Production of Flocculants, Adsorbents, and Dispersants from Lignin
Abstract
1. Introduction
2. Flocculant
2.1. Flocculants for Wastewater Systems
2.2. Flocculants for Dye Removal
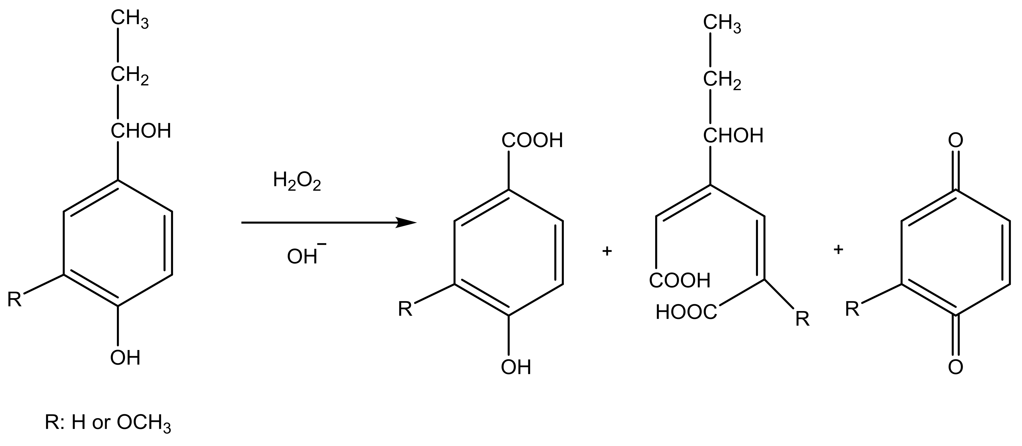
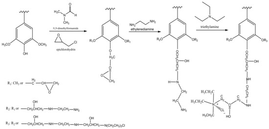
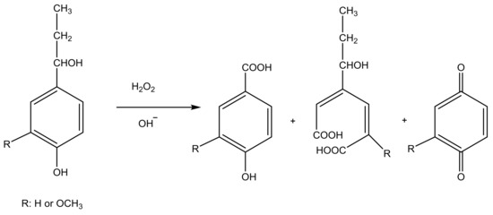
3. Adsorbent
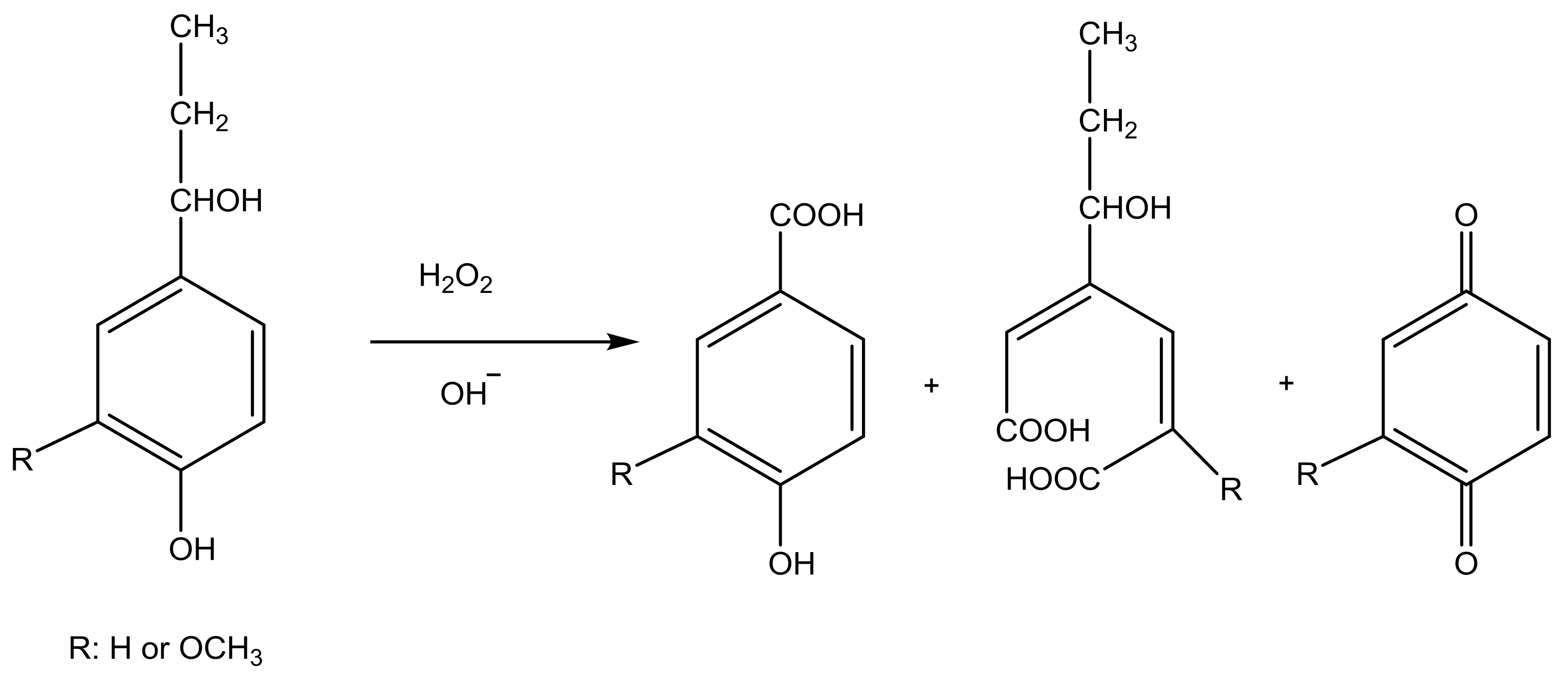
3.1. Adsorbent for Heavy Metals
3.2. Adsorbent for Dyes
3.3. Adsorbent for Other Applications
4. Dispersants
4.1. Dispersant for Dyes
4.2. Dispersant for Cement
4.3. Dispersant for Mineral Particles
4.4. Dispersant for Coal-Water Slurry
4.5. Dispersant for Carbon Nanotubes Suspensions
4.6. Dispersants for Other Suspensions
5. Conclusions
Acknowledgments
Conflicts of Interest
References
- Schwarzenbach, R.P.; Escher, B.I.; Fenner, K.; Hofstetter, T.B.; Johnson, C.A.; Von Gunten, U.; Wehrli, B. The challenge of micropollutants in aquatic systems. Science 2006, 313, 1072–1077. [Google Scholar] [CrossRef] [PubMed]
- Luong, N.D.; Binh, N.T.T.; Park, I.-K.; Lee, S.H.; Kim, D.S.; Lee, Y.S.; Lee, Y.K.; Kim, B.W.; Kim, K.H.; Yoon, H.K. Chemical and rheological characteristics of thermally stable kraft lignin polycondensates analyzed by dielectric properties. BioResources 2013, 8, 4518–4532. [Google Scholar]
- Marinović, V.; Ristić, M.; Dostanić, M. Dynamic adsorption of trinitrotoluene on granular activated carbon. J. Hazard. Mater. 2005, 117, 121–128. [Google Scholar] [CrossRef] [PubMed]
- Wei, Y.; Cheng, F.; Zheng, H. Synthesis and flocculating properties of cationic starch derivatives. Carbohydr. Polym. 2008, 74, 673–679. [Google Scholar] [CrossRef]
- Akin, D.; Benner, R. Degradation of polysaccharides and lignin by ruminal bacteria and fungi. Appl. Environ. Microb. 1988, 54, 1117–1125. [Google Scholar]
- Mathers, R.T. How well can renewable resources mimic commodity monomers and polymers? J. Polym. Sci. A Polym. Chem. 2012, 50, 1–15. [Google Scholar] [CrossRef]
- Belgacem, M.; Gandini, A. Monomers, Polymers and Composites from Renewable Resources, 1st ed.; Elsiver: Amsterdam, The Netherland, 2008. [Google Scholar]
- Boerjan, W.; Ralph, J.; Baucher, M. Lignin biosynthesis. Annu. Rev. Plant Biol. 2003, 54, 519–546. [Google Scholar] [CrossRef] [PubMed]
- Dorrestijn, E.; Laarhoven, L.J.; Arends, I.W.; Mulder, P. The occurrence and reactivity of phenoxyl linkages in lignin and low rank coal. J. Anal. Appl. Pyrol. 2000, 54, 153–192. [Google Scholar] [CrossRef]
- Mousavioun, P.; Doherty, W.O. Chemical and thermal properties of fractionated bagasse soda lignin. Ind. Crops Prod. 2010, 31, 52–58. [Google Scholar] [CrossRef]
- Kong, F.; Parhiala, K.; Wang, S.; Fatehi, P. Preparation of cationic softwood kraft lignin and its application in dye removal. Eur. Polym. J. 2015, 67, 335–345. [Google Scholar] [CrossRef]
- Caballero-Calero, O.; Díaz-Chao, P.; Abad, B.; Manzano, C.; Ynsa, M.; Romero, J.; Rojo, M.M.; Martín-González, M. Improvement of Bismuth Telluride electrodeposited films by the addition of Sodium Lignosulfonate. Electrochim. Acta 2014, 123, 117–126. [Google Scholar] [CrossRef]
- Chung, Y.-L.; Olsson, J.V.; Li, R.J.; Frank, C.W.; Waymouth, R.M.; Billington, S.L.; Sattely, E.S. A renewable lignin–lactide copolymer and application in biobased composites. ACS Sustain. Chem. Eng. 2013, 1, 1231–1238. [Google Scholar] [CrossRef]
- Crestini, C.; Crucianelli, M.; Orlandi, M.; Saladino, R. Oxidative strategies in lignin chemistry: A new environmental friendly approach for the functionalisation of lignin and lignocellulosic fibers. Catal. Today 2010, 156, 8–22. [Google Scholar] [CrossRef]
- Lü, Q.-F.; Luo, J.J.; Lin, T.T.; Zhang, Y.Z. Novel Lignin–Poly (N-methylaniline) Composite Sorbent for Silver Ion Removal and Recovery. ACS Sustain. Chem. Eng. 2013, 2, 465–471. [Google Scholar] [CrossRef]
- Feng, Q.; Chen, F.; Wu, H. Preparation and characterization of a temperature-sensitive lignin-based hydrogel. BioResources 2011, 6, 4942–4952. [Google Scholar] [CrossRef]
- Thakur, V.K.; Thakur, M.K. Recent advances in green hydrogels from lignin: A review. Int. J. Biol. Macromol. 2015, 72, 834–847. [Google Scholar] [CrossRef] [PubMed]
- Li, R.; Yang, D.; Guo, W.; Qiu, X. The adsorption and dispersing mechanisms of sodium lignosulfonate on Al2O3 particles in aqueous solution. Holzforschung 2013, 67, 387–394. [Google Scholar] [CrossRef]
- Oveissi, F.; Sitter, T.; Fatehi, P. PDADMAC as a flocculant for lignosulfonate of NSSC pulping process. Biotechnol. Prog. 2016, 32, 686–691. [Google Scholar] [CrossRef] [PubMed]
- Telysheva, G.; Dizhbite, T.; Paegle, E.; Shapatin, A.; Demidov, I. Surface-active properties of hydrophobized derivatives of lignosulfonates: Effect of structure of organosilicon modifier. J. Appl. Polym. Sci. 2001, 82, 1013–1020. [Google Scholar] [CrossRef]
- Klapiszewski, Ł.; Szalaty, T.J.; Szatkowski, T.; Jesionowski, T. Lignosulfonate as a byproduct of wood pulp production: A potential precursor for the preparation of functional hybrid materials. Ann. Chem. 2016, 71, 47. [Google Scholar] [CrossRef]
- Aro, T.; Fatehi, P. Production and application of lignosulfonates and sulfonated lignin. ChemSusChem 2017, 10, 1861–1877. [Google Scholar] [CrossRef] [PubMed]
