Photochemical Reactions in Dialdehyde Starch
Abstract
1. Introduction
2. Results and Discussion
2.1. Structure and Morphology of Native Starch
2.1.1. SEM Analysis
2.1.2. ATR-FTIR
2.2. Characterization of Oxidized Starch
2.2.1. Determination of the Aldehyde Group Content (ALD, %)
2.2.2. SEM Analysis
2.2.3. ATR-FTIR Analysis and 1H-NMR Analysis
2.3. Effect of UV-Irradiation
2.3.1. Irradiated Native Starch
2.3.2. Irradiated Dialdehyde Starch
2.3.3. SEM Images of Irradiated Dialdehyde Starch
2.4. Surface Properties
2.4.1. Surface Properties of the Native Starch
2.4.2. Surface Properties of the Irradiated Native Starch
2.4.3. Surface Properties of the Dialdehyde Starch
2.4.4. Surface Properties of Irradiated Dialdehyde Starch
2.5. XRD Analysis
2.5.1. XRD Analysis of the Native Starch
2.5.2. XRD Analysis of the Dialdehyde Starch
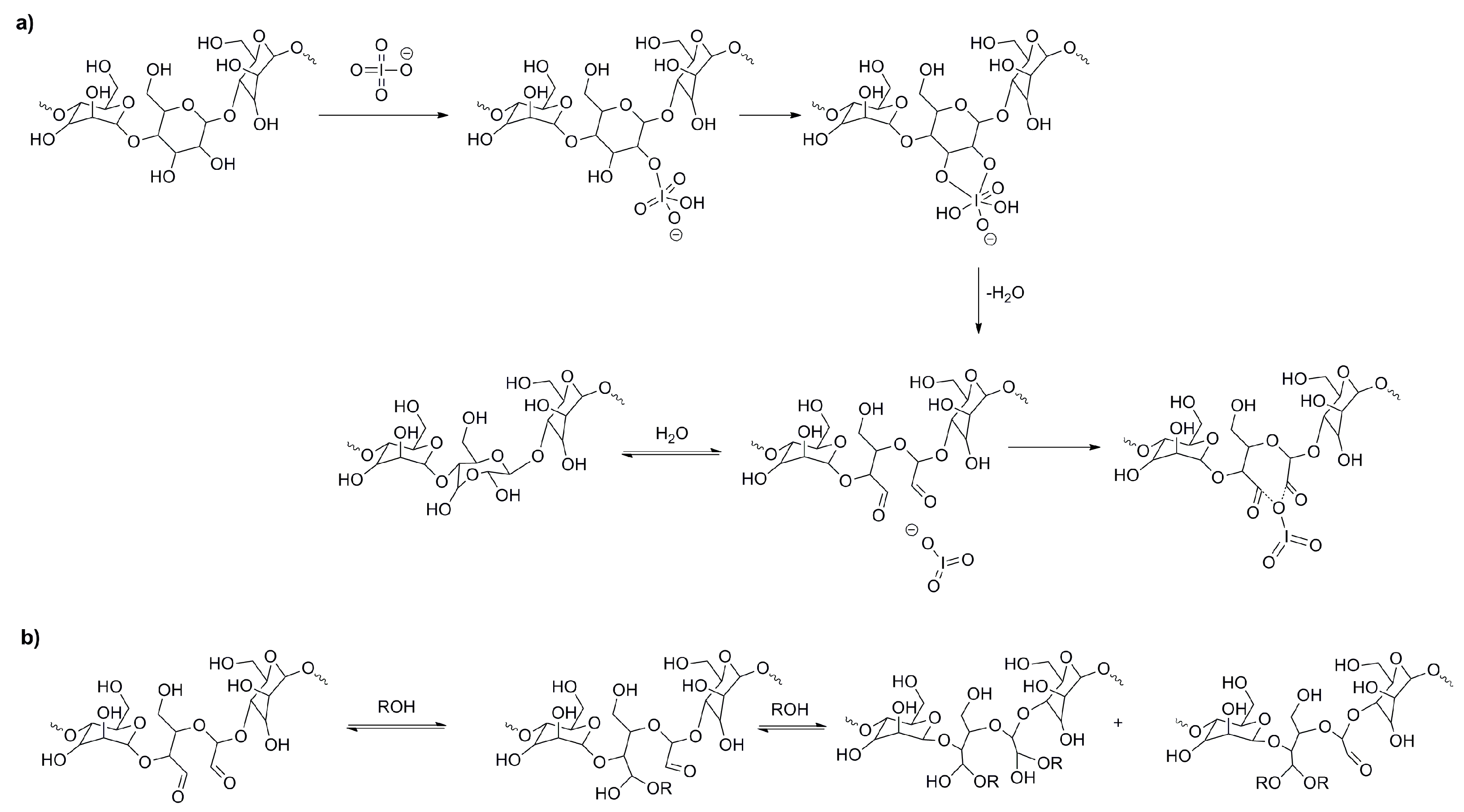
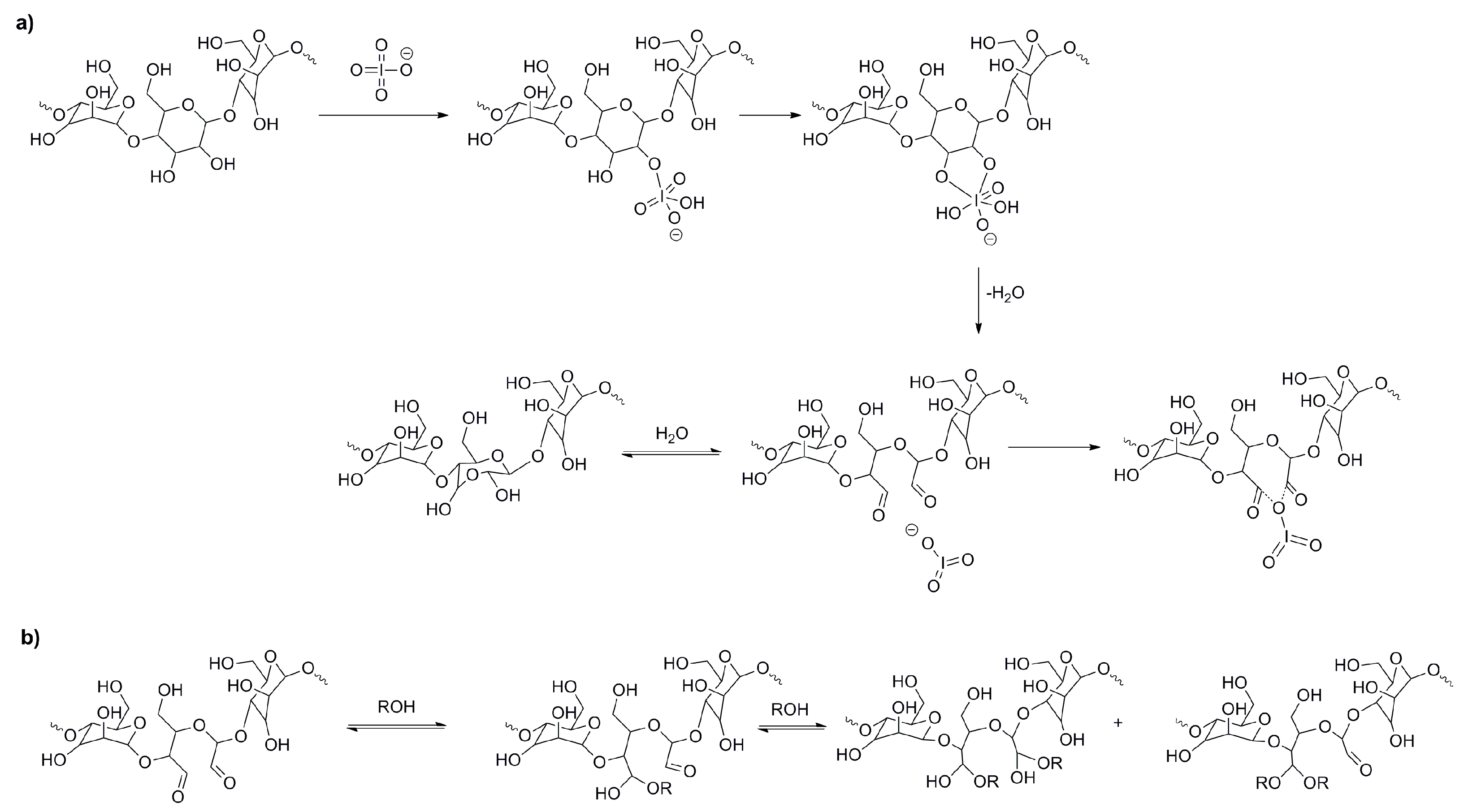
2.6. Photooxidative Degradation Mechanism of the Dialdehyde Starch
3. Materials and Methods
3.1. Materials
3.2. Dialdehyde Starch Preparation
3.3. Determination of the Content of Aldehyde Groups (ALD, %)
3.4. Preparation of DAS Films
- CST—native corn starch
- PST—native potato starch
- DAS-C1–5—a sample of corn starch oxidized at different reagent ratio CST: SP
- DAS-P1–5—a sample of potato starch oxidized at different reagent ratio (PST: SP), in particular, a subscript 1, 2, 3, 4, and 5 means PST:SP = 1:0.5, 1:0.7, 1:0.9, 1:1, and 1:1.1, respectively.
