Next Article in Journal
Eudesmane-Type Sesquiterpene Glycosides from Dictamnus dasycarpus Turcz.
Next Article in Special Issue
Synthesis of New C- and N-β-d-Glucopyranosyl Derivatives of Imidazole, 1,2,3-Triazole and Tetrazole, and Their Evaluation as Inhibitors of Glycogen Phosphorylase
Previous Article in Journal
An Efficient Chemoenzymatic Approach towards the Synthesis of Rugulactone
Previous Article in Special Issue
Convergent Synthesis of N,S-bis Glycosylquinolin-2-ones via a Pd-G3-XantPhos Precatalyst Catalysis
 
 
Font Type:
Arial Georgia Verdana
Font Size:
Aa Aa Aa
Line Spacing:
Column Width:
Background:
Review

Synthesis of O-Amino Sugars and Nucleosides

1
School of Biomedical Sciences, Huaqiao University, Xiamen 361021, China
2
PPSM, ENS Paris-Saclay, Institut d’Alembert, CNRS, Université Paris-Saclay, 94235 Cachan, France
*
Author to whom correspondence should be addressed.
Molecules 2018, 23(3), 641; https://doi.org/10.3390/molecules23030641
Submission received: 25 January 2018 / Revised: 26 February 2018 / Accepted: 9 March 2018 / Published: 12 March 2018
(This article belongs to the Special Issue Glycomimetics: Design, Synthesis and Therapeutic Applications)

Abstract

Nucleic acids and carbohydrates are essential biomolecules involved in numerous biological and pathological processes. Development of multifunctional building blocks based on nucleosides and sugars is in high demand for the generation of novel oligonucleotide mimics and glycoconjugates for biomedical applications. Recently, aminooxyl-functionalized compounds have attracted increasing research interest because of their easy derivatization through oxime ligation or N-oxyamide formation reactions. Various biological applications have been reported for O-amino carbohydrate- and nucleoside-derived compounds. Here, we report our efforts in the design and synthesis of glyco-, glycosyl, nucleoside- and nucleo-aminooxy acid derivatives from readily available sugars and amino acids, and their use for the generation of N-oxyamide-linked oligosaccharides, glycopeptides, glycolipids, oligonucleosides and nucleopeptides as novel glycoconjugates or oligonucleotide mimics. Delicate and key points in the synthesis will be emphasized.

Graphical Abstract

1. Introduction

The high nucleophilicity of hydroxylamine derivatives as well as the unique structural and chemical properties of the N-O, oxime and N-oxyamide bonds have triggered the O-amino functionalization of biomolecules like peptides, proteins, carbohydrates, nucleosides and nucleotides. Due to repulsion between the lone pairs of the electron of the nitrogen and oxygen atoms, the N-O bond of hydroxylamine derivatives has unusual conformational properties, which have been exploited to obtain particular N-O turn structures in aminooxy acid-derived peptides for the preparation of new foldamers, anion receptors or channels [1,2]. The N-O bond is relatively sensitive to radical conditions because of the low N-O bond dissociation energy [3]. Oximes show higher hydrolytic stability than hydrazones [4], while the N-oxyamide linkage is resistant to chemical hydrolysis [1]. Aminooxylated carbohydrates and glycoconjugates are attracting the increasing interest for the understanding of the glycobiology and for diverse biomedical applications [3,5]. N-, O-glycosyl hydroxylamines as well as N-hydroxyamino and O-amino sugars have been developed over the last twenty years. Various chemically modified oligonucleotides have also been reported, with an increasing number showing up as drug candidates for oligonucleotide therapies [6,7,8,9]. Among them, O-amino nucleosides have been prepared for the development of human UDP-GlcNAc 4-epimerase inhibitors [10], modified oligonucleotides [11] or for next generation sequencing [12]. N-O, N-oxyamide or N-alkoxycarbamate-linked oligonucleotides have also been synthesized as oligonucleotides mimics [13,14,15,16,17]. The focus of this article is to summarize our own efforts in the preparation of O-amino sugar and nucleoside derivatives, including sugar aminooxy acids, glycosyl α-aminooxy acids, O-aminooxy nucleosides and nucleo-aminooxy acids for the generation of N-oxyamide-linked oligosaccharides, glycopeptides, glycolipids, and oligonucleoside mimics.

