Synthesis, Characterization, and Antifungal Activity of Novel Benzo[4,5]imidazo[1,2-d][1,2,4]triazine Derivatives
Abstract
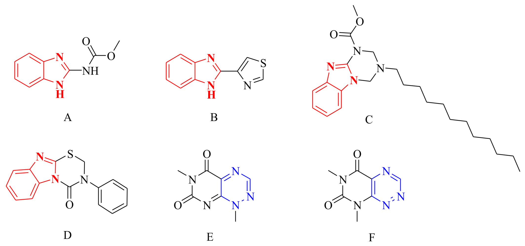
:1. Introduction
2. Results and Discussion
2.1. Synthesis Strategy for Intermediate 3
2.2. Synthesis and Characterization of Title Compounds 4
2.3. X-ray Crystal Structure of Compound 4n
2.4. Antifungal Activity
2.5. Structure–Activity Relationships
3. Experimental Section
3.1. General
3.2. Chemistry
3.2.1. General Procedure for Synthesis of Compounds 2
3.2.2. General Procedure for Synthesis of Compounds 3
3.2.3. General Procedure for Synthesis of Compounds 4
3.3. Single Crystal X-ray Diffraction Analysis
3.4. Antifungal Bioassay
4. Conclusions
Supplementary Materials
Acknowledgments
Author Contributions
Conflicts of Interest
References
- Xu, W.; He, J.; He, M.; Han, F.; Chen, X.; Pan, Z.; Wang, J.; Tong, M. Synthesis and antifungal activity of novel sulfone derivatives containing 1,3,4-oxadiazole moieties. Molecules 2011, 16, 9129–9141. [Google Scholar] [CrossRef] [PubMed]
- Li, S.B.; Hu, D.Y.; Song, B.A.; Yang, S.; Jin, L.H.; Xue, W.; Zeng, S.; Wang, J.; Chen, Z.; Lu, P.; et al. Synthesis and antifungal activity of novel 1,5-diphenyl-1,4-pentadien-3-one oxime esters. Chin. J. Org. Chem. 2008, 28, 311–316. [Google Scholar]
- Dai, Z.C.; Chen, Y.F.; Zhang, M.; Li, S.K.; Yang, T.T.; Shen, L.; Wang, J.X.; Qian, S.S.; Zhu, H.L.; Ye, Y.H. Synthesis and antifungal activity of 1,2,3-triazole phenylhydrazone derivatives. Org. Biomol. Chem. 2015, 13, 477–486. [Google Scholar] [CrossRef] [PubMed]
- Yang, L.; Ge, S.; Huang, J.; Bao, X. Synthesis of novel (E)-2-(4-(1H-1,2,4-triazol-1-yl)styryl)-4-(alkyl/arylmethyleneoxy)quinazoline derivatives as antimicrobial agents. Mol. Divers. 2018, 22, 71–82. [Google Scholar] [CrossRef] [PubMed]
- Wang, X.; Li, P.; Li, Z.; Yin, J.; He, M.; Xue, W.; Chen, Z.; Song, B.A. Synthesis and bioactivity evaluation of novel arylimines containing a 3-aminoethyl-2-[(p-trifluoromethoxy)anilino]-4(3H)-quinazolinone moiety. J. Agric. Food Chem. 2013, 61, 9575–9582. [Google Scholar] [CrossRef] [PubMed]
- Xu, W.; Yang, S.; Bhadury, P.; He, J.; He, M.; Gao, L.; Hu, D.; Song, B.A. Synthesis and bioactivity of novel sulfone derivatives containing 2,4-dichlorophenyl substituted 1,3,4-oxadiazole/thiadiazole moiety as chitinase inhibitors. Pestic. Biochem. Phys. 2011, 101, 6–15. [Google Scholar] [CrossRef]
- Zhang, R.R.; Liu, J.; Zhang, Y.; Hou, M.Q.; Zhang, M.Z.; Zhou, F.; Zhang, W.H. Microwave-assisted synthesis and antifungal activity of novel coumarin derivatives: Pyrano[3,2-c]chromene-2,5-diones. Eur. J. Med. Chem. 2016, 116, 76–83. [Google Scholar] [CrossRef] [PubMed]
