Next Article in Journal
An Integrated LC-MS-Based Strategy for the Quality Assessment and Discrimination of Three Panax Species
Previous Article in Journal
Development of Zinc-Doped Hydroxyapatite by Sol-Gel Method for Medical Applications
 
 
Font Type:
Arial Georgia Verdana
Font Size:
Aa Aa Aa
Line Spacing:
Column Width:
Background:
Article

Imidazo[1,2-a]quinoxalines Derivatives Grafted with Amino Acids: Synthesis and Evaluation on A375 Melanoma Cells

by
Adrien Chouchou
1,†,
Cindy Patinote
1,2,†,
Pierre Cuq
1,
Pierre-Antoine Bonnet
1,* and
Carine Deleuze-Masquéfa
1
1
IBMM, Université de Montpellier, CNRS, ENSCM, 34000 Montpellier, France
2
Société d’Accélération du Transfert de Technologies (SATT AxLR), CSU, 950 rue Saint Priest, 34090 Montpellier, France
*
Author to whom correspondence should be addressed.
These authors contributed equally to this work.
Molecules 2018, 23(11), 2987; https://doi.org/10.3390/molecules23112987
Submission received: 30 October 2018 / Revised: 10 November 2018 / Accepted: 13 November 2018 / Published: 15 November 2018
(This article belongs to the Section Medicinal Chemistry)

Abstract

:
Imiqualines (imidazoquinoxaline derivatives) are anticancer compounds with high cytotoxic activities on melanoma cell lines. The first generation of imiqualines, with two lead compounds (EAPB0203 and EAPB0503), shows remarkable in vitro (IC50 = 1 570 nM and IC50 = 200 nM, respectively, on the A375 melanoma cell line) and in vivo activity on melanoma xenografts. The second generation derivatives, EAPB02302 and EAPB02303, are more active, with IC50 = 60 nM and IC50 = 10 nM, respectively, on A375 melanoma cell line. The aim of this study was to optimize the bioavailability of imiqualine derivatives, without losing their intrinsic activity. For that, we achieved chemical modulation on the second generation of imiqualines by conjugating amino acids on position 4. A new series of twenty-five compounds was efficiently synthesized by using microwave assistance and tested for its activity on the A375 cell line. In the new series, compounds 11a, 9d and 11b show cytotoxic activities less than second generation compounds, but similar to that of the first generation ones (IC50 = 403 nM, IC50 = 128 nM and IC50 = 584 nM, respectively). The presence of an amino acid leads to significant enhancement of the water solubility for improved drugability.

Graphical Abstract

1. Introduction

Cutaneous melanoma is a malignant tumour of melanocytes located in the basal epidermis. It is the most aggressive and lethal form of skin cancer because of its fast-metastatic development [1,2]. Its incidence has been increasing worldwide for several decades. While in its early stages remarkable outcomes can be achieved with surgery alone, metastatic melanoma requires therapeutic treatment intervention. Thanks to genomic studies, knowledge regarding the molecular biology of melanomas has improved, leading to recent FDA-approved therapies [3,4,5]. However, all the subtypes of the disease are not equally treated [5] and marked resistance mostly against kinase inhibitors rapidly occurs [6,7]. As the incidence among the worldwide fair-skinned population is increasing, this public health concern remains challenging.
Our group is working on the development of the imidazo[1,2-a]quinoxaline derivatives presented in Scheme 1, called imiqualines, as potential antitumoral agents, particularly for the treatment of melanoma [8,9]. The first generation of imiqualines was essentially substituted on position 1 by multiple aromatic moieties directly grafted to the main structure or via an alkyl linker. The second generation is characterized by the presence of the 3,4-dihydroxyphenyl moiety on position 1 since the presence of such catechol residue enhances global hydrophilicity. The chemical modulations of the first hits, EAPB0203 and EAPB0503, afforded new leads EAPB02303 and its N-demethylated derivative EAPB02302, with impressive in vitro activities in the nanomolar range on the A375 human melanoma cancer cell line [10,11].
EAPB02302 and EAPB02303 are considered as promising anticancer agents but exhibit high lipophilicity (cLogP values estimated at 2.68 and 3.55, respectively), which might be critical for future preclinical in vivo studies. Indeed, their low solubility in water might be a major drawback for further development, especially in the case of intravenous use. In a preliminary study [12], the pharmacokinetic parameters of EAPB02303 were determined in mice after a single intraperitoneal administration. For this, the compound was solubilized in a mixture of DMSO, Tween 80 and sodium chloride solution 0.9% (10/10/80, v/v/v). The use of DMSO is recognized as toxic [13], in particular when used repeatedly as would be the case in an efficacy study. In order to optimize the results of efficacy studies, we chose to chemically modulate our lead compounds to obtain more soluble compounds with a moderate impact on the cytotoxic activity. The result of the introduction of various amino acids on position 4 of the heterocycle on both the physicochemical properties and biological activity was studied. Such an approach to increase solubility, which remains a key factor for potential pharmaceutical development, has already been described in the literature [14,15,16,17]. The introduction of amino acid moieties has been showed to increase the water solubility as well as selective cytotoxicity [18,19,20]. We present herein the synthesis of new imidazo[1,2-a]quinoxalines decorated with a panel of natural α-amino acids and their in vitro preliminary evaluation on A375 cell line.

2. Results and Discussion

2.1. Synthesis of Imidazo[1,2-a]quinoxaline Derivatives

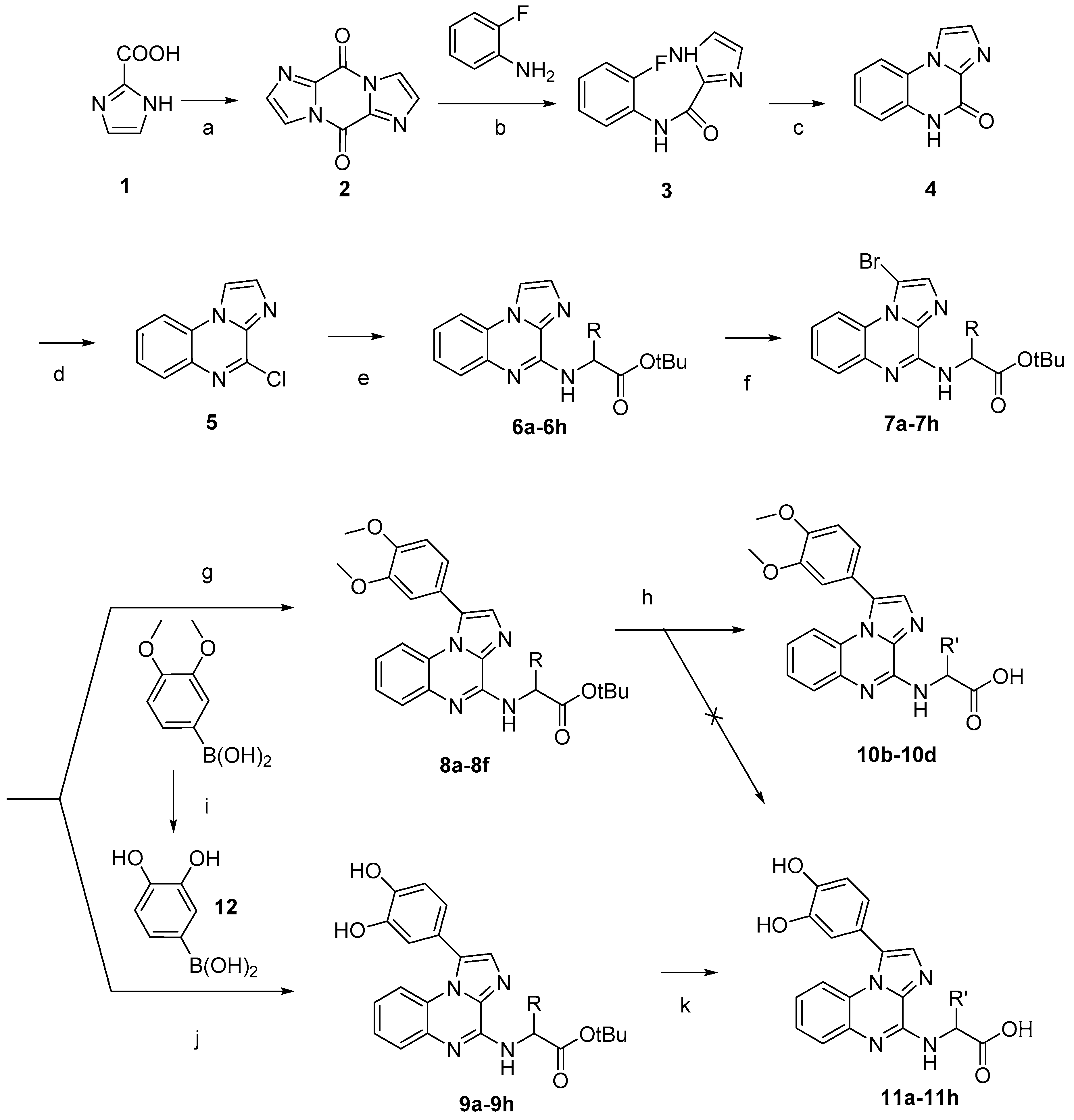
The synthetic pathways and the structures of imidazo[1,2-a]quinoxalines used in this study are given in Scheme 2 and Scheme 3. Intermediates 1 to 5 were synthetized thanks to a route we previously described [9,21]. Briefly, the carbonylimidazole dimer 2 results from the condensation of the 2-imidazole carboxylic acid 1 in presence of thionyl chloride. Addition of o-fluoroaniline to the dimer 2 gives the intermediate 3. Cyclisation is facilitated by using sodium hydride in dimethylacetamide. Treatment of compound 4 with phosphorus oxychloride and N,N-diethylaniline gives the chlorinated key intermediate 5.
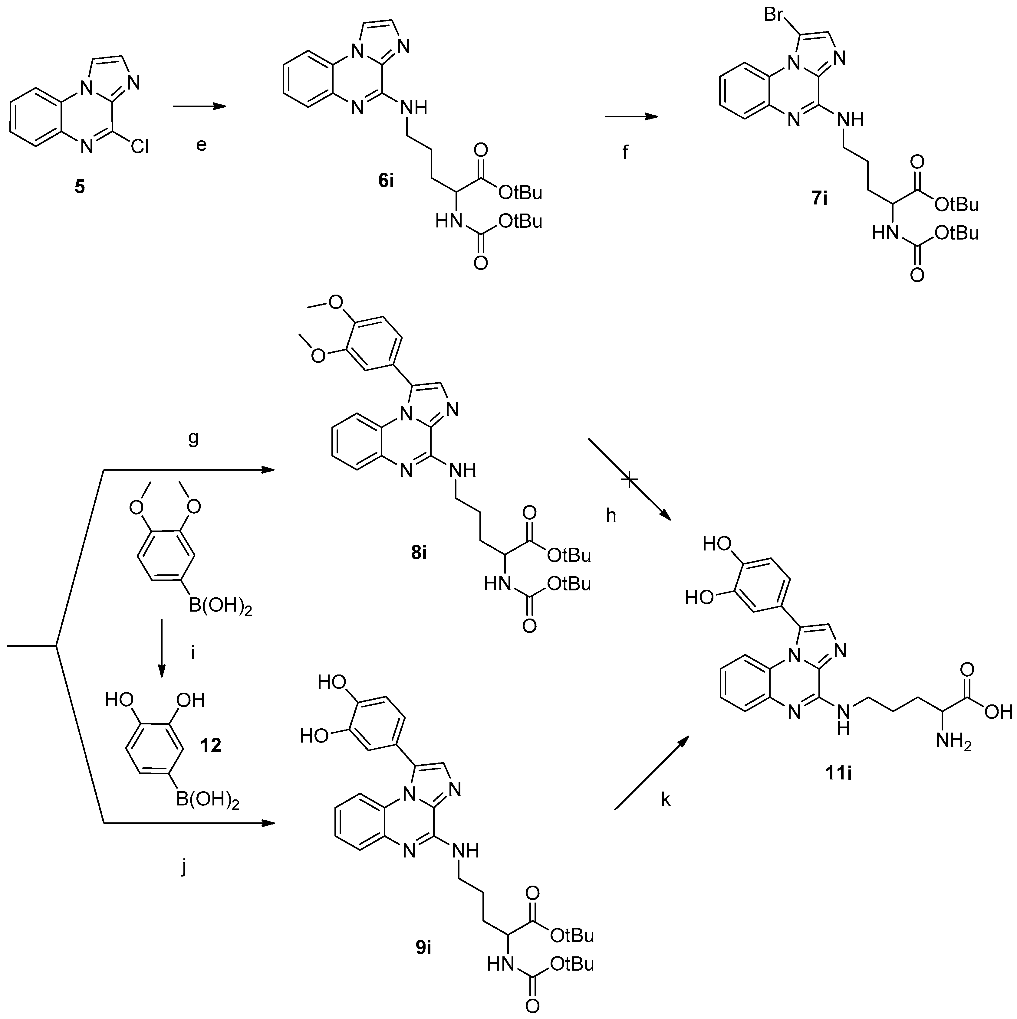
The chlorine of 5 can be substituted by an amino group in the presence of diisopropylethylamine in DMF under microwave assistance. Among the commercially available amino acids, we chose to study the effect of a short or long, substituted or not, aliphatic or aryl side chain with or without a hydrophilic amino or phenolic group. The amino group could be either the α-amine of an amino acid or the amine of the side chain for the ornithine residue. The introduction of HGlyOtBu, HAlaOtBu, HValOtBu, HLeuOtBu, HLysOtBu, HOrnOtbu, HPheOtBu, HTyrOtBu is described in Scheme 2 and the grafting of BocOrnOtBu is depicted in Scheme 3. The bromination of the intermediates 6 by N-bromosuccinimide leads to compounds 7. The 3,4-dimethoxyphenyl group is introduced in position 1 via a Suzuki-Miyaura cross-coupling reaction to furnish compounds 8a8f and 8i. Boron tribromide did not allow the cleavage of all the protections to give the targeted compounds 11a11i, even if supplementary equivalents of BBr3 were added at the beginning or during the reaction, or if the reaction time was extended. Such an approach allows one to obtain compounds 10b10d as the main products. These compounds present remaining methoxy groups on the phenyl on position 1 without the protecting groups on the amino acid. The by-products correspond to one remaining methoxy group on the phenyl either at position 3′ or 4′, but unfortunately, they could not be recovered separately.
As target compounds 11a11f could not be obtained by this way, we decided to deprotect first the 3,4-dimethoxyphenylboronic acid using boron tribromide in order to obtain the 3,4-dihydroxy-phenylboronic acid 12. This boronic acid readily reacts with intermediates 7 under microwave irradiation to furnish the hydroxylated derivatives 9a9i. A final step of deprotection of the amino acid moiety using TFA in CH2Cl2 was used to obtain the final compounds 11a11i.