2. Sugar Aminooxy Acids for Oligosaccharide Mimics

The design and synthesis of novel molecules bearing different functions are of great interest for organic, bioorganic, medicinal as well as material chemistry. The creation of cleverly functionalized molecules has a large impact in designing bioactive molecules and for drug discovery. Apart from their biological involvement, carbohydrates are readily available chiral compounds which have been widely used in organic synthesis. We have decided to introduce both aminooxyl and carboxyl functions on the sugar pyranosidic or furanosidic skeletons to generate sugar aminooxy acids or glycoaminooxy acids as multifunctional building blocks which could be used for the synthesis of novel N-oxyamide linked oligosaccharides or glycoconjugates with interesting structural properties. It has been shown that N-oxyamide-linked peptides can easily form intramolecular hydrogen bonds to facilitate turns and helical structures [1,2]. A rigid ribbon-like secondary structure has been observed on a trimer of a cis-β-furanosidic sugar aminooxy acid by the group of Chandrasekhar [18]. Nanorod formation through intermolecular H-bonding has also been observed on a symmetric cyclotetrapeptide prepared from a 2-(C-furanosyl) β-amino acid and an α-aminooxy acid [19]. Besides, the N-oxyamide-linkage is resistant to chemical and enzymatic hydrolysis [20], and N-oxyamide bonds could be readily formed using classical amide formation methods.
We have synthesized d-ribofuranosidic glycoaminooxy acid 4 from diisopropylidene d-glucose (1, Scheme 1) [21]. Since initial efforts to introduce an aminooxyl group at the 3-position of 1 failed, probably due to the steric hindrance, we converted 1 into its homologue 2 through Collins oxidation, Wittig reaction, and hydroboration-hydroxylation reactions. Unlike the secondary alcohol function in 1, the primary alcohol function in 2 reacted efficiently under Mitsunobu conditions with N-hydroxyphthalimide to give 3 after selective deprotection of the 5,6-O-isopropylidene moiety. Oxidative cleavage of the diol, followed by oxidation of the resulting aldehyde, afforded the desired phthalimidooxyl acid 4 which can be readily converted into aminooxy ester 5.
The building blocks 4 and 5 were coupled to form oligomers from di- to hexamers (Scheme 2). For the synthesis of oligomers with more than three sugar units, the tBu group was selectively removed using 13.7% trifluoroacetic acid (TFA) in CH2Cl2 without affecting the acetonide protecting groups. N-Oxyamide bond formation can be realized by using N-ethyl-N’-(3-dimethylaminopropyl)carbodiimide (EDC)/1-hydroxy benzotriazole (HOBt) method or two organophosphorous reagents diphenylphosphoryl azide (DPPA)/N,N-diisopropylethylamine (DIPEA)/NaHCO3 and diethyl cyanophosphonate (DEPC)/Et3N in similar yields.
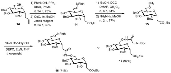
Concerning pyranosidic glycoaminooxy acids, we have firstly prepared the compound 14 bearing the carboxylic acid on the C-glycosidic anomeric chain (Scheme 3) [22]. This compound could be easily prepared from the readily available C-allyl glucoside 13 containing a free hydroxyl group at the C-6 position [23]. Hence, compound 13 was converted to the phthaloyl-protected glycoaminooxy acid 14 in two steps involving Mitsunobu reaction with PhthNOH, followed by oxidation of the alkene moiety to a carboxylic acid. The compound 14 was further transformed into the building block 15 via protection of the carboxylic acid as a tBu-ester followed by the removal of the phthaloyl group to afford the free oxyamine. To demonstrate the synthetic utility of the building blocks 14 and 15 in the preparation of oligosaccharide and glycopeptide mimetics, compound 15 was coupled with 14 or Boc-Gly-OH to give the disaccharide 16 or glycosyl amino acid 17 in good yield.
The pyranosidic glycoaminooxy acid building blocks bearing the aminooxyl and carboxylic groups on the 2,6-positions were prepared from the d-glucopyranoside 18 (Scheme 4) [24]. Alkylation of the hydroxyl group with BrCH2CO2tBu followed by acidic hydrolysis of the tert-butyldimethylsilyl (TBS) group and conversion of the resultant hydroxyl to phthalimidooxyl group afforded the fully protected glycoaminooxy acid 19. Selective removal of the tBu group using TFA in CH2Cl2 formed the building block 20 bearing a free carboxylic acid. On the other hand, the phthaloyl group was removed through hydrazinolysis to the building block 21. The two orthogonally protected glycoaminooxy acid units were employed for the preparation of oligomers from dimer 22 to tetramer 24.
From our results and those reported in the literature [3,5], we can conclude that oligomers derived from sugar aminooxy acids can be obtained as efficiently as those formed from the previously developed sugar amino acid building blocks [25,26,27]. However, benzyl protecting groups are to be avoided due to the sensitivity of the N-O bond towards the benzyl-deprotecting hydrogenolysis conditions [3].
We then decided to use acid-sensitive para-methoxybenzyl groups (Scheme 5) [28]. First, methyl α-d-glucopyranoside was selectively protected with TBS and para-methoxybenzyl (PMB) groups to 25 and 26. Contrary to compound 18, the 2-O-alkylation of 26 has necessitated the optimization of the reaction conditions due to the very low conversion. The best conversion (64%) was obtained by slow addition of BrCH2CO2Et after formation of the alcoolate. The phthalimidooxyl group has been introduced under Mitsunobu conditions after desilylation, leading to the PMB-protected glycoaminooxy ester 28. The efficient deprotection of the PMB has been demonstrated in the corresponding glycolipids mimics (vide infra).

3. Glycosyl α-Aminooxy Acid Derivatives

Glycosyl amino acids are constituents of glycopeptides and glycoproteins playing key roles in biological processes. We have synthesized C- and O-glycosyl aminooxy acid derivatives as novel glycosyl amino acid building blocks for the generation of glycopeptide mimics. The α-C-glycosyl aminooxy acid derivatives can be readily prepared from α-C-allyl glucosides 29 and 30, through dihydroxylation, selective tritylation, Mitsunobu reaction with PhthNOH, detritylation and oxidation [29] (Scheme 6). Both α-C-glucosyl l- and d-α-aminooxy esters 3538 have been successfully synthesized.
For the O-glycosyl aminooxy acid derivatives, we have stereoselectively synthesized both (2R)- and (2S)-aminooxy analogues of β-O-glucosylserine from sn-(3-β-O-glucosyl)glycerol 39 which was obtained through glycosylation of sn-1,2-di-O-benzyl-glycerol with d-glucose pentaacetate followed by debenzylation (Scheme 7) [30]. Selective silylation and Mitsunobu reaction with PhthNOH and acidic desilylation afforded the sn-(2-O-phthalimido-1-O-glucosyl)glycerol 41 which was transformed into the (2R)-3-β-O-glycosyl aminooxy ester 42 after selective deprotection of phthaloyl group with 1.1 equivalent of hydrazine in methanol during 20 min at 0 °C. To prepare the (2S)-isomer, the configuration of the secondary alcohol was inverted via triflation followed by reaction with NaNO2 (Lattrell-Dax epimerization method). The resulting alcohol 43 was converted to (2S)-β-O-glucopyranosylaminooxyl ester 45 by following the same synthetic sequence employed for the (2R)-stereoisomer.
With a reliable method to both stereoisomers of the β-O-glucosylserine analogues in hand, the synthesis of N-oxyamide-linked glycopeptides was investigated (Scheme 8). The glucosyl tripeptide mimetic 46 was prepared from 42 after coupling with FmocGlyOH, deprotection of the tBu group, and coupling with GlyOtBu. The O-amino function can also be protected with Fmoc group and the corresponding glycopeptide 47 could be further used in the solid-phase peptide synthesis. Interestingly, NMR and IR studies suggested that compound 46 formed an α N-O turn structure via an eight-membered-ring intramolecular H bond between the amide NH and the carbonyl group of the N-oxyamide.

