Synthesis, Immunosuppressive Properties, and Mechanism of Action of a New Isoxazole Derivative
Abstract
1. Introduction
2. Results
2.1. Chemistry
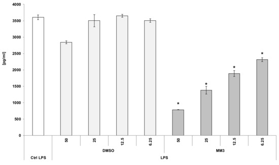
2.2. Biology
3. Discussion
4. Materials and Methods
4.1. Chemistry
4.2. Biology
4.2.1. Reagents
4.2.2. Preparation of the Compounds for Biological Assays
4.2.3. Determination of the Toxicity of the MM Compounds against the A549 Cell Line
4.2.4. Isolation of the Peripheral Blood Mononuclear Cells (PBMCs)
4.2.5. PHA-Induced Proliferation of Human PBMC
4.2.6. Lipopolysaccharide-Induced TNF-a Production in Whole Blood Cell Culture
4.2.7. Colorimetric MTT Assay for Cell Growth and Kill
4.2.8. Cultures of Jurkat Cells and Total RNA Isolation
4.2.9. Reverse Transcription
4.2.10. Quantitation of Gene Expression by Real Time PCR
4.2.11. Statistics
Supplementary Materials
Author Contributions
Funding
Acknowledgments
Conflicts of Interest
References
- Kamal, A.; Reddy, J.S.; Ramaiah, M.J.; Dastagiri, D.; Bharathi, E.V.; Azhar, M.A.; Sultana, F.; Pal-Bhadra, M.; Juvekar, A.; Sen, S.; et al. Design, synthesis and biological evaluation of 3,5-diaryl-isoxazoline/isoxazole-pyrrolobenzodiazepine conjugates as potential anticancer agents. Eur. J. Med. Chem. 2010, 45, 3924–3937. [Google Scholar] [CrossRef] [PubMed]
- Malamas, M.S.; Manas, E.S.; McDevitt, R.E.; Gunawan, I.; Xu, Z.B.; Collini, M.D.; Miller, C.P.; Dinh, T.; Henderson, R.A.; Keith, J.C.; et al. Design and Synthesis of Aryl Diphenolic Azoles as Potent and Selective Estrogen Receptor-β Ligands. J. Med. Chem. 2004, 47, 5021–5040. [Google Scholar] [CrossRef] [PubMed]
- Chiarino, D.; Napoletano, M.; Sala, A. Synthesis of 4,7-dihydro-4-oxoisoxazolo[5,4-b]pyridine-5-carboxylic acid derivatives as potential antimicrobial agents. J. Heterocycl. Chem. 1988, 25, 231–233. [Google Scholar] [CrossRef]
- Shantharam, C.S.; Vardhan, D.S.; Suhas, R.; Sridhara, M.B.; Gowda, D.C. Inhibition of protein glycation by urea and thiourea derivatives of glycine/proline conjugated benzisoxazole analogue—Synthesis and structure-activity studies. Eur. J. Med. Chem. 2013, 60, 325–332. [Google Scholar] [CrossRef] [PubMed]
- Priya, B.S.; Swamy, S.N.; Rangappa, K.S. Synthesis and characterization of novel 6-fluoro-4-piperidinyl-1,2-benzisoxazole amides and 6-fluoro-chroman-2-carboxamides: Antimicrobial studies. Bioorg. Med. Chem. 2005, 13, 2623–2628. [Google Scholar] [CrossRef] [PubMed]
- Andrés, J.I.; Alcázar, J.; Alonso, J.M.; De Lucas, A.I.; Iturrino, L.; Biesmans, I.; Megens, A.A. Synthesis of 7-amino-3a,4-dihydro-3H-[1]benzopyrano[4,3-c]isoxazole derivatives displaying combined alpha2-adrenoceptor antagonistic and 5-HT reuptake inhibiting activities. Bioorg. Med. Chem. 2006, 14, 4361–4372. [Google Scholar] [CrossRef] [PubMed]
- Su, D.-S.; Lim, J.J.; Tinney, E.; Wan, B.-L.; Young, M.B.; Anderson, K.D.; Rudd, D.; Munshi, V.; Bahnck, C.; Felock, P.J.; et al. Biaryl Ethers as Novel Non-nucleoside Reverse Transcriptase Inhibitors with Improved Potency against Key Mutant Viruses. J. Med. Chem. 2009, 52, 7163–7169. [Google Scholar] [CrossRef] [PubMed]
