Abstract
Synthesis of novel pyrazole-fused heterocycles, i.e., dihydro-1H- or 2H-oxepino[3,2-c]pyrazoles (6 or 7) from 4-allyloxy-1H-pyrazoles (1) via combination of Claisen rearrangement and ring-closing metathesis (RCM) has been achieved. A suitable catalyst for the RCM of 5-allyl-4-allyloxy-1H-pyrazoles (4) was proved to be the Grubbs second generation catalyst (Grubbs2nd) to give the predicted RCM product at room temperature in three hours. The same reactions of the regioisomer, 3-allyl-4-allyloxy-1H-pyrazoles (5), also proceeded to give the corresponding RCM products. On the other hand, microwave aided RCM at 140 °C on both of 4 and 5 afforded mixtures of isomeric products with double bond rearrangement from normal RCM products in spite of remarkable reduction of the reaction time to 10 min.
1. Introduction
Because pyrazoles are important heterocyclic compounds with diverse bioactivities, extensive studies have been carried out for the synthesis of substituted or functionalized pyrazoles [1,2,3,4,5]. However, most of them are based on the construction of a pyrazole ring by the [2 + 3] cycloaddition of already substituted parts [6,7,8]. Direct functionalization of pyrazoles has been rarely reported; it is a synthetic challenge. We have been studying the direct functionalization of pyrazoles and reported the synthesis of 4-arylpyrazoles via Kumada–Tamao coupling [9], Suzuki–Miyaura coupling [10], and the Heck–Mizoroki reaction [11]; 2H-indazoles via a double Sonogashira coupling followed by Bergmann–Masamune cyclization [12]; and 4-hydroxy-1H-pyrazoles by the total synthesis of withasomnine alkaloids as its applications [13,14].
On the other hand, pyrazole-fused heterocycles have been recently synthesized because they exhibit diverse important biological activities; they could not be synthesized from substituted monocyclic pyrazole derivatives [15]. Sildenafil citrate, a well-known clinically approved erectile dysfunction improving drug Viagra®, is one of the representative example possessing a pyrazole-fused bicyclic structure (Figure 1) [15,16]. Pyraclonil is also well known as an excellent pesticide or herbicide with a similar structural feature [17]. Several examples exhibiting important biological activities are also shown in Figure 1 [18,19,20,21,22,23]. Thus, synthesis of novel pyrazole-fused heterocycles is extremely important for drug discovery and is a great challenge in organic chemistry.
Figure 1.
Examples of bioactive pyrazole-fused heterocyclic molecules. TGF-β: Transforming growth factor-β, CDC: Cell Division Cycle (Protein Phosphatase), TC-PTP: T-Cell Protein Tyrosine Phosphatase, PTP1B: Protein tyrosine phosphatase 1B.
PF-0514273 (Figure 1) is a selective human cannabinoid (hCB) 1 receptor antagonist with a potency of Ki: 1.8 ± 1.4 nM was developed by a Pfizer research group to reduce the side effect of rimonabant; this compound advanced to human clinical trials for weight management [22]. Furthermore, acylaminobicyclic (A), also shown in Figure 1, was evaluated by the same research group; it showed more potent activity as a peripherally targeted hCB1 receptor antagonist (Ki = 0.54 nM) [23]. Both the molecules have a fused heterocyclic skeleton between a pyrazole and seven-membered ring containing an oxygen atom. Therefore, it is important to develop a new method for the 5,6,7,8-tetrahydrooxepino[3,2-c]pyrazole skeleton, which the acylaminobicyclic A has.
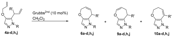
In our previous synthesis of withasomnines, the key intermediates were 4-allyloxy-1H-1-tritylpyrazole (1a) and its Claisen rearrangement product, 5-allyl-4-hydroxy-1H-1-tritylpyrazole (2a) [14]. Compound 2a or its structural isomer, 3-allyl-4-hydroxy-1H-1-trityl pyrazole (3a), contains a hydroxyl group, which can be further O-functionalized. Recently, the combination of Claisen rearrangement and ring-closing metathesis (RCM) provides a powerful approach to construct various polycyclics [24,25,26,27]. But, examples of synthesis of pyrazole-fused heterocyclic molecules using RCM are rare [28]. Therefore, we attempted to construct pyrazole-fused heterocycles based on 2 or 3. When 2 or 3 was further O-allylated, products 4 and 5 were suitable starting materials for RCM, leading to pyrazole 5,8-dihydro-1H-oxepino[3,2-c]pyrazoles (6) and 5,8-dihydro-2H-oxepino[3,2-c]pyrazoles (7), respectively. Herein, we report the new synthesis of a pyrazole-fused heterocyclic skeleton, dihydrooxepino[3,2-c]pyrazoles, from 1 via the combination of Claisen rearrangement and RCM and divergence of RCM products depending on reaction conditions.
2. Results and Discussions
2.1. Claisen Rearrangement of 4-Allyloxy-1H-pyrazoles in 1,2-Dimethoxyethane
As mentioned in our previous paper, Claisen rearrangement of 1a in 1,2-dimethoxyethane (DME) showed improved regioselectivity for 2a (65%): 3a (1%) compared to the same reaction in N,N-diethylaniline (DEA) (2a (61%): 3a (3%)) [14]. Another merit of using DME as a solvent is easier purification of the reaction products. DEA must be removed by chromatography, whereas DME can be removed by evaporation. First, the regioselectivity in the Claisen rearrangement of other substrates 1b–e with DME under microwave (MW) irradiation was investigated. The results are summarized in Table 1. The MW reaction conditions were 200 °C and 30 min. In the reaction of substrate 1b (R = benzyl), 5-allylated product 2b was obtained exclusively in a similar yield (98%, entry 2) as DEA (2b: 92%) reported previously [13,14]. Improved regioselectivity was observed for substrate 1d bearing an n-butyl group, affording 5-allylate 2d as the sole product in 97% yield (entry 4), whereas a mixture of 2d (65%) and 3d (20%) was obtained in the MW reaction with DEA. Surprisingly, reversed regioselectivity was observed in the reaction of substrate 1c bearing a p-toluenesulfonyl substituent at the N1 position in DME, giving 3-allylated 3c (55%, entry 3), whereas 2c was formed as the major product (65%) and as the minor product (20%) in the MW-assisted Claisen rearrangement in DEA in our previous study [14]. However, we do not have a plausible explanation for this reversed selectivity.
Table 1.
Regioselectivity of Claisen rearrangement of 1.
Furthermore, we investigated the relationship between the Claisen rearrangement and the subsequent pattern in the allylic system of substrate 1, having a substituent at R, R’, and R” positions.
When R’ positions are occupied by methyl group (entries 6 and 9), the Claisen rearrangement did not proceed. Similar results are obtained on the substrates 1e (R’ = Me) and 1g (R’ = Ph) having Tr group at R position (entries 5 and 7). Meanwhile, reactions of 1h (R = Bn, R’ = Me, and R” = H) and 1j (R = Bn, R’ = Ph, and R” = H) with a benzyl group at the N1 position provide rearranged products 2h and 2j in 64% and 54% yields, respectively.
In cases of the substrates with Tr groups (entries 5–7) as well as with a Me group at R” position (entry 9), severe steric repulsions in those transition states may inhibit the Claisen rearrangement.
From results summarized in Table 1, appearance of the Claisen rearrangement would depend on the substituent pattern in the allylic system of the substrates 1.
3′-Substituted 4-allyloxy-1H-pyrazoles 1e–j used as substrates were prepared from aldehydes 8a or 8b, as illustrated in Scheme 1.
Scheme 1.
Synthesis of substituted 4-allyloxy-1H-pyrazoles.
2.2. Synthesis of 5- or 3-Allyl-4-allyloxy-1H-pyrazoles
Next, O-allylation of the 4-hydroxyl group in 2 or 3 was investigated (Scheme 2). Substrates 2 or 3 reacted with allyl bromide under basic condition at ambient temperature, affording 5-allyl-4-allyloxy-1H-pyrazoles (4a–d,h,j) and 3-allyl-4-allyloxy-1H-pyrazoles (5a,c) as shown in Scheme 2a,b, respectively. Most of the substrates were O-allylated in good yields except 2c and 3c bearing a toluenesulfonyl substituent at the N1 position. The toluenesulfonyl group at the N1 position seems unstable under the basic reaction condition, resulting in a lower yield of 4c or 5c. Thus, the RCM substrates for the formation of a seven-membered ring were obtained.
Scheme 2.
O-Allylation of 4-hydroxy-1H-pyrazoles (2a–d,h,j and 3a,c).
2.3. Synthesis of Dihydro-1H-1-Trityloxepino[3,2-c]pyrazoles
Using the prepared substrates, the synthesis of dihydro-1H- or 2H-oxepino[3,2-c]pyrazoles was investigated. First, three types of Grubbs catalysts—Grubbs1st, Grubbs2nd, and Hoveyda–Grubbs2nd—were used in the RCM of substrate 4a (Table 2). The reaction conditions—solvent, temperature, and amount of ruthenium catalyst—were fixed as CH2Cl2, room temperature, and 10 mol %, respectively [29,30]. The results are summarized in Table 1. All the reactions afforded the desired 5,8-dihydro-1H-1-trityloxepino[3,2-c]pyrazole (6a), and Grubbs2nd gave the best yield (entry 2, 74% yield). Then, all the following RCMs were carried out using Grubbs2nd as the catalyst.
Table 2.
Ring-closing metathesis (RCM) of 4a with various Grubbs catalysts.
As described above, the RCM reactions using Grubbs2nd at room temperature took 120–150 min for the complete consumption of starting material 4a. To shorten the reaction time, next, MW-assisted RCM was investigated. The reaction at a high temperature of 140 °C in CH2Cl2 as the solvent was achieved using sealed vials as the MW reactor. The results are summarized in Table 3. Interestingly, the ring-closed products with double-bond migration 9a and 10a were obtained from substrate 4a as the major products in various ratios along with a small amount of 6a, as shown in entries 2–4 [31,32,33,34]. As the best overall yield was obtained in a reaction time of 10 min (entry 4), this condition was applied in the following MW reactions. For reference, the RCM of 4a at room temperature overnight also provided the isomerized products in a small amount in addition to 6a as the major product. To complete the isomerization, overnight reflux (40 °C) was required as noted in entry 1 for comparison. Geometries of the double bond of all the products 6a, 9a, and 10a generated in the RCM were assigned as Z configuration based on the coupling constant <12 Hz of olefinic protons in their 1H-Nucler Magnetic Resonance (NMR) spectra.
Table 3.