4. N-Oxyamide-Linked Glycolipids

As part of the glycoconjugate family, glycolipids are implicated in a variety of important biological phenomena such as cell-cell interactions, viral and bacterial infections, immune responses, signal transduction, cell proliferation, etc. Natural glycolipids like glycoglycerolipids (GGLs) and glycosphingolipids (GSLs), as well as their synthetic mimics, have also shown very interesting biological activities [31,32]. The design of glycolipid mimics has become a useful strategy in drug discovery. We have prepared N-oxyamide-linked glycolipids as mimics of glycoglycerolipids and glycosphingolipids by replacing the ester group in GGL with a N-oxyamide functionality [33,34]. The β-glucolipids bearing two lipid chains 5357 were synthesized from the O-phthaloylamino β-glucoglycerol 41, by esterification with palmitic acid, removal of the phthaloyl group and coupling with different carboxylic acids so as to introduce a lipid chain onto the nitrogen atom, and final full deprotection with hydrazine (Scheme 9). Three β-glucolipids bearing one lipid chains 6163 have also been obtained from 40. Coupling of octanoic acid with the glucosyl aminooxy ester 42 led to glucolipid 64 [30].
Synthesis of galactoglycerolipids 7377 has been realized from D-galactose pentaacetate in a similar way as the gluco-derivatives (Scheme 10) [34]. Interestingly, deacetylation of 68 and 69 under Zemplén conditions gave the intramolecular transacylation products 78 and 79, while the compound 71 led to the galactolipid 80. The synthesized glycolipids bearing one and two palmitic acyl chains 56, 62, 76 and 80 are able to assemble with polyethyleneglycol (PEG) thiol-coated gold nanoparticles to form a new type of glyco-Au nanoparticle (AuNP) capable of receptor-targeting cell imaging and drug delivery. The galactolipids derived galacto-AuNPs are selective to galactose-selective peanut agglutinin (PNA), while the gluco-AuNPs selective for concanavalin A (Con A). The efficiency of 76-AuNP for receptor-targeting hepatocellular imaging of human liver cancer Hep-G2 and the anticancer drug hydrocamptothecin delivery has been demonstrated.
Glycolipids bearing lipid chains on the 2,6-positions of methyl α-d-glucopyranoside have been prepared from the 3,4-di-O-PMB protected derivatives 26 and 28 (Scheme 11) [28]. Glycolipid 82 is readily obtained from the sugar phthalimidooxy ester 28 after successive deprotection, coupling reactions. The PMB group can be removed by 5% TFA in dichloromethane. Compound 82 is also accessible from 26 after careful 2-O-alkylation, followed by usual coupling, deprotection and Mitsunobu reactions. From 26, we have also prepared glycolipid 85 bearing a 2-O-palmitate.