- Wagner, E.; Becan, L.; Nowakowska, E. Synthesis and pharmacological assessment of derivatives of isoxazolo[4,5-d]pyrimidine. Bioorg. Med. Chem. 2004, 12, 265–272. [Google Scholar] [CrossRef] [PubMed]
- Alsalameh, S.; Burian, M.; Mahr, G.; Woodcock, B.G.; Geisslinger, G. Review article: The pharmacological properties and clinical use of valdecoxib, a new cyclo-oxygenase-2-selective inhibitor. Aliment. Pharmacol. Ther. 2003, 17, 489–501. [Google Scholar] [CrossRef] [PubMed]
- Fox, R.I.; Herrmann, M.L.; Frangou, C.G.; Wahl, G.M.; Morris, R.E.; Strand, V.; Kirschbaum, B.J. Mechanism of action for leflunomide in rheumatoid arthritis. Clin. Immunol. 1999, 93, 198–208. [Google Scholar] [CrossRef] [PubMed]
- Bräuner-Osborne, H.; Egebjerg, J.; Nielsen, E.Ø.; Madsen, U.; Krogsgaard-Larsen, P. Ligands for Glutamate Receptors: Design and Therapeutic Prospects. J. Med. Chem. 2000, 43, 2609–2645. [Google Scholar] [CrossRef] [PubMed]
- Ryng, S.; Głowiak, T. Nucleophilic Substitution of an Acyl Azide: General Method for the Preparation of 5-Amino-3-methyl-4-isoxazolecarboxylic Acid Amides and Hydrazides. Synth. Commun. 1997, 27, 1359–1368. [Google Scholar] [CrossRef]
- Ryng, S.; Machoń, Z.; Wieczorek, Z.; Zimecki, M. Synthesis and immunological activity of new 5-amino-3-methyl 4-amido and 4-ureilene isoxazole derivatives. Pharmazie 1999, 54, 359–361. [Google Scholar] [CrossRef] [PubMed]
- Ryng, S.; Zimecki, M.; Fedorowicz, A.; Jezierska, A. Reactions of 5-amino-3-methylisoxazole-4-carboxylic acid hydrazide with carbonyl compounds: Immunological activity and QSAR studies of products. Arch. Pharm. 2001, 334, 71–78. [Google Scholar] [CrossRef]
- Jezierska, A.; Mączyński, M.; Koll, A.; Ryng, S. Structure/activity investigations of 5-substituted 3-methylisoxazole[5, 4-d]1, 2, 3-triazin-4-one derivatives. Arch. Pharm. 2004, 337, 81–89. [Google Scholar] [CrossRef] [PubMed]
- Ryng, S.; Sonnenberg, Z.; Zimecki, M. RM-11, a new izoxasole derivative, is a potent stimulator of the humoral and cellular immune responses in mice. Arch. Immunol. Ther. Exp. 2000, 48, 127–131. [Google Scholar]
- Ryng, S.; Machoń, Z.; Wieczorek, Z.; Zimecki, M.; Głowiak, T. Synthesis and Structure Elucidation of 5-Aminomethinimino-3-methyl-4-isoxazolecarboxylic Acid Phenylamides and Their Immunological Activity. Arch. Pharm. 1997, 330, 319–326. [Google Scholar] [CrossRef]
- Zimecki, M.; Artym, J.; Ryng, S.; Obmińska-Mrukowicz, B. RM-11, an isoxazole derivative, accelerates restoration of the immune function in mice treated with cyclophosphamide. Pharmacol. Rep. 2008, 60, 183–189. [Google Scholar] [PubMed]
- Zimecki, M.; Artym, J.; Kocięba, M.; Obmińska-Mrukowicz, B.; Mączyński, M.; Ryng, S. Restoration of immune system function is accelerated in immunocompromised mice by the B-cell-tropic isoxazole R-11. Pharmacol. Rep. 2012, 64, 403–411. [Google Scholar] [CrossRef]