RCM of 1-substituted 4-allyloxy-5-allyl-1H-pyrazoles.
Similarly, the reactions of 4b (R = Bn) and 4c (R = Ts) at room temperature gave the desired RCM products 6b (entry 6) and 6c (entry 8), respectively, whereas the corresponding MW reactions gave the isomerized products 9b (25%)/10b (63%) (entry 7) and 9c (21%)/10c (50%) (entry 9), respectively. The reaction of 4d (R = n-Bu) proceeded in the same manner, but the reaction product 6d obtained at room temperature, which was almost pure in the crude 1H-NMR spectrum, was partially isomerized to an inseparable mixture of 9d and 10d during the purification using a preparative thin layer chromatography (TLC) plate (entry 10). The corresponding MW reaction of 6d afforded a mixture of 9d and 10d, as observed in the 1H-NMR spectrum of the crude residue, in 77% combined yield in the ratio ca. 1:3 (entry 11).
The RCM reactions of 3-allylated 5a and 5c were also investigated (Table 4). The reaction using Grubbs2nd at room temperature gave only the desired 5,8-dihydro-2H-oxepino[3,2-c]pyrazoles (7a and 7c) in 75% and 52% yields, respectively (entries 1 and 3). The corresponding MW reaction of 5a gave isomerized 11a and 12a in 13% and 79% yields, respectively (entry 2). The MW reaction of 5c afforded 11c (11%) and 12c (56%) (entry 4).
Table 4.
RCM of 1-substituted 4-allyloxy-3-allyl-1H-pyrazoles.
2.4. Double-Bond Migration of Dihydro-1H-1-Trityloxepino[3,2-c]pyrazoles Catalyzed by Ruthenium Hydride Species
Double-bond migration during the RCM of medium-sized rings has been reported [30,31,32,33]. Previous studies showed the participation of a small amount of ruthenium hydride species present in the used catalyst as the impurity or produced during the RCM process. Then, the reaction of 6a with carbonylchlorohydrotris(triphenylphosphine)ruthenium (II) (RuClH(CO)(PPh3)3) was investigated as shown in Scheme 3. The MW reaction at 70 °C for 10 min gave the isomerized products 9a and 10a in 3% and 19% yields, respectively, along with the recovery of 6a (63%), whereas no isomerization was observed in the reaction at 40 °C. The same reaction at 140 °C gave the isomerized products 9a and 9a in 45% and 13% yields, respectively. These experiments indicated the participation of ruthenium hydride species in the double-bond isomerization of 6 to 9 or 10 as observed in the RCMs at a higher temperature in this study.
Scheme 3.
Reaction of 6a with ruthenium hydride species.
3. Materials and Methods
3.1. General
Infrared (IR) spectra were obtained using a Perkin Elmer Fourier Transformation-Infrared (FT-IR) spectrometer 1720X (Perkin Elmer, Walttham, MA, USA). High Resolution Mass Spectra (HRMS) were recorded using a JEOL JMS-700 (2) mass spectrometer (JEOL, Tokyo, Japan). NMR spectra were recorded at 27 °C using Agilent 300-, 400-MR-DD2, and 600-DD2 spectrometers (Agilent Technologies, Santa Clara, CA, USA) in CDCl3 using tetramethylsilane (TMS) as the internal standard. Liquid column chromatography was conducted using silica gel FL-60D (Fuji Silysia, Tokyo, Japan). Analytical TLC was performed using precoated plates WAKO silica gel 70 F254 (Wako Pure Chemical Industries, Tokyo, Japan) and the compounds were detected by dipping the plates in an ethanol solution of phosphomolybdic acid, followed by heating. Preparative TLC was performed using precoated glass plates silica gel 60 F254 (Merck & Co., Inc., Darmstadt, Germany). MW-assisted reactions were carried out using a Biotage Initiator® (Basel, Switzerland). Anhydrous CH2CH2 was purchased from Wako Pure Chemical Industries (Osaka, Japan).
3.2. O-Allylation of 4-Hydroxy-1H-pyrazoles (Scheme 1)
General procedure: To a solution of 4-formyl-1H-1-tritylprazole (8a) (94.6 mg, 0.28 mmol) in CH2Cl2 (6 mL) was added 70% mCPBA (131.8 mg, 0.53 mmol) at 0 °C, with stirring. After 5 h, saturated NaHCO3 aq (10 mL) was added to quench the reaction mixture. The mixture was extracted with CH2Cl2 3 times. Combined organic layer was dried over MgSO4, filtered, and condensed under reduced pressure to give a crude formate. To an acetone solution of the crude formate (6 mL), 20% NaOH aq (4 mL) was added, then the mixture was heated under reflux for 1 h, then crotyl bromide (48 µL, 0.42 mmol) was added to the cooled mixture. After stirring for 3 h, saturated NH4Cl aq was added to the reaction mixture to quench, the mixture was condensed under reduced pressure, extracted with CH2Cl2 for 3 times. The combined CH2Cl2 layer was dried over MgSO4, filtered, and condensed under reduced pressure to give a crude residue, which was purified with flash column chromatography (EtOAc:Hexane = 1:10) to give 4-(2-butenyl)oxy-1H-1-tritylpyrazole (1e) (54.5 mg, 51%).
4-(2-butenyl)oxy-1H-1-tritylpyrazole (1e): white powder; melting point (m.p.) 84–87 °C; IR (KBr) vmax 1571 (C=C), 1490 (C=C), 1445 (C=C) cm−1; 1H-NMR (400 MHz, CDCl3): δ 1.63 (0.5 H, dd, J = 6.5, 1.0 Hz, (Z)-CH3CH=CH-), 1.71 (2.5 H, dd, J = 6.4, 1.0 Hz, (E)-CH3CH=CH-), 4.26 (1.7 H, br d, J = 6.4 Hz, (E)-CH=CHCH2O-), 4.41 (0.3 H, dd, J = 6.4 Hz, (Z)-CH=CHCH2O-), 5.31–5.63 (1H, m, -CH=CH-), 5.63–5.78 (1H, m, -CH=CH-), 7.01 (0.83H, d, J = 0.8 Hz, pyrazole-H), 7.03 (0.17H, d, J = 0.8 Hz, pyrazole-H), 7.10–7.20 (6H, m, Tr-H), 7.22–7.38 (9 H, m, Tr-H), 7.40 (0.83H, d, J = 0.6 Hz, pyrazole-H), 7.41 (0.17H, d, J = 0.7 Hz, pyrazole-H); 13C-NMR (100 MHz, CDCl3): δ (13.2), 17.7, 53.4, (67.0), 72.2, 78.5, (81.9), (118.2), 118.3, (125.4), 126.0, 127.2, 128.1, (128.8), 130.0, 130.7, 130.9, 143.1, 144.1, 146.8; High Resolution Electron Impact Mass Spectrum (HREIMS) m/z calcd. for C26H24N2O [M+] 380.1189, found 380.1185.
4-(3-Methyl-2-butenyl)oxy-1H-1-tritylpyrazole (1f): Colorless crystals (CH2Cl2); m.p. 60–70 °C; IR (KBr) vmax 1576 (C=C), 1492 (C=C), 1445 (C=C) cm−1; 1H-NMR (600 MHz, CDCl3): δ 1.63 (3H, d, J = 0.6 Hz, =CMeMe), 1.74 (3H, d, J = 0.9 Hz, =CMeMe), 4.33 (2H, dt, J = 7.0 Hz, OCH2CH=), 5.40 (1H, tqq, J = 7.0, 0.9, 0.6 Hz, -OCH2CH=C(CH3)2), 7.00 (1H, d, J = 0.9 Hz, pyrazole-H), 7.14–7.17 (6H, m, Tr-H), 7.26–7.31 (9 H, m, Tr-H), 7.40 (1H, d, J = 0.9 Hz, pyrazole-H); 13C-NMR (125 MHz, CDCl3): δ 18.1, 25.7, 68.1, 78.5, 118.2, 119.7, 127.6, 127.9, 128.2, 130.1, 138.4, 143.2, 144.2; HREIMS m/z calcd. for C28H26N2O [M+] 394.2045, found 394.2047.
(E/Z)-4-(3-Phenyl-2-propenyl)oxy-1H-1-tritylpyrazoles (1g): Colorless needles (CH2Cl2); m.p. 115–120 °C; IR (KBr) vmax 1565 (C=C), 1445 (C=C) cm−1; 1H-NMR (400 MHz, CDCl3): δ 4.50 (1.8H, dd, J = 6.1, 1.2 Hz, -OCH2CH=), 4.86 (0.2H, dd, J = 6.5, 1.2 Hz, -OCH2CH=), 6.31 (1H, dt, J = 16.0, 6.1 Hz, -CH2CH=CH-), 6.62 (1H, d, J = 16.0 Hz, -CH=CHPh), 7.05 (1H, d, J = 0.5 Hz, pyrazole-H), 7.10–7.19 (8H, m, Tr-H, Ph-H), 7.22–7.40 (12H, m, Tr-H, Ph-H), 7.44 (1H, d, J = 0.5 Hz, pyrazole-H); 13C-NMR (100 MHz, CDCl3): δ 29.7, 72.3, 78.7, 118.7, 124.3, 126.6, 127.6, 127.9, 128.3, 128.6, 130.1, 136.3, 143.1, 144.0; HREIMS m/z calcd. for C31H26N2O [M+] 442.2045, found 442.2046.
(E/Z)-1-Benzyl-4-(2-butenyl)oxy-1H-pyrazoles (1h): Oil; IR (film) vmax 1575 (C=C), 1496 (C=C) cm−1; 1H-NMR (400 MHz, CDCl3): δ 1.66 (0.5 H, dd, J = 5.8, 0.5 Hz, (Z)-CH3CH=CH-), 1.70 (2.5H, dd, J = 6.5, 0.6 Hz, (E)-CH3CH=CH-), 4.28 (1.7 H, dd, J = 6.2, 1.0 Hz, (E)-OCH2CH=CH-), 4.42 (0.3 H, dd, J = 6.2, 0.6 Hz, (Z)-OCH2CH=CH-), 5.18 (2 H, s, ArCH2Ph), 5.60–5.72 (1H, m, -CH=CH-), 5.72–5.84 (1H, m, -CH=CH-), 7.01 (0.83 H, s, pyrazole-H), 7.03 (0.17 H, s, pyrazole-H), 7.17 (2H, dd, J = 6.9, 1.1 Hz, Ph-H), 7.20–7.40 (6 H, m, Ph-H, pyrazole-H); 13C-NMR (100 MHz, CDCl3): δ (13.3), 17.8, (49.7), 56.6, (67.2), 72.4, (114.96), 150.02, (125.5), 126.0, (126.9), 127.5, 127.6, (128.0), (128.3), 128.5, 128.7, (128.88), (128,.92), (129.0), 131.0, 136.7, (143.5), 145.6; HREIMS m/z calcd. for C14H16N2O [M+] 228.1263, found 228.1263.
