Abstract
Bioactivity-guided fractionation for the stems of leaves of Larrea nitida Cav., using interleukin-6 (IL-6) inhibitory assay in human mast cells (HMC-1), led to the isolation of three new compounds with an unprecedented skeleton in nature (1–3) and three known compounds (4–6). Their structures were elucidated through extensive spectroscopic analysis. The three new compounds were elucidated as two new spiroketones, nitidaones A (1), and B (2) and one new biphenyl analog, nitidaol (3). The known compounds were identified as nordihydroguaiaretic acid (4), 7,3′,4′-tri-O-methylquercetin (5) and ayanin (6). All the isolates were tested for their inhibitory activity against IL-6 production in HMC-1 cells. Of them, compounds 1, 3–6 showed potent anti-inflammatory activity, with IC50 values of 12.8, 17.5, 14.9, 22.9, and 17.8 µM, respectively.
1. Introduction
The genus Larrea (Zygophyllaceae) has been used for ethnobotanical purposes by the native peoples of northwest, central, and southeast Argentina. This genus comprises five species seen in North and South America: L. ameghinoi Speg., L. nitida Cav., L. divaricata Cav., L. mexicana Moric., and L. tridentata (DC.) Coville [1,2]. Phytochemical studies on the genus Larrea reported the occurrence of flavonoids, lignans, naphthoquinones, saponins, and tannins [3,4]. These plants have been used for the treatment of cancer, inflammation, and menstrual pains [5,6,7]. Previous phytochemical investigations on L. nitida have reported the presence of flavonoids and lignans [8,9]. The biological activities of its extracts or individual ingredients included antifungal activity associated with Argentinean Andean propolis, antioxidant activity, and estrogenic activity [8,9,10]. As a part of our search for IL-6 production inhibitors from higher plants [11,12,13], L. nitida was selected for further isolation work due to IL-6 production inhibitory activity in the initial screening. Herein, the structural elucidation of three new compounds along with three known compounds and their IL-6 production inhibitory activity are described.
2. Results and Discussion
Air-dried stems and leaves of L. nitida (52 g) were extracted with MeOH, and the extract was subjected to bioactivity-guided isolation using diverse chromatography to afford two new spiroketones (1, 2), one new biphenyl analog (3), and three known compounds. The known compounds were identified as nordihydroguaiaretic acid [14] (4), 7,3′,4′-tri-O-methylquercetin [15] (5), and ayanin [16] (6).
Compound 1 was obtained as an amorphous solid, and its molecular formula was deduced as C21H26O4 by the protonated ion peak [M + H]+ at m/z 343.1918 (calcd. for C21H27O4, m/z 343.1909). The 1H NMR disclosed the presence of a para-substituted benzene ring at δH 7.28 (2H, d, J = 9.0 Hz, H-2′,6′), and 6.89 (2H, d, J = 9.0 Hz, H-3′,5′), four olefinic protons at δH 7.19 (1H, dd, J = 10.0, 3.0 Hz, H-3), 7.10 (1H, dd, J = 10.0, 3.0 Hz, H-5), 6.32 (1H, dd, J = 10.0, 1.9 Hz, H-6) and 6.29 (1H, dd, J = 10.0, 1.9 Hz, H-2), an acetyl group at δH 2.00 (3H, s, OCOCH3), and a methoxy group at δH 3.76 (3H, s, OCH3) (Table 1).
Table 1.
The 1H and 13C NMR data of compounds 1 and 2 in methanol-d4.