- Zimecki, M.; Artym, J.; Kocięba, M.; Obmińska-Mrukowicz, B.; Mączyński, M.; Ryng, S. Immune function in cyclophosphamide-treated mice is restored by the T-cell-tropic isoxazole derivative R-13. J. Immunotoxicol. 2015, 12, 322–329. [Google Scholar] [CrossRef] [PubMed]
- Ryng, S.; Zimecki, M.; Mączyński, M.; Chodaczek, G.; Kocięba, M. Immunosuppressive activity of an isoxazolo[5,4-e]triazepine-compound RM33 I. Effects on the humoral and cellular immune response in mice. Pharmacol. Rep. 2005, 57, 195–202. [Google Scholar] [PubMed]
- Zimecki, M.; Ryng, S.; Mączyński, M.; Chodaczek, G.; Kocięba, M.; Kuryszko, J.; Kaleta, K. Immunosuppressory activity of an isoxazolo[5,4-e]triazepine-compound RM-33 II. Effects on the carrageenan-induced inflammation. Pharmacol. Rep. 2006, 58, 236–241. [Google Scholar] [PubMed]
- Zimecki, M.; Mączyński, M.; Artym, J.; Ryng, S. Closely related isoxazoles may exhibit opposite immunological activities. Acta Pol. Pharm. 2008, 65, 793–794. [Google Scholar] [PubMed]
- Ryng, S.; Machoń, Z.; Wieczorek, Z.; Zimecki, M.; Mokrosz, M. Synthesis, immunomodulating effects and structure-activity relationships of new N-phenyl-5-amino-3-methylisoxazole-4-carboxamides. Eur. J. Med. Chem. 1998, 33, 831–836. [Google Scholar] [CrossRef]
- Ryng, S.; Zimecki, M.; Sonnenberg, Z.; Mokrosz, M.J. Immunomodulating action and structure-activity relationships of substituted phenylamides of 5-amino-3-methylisoxazole-4-carboxylic acid. Arch. Pharm. 1999, 332, 158–162. [Google Scholar] [CrossRef]
- Ryng, S.; Zimecki, M.; Fedorowicz, A.; Koll, A. Immunological activity of new heterocyclic amides of 5-amino-3-methylisoxazole-4-carboxylic acid. Pol. J. Pharmacol. 1999, 51, 257–262. [Google Scholar] [PubMed]
- Mączyński, M.; Artym, J.; Kocięba, M.; Sochacka-Ćwikła, A.; Drozd-Szczygieł, E.; Ryng, S.; Zimecki, M. Synthesis and immunoregulatory properties of selected 5-amino-3-methyl-4-isoxazolecarboxylic acid benzylamides. Acta Pol. Pharm. 2016, 73, 1201–1211. [Google Scholar] [PubMed]
- Mączyński, M.; Zimecki, M.; Taraszkiewicz, M.; Ryng, S. Synthesis, immunological activity and computational study of 5-amino-3-methyl-4-isoxazolecarboxylic acid semicarbazides and thiosemicarbazides. Acta Pol. Pharm. 2008, 65, 543–549. [Google Scholar] [PubMed]
- Mączyński, M.; Zimecki, M.; Ryng, S. Structure and immunological activity of disubstituted thiosemicarbazide isoxazole derivative. Acta Pol. Pharm. 2004, 61, 82–83. [Google Scholar] [PubMed]
- Mączyński, M.; Zimecki, M.; Ryng, S. A new class of isoxazole derivatives: The M 1-9 series of compounds with immunotropic activity. Acta Pol. Pharm. 2008, 65, 241–244. [Google Scholar] [PubMed]
- Mączyński, M.; Ryng, S.; Artym, J.; Kocięba, M.; Zimecki, M.; Brudnik, K.; Jodkowski, J.T. New lead structures in the isoxazole system: Relationship between quantum chemical parameters and immunological activity. Acta Pol. Pharm. 2014, 71, 71–83. [Google Scholar] [PubMed]
- Shaw, G.; Sugowdz, G. ISO Oxazolones. Part VI. The hydrogenation of 5-aminoisooxazoles. A new synthesis of pyrimidines. J. Chem. Soc. 1954, 665–668. [Google Scholar] [CrossRef]