2.2. In Vitro Cytotoxic Activity on A375 Cell Line and Calculated ClogP

All new imidazo[1,2-a]quinoxaline derivatives 8bd, 8f, 9a9i, 10bd and 11a11i were tested for their in vitro antiproliferative activities on the human melanoma cell line A375. Their IC50 values (concentration of the compound (nM) producing 50% cell growth inhibition after 96 h of drug exposure) were determined using in vitro cytotoxicity assays and are displayed in Table 1 and Table 2.
Lipophilicity, expressed as the logarithm of a compound’s octanol/water partition coefficient (ClogP), is a physicochemical property of drugs that affects many biological mechanisms, especially drug absorption and distribution (absorption, plasma protein binding and membrane permeation) [22]. This parameter can also be correlated to solubility, metabolism and toxicity [23,24]. In a drug discovery process, compounds must be sufficiently lipophilic to cross the membrane barriers and at the same time be sufficiently water soluble to reach their targets. Therefore, a poor water solubility is a common cause of rejection during development [25]. This is why we also estimated the lipophilicity and hydrophilicity properties of all new compounds by predicting their ClogP and theoretical water solubility values thanks to fragmentation methods available on the ACDLabs® software. These calculated values are purely theoretical but give a good estimate of what might be the solubility of the compounds in blood circulation (pH 7.4). This approach is used in pharmaceutical industry for the screening of new compounds [26,27]. Results of our new imidazo[1,2-a]quinoxaline derivatives were compared each other as well as with the first and second generation imiqualine leads as shown in Table 3.
Compounds 8b, 8c, 8d and 8f have fully protected amino acid residues (side chain and carboxylic function) with 3,4-dimethoxy substitution on the phenyl ring in position 1. They exhibit weak IC50 values higher than 10,000 nM. Compounds belonging to this chemical series are very lipophilic with estimated ClogP values higher than 5 (5.25, 5.61, 6.47, 6.98, 7.05 and 7.01 for compounds 8a, 8b, 8c, 8d, 8e and 8f, respectively). The theoretical water solubility of compounds 8 at pH 7.4 is very low since the order varies from 5.88 × 10−4 to 3.43 × 10−5 mg/mL for compounds 8a and 8f, respectively. Therefore, the presence of protective groups on the amino acids and the dimethoxy groups on the phenyl appears not to be valuable, both in terms of water solubility and cytotoxic efficiency.
Compounds 9a9i are only protected on the amino acids moieties. These compounds exhibit various cytotoxic activities with IC50 values ranging from 128 to 7180 nM, for 9d and 9c, respectively. These compounds show high lipophilicity since their ClogP values range from 4.99 to 7.99 for 9a and 9h respectively. Similarly, the theoretical values of water solubility are between 3.31 × 10−5 and 1.79 × 10−3 mg/mL for 9h and 9a, respectively. By comparing compounds 8 and 9, we note that the replacement of the methoxy groups by the hydroxy groups induces, for some residues, an important increase of the biological activities. Nevertheless, such modification, with conservation of the amino acid protection, does not improve the theoretical water solubility of the new synthesized compounds.
Compounds 10b10d are deprotected on the amino acid residues but still present dimethoxy groups on the phenyl substitution at position 1. These compounds exhibit IC50 values higher than 5000 nM (IC50 values at 5 947 nM for 10b and higher than 10,000 nM for 10c and 10d). However, ClogP values are below 5 and theoretical water solubilities are higher than 0.8 mg/mL. The transition from compounds 8 to compounds 10 provides a significant decrease of lipophilicity as well as an improvement of theoretical water solubility. The comparison of the compounds according to the grafted residue permits to highlight this improvement. Actually, ClogP values decrease from 5.61 to 3.21, from 6.47 to 4.07 and from 6.98 to 4.58 for compounds 8b to 10b, 8c to 10c and 8d to 10d, respectively. Even more impressive, the theoretical water solubility values increase from 3.8 × 10−4 to 6.01, 1.35.10−4 to 1.91 and 7.43 × 10−5 to 0.89 mg/mL for compounds 8b to 10b, 8c to 10c and 8d to 10d, respectively. The deprotection of the amino acid residues does not improve the cytotoxic activity but clearly improve the theoretical water solubility. The presence of dihydroxy groups on the phenyl substitution at position 1 appears to be necessary for the conservation of the cytotoxic activity.
Compounds 11a-11i are fully deprotected on the amino acid residues as well as on the catechol group at the position 1. Among these compounds, five have attractive IC50 values below 1000 nM: 403, 584, 673, 838 and 951 for 11a, 11b, 11e, 11d and 11g, respectively. These compounds show ClogP values ranged from 2.57 to 4.32 for 11f and 11d. Several compounds present very interesting theoretical water solubility: compounds 11a, 11b, 11c, 11d, 11g and 11h exhibit values higher than 3 mg/mL. Very high values are obtained for compounds 11a and 11b at 47.18 and 19.92 mg/mL, respectively. The presence of an alkyl or aryl moiety on the side chain of the amino acid residue does not decrease the water solubility for these compounds. Nevertheless, the tendency appears to not be the same for compounds 11e, 11f and 11i with theoretical water solubility values less than 1 × 10−2 mg/mL. These compounds possess ornithine (grafted by the α-amine or by the amine of the side chain of the amino acid) or lysine residues. These two residues are therefore not valuable for increasing the water solubility of the compounds at pH 7.4.
Compounds 11a, 11b, 11c and 11d present an alkyl chain at position 4 while compounds 11g and 11h display an aryl chain on this same position. Saturated alkyl groups appear to be most interesting for our compounds. A trend that seems to stand out in these four compounds is that when the carbon number of the alkyl chain increases, the biological activity and the theoretical solubility decrease (except for 11c which activity does not follow this tendency). Moreover, the presence of a phenyl group causes an increase in lipophilicity and a decrease in biological activities, in particular with the presence of a phenol (compound 11h) on the side chain of the amino acid moiety. The compounds with lysine or ornithine residues did not show favorable results neither for biological activities or water solubility.
The transition of compounds 9 to compounds 11 is carried out by the cleavage of all the protecting groups of the amino acid moieties. Such a deprotection step forms less lipophilic compounds (lower ClogP) with similar or higher activity for all the amino acids tested, except for compounds 11d and 11f with the leucine and ornithine residues grafted by the amine in the α-position, respectively. It should be noted that the presence of an ornithine amino acid residue grafted by the α-amine or the amine of the side chain of the amino acid does not result in any significant differences in the biological activity (IC50 values at 3404 nM for 11f and 5168 nM for 11i) or to the solubility (theoretical water solubility values at 5.82 × 10−3 and 3.05 × 10−3 mg/mL for 11f and 11i, respectively). Surprisingly, compound 11e which present a butan-1-amine substitution on the lateral chain of the amino acid show an higher biological activity than compound 11f with a propan-1-amine substitution on its lateral chain (IC50 values at 673 nM for 11e and 3 404 nM for 11f) with equivalent theoretical water solubilities (values of 4.34.10−3 and 5.82.10−3 mg/mL for 11e and 11f, respectively).
Consequently, compounds 11a, 11b, 11d and 11g in particular hold our attention, both in terms of improvement of the solubility and in terms of conservation of the biological activity. The activities of these compounds are in the same potency order as the leads of the first generation of imiqualines (IC50 values of 200 and 1570 nM for EAPB0503 and EAPB0203, respectively), presented in Table 3. Moreover, these new compounds show highly improved water solubility. Indeed, the values for the first generation compounds were only 2.60 × 10−3 and 3.46 × 10−3 mg/mL for EAPB0203 and EAPB0503, respectively. On the other hand, the second generation imiqualine compounds exhibit higher activities than the new compounds, with IC50 values at 10 and 60 nM for EAPB02303 and EAPB02302 respectively. However, the solubility values of these compounds are low, with values of 1.74 × 10−2 mg/mL for EAPB02303 and 4.28 × 10−2 mg/mL for EAPB02302.
All of these data and results allow us to put forward a preferential amino acid with a small alkyl side chain in order to get a good compromise between maintaining the activity and increasing water solubility. From the close analysis of Table 1 and Table 2, it can be observed that compounds 11a, 11b, 9d, 11d, 11e and 11g are the most active members of this series against the tested melanoma A375 cell line (IC50 values less than 1000 nM). Surprisingly, compound 9d shows the lowest IC50 value among these new synthesized compounds. Among these six attractive compounds, only 11a, 11b, 11d, 11e and 11g show a marked and considerable improvement of the theoretical water solubility.

3. Experimental Section

3.1. Chemistry

3.1.1. General Information

All solvents and reagents were obtained from Sigma Aldrich Chemical Co. (Saint Louis, MO, USA), Iris Biotech GmbH (Marktredwitz, Germany), Alfa Aesar Co. (Karlsruhe, Germany), VWR (Radnor, PA, USA) and FluoroChem UK (Hadfield, UK) and used without further purification unless indicated otherwise. Silica gel chromatography was conducted with 230–400 mesh 60 Å silica gel (Sigma Aldrich Chemical Co.). The progress of reaction was monitored by TLC exposure to UV light (254 nm and 366 nm). Thin layer chromatography plates (Kieselgel 60 F254) were purchased from Merck (Darmstadt, Germany). Microwave assisted organic syntheses were performed on a Biotage Initiator 2.0 microwave system (Uppsala, Sweden). 1H (400 MHz) and 13C-NMR (100 MHz) spectra were obtained on a Brüker AC-400 spectrometer (Billerica, MA, USA). Chemical shifts are given as parts per million (ppm) using residual dimethylsulfoxide signal for protons (δDMSO = 2.46 ppm) and carbons (δDMSO = 40.00 ppm). Coupling constants are reported in Hertz (Hz). Spectral splitting partners are designed as follow: singlet (s); doublet (d); triplet (t); quartet (q); multiplet (m). Mass spectral data were obtained on a Waters Micromass Q-Tof (Milford, MA, USA) spectrometer equipped with ESI source (Laboratoires de Mesures Physiques, Plateau technique de l’Institut des Biomolecules Max Mousseron, Université de Montpellier, Montpellier, France). Mass spectra were recorded in positive mode between 50 and 1500 Da, capillary and cone tension were 3000 and 20 V, respectively. The High Resolution Mass Spectroscopy (HRMS) analyses are carried out by direct introduction on a Synapt G2-S mass spectrometer (Waters, SN: UEB205) equipped with ESI source. The mass spectra were recorded in positive mode, between 100 and 1500 Da. The capillary tension is 1000 V and the cone tension is 30 V. The source and desolvation temperature are 120 °C and 250 °C, respectively. NMR 1H and 13C spectra of all compounds are in Supplementary Materials.

3.1.2. Amino Acids Grafted on 4-Chloroimidazo[1,2-a]quinoxaline