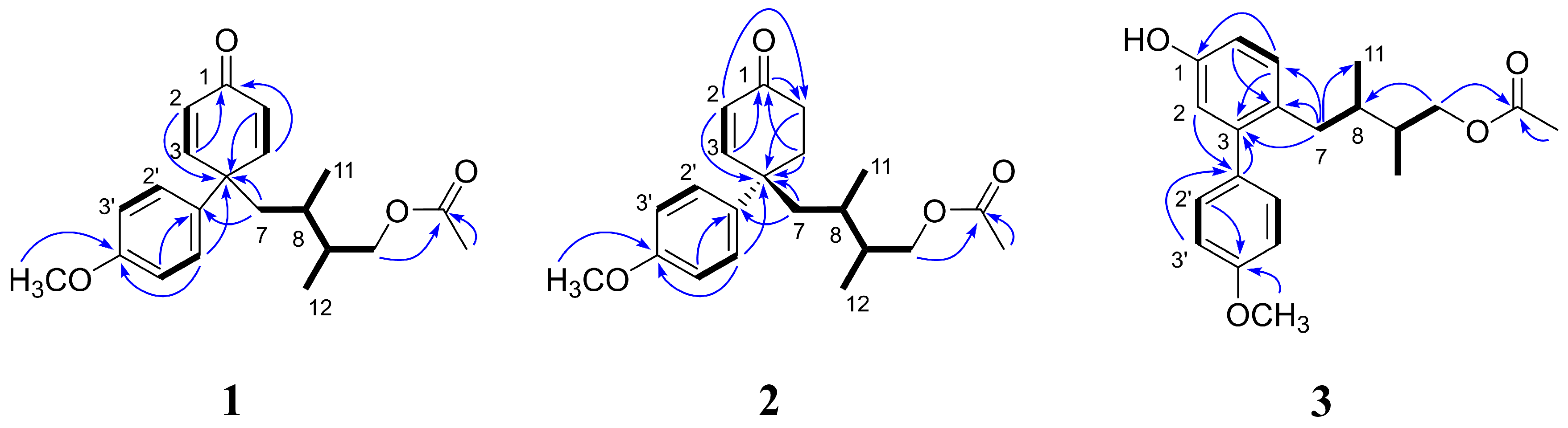
From the HMBC NMR spectrum, the correlations between both H-3 and H-5 and the carbonyl carbon at δc 188.6 (C-1) and between both H-2 and H-6 and the quaternary carbon at δc 50.5 (C-4) suggested a quinoid-type skeleton. The 4-methoxyphenyl group was suggested by the HMBC correlations between one quaternary aromatic carbon at δc 133.4 (C-1′) and H-3′,5′ and between another quaternary aromatic carbon at δc 160.6 (C-4′) and both methoxy protons (δH 3.76) and two aromatic protons (H-2′,6′). A 2,3-dimethylbutoxy group was confirmed by the 1H and COSY NMR signals at δH 4.03 (1H, dd, J = 11.1, 6.9 Hz, H-10a), 3.85 (1H, dd, J = 11.1, 6.8 Hz, H-10b), 2.29 (1H, dd, J = 13.9, 2.4 Hz, H-7a), 1.95 (1H, dd, J = 13.9, 7.6 Hz, H-7b), 1.77 (1H, m, H-9), 1.45 (1H, m, H-8), 0.93 (3H, d, J = 7.0 Hz, H-11) and 0.89 (3H, d, J = 7.0 Hz, H-12). The COSY NMR spectrum showed correlations between H-11 and H-8, between H-12 and H-9 and sequential correlations from H-7 to H-10.
The link between these groups was confirmed by the HMBC correlations (Figure 1). The correlations between 4-methoxyphenyl protons (H-2′,6′) and C-4 (δC 50.5) and between protons (H-7a and 7b) on a 2,3-dimethylbutoxy group and both C-4 and C-1′ enabled us to put these groups together via a spiral carbon at C-4, as depicted in Figure 1. The acetyl group was affixed to C-10 from the observed correlations between δC 173.1 and both H-10 and methyl protons (δH 2.00). Therefore, the structure of compound 1 was determined to be 4-(1-(4-methoxyphenyl)-4-oxocyclohexa-2,5-dienyl)-2,3-dimethylbutyl acetate, named nitidaone A.
Figure 1.
Key 1H, 1H-COSY (bold line) and HMBC (blue arrow) correlations of compounds 1–3.
