In Vitro Estrogenic and Breast Cancer Inhibitory Activities of Chemical Constituents Isolated from Rheum undulatum L.
Abstract
1. Introduction
2. Results
2.1. Comparison of Estrogenic Activities of R. undulatum Extracts (EX1, EX2, and EX3) in the Absence or Presence of Fulvestrant in MCF-7 Cells
2.2. Comparison of the Estrogenic Effects of Compounds 1–4 Isolated from an R. undulatum Extract in the Absence or Presence of Fulvestrant on MCF-7 Cells
2.3. Comparison of the Cytotoxic Effects of the Isolated Compounds 1–3 on the Viability of Human Breast Cancer Cells MDA-MB-231 and MCF-7
2.4. Comparison of the Cytotoxic Effects of Compounds 1–3 in the Absence or Presence of Fulvestrant on MCF-7 Cells
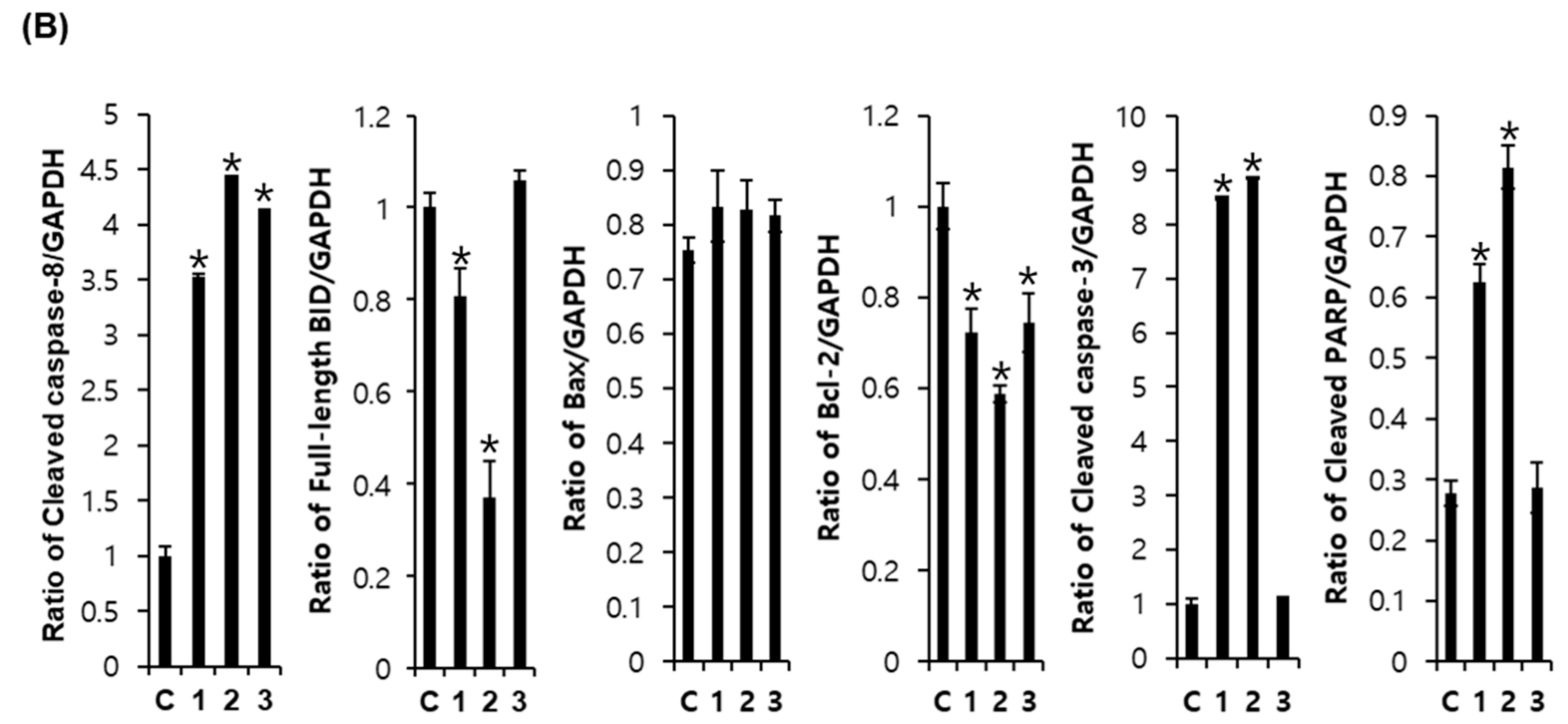
2.5. Comparison of the Effects of Compounds 1–3 on the Expression of Various Proteins in MCF-7 Cells
3. Discussion
4. Materials and Methods
4.1. Chemicals
4.2. Plant Material
4.3. Extraction and Isolation
4.4. Chromatographic Conditions
4.5. Cell Culture
4.6. Cell Viability Assay
4.7. E-Screen Assay
4.8. Western Blotting Analysis
4.9. Statistical Analysis
5. Conclusions
Author Contributions
Funding
Conflicts of Interest
References
- Hoga, L.; Rodolpho, J.; Gonçalves, B.; Quirino, B. Women’s experience of menopause: A systematic review of qualitative evidence. JBI Database Syst. Rev. Implement. Rep. 2015, 13, 250–337. [Google Scholar] [CrossRef] [PubMed]
- Bachmann, G. Menopausal urogenital changes: Welcome expansion of management options over the past 25 years. Menopause 2018, 25, 471–475. [Google Scholar] [CrossRef] [PubMed]
- Lobo, R.A.; Clarkson, T.B. Different mechanisms for benefit and risk of coronary heart disease and stroke in early postmenopausal wosmen: A hypothetical explanation. Menopause 2011, 18, 237–240. [Google Scholar] [PubMed]
- Danby, F.W. Management of menopause-related symptoms. Ann. Intern. Med. 2005, 845–846. [Google Scholar] [CrossRef]
- Anelli, A.; Gimenez, D.L.; Rocha, A.P.; de Abreu, C.M.; Freitas, H.C. Hormone replacement therapy and the risk of breast cancer: Assessment of therapy acceptance in a cohort of previously treated breast cancer patients. Rev. Hosp. Clin. Fac. Med. Sao Paulo 2003, 58, 91–96. [Google Scholar] [CrossRef] [PubMed][Green Version]
- Schairer, C.; Gail, M.; Byrne, C.; Rosenberg, P.S.; Sturgeon, S.R.; Brinton, L.A.; Hoover, R.N. Estrogen replacement therapy and breast cancer survival in a large screening study. J. Natl. Cancer Inst. 1999, 91, 264–270. [Google Scholar] [CrossRef] [PubMed]
- Willis, D.B.; Calle, E.E.; Miracle-McMahill, H.L.; Heath, C.W., Jr. Estrogen replacement therapy and risk of fatal breast cancer in a prospective cohort of postmenopausal women in the United States. Cancer Causes Control 1996, 7, 449–457. [Google Scholar] [CrossRef] [PubMed]
