Anticancer Phenolics from Dryopteris fragrans (L.) Schott
Abstract
:1. Introduction
2. Results and Discussion
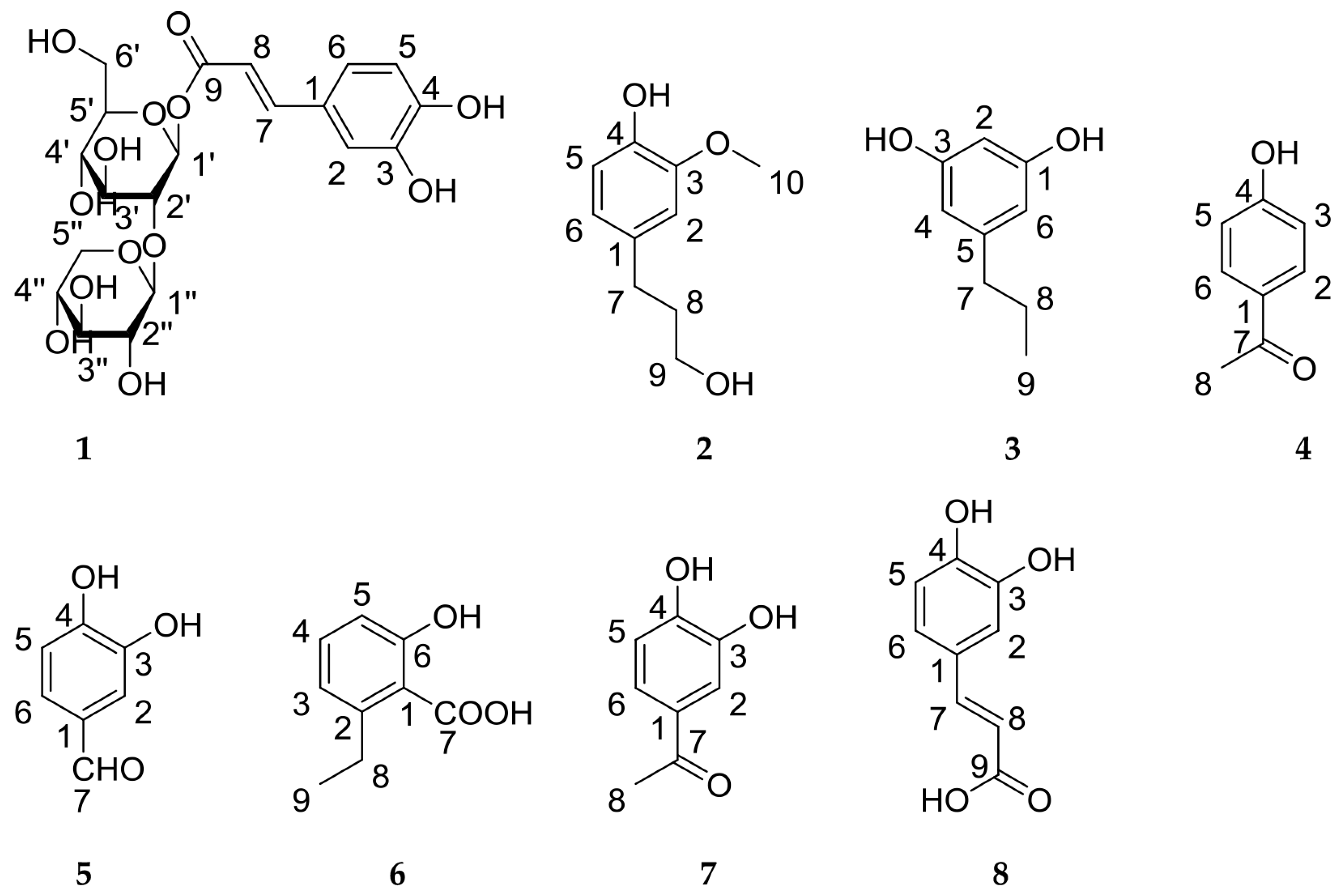
2.1. Identification of Isolated Compounds
2.2. In Vitro Cytotoxicity Assay
3. Materials and Methods
3.1. General Procedures
3.2. Plant Material
3.3. Extraction and Isolation
3.4. Acid Hydrolysis
3.5. Cell Culture
3.6. MTT Assay
4. Conclusions
Acknowledgments
Author Contributions
Conflicts of Interest
References
- Huang, Q.Y.; Li, W.H.; Fan, R.F.; Chang, Y. New mads-box gene in fern: Cloning and expression analysis of dfmads1 from dryopteris fragrans. PLoS ONE 2014, 9, e86349. [Google Scholar] [CrossRef] [PubMed]
- Kuang, H.X.; Sun, C.; Zhang, Y.L.; Zhang, Y.L.; Chen, D.; Yang, B.Y.; Xia, Y.G. Three drimane sesquiterpene glucoside from the aerial parts of dryopteris fragrans (L.) schot. Fitoterapia 2009, 80, 134–137. [Google Scholar] [CrossRef] [PubMed]
- Li, X.J.; Wang, W.; Luo, M.; Li, C.Y.; Zu, Y.G.; Mu, P.S.; Fu, Y.J. Solvent-free microwave extraction of essential oil from dryopteris fragrans and evaluation of antioxidant activity. Food Chem. 2012, 133, 437–444. [Google Scholar] [CrossRef] [PubMed]
- Li, N.; Gao, C.; Peng, X.; Wang, W.; Luo, M.; Fu, Y.J.; Zu, Y.G. Aspidin bb, a phloroglucinol derivative, exerts its antibacterial activity against staphylococcus aureus by inducing the generation of reactive oxygen species. Res. Microbiol. 2014, 165, 263–272. [Google Scholar] [CrossRef] [PubMed]
- Huang, Y.H.; Zeng, W.M.; Li, G.Y.; Liu, G.Q.; Zhao, D.D.; Wang, J.; Zhang, Y.L. Characterization of a new sesquiterpene and antifungal activities of chemical constituents from dryopteris fragrans (L.) schott. Molecules 2014, 19, 507–513. [Google Scholar] [CrossRef] [PubMed]
- Peng, B.; Bai, R.F.; Li, P.; Han, X.Y.; Wang, H.; Zhu, C.C.; Zeng, Z.P.; Chai, X.Y. Two new glycosides from dryopteris fragrans with anti-inflammatory activities. J. Asian Nat. Prod. Res. 2016, 18, 59–64. [Google Scholar] [CrossRef] [PubMed]
- Zhao, D.D.; Zhao, Q.S.; Liu, L.; Chen, Z.Q.; Zeng, W.M.; Lei, H.; Zhang, Y.L. Compounds from dryopteris fragrans (L.) schott with cytotoxic activity. Molecules 2014, 19, 3345–3355. [Google Scholar] [CrossRef] [PubMed]
- Su, Y.; Wan, D.Q.; Song, W.Q. Dryofragin inhibits the migration and invasion of human osteosarcoma U2OS cells by suppressing MMP-2/9 and elevating TIMP-1/2 through PI3K/AKT and p38 MAPK signaling pathways. Anti-Cancer Drug 2016, 27, 660–668. [Google Scholar] [CrossRef] [PubMed]