1-Benzyl-4-(3-methyl-2-butenyl)oxy-1H-pyrazoles (1i): Oil; IR (film) vmax 1574 (C=C), 1496 (C=C), 1455 (C=C) cm−1; 1H-NMR (400 MHz, CDCl3): δ 1.67 (3H, s, =CMeMe), 1.74 (3H, s, =CMeMe), 4.34 (2H, d, J = 6.9 Hz, -OCH2CH=), 5.18 (2H, s, ArCH2Ph), 5.42 (1H, m, -CH2CH=CMe2), 7.01 (1H, s, pyrazole-H), 7.18 (2H, d, J = 7.3 Hz, Ph-H), 7.24–7.34 (4 H, m, Ph-H, pyrazole-H); 13C-NMR (100 MHz, CDCl3): δ 18.1, 25.7, 56.6, 68.2, 114.9, 119.6, 127.50, 127.54, 128.0, 128.7, 136.7, 138.6, 145.8; HREIMS m/z calcd. for C15H18N2O [M+] 242.1419, found 242.1420.
(E/Z)-1-Benzyl-4-(3-phenyl(2-propenyl))oxy-1H-pyrazoles (1j): white powder; m.p. 68–71 °C; IR (KBr) vmax 1565 (C=C), 1490 (C=C), 1445 (C=C) cm−1; 1H-NMR (400 MHz, CDCl3): δ 4.50 (1.9H, dd, J = 7.1, 1.4 Hz, -OCH2CH=), 4.58 (0.1H, dd, J = 5.8, 1.4 Hz, -OCH2CH=), 5.17 (1.9H, s, ArCH2Ph), 5.21 (0.1H, s, ArCH2Ph), 6.31 (1H, dt, J = 16.0, 5.9 Hz, -CH2CH=CH-), 6.63 (1H, d, J = 16.0 Hz, -CH=CHPh), 7.04 (1H, s, pyrazole-H), 7.13–7.36 (11H, m, Ph-H, pyrazole-H); 13C-NMR (100 MHz, CDCl3): δ 56.7, 72.4, 115.3, 124.3, 126.6, 127.5, 127.7, 127.95, 128.0, 128.6, 128.8, 133.4, 136.3, 136.6, 145.6; HREIMS m/z calcd. for C19H18N2O [M+] 290.1419, found 290.1418.
3.3. Claisen Rearrangement of 1-Protected 4-Allyloxy-1H-pyrazoles with DME (Table 1)
General procedure (Table 1, entry 2): A sealed vial containing a solution of 1b (146.1 mg, 0.68 mmol) in DME (2 mL) was heated at 200 °C for 30 min under MW irradiation. After the cooling, the reaction mixture was quenched with NH4Cl aq. and extracted with EtOAc. The organic layer was washed with brine, dried over MgSO4, and filtered. The solvent was removed under reduced pressure; the crude residue was subsequently purified by column chromatography (hexane/EtOAc = 3:1 v/v), affording 2b (143.2 mg, 98% yield) as an oil.
3-Allyl-4-allyloxy-1H-1-toluenesulfonylpyrazole (3c); Oil; IR (liquid film) vmax 1593 (C=C), 1491 (C=C) cm−1; 1H-NMR (600 MHz, CDCl3): δ 2.41 (3H, s, PhCH3), 3.68 (2H, dt, J = 5.9, 1.5 Hz, ArCH2CH=CH2), 4.41 (2H, dt, J = 5.3, 1.5 Hz, -OCH2CH=CH2), 5.01 (1H, dq, J = 17.0, 1.4 Hz, -CH=CHH), 5.06 (1H, dq, J = 10.0, 1.5 Hz, -CH=CHH), 5.25 (1H, dq, J = 10.6, 1.4 Hz, -CH=CHH), 5.32 (1H, dq, J = 17.3, 1.5 Hz, -CH=CHH), 5.89–5.97 (2H, m, ArCH2CH=CH2), 5.91 (1H, m, -CH2CH=CH2), 7.29 (2H, br d, J = 8.5 Hz, Ph-H), 7.52 (1H, s, pyrazole-H), 7.83 (2H, br d, J = 8.5 Hz, Ph-H); 13C-NMR (125 MHz, CDCl3): δ 21.7, 27.8, 73.1, 116.6, 118.3, 128.0, 129.8, 130.7, 132.8, 133.8, 134.4, 134.8, 143.7, 145.4; HREIMS m/z calcd. for C16H18N2O3S [M+] 318.1038, Found 318.1035.
1-Benzyl-4-hydroxy-5-(1-methyl-2-propenyl)-1H-pyrazoles (2h): White powder; m.p. 95–100 °C; IR (KBr) vmax 1497 (OH), 1591 (C=C), 1455 (C=C) cm−1; 1H-NMR (400 MHz, CDCl3): δ 1.25 (3H, d, J = 7.2 Hz, CH2CH-), 3.51 (1H, m, ArCHCH3CH=), 4.99 (1H, br d, J = 17. 4 Hz, -CH=CHH), 5.06 (1H, br d, J = 10.4 Hz, -CH=CHH), 5.21 (1H, d, J = 17.2 Hz, ArCHAHBPh), 5.25 (1H, d, J = 17.2 Hz, ArCHAHBPh), 5.96 (1H, ddd, J = 17.2, 10.2, 5.5 Hz, -CHCH=CH2), 7.03 (2H, d, J = 6.8 Hz, Ph-H), 7.18 (1H, s, pyrazole-H), 6.00 (1H, ddt, J = 17.2, 10.5, 5.3 Hz, -OCH2CH=CH2), 7.25–7.31 (3H, m, Ph-H); 13C-NMR (100 MHz, CDCl3): δ 17.6, 33.6, 53.9, 114.5, 126.5, 127.6, 128.5, 128.6, 129.9, 137.4, 138.6, 139.2; HREIMS m/z calcd. for C14H16N2O [M+] 228.1263, found 228.1262.
1-Benzyl-4-hydroxy-5-(1-phenyl-2-propenyl)-1H-pyrazoles (2j): Powder; m.p. 88–93 °C; IR (KBr) vmax 3458 (OH), 1591 (C=C), 1496 (C=C), 1455 (C=C) cm−1; 1H-NMR (400 MHz, CDCl3): δ 4.68 (1H, d, J = 6.6 Hz, ArCHPhCH=), 4.89 (1H, dt, J = 17.2, 1.4 Hz, -CH=CHH), 5.06 (1H, d, J = 16.2 Hz, ArCHAHBPh), 5.15 (1H, d, J = 16.2 Hz, ArCHAHBPh), 5.18 (1H, d, J = 10.3 Hz, -CH=CHH), 5.29 (1H, ddd, J = 17.0, 10.2, 6.8 Hz, -CHCH=CH2), 6.98 (2H, br d, J = 6.7 Hz, Ph-H), 7.10 (2H, br d, J = 6.9 Hz, Ph-H), 7.11–7.28 (8H, m, Ph-H, pyrazole-H); 13C-NMR (100 MHz, CDCl3): δ 45.2, 54.1, 17.4, 126.6, 127.1, 127.6, 127.9, 128.5, 128.7, 128.8, 136.8, 137.0, 139.4, 139.7; HREIMS m/z calcd. for C19H18N2O [M+] 290.1419, found 290.1415.
3.4. O-Allylation of 1-Protected 5- or 3-Allyl-4-allyloxy-1H-pyrazoles (Scheme 2)
General procedure: To a solution of 5-allyl-4-hydroxy-1-trityl-1H-pyrazole (2a) (0.21 g, 0.56 mmol) in CH2Cl2 (4 mL), 20% NaOH aq. (3 mL) and allyl bromide (120 µL, 1.4 mmol) were added. After stirring at room temperature (r.t.) overnight, the reaction mixture was quenched with sat. NH4Cl aq., and then extracted with CH2Cl2. The organic layer was dried over anhydrous MgSO4, filtered, and evaporated. The crude residue was purified using flash chromatography (eluent:hexane/EtOAc gradient), affording 4a (0.21 g, 92% yield).
5-Allyl-4-allyloxy-1-trityl-1H-pyrazole (4a): Colorless crystals (CH2Cl2); m.p. 110–114 °C; IR (film) vmax 1578 (C=C), 1492 (C=C), 1445 (C=C) cm−1; 1H-NMR (500 MHz, CDCl3): δ 2.85 (2H, br dt, J = 6.6, 1.1 Hz, ArCH2CH=CH2), 4.43 (2H, dt, J = 5.3, 1.6 Hz, OCH2CH=CH2), 4.62 (1H, ddd, J = 17.2, 3.2, 1.4 Hz, -CH=CHH), 4.65 (1H, ddd, J = 10.1, 3.2, 1.3 Hz, -CH=CHH), 5.00 (1H, ddt, J = 17.2, 10.1, 6.6 Hz, ArCH=CH2), 5.23 (1H, ddt, J = 10.5, 3.0, 1.4 Hz, -CH2CH=CHH), 5.36 (1H, dq, J = 17.2, 1.6 Hz, -CH2CH=CHH), 6.00 (1H, ddt, J = 17.2, 10.5, 5.3 Hz, -OCH2CH=CH2), 7.10–7.14 (6H, m, Tr-H), 7.23–7.31 (9 H, m, Tr-H), 7.33 (1H, s, pyrazole-H); 13C-NMR (125 MHz, CDCl3): δ 31.2, 72.4, 78.5, 115.6, 117.2, 125.3, 125.4, 127.5, 129.1, 130.1, 132.5, 133.7, 143.0, 144.2; HREIMS m/z calcd. for C28H26N2O [M+] 406.2045, found 406.2049.
