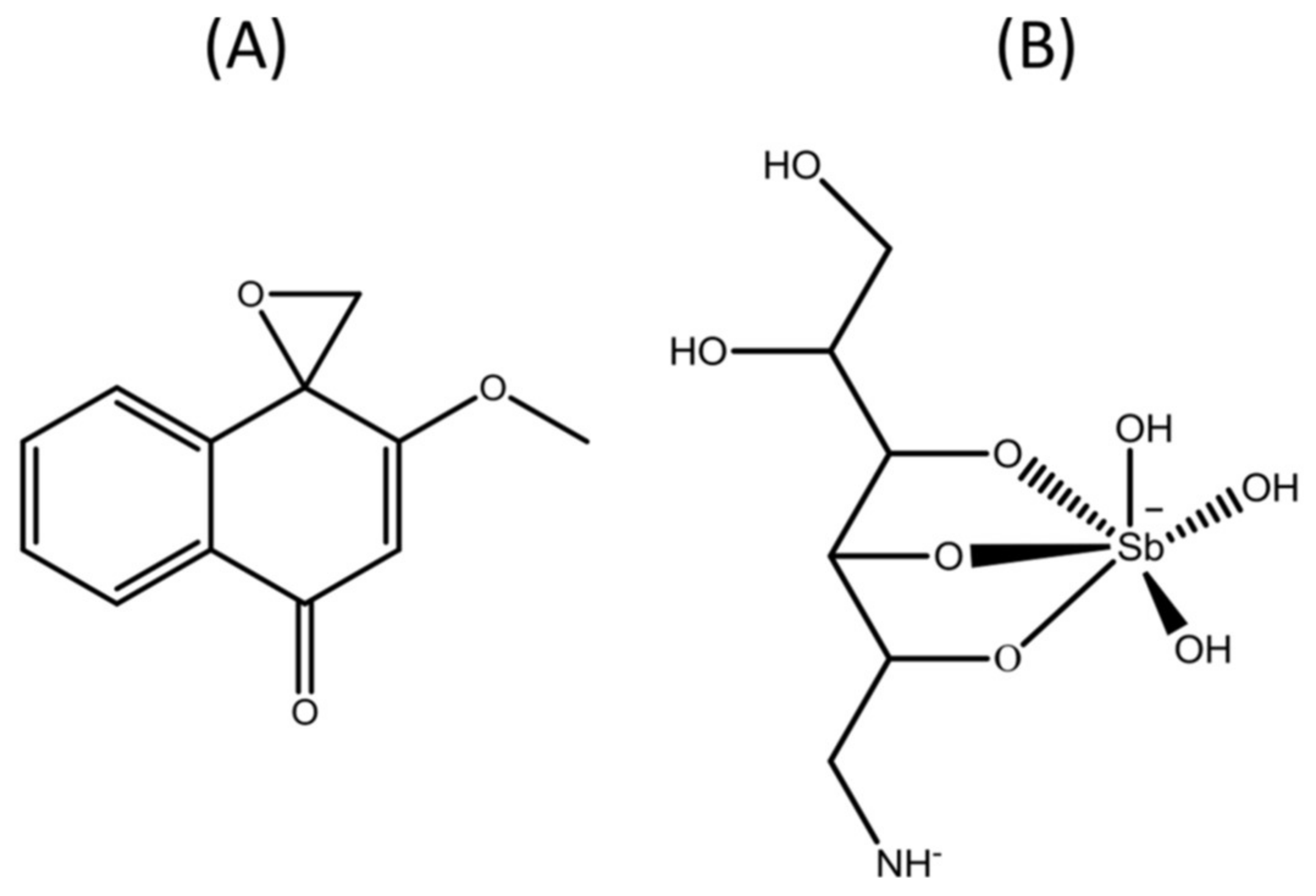
Antileishmanial Activity of 2-Methoxy-4H-spiro-[naphthalene-1,2′-oxiran]-4-one (Epoxymethoxy-lawsone): A Promising New Drug Candidate for Leishmaniasis Treatment
Abstract
:1. Introduction
2. Results
2.1. Drug Effects against Intracellular Amastigotes and Promastigotes of Leishmania (L.) amazonensis
2.2. Effects In Vivo of Treatment on Experimental Cutaneous Lesions Caused by Leishmania (L.) amazonensis
2.3. Effects of the Treatments in BALB/c Skin Lesions by Light Microscopy and Transmission Electron Microscopy
3. Discussion
4. Materials and Methods
4.1. Chemicals and Culture Material
4.2. Cell Culture
4.3. Parasite Cultures
4.4. Activity against Promastigotes
4.5. Activity against Intracellular Amastigotes
4.6. Toxicity to Mammalian Cells
4.7. Experimental Murine Infection
4.8. Mice Treatment Schedules
4.9. Processing of Samples for Transmission Electron Microscopy
4.10. Semiquantitative Analysis of Fragments
4.11. Ethical Aspects
4.12. Statistical Analysis
5. Conclusions
Acknowledgments
Author Contributions
Conflicts of Interest
References
- WHO. Control of the Leishmaniases: Report of a Meeting of the WHO Expert Committee on the Control of Leishmaniases; WHO: Geneva, Switzerland, 2010. [Google Scholar]
- Ready, P.D. Epidemiology of visceral Leishmaniasis. Clin. Epidemiol. 2014, 6, 147–154. [Google Scholar] [CrossRef] [PubMed]
- OPAS. Leishmaniasis en las Américas: Recomendaciones Para el Tratamento; Organizaciòn Panamericana de la Salud: Washington, DC, USA, 2013; Available online: http://www.paho.org/hq/index.php?option=com_docman&task=doc_view&gid=22226&Itemid=270&lang=en, (accessed on 4 march 2018).
- WHO. Leishmaniasis. Fact Sheet; WHO: Geneva, Switzerland, 2010; Available online: http://www.who.int/mediacentre/factsheets/fs375/en/), (accessed on 4 march 2018).
- Ameen, M. Cutaneous Leishmaniasis: Advances in disease pathogenesis, diagnostics and therapeutics. Clin. Exp. Dermatol. 2010, 35, 699–705. [Google Scholar] [CrossRef] [PubMed]
- Haldar, A.K.; Sen, P.; Roy, S. Use of antimony in the treatment of Leishmaniasis: Current status and future directions. Mol. Biol. Int. 2011. [Google Scholar] [CrossRef] [PubMed]
- Oliveira, L.F.; Schubach, A.O.; Martins, M.M.; Passos, S.L.; Oliveira, R.V.; Marzochi, M.C.; Andrade, C.A. Systematic review of the adverse effects of cutaneous Leishmaniasis treatment in the New World. Act Trop. 2011, 118, 87–96. [Google Scholar] [CrossRef] [PubMed]