Tert-butyl 2-(imidazo[1,2-a]quinoxalin-4-ylamino)acetate (6a): Glycine tert-butyl ester hydrochloride (0.824 g, 4.9 mmol), N,N-diisopropylethylamine (1.6 mL, 9.8 mmol) and 4-chloroimidazo[1,2-a]quinoxaline 5 (0.5 g, 2.5 mmol) were dissolved in dimethyl-formamide (10 mL) in a microwave adapted vial and sealed. The reaction mixture was irradiated at 150 °C for 30 min. The solvent was removed under reduced pressure. The crude mixture was dissolved in ethyl acetate (100 mL) and successively washed with saturated aqueous ammonium chloride, distilled water and finally brine. The organic phase was dried on sodium sulfate, filtered and concentrated under reduced pressure. The product was purified by flash chromatography eluted with cyclohexane/ethyl acetate 80/20 to 50/50. The compound is obtained as a beige solid (42% yield). C16H18N4O2. MW: 298.34 g/mol. 1H-NMR δ (ppm, DMSO-d6): 1.42 (s, 9H, 3 × CH3 OtBu), 4.13 (d, 2H, J = 8 Hz, CH2 α), 7.31–7.35 (m, 1H, CH 7), 7.40–7.44 (m, 1H, CH 8), 7.56 (dd, 1H, J = 4 Hz, J = 8 Hz, CH 9), 7.66 (d, 1H, J = 4 Hz, CH 2), 7.96 (t, 1H, J = 8 Hz, NH), 8.13 (dd, 1H, J = 4 Hz, J = 8 Hz, CH 6), 8.64 (d, 1H, J = 4 Hz, CH 1). 13C-NMR δ (ppm, DMSO-d6): 28.23 (CH3 tBu), 43.30 (CH2 α), 80.85 (Cq tBu), 115.14 (CH 1), 115.91 (CH 6), 123.57 (CH 7), 124.93 (Cq 5a), 126.74 (CH 9), 126.88 (CH 8), 132.52 (CH 2), 132.71 (Cq 3a), 136.81 (Cq 9a), 147.49 (Cq 4), 169.79 (C=O). MS (ESI +, QTof, m/z): 299.0 [M + H]+.
Tert-butyl 2-(imidazo[1,2-a]quinoxalin-4-ylamino)propanoate (6b): Same procedure used for the synthesis of 6a was employed. L-Alanine tert-butyl ester hydrochloride (1.339 g, 7.4 mmol), N,N-diisopropylethylamine (2.4 mL, 14.7 mmol) and 4-chloroimidazo[1,2-a]quinoxaline 5 (0.5 g, 2.5 mmol) were dissolved and reacted in dimethyl-formamide (10 mL). The product was purified by flash chromatography eluted with cyclohexane/ethyl acetate 80/20 to 50/50. The compound is obtained as a beige solid (48% yield). C17H20N4O2. MW: 312.37 g/mol. 1H-NMR δ (ppm, DMSO-d6): 1.41 (s, 9H, 3 × CH3 OtBu), 1.51 (d, 3H, J = 8 Hz, CH3 β), 4.56–4.63 (m, 1H, CH α), 7.33–7.36 (m, 1H, CH 7), 7.41–7.43 (m, 1H, CH 8), 7.56 (dd, 1H, J = 4 Hz, J = 8 Hz, CH 9), 7.66 (d, 1H, J = 4 Hz, CH 2), 7.75 (d, 1H, J = 4 Hz, NH), 8.13 (dd, 1H, J = 4 Hz, J = 8 Hz, CH 6), 8.64 (d, 1H, J = 4 Hz, CH 1). 13C-NMR δ (ppm, DMSO-d6): 17.46 (CH3 β), 28.14 (CH3 tBu), 50.22 (CH α), 80.59 (Cq tBu), 115.18 (CH 1), 115.91 (CH 6), 123.64 (CH 7), 124.93 (Cq 5a), 126.73 (CH 9), 126.88 (CH 8), 132.42 (CH 2), 132.58 (Cq 3a), 136.72 (Cq 9a), 147.03 (Cq 4), 172.84 (C=O). MS (ESI +, QTof, m/z): 313.2 [M + H]+.
Tert-Butyl 2-(imidazo[1,2-a]quinoxalin-10-ylamino)-3-methylbutanoate (6c): Using the same procedure as for the synthesis of 6a, L-valine tert-butyl ester hydrochloride (2.060 g, 9.8 mmol), N,N-diisopropylethylamine (2.4 mL, 14.7 mmol) and 4-chloroimidazo[1,2-a]quinoxaline 5 (0.5 g, 2.5 mmol) were mixed in dimethylformamide (10 mL). The product was purified by flash chromatography eluted with cyclohexane/ethyl acetate 80/20 to 50/50. The compound is obtained as a beige solid (51% yield). C19H24N4O2. MW: 340.42 g/mol. 1H-NMR δ (ppm, DMSO-d6): 1.03 (d, 3H, J = 8 Hz, CH3 γ), 1.06 (d, 3H, J = 8 Hz, CH3 γ’), 1.43 (s, 9H, 3 × CH3 OtBu), 2.29–2.37 (m, 1H, CH β), 4.52 (t, 1H, J = 16 Hz, CH α), 7.15 (d, 1H, J = 8 Hz, NH), 7.33–7.37 (m, 1H, CH 7), 7.42–7.44 (m, 1H, CH 8), 7.59 (dd, 1H J = 4 Hz, J = 8 Hz, CH 9), 7.68 (d, 1H, J = 4 Hz, CH 2), 8.14 (dd, 1H, J = 4 Hz, J = 8 Hz, CH 6), 8.66 (d, 1H, J = 4 Hz, CH 1). 13C-NMR δ (ppm, DMSO-d6): 19.42 (CH3 γ, CH3 γ’), 28.17 (CH3 tBu), 30.41 (CH β), 59.76 (CH α), 81.15 (Cq tBu), 115.37 (CH 1), 115.95 (CH 6), 123.88 (CH 7), 125.00 (Cq 5a), 126.84 (CH 9), 126.95 (CH 8), 132.48 (CH 2), 132.58 (Cq 3a), 136.59 (Cq 9a), 147.29 (Cq 4), 171.59 (C=O). MS (ESI +, QTof, m/z): 341.0 [M + H]+.
Tert-butyl 2-(imidazo[1,2-a]quinoxalin-4-ylamino)-4-methylpentanoate (6d): The same as for the synthesis of 6a was used, employing L-leucine tert-butyl ester hydrochloride (2.198 g, 9.8 mmol), N,N-diisopropylethylamine (2.4 mL, 14.7 mmol) and 4-chloro-imidazo[1,2-a]quinoxaline 5 (0.5 g, 2.5 mmol) in dimethylformamide (10 mL). The product was purified by flash chromatography eluted with cyclohexane/ethyl acetate 80/20 to 50/50. The compound is obtained as a beige solid (60% yield). C20H26N4O2. MW: 354.45 g/mol. 1H-NMR δ (ppm, DMSO-d6): 0.93 (d, 3H, J = 8 Hz, CH3 δ), 0.96 (d, 3H, J = 8 Hz, CH3 δ’), 1.40 (s, 9H, 3 × CH3 OtBu), 1.60–1.67 (m, 1H, CH2 β), 1.77–1.79 (m, 1H, CH γ), 1.93–1.95 (m, 1H, CH2 β), 4.63 (t, 1H, J = 4 Hz, CH α), 7.26–7.33 (m, 1H, CH 7), 7.40–7.44 (m, 1H, CH 8), 7.57 (dd, 1H, J = 4 Hz, J = 8 Hz, CH 9), 7.64 (d, 1H, J = 4 Hz, NH), 7.66 (d, 1H, J = 4 Hz, CH 2), 8.13 (dd, 1H, J = 4 Hz, J = 8 Hz, CH 6), 8.64 (d, 1H, J = 4 Hz, CH 1). 13C-NMR δ (ppm, DMSO-d6): 22.06 (CH3 δ), 23.31 (CH3 δ’), 25.14 (CH γ), 28.15 (CH3 tBu), 40.01 (CH2 β), 52.93 (CH α), 80.67 (Cq tBu), 115.21 (CH 1), 115.90 (CH 6), 123.64 (CH 7), 124.93 (Cq 5a), 126.76 (CH 8), 126.89 (CH 9), 132.41 (CH 2), 132.58 (Cq 3a), 136.74 (Cq 9a), 147.40 (Cq 4), 172.75 (C=O). MS (ESI +, QTof, m/z): 355.0 [M + H]+.
Tert-butyl 6-((tert-butoxycarbonyl)amino)-2-(imidazo[1,2-a]quinoxalin-4-ylamino)hexanoate (6e): The same procedure used for the synthesis of 6a was employed with N-ε-tert-butyloxycarbonyl-L-lysine tert-butyl ester hydrochloride (2.565 g, 7.6 mmol), N,N-diisopropyl-ethylamine (2.4 mL, 14.7 mmol) and 4-chloroimidazo[1,2-a]quinoxaline 5 (0.5 g, 2.5 mmol) in dimethylformamide (10 mL). The product was purified by flash chromatography eluted with cyclohexane/ethyl acetate 80/20 to 50/50. The compound is obtained as a beige solid (32% yield). C25H35N5O4. MW: 469.58 g/mol. 1H-NMR δ (ppm, DMSO-d6): 1.35 (s, 9H, 3 × CH3 OtBu), 1.41 (s, 9H, 3 × CH3 OtBu), 1.43–1.49 (m, 4H, CH2 γ, CH2 δ), 1.86–1.92 (m, 2H, CH2 β), 2.91–2.93 (m, 2H, CH2 ε), 4.52–4.56 (m, 1H, CH α), 6.79 (t, 1H, J = 4 Hz, NH-CH2 ε), 7.26–7.35 (m, 1H, CH 7), 7.39–7.42 (m, 1H, CH 8), 7.52 (dd, 1H, J = 4 Hz, J = 8 Hz, CH 9), 7.64 (d, 1H, J = 4 Hz, NH-CH α), 7.66 (d, 1H, J = 4 Hz, CH 2), 8.12 (dd, 1H, J = 4 Hz, J = 8 Hz, CH 6), 8.64 (d, 1H, J = 4 Hz, CH 1). 13C-NMR δ (ppm, DMSO-d6): 23.52 (CH2 γ), 28.19 (CH3 tBu), 28.74 (CH3 tBu), 29.67 (CH2 δ), 30.92 (CH2 β), 40.35 (CH2 ε), 54.64 (CH α), 79.68 (Cq tBu), 80.80 (Cq tBu), 115.25 (CH 1), 115.93 (CH 6), 123.70 (CH 7), 124.98 (Cq 5a), 126.81 (CH 9), 126.92 (CH 8), 132.44 (CH 2), 132.60 (Cq 3a), 136.75 (Cq 9a), 147.35 (Cq 4), 172.41 (C=O). MS (ESI +, QTof, m/z): 470.0 [M + H]+.
Tert-butyl 5-(((benzyloxy)carbonyl)amino)-2-(imidazo[1,2-a]quinoxalin-4-ylamino)-pentanoate (6f): Using the same procedure used for the synthesis of 6a with N-δ-carbobenzoxy-L-ornithine α-tert-butyl ester hydrochloride (3.702 g, 10.3 mmol), N,N-diisopropylethylamine (2.4 mL, 14.7 mmol) and 4-chloroimidazo[1,2-a]quinoxaline 5 (0.5 g, 2.5 mmol) in dimethylformamide (10 mL). The product was purified by flash chromatography eluted with cyclohexane/ethyl acetate 80/20 to 50/50. The compound is obtained as a beige solid (38% yield). C27H31N5O4. MW: 489.57 g/mol. 1H-NMR δ (ppm, 400 MHz, DMSO-d6): 1H-NMR δ (ppm, DMSO-d6): 1.29 (s, 9H, 3 × CH3 OtBu), 1.46–1.50 (m, 2H, CH2 γ), 1.79–1.84 (m, 2H, CH2 β), 2.94–2.98 (m, 2H, CH2 δ), 4.44–4.46 (m, 1H, CH α), 4.90 (s, 2H, CH2–Phenyl), 7.17–7.21 (m, 1H, CH 7), 7.23 (s, 1H, NH-CH2 δ), 7.24–7.27 (m, 5H, CH Phenyl), 7.29–7.33 (m, 1H, CH 8), 7.46 (dd, 1H, J = 4 Hz, J = 8 Hz, CH 9), 7.52 (d, 1H, J = 4 Hz, NH-CH α), 7.56 (d, 1H, J = 4 Hz, CH 2), 8.02 (dd, 1H, J = 4 Hz, J = 8 Hz, CH 6), 8.53 (d, 1H, J = 4 Hz, CH 1). 13C-NMR δ (ppm, DMSO-d6): 26.63 (CH2 γ), 28.13 (CH3 tBu), 28.66 (CH2 β), 40.71 (CH2 δ), 54.50 (CH α), 65.67 (CH2-Phenyl), 80.91 (Cq tBu), 115.30 (CH 1), 115.99 (CH 6), 123.77 (CH 7), 125.03 (Cq 5a), 126.84 (CH 9), 126.97 (CH 8), 128.86 (CH Phenyl), 132.50 (CH 2), 132.65 (Cq 3a), 136.77 (Cq 9a), 147.36 (Cq 4), 156.65 (Cq Phenyl), 172.28 (C=O). MS (ESI +, QTof, m/z): 490.0 [M + H]+.
Tert-Butyl 2-(imidazo[1,2-a]quinoxalin-4-ylamino)-3-phenylpropanoate (6g):The same procedure as for the synthesis of 6a was used with L-phenylalanine tert-butyl ester hydrochloride (1.9 g, 7.4 mmol), N,N-diisopropylethylamine (2.4 mL, 14.7 mmol) and 4-chloroimidazo[1,2-a]quinoxaline 5 (0.5 g, 2.5 mmol) in dimethylformamide (10 mL). The product was purified by flash chromatography eluted with cyclohexane/ethyl acetate 80/20 to 50/50. The compound is obtained as a beige solid (37% yield). C23H24N4O2. MW: 388.46 g/mol. 1H-NMR δ (ppm, DMSO-d6): 1.33 (s, 9H, 3 × CH3 OtBu), 3.19–3.23 (m, 1H, CH2 β), 3.32–3.36 (m, 1H, CH2 β), 4.82–4.84 (m, 1H, CH α), 7.21 (t, 1H, J = 8 Hz, CH Phenyl), 7.29 (t, 2H, J = 8 Hz, 2 × CH Phenyl), 7.32–7.34 (m, 3H, CH 7, 2 × CH Phenyl), 7.41–7.44 (m, 1H, CH 8), 7.57 (dd, 1H, J = 4 Hz, J = 8 Hz, CH 9), 7.61 (d, 1H, J = 8 Hz, NH), 7.66 (d, 1H, J = 4 Hz, CH 2), 8.13 (dd, 1H, J = 8, 4 Hz, CH 6), 8.64 (d, 1H, J = 4 Hz, CH 1). 13C-NMR δ (ppm, DMSO-d6): 26.97 (CH3 tBu), 35.91 (CH2 β), 54.93 (CH α), 79.88 (Cq tBu), 114.18 (CH 1), 114.85 (CH 6), 122.74 (CH 7), 123.89 (Cq 5a), 125.74 (CH 9), 125.84 (CH Phenyl), 125.86 (CH 8), 127.59 (CH Phenyl), 128.69 (CH Phenyl), 131.41 (CH 2), 135.54 (Cq 3a), 137.05 (Cq 9a), 146.02 (Cq 4), 170.53 (C=O). MS (ESI +, QTof, m/z): 389.0 [M + H]+.
Tert-butyl 3-(4-(tert-butoxy)phenyl)-2-(imidazo[1,2-a]quinoxalin-4-ylamino)propanoate (6h): The same procedure as for the synthesis of 6a was used with O-tert-butyl-L-tyrosine tert-butyl ester hydrochloride (1.6 g, 4.9 mmol), N,N-diisopropylethylamine (2.4 mL, 14.7 mmol) and 4-chloroimidazo[1,2-a]quinoxaline 5 (0.5 g, 2.5 mmol) in dimethylformamide (10 mL). The product was purified by flash chromatography eluted with cyclohexane/ethyl acetate 80/20 to 50/50. The compound is obtained as a beige solid (26% yield). C27H32N4O3. MW: 460.57 g/mol. 1H-NMR δ (ppm, DMSO-d6): 1.23 (s, 9H, 3 × CH3 OtBu), 1.31 (s, 9H, 3 × CH3 OtBu), 3.11–3.17 (m, 1H, CH2 β), 3.25–3.31 (m, 1H, CH2 β), 4.78–4.83 (m, 1H, CH α), 6.86 (dd, 2H, J = 4 Hz, J = 8 Hz, CH Phenyl), 7.22 (dd, 2H, J = 4 Hz, J = 8 Hz, CH Phenyl), 7.32–7.36 (m, 1H, CH 7), 7.40–7.44 (m, 1H, CH 8), 7.57 (dd, 1H, J = 4 Hz, J = 8 Hz, CH 9), 7.61 (d, 1H, J = 4 Hz, NH), 7.66 (d, 1H, J = 4 Hz, CH 2), 8.13 (dd, 1H, J = 4 Hz, J = 8 Hz, CH 6), 8.64 (d, 1H, J = 4 Hz, CH 1). 13C-NMR δ (ppm, DMSO-d6): 28.02 (CH3 tBu), 28.93 (CH3 tBu), 36.63 (CH2 β), 56.09 (CH α), 78.11 (Cq tBu), 80.87 (Cq tBu), 115.22 (CH 1), 115.90 (CH 6), 123.80 (CH 7), 123.98 (2 × CH Phenyl), 124.96 (Cq 5a), 126.79 (CH 9), 126.90 (CH 8), 130.31 (2 × CH Phenyl), 132.47 (CH 2), 132.61 (Cq 3a), 136.60 (Cq 9a), 147.04 (Cq 4), 154.03 (2 × Cq Phenyl), 171.72 (C=O). MS (ESI +, QTof, m/z): 461.2 [M + H]+.
Tert-butyl 6-((tert-butoxycarbonyl)amino)-2-(imidazo[1,2-a]quinoxalin-4-ylamino)hexanoate (6i): Same procedure used for the synthesis of 6a was employed with N-α-tert-butyloxycarbonyl-L-ornithine tert-butyl ester hydrochloride (1.596 g, 4.9 mmol), N,N-diisopropyl-ethylamine (1.6 mL, 9.8 mmol) and 4-chloroimidazo[1,2-a]quinoxaline 5 (0.5 g, 2.5 mmol) in dimethylformamide (10 mL). The product was purified by flash chromatography eluted with cyclohexane/ethyl acetate 80/20 to 50/50. The compound is obtained as a beige solid (48% yield). C24H33N5O4. MW: 455.56 g/mol. 1H-NMR δ (ppm, DMSO-d6): 1.35 (s, 9H, CH-COOtBu), 1.41 (s, 9H, NH-COOtBu), 1.85–1.96 (m, 2H, CH2 β), 2.91–2.95 (m, 2H, CH2 γ), 3.35–3.39 (m, 2H, CH2 δ), 4.51–4.56 (m, 1H, CH α), 6.79 (d, 1H, J = 4 Hz, NH-CH α), 7.32–7.35 (m, 1H, CH 7), 7.39–7.42 (m, 1H, CH 8), 7.56 (dd, 1H, J = 4 Hz, J = 8 Hz, CH 9), 7.60 (d, 1H, J = 4 Hz, NH-CH2 δ), 7.66 (s, 1H, CH 2), 8.13 (dd, 1H, J = 4 Hz, J = 8 Hz, CH 6), 8.64 (d, 1H, CH 1). 13C-NMR δ (ppm, DMSO-d6): 25.87 (CH2 β), 28.04 (CH3 tBu), 28.67 (CH3 tBu), 28.43 (CH2 γ), 39.79 (CH2 δ), 54.75 (CH α), 78.45 (Cq tBu), 80.53 (Cq tBu), 115.02 (CH 1), 115.79 (CH 6), 122.99 (CH 7), 124.65 (Cq 5a), 126.50 (CH 9), 126.73 (CH 8), 132.20 (CH 2), 132.87 (Cq 3a), 147.78 (Cq 4), 156.00 (Cq 9a), 172.33 (C=O). MS (ESI +, QTof, m/z): 456.0.1 [M + H]+.