5-Allyl-4-allyloxy-1H-1-benzylpyrazole (4b): Oil; IR (film) vmax 1580 (C=C), 1492 (C=C), 1408 (C=C) cm−1; 1H-NMR (600 MHz, CDCl3): δ 3.26 (2H, br dt, J = 5.8, 1.6 Hz, ArCH2CH=CH2), 4.43 (2H, dt, J = 5.6, 1.5 Hz, -OCH2CH=CH2), 4.97 (1H, ddd, J = 17.0, 3.2, 1.7 Hz, -CH=CHH), 5.04 (1H, ddd, J = 10.3, 3.3, 1.5 Hz, -CH=CHH), 5.21 (2H, s, PhCH2O-), 5.24 (1H, ddd, J = 10.2, 3.0, 1.5 Hz, -CH=CHH), 5.35 (1H, ddd, J = 17.0, 3.3, 1.5 Hz, -CH=CHH), 5.77 (1H, ddt, J = 17.0, 10.5, 5.8 Hz, ArCH2CH=CH2), 6.01 (1H, ddt, J = 17.3, 10.5, 5.3 Hz, -OCH2CH=CH2), 7.15 (2H, br d, J = 7.4 Hz, Ph-H), 7.25 (1H, br t, J = 7.4 Hz, Ph-H), 7.29 (2H, br t, J = 7.4 Hz, Ph-H), 7.31 (1H, s, pyrazole-H); 13C-NMR (150 MHz, CDCl3): δ 27.1, 53.8, 73.3, 116.3, 117.6, 126.7, 126.9, 127.0, 127.5, 128.6, 133.69, 133.71, 137.1,142.3; HREIMS m/z calcd. for C16H18N2O [M+] 254.1419, found 254.1416.
5-Allyl-4-allyloxy-1H-1-toluenesulfonylpyrazole (4c): Oil; IR (liquid film) vmax 1593 (C=C), 1491 (C=C) cm−1; 1H-NMR (600 MHz, CDCl3): δ 2.41 (3H, s, PhCH3), 3.68 (2H, dt, J = 5.9, 1.5 Hz, ArCH2CH=CH2), 4.41 (2H, dt, J = 5.3, 1.5 Hz, -OCH2CH=CH2), 5.01 (1H, dq, J = 17.0, 1.4 Hz, -CH=CHH), 5.06 (1H, dq, J = 10.0, 1.5 Hz, -CH=CHH), 5.25 (1H, dq, J = 10.6, 1.4 Hz, -CH=CHH), 5.32 (1H, dq, J = 17.3, 1.5 Hz, -CH=CHH), 5.89–5.97 (2H, m, ArCH2CH=CH2), 5.91 (1H, m, -CH2CH=CH2), 7.29 (2H, br d, J = 8.5 Hz, Ph-H), 7.52 (1H, s, pyrazole-H), 7.83 (2H, br d, J = 8.5 Hz, Ph-H); 13C-NMR (125 MHz, CDCl3): δ 21.7, 27.8, 73.1, 116.6, 118.3, 128.0, 129.8, 130.7, 132.8, 133.8, 134.4, 134.8, 143.7, 145.4; HREIMS m/z calcd. for C16H18N2O3S [M+] 318.1038, found 318.1035.
5-Allyl-4-allyloxy-1-butyl-1H-pyrazole (4d): Oil; IR (film) vmax 1588 (C=C), 1413 (C=C) cm−1; 1H-NMR (600 MHz, CDCl3): δ 0.92 (3H, t, J = 7.3 Hz, -CH2CH3), 1.32 (2H, m, -CH2CH2CH3), 1.32 (2H, m, -CH2CH2CH3), 1.76 (2H, m, -CH2CH2CH2-), 3.37 (2H, dt, J = 5.6, 1.5 Hz, ArCH2CH=CH2), 3.93 (2H, br t, J = 7.3 Hz, ArCH2CH2-), 4.41 (2H, dt, J = 5.9, 1.8 Hz, OCH2CH=CH2), 5.01 (1H, dq, J = 17.0, 1.8 Hz, -CH=CHH), 5.09 (1H, dq, J = 10.0, 1.5 Hz, -CH=CHH), 5.24 (1H, dq, J = 10.6, 1.5 Hz, -CH=CHH), 5.35 (1H, dq, J = 17.4, 1.8 Hz, -CH=CHH), 5.86 (1H, ddt, J = 17.0, 10.6, 5.6 Hz, ArCH2CH=CH2), 6.01 (1H, ddt, J = 17.4, 10.0, 5.9 Hz, -OCH2CH=CH2), 7.23 (1H, s, pyrazole-H); 13C-NMR (150 MHz, CDCl3): δ 13.7, 19.9, 27.1, 32.2, 49.5, 73.3, 116.2, 117.6, 126.3, 133.9, 134.1; HREIMS m/z calcd. for C13H20N2O [M]+ 220.1575, found 220.1575.
3-Allyl-4-allyloxy-1H-1-tritylpyrazole (5a): Colorless needles (CH2Cl2/hexane); m.p. 62–65 °C; IR (KBr) vmax 1568 (C=C), 1488 (C=C), 1442 (C=C) cm−1; 1H-NMR (600 MHz, CDCl3) δ 3.38 (2H, dt, J = 6.2, 1.7 Hz, ArCH2CH=CH2), 4.24 (2H, dt, J = 5.6, 1.5 Hz, -OCH2CH=CH2), 4.99 (1H, dq, J = 10.0, 1.7 Hz, ArCH2CH=CHAHB), 5.03 (1H, dq, J = 17.0, 1.7 Hz, ArCH2CH=CHAHB), 5.18 (1H, dq, J = 10.5, 1.4 Hz, -OCH2CH=CHAHB), 5.26 (1H, dq, J = 17.3, 1.7 Hz, -OCH2CH=CHAHB), 5.93 (1H, ddt, J = 17.3, 10.4, 5.6 Hz, -OCH2CH=CH2), 5.99 (1H, ddt, J = 17.0, 10.0, 6.2 Hz, ArCH2CH=CH2), 6.88 (1H, s, pyr-H), 7.15–7.19 (6H, m, Tr-H), 7.26–7.30 (9H, m Tr-H); 13C-NMR (125 MHz, CDCl3): δ 30.0, 72.9, 78.1, 115.1, 117.4, 118.5, 127.4, 127.6, 130.1, 133.5, 135.8, 140.1, 141.6, 143.5; HREIMS m/z calcd. for C28H26N2O [M+] 406.2045, found 406.2043.
3-Allyl-4-allyloxy-1-toluenesulfonyl-1H-pyrazole (5c): Colorless needles (CH2Cl2/hexane); m.p. 82–84 °C; IR (KBr) vmax 1540 (C=C), 1500 (C=C) cm−1; 1H-NMR (600 MHz, CDCl3) δ 2.41 (3H, s, ArCH3), 3.33 (2H, dt, J = 6.5, 1.7 Hz, ArCH2CH=CH2), 4.38 (2H, dt, J = 5.3, 1.5 Hz, -OCH2CH=CH2), 5.00 (1H, dq, J = 8.8, 1.5 Hz, -CH=CHH), 5.02–5.03 (1H, m, -CH=CHH), 5.29 (1H, dq, J = 10.5, 1.5 Hz, -CH=CHH), 5.37 (1H, dq, J = 17.3, 1.5 Hz, -CH=CHH), 5.93–5.98 (2H, m, 2 × -CH2CH=CH2), 7.28 (2H, d, J = 7.5 Hz, Ts-H), 7.51 (1H, s, pyr-H), 7.81 (2H, d, J = 7.5 Hz, Ts-H); 13C-NMR (150 MHz, CDCl3) δ 22.7, 30.1, 72.3, 113.5, 116.7, 118.3, 127.7, 129.8, 132.2, 133.3, 134.3, 145.2, 145.5, 148.9; HREIMS m/z calcd. for C16H18N2O3S [M]+ 318.1038, found 318.1041.
General procedure under aprotic condition: To a solution of 2h (57.7 mg, 0.27 mmol) in dry THF (2 mL), 60%NaH (16.0 mg, 0.40 mmol) was added at rt. 20 Min later, allyl bromide (34 µL, 0.40 mmol) was added to the reaction flask. After stirring at rt for 3 h, the reaction mixture was quenched with sat. NH4Cl aq., then extracted with CH2Cl2. The organic layer was dried over anhydrous MgSO4, filtered, and evaporated. The crude residue was purified using column chromatography (eluent:hexane/EtOAc = 3:1), affording 4h as a colorless oil (49.9 mg, 81% yield).
5-(1-methyl-2-propenyl)-4-allyloxy-1-benzyk-1H-pyrazole (4h): Oil; IR (film) vmax 1575 (C=C), 1496 (C=C), 1456 (C=C) cm−1; 1H-NMR (400 MHz, CDCl3): δ 1.28 (3H, d, J = 7.3 Hz, -CHCH3), 3.49 (1H, br quint, J = 7.3 Hz, ArCH (CH3)CH=), 4.41 (2H, br d, J = 4.9 Hz, -OCH2CH=CH2), 4.86 (1H, dt, J = 17.2, 1.4 Hz, -CHCH=CHH), 4.94 (1H, dt, J = 10.2, 1.4 Hz, -CHCH=CHH), 5.20 (1H, br d, J = 16.2 Hz, ArCHAHBPh), 5.22 (1H, dq, J = 10.4, 1.4 Hz, -CH2CH=CHH), 5.23 (1H, br d, J = 16.2 Hz, ArCHAHBPh), 5.36 (1H, dq, J = 17.2, 1.4 Hz, -CH2CH=CHH), 5.80–6.06 (2H, m (overlapped), 2 × -CH=CH2), 7.02 (2H, br d, J = 6.7 Hz, Ph-H), 7.23–7.31 (4 H, m, Ph-H, pyrazole-H); 13C-NMR (100 MHz, CDCl3): δ 18.1, 34.3, 54.1, 72.8, 113.9, 117.2, 126.5, 126.9, 127.5, 128.6, 131.0, 133.7, 137.5, 139.6, 142.2; HREIMS m/z calcd. for C17H20N2O [M+] 268.1576, found 268.1579.
5-(1-phenyl-2-propenyl)-4-allyloxy-1-benzyk-1H-pyrazole (4j): Oil; IR (film) vmax 1576 (C=C), 1496 (C=C) cm−1; 1H-NMR (400 MHz, CDCl3): δ 4.33 (1H, br dd, J = 11.5, 4.5 Hz, -OCHAHBCH= CH2), 4.36 (1H, br dd, J = 11.5, 4.5 Hz, -OCHAHBCH= CH2), 4.68 (1H, d, J = 7.4 Hz, ArCHPhCH=), 4.86 (1H, br d, J = 17.0 Hz, -CH=CHH), 5.06–5.14 (3H, overlapped, 2 × benzyl methylene, -CH=CH), , 5.20 (1H, br dq, J = 10.4, 1.4 Hz, -CH2CH=CHH), 5.29 (1H, br dq, J = 17.2, 1.5 Hz, -CH2CH=CHH), 5.91 (1H, ddt, J = 15.8, 10.0, 4.7 Hz, -OCH2CH=CH2), 6.30 (1H, ddd, J = 17.0, 9.4, 7.9 Hz, -CH2CH=CH2), 5.80–6.06 (2H, m (overlapped), 2 × -CH=CH2), 6.96 (2H, br d, J = 7.1 Hz, Ph-H), 7.09 (2H, br d, J = 7.2 Hz, Ph-H), 7.15–7.27 (6H, m, Ph-H), 7.33 (1 H, s, pyrazole-H); 13C-NMR (100 MHz, CDCl3): δ 45.7, 54.3, 73.0, 116.3, 117.3, 126.7, 127.3, 127.6, 127.9, 128.5, 128.6, 129.6, 133.7, 136.9, 137.1, 140.4, 142.7; HREIMS m/z calcd. for C22H22N2O [M+] 330.1732, found 330.1732.