- Sen, R.; Chatterjee, M. Plant derived therapeutics for the treatment of Leishmaniasis. Phytomedicine 2011, 18, 1056–1069. [Google Scholar] [CrossRef] [PubMed]
- Monks, T.J.; Hanzlik, R.P.; Cohen, G.M.; Ross, D.; Graham, D.G. Quinone chemistry and toxicity. Toxicol. Appl. Pharmacol. 1992, 112, 2–16. [Google Scholar] [CrossRef]
- Lima, N.M.; Correia, C.S.; Leon, L.L; Machado, G.M.; Madeira, M.F.; Santana, A.E.; Goulart, M.O. Anti Leishmanial activity of lapachol analogues. Mem. Inst. Oswaldo Cruz. 2004, 99, 757–761. [Google Scholar] [CrossRef] [PubMed]
- Ferreira, V.F.; Jorqueira, A.; Souza, A.; da Silva, M.N.; de Souza, M.C.; Gouvêa, R.M.; Rodrigues, C.R.; Pinto, A.V.; Castro, H.C.; Santos, D.O.; et al. Trypanocidal agents with low cytotoxicity to mammalian cell line: A comparison of the theoretical and biological features of lapachone derivatives. Bioorg. Med. Chem. 2006, 14, 5459–5466. [Google Scholar] [CrossRef] [PubMed]
- Carneiro, P.F.; do Nascimento, S.B.; Pinto, A.V.; Pinto, M.C.; Lechuga, G.C.; Santos, D.O.; dos Santos Júnior, H.M.; Resende, J.A.; Bourguignon, S.C.; et al. New oxiranes derivatives of 1,4-naphthoquinones and their evaluation against T. cruzi epimastigote forms. Bioorg. Med. Chem. 2012, 20, 4995–5000. [Google Scholar] [CrossRef] [PubMed]
- Souza-Silva, F.; Nascimento, S.B.; Bourguignon, S.C.; Pereira, B.A.; Carneiro, P.F.; Silva, W.S.; Alves, C.R.; Pinho, R.T. Evidences for leishmanicidal activity of the naphthoquinones derivative epoxy-α-lapachone. Exp. Parasitol. 2014, 147, 81–84. [Google Scholar] [CrossRef] [PubMed]
- Silva, F.S.; Bourguignon, S.C.; Pereira, B.A.; Côrtes, L.M.; Oliveira, L.F.; Henriques-Pons, A.; Finkelstein, L.C.; Ferreira, V.F.; Carneiro, P.F.; Pinho, R.T.; et al. Epoxy-𝛼-lapachone has in vitro and in vivo anti-leishmania (Leishmania) amazonensis effects and inhibits serine proteinase activity in this parasite. Antimicrob. Agents Chemother. 2015, 59, 1910–1918. [Google Scholar] [CrossRef] [PubMed]
- Frézard, F.; Demicheli, C.; Ribeiro, R.R. Pentavalent antimonials: New perspectives for old drugs. Molecules 2009, 14, 2317–2336. [Google Scholar] [CrossRef] [PubMed]
- Oliveira, L.F.G.; Souza-Silva, F.; Cysne-Finkelstein, L.; Rabelo, K.; Amorim, J.F.; Azevedo, A.S.; Bourguignon, S.C.; Ferreira, V.F.; Paes, M.V.; Alves, C.R. Evidence for Tissue Toxicity in BALB/c Exposed to a Long-Term Treatment with Oxiranes Compared to Meglumine Antimoniate. BioMed. Res. Int. 2017. [Google Scholar] [CrossRef] [PubMed]