- Ji, X.; Dong, Y.; Yuan, B.; Li, B.; Guo, M. Influence of glutaraldehyde on the performance of a lignosulfonate/chitosan-based medium density fiberboard adhesive. J. Appl. Polym. Sci. 2018, 135, 45870. [Google Scholar] [CrossRef]
- Fatehi, P.; Gao, W.; Sun, Y.; Dashtban, M. Acidification of prehydrolysis liquor and spent liquor of neutral sulfite semichemical pulping process. Bioresour. Technol. 2016, 218, 518–525. [Google Scholar] [CrossRef] [PubMed]
- Carrott, P.; Carrott, M.R. Lignin—From natural adsorbent to activated carbon: A review. Bioresour. Technol. 2007, 98, 2301–2312. [Google Scholar] [CrossRef]
- Singh, R.P.; Nayak, B.R.; Biswal, D.R.; Tripathy, T.; Banik, K. Biobased polymeric flocculants for industrial effluent treatment. Mater. Res. Innov. 2003, 7, 331–340. [Google Scholar] [CrossRef]
- Li, W.W.; Zhou, W.Z.; Zhang, Y.Z.; Wang, J.; Zhu, X.B. Flocculation behavior and mechanism of an exopolysaccharide from the deep-sea psychrophilic bacterium Pseudoalteromonas sp. SM9913. Bioresour. Technol. 2008, 99, 6893–6899. [Google Scholar] [CrossRef] [PubMed]
- Lu, Q.; Yan, B.; Xie, L.; Huang, J.; Liu, Y.; Zeng, H. A two-step flocculation process on oil sands tailings treatment using oppositely charged polymer flocculants. Sci. Total Environ. 2016, 565, 369–375. [Google Scholar] [CrossRef] [PubMed]
- Gumfekar, S.P.; Rooney, T.R.; Hutchinson, R.A.; Soares, J.B. Dewatering Oil Sands Tailings with Degradable Polymer Flocculants. ACS Appl. Mater. Interfaces 2017, 9, 36290–36300. [Google Scholar] [CrossRef] [PubMed]
- Shih, I.L.; Van, Y.T.; Yeh, L.C.; Lin, H.G.; Chang, Y.N. Production of a biopolymer flocculant from Bacillus licheniformis and its flocculation properties. Bioresour. Technol. 2001, 78, 267–272. [Google Scholar] [CrossRef]
- You, L.; Lu, F.; Li, D.; Qiao, Z.; Yin, Y. Preparation and flocculation properties of cationic starch/chitosan crosslinking-copolymer. J. Hazard. Mater. 2009, 172, 38–45. [Google Scholar] [CrossRef] [PubMed]
- Semerjian, L.; Ayoub, G.M. High-pH-magnesium coagulation–flocculation in wastewater treatment. Adv. Environ. Res. 2003, 7, 389–403. [Google Scholar] [CrossRef]
- Sillanpaa, M.; Matilainen, A. NOM removal by coagulation. In Natural Organic Matter in Water: Characterization and Treatment Methods, 1st ed.; Butterworth-Heinemann Elsevier Ltd.: Oxford, UK, 2014. [Google Scholar]
- Li, R.; Gao, B.; Sun, S.; Yue, Q.; Li, M.; Yang, X.; Jia, R. Amine-Cross-Linked Lignin-Based Polymer: Modification, Characterization, and Flocculating Performance in Humic Acid Coagulation. ACS Sustain. Chem. Eng. 2015, 3, 3253–3261. [Google Scholar] [CrossRef]
- Fang, G.Z.; He, W.H.; Song, Z.Q. Synthesis and performance of quaternary ammonium salt of lignin as cationic flocculant. Chem. Ind. For. Prod. 2003, 23, 37–41. [Google Scholar]
- Zhang, Q.; Wang, D.; Bei, Y.; Ren, S.; Fang, G. Flocculation performance of trimethyl quaternary ammonium salt of lignin-sodium alginate polyampholyte. BioResources 2013, 8, 3544–3555. [Google Scholar] [CrossRef]
- Couch, R.L.; Price, J.T.; Fatehi, P. Production of Flocculant from Thermomechanical Pulping Lignin via Nitric Acid Treatment. ACS Sustain. 2016, 4, 1954–1962. [Google Scholar] [CrossRef]
- Fang, R.; Cheng, X.; Xu, X. Synthesis of lignin-base cationic flocculant and its application in removing anionic azo-dyes from simulated wastewater. Bioresour. Technol. 2010, 101, 7323–7329. [Google Scholar] [CrossRef] [PubMed]
- Rong, H.; Gao, B.; Zhao, Y.; Sun, S.; Yang, Z.; Wang, Y.; Li, Q. Advanced lignin-acrylamide water treatment agent by pulp and paper industrial sludge: Synthesis, properties and application. J. Environ. Sci. 2013, 25, 2367–2377. [Google Scholar] [CrossRef]
- Rong, H.; Gao, B.; Dong, M.; Zhao, Y.; Sun, S.; Yue, Q.; Li, Q. Characterization of size, strength and structure of aluminum-polymer dual-coagulant flocs under different pH and hydraulic conditions. J. Hazard. Mater. 2013, 252, 330–337. [Google Scholar] [CrossRef] [PubMed]
- He, W.; Zhang, Y.; Fatehi, P. Sulfomethylated kraft lignin as a flocculant for cationic dye. Colloids Surf. A Physicochem. Eng. Asp. 2016, 503, 19–27. [Google Scholar] [CrossRef]
- Liu, H.; Yang, X.; Liu, X.; Yao, H.; Li, Y. Study on preparation and application in flocculants of modified lignin. Mod. Appl. Sci. 2011, 5, 205. [Google Scholar] [CrossRef]
- Haroon, M.H. Flocculation and Dewatering of Kaolinite Suspensions and Oil Sands Mature Fine Tailings Using Dual Polymers. Master’s Thesis, University of Alberta, Edmonton, AB, Canada, 2014. [Google Scholar]
- He, K.; Lou, T.; Wang, X.; Zhao, W. Preparation of lignosulfonate–acrylamide–chitosan ternary graft copolymer and its flocculation performance. Int. J. Biol. Macromol. 2015, 81, 1053–1058. [Google Scholar] [CrossRef] [PubMed]
- Vishtal, A.G.; Kraslawski, A. Challenges in industrial applications of technical lignins. BioResources 2011, 6, 3547–3568. [Google Scholar]
- Mishra, A.; Bajpai, M. The flocculation performance of Tamarindus mucilage in relation to removal of vat and direct dyes. Bioresour. Technol. 2006, 97, 1055–1059. [Google Scholar] [CrossRef] [PubMed]
- Nigam, P.; Armour, G.; Banat, I.M.; Singh, D.; Marchant, R. Physical removal of textile dyes from effluents and solid-state fermentation of dye-adsorbed agricultural residues. Bioresour. Technol. 2000, 72, 219–226. [Google Scholar] [CrossRef]