3.5. RCM of 1-Protected 4-Allyloxy- 5- or 3-Allyl-1H-pyrazoles (Table 1, Table 2 and Table 3)
General procedure for the reactions at room temperature (Table 2, entry 2): To a solution of 4a (18.5 mg, 0.046 mmol) in CH2Cl2 (4 mL) was added Grubbs2nd (3.9 mg, 0.0046 mmol) under argon atmosphere. After stirring for 120 min, the solvent was removed under reduced pressure. The crude residue was purified by preparative TLC (eluent: hexane/AcOEt = 5:1 v/v), affording 6a (12. 7 mg, 74% yield).
General procedure for the MW-assisted reactions (Table 3, entry 5): To a solution of 4a (18.5 mg, 0.046 mmol) in CH2Cl2 (4 mL) in a MW reactor vial was added Grubbs2nd (4.2 mg, 0.0049 mmol, 10 mol %) under argon atmosphere. The reaction vial was irradiated at 140 °C for 120 min. After cooling the reaction mixture, the solvent was removed under reduced pressure. The crude residue was purified by preparative TLC (eluent: hexane/AcOEt = 5:1 v/v), affording 6a (0.9 mg, 5% yield), 9a (7.5 mg, 41% yield), and 10a (5.7 mg, 33% yield).
5,8-Dihydro-1H-1-trityloxepino[3,2-c]pyrazole (6a): Colorless crystals (CH2Cl2/hexane); m.p. 92–95 °C; IR (KBr) vmax 1584 (C=C), 1492 (C=C), 1445 (C=C) cm−1; 1H-NMR (600 MHz, CDCl3) δ 2.63 (2H, m, ArCH2CH=), 4.45 (2H, m, -OCH2CH2=), 5.40 (1H, dtt, J = 11.8, 5.0, 1.4 Hz, -CH=CHCH2Ar), 5.68 (1H, dtt, J = 11.8, 5.0, 1.8 Hz, -OCH2CH=CH-), 7.10–7.13 (6H, m, Tr-H), 7.26–7.32 (10H, m, Tr-H, py-H); 13C-NMR (150 MHz, CDCl3) δ 27.3, 68.2, 78.5, 126.2, 127.4, 127.5, 127.6, 127.9, 128.3, 129.96, 130.03, 130.7, 142.8, 144.9; HREIMS m/z calcd. for C26H22N2O [M]+ 378.1732, found 378.1730.
7,8-Dihydro-1H-1-trityloxepino[3,2-c]pyrazole (9a): Colorless crystals (CH2Cl2/hexane); m.p. 154–158 °C; IR (KBr) vmax 1658 (C=C), 1579 (C=C), 1492 (C=C), 1447 (C=C) cm−1; 1H-NMR (600 MHz, CDCl3) δ 1.74 (2H, m, =CHCH2CH2-), 2.25 (2H, m, -CH2CH2Ar), 4.60 (1H, dt, J = 7.6, 5.6 Hz, -CH=CHCH2-), 6.19 (1H, dt, J = 7.6, 1.5 Hz, -OCH=CHCH2-), 7.12–7.15 (6H, m, Tr-H), 7.25–7.32 (10H, m, Tr-H, pyr-H); 13C-NMR (150 MHz, CDCl3) δ 23.5, 27.9, 78.5, 105.7, 127.3, 127.6, 127.9, 129.9, 131.3, 141.7, 142.2, 143.1; HREIMS m/z calcd. for C26H23N2O [M + H]+ 379.1810, found 379.1813.
5,6-Dihydro-1H-oxepino[3,2-c]pyrazole (10a): Colorless crystals (CH2Cl2/hexane); m.p. 144–148 °C; IR (KBr) vmax 1564 (C=C), 1489 (C=C), 1446 (C=C) cm−1; 1H-NMR (600 MHz, CDCl3) δ 2.54 (2H, m, =CHCH2CH2-), 4.08 (2H, m, -OCH2CH2-), 5.30 (1H, dt, J = 11.5, 5.2 Hz, -CH=CHCH2-), 5.70 (1H, br d, J = 11.5 Hz, ArCH=CHCH2-), 7.12–7.15 (6H, m, Tr-H), 7.25–7.32 (10H, m, Tr-H, py-H); 13C-NMR (150 MHz, CDCl3) δ 33.8, 68.8, 78.9, 119.5, 126.3, 127.28, 127.33, 127.5, 128.9, 130.0, 143.1, 145.9; HREIMS m/z calcd. for C26H22N2O [M]+ 378.1732, found 378.1736.
1-Benzyl-5,8-dihydro-1H-oxepino[3,2-c]pyrazole (6b): Oil; IR (film) vmax 1654 (C=C) cm−1; 1H-NMR (600 MHz, CDCl3) δ 3.38 (2H, m, ArCH2CH=), 4.45 (2H, dq, J = 5.5, 1.2 Hz, -OCH2CH=CHCH2-), 5.20 (2H, s, NCH2Ph), 5.80 (1H, m, -CH=CHCH2-), 6.28 (1H, m, -CH=CHCH2-), 7.06 (2H, br d, J = 7.3 Hz, Ph-H), 7.25 (1H, s, pyr-H), 7.26 (1H, br t, J = 7.3 Hz, Ph-H), 7.33 (1H, br t, J = 7.3 Hz, Ph-H); 13C-NMR (150 MHz, CDCl3) δ 25.9, 29.7, 53.9, 68.2, 126.6, 126.8, 127.7128.5, 128.8, 129.0, 136.9, 144.6; HREIMS m/z calcd. for C14H14N2O [M]+ 226.1106, found 226.1105.
1-Benzyl-7,8-dihydro-1H-oxepino[3,2-c]pyrazole (9b): Oil; IR (liquid film) vmax 1652 (C=C), 1583 (C=C) cm−1; 1H-NMR (600 MHz, CDCl3) δ 2.33 (2H, m, -=CHCH2CH2-), 2.75 (2H, m, -CH2CH2Ar), 4.85 (1H, dt, J = 7.4, 6.4 Hz, -CH=CHCH2-), 5.24 (2H, s, -CH2Ph), 6.30 (1H, dt, J = 7.4, 1.1 Hz, -OCH=CHCH2-), 7.25 (2H, br d, J = 7.7 Hz, Ph-H), 7.26 (1H, br t, J = 7.4 Hz, Ph-H), 7.27 (1H, s, pyr-H), 7.31 (2H, br t, J = 7.7 Hz, Ph-H); 13C-NMR (150 MHz, CDCl3) δ 23.2, 24.9, 54.1, 106.8, 126.4, 127.6, 128.1 128.4, 128.8, 137.2, 140.7, 143.3; HREIMS m/z calcd. for C14H15N2O [M + H]+ 227.1184, found 227.1182.
1-Benzyl-5,6-dihydro-1H-oxepino[3,2-c]pyrazole (10b): Oil; IR (liquid film) vmax 1564 (C=C), 1496 (C=C) cm−1; 1H-NMR (600 MHz, CDCl3) δ 2.67 (2H, m, -=CHCH2CH2-), 4.13 (2H, m, -CH2CH2O-), 5.30 (2H, br s, NCH2Ph), 5.80 (1H, dt, J = 11.1, 5.3 Hz, -CH=CHCH2-), 6.28 (1H, br d, J = 11.1 Hz, ArCH=CH-), 7.11 (2H, br d, J = 7.0 Hz, Ph-H), 7.22 (1H, d, J = 0.5 Hz, pyr-H), 7.26 (1H, br t, J = 7.0 Hz, Ph-H), 7.31 (2H, br t, J = 7.0 Hz, Ph-H); 13C-NMR (150 MHz, CDCl3) δ 34.2, 53.9, 68.5, 116.4, 126.5, 126.9, 127.6, 127.7, 128.7, 129.0, 137.2, 144.8; HREIMS m/z calcd. for C14H15N2O [M + H]+ 227.1184, found 227.1184.
5,8-Dihydro-1-toluenesulfonyl-1H-oxepino[3,2-c]pyrazole (6c): Oil; IR (liquid film) vmax 1595 (C=C) cm−1; 1H-NMR (400 MHz, CDCl3) δ 2.42 (3H, s, ArCH3), 3.93 (2H, m, -OCH2CH=), 4.42 (2H, d, J = 4.3 Hz, =CHCH2Ar), 5.94–5.95 (2H, m, -OCH2CH=CHCH2Ar, -OCH2CH=CHCH2Ar), 7.32 (2H, d, J = 8.0 Hz, Ph-H), 7.44 (1H, s, pyr-H), 7.81 (2H, d, J = 8.4 Hz, Ph-H); 13C-NMR (100 MHz, CDCl3) δ 21.7, 26.5, 67.7, 118.5, 127.6, 127.7, 128.4, 130.0, 134.7, 136.1, 137.5, 145.5; HREIMS m/z calcd. for C14H14N2O [M]+ 226.1106, found 226.1105.
7,8-Dihydro-1H-oxepino[3,2-c]-1-tolenesulfonylpyrazole (9c): Oil; IR (film) vmax 1579 (C=C), 1480 (C=C) cm−1; 1H-NMR (600 MHz, CDCl3) δ 2.39–2.43 (2H, m, =CHCH2CH2-), 2.42 (3H, s, CH3-Ar), 3.26–3.29 (2H, m, ArCH2CH2-), 5.06 ( 1H, q, J = 6.7 Hz, -CH=CHCH2-), 6.29 (1H, br d, J = 7.0 Hz, -OCH=CH-), 7.31 (2H, br d, J = 8.0 Hz, Ph-H), 7.48 (1H, s, pyr-H), 7.69 (2H, br d, J = 8.0 Hz, Ph-H); 13C-NMR (150 MHz, CDCl3) δ 21.7, 33.8, 68.8, 116.9, 127.7, 128.7, 129.8, 130.1, 131.7, 134.7, 136.7, 145.3, 146.5; HREIMS m/z calcd. for C14H15N2O3S [M]+ 290.0725, found 290.0725.