3.5. Conditions of UV-Irradiation
3.6. Characterization of DAS
3.6.1. Attenuated Total Reflectance Fourier Transform Infrared (ATR-FTIR)
3.6.2. Scanning Electron Microscopy (SEM)
3.6.3. Contact Angle and Surface Free Energy
3.6.4. X-ray Diffraction (XRD) Measurement
4. Conclusions
Author Contributions
Funding
Conflicts of Interest
References
- BeMiller, J.; Whistler, R. Starch: Chemistry and Technology, 3rd ed.; Elsevier Academic Press: Burlington, VT, USA, 2009. [Google Scholar]
- Corre, D.L.; Bras, J.; Dufresne, A. Starch Nanoparticles: A Review. Biomacromolecules 2010, 11, 1139–1153. [Google Scholar] [CrossRef]
- Moad, G. Chemical modification of starch by reactive extrusion. Prog. Polym. Sci. 2011, 36, 218–237. [Google Scholar] [CrossRef]
- Singh, A.V.; Nath, L.; Singh, A. Pharmaceutical, food and non-food applications of modified starches: A critical review. Electron. J. Environ. Agric. Food Chem. 2010, 9, 1214–1221. [Google Scholar]
- Xie, F.; Pollet, E.; Halley, P.J.; Avérous, L. Starch-based nano-biocomposite. Prog. Polym. Sci. 2013, 38, 1590–1628. [Google Scholar] [CrossRef]
- Sagnelli, D.; Kirkensgaard, J.J.K.; Giosafatto, C.V.L.; Ogrodowicz, N.; Kruczała, K.; Mikkelsen, M.S.; Maigret, J.-E.; Lourdin, D.; Mortensen, K.; Blennow, A. All-natural bio-plastcs using starch-betaglucan composites. Carbohydr. Polym. 2017, 172, 237–245. [Google Scholar] [CrossRef] [PubMed]
- Mariniello, L.; Giosafatto, C.V.L.; Di Pierro, P.; Sorrentino, A.; Porta, R. Swelling, Mechanical and Barrier Properties of Albedo-Based Films in the Presence of Phaseolin Cross-Linked or Not by Transglutaminase. Biomacromolecules 2010, 11, 2394–2398. [Google Scholar] [CrossRef]
- Sagnelli, D.; Hooshmand, K.; Kemmer, G.C.; Kirkensgaard, J.J.K.; Mortensen, K.; Giosafatto, C.V.L.; Holse, M.; Hebelstrup, K.H.; Bao, J.; Stelte, W.; et al. Cross-Linked Amylose Bio-Plastic: A Transgenic-Based Compostable Plastic Alternative. Int. J. Mol. Sci. 2017, 18, 2075. [Google Scholar] [CrossRef] [PubMed]
- Fiedorowicz, M.; Para, A. Structural and molecular properties of dialdehyde starch. Carbohydr. Polym. 2006, 63, 360–366. [Google Scholar] [CrossRef]
- Yu, J.; Chang, P.R.; Ma, X. The preparation and properties of dialdehyde starch and thermoplastic dialdehyde starch. Carbohydr. Polym. 2010, 79, 296–300. [Google Scholar] [CrossRef]
- Conway, H.F.; Sohns, V.E. Pilot-Plant Electrolytic Cell for Producing Dialdehyde Starch. Ind. Eng. Chem. 1959, 51, 637–638. [Google Scholar] [CrossRef]
- Mehltretter, C.L. Recent Progress in Dialdehyde Starch Technology. Starch 1966, 18, 208–213. [Google Scholar] [CrossRef]
- Skopinska-Wisniewska, J.; Wegrzynowska-Drzymalska, K.; Bajek, A.; Maj, M.; Sionkowska, A. Is dialdehyde starch a valuable cross-linking agent for collagen/elastin based materials? J. Mater. Sci. Mater. Med. 2016, 27, 67. [Google Scholar] [CrossRef] [PubMed]