- Hu, Y.; Wang, J.; Lu, A.; Yang, C.L. Synthesis, characterization, antifungal evaluation and 3D-QSAR study of phenylhydrazine substituted tetronic acid derivatives. Bioorg. Med. Chem. Lett. 2014, 24, 3772–3776. [Google Scholar] [CrossRef] [PubMed]
- Zhang, D.; Wang, Z.; Xu, W.; Sun, E.; Tang, L.; Wang, J. Design, synthesis and antibacterial activity of novel actinonin derivatives containing benzimidazole heterocycles. Eur. J. Med. Chem. 2009, 44, 2202–2210. [Google Scholar] [CrossRef] [PubMed]
- Sondhi, S.M.; Singh, N.; Kumar, A.; Lozach, O.; Meijer, L. Synthesis, anti-inflammatory, analgesic and kinase (CDK-1, CDK-5 and GSK-3) inhibition activity evaluation of benzimidazole/benzoxazole derivatives and some Schiff’s bases. Bioorg. Med. Chem. 2006, 14, 3758–3765. [Google Scholar] [CrossRef] [PubMed]
- Webster, L.M.; Johnson, P.C.; Adam, A.; Mable, C.D.; Keller, L.F. Absence of three known benzimidazole resistance mutations in Trichostrongylus tenuis, a nematode parasite of avian hosts. Vet. Parasitol. 2008, 158, 302–310. [Google Scholar] [CrossRef] [PubMed]
- Lukowska-Chojnacka, E.; Wińska, P.; Wielechowska, M.; Poprzeczko, M.; Bretner, M. Synthesis of novel polybrominated benzimidazole derivatives-potential CK2 inhibitors with anticancer and proapoptotic activity. Bioorg. Med. Chem. 2016, 24, 735–741. [Google Scholar] [CrossRef] [PubMed]
- Tonelli, M.; Novelli, F.; Tasso, B.; Vazzana, I.; Sparatore, A. Antiviral activity of benzimidazole derivatives III Novel anti-CVB-5, anti-RSV and anti-Sb-1 agents. Bioorg. Med. Chem. 2014, 22, 4893–4909. [Google Scholar] [CrossRef] [PubMed]
- Lezcano, M.; Al-Soufi, W.; Novo, M.; Rodríguez-Núñez, E.; Tato, J.V. Complexation of several benzimidazole-type fungicides with α-and β-cyclodextrins. J. Agric. Food Chem. 2002, 50, 108–112. [Google Scholar] [CrossRef] [PubMed]
- Wang, X.; Chen, Y.F.; Yan, W.; Cao, L.L.; Ye, Y.H. Synthesis and biological evaluation of benzimidazole phenylhydrazone derivatives as antifungal agents against phytopathogenic fungi. Molecules 2016, 21, 1574. [Google Scholar] [CrossRef] [PubMed]
- Bai, Y.B.; Zhang, A.L.; Tang, J.J.; Gao, J.M. Synthesis and antifungal activity of 2-chloromethyl-1H-benzimidazole derivatives against phytopathogenic fungi in vitro. J. Agric. Food Chem. 2013, 61, 2789–2795. [Google Scholar] [CrossRef] [PubMed]
- Liu, S.; Qian, X.; Chen, J.; Song, G. Novel fused heterocycles: Synthesis and activity of 5,6-dihydro-7-thia-1,3,3a,5-tetraazainden-4-one and 1-thia-3,4a,9-triazafluoren-4-one derivatives. Monatsh. Chem. 2000, 131, 953–957. [Google Scholar] [CrossRef]
- Davison, E.K.; Sperry, J. Natural products with heteroatom-rich ring systems. J. Nat. Prod. 2017, 80, 3060–3079. [Google Scholar] [CrossRef] [PubMed]
- Reich, M.F.; Fabio, P.F.; Lee, V.J.; Kuck, N.A.; Testa, R.T. Pyrido [3,4-e]-1,2,4-triazines and related heterocycles as potential antifungal agents. J. Med. Chem. 1989, 32, 2474–2485. [Google Scholar] [CrossRef] [PubMed]
