Exploring the Dual Inhibitory Activity of Novel Anthranilic Acid Derivatives towards α-Glucosidase and Glycogen Phosphorylase Antidiabetic Targets: Design, In Vitro Enzyme Assay, and Docking Studies
Abstract
1. Introduction
2. Results and Discussion
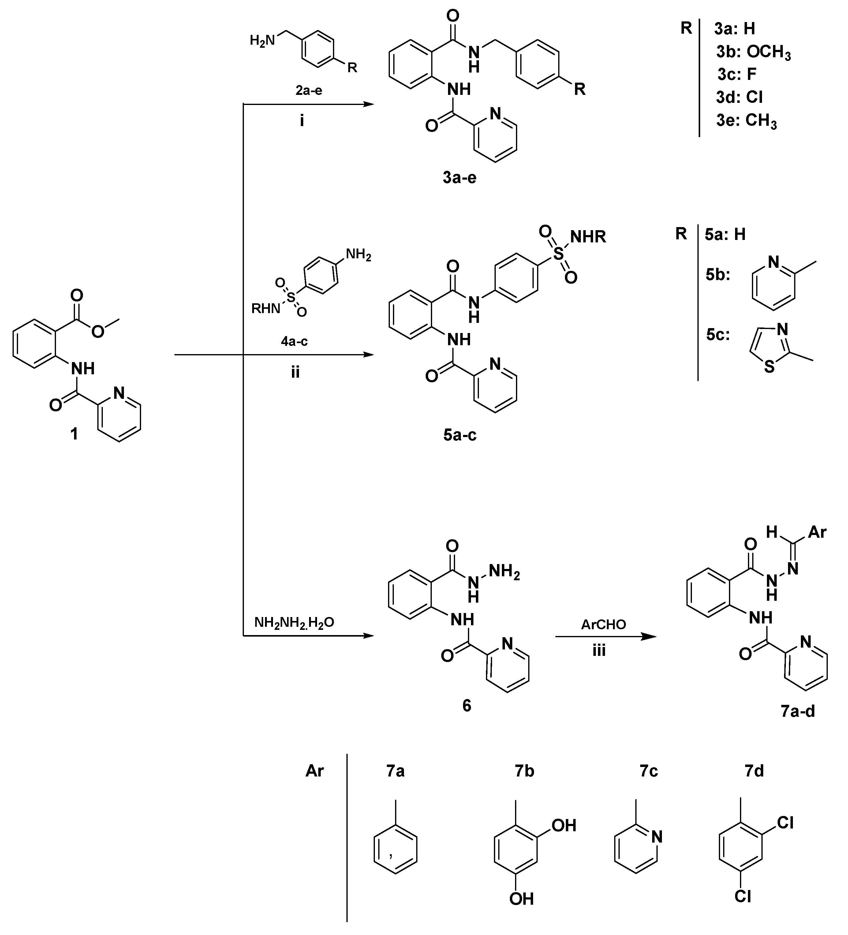
2.1. Chemistry
2.2. Biological Screening
2.2.1. α-Glucosidase Inhibitory Assay
2.2.2. Glycogen Phosphorylase Inhibitory Assay
2.2.3. In Vivo Antidiabetic Screening
2.3. Molecular Docking Studies and SAR Analyses
3. Materials and Methods
3.1. Chemistry
3.2. Synthesis and Characterization of Methyl 2-(Picolinamido)benzoate (1)
3.3. General Procedure for the Synthesis of Diamides 3a–e and 5a–c
3.4. Synthesis and Characterization of N-(2-(Hydrazinecarbonyl)phenyl)picolinamide (6)
3.5. General Procedure for the Synthesis of Schiff Bases-Type Hydrazones 7a–d
3.6. α-Glucosidase Inhibition Assay
3.7. Glycogen Phosphorylase Enzyme Assay
3.8. In Vivo Antidiabetic Screening
3.9. Molecular Docking
4. Conclusions
Acknowledgments
Conflicts of Interest
References
- Nyenwe, E.A.; Jerkins, T.W.; Umpierrez, G.E.; Kitabchi, A.E. Management of type 2 diabetes: Evolving strategies for the treatment of patients with type 2 diabetes. Metab. Clin. Exp. 2011, 60, 1–23. [Google Scholar] [CrossRef] [PubMed]
- Xie, Y.; Xie, Z. Chapter 7—Treatment of Diabetic Cardiomyopathy through Upregulating Autophagy by Stimulating AMP-Activated Protein Kinase A2—Hayat, M.A. In Autophagy: Cancer, Other Pathologies, Inflammation, Immunity, Infection, and Aging; Academic Press: Amsterdam, The Netherlands, 2014; pp. 91–103. [Google Scholar]
- American Diabetes Association. Diagnosis and Classification of Diabetes Mellitus. Diabetes Care 2009, 32 (Suppl. 1), S62–S67. [Google Scholar]
- Reinehr, T.; Schober, E.; Roth, C.L.; Wiegand, S.; Holl, R. Type 2 diabetes in children and adolescents in a 2-year follow-up: Insufficient adherence to diabetes centers. Horm. Res. 2008, 69, 107–113. [Google Scholar] [CrossRef] [PubMed]
- Weiss, R.; Taksali, S.E.; Caprio, S. Development of type 2 diabetes in children and adolescents. Curr. Diabetes Rep. 2006, 6, 182–187. [Google Scholar] [CrossRef]
- WHO. Cardiovascular Diseases. 2017. Available online: http://www.who.int/mediacentre/factsheets/fs317/en/ (accessed on 15 May 2017).