- Veelaert, S.; de Wit, D.; Goltieb, K.F.; Verhe, R. The gelation of dialdehyde starch. Carbohydr. Polym. 1997, 32, 131–139. [Google Scholar] [CrossRef]
- Kamoun, E.A. N-succinyl chitosan–dialdehyde starch hybrid hydrogels for biomedical applications. J. Adv. Res. 2016, 7, 69–77. [Google Scholar] [CrossRef] [PubMed]
- Song, L.; Cruz, C.; Farrah, S.R.; Baney, R.H. Novel antivirial activity of dialdehyde starch. Electron. J. Biotechnol. 2009, 12, 1–5. [Google Scholar] [CrossRef]
- Song, L.; Farrah, S.R.; Baney, R.H. Bacterial Inactivation Kinetics of Dialdehyde Starch Aqueous Suspension. Polymers 2011, 3, 1902–1910. [Google Scholar] [CrossRef]
- Tang, R.; Du, Y.; Fan, L. Dialdehyde starch-crosslinked chitosan films and their antimicrobial effects. J. Polym. Sci. Part. B Polym. Phys. 2003, 41, 993–997. [Google Scholar] [CrossRef]
- Bhat, R.; Karim, A.A. Impact of Radiation Processing on Starch. Compr. Rev. Food Sci. Food Saf. 2009, 8, 44–58. [Google Scholar] [CrossRef]
- Bajer, D.; Kaczmarek, H.; Bajer, K. The structure and properties of different types of starch exposed to UV radiation: A comparative study. Carbohydr. Polym. 2013, 98, 477–482. [Google Scholar] [CrossRef]
- Kizil, R.; Irudayaraj, J.; Seetharaman, K. Characterization of Irradiated Starches by Using FT-Raman and FTIR Spectroscopy. J. Agric. Food Chem. 2002, 50, 3912–3918. [Google Scholar] [CrossRef] [PubMed]
- Vanier, N.L.; El Halal, S.L.M.; Dias, A.R.G.; Zaverze, E.R. Molecular structure, functionality and applications of oxidized starches: A review. Food Chem. 2017, 221, 1546–1559. [Google Scholar] [CrossRef] [PubMed]
- Kuakpetoon, D.; Wang, Y.J. Characterization of different starches oxidized by hypochlorite. Starch 2001, 53, 211–218. [Google Scholar] [CrossRef]
- McMurry, J.C. Organic Chemistry, 8th ed.; Cengage Learning: Boston, MA, USA, 2011. [Google Scholar]
- Guthrie, R.D. The “dialdehydes” from the periodate oxidation of carbohydrates. Adv. Carbohydr. Chem. 1961, 16, 105–158. [Google Scholar]
- He, G.J.; Liu, Q.; Thompson, M.R. Characterization of structure and properties of thermoplastic potato starch film surface cross-linked by UV irradiation. Starch 2013, 65, 304–311. [Google Scholar] [CrossRef]
- Atrous, H.; Benbettaieb, N.; Hosni, F.; Danthine, S.; Blecker, C.; Attia, H.; Ghorbel, D. Effect of gamma-radiation on free radicals formation, structural changes and functional properties of wheat starch. Int. J. Biol. Macromol. 2015, 80, 64–76. [Google Scholar] [CrossRef] [PubMed]
- Bertolini, A.C.; Mestres, C.; Colonna, P.; Raffi, J. Free radical formation in UV- and gamma-irradiated cassava starch. Carbohydr. Polym. 2001, 44, 269–271. [Google Scholar] [CrossRef]
- Dyrek, K.; Szymońska, J.; Wenda, E.; Bidzińska, E.; Walczak, M. Characterization of free radicals mechanically and thermally induced in potato starch. Starch 2013, 65, 653–659. [Google Scholar] [CrossRef]