- Mohan, D.; Pittman, C.U., Jr.; Steele, P.H. Single, binary and multi-component adsorption of copper and cadmium from aqueous solutions on Kraft lignin-a biosorbent. J. Colloid Interface Sci. 2006, 297, 489–504. [Google Scholar] [CrossRef] [PubMed]
- Chakrabarti, S.; Banerjee, S.; Chaudhuri, B.; Bhattacharjee, S.; Dutta, B.K. Application of biodegradable natural polymers for flocculated sedimentation of clay slurry. Bioresour. Technol. 2008, 99, 3313–3317. [Google Scholar] [CrossRef] [PubMed]
- Suteu, D.; Malutan, T.; Bilba, D. Removal of reactive dye Brilliant Red HE-3B from aqueous solutions by industrial lignin: Equilibrium and kinetics modeling. Desalination 2010, 255, 84–90. [Google Scholar] [CrossRef]
- Altaf, A.; Noor, S.; Sharif, Q.M.; Najeebullah, M. Different techniques recently used for the treatment of textile dyeing effluents: A review. J. Chem. Soc. Pak. 2010, 32, 115–116. [Google Scholar]
- Qu, Y.Y.; Yang, Q.; Zhou, J.T.; Gou, M.; Xing, L.L.; Ma, F. Combined MBR with photocatalysis/ozonation for bromoamine acid removal. Appl. Biochem. Biotechnol. 2009, 159, 664–672. [Google Scholar] [CrossRef] [PubMed]
- Maximova, N.; Österberg, M.; Koljonen, K.; Stenius, P. Lignin adsorption on cellulose fibre surfaces: Effect on surface chemistry, surface morphology and paper strength. Cellulose 2001, 8, 113–125. [Google Scholar] [CrossRef]
- Imel, A.E.; Naskar, A.K.; Dadmun, M.D. Understanding the impact of poly (ethylene oxide) on the assembly of lignin in solution toward improved carbon fiber production. ACS Appl. Mater. Interfaces 2016, 8, 3200–3207. [Google Scholar] [CrossRef] [PubMed]
- Oveissi, F.; Fatehi, P. Characterization of four different lignins as a first step toward the identification of suitable end-use applications. J. Appl. Polym. Sci. 2015, 132. [Google Scholar] [CrossRef]
- Alriols, M.G.; Tejado, A.; Blanco, M.A.; Mondragon, I.; Labidi, J. Agricultural palm oil tree residues as raw material for cellulose, lignin and hemicelluloses production by ethylene glycol pulping process. Chem. Eng. J. 2009, 148, 106–114. [Google Scholar] [CrossRef]
- Sun, R.; Tomkinson, J. Comparative study of lignins isolated by alkali and ultrasound-assisted alkali extractions from wheat straw. Ultrason. Sonochem. 2002, 9, 85–93. [Google Scholar] [CrossRef]
- Zhou, Q.; Chen, Z.H. Chemical properties of the fractionated compounds from wheat straw alkali lignin. Trans. China Pulp Pap. 1998, 13, 1–4. [Google Scholar]
- Zhou, M.; Qiu, X.; Yang, D.; Lou, H.; Ouyang, X. High-performance dispersant of coal–water slurry synthesized from wheat straw alkali lignin. Fuel Sci. Technol. 2007, 88, 375–382. [Google Scholar] [CrossRef]
- Okamura, H.; Aoyama, I. Interactive toxic effect and distribution of heavy metals in phytoplankton. Environ. Toxicol. 1994, 9, 7–15. [Google Scholar] [CrossRef]
- Erbring, H.; Peter, H. Zur Kenntnis des Lignins. Kolloid-Zeitschrift 1941, 96, 47–71. [Google Scholar] [CrossRef]
- Guo, X.; Zhang, S.; Shan, X.-Q. Adsorption of metal ions on lignin. J. Hazard. Mater. 2008, 151, 134–142. [Google Scholar] [CrossRef] [PubMed]
- Wu, Y.; Zhang, S.; Guo, X.; Huang, H. Adsorption of chromium (III) on lignin. Bioresour. Technol. 2008, 99, 7709–7715. [Google Scholar] [CrossRef] [PubMed]
- Jin, W.; Zhang, Z.; Wu, G.; Tolba, R.; Chen, A. Integrated lignin-mediated adsorption-release process and electrochemical reduction for the removal of trace Cr (VI). RSC Adv. 2014, 4, 27843–27849. [Google Scholar] [CrossRef]
- Albadarin, A.B.; Ala’a, H.; Al-Laqtah, N.A.; Walker, G.M.; Allen, S.J.; Ahmad, M.N. Biosorption of toxic chromium from aqueous phase by lignin: Mechanism, effect of other metal ions and salts. Chem. Eng. J. 2011, 169, 20–30. [Google Scholar] [CrossRef]
- Šćiban, M.B.; Klašnja, M.T.; Antov, M.G. Study of the biosorption of different heavy metal ions onto Kraft lignin. Ecol. Eng. 2011, 37, 2092–2095. [Google Scholar] [CrossRef]
- Merdy, P.; Guillon, E.; Aplincourt, M. Iron and manganese surface complex formation with extracted lignin. Part 1: Adsorption isotherm experiments and EPR spectroscopy analysis. New J. Chim. 2002, 26, 1638–1645. [Google Scholar] [CrossRef]
- Todorciuc, T.; Bulgariu, L.; Popa, V.I. Adsorption of Cu (II) from aqueous solution on wheat straw lignin: Equilibrium and kinetic studies. Cellul. Chem. Technol. 2015, 49, 439–447. [Google Scholar]
- Jin, C.; Zhang, X.; Xin, J.; Liu, G.; Wu, G.; Kong, Z.; Zhang, J. Clickable synthesis of 1,2,4-triazole modified lignin-based adsorbent for the selective removal of Cd (II). ACS Sustain. Chem. Eng. 2017, 5, 4086–4093. [Google Scholar] [CrossRef]
- Li, Z.; Xiao, D.; Ge, Y.; Koehler, S. Surface-functionalized porous lignin for fast and efficient lead removal from aqueous solution. ACS Appl. Mater. Interfaces 2015, 7, 15000–15009. [Google Scholar] [CrossRef] [PubMed]
- Luo, X.; Liu, C.; Yuan, J.; Zhu, X.; Liu, S. Interfacial Solid-Phase Chemical Modification with Mannich Reaction and Fe (III) Chelation for Designing Lignin-Based Spherical Nanoparticle Adsorbents for Highly Efficient Removal of Low Concentration Phosphate from Water. ACS Sustain. Chem. Eng. 2017, 5, 6539–6547. [Google Scholar] [CrossRef]
- Parajuli, D.; Inoue, K.; Ohto, K.; Oshima, T.; Murota, A.; Funaoka, M.; Makino, K. Adsorption of heavy metals on crosslinked lignocatechol: A modified lignin gel. React. Funct. Polym. 2005, 62, 129–139. [Google Scholar] [CrossRef]
