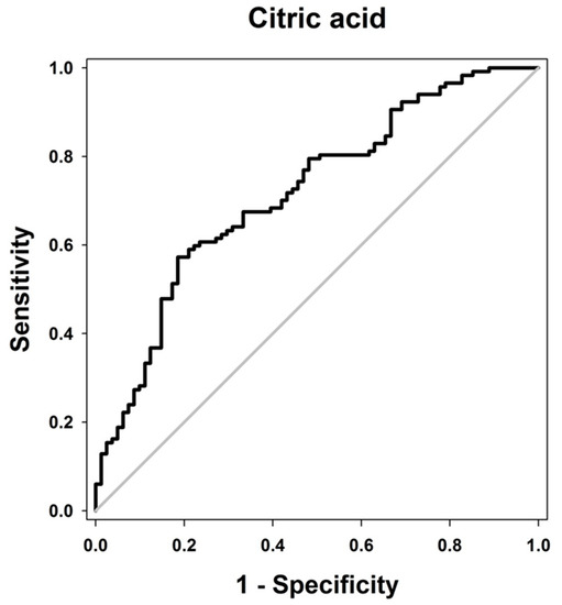
2.3. GC/MS of Untargeted Metabolomics in Urine
3. Discussion
4. Materials and Methods
4.1. Study Design and Subjects
4.2. Sample Preparation and MS Analysis
4.3. Data Processing for Metabolomics
4.4. Identification of Urine Metabolites
4.5. Statistical Analyses
5. Conclusions
Author Contributions
Funding
Acknowledgments
Conflicts of Interest
References
- Sun, H.; Zhang, S.; Zhang, A.; Yan, G.; Wu, X.; Han, Y.; Wang, X. Metabolomic analysis of diet-induced type 2 diabetes using UPLC/MS integrated with pattern recognition approach. PLoS ONE 2014, 9, e93384. [Google Scholar] [CrossRef] [PubMed]
- Wild, S.; Roglic, G.; Green, A.; Sicree, R.; King, H. Global prevalence of diabetes estimates for the year 2000 and projections for 2030. Diabetes Care 2004, 27, 1047–1053. [Google Scholar] [CrossRef] [PubMed]
- Kim, S.; Lee, J.; Lee, J.; Na, J.; Han, J.; Yoon, D.; Baik, S.; Choi, D.; Choi, K. Prevalence of diabetes and impaired fasting glucose in Korea Korean national health and nutrition survey 2001. Diabetes Care 2006, 29, 226–231. [Google Scholar] [CrossRef] [PubMed]
- Yoon, K.-H.; Lee, J.-H.; Kim, J.-W.; Cho, J.H.; Choi, Y.-H.; Ko, S.-H.; Zimmet, P.; Son, H.-Y. Epidemic obesity and type 2 diabetes in Asia. Lancet 2006, 368, 1681–1688. [Google Scholar] [CrossRef]
- Unwin, N.; Shaw, J.; Zimmet, P.; Alberti, K. Impaired glucose tolerance and impaired fasting glycaemia: The current status on definition and intervention. Diabet. Med. 2002, 19, 708–723. [Google Scholar] [PubMed]
- Donnelly, L.; Doney, A.; Hattersley, A.; Morris, A.; Pearson, E. The effect of obesity on glycaemic response to metformin or sulphonylureas in Type 2 diabetes. Diabet. Med. 2006, 23, 128–133. [Google Scholar] [CrossRef] [PubMed]
- Jermendy, G.; Erdesz, D.; Nagy, L.; Yin, D.; Phatak, H.; Karve, S.; Engel, S.; Balkrishnan, R. Outcomes of adding second hypoglycemic drug after metformin monotherapy failure among type 2 diabetes in Hungary. Health Qual. Life Outcomes 2008, 6, 1–8. [Google Scholar] [CrossRef] [PubMed]
- Hundal, R.S.; Krssak, M.; Dufour, S.; Laurent, D.; Lebon, V.; Chandramouli, V.; Inzucchi, S.E.; Schumann, W.C.; Petersen, K.F.; Landau, B.R. Mechanism by which metformin reduces glucose production in type 2 diabetes. Diabetes 2000, 49, 2063–2069. [Google Scholar] [CrossRef] [PubMed]
- Tahrani, A.A.; Bailey, C.J.; Del Prato, S.; Barnett, A.H. Management of type 2 diabetes: New and future developments in treatment. Lancet 2011, 378, 182–197. [Google Scholar] [CrossRef]