- Pople, J.A.; Gordon, M. Molecular orbital theory of the electronic structure of organic compounds. I. Substituent effects and dipole moments. J. Am. Chem. Soc. 1967, 89, 4253–4261. [Google Scholar] [CrossRef]
- Ahmed, J.; Tiwari, B.K.; Imam, S.H.; Rao, M.A. Starch-Based Polymeric Materials and Nanocomposites: Chemistry, Processing, and Applications; CRC Press Taylor & Francis Group: Boca Raton, FL, USA, 2012. [Google Scholar]
- Kim, K.S.; Ryu, C.M.; Park, C.S.; Sur, G.S.; Park, C.E. Investigation of crystallinity effects on the surface of oxygen plasma treated low density polyethylene using X-ray photoelectron spectroscopy. Polymer 2003, 44, 6287–6295. [Google Scholar] [CrossRef]
- Żenkiewicz, M. Adhezja i Modyfikowanie Warstwy Wierzchniej Tworzyw Wielkocząsteczkowych; Wydawnictwo Naukowo Techniczne: Warszawa, Poland, 2000. (In Polish) [Google Scholar]
- Kano, Y.; Inoue, M.; Akiba, I.; Akiyama, S.; Sano, H.; Fujita, Y. Effect of substrate on gradient domain morphology formed in acrylate copolymer/fluoro–copolymer blends. Polymer 1998, 39, 6747–6754. [Google Scholar] [CrossRef]
- Schmidt, J.J.; Gardella, J.A., Jr.; Salvati, L., Jr. Surface studies of polymer blends. 2. An ESCA and IR study of poly(methyl methacrylate)/poly(vinyl chloride) homopolymer blends. Macromolecules 1989, 22, 4489–4495. [Google Scholar] [CrossRef]
- Perez, S.; Bertoft, E. The molecular structures of starch components and their contribution to the architecture of starch granules: A comprehensive review. Starch 2010, 62, 389–420. [Google Scholar] [CrossRef]
- Kong, L.; Lee, C.; Kim, S.H.; Ziegler, G.R. Characterization of Starch Polymorphic Structures Using Vibrational Sum Frequency Generation Spectroscopy. J. Phys. Chem. B 2014, 118, 1775–1783. [Google Scholar] [CrossRef]
- Wongsagon, R.; Shobsngob, S.; Varavinit, S. Preparation and Physicochemical Properties of Dialdehyde Tapioca Starch. Starch 2005, 57, 166–172. [Google Scholar] [CrossRef]
- Chauhan, K.; Kaur, J.; Kumari, A.; Kumari, A.; Chauhan, G.S. Efficient method of starch functionalization to bis-quaternary structure unit. Int. J. Biol. Macromol. 2015, 80, 498–505. [Google Scholar] [CrossRef] [PubMed]
- Alcazar-Alay, S.C.; Meireleis, M.A.A. Physicochemical properties, modifications and applications of starches from different botanical sources. Food Sci. Technol. Campinas. 2015, 35, 215–236. [Google Scholar] [CrossRef]
- Bertolini, A.C.; Mestres, C.; Raffi, J.; Buleon, A.; Lerner, D.; Colonna, P. Photodegradation of cassva and corn starches. J. Agric. Food Chem. 2001, 49, 675–682. [Google Scholar] [CrossRef] [PubMed]
- Fiedorowicz, M.; Lii, C.Y.; Tomasik, P. Physicochemical properties of potato starch illuminated with visible polarised light. Carbohydr. Polym. 2002, 50, 57–62. [Google Scholar] [CrossRef]