A protonated molecular ion [M + H]+ at m/z 345.2069 (calcd. for C21H29O4, 345.2066) of compound 2 suggested its molecular formula as C21H28O4. The 1H NMR data of 2 (Table 1) were similar to those of 1 except for the absence of two olefinic protons. Instead of olefinic protons, methylene signals at δH 2.40–2.29 (2H) and δH 2.24–2.14 (2H) were observed in the spectrum of 2, assignable to H-5 and H-6. Furthermore, the HMBC correlations of H-7 with C-4 (δC 44.7) and C-1′ (δC 137.0) and H-2′,6′ with C-4 confirmed its spiral skeleton (Figure 1). Taken together with all data, this compound was elucidated as 4-(1-(4-methoxyphenyl)-4-oxocyclohex-2-enyl)-2,3-dimethylbutyl acetate, named nitidaone B.
It has been reported that 2-cyclohexenones empirically give a negative Cotton effect (n→π*) in the 340 nm region if the ring has a half-chair conformation with a pseudo-axial disposition of an aryl group (Figure 2a) [17]. From a negative Cotton effect at 339 nm in the CD spectrum of 2, it was affirmed that the cyclohexenone ring of this compound prefers the half-chair conformation with a pseudo-axial aromatic group at room temperature (Figure 2b). Therefore, the absolute configuration of C-4 was established to be R.
Figure 2.
2-Cyclohexenone conformations: (a) Half-chair conformation with a pseudo-axial aromatic group giving a negative Cotton effect at 340 nm; (b) half-chair conformation with a pseudo-axial aromatic group of (4R)-2; (c) negative exciton-split Cotton effect of (4R)-2.
The exciton splitting theory supported its R configuration. From the UV and CD spectrum, the negative exciton-split Cotton effect at 220 nm was observed due to the π→π* intramolecular charge-transfer transition of a 4-methoxyphenyl chromophore and a 2-cyclohexenone chromophore [18,19]. The negative exciton-split Cotton effect indicated that the two electric transition moments of these chromophores were rotated in a counterclockwise direction, as shown in Figure 2c.
The 1H and COSY NMR data of compound 3 displayed an 1,2,4-substituted benzene ring at δH 7.01 (1H, d, J = 8.3 Hz, H-5), 6.67 (1H, dd, J = 8.3, 2.7 Hz, H-6) and 6.58 (1H, d, J = 2.7 Hz, H-2), an 1,4-disubstituted benzene ring at δH 7.16 (2H, d, J = 8.8 Hz, H-2′,6′) and 6.92 (2H, d, J = 8.8 Hz, H-3′,5′) and a 2,3-dimethylbutoxy group at δH 3.66 (2H, m, H-10), 2.78 (1H, dd, J = 13.6, 4.9 Hz, H-7a), 2.19 (1H, dd, J = 13.6, 9.7 Hz, H-7b), 1.55 (1H, m, H-9), 1.47 (1H, m, H-8), 0.74 (3H, d, J = 6.9 Hz, H-12), and 0.65 (3H, d, J = 6.9 Hz, H-11). Also, a methoxy group at δH 3.82 (3H, s, OCH3) and an acetyl group at δH 1.95 (3H, s, OCOCH3) was observed (Table 2).
Table 2.
The 1H and 13C NMR data of compound 3 in methanol-d4
From the HMBC NMR spectrum, the correlations between H-2 and two quaternary aromatic carbons at δc 156.4 (C-1) and 144.5 (C-3) and between H-6 and another quaternary carbon at δc 131.1 (C-4) confirmed a 1-hydroxy-3,4-disubstituted benzene ring. The 4-methoxyphenyl group was suggested by the HMBC correlations between one quaternary aromatic carbon at δc 136.0 (C-1′) and H-3′,5′ and between the other quaternary aromatic carbon at δc 160.2 (C-4′) and both methoxy protons (δH 3.82) and two aromatic protons (H-2′,6′). A 2,3-dimethylbutoxy group was assigned by the sequential COSY correlations from H-7 to H-11 and from H-10 to H-12 and the HMBC correlation between H-10 and C-8 (δC 37.8). The link of these substructures was confirmed by the observed HMBC correlations (Figure 1). The HMBC signals between H-2 and C-1′ and between H-2′,6′ and C-3 indicated that C-3 was connected to C-1′. The HMBC correlations between H-7 and C-3, C-4 and C-5 enabled to connect a 2,3-dimethylbutoxy group to C-4 position. The correlations of δC 173.1 with both H-10 and a methyl proton (δH 1.95) made it possible to link the acetyl group to C-10 position through an ester linkage (Figure 1). Therefore, the structure of this compound was determined to be 4-(5-hydroxy-4′-methoxybiphenyl-2-yl)-2,3-dimethylbutyl acetate, named nitidaol, as shown in Figure 1.