- Dai, J.; Jian, J.; Bosland, M.; Frenkel, K.; Bernhardt, G.; Huang, X. Roles of hormone replacement therapy and iron in proliferation of breast epithelial cells with different estrogen and progesterone receptor status. Breast 2008, 17, 172–179. [Google Scholar] [CrossRef] [PubMed]
- Franke, H.R.; Kole, S.; Ciftci, Z.; Haanen, C.; Vermes, I. In vitro effects of estradiol, dydrogesterone, tamoxifen and cyclophosphamide on proliferation vs. death in human breast cancer cells. Cancer Lett. 2003, 190, 113–118. [Google Scholar] [CrossRef]
- Ko, S.K.; Lee, S.M.; Whang, W.K. Anti-platelet aggregation activity of stilbene derivatives from Rheum undulatum. Arch. Pharm. Res. 1999, 22, 401–403. [Google Scholar] [CrossRef] [PubMed]
- Xiao, P.; He, L.; Wang, L. Ethnopharmacologic study of chinese rhubarb. J. Ethnopharmacol. 1984, 10, 275–293. [Google Scholar] [CrossRef]
- Kashiwada, Y.; Nonaka, G.; Nishioka, I. Studies on Rhubarb (Rhei Rhizoma). VI: Isolation and characterization of stilbenes. Chem. Pharm. Bull. 1984, 32, 3501–3517. [Google Scholar] [CrossRef]
- Lee, S.W.; Hwang, B.S.; Kim, M.H.; Park, C.S.; Lee, W.S.; Oh, H.M.; Rho, M.C. Inhibition of LFA-1/ICAM-1-mediated cell adhesion by stilbene derivatives from Rheum undulatum. Arch. Pharm. Res. 2012, 35, 1763–1770. [Google Scholar] [CrossRef] [PubMed]
- Ye, M.; Han, J.; Chen, H.; Zheng, J.; Guo, D. Analysis of phenolic compounds in Rhubarbs using liquid chromatography coupled with electrospray ionization mass spectrometry. J. Am. Soc. Mass Spectrom. 2007, 18, 82–91. [Google Scholar] [CrossRef] [PubMed]
- Kim, I.G.; Kang, S.C.; Kim, K.C.; Choung, E.S.; Zee, O.P. Screening of estrogenic and antiestrogenic activities from medicinal plants. Environ. Toxicol. Pharmacol. 2008, 25, 75–82. [Google Scholar] [CrossRef] [PubMed]
- Matsuda, H.; Shimoda, H.; Morikawa, T.; Yoshikawa, M. Phytoestrogens from the roots of Polygonum cuspidatum (Polygonaceae): Structure-requirement of hydroxyanthraquinones for estrogenic activity. Bioorg. Med. Chem. Lett. 2001, 11, 1839–1842. [Google Scholar] [CrossRef]
- Coopoosamy, R.; Magwa, M. Antibacterial activity of aloe emodin and aloin A isolated from Aloe excelsa. Afr. J. Biotechnol. 2006, 5, 1508–1510. [Google Scholar]
- Lee, H.S.; Lee, B.W.; Kim, M.R.; Jun, J.G. Syntheses of resveratrol and its hydroxylated derivatives as radical scavenger and tyrosinase inhibitor. Bull. Korean Chem. Soc. 2010, 31, 971–975. [Google Scholar] [CrossRef]
- Kubo, I.; Murai, Y.; Soediro, I.; Soetarno, S.; Sastrodihardjo, S. Cytotoxic anthraquinones from Rheum pulmatum. Phytochemistry 1992, 31, 1063–1065. [Google Scholar] [CrossRef]
- Bae, K. The Medicinal Plants of Korea; Kyo-Hak Publishing: Seoul, South Korea, 2000; Volume 364. [Google Scholar]
- Villalobos, M.; Olea, N.; Brotons, J.A.; Olea-Serrano, M.F.; Ruiz de Almodovar, J.M.; Pedraza, V. The E-screen assay: A comparison of different MCF7 cell stocks. Environ. Health Perspect. 1995, 103, 844–850. [Google Scholar] [CrossRef] [PubMed]