5. O-Aminooxy Nucleosides

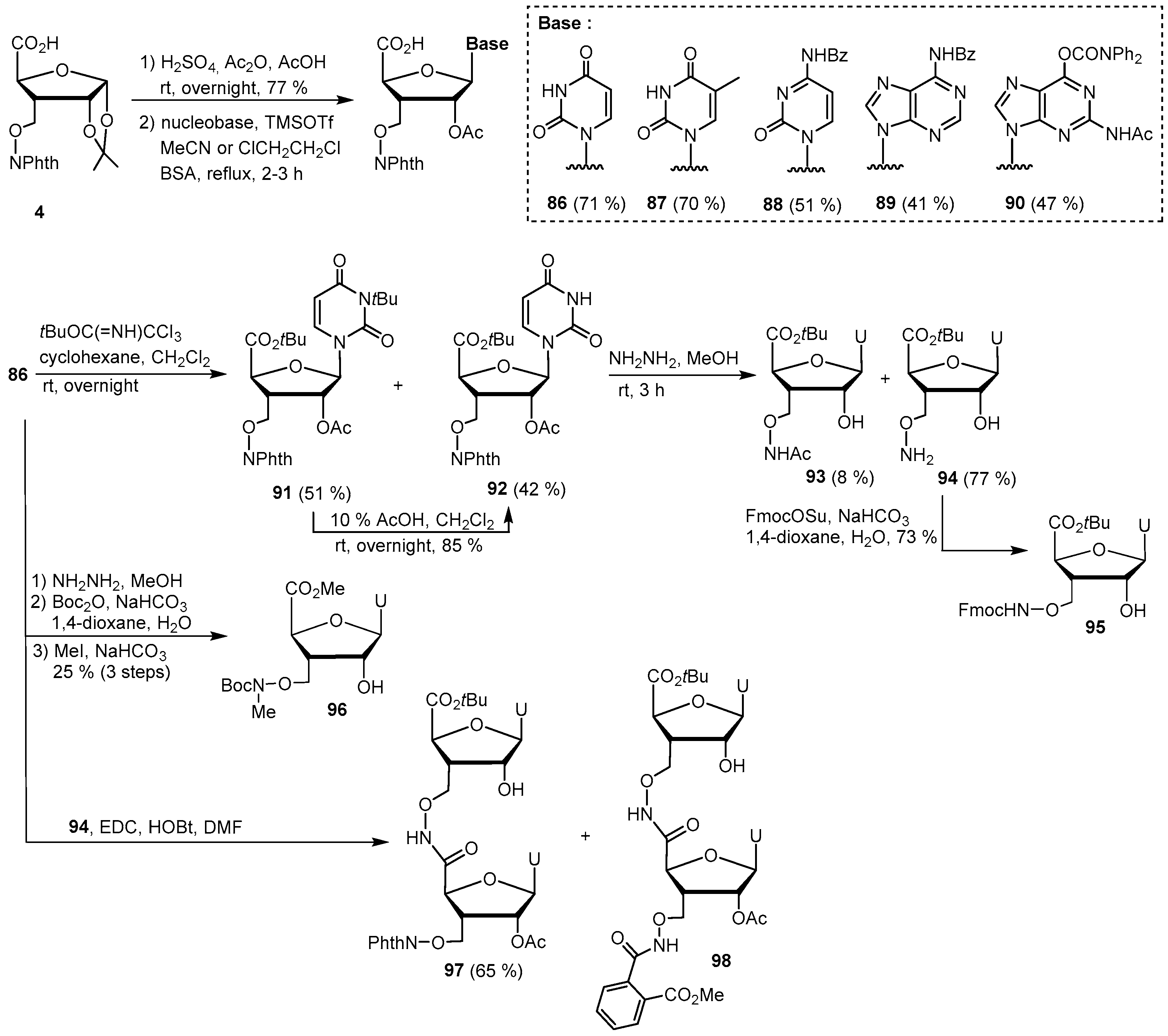
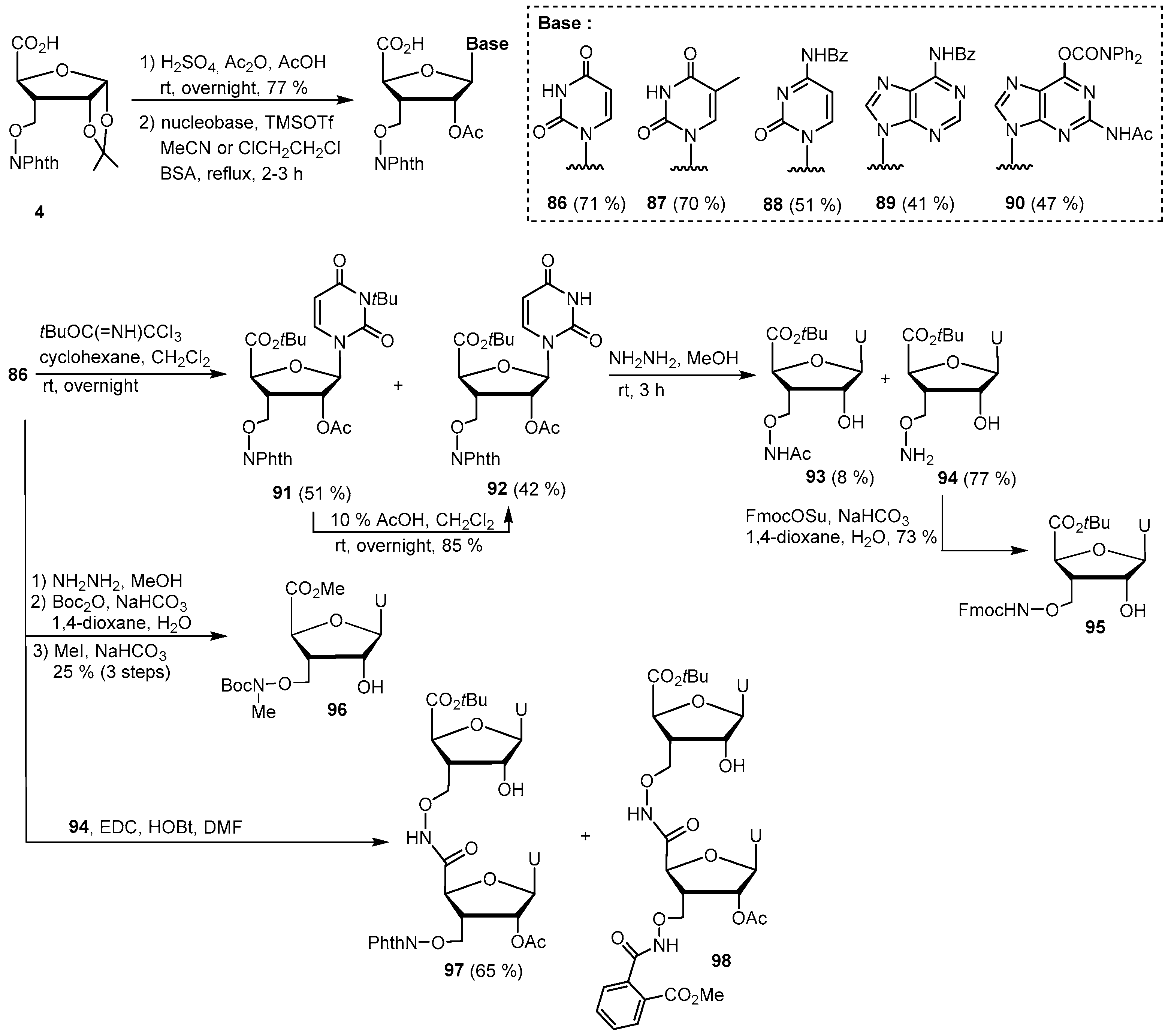
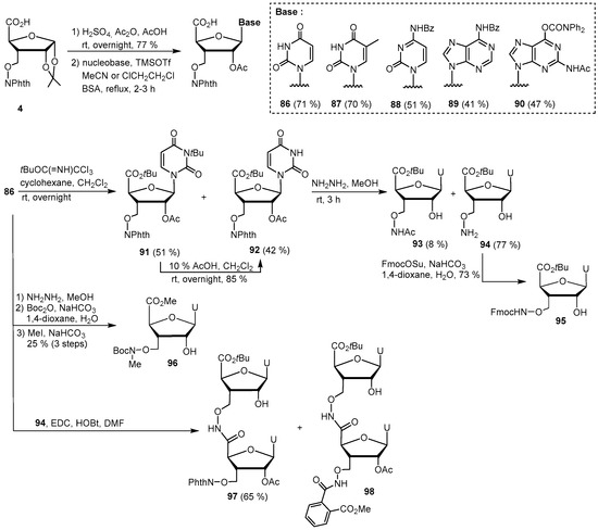
We have designed nucleoside aminooxy acids as novel building blocks for the development of stable oligonucleotide mimetics [35]. Replacement of the ionic phosphodiester by the neutral N-oxyamide linkage would not only increase its cellular permeability but also enhance its resistance to extra- and intracellular nucleases degradation. Synthesis of modified RNA oligomers has attracted renewed interest since the discovery of small interfering RNA (siRNA) for gene regulation [6]. We are particularly interested in the development of ribonucleoside aminooxy acid which could be further used for the generation of N-oxyamide-linked oligoribonucleosides. From the previously prepared furanosidic glycoaminooxy acid 4, five nucleoside aminooxy acids 8690 have been synthesized through N-glycosylation in the presence of N,O-bis(trimethylsilyl)acetamide (BSA) and trimethylsilyl trifluoromethanesulfonate (TMSOTf) after acidic hydrolysis of the acetonide and acetylation of the resulting hydroxyl groups (Scheme 12). Uridine derivative 86 was chosen for the investigation for N-oxyamide-linked oligomer formation. Treatment with the tert-butoxytrichloroacetimidate led to the formation of the desired tBu ester 92 along with compound 91 bearing an extra tBu group on the nitrogen atom of the uracil moiety. Compound 91 could be converted to 92 using 10% AcOH in CH2Cl2. Hydrazinolysis of 92 led to the removal of both phthaloyl and acetyl group to 94, along with a small amount of transacetylation product 93. The oxyamine can be further protected with Fmoc group (95). Boc protected N-methyl nucleoside aminooxy ester 96 can also be prepared from 86. Coupling of the building blocks 86 and 94 led to the N-oxyamide-linked dinucleoside 97. We have observed the formation of the methanolysis product 98 during the column chromatography with CH2Cl2/MeOH as eluent.
We then decided to investigate the stability of uridine derivative 86 in the presence of MeOH (Scheme 13). Treatment of 86 with K2CO3 in MeOH at room temperature led to the ring-opening product 99 in 30% isolated yield. Esterification of 86 in DMF led quantitatively to the methyl ester 100. Subsequent deacetylation with NaOMe led firstly to the phthalimido ring-opening product 101 which can be converted back to 100 by heating at 130–140 °C under reduced pressure. Further reaction with NaOMe deprotected the 2’-O-acetyl group, providing a mixture of compounds 102 and 103. Similar phenomena have been observed during the saponification of 100 with K2CO3 or NaOH (4M) in MeOH. The ring closure reaction of the phthalimido group can be achieved by heating 102 under reduced pressure. Under acidic condition in MeOH, we have observed successive transformations of compound 86 to the methyl ester 103 through the intermediates 100 to 102 on thin-layer chromatography (TLC).
From the diacetone d-glucose 1, nucleoside aminooxy esters 106108 bearing phthalimidooxyl group on 5’-position have been prepared according to the Scheme 14 [36]. Compound 1 was first converted to allylic ester 104. Mitsunobu reaction of 104 with PhthNOH led to impure 105 which was then prepared through the mesylate intermediate followed by nucleophilic substitution reaction. N-glycosylation in the same conditions as for 4 led to the target nucleosides 106108.
From the uridine, we have prepared the uridine aminooxy esters through selective 2’,5’-di-O-silylation, oxidation of 2’-OH followed by Wittig reaction and hydrogenation under acidic condition to give stereoselectively the ester 109 (Scheme 15) [36]. However, all temptations to introduce the phthalimidooxyl function on 5’-position through the Mitsunobu reaction failed. Hopefully, the 5’-hydroxyl function can be converted to Boc- or phthaloyl protected 110 and 111 through iodide intermediate, then deprotected to oxyamine nucleoside 112. Unfortunately, deprotection of the ester groups in 110 and 111 led to degradation, making further formation of N-oxyamide-linked nucleoside aminooxy acid dimers impossible. We have also tried to protect the oxyamine in 112 with a 4-pentenoyl (Pen) group. Once again, decomposition was observed during the saponification or removal of the Pen-protecting group with I2 [37].
N-O-linked thymidine dimers were prepared from commercially available thymidine derivatives through introduction of an aminooxyl function on the 5’-position in 115 and an aldehyde or carboxylic functions on 2’ in 113 and 114 (Scheme 16) [38]. Coupling of 114 with 115 led to the N-oxyamide-linked dithymidine 116, while condensation of aldehyde 113 with oxyamine 115 gave the oxime linked dimer 117 as a mixture of E and Z isomers (3:2) which can be reduced to the oxyamine-linked dinucleoside 118.