- Cook, M.N.; Girman, C.J.; Stein, P.P.; Alexander, C.M.; Holman, R.R. Glycemic control continues to deteriorate after sulfonylureas are added to metformin among patients with type 2 diabetes. Diabetes Care 2005, 28, 995–1000. [Google Scholar] [CrossRef] [PubMed]
- Turner, R.C.; Cull, C.A.; Frighi, V.; Holman, R.R.; Group, U.P.D.S. Glycemic control with diet, sulfonylurea, metformin, or insulin in patients with type 2 diabetes mellitus: Progressive requirement for multiple therapies (UKPDS 49). JAMA 1999, 281, 2005–2012. [Google Scholar] [CrossRef] [PubMed]
- Becker, M.; Visser, L.; van Schaik, R.; Hofman, A.; Uitterlinden, A.; Stricker, B. Genetic variation in the organic cation transporter 1 is associated with metformin response in patients with diabetes mellitus. Pharmacogn. J. 2009, 9, 242–247. [Google Scholar] [CrossRef] [PubMed]
- Corona, G.; Rizzolio, F.; Giordano, A.; Toffoli, G. Pharmaco-metabolomics: An emerging “omics” tool for the personalization of anticancer treatments and identification of new valuable therapeutic targets. J. Cell. Physiol. 2012, 227, 2827–2831. [Google Scholar] [CrossRef] [PubMed]
- Johnson, C.H.; Gonzalez, F.J. Challenges and opportunities of metabolomics. J. Cell. Physiol. 2012, 227, 2975–2981. [Google Scholar] [CrossRef] [PubMed]
- Wikoff, W.R.; Frye, R.F.; Zhu, H.; Gong, Y.; Boyle, S.; Churchill, E.; Cooper-Dehoff, R.M.; Beitelshees, A.L.; Chapman, A.B.; Fiehn, O. Pharmacometabolomics reveals racial differences in response to atenolol treatment. PLoS ONE 2013, 8, e57639. [Google Scholar] [CrossRef] [PubMed]
- Rotroff, D.M.; Oki, N.O.; Liang, X.; Yee, S.W.; Stocker, S.L.; Corum, D.G.; Meisner, M.; Fiehn, O.; Motsinger-Reif, A.A.; Giacomini, K.M. Pharmacometabolomic assessment of metformin in non-diabetic, african americans. Front. Pharmacol. 2016, 7, 135. [Google Scholar] [CrossRef] [PubMed]
- Zhao, X.; Fritsche, J.; Wang, J.; Chen, J.; Rittig, K.; Schmitt-Kopplin, P.; Fritsche, A.; Häring, H.-U.; Schleicher, E.D.; Xu, G. Metabonomic fingerprints of fasting plasma and spot urine reveal human pre-diabetic metabolic traits. Metabolomics 2010, 6, 362–374. [Google Scholar] [CrossRef] [PubMed]
- Cai, S.; Huo, T.; Li, N.; Xiong, Z.; Li, F. Lysophosphatidylcholine—Biomarker of metformin action: Studied using UPLC/MS/MS. Biomed. Chromatogr. 2009, 23, 782–786. [Google Scholar] [CrossRef] [PubMed]
- Awadallah, R.; El-Dessoukey, E.; Doss, H.; Khalifa, K. Blood-reduced glutathione, pyruvic acid, citric acid, ceruloplasmin oxidase activity and certain mineral changes in diabetes mellitus before and after treatment. Z. Ernährungswiss. 1978, 17, 72–78. [Google Scholar] [CrossRef] [PubMed]