- Jahan, H.; Choudhary, M.I. Glycation, carbonyl stress and AGEs inhibitors: A patent review. Expert Opin. Ther. Pat. 2015, 25, 1267–1284. [Google Scholar] [PubMed]
- Asif, M. The prevention and control the type-2 diabetes by changing lifestyle and dietary pattern. J. Educ. Health Promot. 2014, 3, 1. [Google Scholar] [CrossRef] [PubMed]
- Zhang, N.; Du, S.M.; Ma, G.S. Current lifestyle factors that increase risk of T2DM in China. Eur. J. Clin. Nutr. 2017, 71, 832. [Google Scholar] [CrossRef] [PubMed]
- Hu, F.B. Globalization of Diabetes: The role of diet, lifestyle, and genes. Diabetes Care 2011, 34, 1249–1257. [Google Scholar] [CrossRef] [PubMed]
- WHO. Biological, Behavioural and Contextual Rationale. 2014. Available online: http://www.who.int/elena/titles/bbc/fruit_vegetables_ncds/en/ (accessed on 15 May 2017).
- Prentki, M.; Nolan, C.J. Islet beta cell failure in type 2 diabetes. J. Clin. Investig. 2006, 116, 1802–1812. [Google Scholar] [CrossRef] [PubMed]
- Kahn, S.E.; Haffner, S.M.; Heise, M.A.; Herman, W.H.; Holman, R.R.; Jones, N.P.; Kravitz, B.G.; Lachin, J.M.; O’Neill, M.C.; Zinman, B.; et al. Glycemic durability of rosiglitazone, metformin, or glyburide monotherapy. N. Engl. J. Med. 2006, 355, 2427–2443. [Google Scholar] [CrossRef] [PubMed]
- Monami, M.; Lamanna, C.; Marchionni, N.; Mannucci, E. Comparison of different drugs as add-on treatments to metformin in type 2 diabetes: A meta-analysis. Diabetes Res. Clin. Pract. 2008, 79, 196–203. [Google Scholar] [CrossRef] [PubMed]
- Miller, B.R.; Nguyen, H.; Hu, C.J.-H.; Lin, C.; Nguyen, Q.T. New and Emerging Drugs and Targets for Type 2 Diabetes: Reviewing the Evidence. Am. Health Drug Benefits 2014, 7, 452–463. [Google Scholar] [PubMed]
- Woerle, H.J.; Szoke, E.; Meyer, C.; Dostou, J.M.; Wittlin, S.D.; Gosmanov, N.R.; Welle, S.L.; Gerich, J.E. Mechanisms for abnormal postprandial glucose metabolism in type 2 diabetes. Am. J. Physiol. Endocrinol. Metab. 2006, 290, E67–E77. [Google Scholar] [CrossRef] [PubMed]
- Magnusson, I.; Rothman, D.L.; Katz, L.D.; Shulman, R.G.; Shulman, G.I. Increased rate of gluconeogenesis in type II diabetes mellitus. A 13C nuclear magnetic resonance study. J. Clin. Investig. 1992, 90, 1323–1327. [Google Scholar] [CrossRef] [PubMed]
- Chen, J.; Gong, Y.; Liu, J.; Hua, W.; Zhang, L.; Sun, H. Synthesis and biological evaluation of novel pyrazolo[4,3-b]oleanane derivatives as inhibitors of glycogen phosphorylase. Chem. Biodivers. 2008, 5, 1304–1312. [Google Scholar] [CrossRef] [PubMed]
- Liu, J.; Zhang, H.; Zhu, P.; Wu, X.; Yao, H.; Ye, W.; Jiang, J.; Xu, J. Synthesis and biological evaluation of ambradiolic acid as an inhibitor of glycogen phosphorylase. Fitoterapia 2015, 100, 50–55. [Google Scholar] [CrossRef] [PubMed]