- Yang, Y.; Wei, Z.; Wang, C.; Tong, Z. Lignin-based Pickering HIPEs for macroporous foams and their enhanced adsorption of copper (II) ions. J. Chem. Soc. Chem. Commun. 2013, 49, 7144–7146. [Google Scholar] [CrossRef] [PubMed]
- Li, Y.; Wu, M.; Wang, B.; Wu, Y.; Ma, M.; Zhang, X. Synthesis of magnetic lignin-based hollow microspheres: A highly adsorptive and reusable adsorbent derived from renewable resources. ACS Sustain. Chem. Eng. 2016, 4, 5523–5532. [Google Scholar] [CrossRef]
- Da Silva, L.G.; Ruggiero, R.; Gontijo, P.D.M.; Pinto, R.B.; Royer, B.; Lima, E.C.; Fernandes, T.H.; Calvete, T. Adsorption of Brilliant Red 2BE dye from water solutions by a chemically modified sugarcane bagasse lignin. Chem. Eng. J. 2011, 168, 620–628. [Google Scholar] [CrossRef]
- Nair, V.; Panigrahy, A.; Vinu, R. Development of novel chitosan–lignin composites for adsorption of dyes and metal ions from wastewater. Chem. Eng. J. 2014, 254, 491–502. [Google Scholar] [CrossRef]
- Adebayo, M.A.; Prola, L.D.; Lima, E.C.; Puchana-Rosero, M.; Cataluna, R.; Saucier, C.; Umpierres, C.S.; Vaghetti, J.C.; da Silva, L.G.; Ruggiero, R. Adsorption of Procion Blue MX-R dye from aqueous solutions by lignin chemically modified with aluminium and manganese. J. Hazard. Mater. 2014, 268, 43–50. [Google Scholar] [CrossRef] [PubMed]
- Li, S.; Ogunkoya, D.; Fang, T.; Willoughby, J.; Rojas, O.J. Carboxymethylated lignins with low surface tension toward low viscosity and highly stable emulsions of crude bitumen and refined oils. J. Colloid Interface Sci. 2016, 482, 27–38. [Google Scholar] [CrossRef] [PubMed]
- Zhang, J.; Lin, X.; Luo, X.; Zhang, C.; Zhu, H. A modified lignin adsorbent for the removal of 2,4,6-trinitrotoluene. Chem. Eng. J. 2011, 168, 1055–1063. [Google Scholar] [CrossRef]
- Adhikari, B.B.; Gurung, M.; Alam, S.; Tolnai, B.; Inoue, K. Kraft mill lignin—A potential source of bio-adsorbents for gold recovery from acidic chloride solution. Chem. Eng. J. 2013, 231, 190–197. [Google Scholar] [CrossRef]
- Allen, S.J.; Koumanova, B.; Kircheva, Z.; Nenkova, S. Adsorption of 2-nitrophenol by technical hydrolysis lignin: Kinetics, mass transfer, and equilibrium studies. Ind. Eng. Chem. Res. 2005, 44, 2281–2287. [Google Scholar] [CrossRef]
- Han, W.; Luo, L.; Zhang, S. Adsorption of bisphenol A on lignin: Effects of solution chemistry. Int. J. Environ. Sci. Technol. 2012, 9, 543–548. [Google Scholar] [CrossRef]
- Ludvík, J.; Zuman, P. Adsorption of 1,2,4-triazine pesticides metamitron and metribuzin on lignin. Microchem. J. 2000, 64, 15–20. [Google Scholar] [CrossRef]
- Rupp, E.B.; Zuman, P.; Sestakova, I.; Horak, V. Polarographic determination of some pesticides. Application to a study of their adsorption on lignin. J. Agric. Food Chem. 1992, 40, 2016–2021. [Google Scholar] [CrossRef]
- Privman, M.; Rupp, E.B.; Zuman, P. Hexazinone: Polarographic reduction and adsorption on lignin. J. Agric. Food Chem. 1994, 42, 2946–2952. [Google Scholar] [CrossRef]
- Parajuli, D.; Kawakita, H.; Inoue, K.; Funaoka, M. Recovery of gold (III), palladium (II), and platinum (IV) by aminated lignin derivatives. Ind. Eng. Chem. Res. 2006, 45, 6405–6412. [Google Scholar] [CrossRef]
- Sharma, B.R.; Dhuldhoya, N.C.; Merchant, U.C. Flocculants-an ecofriendly approach. J. Polym. Environ. 2006, 14, 195–202. [Google Scholar] [CrossRef]
- Brumbach, M.; Carty, W.M. Dispersant demand curves: Effect of PAA on the viscosity of several clays. Ceram. Eng. Sci. Proc. 2003, 24, 183. [Google Scholar]
- Papo, A.; Piani, L.; Ricceri, R. Sodium tripolyphosphate and polyphosphate as dispersing agents for kaolin suspensions: Rheological characterization. Colloids Surf. A Physicochem. Eng. Asp. 2002, 201, 219–230. [Google Scholar] [CrossRef]
- Piani, L.; Papo, A. Sodium tripolyphosphate and polyphosphate as dispersing agents for alumina suspensions: Rheological characterization. J. Eng. 2013, 2013. [Google Scholar] [CrossRef]
- Qin, Y.; Yang, D.; Gu, F.; Li, X.; Xiong, W.; Zhu, J.Y. Biorefinery lignosulfonates as a dispersant for coal water slurry. Sustain. Chem. Process. 2016, 4, 5. [Google Scholar] [CrossRef]
- Konduri, M.K.; Fatehi, P. Adsorption and dispersion performance of oxidized sulfomethylated kraft lignin in coal water slurry. Fuel Procss. Technol. 2018; in press. [Google Scholar]
- He, W.; Fatehi, P. Preparation of sulfomethylated softwood kraft lignin as a dispersant for cement admixture. RSC Adv. 2015, 58, 47031–47039. [Google Scholar] [CrossRef]
- Konduri, M.K.; Fatehi, P. Production of water-soluble hardwood Kraft Lignin via Sulfomethylation using formaldehyde and sodium sulfite. ACS Sustain. Chem. Eng. 2015, 3, 1172–1182. [Google Scholar] [CrossRef]
- Detroit, J. Lignin Dispersing Agent. U.S. Patent No. 3726, 17 January 2012. [Google Scholar]
- He, W.; Gao, W.; Fatehi, P. Oxidation of Kraft Lignin with Hydrogen Peroxide and its Application as a Dispersant for Kaolin Suspensions. ACS Sustain. Chem. Eng. 2017, 5, 10597–10605. [Google Scholar] [CrossRef]
- Estelle, P.; Halelfadl, S.; Mare, T. Lignin as dispersant for water-based carbon nanotubes nanofluids: Impact on viscosity and thermal conductivity. Int. J. Heat Mass Transf. 2014, 57, 8–12. [Google Scholar] [CrossRef]