- Yoshii, H.; Uchino, H.; Ohmura, C.; Watanabe, K.; Tanaka, Y.; Kawamori, R. Clinical usefulness of measuring urinary polyol excretion by gas-chromatography/mass-spectrometry in type 2 diabetes to assess polyol pathway activity. Diabetes Res. Clin. Pract. 2001, 51, 115–123. [Google Scholar] [CrossRef]
- Andrzejewski, S.; Gravel, S.-P.; Pollak, M.; St-Pierre, J. Metformin directly acts on mitochondria to alter cellular bioenergetics. Cancer Metab. 2014, 2, 1–14. [Google Scholar] [CrossRef] [PubMed]
- Hong, J.H.; Jang, H.W.; Kang, Y.E.; Lee, J.H.; Kim, K.S.; Kim, H.J.; Park, K.R.; Ku, B.J. Urinary chiro-and myo-inositol levels as a biological marker for type 2 diabetes mellitus. Dis. Markers 2012, 33, 193–199. [Google Scholar] [CrossRef] [PubMed]
- Palau-Rodriguez, M.; Tulipani, S.; Queipo-Ortuño, M.I.; Urpi-Sarda, M.; Tinahones, F.J.; Andres-Lacueva, C. Metabolomic insights into the intricate gut microbial–host interaction in the development of obesity and type 2 diabetes. Front. Microbiol. 2015, 6, 1151. [Google Scholar] [CrossRef] [PubMed]
- Huo, T.; Xiong, Z.; Lu, X.; Cai, S. Metabonomic study of biochemical changes in urinary of type 2 diabetes mellitus patients after the treatment of sulfonylurea antidiabetic drugs based on ultra-performance liquid chromatography/mass spectrometry. Biomed. Chromatogr. 2015, 29, 115–122. [Google Scholar] [CrossRef] [PubMed]
- Qiu, G.K.; Zheng, Y.; Wang, H.; Sun, J.; Ma, H.X.; Xiao, Y.; Li, Y.Z.; Yuan, Y.; Yang, H.D.; Li, X.L.; et al. Plasma metabolomics identified novel metabolites associated with risk of type 2 diabetes in two prospective cohorts of Chinese adults. Int. J. Epidemiol. 2016, 45, 1507–1516. [Google Scholar] [CrossRef] [PubMed]
- Dudzinska, W. Purine nucleotides and their metabolites in patients with type 1 and 2 diabetes mellitus. J. Biomed. Sci. Eng. 2014, 7, 38–44. [Google Scholar] [CrossRef]
- Shehab Eldin, W.; Ragheb, A.; Klassen, J.; Shoker, A. Evidence for increased risk of prediabetes in the uremic patient. Nephron Clin. Pract. 2007, 108, c47–c55. [Google Scholar] [CrossRef] [PubMed]
- Den Ouden, H.; Pellis, L.; Rutten, G.E.; Geerars-van Vonderen, I.K.; Rubingh, C.M.; van Ommen, B.; van Erk, M.J.; Beulens, J.W. Metabolomic biomarkers for personalised glucose lowering drugs treatment in type 2 diabetes. Metabolomics 2016, 12, 1–9. [Google Scholar] [CrossRef] [PubMed]
- Sherifali, D.; Nerenberg, K.; Pullenayegum, E.; Cheng, J.E.; Gerstein, H.C. The effect of oral antidiabetic agents on A1C levels: A systematic review and meta-analysis. Diabetes Care 2010, 33, 1859–1864. [Google Scholar] [CrossRef] [PubMed]