- Katsuno, K.; Burrows, J.N.; Duncan, K.; Hooft van Huijsduijnen, R.; Kaneko, T.; Kita, K.; Mowbray, C.E.; Schmatz, D.; Warner, P.; Slingsby, B.T. Hit and lead criteria in drug discovery for infectious diseases of the developing world. Nat. Rev. Drug Discov. 2015, 14, 751–758. [Google Scholar] [CrossRef] [PubMed]
- Croft, S.L.; Seifert, K.; Yardley, V. Current scenario of drug development for Leishmaniasis. Indian J. Med. Res. 2006, 123, 399–410. [Google Scholar] [PubMed]
- Rogalińska, M. Alterations in cell nuclei during apoptosis. Cell Mol. Biol. Lett. 2002, 7, 995–1018. [Google Scholar] [PubMed]
- Bourguignon, S.C.; Cavalcanti, D.F.; de Souza, A.M.; Castro, H.C.; Rodrigues, C.R.; Albuquerque, M.G.; Santos, D.O.; da Silva, G.G.; da Silva, F.C.; Ferreira, V.F.; et al. Trypanosoma cruzi: Insights into naphthoquinone effects on growth and proteinase activity. Exp. Parasitol. 2011, 127, 160–166. [Google Scholar] [CrossRef] [PubMed]
- Taddei, M. Synthesis of oligopeptides containing an oxirane ring in the place of a peptidic bond. Methods Mol. Med. 1999, 23, 189–207. [Google Scholar] [PubMed]
- Cysne-Finkelstein, L.; Silva-Almeida, M.; Pereira, B.A.S.; Charret, K.S.; Bertho, A.L.; Bastos, L.S.; Pinto, L.O.; Oliveira Junior, F.O.R.; Pereira, M.C.S.; Alves, C.R. Evidence of Subpopulations with Distinct Biological Features Within a Leishmania (Viannia) braziliensis Strain. Protist 2018, 169, 107–121. [Google Scholar] [CrossRef] [PubMed]
- De Muylder, G.; Ang, K.K.; Chen, S.; Arkin, M.R.; Engel, J.C.; McKerrow, J.H. A Screen against Leishmania Intracellular Amastigotes: Comparison to a Promastigote Screen and Identification of a Host Cell-Specific Hit. PLoS Negl. Trop. Dis. 2011, 5. [Google Scholar] [CrossRef] [PubMed]
| Sample Availability: Samples of the compounds are not available from the authors. | 






| Drug | CC50 (μM) | IC50 (μM) | Selectivity * | Specificity ** | ||
|---|---|---|---|---|---|---|
| Murine macrophage | Promastigote | Intracellular amastigote | ||||
| 72 h | 24 h | 24 h | 48 h | |||
| Epoxymethoxy-lawsone | 40.05 ± 3.0 | 45.45 ± 5.0 | 7.41 ± 0.2 | 0.40 ± 0.001 | 5.40 | 6.13 | 
| Meglumine antimoniate | 24.14 ± 2.6 | ND | 4.43 ± 0.25 | 0.60 ± 0.02 | 5.45 | ND | 
| Mice Groups | Treatment Dose (mg/kg/Day) | Vacuoles | Amastigotes | 