- Zhang, P.; Hao, J.; Liu, J.; Lu, Q.; Sheng, H.; Zhang, L.; Sun, H. Synthesis of 3-deoxypentacyclic triterpene derivatives as inhibitors of glycogen phosphorylase. J. Nat. Prod. 2009, 72, 1414–1418. [Google Scholar] [CrossRef] [PubMed]
- Borges de Melo, E.; da Silveira Gomes, A.; Carvalho, I. α- and β-Glucosidase inhibitors: Chemical structure and biological activity. Tetrahedron 2006, 62, 10277–10302. [Google Scholar] [CrossRef]
- Derosa, G.; Maffioli, P. α-Glucosidase inhibitors and their use in clinical practice. Arch. Med. Sci. AMS 2012, 8, 899–906. [Google Scholar] [CrossRef] [PubMed]
- Suleiman, M.M.; Isaev, S.G.; Klenina, O.V.; Ogurtsov, V.V. Synthesis, biological activity evaluation and QSAR studies of novel 3-(aminooxalyl-amino)-and 3-(carbamoylpropionylamino)-2-phenylamino-benzoic acid derivatives. J. Chem. Pharm. Res. 2014, 6, 1219–1235. [Google Scholar]
- Thongtan, J.; Saenboonrueng, J.; Rachtawee, P.; Isaka, M. An antimalarial tetrapeptide from the entomopathogenic fungus Hirsutella sp. BCC 1528. J. Nat. Prod. 2006, 69, 713–714. [Google Scholar] [CrossRef] [PubMed]
- De Luca, S.; Saviano, M.; Lassiani, L.; Yannakopoulou, K.; Stefanidou, P.; Aloj, L.; Morelli, G.; Varnavas, A. Anthranilic acid based CCK1 receptor antagonists and CCK-8 have a common step in their “receptor desmodynamic processes”. J. Med. Chem. 2006, 49, 2456–2462. [Google Scholar] [CrossRef] [PubMed]
- Tiwari, D.; Haque, S.; Misra, S.; Chandra, R. Synthesis and pharmacological screening of Nsubstituted anthranilic acid derivatives. Int. J. Dev. Res. 2011, 3, 265–271. [Google Scholar]
- Tzin, V.; Galili, G. The Biosynthetic Pathways for Shikimate and Aromatic Amino Acids in Arabidopsis thaliana. Arabidopsis Book/Am. Soc. Plant Biol. 2010, 8, e0132. [Google Scholar]
- Syed, M.M.; Parekh, A.B.; Tomita, T. Receptors involved in mechanical responses to catecholamines in the circular muscle of guinea-pig stomach treated with meclofenamate. Br. J. Pharmacol. 1990, 101, 809–814. [Google Scholar] [CrossRef] [PubMed]
- Aboul-Fadl, T.; Abdel-Aziz, H.A.; Kadi, A.; Bari, A.; Ahmad, P.; Al-Samani, T.; Ng, S.W. Microwave-assisted one-step synthesis of fenamic acid hydrazides from the corresponding acids. Molecules 2011, 16, 3544–3551. [Google Scholar] [CrossRef] [PubMed]
- Cocco, M.T.; Congiu, C.; Lilliu, V.; Onnis, V. Synthesis of new N-(2-(trifluoromethyl)pyridin-4-yl)anthranilic acid derivatives and their evaluation as anticancer agents. Bioorg. Med. Chem. Lett. 2004, 14, 5787–5791. [Google Scholar] [CrossRef] [PubMed]
- Adeniji, A.O.; Twenter, B.M.; Byrns, M.C.; Jin, Y.; Winkler, J.D.; Penning, T.M. Discovery of substituted 3-(phenylamino)benzoic acids as potent and selective inhibitors of type 5 17β-hydroxysteroid dehydrogenase (AKR1C3). Bioorg. Med. Chem. Lett. 2011, 21, 1464–1468. [Google Scholar] [CrossRef] [PubMed]