- Baba, H.; Hori, I.; Hayashi, T.; Midorikawa, H. Reactions of α-Cyano-β-methoxy-β-alkylacrylic Esters with Hydrazine and Hydroxylamine. Bull. Chem. Soc. Jpn. 1969, 42, 1653–1659. [Google Scholar] [CrossRef]
- Regiec, A.; Płoszaj, P.; Ryng, S.; Wojciechowski, P. Vibrational spectroscopy of 5-amino-3-methyl-4-isoxazolecarbohydrazide and its N-deuterated isotopologue. Vib. Spectrosc. 2014, 70, 125–136. [Google Scholar] [CrossRef]
- Regiec, A.; Wojciechowski, P.; Pietraszko, A.; Mączyński, M. Infrared spectra and other properties predictions of 5-amino-3-methyl-4-isoxazolecarbohydrazide with electric field simulation using CPC model. J. Mol. Struct. 2018, 1161, 320–338. [Google Scholar] [CrossRef]
- Fragoso, Y.D.; Brooks, J.B.B. Leflunomide and teriflunomide: Altering the metabolism of pyrimidines for the treatment of autoimmune diseases. Expert Rev. Clin. Pharmacol. 2015, 8, 315–320. [Google Scholar] [CrossRef] [PubMed]
- Patrick, G.L. An Introduction to Medicinal Chemistry; OUP Oxford: Oxford, UK, 2013; ISBN 978-0-19-969739-7. [Google Scholar]
- Laufer, S.A.; Margutti, S.; Fritz, M.D. Substituted isoxazoles as potent inhibitors of p38 MAP kinase. Chem. Med. Chem. 2006, 1, 197–207. [Google Scholar] [CrossRef] [PubMed]
- Khan, K.M.; Mughal, U.R.; Khan, M.T.H.; Perveen, S.; Iqbal Choudhary, M. Oxazolones: New tyrosinase inhibitors; synthesis and their structure–activity relationships. Bioorg. Med. Chem. 2006, 14, 6027–6033. [Google Scholar] [CrossRef] [PubMed]
- Mączyński, M.; Artym, J.; Kocięba, M.; Kochanowska, I.; Ryng, S.; Zimecki, M. Anti-inflammatory properties of an isoxazole derivative—MZO-2. Pharmacol. Rep. 2016, 68, 894–902. [Google Scholar] [CrossRef] [PubMed]
- Mukerjee, N.; McGinnis, K.M.; Gnegy, M.E.; Wang, K.K. Caspase-mediated calcineurin activation contributes to IL-2 release during T cell activation. Biochem. Biophys. Res. Commun. 2001, 285, 1192–1199. [Google Scholar] [CrossRef] [PubMed]
- Drynda, A.; Obmińska-Mrukowicz, B.; Zaczyńska, E.; Zimecki, M.; Kochanowska, I.; Ryng, S.; Mączyński, M. 5-Amino-3-methyl-4-isoxazolecarboxylic acid hydrazide derivatives with in vitro immunomodulatory activities. Chem. Biol. Drug Des. 2017, 89, 705–713. [Google Scholar] [CrossRef] [PubMed]
- Chaudhary, P.M.; Eby, M.T.; Jasmin, A.; Kumar, A.; Liu, L.; Hood, L. Activation of the NF-kappaB pathway by caspase 8 and its homologs. Oncogene 2000, 19, 4451–4460. [Google Scholar] [CrossRef] [PubMed]
- Liu, F.; Bardhan, K.; Yang, D.; Thangaraju, M.; Ganapathy, V.; Waller, J.L.; Liles, G.B.; Lee, J.R.; Liu, K. NF-κB directly regulates Fas transcription to modulate Fas-mediated apoptosis and tumor suppression. J. Biol. Chem. 2012, 287, 25530–25540. [Google Scholar] [CrossRef] [PubMed]
- Mohan, S.; Abdelwahab, S.I.; Kamalidehghan, B.; Syam, S.; May, K.S.; Harmal, N.S.M.; Shafifiyaz, N.; Hadi, A.H.A.; Hashim, N.M.; Rahmani, M.; et al. Involvement of NF-κB and Bcl2/Bax signaling pathways in the apoptosis of MCF7 cells induced by a xanthone compound Pyranocycloartobiloxanthone A. Phytomedicine 2012, 19, 1007–1015. [Google Scholar] [CrossRef] [PubMed]