3.1.3. Bromination

Tert-butyl 2-((1-bromoimidazo[1,2-a]quinoxalin-4-yl)amino)acetate (7a): A solution of 6a (0.26 g, 0.87 mmol) and N-bromosuccinimide (0.19 g, 1.0 mmol) in CHCl3 (50 mL) was heated under reflux for 2 h. The solvent was removed under reduced pressure. The crude mixture was dissolved in ethyl acetate (50 mL) and successively washed with saturated aqueous ammonium chloride, saturated aqueous sodium bicarbonate, distilled water and finally brine (50 mL). The organic phase was dried on sodium sulfate, filtered and concentrated under reduced pressure. The compound was obtained as a beige oil (97% yield) and used without purification. C16H17BrN4O2. MW: 377.24 g/mol. 1H-NMR δ (ppm, DMSO-d6): 1.42 (s, 9H, 3 × CH3 OtBu), 4.12 (d, 2H, J = 8 Hz, CH2 α), 7.34–7.37 (m, 1H, CH 7), 7.45–7.50 (m, 1H, CH 8), 7.59 (dd, 1H, J = 4 Hz, J = 8 Hz, CH 9), 7.76 (s, 1H, CH 2), 8.02 (t, 1H, J = 8 Hz, NH), 8.96 (dd, 1H, J = 4 Hz, J = 8 Hz, CH 6). 13C-NMR δ (ppm, DMSO-d6): 28.22 (CH3 tBu), 43.26 (CH2 α), 80.93 (Cq tBu), 99.61 (Cq 1), 115.12 (CH 6), 123.08 (CH 7), 126.08 (Cq 5a), 127.35 (CH 9), 127.78 (CH 8), 134.01 (Cq 3a), 134.79 (CH 2), 137.63 (Cq 9a), 147.05 (Cq 4), 169.64 (C=O). MS (ESI +, QTof, m/z): 377.0 [M + H]+.
Tert-butyl 2-((1-bromoimidazo[1,2-a]quinoxalin-4-yl)amino)propanoate (7b): A solution of 6b (0.3 g, 0.96 mmol) and N-bromosuccinimide (0.2 g, 1.1 mmol) in CHCl3 (50 mL) was heated under reflux for 2 h. The solvent was removed under reduced pressure. The crude mixture was dissolved in ethyl acetate (50 mL) and successively washed with saturated aqueous ammonium chloride, saturated aqueous sodium bicarbonate, distilled water and finally brine. The organic phase was dried on sodium sulfate, filtered and concentrated under reduced pressure. The compound was obtained as a beige oil (98% yield) and used without purification. C17H19BrN4O2. MW: 391.26 g/mol. 1H-NMR δ (ppm, DMSO-d6): 1.41 (s, 9H, 3 × CH3 OtBu), 1.51 (d, 3H, J = 8 Hz, CH3 β), 4.55–4.59 (m, 1H, CH α), 7.34–7.38 (m, 1H, CH 7), 7.46–7.48 (m, 1H, CH 8), 7.60 (dd, 1H, J = 4 Hz, J = 8 Hz, CH 9), 7.76 (s, 1H, CH 2), 7.82 (d, 1H, J = 4 Hz, NH), 8.97 (dd, 1H, J = 4 Hz, J = 8 Hz, CH 6). 13C-NMR δ (ppm, DMSO-d6): 17.40 (CH3 β), 28.03 (CH3 tBu), 50.24 (CH α), 80.70 (Cq tBu), 99.68 (CH 1), 115.06 (CH 6), 123.17 (CH 7), 126.06 (Cq 5a), 127.30 (CH 9), 127.45 (CH 8), 133.87 (Cq 3a), 134.73 (CH 2), 137.47 (Cq 9a), 146.58 (Cq 4), 172.66 (C=O). MS (ESI +, QTof, m/z): 391.1 [M + H]+.
Tert-butyl 2-((1-bromoimidazo[1,2-a]quinoxalin-4-yl)amino)-3-methylbutanoate (7c): A solution of 6c (0.38 g, 1.1 mmol) and N-bromosuccinimide (0.24 g, 1.4 mmol) in CHCl3 (50 mL) was heated under reflux for 2 h. The solvent was removed under reduced pressure. The crude mixture was dissolved in ethyl acetate (50 mL) and successively washed with saturated aqueous ammonium chloride, saturated aqueous sodium bicarbonate, distilled water and finally brine. The organic phase was dried on sodium sulfate, filtered and concentrated under reduced pressure. The compound was obtained as a beige oil (96% yield) and used without purification. C19H23BrN4O2. MW: 419.31 g/mol. 1H-NMR δ (ppm, DMSO-d6): 1.02 (d, 3H, J = 8 Hz, CH3 γ), 1.05 (d, 3H, J = 8 Hz, CH3 γ’), 1.43 (s, 9H, 3 × CH3 OtBu), 2.31–2.36 (m, 1H, CH β), 4.49 (t, 1H, J = 16 Hz, CH α), 7.20 (d, 1H, J = 8 Hz, NH), 7.35–7.40 (m, 1H, CH 7), 7.47–7.49 (m, 1H, CH 8), 7.62 (dd, 1H, J = 4 Hz, J = 8 Hz, CH 9), 7.76 (s, 1H, CH 2), 8.97 (dd, 1H, J = 4 Hz, J = 8 Hz, CH 6). 13C-NMR δ (ppm, DMSO-d6): 19.42 (CH3 γ, CH3 γ’), 28.17 (CH3 tBu), 30.40 (CH β), 59.76 (CH α), 81.25 (Cq tBu), 99.86 (Cq 1), 115.08 (CH 6), 123.38 (CH 7), 126.16 (Cq 5a), 127.44 (CH 9), 127.47 (CH 8), 133.81 (Cq 3a), 134.74 (CH 2), 137.40 (Cq 9a), 146.84 (Cq 4), 171.44 (C=O). MS (ESI +, QTof, m/z): 419.1 [M + H]+.
Tert-butyl 2-((1-bromoimidazo[1,2-a]quinoxalin-4-yl)amino)-4-methylpentanoate (7d): A solution of 6d (0.35 g, 1.0 mmol) and N-bromosuccinimide (0.2 g, 1.2 mmol) in CHCl3 (50 mL) was heated under reflux for 2 h. The solvent was removed under reduced pressure. The crude mixture was dissolved in ethyl acetate (50 mL) and successively washed with saturated aqueous ammonium chloride, saturated aqueous sodium bicarbonate, distilled water and finally brine. The organic phase was dried on sodium sulfate, filtered and concentrated under reduced pressure. The compound was obtained as a beige oil (95% yield) and used without purification. C20H25BrN4O2. MW: 433.34 g/mol. 1H-NMR δ (ppm, DMSO-d6): 0.91 (d, 3H, J = 8 Hz, CH3 δ), 0.95 (d, 3H, J = 8 Hz, CH3 δ’), 1.40 (s, 9H, 3 × CH3 OtBu), 1.60–1.62 (m, 1H, CH2 β), 1.77–1.79 (m, 1H, CH γ), 1.94–1.96 (m, 1H, CH2 β), 4.60 (t, 1H, J = 4 Hz, CH α), 7.35–7.38 (m, 1H, CH 7), 7.46–7.50 (m, 1H, CH 8), 7.60 (dd, 1H, J = 4 Hz, J = 8 Hz, CH 9), 7.71 (d, 1H, J = 4 Hz, NH), 7.76 (s, 1H, CH 2), 8.97 (dd, 1H, J = 4 Hz, J = 8 Hz, CH 6). 13C-NMR δ (ppm, DMSO-d6): 22.03 (CH3 δ), 23.31 (CH3 δ’), 25.12 (CH γ), 28.14 (CH3 tBu), 40.10 (CH2 β), 52.95 (CH α), 80.76 (Cq tBu), 99.21 (Cq 1), 115.07 (CH 6), 123.17 (CH 7), 126.08 (Cq 5a), 127.37 (CH 9), 127.46 (CH 8), 133.88 (Cq 3a), 134.71 (CH 2), 137.55 (Cq 9a), 146.97 (Cq 4), 172.59 (C=O). MS (ESI +, QTof, m/z): 433.1 [M + H]+.
Tert-butyl 2-((1-bromoimidazo[1,2-a]quinoxalin-4-yl)amino)-6-((Tert-butoxycarbonyl)amino)-hexanoate (7e): A solution of 6e (1.2 g, 2.5 mmol) and N-bromosuccinimide (0.54 g, 3.1 mmol) in CHCl3 (50 mL) was heated under reflux for 2 h. The solvent was removed under reduced pressure. The crude mixture was dissolved in ethyl acetate (50 mL) and successively washed with saturated aqueous ammonium chloride, saturated aqueous sodium bicarbonate, distilled water and finally brine. The organic phase was dried on sodium sulfate, filtered and concentrated under reduced pressure. The compound was obtained as a beige oil (78% yield) and used without purification. C25H34BrN5O4. MW: 548.47 g/mol. 1H-NMR δ (ppm, DMSO-d6): 1.22–1.24 (m, 2H, CH2 γ), 1.34 (s, 9H, 3 × CH3 OtBu), 1.40 (s, 9H, 3 × CH3 OtBu), 1.54–1.56 (m, 2H, CH2 β), 1.89–1.91 (m, 2H, CH2 δ), 2.83–2.89 (m, 2H, CH2 ε), 4.13–4.19 (m, 1H, CH α), 6.78 (t, 1H, J = 4 Hz, NH-CH2 ε), 7.34–7.39 (m, 1H, CH 7), 7.46–7.48 (m, 1H, CH 8), 7.65 (dd, 1H, J = 4 Hz, J = 8 Hz, CH 9), 8.03 (s, 1H, CH 2), 8.34 (d, 1H, J = 4 Hz, NH-CH α), 8.97 (dd, 1H, J = 4 Hz, J = 8 Hz, CH 6). 13C-NMR δ (ppm, DMSO-d6): 22.90 (CH2 γ), 28.15 (CH3 tBu), 28.73 (CH3 tBu), 29.46 (CH2 δ), 31.34 (CH2 β), 39.36 (CH2 ε), 54.61 (CH α), 80.85 (Cq tBu), 81.14 (Cq tBu), 99.70 (Cq 1), 115.06 (CH 6), 123.19 (CH 7), 126.09 (Cq 5a), 127.39 (CH 9), 127.46 (CH 8), 133.87 (CH 2), 134.70 (Cq 3a), 137.54 (Cq 9a), 146.88 (Cq 4), 171.39 (C=O), 172.21 (C=O). MS (ESI +, QTof, m/z): 548.1 [M + H]+.
Tert-butyl 5-(((benzyloxy)carbonyl)amino)-2-((1-bromoimidazo[1,2-a]quinoxalin-4-yl)-amino)pentanoate (7f): A solution of 6f (0.45 g, 0.9 mmol) and N-bromosuccinimide (0.20 g, 1.1 mmol) in CHCl3 (50 mL) was heated under reflux for 2 h. The solvent was removed under reduced pressure. The crude mixture was dissolved in ethyl acetate (50 mL) and successively washed with saturated aqueous ammonium chloride, saturated aqueous sodium bicarbonate, distilled water and finally brine. The organic phase was dried on sodium sulfate, filtered and concentrated under reduced pressure. The compound was obtained as a beige oil (94% yield) and used without purification. C27H30BrN5O4. MW: 568.46 g/mol. 1H-NMR δ (ppm, DMSO-d6): 1.40 (s, 9H, 3 × CH3 OtBu), 1.51–1.59 (m, 2H, CH2 γ), 1.89–1.92 (m, 2H, CH2 β), 3.03–3.08 (m, 2H, CH2 δ), 4.52–4.54 (m, 1H, CH α), 5.00 (s, 2H, CH2-Phenyl), 7.26 (s, 1H, NH-CH2 δ), 7.31–7.35 (m, 5H, CH Phenyl), 7.36–7.39 (m, 1H, CH 7), 7.46–7.50 (m, 1H, CH 8), 7.59 (dd, 1H, J = 4 Hz, J = 8 Hz, CH 9), 7.67 (d, 1H, J = 4 Hz, NH-CH α), 7.76 (s, 1H, CH 2), 8.99 (dd, 1H, J = 4 Hz, J = 8 Hz, CH 6). 13C-NMR δ (ppm, DMSO-d6): 26.53 (CH2 γ), 28.13 (CH3 tBu), 28.50 (CH2 β), 40.42 (CH2 δ), 54.43 (CH α), 65.59 (CH2-Phenyl), 80.92 (Cq tBu), 99.69 (Cq 1), 115.07 (CH 6), 123.20 (CH 7), 126.10 (Cq 5a), 127.39 (CH 9), 127.45 (CH 8), 128.18 (CH Phenyl), 128.78 (CH Phenyl), 133.87 (Cq 3a), 134.70 (CH 2), 137.72 (Cq 9a), 146.85 (Cq 4), 156.56 (Cq Phenyl), 172.05 (C=O). MS (ESI +, QTof, m/z): 568.3 [M + H]+.
Tert-butyl 2-((1-bromoimidazo[1,2-a]quinoxalin-4-yl)amino)-3-phenylpropanoate (7g): A solution of 6g (0.34 g, 0.9 mmol) and N-bromosuccinimide (0.18 g, 1.1 mmol) in CHCl3 (50 mL) was heated under reflux for 2 h. The solvent was removed under reduced pressure. The crude mixture was dissolved in ethyl acetate (50 mL) and successively washed with saturated aqueous ammonium chloride, saturated aqueous sodium bicarbonate, distilled water and finally brine. The organic phase was dried on sodium sulfate, filtered and concentrated under reduced pressure. The compound was obtained as a beige oil (83% yield) and used without purification. C23H23BrN4O2. MW: 467.36 g/mol. 1H-NMR δ (ppm, DMSO-d6): 1.33 (s, 9H, 3 × CH3 OtBu), 3.18–3.22 (m, 1H, CH2 β), 3.31–3.34 (m, 1H, CH2 β), 4.79–4.81 (m, 1H, CH α), 7.21 (t, 1H, J = 8 Hz, CH Phenyl), 7.27–7.30 (m, 2H, 2 × CH Phenyl), 7.32–7.34 (m, 2H, 2xCH Phenyl), 7.35–7.38 (m, 1H, CH 7), 7.46–7.49 (m, 1H, CH 8), 7.60 (dd, 1H, J = 4 Hz, J = 8 Hz, CH 9), 7.65 (d, 1H, J = 8 Hz, NH), 7.75 (s, 1H, CH 2), 8.97 (dd, 1H, J = 2 Hz, J = 8 Hz, CH 6). 13C-NMR δ (ppm, DMSO-d6): 28.04 (CH3 tBu), 36.91 (CH2 β), 56.01 (CH α), 81.06 (Cq tBu), 99.76 (Cq 1), 115.07 (CH 6), 123.33 (CH 7), 126.13 (Cq 5a), 126.96 (CH Phenyl), 127.45 (CH 9), 127.47 (CH 8), 128.68 (CH Phenyl), 129.77 (CH Phenyl), 133.80 (Cq Phenyl), 134.76 (CH 2), 137.45 (Cq 3a), 138.05 (Cq 9a), 146.66 (Cq 4), 171.45 (C=O). MS (ESI +, QTof, m/z): 467.1 [M + H]+.
Tert-butyl 2-((1-bromoimidazo[1,2-a]quinoxalin-4-yl)amino)-3-(4-(Tert-butoxy)phenyl)-propanoate (7h): A solution of 6h (0.34 g, 0.9 mmol) and N-bromosuccinimide (0.18 g, 1.1 mmol) in CHCl3 (50 mL) was heated under reflux for 2 h. The solvent was removed under reduced pressure. The crude mixture was dissolved in ethyl acetate (50 mL) and successively washed with saturated aqueous ammonium chloride, saturated aqueous sodium bicarbonate, distilled water and finally brine. The organic phase was dried on sodium sulfate, filtered and concentrated under reduced pressure. The compound was obtained as a beige oil (91% yield) and used without purification. C23H23BrN4O2. MW: 467.36 g/mol. 1H-NMR δ (ppm, DMSO-d6): 1.22 (s, 9H, 3 × CH3 OtBu), 1.31 (s, 9H, 3 × CH3 OtBu), 3.11–3.16 (m, 1H, CH2 β), 3.24–3.26 (m, 1H, CH2 β), 4.76–4.81 (m, 1H, CH α), 6.85 (dd, 2H, J = 4 Hz, J = 8 Hz, CH Phenyl), 7.20 (dd, 2H, J = 4 Hz, J = 8 Hz, CH Phenyl), 7.34–7.38 (m, 1H, CH 7), 7.46–7.50 (m, 1H, CH 8), 7.59 (dd, 1H, J = 4 Hz, J = 8 Hz, CH 9), 7.65 (d, 1H, J = 8 Hz, NH), 7.75 (d, 1H, J = 4 Hz, CH 2), 8.98 (dd, 1H, J = 4 Hz, J = 8 Hz, CH 6). 13C-NMR δ (ppm, DMSO-d6): 28.04 (CH3 tBu), 28.93 (CH3 tBu), 36.61 (CH2 β), 56.03 (CH α), 78.10 (Cq tBu), 81.01 (Cq tBu), 99.71 (Cq 1), 115.08 (CH 6), 123.32 (CH 7), 123.96 (2 × CH Phenyl), 126.13 (Cq 5a), 127.42 (CH 9), 127.47 (CH 8), 130.33 (2 × CH Phenyl), 132.54 (Cq 3a), 134.78 (CH 2), 137.43 (Cq 9a), 146.61 (Cq 4), 154.06 (2 × Cq Phenyl), 171.53 (C=O). MS (ESI +, QTof, m/z): 467.1 [M + H]+.
Tert-butyl 5-((1-bromoimidazo[1,2-a]quinoxalin-4-yl)amino)-2-((Tert-butoxycarbonyl)amino)-pentanoate (7i): A solution of 6i (0.49 g, 1.1 mmol) and N-bromosuccinimide (0.23 g, 1.3 mmol) in CHCl3 (50 mL) was heated under reflux for 2 h. The solvent was removed under reduced pressure. The crude mixture was dissolved in ethyl acetate (50 mL) and successively washed with saturated aqueous ammonium chloride, saturated aqueous sodium bicarbonate, distilled water and finally brine. The organic phase was dried on sodium sulfate, filtered and concentrated under reduced pressure. The compound was obtained as a beige oil (92% yield) and used without purification. C24H32BrN5O4. MW: 534.45 g/mol. 1H-NMR δ (ppm, DMSO-d6): 1.44 (s, 9H, CH-COOtBu), 1.46 (s, 9H, NH-COOtBu), 1.79–1.83 (m, 2H, CH2 β), 1.91–1.94 (m, 2H, CH2 γ), 3.73–3.78 (m, 2H, CH2 δ), 4.25–4.29 (m, 1H, CH α), 5.39 (d, 1H, J = 4 Hz, NH-CH α), 6.33 (d, 1H, J = 4 Hz, NH-CH2 δ), 7.27–7.31 (m, 1H, CH 7), 7.41–7.45 (m, 1H, CH 8), 7.48 (s, 1H, CH 2), 7.81 (dd, 1H, J = 4 Hz, J = 8 Hz, CH 9), 8.98 (dd, 1H, J = 4 Hz, J = 8 Hz, CH 6). 13C-NMR δ (ppm, DMSO-d6): 25.74 (CH2 β), 28.07 (CH3 tBu), 28.45 (CH3 tBu), 30.17 (CH2 γ), 40.42 (CH2 δ), 54.00 (CH α), 79.75 (Cq tBu), 81.98 (Cq tBu), 99.05 (Cq 1), 115.02 (CH 6), 122.77 (CH 7), 124.54 (Cq 5a), 127.12 (CH 8), 127.98 (CH 9), 134.22 (CH 2), 135.98 (Cq 3a), 146.86 (Cq 4), 155.59 (Cq 9a), 171.92 (C=O). MS (ESI +, QTof, m/z): 534.1 [M + H]+.