- Ihmaid, S.; Ahmed, H.E.A.; Zayed, M.F. The Design and Development of Potent Small Molecules as Anticancer Agents Targeting EGFR TK and Tubulin Polymerization. Int. J. Mol. Sci. 2018, 19, 408. [Google Scholar] [CrossRef] [PubMed]
- Choudhary, M.I.; Cardellina, J.H.; Khan, K.M.; Atta, A. Anthranilic Acid Derivatives: Novel Inhibitors of Advanced Glycation end Products (AGES) Formation. U.S. Patent US20150051286A1, 15 August 2016. [Google Scholar]
- Per, W.; Jan, B. The Chemistry of Anthranilic Acid. Curr. Org. Synth. 2006, 3, 379–402. [Google Scholar]
- Thomson, S.A.; Banker, P.; Bickett, D.M.; Boucheron, J.A.; Carter, H.L.; Clancy, D.C.; Cooper, J.P.; Dickerson, S.H.; Garrido, D.M.; Nolte, R.T.; et al. Anthranilimide based glycogen phosphorylase inhibitors for the treatment of type 2 diabetes. Part 3: X-ray crystallographic characterization, core and urea optimization and in vivo efficacy. Bioorg. Med. Chem. Lett. 2009, 19, 1177–1182. [Google Scholar] [CrossRef] [PubMed]
- Sparks, S.M.; Banker, P.; Bickett, D.M.; Carter, H.L.; Clancy, D.C.; Dickerson, S.H.; Dwornik, K.A.; Garrido, D.M.; Golden, P.L.; Nolte, R.T.; et al. Anthranilimide-based glycogen phosphorylase inhibitors for the treatment of type 2 diabetes: 1. Identification of 1-amino-1-cycloalkyl carboxylic acid headgroups. Bioorg. Med. Chem. Lett. 2009, 19, 976–980. [Google Scholar] [CrossRef] [PubMed]
- Sparks, S.M.; Banker, P.; Bickett, D.M.; Clancy, D.C.; Dickerson, S.H.; Garrido, D.M.; Golden, P.L.; Peat, A.J.; Sheckler, L.R.; Tavares, F.X.; et al. Anthranilimide-based glycogen phosphorylase inhibitors for the treatment of Type 2 diabetes: 2. Optimization of serine and threonine ether amino acid residues. Bioorg. Med. Chem. Lett. 2009, 19, 981–985. [Google Scholar] [CrossRef] [PubMed]
- Evans, K.A.; Li, Y.H.; Coppo, F.T.; Graybill, T.L.; Cichy-Knight, M.; Patel, M.; Gale, J.; Li, H.; Thrall, S.H.; Tew, D.; et al. Amino acid anthranilamide derivatives as a new class of glycogen phosphorylase inhibitors. Bioorg. Med. Chem. Lett. 2008, 18, 4068–4071. [Google Scholar] [CrossRef] [PubMed]
- Berman, H.M.; Westbrook, J.; Feng, Z.; Gilliland, G.; Bhat, T.N.; Weissig, H.; Shindyalov, I.N.; Bourne, P.E. The Protein Data Bank. Nucleic Acids Res. 2000, 28, 235–242. [Google Scholar] [CrossRef] [PubMed]
- Morris, G.M.; Goodsell, D.S.; Halliday, R.S.; Huey, R.; Hart, W.E.; Belew, R.K.; Olson, A.J. Automated docking using a Lamarckian genetic algorithm and an empirical binding free energy function. J. Comput. Chem. 1998, 19, 1639–1662. [Google Scholar] [CrossRef]
- Molecular Operating Environment (MOE) Chemical Computing Group, Montreal, QC, Canada. 2012. Available online: http://www.chemcomp.com (accessed on 28 February 2013).