- Gan, L.; Zhou, M.; Yang, D.; Qiu, X. Preparation and evaluation of carboxymethylated lignin as dispersant for aqueous graphite suspension using Turbiscan Lab analyzer. J. Dispers. Sci. Technol. 2013, 34, 644–650. [Google Scholar] [CrossRef]
- Konduri, M.K.; Fatehi, P. Designing anionic lignin based dispersant for kaolin suspensions. Colloids Surf. A Physicochem. Eng. Asp. 2018, 538, 639–650. [Google Scholar] [CrossRef]
- Lin, X.; Zhou, M.; Wang, S.; Lou, H.; Yang, D.; Qiu, X. Synthesis, structure, and dispersion property of a novel lignin-based polyoxyethylene ether from kraft lignin and poly (ethylene glycol). ACS Sustain. Chem. Eng. 2014, 2, 1902–1909. [Google Scholar] [CrossRef]
- Lou, H.; Zhu, J.; Lan, T.Q.; Lai, H.; Qiu, X. pH-Induced lignin surface modification to reduce nonspecific cellulase binding and enhance enzymatic saccharification of lignocelluloses. ChemSusChem 2013, 6, 919–927. [Google Scholar] [CrossRef] [PubMed]
- Ouyang, X.; Ke, L.; Qiu, X.; Guo, Y.; Pang, Y. Sulfonation of alkali lignin and its potential use in dispersant for cement. J. Dispers. Sci. Technol. 2009, 30, 1–6. [Google Scholar] [CrossRef]
- Qin, Y.; Yang, D.; Qiu, X. Hydroxypropyl sulfonated lignin as dye dispersant: Effect of average molecular weight. ACS Sustain. Chem. Eng. 2015, 3, 3239–3244. [Google Scholar] [CrossRef]
- Rochez, O.; Zorzini, G.; Amadou, J.; Claes, M.; Richel, A. Dispersion of multiwalled carbon nanotubes in water by lignin. J. Mater. Sci. 2013, 48, 4962–4964. [Google Scholar] [CrossRef]
- Teng, N.Y.; Dallmeyer, I.; Kadla, J.F. Effect of softwood kraft lignin fractionation on the dispersion of multiwalled carbon nanotubes. Ind. Eng. Chem. 2013, 52, 6311–6317. [Google Scholar] [CrossRef]
- Zhou, H.; Chang, Y.; Wu, X.; Yang, D.; Qiu, X. Horseradish peroxidase modification of sulfomethylated wheat straw alkali lignin to improve its dispersion performance. ACS Sustain. Chem. Eng. 2015, 3, 518–523. [Google Scholar] [CrossRef]
- Kamoun, A.; Jelidi, A.; Chaabouni, M. Evaluation of the performance of sulfonated esparto grass lignin as a plasticizer–water reducer for cement. Cem. Concr. Res. 2003, 33, 995–1003. [Google Scholar] [CrossRef]
- Qiu, X.-Q.; Wang, B.; Lou, H.-M.; Yang, D.-J. Graft Sulfonation and Water Reducing-Performance Strengthening Effect of Acid Precipitation Lignin. J. South China Univ. Technol. 2007, 4, 3. [Google Scholar]
- Kano, K.; Minamizono, H.; Kitae, T.; Negi, S. Self-Aggregation of Cationic Porphyrins in Water. Can π-π Stacking Interaction Overcome Electrostatic Repulsive Force? J. Phys. Chem. Biophys. 1997, 101, 6118–6124. [Google Scholar] [CrossRef]
- Deng, Y.; Zhang, W.; Wu, Y.; Yu, H.; Qiu, X. Effect of molecular weight on the adsorption characteristics of lignosulfonates. J. Phys. Chem. 2011, 115, 14866–14873. [Google Scholar] [CrossRef] [PubMed]
- Heikal, M.; Morsy, M.S.; Aiad, I. Effect of polycarboxylate superplasticizer on hydration characteristics of cement pastes containing silica fume. Ceram. Silik. 2006, 50, 5–14. [Google Scholar]
- Lim, G.G.; Hong, S.S.; Kim, D.S.; Lee, B.J.; Rho, J.S. Slump loss control of cement paste by adding polycarboxylic type slump-releasing dispersant. Cem. Concr. Res. 1999, 29, 223–229. [Google Scholar] [CrossRef]
- Ran, Q.; Miao, C.; Liu, J.; Wu, S.; Shen, J. Performance and mechanism of a multi-functional superplasticizer for concrete. Mater. Trans. 2006, 47, 1599–1604. [Google Scholar] [CrossRef]
- Ran, Q.; Somasundaran, P.; Miao, C.; Liu, J.; Wu, S.; Shen, J. Adsorption mechanism of comb polymer dispersants at the cement/water interface. J. Dispers. Sci. Technol. 2010, 31, 790–798. [Google Scholar] [CrossRef]
- Yu, G.; Li, B.; Wang, H.; Liu, C.; Mu, X. Preparation of concrete superplasticizer by oxidation-sulfomethylation of sodium lignosulfonate. BioResources 2013, 8, 1055–1063. [Google Scholar] [CrossRef]
- Mudiastuti, S.; Suryokusumo, S.; Syahbirin, G.; Yumairoh, Y. Prospect of sodium lignosulfonate derived from hardwood black liquor as ingredient in mortar. Int. Soc. Southeast Asian Agric. Sci. J. 2011, 17, 184–193. [Google Scholar]
- Arel, H.Ş.; Aydin, E. Effects of Ca-, Mg-, K-, and Na-lignosulfonates on the behavior of fresh concrete. Constr. Build. Mater. 2017, 157, 1084–1091. [Google Scholar] [CrossRef]
- Pang, Y.X.; Qiu, X.Q.; Yang, D.J.; Lou, H.M. Influence of oxidation, hydroxymethylation and sulfomethylation on the physicochemical properties of calcium lignosulfonate. Colloids Surf. Physicochem. Eng. Asp. 2008, 312, 154–159. [Google Scholar] [CrossRef]
- Ratinac, K.R.; Standard, O.C.; Bryant, P.J. Lignosulfonate adsorption on and stabilization of lead zirconate titanate in aqueous suspension. J. Colloid Interface Sci. 2004, 273, 442–454. [Google Scholar] [CrossRef] [PubMed]
- Matsushita, Y.; Yasuda, S. Preparation and evaluation of lignosulfonates as a dispersant for gypsum paste from acid hydrolysis lignin. Bioresour. Technol. 2005, 96, 465–470. [Google Scholar] [CrossRef] [PubMed]
- Yang, D.; Qiu, X.; Zhou, M.; Lou, H. Properties of sodium lignosulfonate as dispersant of coal water slurry. Energy Convers. Manag. 2007, 48, 2433–2438. [Google Scholar] [CrossRef]
- Yang, D.; Qiu, X.; Pang, Y.; Zhou, M. Physicochemical properties of calcium lignosulfonate with different molecular weights as dispersants in aqueous suspension. J. Dispers. Sci. Technol. 2008, 29, 1296–1303. [Google Scholar] [CrossRef]