5,6-Dihydro-1-toluenesulfonyl-1H-oxepino[3,2-c]pyrazole (10c): Oil; IR (film) vmax 1579 (C=C), 1480 (C=C) cm−1; 1H-NMR (600 MHz, CDCl3) δ 2.41 (3H, s, CH3-Ar), 2.66–2.70 (2H, m, =CHCH2CH2-), 4.09–4.13 (2H, m, -OCH2CH2-), 6.05 (1H, dt, J = 9.8, 5.3 Hz, -CH=CHCH2-), 7.24 (1H, br d, J = 10.0 Hz, ArCH=CH-), 7.30 (2H, br d, J = 8.2 Hz, Ph-H), 7.44 (1H, d, J = 0.6 Hz, pyr-H), 7.80 (2H, br d, J = 8.2 Hz, Ph-H); 13C-NMR (150 MHz, CDCl3) δ 21.7, 33.8, 68.8, 116.9, 127.7, 128.7, 129.8, 130.1, 131.7, 134.7, 136.7, 145.3, 146.5; HREIMS m/z calcd. for C14H15N2O3S [M]+ 290.0725, found 290.0724.
1-n-Butyl-5,8-dihydro-1H-oxepino[3,2-c]pyrazole (6d): Oil; IR (film) vmax 1658 (C=C) cm−1; 1H-NMR (400 MHz, CDCl3) δ 0.91 (3H, t, J = 7.4 Hz, CH3CH2-), 1.30 (2H, sext, J = 7.4 Hz, CH3CH2CH2-), 1.273 (2H, quint, J = 7.4 Hz, -CH2CH2CH2N-), 3.48–3.50 (2H, m, =CHCH2Ar), 3.90 (2H, t, J = 7.4 Hz, -NCH2CH2-), 4.40–4.44 (2H, m, -OCH2CH), 5.82–5.91 (2H, m, 2 × -CH=CH-), 7.14 (1H, s, pyrazole-H); 13C-NMR (100 MHz, CDCl3) δ 13.7, 19.8, 25.7, 32.2, 49.4, 68.2, 125.9, 126.3, 128.3, 128.7, 143.9; HREIMS m/z calcd. for C11H16N2O [M]+ 192.1263, found 192.1264. * Compound 6d is so unstable to isomerize at room temperature in a couple of days.
Inseparable mixture of 1-n-butyl-7,8-dihydro-1H-oxepino[3,2-c] pyrazole (9d) and 1-n-butyl-5,6-dihydro-1H-oxepino[3,2-c]pyrazole (10d): Oil; IR (film) vmax 1654 (C=C), 1565 (C=C), 1492 (C=C) cm−1; HREIMS m/z calcd. for C26H23N2O [M]+ 192.1263, found 192.1262; 9d: 1H-NMR (600 MHz, CDCl3) δ 1.26 (3H, t, J = 7.3 Hz, CH3CH2-), 1.70–1.78 (2H, m, -CH2CH2N-), 2.42–2.46 (2H, m, =CHCH2CH2-), 2.87–2.90 (2H, m, ArCH2CH2-), 3.98 (2H, t, J = 7.3 Hz, -NCH2CH2-), 4.89 (2H, br q. J = 7.3 Hz, -OCH=CHCH2-), 6.31 (1H, d, J = 7.3 Hz, -OCH=CH-), 7.19 (1H, s, pyrazole-H); 13C-NMR (150 MHz, CDCl3) δ 14.2, 19.1, 23.4, 24.9, 43.3, 60.4, 106.6, 126.5, 127.6, 143.4, 144.4; 10d: 1H-NMR (600 MHz, CDCl3) δ 0.93 (3H, t, J = 7.6 Hz, CH3CH2-), 1.11–1.38 (2H, m, CH3CH2CH2-), 1.70–1.78 (2H, m, -CH2CH2N-), 2.70 (2H, dddd, J = 9.1, 5.3, 1.4 Hz, =CHCH2CH2-), 4.05 (2H, t, J = 7.3 Hz, -NCH2CH2-), 4.13 ( 2H, br dd, J = 4.6, 4.4 Hz, -OCH2CH2-), 5.87 (1H, dt, J = 11.2, 5.5 Hz, -CH2CH=CH-), 6.35 (1H, dd, J =11.2, 0.9 Hz, ArCH=CH-), 7.14 (1H, s, pyrazole-H); 13C-NMR (150 MHz, CDCl3) δ 13.7, 19.9, 32,5, 34.2, 49.7, 68.5, 116.3, 126.8, 128.5, 143.4, 144.4.
1-Benzyl-5,8-dihydro-8-methyl-1H-oxepino[3,2-c]pyrazole (6h): Oil; IR (film) vmax 1583 (C=C), 1496 (C=C), 1456 (C=C) cm−1; 1H-NMR (400 MHz, CDCl3) δ 1.21 (3H, d, J = 7.0 Hz, 8-Me), 3.41 (1H, br quint, J = 6.8 Hz, ArCH (CH3)CH=), 4.36 (1H, dd, J = 15.3, 1.9 Hz, -OCHHCH=), 4.50 (1H, dd, J = 15.3, 5.7 Hz, -OCHHCH=), 5.19 (1H, d, J = 6.3 Hz, -NCHHPh), 5.24 (1H, d, J = 6.3 Hz, -NCHHPh), 5.67 (1H, br dt, J = 12.0, 5.0 Hz, -CH=CHCH2-), 5.77 (1H, dd, J = 12.0, 6.4 Hz, -CH=CHCH-), 7.07 (2H, br d, J = 7.4 Hz, Ph-H), 7.23-7.33 (4H, m, Ph-H, pyr-H); 13C-NMR (100 MHz, CDCl3) δ 21.9, 31.6, 53.5, 68.3, 126.5, 126.7, 127.6, 128.7, 129.4, 131.6, 133.4, 137.1, 142.7; HREIMS m/z calcd. for C15H16N2O [M]+ 240.1263, found 240.1264.
1-Benzyl-7,8-dihydro-8-methyl-1H-oxepino[3,2-c]pyrazole (9h): Oil; IR (liquid film) vmax 1654 (C=C), 1578 (C=C) cm−1; 1H-NMR (600 MHz, CDCl3) δ 1.15 (3H, d, J = 7.3 Hz, 8-CH3), 2.03 (1H, ddd, J = 15.0, 8.8, 3.5 Hz, =CHCHHCH-), 2.54 (1H, ddd, J = 15.3, 6.4, 2.9 Hz, -=CHCHHCH-), 3.14–3.1 (1H, m, -CH2CH(CH3)Ar), 4.71 (1H, dddd, J = 7.4, 6.4 Hz, -CH=CHCH2-), 5.22 (1H, d, J = 16.2 Hz, ArCHHPh), 5.29 (1H, d, J =15.9 Hz, ArCHHPh), 6.29 (1H, dd, J = 7.3, 2.6 Hz, -OCH=CH-), 7.05 (2H, br d, J = 7.0 Hz, Ph-H), 7.24–7.327 (4H, s, Ph-H, pyr-H); 13C-NMR (150 MHz, CDCl3) δ 20.9, 30.4, 30.7, 53.9, 103.2, 126.4, 127.6, 128.5, 128.7, 132.7, 137.6, 139.9, 142.2; HREIMS m/z calcd. for C15H16N2O [M]+ 240.1263, found 240.1267.
1-Benzyl-5,6-dihydro-8-methyl-1H-oxepino[3,2-c]pyrazole (10h): Oil; IR (liquid film) vmax 1551 (C=C), 1496 (C=C) cm−1; 1H-NMR (600 MHz, CDCl3) δ 2.05 (3H, q, J = 1.2 Hz, 8-CH3), 2.40–2.44 (2H, m, -CH2CH2CH=), 4.13 (2H, br dd, J = 6.6, 4.8 Hz, -CH2CH2O-), 5.45 (2H, br s, NCH2Ph), 5.77 (1H, tq, J = 6.4, 1.2 Hz, -C(CH3)=CHCH2-), 6.95 (2H, br d, J = 7.1 Hz, Ph-H), 7.21–7.31 (3H, m, Ph-H), 7.30 (1H, s, pyr-H); 13C-NMR (150 MHz, CDCl3) δ 22.2, 30.3, 56.2, 73.8, 125.8, 126.4, 126.5, 127.3, 128.6, 129.7, 129.8, 138.2, 143.5; HREIMS m/z calcd. for C15H16N2O [M]+ 240.1263, found 240.1267.
1-Benzyl-5,8-dihydro-8-phenyl-1H-oxepino[3,2-c]pyrazole (6j): Oil; IR (film) vmax 1585 (C=C), 1495 (C=C), 1455 (C=C) cm−1; 1H-NMR (400 MHz, CDCl3) δ(400 MHz, CDCl3) δ 4.41 (1H, ddt, J = 15.0, 4.1, 1.5 Hz, -OCHHCH=), 4.51 (1H, d, J = 4.9 Hz, ArCHPhCH=), 4.52 (1H, br dd, J = 15.0, 5.6 Hz, -OCHHCH=), 4.80 (1H, d, J = 16.0 Hz, NCHHPh), 5.13 (1H, d, J = 16.0 Hz, NCHHPh), 5.70 (1H, dddd, J = 12.0, 5.1, 3.5, 0.8 Hz, -OCH2CH=CH-), 5.79 (1H, br dd, J = 12.0, 6.0 Hz, -CH=CHCHPh), 6.92 (2H, br d, J = 8.0 Hz, Ph-H), 7.12–7.39 (8H, m, Ph-H), 7.32 (1H, s, pyr-H); 13C-NMR (100 MHz, CDCl3) δ 43.6, 53.8, 68.2, 126.3, 126.5, 127.1, 127.5, 127.6, 128.7, 128.7, 129.4, 129.9, 131.0, 136.7, 141.2, 144.5; HREIMS m/z calcd. for C20H18N2O [M]+ 302.1419, found 302.1412.