3.1.4. Suzuki-Miyaura Cross-Coupling Reactions

Tert-butyl 2-((1-(3,4-dimethoxyphenyl)imidazo[1,2-a]quinoxalin-4-yl)amino)acetate (8a): To a mixture of 7a (0.270 g, 0.71 mmol) in DME/H2O (2/1, 15 mL) were added 3,4-dimethoxyphenylboronic acid (0.143 g, 0.79 mmol), tetrakis(triphenylphosphine) palladium (0.042 g, 0.036 mmol) and sodium carbonate (0.152 g, 1.43 mmol) in a microwave-adapted vial. The reaction was submitted to microwave irradiations during 20 min at 150 °C and then filtered on a Celite pad. The filtrate was concentrated under reduced pressure and successively washed with saturated aqueous ammonium chloride, saturated aqueous sodium bicarbonate, distilled water and finally brine. The organic phase was dried on sodium sulfate, filtered and concentrated under reduced pressure. The product was purified by flash chromatography eluted with cyclohexane/ethyl acetate 80/20 to 50/50. The compound is obtained as a white solid (19% yield). C24H26N4O4. MW: 434.49 g/mol. 1H-NMR δ (ppm, DMSO-d6): 1.44 (s, 9H, 3 × CH3 OtBu), 3.74 (s, 3H, OCH3 Phenyl), 3.87 (s, 3H, OCH3 Phenyl), 4.14 (d, 2H, J = 8 Hz, CH2 α), 7.01–7.05 (m, 1H, CH 7), 7.11 (d, 1H, J = 4 Hz, CH Phenyl), 7.14 (s, 1H, J = 4 Hz, CH Phenyl), 7.18 (d, 1H, J = 4 Hz, CH Phenyl), 7.31 (dd, 1H, J = 4 Hz, J = 8 Hz, CH 6), 7.33–7.35 (m, 1H, CH 8), 7.54 (s, 1H, CH 2), 7.56 (dd, 1H, J = 4 Hz, J = 8 Hz, CH 9), 7.96 (t, 1H, J = 8 Hz, NH). 13C-NMR δ (ppm, DMSO-d6): 28.26 (CH3 tBu), 43.33 (CH2 α), 80.86 (Cq tBu), 112.31 (CH Phenyl), 114.25 (CH Phenyl), 115.93 (CH 6), 122.75 (CH 7), 123.30 (CH Phenyl), 126.03 (Cq 5a), 126.58 (CH 8), 127.20 (CH 9), 132.66 (CH 2), 133.141 (Cq 3a), 130.93 (Cq 1), 137.71 (Cq 9a), 149.27 (Cq Phenyl), 150.14 (Cq Phenyl), 147.74 (Cq 4), 169.85 (C=O). MS (ESI +, QTof, m/z): 435.1 [M + H]+.
Tert-butyl 2-((1-(3,4-dimethoxyphenyl)imidazo[1,2-a]quinoxalin-4-yl)amino)propanoate (8b): Following the same procedure used for the synthesis of 8a, to a mixture of 7b (0.440 g, 1.12 mmol) in DME/H2O (2/1, 15 mL) were added 3,4-dimethoxyphenylboronic acid (0.225 g, 1.24 mmol), tetrakis(triphenylphosphine) palladium (0.065 g, 0.056 mmol) and sodium carbonate (0.237 g, 2.24 mmol) in a microwave-adapted vial. The product was purified by flash chromatography eluted with cyclohexane/ethyl acetate 80/20 to 50/50. The compound is obtained as a white solid (42% yield). C25H28N4O4. MW: 448.51 g/mol. 1H-NMR δ (ppm, DMSO-d6): 1.32 (s, 9H, 3 × CH3 OtBu), 1.42 (d, 3H, J = 8 Hz, CH3 β), 3.64 (s, 3H, OCH3 Phenyl), 3.76 (s, 3H, OCH3 Phenyl), 4.48–4.52 (m, 1H, CH α), 6.90–6.95 (m, 1H, CH 7), 7.01 (d, 1H, J = 4 Hz, CH Phenyl), 7.03 (s, 1H, CH Phenyl), 7.08 (d, 1H, J = 4 Hz, CH Phenyl), 7.20 (dd, 1H, J = 4 Hz, J = 8 Hz, CH 6), 7.22–7.25 (m, 1H, CH 8), 7.42 (s, 1H, CH 2), 7.46 (dd, 1H, J = 4 Hz, J = 8 Hz, CH 9), 7.82 (d, 1H, J = 4 Hz, NH). 13C-NMR δ (ppm, DMSO-d6): 17.59 (CH3 β), 28.25 (CH3 tBu), 50.30 (CH α), 80.72 (Cq tBu), 112.40 (CH Phenyl), 114.33 (CH Phenyl), 116.00 (CH 6), 122.77 (CH 7), 122.90 (Cq 1), 123.37 (CH Phenyl), 126.10 (CH 8), 126.65 (Cq 5a), 127.28 (CH 9), 131.05 (Cq 3a), 132.63 (CH 2), 137.68 (Cq 9a), 147.33 (Cq 4), 149.36 (Cq Phenyl), 150.22 (Cq Phenyl), 172.96 (C=O). MS (ESI +, QTof, m/z): 449.2 [M + H]+. HRMS calculated for C25H29N4O4 449.2189, found 449.2186.
Tert-butyl 2-((1-(3,4-dimethoxyphenyl)imidazo[1,2-a]quinoxalin-4-yl)amino)-3-methylbutanoate (8c): Followigng the same procedure used for the synthesis of 8a, to a mixture of 7c (0.370 g, 0.88 mmol) in DME/H2O (2/1, 15 mL) were added 3,4-dimethoxyphenylboronic acid (0.176 g, 0.97 mmol), tetrakis(triphenylphosphine) palladium (0.051 g, 0.044 mmol) and sodium carbonate (0.186 g, 1.76 mmol) in a microwave-adapted vial. The product was purified by flash chromatography eluted with cyclohexane/ethyl acetate 80/20 to 50/50. The compound is obtained as a white solid (69% yield). C27H32N4O4. MW: 476.57 g/mol. 1H-NMR δ (ppm, DMSO-d6): 0.95 (d, 3H, J = 8 Hz, CH3 γ), 0.98 (d, 3H, J = 8 Hz, CH3 γ’), 1.34 (s, 9H, 3 × CH3 OtBu), 2.20–2.28 (m, 1H, CH β), 3.63 (s, 3H, OCH3 Phenyl), 3.77 (s, 3H, OCH3 Phenyl), 4.44 (t, 1H, J = 16 Hz, CH α), 6.92–6.97 (m, 1H, CH 7), 7.00 (s, 1H, CH Phenyl), 7.02 (d, 1H, J = 4 Hz, NH), 7.06 (d, 1H, J = 4 Hz, CH Phenyl), 7.08 (d, 1H, J = 4 Hz, CH Phenyl), 7.22 (dd, 1H, J = 4 Hz, J = 8 Hz, CH 6), 7.23–7.26 (m, 1H, CH 8), 7.42 (s, 1H, CH 2), 7.49 (dd, 1H, J = 4 Hz, J = 8 Hz, CH 9). 13C-NMR δ (ppm, DMSO-d6): 19.43 (CH3 γ’), 19.56 (CH3 γ), 28.28 (CH3 tBu), 30.57 (CH β), 56.15 (OCH3 Phenyl), 56.24 (OCH3 Phenyl), 59.73 (CH α), 81.31 (Cq tBu), 112.41 (CH Phenyl), 114.35 (CH Phenyl), 116.02 (CH 6), 122.67 (Cq 1), 123.14 (CH 7), 123.39 (CH Phenyl), 126.19 (Cq 5a), 126.71 (CH 8), 127.39 (CH 9), 131.25 (Cq Phenyl), 132.68 (CH 2), 133.00 (Cq 3a), 137.55 (Cq 9a), 147.56 (Cq 4), 149.36 (Cq Phenyl), 150.26 (Cq Phenyl), 171.70 (C=O). MS (ESI +, QTof, m/z): 477.1 [M + H]+. HRMS calculated for C27H33N4O4 477.2502, found 477.2505.
Tert-butyl 2-((1-(3,4-dimethoxyphenyl)imidazo[1,2-a]quinoxalin-4-yl)amino)-4-methyl-pentanoate: (8d): Following the same procedure used for the synthesis of 8a, to a mixture of 7d (0.360 g, 0.83 mmol) in DME/H2O (2/1, 15 mL) were added 3,4-dimethoxyphenylboronic acid (0.166 g, 0.91 mmol), tetrakis(triphenylphosphine) palladium (0.048 g, 0.041 mmol) and sodium carbonate (0.176 g, 1.66 mmol) in a microwave-adapted vial. The product was purified by flash chromatography eluted with cyclohexane/ethyl acetate 80/20 to 50/50. The compound is obtained as a white solid (61% yield). C28H34N4O4. MW: 490.59 g/mol. 1H-NMR δ (ppm, DMSO-d6): 0.83 (d, 3H, J = 8 Hz, CH3 δ), 0.86 (d, 3H, J = 8 Hz, CH3 δ’), 1.31 (s, 9H, 3 × CH3 OtBu), 1.55–1.58 (m, 1H, CH2 β), 1.67–1.70 (m, 1H, CH γ), 1.84–1.88 (m, 1H, CH2 β), 3.63 (s, 3H, OCH3 Phenyl), 3.76 (s, 3H, OCH3 Phenyl), 4.55 (t, 1H, J = 4 Hz, CH α), 6.90–6.94 (m, 1H, CH 7), 7.01 (d, 1H, J = 4 Hz, CH Phenyl), 7.05 (s, 1H, CH Phenyl), 7.08 (d, 1H, J = 4 Hz, CH Phenyl), 7.20 (dd, 1H, J = 4 Hz, J = 8 Hz, CH 6), 7.22–7.24 (m, 1H, CH 8), 7.41 (s, 1H, CH 2), 7.45 (dd, 1H, J = 4 Hz, J = 8 Hz, CH 9), 7.50 (d, 1H, J = 4 Hz, NH). 13C-NMR δ (ppm, DMSO-d6): 22.14 (CH3 δ), 23.41 (CH3 δ’), 25.25 (CH γ), 28.25 (CH3 tBu), 40.29 (CH2 β), 52.96 (CH α), 56.14 (OCH3 Phenyl), 56.23 (OCH3 Phenyl), 80.79 (Cq tBu), 112.40 (CH Phenyl), 114.34 (CH Phenyl), 115.99 (CH 6), 122.78 (Cq 1), 122.88 (CH 7), 123.36 (CH Phenyl), 126.11 (Cq 5a), 126.69 (CH 8), 127.29 (CH 9), 131.09 (Cq 3a), 132.61 (CH 2), 137.70 (Cq 9a), 147.66 (Cq 4), 149.36 (Cq Phenyl), 150.23 (Cq Phenyl), 172.86 (C=O). MS (ESI +, QTof, m/z): 491.0 [M + H]+. HRMS calculated for C28H35N4O4 491.2658, found 491.2654.
Tert-butyl 6-((Tert-butoxycarbonyl)amino)-2-((1-(3,4-dimethoxyphenyl)imidazo[1,2-a]-quinoxalin-4-yl)amino)hexanoate (8e): Following the same procedure used for the synthesis of 8a, to a mixture of 7e (1.090 g, 1.99 mmol) in DME/H2O (2/1, 15 mL) were added 3,4-dimethoxyphenylboronic acid (0.397 g, 2.18 mmol), tetrakis(triphenylphosphine) palladium (0.114 g, 0.099 mmol) and sodium carbonate (0.421 g, 3.97 mmol) in a microwave-adapted vial. The product was purified by flash chromatography eluted with cyclohexane/ethyl acetate 80/20 to 50/50. The compound is obtained as a white solid (7% yield). C33H43N5O6. MW: 605.72 g/mol. 1H-NMR δ (ppm, DMSO-d6): 1.36 (s, 9H, 3 × CH3 OtBu), 1.41–1.46 (m, 13H, CH2 γ, 3 × CH3 OtBu, CH2 δ), 1.88–1.91 (m, 2H, CH2 β), 2.93–2.95 (m, 2H, CH2 ε), 3.73 (s, 3H, OCH3 Phenyl), 3.87 (s, 3H, OCH3 Phenyl), 4.54–4.58 (m, 1H, CH α), 6.80 (t, 1H, J = 4 Hz, NH-CH2 ε), 7.01–7.05 (m, 1H, CH 7), 7.11 (d, 1H, J = 4 Hz, CH Phenyl), 7.15 (s, 1H, CH Phenyl), 7.18 (d, 1H, J = 4 Hz, CH Phenyl), 7.31 (dd, 1H, J = 4 Hz, J = 8 Hz, CH 6), 7.31–7.35 (m, 1H, CH 8), 7.52 (s, 1H, CH 2), 7.55 (dd, 1H, J = 4 Hz, J = 8 Hz, CH 9), 7.59 (d, 1H, J = 4 Hz, NH-CH α). 13C-NMR δ (ppm, DMSO-d6): 23.49 (CH2 γ), 28.18 (CH3 tBu), 28.72 (CH3 tBu), 29.64 (CH2 δ), 30.94 (CH2 β), 40.40 (CH2 ε), 54.56 (CH α), 56.05 (OCH3 Phenyl), 56.14 (OCH3 Phenyl), 77.78 (Cq tBu), 80.80 (Cq tBu), 112.30 (CH Phenyl), 114.22 (CH Phenyl), 115.91 (CH 6), 122.67 (CH 7), 123.28 (CH Phenyl), 126.03 (Cq 5a), 126.56 (CH 8), 127.23 (CH 9), 131.01 (Cq 1), 132.53 (CH 2), 132.98 (Cq 3a), 137.61 (Cq 9a), 147.51 (Cq 4), 149.27 (Cq Phenyl), 150.14 (Cq Phenyl), 156.04 (Cq Phenyl), 172.41 (C=O). MS (ESI +, QTof, m/z): 606.2 [M + H]+. HRMS calculated for C33H44N5O6 606.3292, found 606.3291.
Tert-butyl 5-(((benzyloxy)carbonyl)amino)-2-((1-(3,4-dimethoxyphenyl)imidazo[1,2-a]-quinoxalin-4-yl)amino)pentanoate (8f): Following the same procedure used for the synthesis of 8a, to a mixture of 7f (0.470 g, 0.89 mmol) in DME/H2O (2/1, 15 mL) were added 3,4-dimethoxyphenylboronic acid (0.165 g, 0.91 mmol), tetrakis(triphenylphosphine) palladium (0.048 g, 0.041 mmol) and sodium carbonate (0.175 g, 1.65 mmol) in a microwave-adapted vial. The product was purified by flash chromatography eluted with cyclohexane/ethyl acetate 80/20 to 50/50. The compound is obtained as a white solid (42% yield). C35H39N5O6. MW: 625.71 g/mol. 1H-NMR δ (ppm, DMSO-d6): 1H-NMR δ (ppm, 400 MHz, DMSO-d6): 1.52 (s, 9H, 3 × CH3 OtBu), 1.77–1.81 (m, 2H, CH2 γ), 1.99–2.03 (m, 1H, CH2 δ), 2.10–2.13 (m, 1H, CH2 δ), 3.34–3.39 (m, 2H, CH2 β), 3.88 (s, 3H, OCH3 Phenyl), 4.02 (s, 3H, OCH3 Phenyl), 5.12 (s, 2H, CH2-Phenyl), 5.37–5.39 (m, 1H, CH α), 6.99 (d, 2H, J = 4 Hz, CH Phenyl), 7.03 (s, 1H, CH Phenyl), 7.10–7.12 (m, 1H, CH 7), 7.28 (dd, 1H, J = 4 Hz, J = 8 Hz, CH 6), 7.32–7.35 (m, 7H, CH 8, CH2, CH Phenyl), 7.36 (dd, 1H, J = 4 Hz, J = 8 Hz, CH 9), 7.47 (d, 1H, J = 4 Hz, NH-CH2 δ), 7.76 (dd, 1H, J = 4 Hz, J = 8 Hz, NH-CH α). 13C-NMR δ (ppm, DMSO-d6): 25.62 (CH2 γ), 28.09 (CH3 tBu), 30.04 (CH2 β), 40.61 (CH2 δ), 54.42 (CH α), 66.58 (CH2-Phenyl), 82.42 (Cq tBu), 111.30 (CH Phenyl), 113.24 (CH Phenyl), 114.69 (Cq 1), 115.99 (CH 6), 123.16 (CH 7), 126.40 (Cq 5a), 126.82 (CH 9), 126.87 (CH 8), 128.01 (CH Phenyl), 128.08 (CH Phenyl), 129.49 (CH Phenyl), 131.85 (CH 2), 132.87 (Cq 3a), 136.68 (Cq 9a), 149.16 (Cq 4), 150.12 (Cq Phenyl), 152.37 (Cq Phenyl), 156.51 (Cq Phenyl), 171.59 (C=O). MS (ESI +, QTof, m/z): 626.0 [M + H]+. HRMS calculated for C35H40N5O6 626.2979, found 626.2982.
Tert-butyl 2-((Tert-butoxycarbonyl)amino)-5-((1-(3,4-dimethoxyphenyl)imidazo[1,2-a]-quinoxalin-4-yl)amino)pentanoate (8i): Following the same procedure used for the synthesis of 8a, to a mixture of 7i (0.515 g, 0.96 mmol) in DME/H2O (2/1, 15 mL) were added 3,4-dimethoxyphenylboronic acid (0.193 g, 1.06 mmol), tetrakis(triphenylphosphine) palladium (0.056 g, 0.048 mmol) and sodium carbonate (0.204 g, 1.93 mmol) in a microwave-adapted vial. The product was purified by flash chromatography eluted with cyclohexane/ethyl acetate 80/20 to 50/50. The compound is obtained as a white solid (45% yield). C32H41N5O6. MW: 591.70 g/mol. 1H-NMR δ (ppm, DMSO-d6): 1.34 (s, 9H, CH-COOtBu), 1.39 (s, 9H, NH-COOtBu), 1.73–1.74 (m, 2H, CH2 β), 1.77–1.78 (m, 2H, CH2 γ), 3.56–3.59 (m, 2H, CH2 δ), 3.74 (s, 3H, OCH3 Phenyl), 3.87 (s, 3H, OCH3 Phenyl), 3.89–3.92 (m, 1H, CH α), 6.95–7.00 (m, 1H, CH 7), 7.09 (dd, 1H, J = 4 Hz, J = 8 Hz, CH Phenyl), 7.14 (s, 1H, CH Phenyl), 7.15 (dd, 1H, J = 4 Hz, J = 8 Hz, CH Phenyl), 7.19 (d, 1H, J = 4 Hz, NH-CH α), 7.28 (dd, 1H, J = 4 Hz, J = 8 Hz, CH 6), 7.30–7.32 (m, 1H, CH 8), 7.47 (s, 1H, CH 2), 7.58 (dd, 1H, J = 4 Hz, J = 8 Hz CH 9), 7.72 (t, 1H, J = 4 Hz, NH-CH2 δ). 13C-NMR δ (ppm, DMSO-d6): 25.97 (CH2 β), 28.06 (CH3 tBu), 28.25 (CH3 tBu), 28.67 (CH2 γ), 39.79 (CH2 δ), 54.77 (CH α), 56.05 (OCH3 Phenyl), 56.15 (OCH3 Phenyl), 78.46 (Cq tBu), 80.54 (Cq tBu), 112.32 (CH Phenyl), 114.22 (CH Phenyl), 115.83 (CH 6), 122.12 (CH 7), 122.82 (CH Phenyl), 123.26 (Cq 1), 125.75 (Cq 5a), 126.41 (CH 8), 127.07 (CH 9), 132.32 (CH 2), 138.24 (Cq 3a), 148.04 (Cq 4), 149.26 (Cq Phenyl), 150.10 (Cq Phenyl), 156.01 (Cq 9a), 172.36 (C=O). MS (ESI +, QTof, m/z): 592.1 [M + H]+. HRMS calculated for C32H42N5O6 592.3135, found 592.3137.
Tert-butyl 2-((1-(3,4-dihydroxyphenyl)imidazo[1,2-a]quinoxalin-4-yl)amino)acetate (9a): To a mixture of 7a (0.320 g, 0.85 mmol) in DME/H2O (2/1, 15 mL) were added compound 12 (0.392 g, 2.54 mmol), tetrakis(triphenylphosphine) palladium (0.049 g, 0.040 mmol) and sodium carbonate (0.179 g, 1.70 mmol) in a microwave-adapted vial. The reaction was submitted to microwave irradiations during 20 min at 150 °C and then filtered on a Celite pad. The filtrate was concentrated under reduced pressure and successively washed with saturated aqueous ammonium chloride, saturated aqueous sodium bicarbonate, distilled water and finally brine. The organic phase was dried on sodium sulfate, filtered and concentrated under reduced pressure. The product was purified by flash chromatography eluted with cyclohexane/ethyl acetate 80/20 to 50/50. The compound is obtained as a white solid (16% yield). C22H22N4O4. MW: 406.43 g/mol. 1H-NMR δ (ppm, DMSO-d6): 1H-NMR δ (ppm, DMSO-d6): 1.42 (s, 9H, 3 × CH3 OtBu), 4.15 (d, 2H, J = 8 Hz, CH2 α), 6.82 (dd, 1H, J = 4 Hz, J = 8 Hz, CH Phenyl), 6.89 (dd, 1H, J = 4 Hz, J = 8 Hz, CH Phenyl), 6.93 (s, 1H, CH Phenyl), 7.02–7.06 (m, 1H, CH 7), 7.33 (dd, 1H, J = 4 Hz, J = 8 Hz, CH 6), 7.35–7.38 (m, 1H, CH 8), 7.46 (s, 1H, CH 2), 7.54 (dd, 1H, J = 4 Hz, J = 8 Hz, CH 9), 7.96–8.00 (m, 1H, NH), 9.32 (s, 1H, C-OH Phenyl), 9.41 (s, 1H, C-OH Phenyl). 13C-NMR δ (ppm, DMSO-d6): 28.23 (CH3 tBu), 43.30 (CH2 α), 80.85 (Cq tBu), 115.37 (Cq 1), 115.92 (CH 6), 116.48 (CH 7), 117.89 (CH Phenyl), 121.13 (CH Phenyl), 122.06 (CH 8), 122.81 (CH Phenyl), 125.98 (Cq 5a), 126.54 (CH 9), 127.77 (Cq Phenyl), 131.43 (Cq 3a), 132.36 (CH 2), 132.89 (Cq 9a), 146.04 (Cq Phenyl), 147.13 (Cq Phenyl), 147.65 (Cq 4), 169.76 (C=O). MS (ESI +, QTof, m/z): 407.2 [M + H]+. HRMS calculated for C22H23N4O4 407.1706, found 407.1710.