- El-Barbary, A.A.; Sakran, M.A.; El-Madani, A.M.; Nielsen, C. Synthesis, characterization and biological activity of some 1,2,4-triazine derivatives. J. Heterocycl. Chem. 2005, 42, 935–941. [Google Scholar] [CrossRef]
- El-All, A.S.A.; Osman, S.A.; Roaiah, H.M.; Abdalla, M.M.; El Aty, A.A.A.; AbdEl-Hady, W.H. Potent anticancer and antimicrobial activities of pyrazole, oxazole and pyridine derivatives containing 1,2,4-triazine moiety. Med. Chem. Res. 2015, 24, 4093–4104. [Google Scholar] [CrossRef]
- Sangshetti, J.N.; Shinde, D.B. One pot synthesis and SAR of some novel 3-substituted 5,6-diphenyl-1,2,4-triazines as antifungal agents. Bioorg. Med. Chem. Lett. 2010, 20, 742–745. [Google Scholar] [CrossRef] [PubMed]
- Venkataramana, H.S.; Singh, A.; Tiwari, A.; Tiwari, V. Synthesis of phenyl hydrazine substituted benzimidazole derivatives and their biological activity. Int. J. Pharm. Sci. Res. 2010, 1, 34–38. [Google Scholar]
- Srivastava, S.; Pandeya, S.N.; Yadav, M.K.; Singh, B.K. Synthesis and analgesic activity of novel derivatives of 1,2-substituted benzimidazoles. J. Chem. 2012, 2013. [Google Scholar] [CrossRef]
- Wang, X.F.; Si, T.F.; Li, Q.B.; Zhu, Z.Y.; Zhu, X.J.; Qiang, S.; Yang, C.L. Synthesis, characterization and biological activity of novel (5-RS,6-S)-5-sec-butyl-3-(1-substituted-amino) ethylidene-1H-pyrrolidine-2,4-diones. ARKIVOC 2010, 2, 31–48. [Google Scholar]
- Xu, W.Q.; Chen, M.; Wang, K.Y.; Ren, Z.J.; Lu, A.M.; Yang, C.L. Synthesis, characterization, and antifungal activity of phenylpyrrole-substituted tetramic acids bearing carbonates. Molecules 2016, 21, 355. [Google Scholar] [CrossRef] [PubMed]
Sample Availability: Samples of the compounds 3a–3g and 4a–4w are available from the authors. |






| Crystal Data | |
|---|---|
| C18H16N4O3 | α = 118.323 (7)° |
| FW = 336.35 | β = 91.750 (8)° |
| Triclinic, P | γ = 104.198 (7)° |
| a = 9.033 (6) Å | V = 800.2 (9) Å3 |
| b = 10.136 (7) Å | Z = 2 |
| c = 10.396 (7) Å | μ = 0.098 mm−1 |
| F (000) = 352 | Cryatal size (mm3): 0.38 × 0.40 × 0.45 |
| Data Collection | |
| Tmin = 0.9559, Tmax = 0.9642 | 2715 observed reflections with I > 2σ(I) |
| 6357 measured reflections | Rint = 0.031 |
| 3195 independent reflections | θmin = 2.3°, θmax = 26.4° |
| Refinement | |
| 229 parameters | R indices (all data) R1 = 0.0475, wR2 = 0.1284 |
| Goodness-of-fit: 1.054 | R indices [I > 2σ(I)] R1 = 0.0408, wR2 = 0.1212 |
| Δρmax = 0.22 eÅ−3, Δρmin = −0.23 eÅ−3 | w [P = (Fo2+ 2Fc2)/3] = 1/[σ2(Fo2) + (0.0680P)2 + 0.1590P] |
| Compd. | R1 | R2 | R3 | Inhibition (%) | ||
|---|---|---|---|---|---|---|
| B. cinerea | R. solani | C. capsici | ||||
| 4a | H | H | Me | 62.1 ± 0.2 | 32.0 ± 0.6 | 52.1 ± 0.2 |