All the isolates were tested against IL-6 production inhibitory activity in the HMC-1 cells induced by PMA + A23187. Of these, compounds 1 and 3–6 were found to be active with IC50 12.8, 17.5, 14.9, 22.9 and 17.8 µM, respectively (positive control, IC50 of montelukast, 8.7 µM), while compound 2 seemed inactive (IC50 > 25 µM).
3. Materials and Methods
3.1. General Experimental Procedures
Optical rotation was measured with a Jasco P2000 polarimeter (Jasco Corporation, Tokyo, Japan), and FT-IR spectra using a Jasco FT/IR-4200 (Jasco corporation, Japan). ECD and UV spectra were recorded with an Applied Photophysics Chirascan-plus CD spectrometer. 1H, 13C and 2D NMR spectra were obtained on a Varian 400 (Varian, Palo Alto, CA, USA)-400MHz. Waters Xevo G2 Q-TOF, (Waters, Milford, MA, USA) spectra were measured on a Q-TOF mass spectrometer. Semi-preparative high-performance liquid chromatography (HPLC) was performed on a Gilson 321 pump, Gilson 172 Diode Array Detector (Gilson, Middleton, WI, USA). YMC-pack Ph, 250 × 20 mm (YMC, Tokyo, Japan) and Luna 5u C18 column 250 × 10 nm (Phenomenex) as HPLC columns were used. MPLC was run on Isolera One (Biotage, Cardiff, UK). Solvents for HPLC were acetonitrile (MeCN) (HPLC grade) and methanol (HPLC grade), purchased from SK Chemical (Seoul, Korea). Water was purified using a MIlli-Q system (Millipore, Bedford, MA, USA). Column chromatography was performed on C-18 RP silica gel (Cosmosil, Kyoto, Japan) and Sephadex LH-20 (GE Healthcare, Stockholm, Sweden). TLC analysis was run on silica gel 60 F254 plates (Marck, Darmstadt, Germany). The spots were visualized by spraying with 10% aqueous H2SO4.
3.2. Plant Material
The stems and leaves of L. nitida Cav. were collected at Jarilla, Chile in 2007 and identified by Dr. Joongku Lee, Korea Research Institute of Bioscience and Biotechnology. A voucher specimen (access number FBM026-052) was deposited in the herbarium of the Korea Research Institute of Bioscience and Biotechnology, Daejeon, Republic of Korea.
3.3. Extraction and Isolation
Air-dried stems and leaves of L. nitida (52 g) were pulverized and extracted with MeOH to yield the crude extract (14 g). A portion of this extract (12 g) was subjected to a reverse-phase silica gel column chromatography eluting with a gradient of H2O–MeOH (90:10–0:100) to give 17 sub-fractions (LN01-17). Of these sub-fractions, LN 8 and 11 were found to inhibit IL-6 production (over 50% inhibition at 20 µg/mL) in HMC-1 cells stimulated by PMA + A23187 (Figure S6). LC8 (1 g) was fractionated into 14 sub-fractions using a reversed phase silica gel column chromatography with a gradient mixture of MeOH–H2O (25:75 to 100:0).