Sample Availability: Samples of the compounds are currently not available from the authors. |







| Compounds | IC50 (µM) | Scaffold | |
|---|---|---|---|
| α-Glucosidase | Glycogen Phosphorylase | ||
| 1 | 0.7355 ± 2.4 | 0.5415 ± 0.06 | N-Furoylanthranilate (NFA) |
| 3a | 0.0896 ± 1.52 | 0.1502 ± 0.07 | Benzyl NFA |
| 3b | 0.0223 ± 0.08 | 0.01808 ± 0.84 | |
| 3c | 0.0585 ± 7.57 | 0.08639 ± 0.02 | |
| 3d | 0.0947 ± 0.68 | 0.1774 ± 0.05 | |
| 3e | 0.0708 ± 14.2 | 0.262 ± 0.01 | |
| 5a | 0.0477 ± 0.59 | 0.07047 ± 0,01 | Sulfonamide NFA |
| 5b | 0.0212 ± 0.07 | 0.0166 ± 0.09 | |
| 5c | 0.01247 ± 0.01 | 0.02291 ± 0.57 | |
| 6 | 0.4166 ± 11.4 | 0.5818 ± 0.58 | NFA-Hydrazine |
| 7a | 0.0445 ± 12.1 | 0.2078 ± 2.57 | Benzylidine NFA |
| 7b | 0.0176 ± 0.09 | 0.01372 ± 0.03 | |
| 7d | 0.07842 ± .05 | 0.054 ± 5.14 | |
| 7c | 0.2313 ± 0.57 | 0.0367 ± 2.56 | |
| 1-Deoxynojirimycin | 0.01011 ± 1.81 | 0.0556 ± 0.11 | - |
| Groups | Blood Glucose Level (mg/dL) | ||
|---|---|---|---|
| Fasting | Reading 1 | Reading 2 | |
| Control | 72 ± 1.72 | 147 ± 0.88 | 140 ± 3.17 |
| Diabetic | 209 ± 0.66 | 172 ± 2.72 | 176 ± 2.90 |
| Acarbose | 204 ± 4.5 | 147 ± 2.0 | 136 ± 3.28 |
| 7b | 207 ± 0.88 | 120 ± 0.88 | 116 ± 0.57 |
| Compounds | Fragment | Target Residues (Distance, Å) | Interaction | Binding Energy (dG) |
|---|---|---|---|---|
| 5b | C=O (anthranilate) | Gln71 (3.14) | H-bonding | −14.5 |
| Phenyl (sulphonamide) | Tyr75, Gln71, Gln72 | Hydrophobic | ||
| Pyridine | Arg193 (3.08) | H-bonding | ||
| Ile68 | Hydrophobic | |||
| Phenyl (anthranilate) | Ala313 | Aromatic stacking | ||
| 7b | –OH | Asp76 (3.1) | H-bonding | −15.4 |
| –OH | Tyr738 (4.65) | H-bonding | ||
| C=O (anthranilate) | Gln71 (3.05) | H-bonding | ||
| Pyridine | Phe196 | Hydrophobic | ||
| Phenyl (anthranilate) | Ile68 | Hydrophobic | ||
| GSK254 | Carboxylic gp. | Arg310 (2.89) | H-bonding | −13.5 |
| Phenyl (anthranilate) | Ile68 | Hydrophobic | ||
| Carbonyl linker | Gln71 (3.08) | H-bonding |
© 2018 by the author. Licensee MDPI, Basel, Switzerland. This article is an open access article distributed under the terms and conditions of the Creative Commons Attribution (CC BY) license (http://creativecommons.org/licenses/by/4.0/).
Share and Cite
Ihmaid, S. Exploring the Dual Inhibitory Activity of Novel Anthranilic Acid Derivatives towards α-Glucosidase and Glycogen Phosphorylase Antidiabetic Targets: Design, In Vitro Enzyme Assay, and Docking Studies. Molecules 2018, 23, 1304. https://doi.org/10.3390/molecules23061304
Ihmaid S. Exploring the Dual Inhibitory Activity of Novel Anthranilic Acid Derivatives towards α-Glucosidase and Glycogen Phosphorylase Antidiabetic Targets: Design, In Vitro Enzyme Assay, and Docking Studies. Molecules. 2018; 23(6):1304. https://doi.org/10.3390/molecules23061304
Chicago/Turabian StyleIhmaid, Saleh. 2018. "Exploring the Dual Inhibitory Activity of Novel Anthranilic Acid Derivatives towards α-Glucosidase and Glycogen Phosphorylase Antidiabetic Targets: Design, In Vitro Enzyme Assay, and Docking Studies" Molecules 23, no. 6: 1304. https://doi.org/10.3390/molecules23061304
APA StyleIhmaid, S. (2018). Exploring the Dual Inhibitory Activity of Novel Anthranilic Acid Derivatives towards α-Glucosidase and Glycogen Phosphorylase Antidiabetic Targets: Design, In Vitro Enzyme Assay, and Docking Studies. Molecules, 23(6), 1304. https://doi.org/10.3390/molecules23061304