- Shikata, E.; Yamamoto, R.; Takane, H.; Shigemasa, C.; Ikeda, T.; Otsubo, K.; Ieiri, I. Human organic cation transporter (OCT1 and OCT2) gene polymorphisms and therapeutic effects of metformin. J. Hum. Genet. 2007, 52, 117–122. [Google Scholar] [CrossRef] [PubMed]
- Tanabe, A.; Kaneto, H.; Kamei, S.; Hirukawa, H.; Shimoda, M.; Kimura, T.; Obata, A.; Okauchi, S.; Tatsumi, F.; Kohara, K.; et al. Clinical effects of liraglutide are possibly influenced by hypertriglyceridemia and remaining pancreatic beta-cell function in subjects with type 2 diabetes mellitus. J. Diabetes Complicat. 2016, 30, 1201–1203. [Google Scholar] [CrossRef] [PubMed]
- Lee, J.; Park, J.; Lim, M.S.; Seong, S.J.; Seo, J.J.; Park, S.M.; Lee, H.W.; Yoon, Y.R. Quantile normalization approach for liquid chromatography-mass spectrometry-based metabolomic data from healthy human volunteers. Anal. Sci. 2012, 28, 801–805. [Google Scholar] [CrossRef] [PubMed]
- Ramadan, Z.; Jacobs, D.; Grigorov, M.; Kochhar, S. Metabolic profiling using principal component analysis, discriminant partial least squares, and genetic algorithms. Talanta 2006, 68, 1683–1691. [Google Scholar] [CrossRef] [PubMed]
- de Almeida, M.R.; Correa, D.N.; Rocha, W.F.; Scafi, F.J.; Poppi, R.J. Discrimination between authentic and counterfeit banknotes using Raman spectroscopy and PLS-DA with uncertainty estimation. Microchem. J. 2013, 109, 170–177. [Google Scholar] [CrossRef]
- Chang, C.; Guo, Z.-G.; He, B.; Yao, W.-Z. Metabolic alterations in the sera of Chinese patients with mild persistent asthma: A GC-MS-based metabolomics analysis. Acta Pharmacol. Sin. 2015, 36, 1356–1366. [Google Scholar] [CrossRef] [PubMed]
- Liu, R.; Xu, H.; Zhang, X.; Wang, X.; Yuan, Z.; Sui, Z.; Wang, D.; Bi, K.; Li, Q. Metabolomics strategy using high resolution mass spectrometry reveals novel biomarkers and pain-relief effect of traditional Chinese medicine prescription Wu-Zhu-Yu decoction acting on headache modelling rats. Molecules 2017, 22, 2110. [Google Scholar] [CrossRef] [PubMed]
- Xia, J.; Wishart, D.S. MetPA: A web-based metabolomics tool for pathway analysis and visualization. Bioinformatics 2010, 26, 2342–2344. [Google Scholar] [CrossRef] [PubMed]
- Le, C.T. A solution for the most basic optimization problem associated with an ROC curve. Stat. Methods Med. Res. 2006, 15, 571–584. [Google Scholar] [CrossRef] [PubMed]
- Greiner, M.; Pfeiffer, D.; Smith, R. Principles and practical application of the receiver-operating characteristic analysis for diagnostic tests. Prev. Vet. Med. 2000, 45, 23–41. [Google Scholar] [CrossRef]