6. Nucleo-Aminooxy Acids

As promising alternatives to peptide nucleic acids, nucleobase-functionalized peptides have attracted increasing interest because of their well-ordered secondary structures and stability towards enzymatic degradations, as well as their cellular nucleus penetration ability without cytotoxic effects [39,40,41]. We have designed and synthesized α-amino-β-aminooxy acid derivatives bearing nucleobases covalently attached to its α-position through an amide or triazole linkage as novel building blocks of nucleopeptides (Scheme 17) [42]. The key aminooxy acid 119 was prepared from l-Ser-OMe. Coupling reaction with carboxybenzyl (Cbz)-protected cytosin-1-ylacetic acid formed successfully the nucleo-aminooxy ester 120. However, the analogous reaction with thymin-1-ylacetic acid was found to be problematic because of the difficult purification. The phthaloyl group in 119 was then replaced by a Boc group to give 121 via Cbz-protection of the amino group. The Cbz group in 121 should be removed using Pd-catalyzed hydrogenolysis in less than 10 min to avoid reductive cleavage of the N-O bond. The thymidine aminooxy ester 122 was obtained in moderate yield because of the over acylation on the NH-O nitrogen. Improved yields were obtained from the bis-Boc-protected 123. Subsequently, full deprotection led to the target nucleo-aminooxy acids 126 and 127. Triazole-linked nucleo aminooxy esters 129 and 130 have been prepared from the azido derivative 128, where the use of ascorbic acid instead of sodium ascorbate is essential to avoid the elimination of the phthalimidooxy moiety during the triazole formation.
However, synthesis of the corresponding nucleopeptides was hampered by the rapid elimination reaction of the phthalimidooxyl group to give an acylamidoacrylate derivative during the deprotection of methyl esters in 124, 125, 129 and 130. To avoid this side reaction, we have then decided to prepare nucleo-aminooxy acids based on α-amino-γ-aminooxy ester 132, which can be obtained from N-Cbz-l-Met through S-alkylation with iodoacetamide followed by lactonisation in hot citric acid (Scheme 18) [43]. To remove the Cbz protecting group without the cleavage of the N-O bond, 40% Pd/C (w/w) was necessary to quickly deprotect the Cbz group. Subsequent coupling with functionalized nucleobases afforded the corresponding nucleo γ-aminooxy esters 133136.
As expected, the obtained nucleo γ-aminooxy esters can be saponified to the corresponding carboxylic esters without elimination of the phthalimidooxyl group (Scheme 19). Coupling reaction with the oxyamine derivatives 139141 furnished the N-oxyamide-linked nucleopeptides 142144. Improved coupling yield could be obtained by using DMF as solvent to solubilize the starting materials.