Further HPLC separation for LC8-9 (Phenomenex Luna C18, MeCN 40%) yielded nordihydroguiaretic acid (6.8 mg, tR 38.04 min). LN11 (1.2 g) was further fractionated by medium-pressure liquid chromatography (Biotage), eluted with a gradient mixture of MeOH–H2O = 40:60–100:0), and then pooled into 16 sub-fractions (LN11-1 to LN11-16). Compound 1 (14.5 mg, tR 84.73 min) was separated from LN11-10 (106 mg) using HPLC separation (Phenomenex Luna C18 250 × 10, 5 μm, 2 mL/min, 45% MeCN in H2O). LN11-12 (249 mg) was separated using an HPLC column (Phenomenex Luna C18 250 × 10, 5 μm, 2 mL/min) eluted with a gradient solvent system [45% in H2O (1 to 56 min), 55% in H2O (56.01 to 71 min), 80% in H2O (71.01 to 78 min), 100% MeCN (78.01 to 85 min)] to yield 3′,4′,7-trimethylquercetin (1.7 mg, tR 54.15 min), 3,7,3′-trimethylquercetin (1.6 mg, tR = 55.98 min), and 2 (5.1 mg, tR 78.00 min). From LN11-13 (118 mg), compound 3 (5.0 mg, tR = 28.58 min) was purified using sequentially connected two columns [Luna C18 (250 × 10, 5 μm) + YMC-packed ODS-AM (150 × 10, 2 mL/min, 5 μm)] with isocratic elution of 70% MeCN in H2O.
- Nitidaone A (1): white amorphous solid; −42.1° (c 0.5, MeOH); UV (MeOH) λmax (log ε) 256 (3.60), 272 (3.41) nm; 1H and 13C NMR data, see Table 1; HRESIMS m/z 343.1918 [M + H]+ (calcd. for C21H26O4, 343.1909).
- Nitidaone B (2): white amorphous solid; −53.9° (c 0.1, MeOH); UV (MeOH) λmax (log ε) 208 (3.79), 212 (3.82) nm; CD (MeOH) λmax (Δε) 208 (−0.05), 216 (0.08), 233 (−0.30), 339 (−0.04); 1H and 13C NMR data, see Table 1; HRESIMS m/z 345.2069 [M + H]+ (calcd. for C21H28O4, 345.2066).
- Nitidaol (3): white amorphous solid; −4.94° (c 0.2, MeOH); UV (MeOH) λmax (log ε) 257 (3.63), 281 (3.60) nm; 1H and 13C NMR data, see Table 2; HRESIMS m/z 343.1913 [M + H]+ (calcd. for C21H26O4, 343.1909).
3.4. Interleukin-6 Determination
Cells were seeded at 1 × 106/mL per well in 24-well tissue culture plates and pretreated with the indicated concentration of compounds for 30 min before stimulation by PMA (50 nM) + A23187 (1 µM). After 24 h, the supernatant was decanted into a new micro-centrifuge tube, and the amount of interleukin-6 (IL-6) was determined using an enzyme-linked immunosorbent assay (ELISA) kit according to the procedures described by the manufacturer (BD Biosciences, San Jose, CA, USA). All subsequent steps took place at room temperature, and all standards and samples were assayed in duplicate [13].
4. Conclusions
Two new spiroketones (1, 2) and one new biphenyl analog (3), together with three known compounds, were isolated from the stems and leaves of L. nitida. Three new compounds (1–3) have unprecedented skeletons in nature. The absolute configuration of C-4 (compound 2) was demonstrated by ECD analysis, but that of C-8 and C-9 (compounds 1–3) could not be identified. All the isolates were tested against IL-6 production inhibitory activity in the HMC-1 cells induced by PMA+A23187. It was found that nitidaone A (1), nitidaol (3), nordihydroguaiaretic acid (4), 7,3′,4′-trimethylquercetin (5), and 3,7,3′-trimethylquercetin (6) remarkably downregulated the PMA+A23187-induced synthesis of interleukin-6 (IL-6) in HMC-1 cells without cytotoxicity.