- Li, Z.; Pang, Y.; Lou, H.; Qiu, X. Influence of lignosulfonates on the properties of dimethomorph water-dispersible granules. BioResources 2009, 4, 589–601. [Google Scholar]
- Li, Z.; Pang, Y.; Ge, Y.; Qiu, X. Evaluation of steric repulsive force in the aqueous dispersion system of dimethomorph powder with lignosulfonates via X-ray photoelectron spectroscopy. J. Phys. Chem. C 2013, 115, 24865–24870. [Google Scholar] [CrossRef]
- Yang, D.; Li, H.; Qin, Y.; Zhong, R.; Bai, M.; Qiu, X. Structure and properties of sodium lignosulfonate with different molecular weight used as dye dispersant. J. Dispers. Sci. Technol. 2015, 36, 532–539. [Google Scholar] [CrossRef]
- Pang, Y.; Gao, W.; Lou, H.; Zhou, M.; Qiu, X. Influence of modified lignosulfonate GCL4-1 with different molecular weight on the stability of dimethomorph water based suspension. Colloids Surf. Physicochem. Eng. Asp. 2014, 441, 664–668. [Google Scholar] [CrossRef]
- Qiu, X.; Zeng, W.; Yu, W.; Xue, Y.; Pang, Y.; Li, X.; Li, Y. Alkyl chain cross-linked sulfobutylated lignosulfonate: A highly efficient dispersant for carbendazim suspension concentrate. ACS Sustain. Chem. Eng. 2015, 3, 1551–1557. [Google Scholar] [CrossRef]
- Hong, N.; Li, Y.; Zeng, W.; Zhang, M.; Peng, X.; Qiu, X. Ultrahigh molecular weight, lignosulfonate-based polymers: Preparation, self-assembly behaviors and dispersion property in coal-water slurry. RSC Adv. 2015, 5, 21588–21595. [Google Scholar] [CrossRef]
- Baird, J.C.; Walz, J.Y. The effects of added nanoparticles on aqueous kaolinite suspensions: II. Rheological effects. Colloid Interface Sci. 2007, 306, 411–420. [Google Scholar] [CrossRef] [PubMed]
- Zhang, L.; Lu, Q.; Xu, Z.; Liu, Q.; Zeng, H. Effect of polycarboxylate ether comb-type polymer on viscosity and interfacial properties of kaolinite clay suspensions. J. Colloid Interface Sci. 2012, 378, 222–231. [Google Scholar] [CrossRef] [PubMed]
- Schott, H. Controlled flocculation of coarse suspensions by colloidally dispersed solids I: Interaction of bismuth subnitrate with bentonite. J. Pharm. Sci. 1976, 65, 855–861. [Google Scholar] [CrossRef] [PubMed]
- Marco, P.; Llorens, J. Adsorption of some linear copolymers onto kaolin particles in concentrated suspensions. Colloids Surf. A Physicochem. Eng. Asp. 2005, 270, 291–295. [Google Scholar] [CrossRef]
- Pawlik, M. Polymeric dispersants for coal–water slurries. Colloids Surf. Physicochem. Eng. Asp. 2005, 266, 82–90. [Google Scholar] [CrossRef]
- Yoo, M.; Frank, C.W.; Mori, S.; Yamaguchi, S. Effect of poly (vinylidene fluoride) binder crystallinity and graphite structure on the mechanical strength of the composite anode in a lithium ion battery. Polymer 2003, 44, 4197–4204. [Google Scholar] [CrossRef]
- Boisvert, J.P.; Persello, J.; Castaing, J.C.; Cabane, B. Dispersion of alumina-coated TiO2 particles by adsorption of sodium polyacrylate. Colloids Surf. A. Physicochem. Eng. Asp. 2001, 178, 187–198. [Google Scholar] [CrossRef]
- Farrokhpay, S.; Morris, G.E.; Fornasiero, D.; Self, P. Effects of chemical functional groups on the polymer adsorption behavior onto titania pigment particles. J. Colloid Interface Sci. 2004, 274, 33–40. [Google Scholar] [CrossRef] [PubMed]
- Konduri, M.K. New Generation of Dispersants by Grafting Lignin or Xylan. Ph.D. Thesis, Lakehead University, Thunder Bay, ON, Canada, 2017. [Google Scholar]
- Zhou, M.; Qiu, X.; Yang, D.; Lou, H. Properties of Different Molecular Weight Sodium Lignosulfonate Fractions as Dispersant of Coal-Water Slurry. J. Dispers. Sci. Technol. 2004, 27, 851–856. [Google Scholar] [CrossRef]
- Iijima, S. Helical microtubules of graphitic carbon. Nature 1991, 354, 56–58. [Google Scholar] [CrossRef]
- Lu, P.; Hsieh, Y.L. Multiwalled carbon nanotube (MWCNT) reinforced cellulose fibers by electrospinning. ACS Appl. Mater. Interface 2010, 2, 2413–2420. [Google Scholar] [CrossRef] [PubMed]
- Ajayan, P.M.; Stephan, O.; Colliex, C.; Trauth, D. Aligned carbon nanotube arrays formed by cutting a polymer resin-nanotube composite. Science 1994, 265, 1212–1214. [Google Scholar] [CrossRef] [PubMed]
- Dillon, A.; Jones, K.M.; Bekkedahl, T.A.; Kiang, C.H.; Bethune, D.S.; Heben, M.J. Storage of hydrogen in single-walled carbon nanotubes. Nature 1997, 386, 377–379. [Google Scholar] [CrossRef]
- Planeix, J.M.; Coustel, N.; Coq, B.; Brotons, V.; Kumbhar, P.S.; Dutartre, R.; Ajayan, P.M. Application of carbon nanotubes as supports in heterogeneous catalysis. J. Am. Chem. Soc. 1994, 116, 7935–7936. [Google Scholar] [CrossRef]
- Bandyopadhyaya, R.; Nativ-Roth, E.; Regev, O.; Yerushalmi-Rozen, R. Stabilization of individual carbon nanotubes in aqueous solutions. Nano Lett. 2002, 2, 25–28. [Google Scholar] [CrossRef]
- Kharissova, O.V.; Kharisov, B.I.; Casas Ortiz, E.G. Dispersion of carbon nanotubes in water and non-aqueous solvents. RSC Adv. 2013, 3, 24812–24852. [Google Scholar] [CrossRef]
- Jung, D.H.; Ko, Y.K.; Jung, H.T. Aggregation behavior of chemically attached poly (ethylene glycol) to single-walled carbon nanotubes (SWNTs) ropes. Adv. Mater. Sci. Eng. C 2004, 24, 117–121. [Google Scholar] [CrossRef]
- Lu, F.; Zhang, S.; Zheng, L. Dispersion of multi-walled carbon nanotubes (MWCNTs) by ionic liquid-based phosphonium surfactants in aqueous solution. J. Mol. Liq. 2012, 173, 42–46. [Google Scholar] [CrossRef]