7. Conclusions

From readily available sugars like glucose and galactose, as well as the amino acids serine and methionine, we have developed several synthetic approaches to glyco-, glycosyl, nucleoside and nucleo-aminooxy acid derivatives. Thanks to the high reactivity of the oxyamine function, these compounds have been successfully employed as multifunctional scaffolds for the generation of N-oxyamide-linked oligosaccharides, glycopeptides, glycolipids, oligonucleosides and nucleopeptides as novel glycoconjugates or oligonucleotide mimics. Furthermore, the synthesized N-oxyamide-linked glycolipids were found to be able to form a new type of glyco-AuNP capable of sugar receptor-targeting cell imaging and drug delivery. Synthesis and derivatization of different carbohydrate aminooxy acids works well. For the synthesis of deprotected derivatives, the benzyl protecting group needs to be avoided due to the instability of N-O bonds under radical conditions. Synthesis of nucleoside aminooxy acids from the nucleosides remains challenging because of the difficulty to introduce an aminooxyl function on the sugar moiety and the decomposition problems observed during the deprotection steps. To the best of our knowledge, the N-glycosylation of the furanosidic aminooxy esters remains the only current method to access nucleoside aminooxy esters bearing five different nucleobases. We are convinced that these results should be useful to further development of O-amino sugars and nucleosides with interesting biological applications.

Acknowledgments

J.X. thanks all students who have contributed to the research work described in this review paper: Keguang Cheng, Claire Deo, Yanchun Gong, Xiao-Peng He, Adeline Malapelle, Laura Nodin, Olivier Noel, Sandrine Peyrat, Romain Ramozzi and Zhuo Song. ENS Paris-Saclay, Alembert Institute and CNRS are acknowledged for the financial supports. N.C. thanks the NSF of The Education Department of Fujian Province (600005-Z1725125) and Huaqiao University for funding support.

Author Contributions

J.X. designed the structure of the review paper. N.C. and J.X. wrote the paper. All authors read and approved the final manuscript.

Conflicts of Interest

The authors declare no conflict of interest.