Tert-butyl 2-((1-(3,4-dihydroxyphenyl)imidazo[1,2-a]quinoxalin-4-yl)amino)propanoate (9b): Following the same procedure used for the synthesis of 9a (see 4.1.4.8.), to a mixture of 7b (0.290 g, 0.74 mmol) in DME/H2O (2/1, 15 mL) were added compound 12 (0.342 g, 2.22 mmol), tetrakis- (triphenylphosphine) palladium (0.043 g, 0.037 mmol) and sodium carbonate (0.157 g, 1.48 mmol) in a microwave-adapted vial. The product was purified by flash chromatography eluted with cyclohexane/ethyl acetate 80/20 to 50/50. The compound is obtained as a white solid (6% yield). C23H24N4O4. MW: 420.46 g/mol. 1H-NMR δ (ppm, DMSO-d6): 1.42 (s, 9H, 3 × CH3 OtBu), 1.51 (d, 3H, J = 8 Hz, CH3 β), 4.59–4.63 (m, 1H, CH α), 6.81 (d, 1H, J = 4 Hz, CH Phenyl), 6.90 (d, 1H, J = 4 Hz, CH Phenyl), 6.93 (s, 1H, CH Phenyl), 7.01–7.05 (m, 1H, CH 7), 7.30 (dd, 1H, J = 4 Hz, J = 8 Hz, CH 6), 7.33–7.37 (m, 1H, CH 8), 7.45 (s, 1H, CH 2), 7.53 (dd, 1H, J = 4 Hz, J = 8 Hz, CH 9), 7.66 (d, 1H, J = 4 Hz, NH), 9.36 (s, 2H, C-OH Phenyl). 13C-NMR δ (ppm, DMSO-d6): 17.57 (CH3 β), 28.16 (CH3 tBu), 50.17 (CH α), 80.66 (Cq tBu), 115.87 (CH 8), 116.47 (CH Phenyl), 117.88 (CH Phenyl), 121.16 (Cq 1), 122.05 (CH Phenyl), 122.78 (CH 7), 126.02 (Cq 5a), 127.16 (CH 9), 131.35 (Cq 3a), 132.19 (CH 2), 132.80 (Cq 9a), 137.57 (Cq 4), 146.03 (Cq Phenyl), 147.10 (Cq Phenyl), 147.23 (Cq Phenyl), 172.87 (C=O). MS (ESI +, QTof, m/z): 421.2 [M + H]+. HRMS calculated for C23H25N4O4 421.1876, found 421.1875.
Tert-butyl 2-((1-(3,4-dihydroxyphenyl)imidazo[1,2-a]quinoxalin-4-yl)amino)-3-methyl-butanoate (9c): Following the same procedure used for the synthesis of 9a (see 4.1.4.8.), to a mixture of 7c (0.380 g, 0.91 mmol) in DME/H2O (2/1, 15 mL) were added compound 12 (0.340 g, 2.72 mmol), tetrakis- (triphenylphosphine) palladium (0.052 g, 0.045 mmol) and sodium carbonate (0.192 g, 1.81 mmol) in a microwave-adapted vial. The product was purified by flash chromatography eluted with cyclohexane/ethyl acetate 80/20 to 50/50. The compound is obtained as a white solid (32% yield). C25H28N4O4. MW: 448.51 g/mol. 1H-NMR δ (ppm, DMSO-d6): 1.03 (d, 3H, J = 8 Hz, CH3 γ), 1.06 (d, 3H, J = 8 Hz, CH3 γ’), 1.44 (s, 9H, 3 × CH3 OtBu), 2.31–2.35 (m, 1H, CH β), 4.53 (t, 1H, J = 8 Hz, CH α), 6.81 (dd, 1H, J = 4 Hz, J = 8 Hz, CH Phenyl), 6.90 (d, 1H, J = 4 Hz, J = 8 Hz, CH Phenyl), 6.93 (d, 1H, J = 4 Hz, J = 8 Hz, CH Phenyl), 7.03–7.05 (m, 1H, CH 7), 7.07 (d, 1H, J = 4 Hz, NH), 7.34–7.35 (m, 1H, CH 8), 7.37 (dd, 1H, J = 4 Hz, J = 8 Hz, CH 6), 7.46 (s, 1H, CH 2), 7.56 (dd, 1H, J = 4 Hz, J = 8 Hz, CH 9), 9.32 (s, 1H, C-OH Phenyl), 9.41 (s, 1H, C-OH Phenyl). 13C-NMR δ (ppm, DMSO-d6): 19.30 (CH3 γ’), 19.47 (CH3 γ), 28.19 (CH3 tBu), 30.54 (CH β), 59.60 (CH α), 81.25 (Cq tBu), 115.90 (CH 6), 116.47 (CH Phenyl), 117.89 (CH Phenyl), 121.05 (Cq 1), 122.07 (CH Phenyl), 123.07 (CH 7), 126.11 (Cq 5a), 126.56 (CH 8), 127.28 (CH 9), 131.55 (Cq Phenyl), 132.24 (CH 2), 132.72 (Cq 3a), 137.43 (Cq 9a), 146.03 (Cq 4), 147.14 (Cq Phenyl), 147.47 (Cq Phenyl), 171.62 (C=O). MS (ESI +, QTof, m/z): 449.3 [M + H]+. HRMS calculated for C25H29N4O4 449.2189, found 449.2188.
Tert-butyl 2-((1-(3,4-dihydroxyphenyl)imidazo[1,2-a]quinoxalin-4-yl)amino)-4-methyl-pentanoate (9d): Following the same procedure used for the synthesis of 9a (see 4.1.4.8.), to a mixture of 7d (0.460 g, 1.06 mmol) in DME/H2O (2/1, 15 mL) were added compound 12 (0.400 g, 2.6 mmol), tetrakis- (triphenylphosphine) palladium (0.062 g, 0.053 mmol) and sodium carbonate (0.224 g, 2.11 mmol) in a microwave-adapted vial. The product was purified by flash chromatography eluted with cyclohexane/ethyl acetate 80/20 to 50/50. The compound is obtained as a white solid (16% yield). C26H30N4O4. MW: 462.54 g/mol. 1H-NMR δ (ppm, DMSO-d6): 0.93 (d, 3H, J = 8 Hz, CH3 δ), 0.97 (d, 3H, J = 8 Hz, CH3 δ’), 1.42 (s, 9H, 3 × CH3 OtBu), 1.56–1.60 (m, 1H, CH2 β), 1.79–1.83 (m, 1H, CH γ), 1.91–1.95 (m, 1H, CH2 β), 4.65 (t, 1H, J = 4 Hz, CH α), 6.81 (d, 1H, J = 4 Hz, CH Phenyl), 6.86 (s, 1H, CH Phenyl), 6.90 (d, 1H, J = 4 Hz, CH Phenyl), 7.01–7.05 (m, 1H, CH 7), 7.28–7.32 (m, 1H, CH 8), 7.34 (dd, 1H, J = 4 Hz, J = 8 Hz, CH 6), 7.46 (s, 1H, CH 2), 7.55 (dd, 1H, J = 4 Hz, J = 8 Hz, CH 9), 7.59 (d, 1H, J = 4 Hz, NH), 9.38 (s, 2H, C-OH Phenyl). 13C-NMR δ (ppm, DMSO-d6): 22.09 (CH3 δ), 23.32 (CH3 δ’), 25.17 (CH γ), 28.18 (CH3 tBu), 39.60 (CH2 β), 52.88 (CH α), 80.76 (Cq tBu), 115.87 (CH 6), 116.48 (CH Phenyl), 117.90 (CH Phenyl), 121.15 (Cq 1), 122.18 (CH Phenyl), 122.79 (CH 7), 126.11 (Cq 5a), 125.80 (CH 8), 126.04 (CH 9), 131.42 (Cq 3a), 132.18 (CH 2), 137.58 (Cq 9a), 146.06 (Cq 4), 147.14 (Cq Phenyl), 147.57 (Cq Phenyl), 172.77 (C=O). MS (ESI +, QTof, m/z): 463.2 [M + H]+. HRMS calculated for C26H31N4O4 463.2345, found 463.2343.
Tert-butyl 6-((Tert-butoxycarbonyl)amino)-2-((1-(3,4-dihydroxyphenyl)imidazo[1,2-a]-quinoxalin-4-yl)amino)hexanoate (9e): Following the same procedure used for the synthesis of 9a (see 4.1.4.8.), to a mixture of 7e (0.242 g, 0.44 mmol) in DME/H2O (2/1, 15 mL) were added compound 12 (0.170 g, 1.10 mmol), tetrakis- (triphenylphosphine) palladium (0.025 g, 0.022 mmol) and sodium carbonate (0.093 g, 0.88 mmol) in a microwave-adapted vial. The product was purified by flash chromatography eluted with cyclohexane/ethyl acetate 80/20 to 50/50. The compound is obtained as a white solid (40% yield). C31H39N5O6. MW: 577.67 g/mol. 1H-NMR δ (ppm, DMSO-d6): 1.35 (s, 9H, 3 × CH3 OtBu), 1.40–1.42 (m, 2H, CH2 γ), 1.43 (s, 9H, 3 × CH3 OtBu), 1.45–1.47 (m, 2H, CH2 δ), 1.88–2.00 (m, 2H, CH2 β), 2.92–2.94 (m, 2H, CH2 ε), 4.55–4.56 (m, 1H, CH α), 6.79 (t, 1H, J = 4 Hz, NH-CH2 ε), 6.83 (d, 1H, J = 4 Hz, CH Phenyl), 6.89 (s, 1H, CH Phenyl), 6.93 (d, 1H, J = 4 Hz, CH Phenyl), 7.02–7.05 (m, 1H, CH 7), 7.31–7.33 (m, 1H, CH 8), 7.36 (dd, 1H, J = 4 Hz, J = 8 Hz, CH 6), 7.45 (s, 1H, CH 2), 7.54 (dd, 1H, J = 4 Hz, J = 8 Hz, CH 9), 7.57 (d, 1H, J = 4 Hz, NH-CH α), 9.33 (s, 1H, C-OH Phenyl), 9.41 (s, 1H, C-OH Phenyl). 13C-NMR δ (ppm, DMSO-d6): 22.40 (CH2 γ), 27.11 (CH3 tBu), 27.65 (CH3 tBu), 28.56 (CH2 δ), 29.91 (CH2 β), 39.25 (CH2 ε), 53.44 (CH α), 76.70 (Cq tBu), 79.75 (Cq tBu), 114.79 (CH 6), 115.40 (CH Phenyl), 116.80 (CH Phenyl), 120.07 (CH Phenyl), 121.73 (CH 7), 124.97 (Cq 5a), 125.42 (CH 8), 126.12 (CH 9), 130.32 (Cq 1), 131.09 (CH 2), 131.70 (Cq 3a), 136.49 (Cq 9a), 144.96 (Cq 4), 146.04 (Cq Phenyl), 146.43 (Cq Phenyl), 154.96 (Cq Phenyl), 172.41 (C=O). MS (ESI +, QTof, m/z): 578.3 [M + H]+. HRMS calculated for C31H40N5O6 578.2979, found 578.2980.
Tert-butyl 5-(((benzyloxy)carbonyl)amino)-2-((1-(3,4-dihydroxyphenyl)imidazo[1,2-a]-quinoxalin-4-yl)amino)pentanoate (9f): Following the same procedure used for the synthesis of 9a (see 4.1.4.8.), to a mixture of 7f (0.260 g, 0.46 mmol) in DME/H2O (2/1, 15 mL) were added compound 12 (0.211 g, 1.37 mmol), tetrakis- (triphenylphosphine) palladium (0.026 g, 0.023 mmol) and sodium carbonate (0.097 g, 0.91 mmol) in a microwave-adapted vial. The product was purified by flash chromatography eluted with cyclohexane/ethyl acetate 80/20 to 50/50. The compound is obtained as a white solid (26% yield). C33H35N5O6. MW: 597.66 g/mol. 1H-NMR δ (ppm, DMSO-d6): 1H-NMR δ (ppm, 400 MHz, DMSO-d6): 1.40 (s, 9H, 3 × CH3 OtBu), 1.58–1.60 (m, 2H, CH2 γ), 1.91–1.95 (m, 2H, CH2 β), 3.05–3.08 (m, 2H, CH2 δ), 4.55–4.59 (m, 1H, CH α), 5.01 (s, 2H, CH2-Phenyl), 6.81 (d, 1H, J = 4 Hz, CH Phenyl), 6.89 (s, 1H, CH Phenyl), 6.93 (d, 1H, J = 4 Hz, CH Phenyl), 7.01–7.06 (m, 1H, CH 7), 7.27 (d, 1H, J = 4 Hz, NH-CH2 δ), 7.31–7.34 (m, 5H, CH Phenyl), 7.37 (dd, 1H, J = 4 Hz, J = 8 Hz, CH 6), 7.45 (s, 1H, CH 2), 7.54 (d, 1H, J = 4 Hz, NH-CH α), 7.56–7.60 (m, 1H, CH 8), 7.63 (dd, 1H, J = J = 4 Hz, J = 8 Hz, CH 9). 13C-NMR δ (ppm, DMSO-d6): 26.54 (CH2 γ), 28.09 (CH2 β), 28.17 (CH3 tBu), 40.45 (CH2 δ), 54.34 (CH α), 65.60 (CH2-Phenyl), 80.92 (Cq tBu), 115.88 (CH 6), 116.48 (CH Phenyl), 117.90 (CH Phenyl), 121.16 (Cq 1), 122.84 (CH 7), 126.06 (Cq 5a), 126.50 (CH 9), 127.20 (CH 8), 128.18 (CH Phenyl), 128.79 (CH Phenyl), 129.16 (CH Phenyl), 131.90 (CH 2), 132.79 (Cq 3a), 137.55 (Cq 9a), 146.04 (Cq 4), 147.12 (Cq Phenyl), 147.47 (Cq Phenyl), 156.59 (Cq Phenyl), 172.23 (C=O). MS (ESI +, QTof, m/z): 598.3 [M + H]+. HRMS calculated for C33H36N5O6 598.2666, found 598.2670.
Tert-butyl 2-((1-(3,4-dihydroxyphenyl)imidazo[1,2-a]quinoxalin-4-yl)amino)-3-phenyl-propanoate (9g): Following the same procedure used for the synthesis of 9a (see 4.1.4.8.), to a mixture of 7g (0.360 g, 0.77 mmol) in DME/H2O (2/1, 15 mL) were added compound 12 (0.356 g, 2.31 mmol), tetrakis- (triphenylphosphine) palladium (0.044 g, 0.038 mmol) and sodium carbonate (0.163 g, 1.54 mmol) in a microwave-adapted vial. The product was purified by flash chromatography eluted with cyclohexane/ethyl acetate 80/20 to 50/50. The compound is obtained as a white solid (16% yield). C29H28N4O4. MW: 496.56 g/mol. 1H-NMR δ (ppm, DMSO-d6): 1.36 (s, 9H, 3 × CH3 OtBu), 3.23–3.27 (m, 1H, CH2 β), 3.33–3.38 (m, 1H, CH2 β), 4.91–4.93 (m, 1H, CH α), 6.81 (dd, 1H, J = 4 Hz, J = 8 Hz, CH Phenyl), 6.89 (d, 1H, J = 4 Hz, CH Phenyl), 6.92 (d, 1H, J = 8 Hz, CH Phenyl), 7.08 (t, 1H, J = 8 Hz, CH Phenyl), 7.20 (t, 1H, J = 8 Hz, CH Phenyl), 7.29 (t, 2H, J = 8 Hz, CH Phenyl), 7.34 (d, 2H, J = 8 Hz, CH 6, CH Phenyl), 7.34–7.37 (m, 1H, CH 7), 7.38–7.40 (m, 1H, CH 8), 7.52 (s, 1H, CH 2), 7.60 (d, 1H, J = 8 Hz, CH 9), 7.92–7.93 (m, 1H, NH), 9.38 (s, 2H, C-OH Phenyl). 13C-NMR δ (ppm, DMSO-d6): 26.98 (CH3 tBu), 35.93 (CH2 β), 55.04 (CH α), 80.23 (Cq tBu), 114.96 (CH 6), 115.42 (CH Phenyl), 116.75 (CH Phenyl), 119.67 (Cq 1), 120.96 (CH Phenyl), 122.32 (CH 7), 124.69 (Cq 5a), 125.73 (CH Phenyl, CH 9), 125.94 (CH Phenyl), 127.90 (CH Phenyl), 128.71 (CH 8), 130.76 (Cq Phenyl), 131.11 (CH 2), 131.21 (Cq Phenyl), 136.87 (Cq 3a), 138.12 (Cq 9a), 146.17 (Cq 4), 170.13 (C=O). MS (ESI +, QTof, m/z): 497.1 [M + H]+. HRMS calculated for C29H29N4O4 497.2189, found 497.2198.
Tert-butyl 3-(4-(Tert-butoxy)phenyl)-2-((1-(3,4-dihydroxyphenyl)imidazo[1,2-a]quinoxalin-4-yl)amino)propanoate (9h): Following the same procedure used for the synthesis of 9a (see 4.1.4.8.), to a mixture of 7h (0.260 g, 0.57 mmol) in DME/H2O (2/1, 15 mL) were added compound 12 (0.170 g, 1.72 mmol), tetrakis- (triphenylphosphine) palladium (0.028 g, 0.028 mmol) and sodium carbonate (0.101 g, 1.15 mmol) in a microwave-adapted vial. The product was purified by flash chromatography eluted with cyclohexane/ethyl acetate 80/20 to 50/50. The compound is obtained as a white solid (22% yield). C33H36N4O5. MW: 568.66 g/mol. 1H-NMR δ (ppm, DMSO-d6): 1.24 (s, 9H, 3 × CH3 OtBu), 1.33 (s, 9H, 3 × CH3 OtBu), 3.12–3.18 (m, 1H, CH2 β), 3.26–3.32 (m, 1H, CH2 β), 4.80–4.84 (m, 1H, CH α), 6.80 (d, 1H, J = 8 Hz, CH Phenyl), 6.88 (s, 1H, CH Phenyl), 6.90 (dd, 2H, J = 4 Hz, J = 8 Hz, CH Phenyl), 6.92 (d, 1H, J = 8 Hz, CH Phenyl), 7.01–7.05 (m, 1H, CH 7), 7.25 (d, 2H, J = 8 Hz, CH Phenyl), 7.30–7.32 (m, 1H, CH 8), 7.34 (dd, 1H, J = 4 Hz, J = 8 Hz, CH 6), 7.45 (s, 1H, CH 2), 7.54 (dd, 1H, J = 4 Hz, J = 8 Hz, CH 9), 7.57 (d, 1H, J = 8 Hz, NH), 9.31 (s, 1H, C-OH Phenyl), 9.40 (s, 1H, C-OH Phenyl). 13C-NMR δ (ppm, DMSO-d6): 28.05 (CH3 tBu), 28.95 (CH3 tBu), 36.64 (CH2 β), 55.87 (CH α), 78.12 (Cq tBu), 80.91 (Cq tBu), 115.90 (CH 6), 116.46 (CH Phenyl), 117.87 (CH Phenyl), 121.08 (Cq 1), 122.05 (CH Phenyl), 122.91 (CH 7), 124.00 (2 × CH Phenyl), 126.07 (Cq 5a), 126.49 (CH 8), 127.21 (CH 9), 130.33 (2 × CH Phenyl), 132.26 (CH 2), 132.62 (Cq 3a), 137.46 (Cq 9a), 146.02 (Cq 4), 147.11 (Cq Phenyl), 147.22 (Cq Phenyl), 154.05 (2 × Cq Phenyl), 171.75 (C=O). MS (ESI +, QTof, m/z): 569.3 [M + H]+. HRMS calculated for C33H37N4O5 569.2764, found 569.2773.
Tert-butyl 2-((Tert-butoxycarbonyl)amino)-5-((1-(3,4-dihydroxyphenyl)imidazo[1,2-a]-quinoxalin-4-yl)amino)pentanoate (9i): Following the same procedure used for the synthesis of 9a (see 4.1.4.8.), to a mixture of 7i (0.460 g, 0.86 mmol) in DME/H2O (2/1, 15 mL) were added compound 12 (0.330 g, 2.15 mmol), tetrakis- (triphenylphosphine) palladium (0.050 g, 0.043 mmol) and sodium carbonate (0.182 g, 1.72 mmol) in a microwave-adapted vial. The product was purified by flash chromatography eluted with cyclohexane/ethyl acetate 80/20 to 50/50. The compound is obtained as a white solid (30% yield). C30H37N5O6. MW: 563.64 g/mol. 1H-NMR δ (ppm, DMSO-d6): 1.33 (s, 9H, CH-COOtBu), 1.39 (s, 9H, NH-COOtBu), 1.66–1.72 (m, 4H, CH2 β, CH2 γ), 3.56–3.57 (m, 2H, CH2 δ), 3.89–3.93 (m, 1H, CH α), 6.79 (dd, 1H, J = 4 Hz, J = 8 Hz, CH Phenyl), 6.87 (d, 1H, J = 4 Hz, CH Phenyl), 6.90 (d, 1H, J = 8 Hz, CH Phenyl), 6.95–7.00 (m, 1H, CH 7), 7.17 (d, 1H, J = 8 Hz, NH-CH α), 7.27–7.29 (m, 1H, CH 8), 7.31 (dd, 1H, J = 4 Hz, J = 8 Hz, CH 6), 7.40 (s, 1H, CH 2), 7.56 (dd, 1H, J = 4 Hz, J = 8 Hz, CH 9), 7.69 (t, 1H, J = 4 Hz, NH-CH2 δ), 9.35 (s, 2H, C-OH Phenyl). 13C-NMR δ (ppm, DMSO-d6): 26.80 (CH2 β), 28.04 (CH3 tBu), 28.67 (CH3 tBu), 30.42 (CH2 γ), 39.79 (CH2 δ), 54.78 (CH α), 78.46 (Cq tBu), 80.53 (Cq tBu), 115.79 (CH 6), 116.45 (CH Phenyl), 117.86 (CH Phenyl), 121.29 (Cq 1), 122.01 (CH Phenyl), 122.06 (CH 7), 125.76 (Cq 5a), 126.29 (CH 8), 127.03 (CH 9), 131.91 (CH 2), 138.20 (Cq 3a), 146.02 (Cq 4), 147.05 (Cq Phenyl), 148.03 (Cq Phenyl), 156.02 (Cq 9a), 172.34 (C=O). MS (ESI +, QTof, m/z): 564.3 [M + H]+. HRMS calculated for C30H38N5O6 564.2822, found 564.2827.