1-Benzyl-7,8-dihydro-8-phenyl-1H-oxepino[3,2-c]pyrazole (9j): Oil; IR (liquid film) vmax 1653 (C=C), 1577 (C=C), 1559 (C=C) cm−1; 1H-NMR (400 MHz, CDCl3) δ 2.33 (1H, ddd, J = 14.2, 9.2, 4.1 Hz, -CHCHHCH=), 2.78–2.84 (1H, m, -CHCHHCH=), 4.25 (1H, br t, J = 3.9 Hz, ArCH(Ph)CH2-), 4.67 (1H, ddd, J = 8.8, 6.9, 4.9 Hz, -OCH=CHCH2-), 4.75 (1H, d, J = 16.0 Hz, NCHHPh), 5.15 (1H, d, J = 16.0 Hz, NCHHPh), 6.43 (1H, dd, J = 6.7, 2.2 Hz, -OCH=CH-), 6.93 (2H, br d, J = 5.7 Hz, Ph-H), 7.07 (2H, br d, J = 6.5 Hz, Ph-H), 7.20–7.39 (6H, m, Ph-H), 7.39 (1H, s, pyr-H); HREIMS m/z calcd. for C20H18N2O [M]+ 302.1419, found 302.1415. 13C-NMR spectrum of 9j could not be measured due to poor amount of the material.
5,8-Dihydro-2H-2-trityloxepino[3,2-c]pyrazole (7a); White powder (CH2Cl2); m.p. 42–48 °C; IR (film) vmax 1670 (C=C), 1494 (C=C), 1446 (C=C) cm−1; 1H-NMR (600 MHz, CDCl3) δ 3.60 (2H, m, =CHCH2Ar), 4.47 (2H, m, 4.7 Hz, -OCH2CH=), 5.80 (1H, m, -CH=CHCH2Ar), 6.00 (1H, m, -OCH2CH=CH-), 6.98 (1H, s, py-H), 7.14–7.18 (6H, m, Tr-H), 7.27–7.34 (9H, m, Tr-H); 13C-NMR (150 MHz, CDCl3) δ 27.8, 68.6, 78.6, 121.5, 127.1, 127.56, 127.62, 129.5, 130.1, 140.1, 142.6, 143.3; HREIMS m/z calcd. for C26H22N2O [M]+ 378.1732, found 378.1730.
7,8-Dihydro-2H-2-trityloxepino[3,2-c]pyrazole (11a): Colorless crystals (CH2Cl2/hexane); m.p. 120–123 °C; IR (KBr) vmax 1650 (C=C), 1506 (C=C), 1492 (C=C), 1445 (C=C) cm−1; 1H-NMR (600 MHz, CDCl3) δ 2.39 (2H, m, -=CHCH2CH2-), 2.97 (2H, m, ArCH2CH2-), 4.80 (1H, dt, J = 7.8, 5.9 Hz, -CH=CHCH2-), 6.21 (1H, br dt, J = 7.8, 1.5 Hz, -OCH=CHCH2-), 7.01 (1H, s, py-H), 7.04–7.08 (6H, m, Tr-H), 7.28–7.31 (9H, m, Tr-H); 13C-NMR (150 MHz, CDCl3) δ 24.8, 27.8, 78.2, 106.1, 121.3, 127.61, 127.64, 130.2, 139.8, 141.4, 142.0, 143.2; HREIMS m/z calcd. for C26H22N2O [M]+ 379.1732, found 378.1730.
5,6-Dihydro-2H-2-trityloxepino[3,2-c]pyrazole (12a): Colorless crystals (CH2Cl2/hexane); m.p. 147–151 °C; IR (KBr) vmax 1565 (C=C), 1492 (C=C), 1445 (C=C) cm−1; 1H-NMR (600 MHz, CDCl3) δ 2.67 (2H, m, =CHCH2CH2-), 4.14 (2H, br t, J = 4.7 Hz, -OCH2CH2-), 5.88 (1H, dt, J = 11.2, 5.0 Hz, -CH=CHCH2-), 6.54 (1H, br d, J = 11.2 Hz, ArCH=CHCH2-), 6.95 (1H, d, J = 0.6 Hz, py-H), 7.15–7.19 (6H, m, Tr-H), 7.27–7.30 (9H, m, Tr-H); 13C-NMR (150 MHz, CDCl3) δ 34.1, 69.6, 78.5, 120.3, 123.1, 127.61, 127.65, 128.4, 130.2, 140.1, 142.8, 143.2; HREIMS m/z calcd. for C26H22N2O [M]+ 378.1732, found 378.1728.
5,8-Dihydro-2H-2-toluenesulfonyloxepino[3,2-c]pyrazole (7c): Oil; IR (film) vmax 1670 (C=C), 1494 (C=C), 1446 (C=C) cm−1; 1H-NMR (CDCl3) δ 2.42 (3H, s, Ar-CH3), 3.56 (2H, dq, J = 5.3, 1.8 Hz, =CHCH2Ar), 4.48 (2H, dq, J = 5.3, 1.2 Hz, =CHCH2O-), 5.80 (1H, dtt, J = 10.3, 5.3, 1.8 Hz, -CH=CHCH2Ar), 5.97 (1H, dtt, J = 10.3, 5.0, 1.2 Hz, -OCH2CH=CH-), 7.30 (2H, br d, J = 8.6 Hz, Ar-H), 7.66 (1H, s, py-H), 7.84 (2H, br d, J = 8.2 Hz, Ar-H); 13C-NMR (CDCl3) δ 21.7, 27.2, 68.1, 118.4, 127.3, 127.9, 128.6, 129.9, 134.3, 145.5, 145.8, 148.2; HREIMS m/z calcd. for C14H14N2O3S [M]+ 290.0725, found 290.0723.
Dihydro-2H-2-toluenesulfonyloxepino[3,2-c]pyrazole (11c): White power; m.p. 98–102 °C; IR (KBr) vmax 1657 (C=C), 1589 (C=C) cm−1; 1H-NMR (CDCl3) δ2.31–2.34 (2H, m, -CH2CH2CH2-), 2.42 (3H, s, Ar-CH3), 2.93–2.96 (2H, m, -CH2CH2Ar), 4.84 (1H, dt, J = 7.6, 5.9 Hz, -CH=CHCH2-), 6.20 (1H, dt, J = 7.6, 1.5 Hz, -CH=CHAr), 7.33 (2H, br d, J = 8.5 Hz, Ar-H), 7.72 (1H, s, py-H), 7.85 (2H, br d, J = 8.5 Hz, Ar-H); 13C-NMR (100 Hz, CDCl3) δ 21.7, 23.6, 27.8, 106.7, 118.2, 128.0, 130.0, 134.1, 141.6, 143.3, 145.6, 149.4; HREIMS m/z calcd. for C14H14N2O3S [M]+ 290.0725, found 290.0722.
5,6-Dihydro-2H-2-toluenesulfonyloxepino[3,2-c]pyrazole (12c): White power; m.p. 114–117 °C; IR (KBr) vmax 1587 (C=C), 1481 (C=C) cm−1; 1H-NMR (CDCl3) δ 2.41 (3H, s, Ar-CH3), 2.64–2.68 (2H, m, -CH2CH2CH2-), 4.11 (2H, br t, J = 14.7 Hz, -CH2CH2O-), 6.10 (1H, dt, J = 11.4, 5.0 Hz, -CH=CHCH2-), 6.51 (1H, br d, J = 11.4, Hz, ArCH=CH-), 7.31 (2H, br d, J = 8.2 Hz, Ar-H), 7.63 (1H, d, J = 0.8 Hz, py-H), 7.85 (2H, br d, J = 8.2 Hz, Ar-H); 13C-NMR (CDCl3) δ 21.7, 33.9, 69.8, 117.1, 121.7, 128.0, 129.9, 128.6, 129.9, 133.7, 145.2, 147.6; HREIMS m/z calcd. for C14H14N2O3S [M]+ 290.0725, found 290.0725.
3.6. Double-Bond Migration of 5,8-Dihydro-1H-1-trityloxepino[3,2-c]pyrazole (6a) Catalyzed by Ruthenium Hydride Species
To a CH2Cl2 solution (4 mL) of 6a (9.6 mg, 0.025 mmol) in a MW vial (2–5 mL), RuClH(CO)(PPh3)3 (2.6 mg, 0.0027 mmol) was added. The vial was sealed and heated under MW irradiation at 140 °C for 10 min. The cooled reaction mixture was evaporated under reduced pressure. The residue was purified by preparative TLC (eluent: hexane/EtOAc = 10:1 v/v), affording 9a (4.3 mg, 45%) and 10a (1.2 mg, 13%).
4. Conclusions
A new method was developed for constructing a heterocyclic system, dihydro-1H- or 2H-oxepino[3,2-c]pyrazoles, from 4-hydroxy-1H-pyrazoles via Claisen rearrangement and RCM as the key steps. The 2nd generation Grubbs catalyst was proved to be a suitable catalyst for the RCM. The RCM reactions of 3- or 5-allyl-4-allyloxy-1H-pyrazoles at room temperature gave the normal RCM products in good yields. However, the RCM reactions under MW irradiation at a high temperature afforded the RCM products with double-bond rearrangement. The method described in this study provides diverse dihydrooxepino[3,2-c]pyrazoles depending on the reaction conditions. Using a similar strategy with RCM, syntheses of novel pyrazole-fused heterocycles are ongoing. Bioactivities, such as COX-inhibition or glycosidase inhibition, of synthesized compounds might be evaluated in our following studies.
Acknowledgments
The authors are grateful to K. Minoura and M. Fujitake of OUPS, and H. Ichikawa of Nihon University for NMR and Mass Spectra measurements, and useful advice, respectively. In addition, M. Takakuwa, M. Ohno, R. Nishigaki, K. Kawakami, K. Hashimoto, and A. Chiba of our laboratory are appreciated for experimental supports. We would like to thank Editage (www.editage.jp) for English language editing.
Author Contributions
Y.U. conceived and designed the experiments; A.K. and Y.U. performed the experiments; Y.U., H.Y. and S.H. wrote the paper.
Conflicts of Interest
The authors declare no conflict of interest.