- Selter, H.; Montenarh, M. The emerging picture of p53. Int. J. Biochem. 1994, 26, 145–154. [Google Scholar] [CrossRef]
- Hansen, M.B.; Nielsen, S.E.; Berg, K. Re-examination and further development of a precise and rapid dye method for measuring cell growth/cell kill. J. Immunol. Methods 1989, 119, 203–210. [Google Scholar] [CrossRef]
Sample Availability: Samples of the compounds are not available from the authors. |




| Compound | Modification/R ![]() | Toxicity against A549 Cells | Biological Activity |
|---|---|---|---|
| MM1 | ethylidene | absent | not suppressive in the proliferation test |
| MM2 | 4-hydroxyphenyl | absent | moderately suppressive in the proliferation test |
| MM3 | 2,4-dihydroxyphenyl | absent | suppression of PBMC proliferation, TNF α activity and induction of a proapoptotic pathway |
| MM4 | 5-nitrothiophen-2-yl | high | strongly suppressive in the proliferation test |
| MM5 | phenyl | absent | not suppressive in the proliferation test |
| MM6 | 4-chlorophenyl | moderate | moderately suppressive in the proliferation test |
| MM7 | 2-chlorophenyl | absent | weakly suppressive in the proliferation test |
| MM8 | 2-methoxyphenyl | absent | weakly suppressive in the proliferation test |
| MM9 | 4-nitrophenyl | moderate | moderately suppressive in the proliferation test |
| MM10 | 3-nitrophenyl | absent | moderately suppressive in the proliferation test |
| Signaling Molecule | MM3 (50 μM) |
|---|---|
| Bcl-2 | 0.5 |
| Casp-3 | 20.6 |
| Casp-7 | 16.0 |
| Casp-8 | 50.7 |
| Casp-9 | 2.7 |
| Fas | 7.8 |
| NF-κB1 | 50.1 |
| p53 | 0 |
© 2018 by the authors. Licensee MDPI, Basel, Switzerland. This article is an open access article distributed under the terms and conditions of the Creative Commons Attribution (CC BY) license (http://creativecommons.org/licenses/by/4.0/).
Share and Cite
Mączyński, M.; Borska, S.; Mieszała, K.; Kocięba, M.; Zaczyńska, E.; Kochanowska, I.; Zimecki, M. Synthesis, Immunosuppressive Properties, and Mechanism of Action of a New Isoxazole Derivative. Molecules 2018, 23, 1545. https://doi.org/10.3390/molecules23071545
Mączyński M, Borska S, Mieszała K, Kocięba M, Zaczyńska E, Kochanowska I, Zimecki M. Synthesis, Immunosuppressive Properties, and Mechanism of Action of a New Isoxazole Derivative. Molecules. 2018; 23(7):1545. https://doi.org/10.3390/molecules23071545
Chicago/Turabian StyleMączyński, Marcin, Sylwia Borska, Katarzyna Mieszała, Maja Kocięba, Ewa Zaczyńska, Iwona Kochanowska, and Michał Zimecki. 2018. "Synthesis, Immunosuppressive Properties, and Mechanism of Action of a New Isoxazole Derivative" Molecules 23, no. 7: 1545. https://doi.org/10.3390/molecules23071545
APA StyleMączyński, M., Borska, S., Mieszała, K., Kocięba, M., Zaczyńska, E., Kochanowska, I., & Zimecki, M. (2018). Synthesis, Immunosuppressive Properties, and Mechanism of Action of a New Isoxazole Derivative. Molecules, 23(7), 1545. https://doi.org/10.3390/molecules23071545