3.1.5. Cleavage of the Protective Groups

2-((1-(3,4-Dimethoxyphenyl)imidazo[1,2-a]quinoxalin-4-yl)amino)propanoic acid (10b): To a cooled (0 °C) solution of 8b (0.170 g, 0.36 mmol) in anhydrous CH2Cl2 (20 mL) was added boron tribromide (2.1 mL, 2.1 mmol). The resulting solution was allowed to warm to room temperature and stirred until complete consumption of the starting material (1–3 h, monitored by TLC). The solution was neutralized by addition of saturated aqueous sodium bicarbonate (20 mL). The crude mixture was extracted with CH2Cl2 (3 × 20 mL). The organic phase was dried on sodium sulfate, filtered and concentrated under reduced pressure. The product was purified by flash chromatography eluted with cyclohexane/ethyl acetate 90/20 to 40/50. The compound is obtained as a white solid (71% yield). C21H20N4O4. MW: 392.41 g/mol. 1H-NMR δ (ppm, DMSO-d6): 1.24 (s, 1H, COOH), 1.53 (d, 3H, J = 8 Hz, CH3 β), 3.75 (s, 3H, OCH3 Phenyl), 3.87 (s, 3H, OCH3 Phenyl), 4.61–4.63 (m, 1H, CH α), 7.00–7.04 (m, 1H, CH 7), 7.11 (d, 1H, J = 4 Hz, CH Phenyl), 7.13 (s, 1H, CH Phenyl), 7.17 (d, 1H, J = 4 Hz, CH Phenyl), 7.31 (dd, 1H, J = 4 Hz, J = 8 Hz, CH 6), 7.33–7.35 (m, 1H, CH 8), 7.50 (s, 1H, CH 2), 7.52 (d, 1H, J = 4 Hz, NH), 7.60 (dd, 1H, J = 4 Hz, J = 8 Hz, CH 9). 13C-NMR δ (ppm, DMSO-d6): 18.71 (CH3 β), 50.30 (CH α), 56.07 (OCH3 Phenyl), 56.16 (OCH3 Phenyl), 112.31 (CH Phenyl), 114.22 (CH Phenyl), 115.92 (CH 6), 122.54 (CH 7), 122.70 (Cq 1), 123.28 (CH Phenyl), 126.54 (CH 8), 125.90 (Cq 5a), 127.21 (CH 9), 130.95 (Cq 3a), 132.63 (CH 2), 137.99 (Cq 9a), 147.05 (Cq 4), 149.26 (Cq Phenyl), 150.132 (Cq Phenyl), 172.96 (C=O). MS (ESI +, QTof, m/z): 393.0 [M + H]+. HRMS calculated for C21H21N4O4 393.1563, found 393.1558.
2-((1-(3,4-Dimethoxyphenyl)imidazo[1,2-a]quinoxalin-4-yl)amino)-3-methylbutanoic acid (10c): Following the same procedure used for the synthesis of 10b, to a cooled solution of 8c (0.290 g, 0.61 mmol) in anhydrous CH2Cl2 (20 mL) was added boron tribromide (3.6 mL, 3.6 mmol). The product was purified by flash chromatography eluted with cyclohexane/ethyl acetate 90/20 to 40/50. The compound is obtained as a white solid (80% yield). C23H24N4O4. MW: 420.46 g/mol. 1H-NMR δ (ppm, DMSO-d6): 0.99 (d, 3H, J = 8 Hz, CH3 γ), 1.01 (d, 3H, J = 8 Hz, CH3 γ’), 1.23 (s, 1H, COOH), 2.36–2.41 (m, 1H, CH β), 3.74 (s, 3H, OCH3 Phenyl), 3.87 (s, 3H, OCH3 Phenyl), 4.55 (t, 1H, J = 16 Hz, CH α), 6.97–7.01 (m, 1H, CH 7), 7.10 (dd, 1H, J = 4 Hz, J = 8 Hz, CH Phenyl), 7.14 (s, 1H, CH Phenyl), 7.16 (dd, 1H, J = 4 Hz, J = 8 Hz, CH Phenyl), 7.19 (d, 1H, NH-CH α), 7.28 (d, 1H, J = 4 Hz, CH 6), 7.29–7.32 (m, 1H, CH 8), 7.48 (s, 1H, CH 2), 7.54 (dd, 1H, J = 4 Hz, J = 8 Hz, CH 9). 13C-NMR δ (ppm, DMSO-d6): 19.02 (CH3 γ’), 19.96 (CH3 γ), 31.19 (CH β), 56.06 (OCH3 Phenyl), 56.16 (OCH3 Phenyl), 59.54 (CH α), 112.31 (CH Phenyl), 114.26 (CH Phenyl), 115.87 (CH 6), 122.35 (CH 7), 122.75 (Cq 1), 123.29 (CH Phenyl), 125.89 (Cq 5a), 126.49 (CH 8), 127.18 (CH 9), 130.95 (Cq Phenyl), 132.44 (CH 2), 133.40 (Cq 3a), 138.10 (Cq 9a), 147.60 (Cq 4), 149.25 (Cq Phenyl), 150.12 (Cq Phenyl), 170.00 (C=O). MS (ESI +, QTof, m/z): 420.9 [M + H]+. HRMS calculated for C23H25N4O4 421.1876, found 421.1873.
2-((1-(3,4-Dimethoxyphenyl)imidazo[1,2-a]quinoxalin-4-yl)amino)-4-methylpentanoic acid (10d): Following the same procedure used for the synthesis of 10b, to a cooled solution of 8d (0.210 g, 0.43 mmol) in anhydrous CH2Cl2 (20 mL) was added boron tribromide (2.5 mL, 2.53.6 mmol). The product was purified by flash chromatography eluted with cyclohexane/ethyl acetate 90/20 to 40/50. The compound is obtained as a white solid (76% yield). C24H26N4O4. MW: 434.49 g/mol. 1H-NMR δ (ppm, DMSO-d6): 0.95 (d, 3H, J = 8 Hz, CH3 δ), 0.98 (d, 3H, J = 8 Hz, CH3 δ’), 1.76–1.80 (m, 3H, CH2 β, CH γ), 3.74 (s, 3H, OCH3 Phenyl), 3.87 (s, 3H, OCH3 Phenyl), 4.66 (t, 1H, J = 4 Hz, CH α), 6.98–7.02 (m, 1H, CH 7), 7.11 (d, 1H, J = 4 Hz, CH Phenyl), 7.13 (s, 1H, CH Phenyl), 7.17 (d, 1H, J = 4 Hz, CH Phenyl), 7.29 (dd, 1H, J = 4 Hz, J = 8 Hz, CH 6), 7.31–7.33 (m, 1H, CH 8), 7.44 (d, 1H, J = 4 Hz, NH), 7.49 (s, 1H, CH 2), 7.56 (dd, 1H, J = 4 Hz, J = 8 Hz, CH 9). 13C-NMR δ (ppm, DMSO-d6): 22.68 (CH3 δ), 23.69 (CH3 δ’), 25.24 (CH γ), 40.42 (CH2 β), 53.00 (CH α), 56.05 (OCH3 Phenyl), 56.15 (OCH3 Phenyl), 112.30 (CH Phenyl), 114.24 (CH Phenyl), 115.88 (CH 6), 122.29 (CH 7), 122.77 (Cq 1), 123.27 (CH Phenyl), 125.86 (Cq 5a), 126.49 (CH 8), 127.13 (CH 9), 130.90 (Cq 3a), 132.42 (CH 2), 138.12 (Cq 9a), 147.44 (Cq 4), 149.25 (Cq Phenyl), 150.10 (Cq Phenyl), 172.31 (C=O). MS (ESI +, QTof, m/z): 434.9 [M + H]+. HRMS calculated for C24H27N4O4 435.2032, found 435.2032.
2-((1-(3,4-Dihydroxyphenyl)imidazo[1,2-a]quinoxalin-4-yl)amino)acetic acid (11a): To a cooled (0 °C) solution of 9a (0.055, 0.14 mmol) in anhydrous CH2Cl2 (10 mL) was added TFA (5 mL). The resulting solution was allowed to warm to room temperature and stirred until complete consumption of the starting material (1–2 h, monitored by TLC). The solvent was removed under reduced pressure. The product was purified by flash chromatography eluted with cyclohexane/ethyl acetate 90/20 to 40/50. The compound is obtained as a white solid (92% yield). C18H14N4O4. MW: 350.33 g/mol. 1H-NMR δ (ppm, DMSO-d6): 1.23 (s, 1H, COOH), 4.24 (d, 2H, J = 8 Hz, CH2 α), 6.82 (dd, 1H, J = 4 Hz, J = 8 Hz, CH Phenyl), 6.90 (dd, 1H, J = 4 Hz, J = 8 Hz, CH Phenyl), 6.93 (s, 1H, CH Phenyl), 7.03–7.07 (m, 1H, CH 7), 7.31–7.34 (m, 1H, CH 8), 7.35 (dd, 1H, J = 4 Hz, J = 8 Hz, CH 6), 7.48 (s, 1H, CH 2), 7.58 (dd, 1H, J = 4 Hz, J = 8 Hz, CH 9), 8.02–8.05 (m, 1H, NH), 9.39–9.43 (m, 2H, C-OH Phenyl). 13C-NMR δ (ppm, DMSO-d6): 42.37 (CH2 α), 115.97 (CH 6), 116.49 (CH Phenyl), 117.86 (CH Phenyl), 120.69 (Cq 1), 122.06 (CH Phenyl), 122.96 (CH 7), 126.13 (Cq 5a), 126.51 (CH 8), 126.62 (CH 9), 132.36 (CH 2), 146.01 (Cq 3a), 147.17 (Cq 9a), 147.56 (Cq 4), 152.74 (Cq Phenyl), 172.09 (C=O). MS (ESI +, QTof, m/z): 351.2 [M + H]+. HRMS calculated for C18H15N4O4 351.1093, found 351.1093.
2-((1-(3,4-dihydroxyphenyl)imidazo[1,2-a]quinoxalin-4-yl)amino)propanoic acid (11b): Following the same procedure for the synthesis of 11a, to a cooled (0 °C) solution of 9b (0.040, 0.09 mmol) in anhydrous CH2Cl2 (10 mL) was added TFA (5 mL). The product was purified by flash chromatography eluted with cyclohexane/ethyl acetate 90/20 to 40/50. The compound is obtained as a white solid (88% yield). C19H16N4O4. MW: 364.35 g/mol. 1H-NMR δ (ppm, DMSO-d6): 1.23 (s, 1H, COOH), 1.56 (d, 3H, J = 8 Hz, CH3 β), 4.82–4.84 (m, 1H, CH α), 6.82 (d, 1H, J = 4 Hz, CH Phenyl), 6.90 (d, 1H, J = 4 Hz, CH Phenyl), 6.93 (s, 1H, CH Phenyl), 7.05–7.08 (m, 1H, CH 7), 7.33 (dd, 1H, J = 4 Hz, J = 8 Hz, CH 6), 7.35–7.37 (m, 1H, CH 8), 7.50 (s, 1H, CH 2), 7.59 (dd, 1H, J = 4 Hz, J = 8 Hz, CH 9), 7.95 (d, 1H, J = 4 Hz, NH), 9.37 (s, 2H, C-OH Phenyl). 13C-NMR δ (ppm, DMSO-d6): 17.79 (CH3 β), 49.27 (CH α), 116.01 (CH 6), 116.51 (CH Phenyl), 117.87 (CH Phenyl), 120.42 (Cq 1), 120.95 (Cq 5a), 122.06 (CH Phenyl), 123.17 (CH 7), 125.80 (CH 9), 126.69 (CH 8), 131.82 (Cq 3a), 132.42 (CH 2), 132.64 (Cq 9a), 137.42 (Cq 4), 146.06 (Cq Phenyl), 146.95 (Cq Phenyl), 147.22 (Cq Phenyl), 174.64 (C=O). MS (ESI +, QTof, m/z): 365.1 [M + H]+. HRMS calculated for C19H17N4O4 365.1250, found 365.1240.
2-((1-(3,4-Dihydroxyphenyl)imidazo[1,2-a]quinoxalin-4-yl)amino)-3-methylbutanoic acid (11c): Following the same procedure for the synthesis of 11a, to a cooled (0 °C) solution of 9c (0.035, 0.08 mmol) in anhydrous CH2Cl2 (10 mL) was added TFA (5 mL). The product was purified by flash chromatography eluted with cyclohexane/ethyl acetate 90/20 to 40/50. The compound is obtained as a white solid (91% yield). C21H20N4O4. MW: 392.41 g/mol. 1H-NMR δ (ppm, DMSO-d6): 1.04 (d, 3H, J = 8 Hz, CH3 γ), 1.07 (d, 3H, J = 8 Hz, CH3 γ’), 1.18 (s, 1H, COOH), 2.36–2.41 (m, 1H, CH β), 4.74–4.76 (m, 1H, CH α), 6.82 (dd, 1H, J = 4 Hz, J = 8 Hz, CH Phenyl), 6.90 (d, 1H, J = 4 Hz, J = 8 Hz, CH Phenyl), 6.94 (d, 1H, J = 4 Hz, J = 8 Hz, CH Phenyl), 7.06–7.10 (m, 1H, CH 7), 7.17 (d, 1H, J = 4 Hz, NH), 7.33–7.36 (m, 1H, CH 8), 7.38 (dd, 1H, J = 4 Hz, J = 8 Hz, CH 6), 7.51 (s, 1H, CH 2), 7.60 (dd, 1H, J = 4 Hz, J = 8 Hz, CH 9), 9.40 (s, 2H, C-OH Phenyl). 13C-NMR δ (ppm, DMSO-d6): 18.86 (CH3 γ’), 19.63 (CH3 γ), 30.50 (CH β), 58.70 (CH α), 115.98 (CH 6), 116.49 (CH Phenyl), 117.86 (CH Phenyl), 120.83 (Cq 1), 122.07 (CH Phenyl), 123.29 (CH 7), 126.05 (Cq 5a), 126.72 (CH 8), 126.94 (CH 9), 132.12 (CH 2), 132.52 (Cq Phenyl), 132.82 (Cq 3a), 137.42 (Cq 9a), 146.06 (Cq 4), 147.23 (Cq Phenyl), 147.47 (Cq Phenyl), 171.62 (C=O). MS (ESI +, QTof, m/z): 393.2 [M + H]+. HRMS calculated for C21H21N4O4 393.1563, found 393.1561.
2-((1-(3,4-Dihydroxyphenyl)imidazo[1,2-a]quinoxalin-4-yl)amino)-4-methylpentanoic acid (11d): Following the same procedure for the synthesis of 11a, to a cooled (0 °C) solution of 9d (0.050, 0.11 mmol) in anhydrous CH2Cl2 (10 mL) was added TFA (5 mL). The product was purified by flash chromatography eluted with cyclohexane/ethyl acetate 90/20 to 40/50. The compound is obtained as a white solid (78% yield). C22H22N4O4. MW: 406.43 g/mol. 1H-NMR δ (ppm, DMSO-d6): 0.93 (d, 3H, J = 8 Hz, CH3 δ), 0.98 (d, 3H, J = 8 Hz, CH3 δ’), 1.42 (s, 1H, COOH), 1.69–1.72 (m, 1H, CH2 β), 1.76–1.79 (m, 1H, CH γ), 1.99–2.02 (m, 1H, CH2 β), 4.85 (t, 1H, J = 4 Hz, CH α), 6.82 (d, 1H, J = 4 Hz, CH Phenyl), 6.90 (s, 1H, CH Phenyl), 6.93 (d, 1H, J = 4 Hz, CH Phenyl), 7.05–7.08 (m, 1H, CH 7), 7.32–7.35 (m, 1H, CH 8), 7.36 (dd, 1H, J = 4 Hz, J = 8 Hz, CH 6), 7.50 (s, 1H, CH 2), 7.59 (dd, 1H, J = 4 Hz, J = 8 Hz, CH 9), 7.90 (d, 1H, J = 4 Hz, NH), 9.38 (s, 2H, C-OH Phenyl). 13C-NMR δ (ppm, DMSO-d6): 20.74 (CH3 δ), 22.28 (CH3 δ’), 24.07 (CH γ), 39.08 (CH2 β), 50.92 (CH α), 114.92 (CH 6), 115.42 (CH Phenyl), 116.77 (CH Phenyl), 119.82 (Cq 1), 120.98 (CH Phenyl), 122.10 (CH 7), 124.67 (Cq 5a), 125.64 (CH 8), 125.72 (CH 9), 130.79 (Cq 3a), 131.28 (CH 2), 144.99 (Cq 9a), 146.14 (Cq 4), 146.28 (Cq Phenyl), 157.42 (Cq Phenyl), 173.51 (C=O). MS (ESI +, QTof, m/z): 407.1 [M + H]+. HRMS calculated for C22H23N4O4 407.1719, found 407.1712.