References

  1. Li, X.; Wu, Y.-D.; Yang, D. α-Aminoxy acids: New possibilities from foldamers to anion receptors and channels. Acc. Chem. Res. 2008, 41, 1428–1438. [Google Scholar] [CrossRef] [PubMed]
  2. Li, X.; Yang, D. Peptides of aminoxy acids as foldamers. Chem. Commun. 2006, 2006, 3367–3379. [Google Scholar] [CrossRef] [PubMed]
  3. Chen, N.; Xie, J. N-O linkage in carbohydrates and glycoconjugates. Org. Biomol. Chem. 2016, 14, 11028–11047. [Google Scholar] [CrossRef] [PubMed]
  4. Kalia, J.; Raines, R.T. Hydrolytic stability of hydrazones and oximes. Angew. Chem. Int. Ed. 2008, 47, 7523–7526. [Google Scholar] [CrossRef] [PubMed]
  5. Pifferi, C.; Daskhan, G.C.; Fiore, M.; Shiao, T.C.; Roy, R.; Renaudet, O. Aminooxylated carbohydrates: Synthesis and applications. Chem. Rev. 2017, 117, 9839–9873. [Google Scholar] [CrossRef] [PubMed]
  6. Kole, R.; Krainer, A.R.; Altman, S. RNA therapeutics: Beyond RNA interference and antisense oligonucleotides. Nat. Rev. Drug Discov. 2012, 11, 125–140. [Google Scholar] [CrossRef] [PubMed]
  7. Sharma, V.K.; Sharma, R.K.; Singh, S.K. Antisense oligonucleotides: Modifications and clinical trials. MedChemComm 2014, 5, 1454–1471. [Google Scholar] [CrossRef]
  8. Lundin, K.E.; Gissberg, O.; Smith, C.I.E. Oligonucleotide therapies: The past and the present. Hum. Gene Ther. Biomol. 2015, 26, 475–485. [Google Scholar] [CrossRef] [PubMed]
  9. Rinaldi, C.; Wood, M.J.A. Antisense oligonucleotides: The next frontier for treatment of neurological disorders. Nat. Rev. Neurol. 2018, 14, 9–21. [Google Scholar] [CrossRef] [PubMed]
  10. Winans, K.A.; Bertozzi, C.R. An inhibitor of the human UDP-GlcNAc 4-epimerase identified from a uridine-based library: A strategy to inhibit O-linked glycosylation. Chem. Biol. 2002, 9, 113–129. [Google Scholar] [CrossRef]
  11. Prakash, T.P.; Kawasaki, A.M.; Fraser, A.S.; Vasquez, G.; Manoharan, M. Synthesis of 2′-O-[2-[(N,N-dimethylamino)oxy]ethyl] modified nucleosides and oligonucleotides. J. Org. Chem. 2002, 67, 357–369. [Google Scholar] [CrossRef] [PubMed]
  12. Hutter, D.; Kim, M.J.; Karalkar, N.; Leal, N.A.; Chen, F.; Guggenheim, E.; Visalakshi, V.; Olejnik, J.; Gordon, S.; Benner, S.A. Labeled nucleoside triphosphates with reversibly terminating aminoalkoxyl groups. Nucleosides Nucleotides Nucleic Acids 2010, 29, 879–895. [Google Scholar] [CrossRef] [PubMed]
  13. Vasseur, J.J.; Debart, F.; Sanghvi, Y.S.; Cook, P.D. Oligonucleosides: Synthesis of a novel methylhydroxylamine-linked nucleoside dimer and its incorporation into antisense sequences. J. Am. Chem. Soc. 1992, 114, 4006–4007. [Google Scholar] [CrossRef]
  14. Mohan, V.; Griffey, R.H.; Davis, D.R. Structure and dynamics of MMI linked nucleotides. Tetrahedron 1995, 51, 6855–6868. [Google Scholar] [CrossRef]
  15. Yang, X.; Han, X.; Cross, C.; Bare, S.; Sanghvi, Y.; Gao, X. NMR structure of an antisense DNA.RNA hybrid duplex containing a 3′-CH(2)N(CH(3))-O-5′ or an MMI backbone linker. Biochemistry 1999, 38, 12586–12596. [Google Scholar] [CrossRef] [PubMed]
  16. Burgess, K.; Gibbs, R.A.; Metzker, M.L.; Raghavachari, R. Synthesis of an oxyamide linked nucleotide dimer and incorporation into antisense oligonucleotide sequences. Chem. Commun. 1994, 1994, 915–916. [Google Scholar] [CrossRef]
  17. Miller, M.J.; Li, H.; Foss, C.A. Novel antisense oligonucleotides containing hydroxamate linkages: Targeted iron-triggered chemical nucleases. Biometals 2009, 22, 491–510. [Google Scholar] [CrossRef] [PubMed][Green Version]
  18. Chandrasekhar, S.; Rao, C.L.; Reddy, M.S.; Sharma, G.D.; Kiran, M.U.; Naresh, P.; Chaitanya, G.K.; Bhanuprakash, K.; Jagadeesh, B. β-Sugar aminoxy peptides as rigid secondary structural scaffolds. J. Org. Chem. 2008, 73, 9443–9446. [Google Scholar] [CrossRef] [PubMed]
  19. Sharma, G.V.; Manohar, V.; Dutta, S.K.; Sridhar, B.; Ramesh, V.; Srinivas, R.; Kunwar, A.C. Self-assembling cyclic tetrapeptide from alternating C-linked carbo-β-amino Acid [(S)-β-Caa] and α-aminoxy acid [(R)-Ama]: A selective chloride ion receptor. J. Org. Chem. 2010, 75, 1087–1094. [Google Scholar] [CrossRef] [PubMed]
  20. Chen, F.; Ma, B.; Yang, Z.-C.; Lin, G.; Yang, D. Extraordinary metabolic stability of peptides containing α-aminoxy acids. Amino Acids 2012, 43, 499–503. [Google Scholar] [CrossRef] [PubMed]
  21. Gong, Y.; Sun, H.; Xie, J. Synthesis of oligosaccharide mimetics with glycoaminoxy acids. Eur. J. Org. Chem. 2009, 2009, 6027–6033. [Google Scholar] [CrossRef]
  22. Malapelle, A.; Ramozzi, R.; Xie, J. Synthesis of glycoaminoxy acids as novel sugar building blocks. Synthesis 2009, 2009, 888–890. [Google Scholar] [CrossRef]
  23. Xie, J. Synthesis of sugar azido or amino esters and their use as building blocks for the preparation of saccharide nucleosides. Eur. J. Org. Chem. 2002, 2002, 3411–3418. [Google Scholar] [CrossRef]
  24. Song, Z.; He, X.-P.; Chen, G.-R.; Xie, J. 6-O-Amino-2-O-carboxymethyl glucopyranoside as novel glycoaminoxy acid building block for the construction of oligosaccharide mimetics. Synthesis 2011, 2011, 2761–2766. [Google Scholar] [CrossRef]
  25. Schweizer, F. Glycoamino acids: Building blocks for combinatorial synthesis—implications for drug dicovery. Angew. Chem. Int. Ed. Engl. 2002, 41, 230–253. [Google Scholar] [CrossRef]
  26. Durrat, F.; Xie, J.; Valéry, J.-M. Synthesis of pyranoid δ-sugar amino acids and their oligomers from per-benzylated β-C-vinyl glucoside. Tetrahedron Lett. 2004, 45, 1477–1479. [Google Scholar] [CrossRef]
  27. Claridge, T.D.W.; Long, D.D.; Baker, C.M.; Odell, B.; Grant, G.H.; Edwards, A.A.; Tranter, G.E.; Flett, G.W.J.; Smith, M.D. Helix-forming carbohydrate amino acids. J. Org. Chem. 2005, 70, 2080–2090. [Google Scholar] [CrossRef] [PubMed]
  28. Chen, N.; Xie, J. Synthesis of glycoaminooxy acid and N-oxyamide-linked glycolipids. Org. Biomol. Chem. 2016, 14, 1102–1110. [Google Scholar] [CrossRef] [PubMed]
  29. Peyrat, S.; Cheng, K.; Xie, J. Synthesis of C-glucosyl aminooxy esters. Synthesis 2013, 45, 2737–2744. [Google Scholar]
  30. Chen, N.; Deo, C.; Xie, J. Synthesis of (2R)- and (2S)-aminooxy analogues of β-O-glucosylserine and N-oxyamide linked glycoconjugates. ChemistrySelect 2016, 1, 766–770. [Google Scholar] [CrossRef]