Sample Availability: The compounds of citric acid, p-cresol glucuronide, uric acid, gluconic acid, myoinositol, pseudouridine, p-hydroxyphenylacetic acid, D-threo-isocitric acid, hippuric acid, hypoxanthine, and 3-(3-hydroxyphenyl)-3-hydroxypropanoic acid are available from the authors. |




| Baseline | Post 3M | Post 6M | |||||||
|---|---|---|---|---|---|---|---|---|---|
| Responder (n = 9) | Non-responder (n = 13) | p | Responder (n = 9) | Non-responder (n = 13) | p | Responder (n = 9) | Non-responder (n = 13) | p | |
| Age, y | 54.3 ± 8.90 | 52.2 ± 7.75 | a 0.574 | - | - | ||||
| Males, % | 22.2 | 61.5 | a 0.068 | - | - | ||||
| Height, cm | 159 ± 5.05 | 164 ± 9.09 | a 0.102 | - | - | ||||
| Weight, kg | 68.4 ± 5.73 | 68.3 ± 10.7 | a 0.978 | 66.3 ± 5.12 | 67.4 ± 10.5 | a 0.754 | 66.2 ± 4.91 | 67.3 ± 10.2 | a 0.750 |
| Body Mass Index, kg/m2 | 27.1 ± 1.96 | 25.5 ± 2.91 | a 0.119 | 26.3 ± 1.68 | 25.1 ± 2.89 | a 0.227 | 26.3 ± 1.61 | 25.1 ± 2.66 | a 0.200 |
| Waist Circumference, cm | 87.2 ± 3.82 | 87.4 ± 7.36 | a 0.933 | 88.7 ± 5.38 | 86.7 ± 7.11 | a 0.499 | 88.7 ± 5.20 | 86.8 ± 7.62 | a 0.553 |
| Systolic Blood Pressure, mmHg | 123 ± 15.5 | 129 ± 11.0 | a 0.332 | 117 ± 14.4 | 128 ± 16.6 | a 0.132 | 126 ± 10.8 | 127 ± 11.2 | a 0.802 |
| Diastolic Blood Pressure, mmHg | 72.8 ± 15.3 | 78.9 ± 5.24 | a 0.276 | 68.4 ± 6.80 | 77.4 ± 8.31 | a 0.012 * | 72.2 ± 10.5 | 78.1 ± 6.59 | a 0.163 |
| Heart Rate/Pulse Rate, beats/min | 76.4 ± 8.75 | 80.1 ± 10.3 | a 0.722 | 76.3 ± 14.0 | 79.4 ± 12.1 | b 0.575 | 74.8 ± 12.4 | 76.8 ± 12.2 | a 0.710 |
| Physical Activity Per Week | 2.07 ± 2.07 | 2.23 ± 2.64 | b 1.000 | 3.94 ± 3.08 | 3.96 ± 2.84 | b 0.893 | 2.44 ± 2.60 | 4.04 ± 2.97 | b 0.293 |
| Dietary Control | 6.38 ± 1.85 | 4.90 ± 1.52 | b 0.091 | 7.38 ± 1.51 | 6.14 ± 2.24 | a 0.168 | 6.88 ± 1.73 | 5.95 ± 2.15 | a 0.316 |
| Glucose, mg/dL | 142 ± 31.5 | 135 ± 21.2 | a 0.555 | 121 ± 20.5 | 135 ± 14.5 | a 0.112 | 120 ± 19.6 | 130 ± 19.2 | a 0.235 |
| Insulin, µIV/mL | 10.8 ± 6.90 | 8.82 ± 4.81 | b 0.594 | 8.24 ± 3.16 | 7.96 ± 3.52 | a 0.852 | 10.4 ± 3.73 | 9.67 ± 4.85 | a 0.698 |
| Hb1Ac, % | 7.77 ± 1.14 | 6.78 ± 0.47 | b 0.028 * | 6.73 ± 0.85 | 6.78 ± 0.50 | b 0.767 | 6.78 ± 0.53 | 6.64 ± 0.57 | a 0.585 |
| Metabolites | Responder | Non-Responder | % Difference | p | Similarity (%) | RT (minute) |
|---|---|---|---|---|---|---|
| Citric Acid | 1.33 ± 1.50 | 0.61 ± 0.57 | −54.6 | <0.0001 ** | 95.4 | 23.27 |