- Fiedorowicz, M.; Tomasik, P.; Lii, C.Y. Degradation of starch by polarised light. Carbohydr. Polym. 2001, 45, 79–87. [Google Scholar] [CrossRef]
- Para, A.; Konieczna-Molenda, A. Starch dialdehyde from potato starch illuminated with linearly polarized visible light. Carbohydr. Polym. 2010, 79, 445–448. [Google Scholar] [CrossRef]
- Lu, W.; Shen, Y.; Xie, A.; Zhang, W. Preparation and protein immobilization of magnetic dialdehyde starch nanoparticles. J. Phys. Chem. B 2013, 117, 3720–3725. [Google Scholar] [CrossRef] [PubMed]
- Owens, D.; Wendt, R. Estimation of the Surface Free Energy of Polymers. J. Appl. Polym. Sci. 1969, 13, 1741–1747. [Google Scholar] [CrossRef]
Sample Availability: Samples of the compounds are available from the authors. |














| Sample | CST or PST: SP | ALD, % |
|---|---|---|
| DAS-C1 | 1:0.5 | 25 |
| DAS-C2 | 1:0.7 | 29 |
| DAS-C3 | 1:0.9 | 37 |
| DAS-C4 | 1:1.0 | 67 |
| DAS-C5 | 1:1.1 | 45 |
| DAS-P1 | 1:0.5 | 21 |
| DAS-P2 | 1:0.7 | 25 |
| DAS-P3 | 1:0.9 | 29 |
| DAS-P4 | 1:1.0 | 33 |
| DAS-P5 | 1:1.1 | 33 |
| Sample | Surface Free Energy [mJ/m2] | |||||
|---|---|---|---|---|---|---|
| Before Irradiation | After 8 h UV-Irradiation | |||||
| γs | γd | γp | γs | γd | γp | |
| CST | 34.4 | 28.8 | 5.6 | 19.5 | 6.2 | 13.3 |
| PST | 40.6 | 26.7 | 13.9 | 20.7 | 14.2 | 6.5 |
| DAS-C1 | 37.3 | 20.5 | 16.9 | 32.2 | 27.8 | 4.4 |
| DAS-C3 | 37.3 | 20.5 | 16.9 | 33.0 | 27.0 | 6.1 |
| DAS-C4 | 42.6 | 22.9 | 19.7 | 41.1 | 34.8 | 6.3 |
| DAS-P1 | 42.3 | 23.9 | 18.5 | 36.2 | 30.5 | 5.7 |
| DAS-P3 | 42.9 | 21.5 | 21.4 | 28.1 | 12.8 | 15.3 |
| DAS-P5 | 43.9 | 20.1 | 23.8 | 32.4 | 21.0 | 11.4 |
© 2018 by the authors. Licensee MDPI, Basel, Switzerland. This article is an open access article distributed under the terms and conditions of the Creative Commons Attribution (CC BY) license (http://creativecommons.org/licenses/by/4.0/).
Share and Cite
Ziegler-Borowska, M.; Wegrzynowska-Drzymalska, K.; Chelminiak-Dudkiewicz, D.; Kowalonek, J.; Kaczmarek, H. Photochemical Reactions in Dialdehyde Starch. Molecules 2018, 23, 3358. https://doi.org/10.3390/molecules23123358
Ziegler-Borowska M, Wegrzynowska-Drzymalska K, Chelminiak-Dudkiewicz D, Kowalonek J, Kaczmarek H. Photochemical Reactions in Dialdehyde Starch. Molecules. 2018; 23(12):3358. https://doi.org/10.3390/molecules23123358
Chicago/Turabian StyleZiegler-Borowska, Marta, Katarzyna Wegrzynowska-Drzymalska, Dorota Chelminiak-Dudkiewicz, Jolanta Kowalonek, and Halina Kaczmarek. 2018. "Photochemical Reactions in Dialdehyde Starch" Molecules 23, no. 12: 3358. https://doi.org/10.3390/molecules23123358
APA StyleZiegler-Borowska, M., Wegrzynowska-Drzymalska, K., Chelminiak-Dudkiewicz, D., Kowalonek, J., & Kaczmarek, H. (2018). Photochemical Reactions in Dialdehyde Starch. Molecules, 23(12), 3358. https://doi.org/10.3390/molecules23123358