- Fang, H.; Tong, W.; Perkins, R.; Soto, A.M.; Prechtl, N.V.; Sheehan, D.M. Quantitative comparisons of in vitro assays for estrogenic activities. Environ. Health Perspect. 2000, 108, 723–729. [Google Scholar] [CrossRef] [PubMed]
- Soto, A.M.; Sonnenschein, C.; Chung, K.L.; Fernandez, M.F.; Olea, N.; Serrano, F.O. The E-SCREEN assay as a tool to identify estrogens: An update on estrogenic environmental pollutants. Environ. Health Perspect. 1995, 103 (Suppl. 7), 113–122. [Google Scholar] [CrossRef] [PubMed]
- Rasmussen, T.H.; Nielsen, J.B. Critical parameters in the MCF-7 cell proliferation bioassay (E-Screen). Biomarkers 2002, 7, 322–336. [Google Scholar] [CrossRef] [PubMed]
- Zingue, S.; Nde, C.B.M.; Michel, T.; Ndinteh, D.T.; Tchatchou, J.; Adamou, M.; Fernandez, X.; Fohouo, F.T.; Clyne, C.; Njamen, D. Ethanol-extracted Cameroonian propolis exerts estrogenic effects and alleviates hot flushes in ovariectomized Wistar rats. BMC Complement. Altern Med. 2017, 17, 65. [Google Scholar] [CrossRef] [PubMed]
- Holliday, D.L.; Speirs, V. Lannea acida A. rich. (Anacardiaceae) ethanol extract exhibits estrogenic effects and prevents bone loss in an ovariectomized rat model of osteoporosis. Evid. Based Complement. Alternat. Med. 2017, 2017, 7829059. [Google Scholar]
- Tung, N.; Wang, Y.; Collins, L.C.; Kaplan, J.; Li, H.; Gelman, R.; Comander, A.H.; Gallagher, B.; Fetten, K.; Krag, K.; et al. Estrogen receptor positive breast cancers in BRCA1 mutation carriers: Clinical risk factors and pathologic features. Breast Cancer Res. 2010, 12, R12. [Google Scholar] [CrossRef] [PubMed]
- Leung, E.; Kim, J.E.; Askarian-Amiri, M.; Finlay, G.J.; Baguley, B.C. Evidence for the existence of triple-negative variants in the MCF-7 breast cancer cell population. BioMed Res. Int. 2014, 2014, 836769. [Google Scholar] [CrossRef] [PubMed]
- Satih, S.; Chalabi, N.; Rabiau, N.; Bosviel, R.; Fontana, L.; Bignon, Y.J.; Bernard-Gallon, D.J. Gene Expression Profiling of Breast Cancer Cell Lines in Response to Soy Isoflavones Using a Pangenomic Microarray Approach. OMICS 2010, 14, 231–238. [Google Scholar] [CrossRef] [PubMed]
- Yang, S.H.; Zhou, Q.; Yang, X.H. Caspase-3 status is a determinant of the differential responses to genistein between MDA-MB-231 and MCF-7 breast cancer cells. BBA Mol. Cell Res. 2007, 1773, 903–911. [Google Scholar] [CrossRef] [PubMed]
- Lee, J.Y.; Kim, H.S.; Song, Y.S. Genistein as a potential anticancer agent against ovarian cancer. J. Tradit. Complement. Med. 2012, 2, 96–104. [Google Scholar] [CrossRef]
- Chen, J.; Xiong, W.B.; Xiong, Y.; Wu, Y.Y.; Chen, X.J.; Shao, Z.J.; Liu, L.T.; Kuang, W.J.; Tan, X.S.; Zhou, L.M. Calycosin stimulates proliferation of estrogen receptor-positive human breast cancer cells through downregulation of Bax gene expression and upregulation of Bcl-2 gene expression at low concentrations. JPEN J. Parenter. Enter. 2011, 35, 763–769. [Google Scholar] [CrossRef] [PubMed]