Supplementary Materials
The supplementary materials are available online.
Acknowledgments
This work was supported by the Procurement and Development of Biological Resources fund (2011-00404) of the Ministry of Education, Science, and Technology of the Korean government, and the National Research Foundation of Korea (NRF), also funded by the Korean government (MSIT) (2017R1D1A1A02018536, S.H. Joo, NRF-2015R1A2A2A01006736, Y.-W. Chin).
Author Contributions
Young-Won Chin conceived and designed the experiments; Yihua Pei, Jongmin Ahn, Young-Mi Kim, Hee-Sung Chae and Joongku Lee performed the experiments; Jongmin Ahn, Young-Won Chin and Jinwoong Kim analyzed the data; Seong-Hwan Kim, Young Hee Choi, Minsun Chang, Yun Seon Song, Roberto Rodriguez, Dong-Chan Oh, Sangho Choi and Sang Hoon Joo contributed reagents/materials/analysis tools; Jongmin Ahn and Young-Won Chin wrote the paper.
Conflicts of Interest
The authors declare no conflict of interest.
References
- Lia, V.; Comas, C.I.; Cortés, M.C.; Hunziker, J.H. Isozyme variation in Larrea ameghinoi and Larrea nitida (Zygophyllaceae): Genetic diversity and its bearing on their relationship. Genetica 1999, 106, 197–207. [Google Scholar] [CrossRef] [PubMed]
- Lia, V.V.; Confalonieri, V.A.; Comas, C.I.; Hunziker, J.H. Molecular Phylogeny of Larrea and Its Allies (Zygophyllaceae): Reticulate Evolution and the Probable Time of Creosote Bush Arrival to North America. Mol. Phylogenet. Evol. 2001, 21, 309–320. [Google Scholar] [CrossRef] [PubMed]
- Hunziker, J.H.; Palacios, R.A.; De Valesi, A.G.; Poggio, L. Species disjunctions in Larrea: Evidence from morphology, cytogenetics, phenolic compounds, and seed albumins. Ann. Mo. Bot. Gard. 1972, 59, 224–233. [Google Scholar] [CrossRef]
- Sakakibara, M.; Difeo, D.; Nakatani, N.; Timmermann, B.; Mabry, T.J. Flavonoid methyl ethers on the external leaf surface of Larrea tridentata and L. Divaricata. Phytochemistry 1976, 15, 727–731. [Google Scholar] [CrossRef]
- Abou-Gazar, H.; Bedir, E.; Takamatsu, S.; Ferreira, D.; Khan, I.A. Antioxidant lignans from Larrea tridentata. Phytochemistry 2004, 65, 2499–2505. [Google Scholar] [CrossRef] [PubMed]
- Leonforte, J.F. Contact dermatitis from Larrea (creosote bush). J. Am. Acad. Dermatol. 1986, 14, 202–207. [Google Scholar] [CrossRef]
- Agüero, M.B.; Svetaz, L.; Baroni, V.; Lima, B.; Luna, L.; Zacchino, S.; Saavedra, P.; Wunderlin, D.; Feresin, G.E.; Tapia, A. Urban propolis from San Juan province (Argentina): Ethnopharmacological uses and antifungal activity against Candida and dermatophytes. Ind. Crops Prod. 2014, 57, 166–173. [Google Scholar] [CrossRef]
- Agüero, M.B.; Svetaz, L.; Sánchez, M.; Luna, L.; Lima, B.; López, M.L.; Zacchino, S.; Palermo, J.; Wunderlin, D.; Feresin, G.E.; et al. Argentinean Andean propolis associated with the medicinal plant Larrea nitida Cav. (Zygophyllaceae). HPLC-MS and GC-MS characterization and antifungal activity. Food Chem. Toxicol. 2011, 49, 1970–1978. [Google Scholar] [CrossRef] [PubMed]