|---|---|---|---|
| Untreated | - | ++++ | ++++ | 
| Epoxymethoxy-lawsone | 11.4 | + | + | 
| 1.14 | + | + | |
| 0.11 | ++++ | +++ | |
| Meglumine antimoniate | 22.7 | ++ | ++ | 
| 2.27 | +++ | ++ | |
| 0.23 | ++++ | +++ | 
© 2018 by the authors. Licensee MDPI, Basel, Switzerland. This article is an open access article distributed under the terms and conditions of the Creative Commons Attribution (CC BY) license (http://creativecommons.org/licenses/by/4.0/).
Share and Cite
Oliveira, L.F.G.; Souza-Silva, F.; De Castro Côrtes, L.M.; Cysne-Finkelstein, L.; De Souza Pereira, M.C.; De Oliveira Junior, F.O.; Pinho, R.T.; Corte Real, S.; Bourguignon, S.C.; Ferreira, V.F.; et al. Antileishmanial Activity of 2-Methoxy-4H-spiro-[naphthalene-1,2′-oxiran]-4-one (Epoxymethoxy-lawsone): A Promising New Drug Candidate for Leishmaniasis Treatment. Molecules 2018, 23, 864. https://doi.org/10.3390/molecules23040864
Oliveira LFG, Souza-Silva F, De Castro Côrtes LM, Cysne-Finkelstein L, De Souza Pereira MC, De Oliveira Junior FO, Pinho RT, Corte Real S, Bourguignon SC, Ferreira VF, et al. Antileishmanial Activity of 2-Methoxy-4H-spiro-[naphthalene-1,2′-oxiran]-4-one (Epoxymethoxy-lawsone): A Promising New Drug Candidate for Leishmaniasis Treatment. Molecules. 2018; 23(4):864. https://doi.org/10.3390/molecules23040864
Chicago/Turabian StyleOliveira, Luiz Filipe Gonçalves, Franklin Souza-Silva, Luzia Monteiro De Castro Côrtes, Lea Cysne-Finkelstein, Mirian Cláudia De Souza Pereira, Francisco Odêncio De Oliveira Junior, Rosa Teixeira Pinho, Suzana Corte Real, Saulo Cabral Bourguignon, Vitor Francisco Ferreira, and et al. 2018. "Antileishmanial Activity of 2-Methoxy-4H-spiro-[naphthalene-1,2′-oxiran]-4-one (Epoxymethoxy-lawsone): A Promising New Drug Candidate for Leishmaniasis Treatment" Molecules 23, no. 4: 864. https://doi.org/10.3390/molecules23040864
APA StyleOliveira, L. F. G., Souza-Silva, F., De Castro Côrtes, L. M., Cysne-Finkelstein, L., De Souza Pereira, M. C., De Oliveira Junior, F. O., Pinho, R. T., Corte Real, S., Bourguignon, S. C., Ferreira, V. F., & Alves, C. R. (2018). Antileishmanial Activity of 2-Methoxy-4H-spiro-[naphthalene-1,2′-oxiran]-4-one (Epoxymethoxy-lawsone): A Promising New Drug Candidate for Leishmaniasis Treatment. Molecules, 23(4), 864. https://doi.org/10.3390/molecules23040864
 
        

 
                         
       