  31. Banchet-Cadeddu, A.; Hénon, E.; Dauchez, M.; Renault, J.-H.; Monneaux, F.; Haudrechy, A. The stimulating adventure of KRN 7000. Org. Biomol. Chem. 2011, 9, 3080–3104. [Google Scholar] [CrossRef] [PubMed]
  32. Maeda, N.; Matsubara, K.; Yoshida, H.; Mizushina, Y. Anti-cancer effect of spinach glycoglycerolipids as angiogenesis inhibitors based on the selective inhibition of DNA polymerase activity. Mini Rev. Med. Chem. 2011, 11, 32–38. [Google Scholar] [CrossRef] [PubMed]
  33. Chen, N.; Xie, J. Synthesis of N-oxyamide-linked neoglycolipids. J. Org. Chem. 2014, 79, 10716–10721. [Google Scholar] [CrossRef] [PubMed]
  34. Chen, N.; Yu, Z.H.; Zhou, D.; Hu, X.L.; Zang, Y.; He, X.P.; Li, J.; Xie, J. N-Oxyamide-linked glycoglycerolipid coated AuNPs for receptor-targeting imaging and drug delivery. Chem. Commun. 2016, 52, 2284–2287. [Google Scholar] [CrossRef] [PubMed]
  35. Gong, Y.; Peyrat, S.; Sun, H.; Xie, J. Synthesis of nucleoside aminooxy acids. Tetrahedron 2011, 67, 7114–7120. [Google Scholar] [CrossRef]
  36. Nodin, L. Towards the Synthesis and Study of Modified Oligonucleotides, Development of Chemical Probes Targeting the Ribose of RNA. Ph.D. Thesis, ENS, Cachan, France, 2015. [Google Scholar]
  37. Lodder, M.; Golovine, S.; Hecht, S.M. Chemical deprotection strategy for the elaboration of misacylated transfer RNA’s. J. Org. Chem. 1997, 62, 778–779. [Google Scholar] [CrossRef]
  38. Xie, J.; Peyrat, S. Synthesis of thymidine dimers from 5′-O-aminothymidine. Synthesis 2012, 44, 1718–1724. [Google Scholar] [CrossRef]
  39. Roviello, G.N.; Musumeci, D. Synthetic approaches to nucleopeptides containing all four nucleobases, and nucleic acidbinding studies on a mixed-sequence nucleooligolysine. RSC Adv. 2016, 6, 63578–63585. [Google Scholar] [CrossRef] [PubMed]
  40. Huang, Y.; Dey, S.; Zhang, X.; Sönnichsen, F.; Garner, P. The α-helical peptide nucleic acid concept: Merger of peptide secondary structure and codified nucleic acid recognition. J. Am. Chem. Soc. 2004, 126, 4626–4640. [Google Scholar] [CrossRef] [PubMed]
  41. Geotti-Bianchini, P.; Beyrath, J.; Chaloin, O.; Formaggio, F.; Bianco, A. Design and synthesis of intrinsically cell-penetrating nucleopeptides. Org. Biomol. Chem. 2008, 6, 3661–3663. [Google Scholar] [CrossRef] [PubMed]
  42. Noel, O.; Xie., J. Synthesis of nucleo aminooxy acid derivatives. Synthesis 2013, 45, 134–140. [Google Scholar]
  43. Noel, O. Towards the Synthesis of N-Oxypeptide Nucleic Acids and Synthesis of Ribosondes. Ph.D. Thesis, ENS, Cachan, France, 2013. [Google Scholar]
Scheme 1. Synthesis of glycofuranosidic aminooxy acids.
Scheme 1. Synthesis of glycofuranosidic aminooxy acids.
Molecules 23 00641 sch001
Scheme 2. Synthesis of dimers to hexamers of furanosidic glycoaminooxy acid.
Scheme 2. Synthesis of dimers to hexamers of furanosidic glycoaminooxy acid.
Molecules 23 00641 sch002
Scheme 3. Synthesis of pyranosidic glycoaminooxy acid 14 and conjugates.
Scheme 3. Synthesis of pyranosidic glycoaminooxy acid 14 and conjugates.
Molecules 23 00641 sch003
Scheme 4. Synthesis of pyranosidic glycoaminooxy acid 20 and oligosaccharide mimics 2224.
Scheme 4. Synthesis of pyranosidic glycoaminooxy acid 20 and oligosaccharide mimics 2224.
Molecules 23 00641 sch004
Scheme 5. Synthesis of pyranosidic glycoaminooxy ester 28.
Scheme 5. Synthesis of pyranosidic glycoaminooxy ester 28.
Molecules 23 00641 sch005
Scheme 6. Synthesis of α-C-glucosyl α-aminooxy esters.
Scheme 6. Synthesis of α-C-glucosyl α-aminooxy esters.
Molecules 23 00641 sch006
Scheme 7. Synthesis of O-glycosyl α-aminooxy esters.
Scheme 7. Synthesis of O-glycosyl α-aminooxy esters.
Molecules 23 00641 sch007
Scheme 8. Synthesis of N-oxyamide-linked glycopeptides.
Scheme 8. Synthesis of N-oxyamide-linked glycopeptides.
Molecules 23 00641 sch008
Scheme 9. Synthesis of N-oxyamide-linked β-glucolipids.
Scheme 9. Synthesis of N-oxyamide-linked β-glucolipids.
Molecules 23 00641 sch009
Scheme 10. Synthesis of N-oxyamide-linked β-galactolipids.
Scheme 10. Synthesis of N-oxyamide-linked β-galactolipids.
Molecules 23 00641 sch010
Scheme 11. Synthesis of N-oxyamide-linked glucolipids 82 and 85.
Scheme 11. Synthesis of N-oxyamide-linked glucolipids 82 and 85.
Molecules 23 00641 sch011
Scheme 12. Synthesis of nucleoside aminooxy acids and N-oxyamide-linked dinucleoside.
Scheme 12. Synthesis of nucleoside aminooxy acids and N-oxyamide-linked dinucleoside.
Molecules 23 00641 sch012
Scheme 13. Stability studies of phthaloyl protected nucleoside aminooxy acid.
Scheme 13. Stability studies of phthaloyl protected nucleoside aminooxy acid.
Molecules 23 00641 sch013
Scheme 14. Synthesis of nucleoside aminooxy esters 106108.
Scheme 14. Synthesis of nucleoside aminooxy esters 106108.
Molecules 23 00641 sch014
Scheme 15. Synthesis of nucleoside aminooxy esters 110112.
Scheme 15. Synthesis of nucleoside aminooxy esters 110112.
Molecules 23 00641 sch015
Scheme 16. Synthesis of thymidine dinucleosides 116118.
Scheme 16. Synthesis of thymidine dinucleosides 116118.
Molecules 23 00641 sch016
Scheme 17. Synthesis of nucleo β-aminooxy acid derivatives.
Scheme 17. Synthesis of nucleo β-aminooxy acid derivatives.
Molecules 23 00641 sch017
Scheme 18. Synthesis of nucleo γ-aminooxy acid derivatives.
Scheme 18. Synthesis of nucleo γ-aminooxy acid derivatives.
Molecules 23 00641 sch018
Scheme 19. Synthesis of N-oxyamide-linked nucleopeptides.
Scheme 19. Synthesis of N-oxyamide-linked nucleopeptides.
Molecules 23 00641 sch019

Share and Cite

MDPI and ACS Style

Chen, N.; Xie, J. Synthesis of O-Amino Sugars and Nucleosides. Molecules 2018, 23, 641. https://doi.org/10.3390/molecules23030641

AMA Style

Chen N, Xie J. Synthesis of O-Amino Sugars and Nucleosides. Molecules. 2018; 23(3):641. https://doi.org/10.3390/molecules23030641

Chicago/Turabian Style

Chen, Na, and Juan Xie. 2018. "Synthesis of O-Amino Sugars and Nucleosides" Molecules 23, no. 3: 641. https://doi.org/10.3390/molecules23030641

APA Style

Chen, N., & Xie, J. (2018). Synthesis of O-Amino Sugars and Nucleosides. Molecules, 23(3), 641. https://doi.org/10.3390/molecules23030641

Article Metrics

Back to TopTop