- Zhong, Z.C.; Zhao, D.D.; Liu, Z.D.; Jiang, S.; Zhang, Y.L. A new human cancer cell proliferation inhibition sesquiterpene, dryofraterpene a, from medicinal plant dryopteris fragrans (L.) schott. Molecules 2017, 22, 180. [Google Scholar] [CrossRef] [PubMed]
- Eskander, J.; Lavaud, C.; Pouny, I.; Soliman, H.S.; Abdel-Khalik, S.M.; Mahmoud, I.I. Saponins from the seeds of mimusops laurifolia. Phytochemistry 2006, 67, 1793–1799. [Google Scholar] [CrossRef] [PubMed]
- Grant, D.M.; Harris, R.K. Encyclopedia of Nuclear Magnetic Resonance; Wiley: Hoboken, NJ, USA, 2002. [Google Scholar]
- Zhang, Y.L.; Li, J.P.; Li, G.Y. Two new compounds from dryopteris fragrans. Zhong Yao Cai 2014, 37, 599–602. [Google Scholar] [PubMed]
- Li, L.Y.; Seeram, N.P. Further investigation into maple syrup yields 3 new lignans, a new phenylpropanoid, and 26 other phytochemicals. J. Agric. Food Chem. 2011, 59, 7708–7716. [Google Scholar] [CrossRef] [PubMed]
- Alonso, E.; Ramon, D.J.; Yus, M. Simple synthesis of 5-substituted resorcinols: A revisited family of interesting bioactive molecules. J. Org. Chem. 1997, 62, 417–421. [Google Scholar] [CrossRef] [PubMed]
- Dhanuskodi, S.; Manikandan, S. Epr investigations on γ-irradiated 4-hydroxyacetophenone single crystals: An nlo material. Radiat. Effects Defects Solids 2005, 160, 197–205. [Google Scholar] [CrossRef]
- Jeschke, T.; Wensbo, D.; Annby, U.; Gronowitz, S.; Cohen, L.A. A novel approach to bz-substituted tryptophans via pd-catalysed coupling/annulation. Tetrahedron Lett. 1993, 34, 6471–6474. [Google Scholar] [CrossRef]
- Dain, J.G.; Ernst, L.A.; Campbell, I.M.; Bentley, R. The formation of 6-ethylsalicylic acid by mycobacterium phlei. Biomed. Mass Spectrom. 1974, 1, 57–61. [Google Scholar] [CrossRef] [PubMed]
- Zhao, Y.B.; Shen, Y.M.; He, H.P.; Mu, Q.Z.; Hao, X.J. Antifungal agent and other constituents from cynanchum otophyllum. Nat. Prod. Res. 2007, 21, 203–210. [Google Scholar] [CrossRef] [PubMed]
- Damtoft, S.; Jensen, S.R. Three phenylethanoid glucosides of unusual structure from chirita sinensis (gesneriaceae). Phytochemistry 1994, 37, 441–443. [Google Scholar] [CrossRef]
- Al-Sayed, E.; Eldahshan, O.A.; Bahgat, D.M.; Singab, A.N. Cytotoxic oleanane-type saponins from the leaves of albizia anthelmintica brongn. Chem. Biodivers. 2016, 13, 1666–1673. [Google Scholar] [CrossRef] [PubMed]