- Uifălean, A.; Schneider, S.; Ionescu, C.; Lalk, M.; Iuga, C. Soy Isoflavones and breast cancer cell lines: Molecular mechanisms and future perspectives. Molecules 2015, 21, 13. [Google Scholar] [CrossRef] [PubMed]
- Maggiolini, M.; Bonofiglio, D.; Marsico, S.; Panno, M.L.; Cenni, B.; Picard, D.; Ando, S. Estrogen receptor alpha mediates the proliferative but not the cytotoxic dose-dependent effects of two major phytoestrogens on human breast cancer cells. Mol. Pharmacol. 2001, 60, 595–602. [Google Scholar] [PubMed]
- Park, S.; Kim, Y.N.; Kwak, H.J.; Jeong, E.J.; Kim, S.H. Estrogenic activity of constituents from the rhizomes of Rheum undulatum Linné. Bioorg. Med. Chem. Lett. 2018, 4, 552–557. [Google Scholar] [CrossRef] [PubMed]
- Lee, H.L.; Kang, K.S. Protective effect of ginsenoside Rh3 against anticancer drug-induced apoptosis in LLC-PK1 kidney cells. J. Ginseng Res. 2017, 41, 227–231. [Google Scholar] [CrossRef] [PubMed]
- Jeon, J.H.; Kim, D.K.; Shin, Y.; Kim, H.Y.; Song, B.; Lee, E.Y.; Kim, J.K.; You, H.J.; Cheong, H.; Shin, D.H. Migration and invasion of drug-resistant lung adenocarcinoma cells are dependent on mitochondrial activity. Exp. Mol. Med. 2016, 48, e277. [Google Scholar] [CrossRef] [PubMed]
Sample Availability: Samples of the compounds emodin, rhapontigenin, chrysophanol 1-O-β-d-glucopyranoside and rhaponticin are available from the authors. |







© 2018 by the authors. Licensee MDPI, Basel, Switzerland. This article is an open access article distributed under the terms and conditions of the Creative Commons Attribution (CC BY) license (http://creativecommons.org/licenses/by/4.0/).
Share and Cite
Lee, D.; Park, S.; Choi, S.; Kim, S.H.; Kang, K.S. In Vitro Estrogenic and Breast Cancer Inhibitory Activities of Chemical Constituents Isolated from Rheum undulatum L. Molecules 2018, 23, 1215. https://doi.org/10.3390/molecules23051215
Lee D, Park S, Choi S, Kim SH, Kang KS. In Vitro Estrogenic and Breast Cancer Inhibitory Activities of Chemical Constituents Isolated from Rheum undulatum L. Molecules. 2018; 23(5):1215. https://doi.org/10.3390/molecules23051215
Chicago/Turabian StyleLee, Dahae, SeonJu Park, Sungyoul Choi, Seung Hyun Kim, and Ki Sung Kang. 2018. "In Vitro Estrogenic and Breast Cancer Inhibitory Activities of Chemical Constituents Isolated from Rheum undulatum L." Molecules 23, no. 5: 1215. https://doi.org/10.3390/molecules23051215
APA StyleLee, D., Park, S., Choi, S., Kim, S. H., & Kang, K. S. (2018). In Vitro Estrogenic and Breast Cancer Inhibitory Activities of Chemical Constituents Isolated from Rheum undulatum L. Molecules, 23(5), 1215. https://doi.org/10.3390/molecules23051215