| 4b | H | H | Et | 41.1 ± 0.1 | 63.5 ± 0.7 | 29.8 ± 0.3 |
| 4c | H | H | n-Pr | 11.4 ± 0.1 | 45.7 ± 1.0 | 27.4 ± 0.3 |
| 4d | H | H | i-Pr | 29.7 ± 0.1 | 33.2 ± 0.4 | 38.0 ± 0.2 |
| 4e | H | H | i-Bu | 28.3 ± 0.1 | 48.1 ± 0.3 | 21.2 ± 0.2 |
| 4f | H | H | Ph | 26.2 ± 0.3 | 57.3 ± 0.2 | 27.7 ± 0.1 |
| 4g | H | 4-Cl | Me | 70.5 ± 0.1 | 58.0 ± 0.2 | 60.3 ± 0.1 |
| 4h | H | 4-Cl | Et | 68.6 ± 0.1 | 53.7 ± 0.2 | 49.4 ± 0.5 |
| 4i | H | 4-Cl | n-Pr | 68.4 ± 0.4 | 50.6 ± 0.3 | 43.4 ± 0.5 |
| 4j | H | 4-Cl | i-Pr | 51.5 ± 0.1 | 40.2 ± 0.2 | 43.4 ± 0.2 |
| 4k | H | 4-Cl | i-Bu | 50.8 ± 0.2 | 31.3 ± 0.6 | 45.7 ± 0.1 |
| 4l | H | 4-Cl | Ph | 50.5 ± 0.3 | 47.7 ± 0.3 | 57.8 ± 0.2 |
| 4m | H | 4-Cl | Bn | 50.8 ± 0.1 | 21.6 ± 0.4 | 39.4 ± 0.4 |
| 4n | H | 4-Me | Me | 69.2 ± 0.3 | 53.9 ± 0.5 | 58.9 ± 0.4 |
| 4o | H | 4-Me | Et | 76.7 ± 0.1 | 57.8 ± 0.3 | 40.5 ± 0.2 |
| 4p | H | 4-Me | n-Pr | 42.3 ± 0.2 | 52.8 ± 0.2 | 18.7 ± 0.2 |
| 4q | H | 4-Me | i-Pr | 52.1 ± 0.2 | 27.9 ± 0.3 | 31.8 ± 0.4 |
| 4r | H | 4-Me | i-Bu | 13.3 ± 0.3 | 34.4 ± 0.3 | 14.7 ± 0.3 |
| 4s | H | 4-Me | Ph | 19.3 ± 0.1 | 61.4 ± 0.1 | 27.9 ± 0.2 |
| 4t | H | 4-F | Et | 46.8 ± 0.1 | 50.2 ± 0.1 | 66.8 ± 0.0 |
| 4u | H | 4-Br | Et | 64.4 ± 0.1 | 60.6 ± 0.2 | 51.7 ± 0.2 |
| 4v | H | 3-Cl | Me | 62.1 ± 0.1 | 61.1 ± 0.2 | 60.1 ± 0.2 |
| 4w | Me | H | Me | 45.9 ± 0.1 | 28.1 ± 0.2 | 26.6 ± 0.1 |
| Carbendazim | — | — | — | 100 ± 0.0 | 100 ± 0.0 | 87.5 ± 0.0 |
© 2018 by the authors. Licensee MDPI, Basel, Switzerland. This article is an open access article distributed under the terms and conditions of the Creative Commons Attribution (CC BY) license (http://creativecommons.org/licenses/by/4.0/).
Share and Cite
Li, L.-X.; Jiao, J.; Wang, X.-B.; Chen, M.; Fu, X.-C.; Si, W.-J.; Yang, C.-L. Synthesis, Characterization, and Antifungal Activity of Novel Benzo[4,5]imidazo[1,2-d][1,2,4]triazine Derivatives. Molecules 2018, 23, 746. https://doi.org/10.3390/molecules23040746
Li L-X, Jiao J, Wang X-B, Chen M, Fu X-C, Si W-J, Yang C-L. Synthesis, Characterization, and Antifungal Activity of Novel Benzo[4,5]imidazo[1,2-d][1,2,4]triazine Derivatives. Molecules. 2018; 23(4):746. https://doi.org/10.3390/molecules23040746
Chicago/Turabian StyleLi, Ling-Xia, Jian Jiao, Xiao-Bin Wang, Min Chen, Xin-Can Fu, Wei-Jie Si, and Chun-Long Yang. 2018. "Synthesis, Characterization, and Antifungal Activity of Novel Benzo[4,5]imidazo[1,2-d][1,2,4]triazine Derivatives" Molecules 23, no. 4: 746. https://doi.org/10.3390/molecules23040746
APA StyleLi, L.-X., Jiao, J., Wang, X.-B., Chen, M., Fu, X.-C., Si, W.-J., & Yang, C.-L. (2018). Synthesis, Characterization, and Antifungal Activity of Novel Benzo[4,5]imidazo[1,2-d][1,2,4]triazine Derivatives. Molecules, 23(4), 746. https://doi.org/10.3390/molecules23040746