References
- Ansari, A.; Ali, A.; Asif, M.; Shamsuzzaman. Review: Biologically active pyrazole derivatives. New J. Chem. 2017, 41, 16–41. [Google Scholar] [CrossRef]
- Küçükgüzel, Ş.G.; Şenkardeş, S. Recent advances in bioactive pyrazoles. Eur. J. Med. Chem. 2015, 97, 786–815. [Google Scholar] [CrossRef] [PubMed]
- Li, J.J. (Ed.) Pyrazoles, pyrazolones, and indazoles. In Heterocyclic Chemistry in Drug Discovery; Wiley-VCH: Weinheim, Germany, 2013; pp. 198–229. ISBN 978-1-118-14890-7. [Google Scholar]
- Schmidt, A.; Dreger, A. Recent Advances in the Chemistry of Pyrazoles. Properties, Biological Activities, and Syntheses. Curr. Org. Chem. 2011, 15, 1423–1463. [Google Scholar] [CrossRef]
- Keri, R.S.; Chand, K.; Ramakrishnappa, T.; Nagaraja, B.M. Recent Progress on Pyrazole Scaffold-Based Antimycobacterial Agents. Arch. Pharm. 2015, 348, 299–314. [Google Scholar] [CrossRef] [PubMed]
- Elgurero, J.; Silva, A.M.S.; Tome, A.C. Five-Membered Heterocycles: 1,2-Azoles. Part 1. Pyrazoles. In Modern Heterocyclic Chemistry; Alvarez-Builla, J., Vaquero, J.J., Barluenga, J., Eds.; Wiley-VCH: Weinheim, Germany, 2011; Volume 2, pp. 635–725. [Google Scholar] [CrossRef]
- Fustero, S.; Simon-Fuentes, A.; Sanz-Cervera, J.F. Recent Advances in the Synthesis of Pyrazoles. A Review. Org. Prep. Procd. Int. 2009, 41, 253–290. [Google Scholar] [CrossRef]
- Fustero, S.; Sanchez-Rosello, M.; Barrio, P.; Simon-Fuentes, A. From 2000 to Mid-2010: A Fruitful Decade for the Synthesis of Pyrazoles. Chem. Rev. 2011, 111, 6984–7034. [Google Scholar] [CrossRef] [PubMed]
- Ichikawa, H.; Ohno, Y.; Usami, Y.; Arimoto, M. Synthesis of 4-Arylpyrazoles via PdCl2(dppf)-Catalyzed Cross Coupling Reaction with Grignard Reagents. Heterocycles 2006, 68, 2247–2252. [Google Scholar] [CrossRef]
- Ichikawa, H.; Nishioka, M.; Arimoto, M.; Usami, Y. Synthesis of 4-Aryl-1H-pyrazoles by Suzuki–Miyaura Cross Coupling Reaction between 4-Bromo-1H-1-tritylpyrazole and Arylboronic Acids. Heterocycles 2010, 81, 1509–1516. [Google Scholar] [CrossRef]
- Usami, Y.; Ichikawa, H.; Harusawa, S. Heck–Mizoroki Reaction of 4-Iodo-1H-pyrazoles. Heterocycles 2011, 83, 827–835. [Google Scholar] [CrossRef]
- Ichikawa, H.; Ohfune, H.; Usami, Y. Microwave-Assisted Selective Synthesis of 2H-Indazoles via Double Sonogashira Coupling of 3,4-Diiodopyrazoles and Bergman–Masamune Cycloaromatization. Heterocycles 2010, 81, 1651–1659. [Google Scholar] [CrossRef]
- Ichikawa, H.; Watanabe, R.; Fujino, Y.; Usami, Y. Divergent synthesis of withasomnines via synthesis of 4-hydroxy-1H-pyrazoles and Claisen rearrangement of their 4-O-allylethers. Tetrahedron Lett. 2011, 52, 4448–4451. [Google Scholar] [CrossRef]
- Usami, Y.; Watanabe, R.; Fujino, Y.; Shibano, M.; Ishida, C.; Yoneyama, H.; Harusawa, S.; Ichikawa, H. Divergent Synthesis and Evaluation of Inhibitory Activities against Cyclooxygenases-1 and -2 of Natural Withasomnines and Analogues. Chem. Pharm. Bull. 2012, 60, 1550–1560. [Google Scholar] [CrossRef] [PubMed]
- Li, M.; Zhao, B.-X. Progress of the synthesis of condensed pyrazole derivatives (from 2010 to mid-2013). Eur. J. Med. Chem. 2014, 85, 311–340. [Google Scholar] [CrossRef] [PubMed]
- Goldstein, I.; Lue, T.F.; Padma-Nathan, H.; Rosen, R.C.; Steers, W.D.; Wicker, P.A.; for the Sildenafil Study Group. Oral sildenafil in the treatment of erectile dysfunction. N. Eng. J. Med. 1998, 338, 1397–1404. [Google Scholar] [CrossRef] [PubMed]
- Suvarna, A.S. A Review on Synthetic Heterocyclic Compounds in Agricultural and other Applications. Int. J. PharmTech Res. 2015, 8, 170–179. [Google Scholar]
- Löber, S.; Hübner, H.; Gmeiner, P. Azaindole derivatives with high affinity for the dopamine D4 receptor: Synthesis, ligand binding studies and comparison of molecular electrostatic potential maps. Bioorg. Med. Chem. Lett. 1999, 9, 97–102. [Google Scholar] [CrossRef]
- Sawyer, J.S.; Beight, D.W.; Britt, K.S.; Anderson, B.D.; Campbell, R.M.; Goodson, T., Jr.; Herron, D.K.; Li, H.-Y.; McMillen, W.T.; Mort, N.; et al. Synthesis and activity of new aryl- and heteroaryl-substituted 5,6-dihydro-4H-pyrrolo[1,2-b]pyrazole inhibitors of the transforming growth factor-β I receptor kinase domain. Bioorg. Med. Chem. Lett. 2004, 14, 3581–3584. [Google Scholar] [CrossRef]
- Mousseau, J.J.; Bull, J.A.; Ladd, C.L.; Fortier, A.; Roman, D.S.; Charette, A.B. Synthesis of 2- and 2,3-Substituted Pyrazolo[1,5-a]pyridines: Scope and Mechanistic Considerations of a Domino Direct Alkynylation and Cyclization of N-Iminopyridinium Ylides Using Alkenyl Bromides, Alkenyl Iodides, and Alkynes. J. Org. Chem. 2011, 76, 8243–8261. [Google Scholar] [CrossRef] [PubMed]
- Chen, Z.; Wu, J. Efficient Generation of Biologically Active H-Pyrazolo[5,1-a]isoquinolines via Multicomponent Reaction. Org. Lett. 2010, 12, 4856–4859. [Google Scholar] [CrossRef] [PubMed]
- Dow, R.L.; Carpino, P.A.; Hadcock, J.R.; Black, S.C.; Iredale, P.A.; Da, S.-J.P.; Schneider, S.R.; Paight, E.S.; Griffith, D.A.; Scott, D.O.; et al. Discovery of 2-(2-Chlorophenyl)-3-(4-chlorophenyl)-7-(2,2-difluoropropyl)-6,7-dihydro-2H-pyrazolo[3,4-f][1,4]oxazepin-8(5H)-one (PF-514273), a Novel, Bicyclic Lactam-Based Cannabinoid-1 Receptor Antagonist for the Treatment of Obesity. J. Med. Chem. 2009, 52, 2652–2655. [Google Scholar] [CrossRef] [PubMed]
- Dow, R.L.; Carpino, P.A.; Gautreau, D.; Hadcock, J.R.; Iredale, P.A.; Kelly-Sullivan, D.; Lizano, J.S.; O’Connor, R.E.; Schneider, S.R.; Scott, D.O.; et al. Design of a Potent CB1 Receptor Antagonist Series: Potential Scaffold for Peripherally-Targeted Agents. ACS Med. Chem. Lett. 2012, 3, 397–401. [Google Scholar] [CrossRef] [PubMed]
- Kotha, S.; Krishna, N.G.; Halder, S.; Misra, S.A. Synergistic approach to polycyclics via a strategic utilization of Claisen rearrangement and olefin metathesis. Org. Biomol. Chem. 2011, 9, 5597–5624. [Google Scholar] [CrossRef] [PubMed]
- Grubbs, R.H. (Ed.) Handbook of Metathesis; Wiley-VCH: Weinheim, Germany, 2003; Volume 1–3. [Google Scholar]
- Grubbs, R.H. Olefin-Metathesis Catalysts for the Preparation of Molecules and Materials (Nobel Lecture 2005). Adv. Synth. Catal. 2007, 349, 34–40. [Google Scholar] [CrossRef]
- Phillips, A.J.; Abel, A.D. Ring-Closing Metathesis of Nitrogen-Containing Compounds: Applications to Heterocycles, Alkaloids, and Peptidomimetics. Aldrichim. Acta 1999, 32, 75–90. [Google Scholar] [CrossRef]
- Fustero, S.; Roman, R.; Asensio, A.; Maestro, M.A.; Acena, J.L.; Simon-Fuentes, A. An approach to 2,4-substituted pyrazolo[1,5-a]pyridines and pyrazolo[1,5-a]azepines by ring-closing metathesis. Eur. J. Org. Chem. 2013, 2013, 7164–7174. [Google Scholar] [CrossRef]
- Scholl, M.; Ding, S.; Lee, C.W.; Grubbs, R.H. Synthesis and Activity of a New Generation of Ruthenium-Based Olefin Metathesis Catalysts Coordinated with 1,3-Dimesityl-4,5-dihydroimidazol-2-ylidene Ligands. Org. Lett. 1999, 1, 953–956. [Google Scholar] [CrossRef] [PubMed]
- Schrodi, Y.; Pederson, R.L. Evolution and Applications of Second-Generation Ruthenium Olefin Metathesis Catalysts. Aldrichim. Acta 2007, 40, 45–52. [Google Scholar]
- Wakamatsu, H.; Nishida, M.; Adachi, N.; Mori, M. Isomerization Reaction of Olefin Using RuClH(CO)(PPh3)3. J. Org. Chem. 2000, 63, 3966–3970. [Google Scholar] [CrossRef]
- Edlin, C.D.; Frankner, J.; Fengas, D.; Knight, C.K.; Parker, J.; Preece, I.; Quayle, P.; Richard, S.N. A Comment on the Gurjar Mechanism for Alkene Isomerization Using the Grubbs Olefin Metathesis Catalysts. Synlett 2005, 2005, 572–576. [Google Scholar] [CrossRef]
- Courchay, F.C.; Sworen, J.C.; Ghiviriga, I.; Abboud, K.A.; Wagener, K.B. Understanding Structural Isomerization during Ruthenium-Catalyzed Olefin Metathesis: A Deuterium Labeling Study. Organometallics 2006, 25, 6074–6086. [Google Scholar] [CrossRef]
- De Bo, G.; Markó, I.E. Studies towards the Synthesis of Pentalenene: Mechanistic Insights into the Isomerization Phenomenon during RCM of Medium-Sized Rings. Eur. J. Org. Chem. 2011, 2011, 1859–1869. [Google Scholar] [CrossRef]
Sample Availability: Samples of the compounds are not available from the authors. |
© 2018 by the authors. Licensee MDPI, Basel, Switzerland. This article is an open access article distributed under the terms and conditions of the Creative Commons Attribution (CC BY) license (http://creativecommons.org/licenses/by/4.0/).