- Torres, R.; Urbina, F.; Morales, C.; Modak, B.; Monache, F.D. Antioxidant properties of lignans and rerulic acid from the resinous exudate of Larrea nitida. J. Chil. Chem. Soc. 2003, 48. [Google Scholar] [CrossRef]
- Ahn, H.-N.; Jeong, S.-Y.; Bae, G.-U.; Chang, M.; Zhang, D.; Liu, X.; Pei, Y.; Chin, Y.-W.; Lee, J.; Oh, S.-R.; et al. Selective estrogen receptor modulation by Larrea nitida on MCF-7 cell proliferation and immature rat uterus. Biomol. Ther. 2014, 22, 347–354. [Google Scholar] [CrossRef] [PubMed]
- Pel, P.; Kim, Y.-M.; Chin, Y.-W. Chemical Constituents with Anti-allergic Activity from the Barks of Cinnamomum cambodianum Collected in Cambodia. Bull. Korean Chem. Soc. 2015, 36, 384–387. [Google Scholar] [CrossRef]
- Quan, G.-H.; Chae, H.-S.; Song, H.H.; Ahn, K.-S.; Lee, H.-K.; Kim, Y.-H.; Oh, S.-R.; Chin, Y.-W. Anti-allergic flavones from Arthraxon hispidus. Chem. Pharm. Bull. (Tokyo) 2013, 61, 920–926. [Google Scholar] [CrossRef] [PubMed]
- Kim, Y.-M.; Chae, H.-S.; Lee, E.J.; Yang, M.H.; Park, J.H.; Yoon, K.D.; Kim, J.; Ahn, H.C.; Choi, Y.H.; Chin, Y.-W. A Citrus flavonoid, 6-demethoxytangeretin, suppresses production and gene expression of interleukin-6 in Human Mast Cell-1 via anaplastic lymphoma kinase and mitogen-activated protein kinase pathways. Biol. Pharm. Bull. 2014, 37, 871–876. [Google Scholar] [CrossRef] [PubMed]
- Yokosuka, A.; Matsuo, Y.; Jitsuno, M.; Adachi, K.; Mimaki, Y. Larrealignans A and B, novel lignan glycosides from the aerial parts of Larrea tridentata. Chem. Pharm. Bull. (Tokyo) 2011, 59, 1467–1470. [Google Scholar] [CrossRef] [PubMed]
- Hu, H.; Zhang, X.; Wu, Y. Antitumor activity of stilbenoids and flavonoids isolated from Acanthopanax brachypus. Russ. J. Gen. Chem. 2014, 84, 1434–1441. [Google Scholar] [CrossRef]
- Matsuda, H.; Morikawa, T.; Toguchida, I.; Yoshikawa, M. Structural requirements of flavonoids and related compounds for aldose reductase inhibitory activity. Chem. Pharm. Bull. (Tokyo) 2002, 50, 788–795. [Google Scholar] [CrossRef] [PubMed]
- Nieuwenhuis, J.J.; Strelow, F.; Strauss, H.F.; Wiechers, A. (4R)-(−)-O-Methyljoubertiamine and O-methyldihydrojoubertiamine, two minor alkaloids from Sceletium subvelutium L. Bolus. J. Chem. Soc. Perkin Trans. 1 1981, 284–286. [Google Scholar] [CrossRef]
- Dauben, W.G.; Shaffer, G.W.; Vietmeyer, N.D. Alkyl-substitution effects in the photochemistry of 2-cyclohexenones. J. Org. Chem. 1968, 33, 4060–4069. [Google Scholar] [CrossRef]
- Pavia, D.L.; Lampman, G.M.; Kriz, G.S.; Vyvyan, J.R. Introduction to Spectroscopy, 4th ed.; Brooks Cole: Belmont, CA, USA, 2009; pp. 387–408, ISBN-13 978-0-495-11478-9. [Google Scholar]
Sample Availability: Not available. |
© 2018 by the authors. Licensee MDPI, Basel, Switzerland. This article is an open access article distributed under the terms and conditions of the Creative Commons Attribution (CC BY) license (http://creativecommons.org/licenses/by/4.0/).