| Myoinositol | 1.99 ± 3.11 | 2.35 ± 3.63 | 18.1 | 0.049 * | 85.9 | 28.48 |
| Pseudouridine | 4.04 ± 11.7 | 0.10 ± 0.09 | −97.5 | 0.139 | 80.3 | 32.80 |
| p-hydroxyphenylacetic Acid | 0.30 ± 0.26 | 0.23 ± 0.26 | −24.1 | 0.719 | 91.1 | 19.02 |
| Hippuric Acid | 10.9 ± 48.4 | 5.78 ± 8.75 | −72.3 | 0.018 * | 97.4 | 23.22 |
| Hypoxanthine | 1.72 ± 2.96 | 1.86 ± 5.16 | 8.25 | 0.859 | 95.4 | 22.68 |
| Metabolites | Responder (3M) | p | Non-Responder (3M) | p | Responder (6M) | p | Non-Responder (6M) | p |
|---|---|---|---|---|---|---|---|---|
| Citric Acid | −0.07 ± 1.58 | 0.060 | 0.27 ± 0.66 | 0.001 ** | 0.04 ± 2.48 | 0.112 | 0.53 ± 1.89 | <0.0001 ** |
| Myoinositol | −1.25 ± 2.57 | <0.0001 ** | −0.70 ± 1.89 | <0.0001 ** | −1.30 ± 2.84 | <0.0001 ** | −1.11 ± 2.66 | <0.0001 ** |
| Pseudouridine | −3.17 ± 9.56 | 0.767 | 0.01 ± 1.16 | 0.807 | −2.90 ± 8.58 | 0.214 | 0.08 ± 0.19 | 0.173 |
| p-hydroxyphenylacetic Acid | 0.02 ± 0.32 | 0.486 | −0.08 ± 0.28 | 0.387 | −0.07 ± 0.36 | 0.136 | −0.07 ± 0.25 | 0.084 |
| Hippuric Acid | −2.68 ± 51.5 | 0.199 | 6.52 ± 18.6 | 0.304 | 7.19 ± 83.3 | 0.845 | 15.1 ± 64.6 | 0.200 |
| Hypoxanthine | 1.00 ± 5.79 | 0.594 | −0.81 ± 4.77 | 0.552 | −1.29 ± 2.89 | 0.214 | −1.03 ± 4.52 | 0.807 |
© 2018 by the authors. Licensee MDPI, Basel, Switzerland. This article is an open access article distributed under the terms and conditions of the Creative Commons Attribution (CC BY) license (http://creativecommons.org/licenses/by/4.0/).
Share and Cite
Park, J.-E.; Jeong, G.-H.; Lee, I.-K.; Yoon, Y.-R.; Liu, K.-H.; Gu, N.; Shin, K.-H. A Pharmacometabolomic Approach to Predict Response to Metformin in Early-Phase Type 2 Diabetes Mellitus Patients. Molecules 2018, 23, 1579. https://doi.org/10.3390/molecules23071579
Park J-E, Jeong G-H, Lee I-K, Yoon Y-R, Liu K-H, Gu N, Shin K-H. A Pharmacometabolomic Approach to Predict Response to Metformin in Early-Phase Type 2 Diabetes Mellitus Patients. Molecules. 2018; 23(7):1579. https://doi.org/10.3390/molecules23071579
Chicago/Turabian StylePark, Jeong-Eun, Gui-Hwa Jeong, In-Kyu Lee, Young-Ran Yoon, Kwang-Hyeon Liu, Namyi Gu, and Kwang-Hee Shin. 2018. "A Pharmacometabolomic Approach to Predict Response to Metformin in Early-Phase Type 2 Diabetes Mellitus Patients" Molecules 23, no. 7: 1579. https://doi.org/10.3390/molecules23071579
APA StylePark, J.-E., Jeong, G.-H., Lee, I.-K., Yoon, Y.-R., Liu, K.-H., Gu, N., & Shin, K.-H. (2018). A Pharmacometabolomic Approach to Predict Response to Metformin in Early-Phase Type 2 Diabetes Mellitus Patients. Molecules, 23(7), 1579. https://doi.org/10.3390/molecules23071579