- Star, A.; Liu, Y.; Grant, K.; Ridvan, L.; Stoddart, J.F.; Steuerman, D.W.; Heath, J.R. Noncovalent side-wall functionalization of single-walled carbon nanotubes. Macromolecules 2003, 36, 553–560. [Google Scholar] [CrossRef]
- Vaisman, L.; Wagner, H.D.; Marom, G. The role of surfactants in dispersion of carbon nanotubes. Adv. Colloid Interface Sci. 2006, 128, 37–46. [Google Scholar] [CrossRef] [PubMed]
- Zhao, J.; Lu, J.P.; Han, J.; Yang, C.K. Noncovalent functionalization of carbon nanotubes by aromatic organic molecules. Appl. Phys. Lett. 2003, 82, 3746–3748. [Google Scholar] [CrossRef]
- Chen, R.J.; Zhang, Y.; Wang, D.; Dai, H. Noncovalent sidewall functionalization of single-walled carbon nanotubes for protein immobilization. J. Am. Chem. Soc. 2001, 123, 3838–3839. [Google Scholar] [CrossRef] [PubMed]
- Wang, H.; Zhou, W.; Ho, D.L.; Winey, K.I.; Fischer, J.E.; Glinka, C.J.; Hobbie, E.K. Dispersing single-walled carbon nanotubes with surfactants: A small angle neutron scattering study. Nano Lett. 2004, 4, 1789–1793. [Google Scholar] [CrossRef]
- Wen, D.; Ding, Y. Effective thermal conductivity of aqueous suspensions of carbon nanotubes (carbon nanotube nanofluids). J. Thermophys. Heat Transf. 2004, 18, 481–485. [Google Scholar] [CrossRef]
- Wusiman, K.; Jeong, H.; Tulugan, K.; Afrianto, H.; Chung, H. Thermal performance of multi-walled carbon nanotubes (MWCNTs) in aqueous suspensions with surfactants SDBS and SDS. Int. J. Heat Mass Transf. 2013, 41, 28–33. [Google Scholar] [CrossRef]
- Nasiri, A.; Shariaty-Niasar, M.; Rashidi, A.; Amrollahi, A.; Khodafarin, R. Effect of dispersion method on thermal conductivity and stability of nanofluid. Exp. Therm. Fluid Sci. 2011, 35, 717–723. [Google Scholar] [CrossRef]
- Hwang, Y.J.; Lee, J.K.; Lee, C.H.; Jung, Y.M.; Cheong, S.I.; Lee, C.G.; Jang, S.P. Stability and thermal conductivity characteristics of nanofluids. Thermochim. Acta 2007, 455, 70–74. [Google Scholar] [CrossRef]
- Assael, M.J.; Metaxa, I.N.; Arvanitidis, J.; Christofilos, D.; Lioutas, C. Thermal conductivity enhancement in aqueous suspensions of carbon multi-walled and double-walled nanotubes in the presence of two different dispersants. Int. J. Thermophys. 2005, 26, 647–664. [Google Scholar] [CrossRef]







| Lignin Type | Application | Charge Density meq/g | MW (g/mol) | Modification | References |
|---|---|---|---|---|---|
| Pulping sludge containing lignin | Wastewater | N/A | 510,000 | Amination with triethylamine | [34] |
| Kraft lignin from black liquor | Dye removal | N/A | N/A | Grafting trimethyl quaternary ammonium salt | [35] |
| Alkali lignin | Dye removal | N/A | N/A | Grafting trimethyl quaternary ammonium salt and along with sodium alginate | [36] |
| Thermomechanical pulping lignin (76 wt. % lignin) | Dye removal | −3.02 | 6270 | Nitric acid oxidation | [37] |
| Hydrolysis lignin | Dye removal | +1.79 | 2669 | Dimethylamine-acetone-formaldehyde copolymer grafting, Mannich reaction | [38] |
| +2.11 | 2762 | ||||
| +2.55 | 6143 | ||||
| Papermaking sludge (45–50 wt. % lignin and 5–10 wt. % cellulose) | Wastewater | N/A | 1000 | Acrylamide graft copolymerization | [39,40] |
| Softwood kraft lignin | Dye removal | +1.10 | 21,600 | Cationization with GTMAC | [11] |
| Softwood kraft lignin | Dye removal | −4.61 | 18,300 | Oxidation and sulfomethylation | [41] |
| Application as a Flocculant | Modification | Reference |
|---|---|---|
| Wastewater containing furfural | Radiation polymerization with olefins monomers | [42] |
| oil sands | No modification, but applied along with polyacrylamide-based polymers | [43] |
| Wastewater | Grafting with acrylamide and chitosan | [44] |
| Material | Adsorbent | Adsorption Capacity | Reference |
|---|---|---|---|
| Pb(II) | Wheat straw lignin | 85% | [62] |
| Cr(III) + Pb, Cr(III) + Cu, Cr(III) + Zn, Cr(III) + Cd | Isolated lignin from black liquor | ≥90% | [63] |
| Cr(VI) | Kraft lignin | 33.33 mg/g | [64] |
| Cr(VI) | Alkali lignin | 65 mg/g | [65] |
| Cu + Ni Cu + Cd | Kraft lignin | ≥80% ≥80% | [66] |
| Fe(III) Mn(III) | Wheat straw lignin | 100% 100% | [67] |
| Cu(II) | Wheat straw lignin | 35 mg/g | [68] |
| Cd(II) | Alkynylated lignin | 87.4 mg/g | [69] |
| Pb(II) | Aminated/esterified alkali lignin | 120 mg/g | [70] |
| Cu(II) Pb(II) | Aminated sulfomethylated lignin | ≥60% ≥60% | [68] |
| Fe-Aminated lignin complex | ≥90% | [71] | |
| Al(III) Co(II) La(III) | Crosslinked lignocatechol | 80% 100% 100% | [72] |
| Lignin-polyaniline | 1556.8 mg/g | [15] | |
| Cu(II) Cd(II) | Lignin-melamine formaldehyde | 73.2 mg/g 142.3 mg/g | [73] |
| Material | Adsorbent | Adsorption Capacity | Reference |
|---|---|---|---|
| Brilliant Red HE-3B dye | Wheat straw lignin | 10.17 mg/g | [50] |
| Methylene Blue dye | Esterified Lignin | 31.23 mg/g | [74] |
| Brilliant Red 2BE dye | Etherified lignin- complex | 73.6 mg/g | [75] |
| Anthraquinonic dye | Chitosan-alkali lignin complex | ≥90% | [76] |
| Procion Blue dye | Carboxymethylated lignin- complex Carboxymethylated lignin- complex | 73.52 mg/g 55.16 mg/g | [77] |
| Methylene Blue | Reticulated formic lignin | 34.12 mg/g | [50] |
| Material | Adsorbent | Adsorption Capacity | Reference |