Sample Availability: Samples of the compounds are unavailable from the authors. |



| No. | δC | δH (J in Hz) | No. | δC | δH (J in Hz) |
|---|---|---|---|---|---|
| 1 | 127.6 (C) | 1′ | 94.3 (CH) | 5.68 (d, 7.6) | |
| 2 | 115.1 (CH) | 7.05 (d, 2.0) | 2′ | 83.5 (CH) | 3.60 (m) |
| 3 | 146.9 (C) | 3′ | 77.6 (CH) | 3.65 (m) | |
| 4 | 149.9 (C) | 4′ | 70.7 (CH) | 3.42 (m) | |
| 5 | 116.5 (CH) | 6.78 (d, 8.0) | 5′ | 78.7 (CH) | 3.40 (m) |
| 6 | 123.2 (CH) | 6.96 (dd, 8.0, 2.0) | 6′ | 62.2 (CH2) | 3.84 (dd, 1.6, 12.5), 3.68 (d, 6.3) |
| 7 | 148.2 (CH) | 7.64 (d, 15.8) | 1′′ | 106.6 (CH) | 4.48 (d, 7.4) |
| 8 | 114.5 (CH) | 6.26 (d, 15.8) | 2′′ | 75.7 (CH) | 3.18 (m) |
| 9 | 167.3 (C) | 3′′ | 77.5 (CH) | 3.30 (m) | |
| 4′′ | 71.0 (CH) | 3.32 (m) | |||
| 5′′ | 67.4 (CH2) | 3.70 (d, 5.3), 3.14 (m) |
| Compounds | IC50 (μM) 1 | |||
|---|---|---|---|---|
| A549 | MCF-7 | SGC7901 | HUVEC | |
| 1 | >50 | 2.65 ± 0.14 | >50 | >50 |
| 2 | >50 | >50 | >50 | ND 3 |
| 3 | >50 | >50 | >50 | ND |
| 4 | >50 | >50 | >50 | ND |
| 5 | >50 | >50 | >50 | ND |
| 6 | >50 | >50 | >50 | ND |
| 7 | >50 | >50 | >50 | ND |
| 8 | 10.41 ± 1.02 | 19.44 ± 1.74 | 8.96 ± 0.99 | ND |
| Taxol 2 | 0.047 ± 0.08 | 0.073 ± 0.11 | 0.069 ± 0.03 | ND |
© 2018 by the authors. Licensee MDPI, Basel, Switzerland. This article is an open access article distributed under the terms and conditions of the Creative Commons Attribution (CC BY) license (http://creativecommons.org/licenses/by/4.0/).
Share and Cite
Liu, Z.-D.; Zhao, D.-D.; Jiang, S.; Xue, B.; Zhang, Y.-L.; Yan, X.-F. Anticancer Phenolics from Dryopteris fragrans (L.) Schott. Molecules 2018, 23, 680. https://doi.org/10.3390/molecules23030680
Liu Z-D, Zhao D-D, Jiang S, Xue B, Zhang Y-L, Yan X-F. Anticancer Phenolics from Dryopteris fragrans (L.) Schott. Molecules. 2018; 23(3):680. https://doi.org/10.3390/molecules23030680
Chicago/Turabian StyleLiu, Zhen-Dong, Dan-Dan Zhao, Shuai Jiang, Bei Xue, Yan-Long Zhang, and Xiu-Feng Yan. 2018. "Anticancer Phenolics from Dryopteris fragrans (L.) Schott" Molecules 23, no. 3: 680. https://doi.org/10.3390/molecules23030680
APA StyleLiu, Z.-D., Zhao, D.-D., Jiang, S., Xue, B., Zhang, Y.-L., & Yan, X.-F. (2018). Anticancer Phenolics from Dryopteris fragrans (L.) Schott. Molecules, 23(3), 680. https://doi.org/10.3390/molecules23030680