|---|---|---|---|
| TNT | Chlorinated aminated lignin | 55.7 mg/g | [79] |
| 2-nitrophenol | Hydrolysis lignin | 1.8 mg/g | [81] |
| Bisphenol | Black liquor isolated lignin | 237.07 mg/g | [82] |
| Metamitron, metribuzin pesticide | rot-wood lignin | 53% 62% | [83] |
| Dazomet/tiram pesticide | Indulin kraft lignin | 38–40% | [84] |
| Hexazinone pesticide | Indulin kraft lignin | 47% | [85] |
| Au(II) | Crosslinked lignophenol | ≥30% | [86] |
| Au(III) | HCl mediated kraft lignin | 100% | [77] |
| Au(III) Pd(II) | Aminated lignin | 100% 80% | [86] |
| Lignin Type | Application | Charge Density (meq/g) | Molecular Weight (g/mol) | Modification | References |
|---|---|---|---|---|---|
| Hardwood kraft lignin | Cement admixture | −1.60 | 53,360 | Sulfomethylation | [94] |
| Softwood kraft lignin | Stellar clay, cement, calcium carbonate and titanium dioxide | N/A | N/A | Ozone oxidation | [95] |
| Softwood kraft lignin | Kaolin suspension | −2.2 | 14,825 | Oxidation | [96] |
| Lignin N/A | Carbon nanotubes nanofluids | N/A | N/A | As is | [97] |
| Straw alkali lignin | Dispersant for graphite suspension | N/A | N/A | Carboxymethylation | [98] |
| Softwood kraft lignin | Dispersant for cement admixture | −3.8 | 18,299 | Oxidation and sulfomethylation | [44] |
| Hardwood lignin | Kaolin suspension | (−)1.2–3.62 | 26,700–83,543 | Oxidation | [99] |
| Hardwood kraft lignin | Kaolin suspension | 1.80 | 29,960 | Carboxymethylation | [94] |
| Kraft lignin | Dimethomorph suspension | N/A | 18,061–29,201 | Grafting poly(ethylene glycol) functionalized with epichlorohydrin using BF3-Et2O | [100] |
| Wheat straw kraft lignin | Cement admixture | N/A | 25,700 | Sulfonation | [101] |
| Wheat straw alkali lignin | Cement admixture | N/A | 9688 | Hydroxymethylation and sulfonation | [102] |
| Pinewood alkali lignin | Dye suspension | N/A | 11,020 | Hydroxypropylation and sulfonation | [103] |
| Spruce alkali lignin | Multiwalled carbon nanotubes | N/A | 14,000 | As is | [104] |
| Softwood kraft lignin | Multiwalled carbon nanotubes | N/A | 6500–7000 and 34,000–36,000 | Fractionization | [105] |
| Wheat straw alkali lignin | TiO2 slurry | N/A | 17,400–35,700 | Sulfomethylation, horseradish peroxide utilization | [106] |
| Esparto grass lignin | Cement admixture | N/A | 10,000 | Sulfonation | [107] |
| Acid precipitated lignin | Cement admixture | N/A | N/A | Sulfonation | [108] |
| Lignosulfonate Type | Application | Charge Density (meq/g) | Molecular Weight (g/mol) | Modification | Reference |
|---|---|---|---|---|---|
| NA | Electroceramic suspensions | −0.061 ± 0.002 C/m2 | 37,000 | No modification | [119] |
| NA | Gypsum paste | NA | 9000–62,000 | Hydroxymethylation, sulfonation, phenolation, sulfomethylation, arylsulfonation | [120] |
| NA | Coal-water slurry | NA | 2000-17,000 | No modification | [59] |
| Sodium lignosulfonate | Coal-water slurry | NA | less than 5000 to more than 50,000 | No modification | [121] |
| Calcium lignosulfonate | Titanium dioxide suspension | NA | less than 1000—more than 30,000 | No modification | [122] |
| Calcium lignosulfonate | Cement admixture | NA | NA | Oxidation, sulfomethylation, hydroxymethylation | [118] |
| NA | Dimethomorph suspension | NA | Less than 1000—more than 30,000 | No modification | [123] |
| Hardwood lignosulfonate | Cement admixture | NA | NA | No modification | [120] |
| NA | Dimethomorph suspension | NA | 4800–160,000 | No modification | [123] |
| Sodium lignosulfonate | Ceramic suspension | NA | 13,000 | No modification | [124] |
| Sodium lignosulfonate | Concrete admixture | NA | 2378 and 23,650 | Oxidation, sulfomethylation | [115] |
| NA | Dye suspension | NA | 9010–17,307 | No modification | [125] |
| NA | Dimethomorph suspension | NA | 9600–35,500 | Oxidation, sulfonation | [126] |
| NA | Carbendazim suspension | NA | 1900–13,120 | Sulfobutylation | [127] |
| NA | Coal-water slurry | NA | 13,100–251,000 | Alkyl chain coupling polymerization | [128] |
| Calcium, magnesium, sodium, potassium lignosulfonate | Cement admixture | NA | NA | No modification | [117] |
© 2018 by the authors. Licensee MDPI, Basel, Switzerland. This article is an open access article distributed under the terms and conditions of the Creative Commons Attribution (CC BY) license (http://creativecommons.org/licenses/by/4.0/).
Share and Cite
Chen, J.; Eraghi Kazzaz, A.; AlipoorMazandarani, N.; Hosseinpour Feizi, Z.; Fatehi, P. Production of Flocculants, Adsorbents, and Dispersants from Lignin. Molecules 2018, 23, 868. https://doi.org/10.3390/molecules23040868
Chen J, Eraghi Kazzaz A, AlipoorMazandarani N, Hosseinpour Feizi Z, Fatehi P. Production of Flocculants, Adsorbents, and Dispersants from Lignin. Molecules. 2018; 23(4):868. https://doi.org/10.3390/molecules23040868
Chicago/Turabian StyleChen, Jiachuan, Armin Eraghi Kazzaz, Niloofar AlipoorMazandarani, Zahra Hosseinpour Feizi, and Pedram Fatehi. 2018. "Production of Flocculants, Adsorbents, and Dispersants from Lignin" Molecules 23, no. 4: 868. https://doi.org/10.3390/molecules23040868
APA StyleChen, J., Eraghi Kazzaz, A., AlipoorMazandarani, N., Hosseinpour Feizi, Z., & Fatehi, P. (2018). Production of Flocculants, Adsorbents, and Dispersants from Lignin. Molecules, 23(4), 868. https://doi.org/10.3390/molecules23040868