6-Amino-2-((1-(3,4-dihydroxyphenyl)imidazo[1,2-a]quinoxalin-4-yl)amino)hexanoic acid (11e): Following the same procedure for the synthesis of 11a. To a cooled (0 °C) solution of 9e (0.035, 0.06 mmol) in anhydrous CH2Cl2 (10 mL) was added TFA (5 mL). The product was purified by flash chromatography eluted with cyclohexane/ethyl acetate 90/20 to 40/50. The compound is obtained as a white solid (84% yield). C22H23N5O4. MW: 421.45 g/mol. 1H-NMR δ (ppm, DMSO-d6): 1.23 (s, 1H, COOH), 1.47–1.51 (m, 2H, CH2 γ), 1.58–1.64 (m, 2H, CH2 δ), 1.98–2.04 (m, 2H, CH2 β), 2.79–2.83 (m, 2H, CH2 ε), 4.76–4.78 (m, 1H, CH α), 6.81 (d, 1H, J = 4 Hz, CH Phenyl), 6.90 (s, 1H, CH Phenyl), 6.93 (d, 1H, J = 4 Hz, CH Phenyl), 7.03–7.07 (m, 1H, CH 7), 7.31–7.35 (m, 1H, CH 8), 7.37 (dd, 1H, J = 4 Hz, J = 8 Hz, CH 6), 7.47 (s, 1H, CH 2), 7.58 (dd, 1H, J = 4 Hz, J = 8 Hz, CH 9), 7.64 (d, 1H, J = 4 Hz, NH-CH α), 7.68–7.70 (m, 2H, NH2), 9.40–9.46 (m, 2H, C-OH Phenyl). 13C-NMR δ (ppm, DMSO-d6): 22.04 (CH2 γ), 26.08 (CH2 δ), 29.65 (CH2 β), 38.04 (CH2 ε), 52.17 (CH α), 114.84 (CH 6), 115.40 (CH Phenyl), 116.79 (CH Phenyl), 120.96 (CH Phenyl), 121.87 (CH 7), 124.88 (Cq 5a), 125.49 (CH 8), 126.01 (CH 9), 130.49 (Cq 1), 131.14 (CH 2), 131.69 (Cq 3a), 136.24 (Cq 9a), 145.00 (Cq 4), 146.10 (Cq Phenyl), 146.51 (Cq Phenyl), 157.59 (Cq Phenyl), 173.29 (C=O). MS (ESI +, QTof, m/z): 422.1 [M + H]+. HRMS calculated for C22H24N5O4 422.1828, found 422.1834.
5-Amino-2-((1-(3,4-dihydroxyphenyl)imidazo[1,2-a]quinoxalin-4-yl)amino)pentanoic acid (11f): Following the same procedure for the synthesis of 11a, to a cooled (0 °C) solution of 9f (0.055, 0.09 mmol) in anhydrous CH2Cl2 (10 mL) was added TFA (5 mL). The product was purified by flash chromatography eluted with cyclohexane/ethyl acetate 90/20 to 40/50. The compound is obtained as a white solid (10% yield). C21H21N5O4. MW: 407.42 g/mol. 1H-NMR δ (ppm, DMSO-d6): 1H-NMR δ (ppm, 400 MHz, DMSO-d6): 1.70–1.74 (m, 2H, CH2 γ), 1.89–1.93 (m, 1H, CH2 β), 2.07–2.11 (m, 1H, CH2 β), 2.66–2.70 (m, 1H, CH2 δ), 2.78–2.82 (m, 1H, CH2 δ), 4.33–4.34 (m, 1H, CH α), 6.69 (d, 1H, J = 8 Hz, CH Phenyl), 6.80 (d, 1H, J = 8 Hz, CH Phenyl), 6.89 (d, 1H, J = 4 Hz, CH Phenyl), 6.97–7.01 (m, 1H, CH 7), 7.29-.33 (m, 1H, CH 8), 7.36 (dd, 1H, J = 4 Hz, J = 8 Hz, CH 6), 7.40 (s, 1H, J = 4 Hz, CH 2), 7.46 (d, 1H, J = 4 Hz, NH-CH α), 7.57 (dd, 1H, J = 4 Hz, J = 8 Hz, CH 9), 8.69 (s, 2H, C-OH Phenyl). 13C-NMR δ (ppm, DMSO-d6): 23.61 (CH2 γ), 29.41 (CH2 β), 40.41 (CH2 δ), 54.57 (CH α), 115.88 (CH 6), 116.50 (CH Phenyl), 117.95 (CH Phenyl), 121.23 (Cq 1), 122.04 (CH 7), 122.18 (CH Phenyl), 125.85 (Cq 5a), 126.39 (CH 8), 127.17 (CH 9), 132.08 (CH 2), 133.25 (Cq 3a), 138.31 (Cq 9a), 146.07 (Cq 4), 146.84 (Cq Phenyl), 147.12 (Cq Phenyl), 174.19 (C=O). MS (ESI +, QTof, m/z): 408.2 [M + H]+. HRMS calculated for C21H22N5O4 408.1672, found 408.1668.
2-((1-(3,4-Dihydroxyphenyl)imidazo[1,2-a]quinoxalin-4-yl)amino)-3-phenylpropanoic acid (11g): Following the same procedure for the synthesis of 11a, to a cooled (0 °C) solution of 9g (0.045, 0.09 mmol) in anhydrous CH2Cl2 (10 mL) was added TFA (5 mL). The product was purified by flash chromatography eluted with cyclohexane/ethyl acetate 90/20 to 40/50. The compound is obtained as a white solid (87% yield). C25H20N4O4. MW: 440.45 g/mol. 1H-NMR δ (ppm, DMSO-d6): 1.23 (s, 1H, COOH), 3.33–3.39 (m, 2H, CH2 β), 5.04–5.07 (m, 1H, CH α), 6.81 (d, 1H, J = 8 Hz, CH Phenyl), 6.89 (d, 1H, J = 4 Hz, CH Phenyl), 6.91 (d, 1H, J = 8 Hz, CH Phenyl), 7.05–7.08 (m, 1H, CH 7), 7.17 (t, 1H, J = 8 Hz, CH Phenyl), 7.26 (t, 2H, J = 8 Hz, CH Phenyl), 7.31–7.333 (m, 1H, CH 8), 7.34 (dd, 1H, J = 4 Hz, J = 8 Hz, CH 6), 7.36–7.37 (m, 2H, CH Phenyl), 7.48 (s, 1H, CH 2), 7.61 (dd, 1H, J = 4 Hz, J = 8 Hz, CH 9), 7.76–7.77 (m, 1H, NH), 9.39 (s, 2H, C-OH Phenyl). 13C-NMR δ (ppm, DMSO-d6): 35.61 (CH2 β), 5.31 (CH α), 114.91 (CH 6), 115.40 (CH Phenyl), 116.75 (CH Phenyl), 119.75 (Cq 1), 120.96 (CH Phenyl), 122.23 (CH 7), 124.71 (Cq 5a), 125.64 (CH 9), 125.88 (CH 8), 127.67 (CH Phenyl), 128.58 (CH Phenyl), 130.78 (Cq Phenyl), 131.35 (CH 2), 137.26 (Cq 3a), 138.42 (Cq 9a), 144.98 (Cq Phenyl), 146.14 (Cq 4), 157.48 (Cq Phenyl), 157.77 (Cq Phenyl), 172.35 (C=O). MS (ESI +, QTof, m/z): 441.2 [M + H]+. HRMS calculated for C25H21N4O4 441.1563, found 441.1569.
2-((1-(3,4-Dihydroxyphenyl)imidazo[1,2-a]quinoxalin-4-yl)amino)-3-(4-hydroxyphenyl)-propanoic acid (11h): Following the same procedure for the synthesis of 11a, to a cooled (0 °C) solution of 9h (0.030, 0.06 mmol) in anhydrous CH2Cl2 (10 mL) was added TFA (5 mL). The product was purified by flash chromatography eluted with cyclohexane/ethyl acetate 90/20 to 40/50. The compound is obtained as a white solid (89% yield). C25H20N4O5. MW: 456.45 g/mol. 1H-NMR δ (ppm, DMSO-d6): 1.29 (s, 1H, COOH), 3.21–3.23 (m, 2H, CH2 β), 4.94–4.98 (m, 1H, CH α), 6.71 (d, 2H, J = 8 Hz, CH Phenyl), 6.86 (dd, 1H, J = 4 Hz, J = 8 Hz, CH Phenyl), 6.94 (d, 1H, CH Phenyl), 6.98 (d, 1H, J = 8 Hz, CH Phenyl), 7.04–7.08 (m, 1H, CH 7), 7.12 (d, 2H, J = 8 Hz, CH Phenyl), 7.31–7.32 (m, 1H, CH 8), 7.35 (dd, 1H, J = 4 Hz, J = 8 Hz, CH 6), 7.47 (s, 1H, CH 2), 7.59–7.60 (m, 1H, NH), 7.64 (dd, 1H, J = 4 Hz, J = 8 Hz, CH 9), 9.32–9.35 (m, 2H, C-OH Phenyl). 13C-NMR δ (ppm, DMSO-d6): 36.01 (CH2 β), 55.24 (CH α), 115.56 (2 × CH Phenyl), 115.96 (CH 6), 116.47 (CH Phenyl), 117.82 (CH Phenyl), 120.86 (Cq 1), 122.05 (CH Phenyl), 123.19 (CH 7), 125.81 (Cq 5a), 126.68 (CH 9), 126.70 (CH 8), 130.59 (2 × CH Phenyl), 132.35 (Cq 3a), 132.48 (CH 2), 137.32 (Cq 9a), 146.03 (Cq 4), 147.05 (Cq Phenyl), 147.19 (Cq Phenyl), 156.44 (Cq Phenyl), 173.55 (C=O). MS (ESI +, QTof, m/z): 457.1 [M + H]+. HRMS calculated for C25H21N4O5 457.1512, found 457.1514.
2-Amino-5-((1-(3,4-dihydroxyphenyl)imidazo[1,2-a]quinoxalin-4-yl)amino)pentanoic acid (11i): Following the same procedure for the synthesis of 11a, to a cooled (0 °C) solution of 9i in anhydrous CH2Cl2 (10 mL) was added TFA (5 mL). The product was purified by flash chromatography eluted with cyclohexane/ethyl acetate 90/20 to 40/50. The compound is obtained as a white solid (79% yield). C21H21N5O4. MW: 407.42 g/mol. 1H-NMR δ (ppm, DMSO-d6): 1.23 (s, 1H, COOH), 1.85–1.89 (m, 4H, CH2 γ, CH2 β), 3.64–3.66 (m, 2H, CH2 δ), 3.99–4.01 (m, 1H, CH α), 6.80 (dd, 1H, J = 4 Hz, J = 8 Hz, CH Phenyl), 6.89 (d, 1H, J = 4 Hz, CH Phenyl), 6.92 (d, 1H, J = 8 Hz, CH Phenyl), 7.07–7.11 (m, 1H, CH 7), 7.35 (dd, 1H, J = 4 Hz, J = 8 Hz, CH 6), 7.37–7.39 (m, 1H, CH 8), 7.51 (s, 1H, CH 2), 7.55 (dd, 1H, J = 4 Hz, J = 8 Hz, CH 9), 7.66 (t, 1H, J = 4 Hz, NH-CH2 δ), 8.24 (s, 2H, NH2), 9.40 (s, 2H, C-OH Phenyl). 13C-NMR δ (ppm, DMSO-d6): 24.80 (CH2 γ), 28.04 (CH2 β), 39.99 (CH2 δ), 52.30 (CH α), 116.12 (CH 6), 116.51 (CH Phenyl), 117.77 (CH Phenyl), 120.74 (Cq 1), 121.96 (CH Phenyl), 123.27 (CH 7), 125.76 (Cq 5a), 126.83 (CH 8), 129.28 (CH 9), 132.68 (CH 2), 138.42 (Cq 3a), 146.12 (Cq 4), 147.29 (Cq Phenyl), 158.41 (Cq Phenyl), 158.75 (Cq 9a), 171.54 (C=O). MS (ESI +, QTof, m/z): 408.2 [M + H]+. HRMS calculated for C21H22N5O4 408.1672, found 408.1668.

3.1.6. 3,4-Dihydroxyphenylboronic Acid (12)

To a cooled (0 °C) solution of 3,4-dimethoxyphenylboronic acid (0.800 g, 4.39 mmol) in anhydrous CH2Cl2 (50 mL) was added boron tribromide (10 mL, 10 mmol). The resulting solution was allowed to warm to room temperature and stirred until complete consumption of the starting material (1–2h, monitored by TLC). The solution was neutralized by addition of methanol (50 mL). The crude mixture was concentrated under reduced pressure. The compound was obtained as a white solid (84% yield) and used without purification. C6H7BO4. MW: 153.93 g/mol. 1H-NMR δ (ppm, DMSO-d6): 2.08 (s, 2H, B-OH), 6.47 (d, 1H, CH Phenyl), 6.60 (d, 1H, CH Phenyl), 6.71 (d, 1H, CH Phenyl), 8.00 (s, 2H, C-OH Phenyl). 13C-NMR δ (ppm, DMSO-d6): 108.10 (CH Phenyl), 116.14 (CH Phenyl), 119.73(CH Phenyl), 145.73 (C-OH). MS (ESI +, QTof, m/z): 153.2 [M−H]. HRMS calculated for C6H6O4B 153.0359, found 153.0358.

3.2. Cell Line and Culture Techniques

The melanoma (A375) human cancer cell line is obtained from American Type Culture Collection (Rockville, MD, USA). Cells were cultured in RPMI Gibco medium containing RPMI-1640 (Waltham, MA, USA), 10% heat-inactived (56 °C) foetal bovine serum (FBS) (Polylabo, Paris, France), 2 mM l-glutamine, 100 IU/mL penicillin G sodium, 100 mg/mL streptomycin sulfate, and 0.25 mg/mL amphotericin B. Cells were maintained in a humidified atmosphere of 5% CO2 in air at 37 °C.

3.3. In Vitro Cytotoxicity Assay

Previously to the experiments, the number of cells by well, the doubling time and the MTT concentration have been optimized. In all the experiments, A375 cells were seeded at a final concentration of 5000 cells/well in 96-well microtiter plates and allowed to attach overnight. After 24 h incubation, the medium (phosphate-buffer saline pH 7.3) was aspirated carefully from the plates using a sterile Pasteur pipette, and cells were exposed (i) to vehicle controls (0.15% DMSO/culture medium (v/v) and culture medium alone), (ii) to EAPB02303, EAPB02302 and the synthesized compounds at concentrations of 10−5–3.2 × 10−9 M dissolved in a mixture 0.15% DMSO/culture medium (v/v). After 96 h of incubation, cell supernatant was removed and 100 μL of a MTT (3-[4.5-dimethylthiazol-2-yl]-2.5-diphenyltetrazolium bromide) solution in fresh medium was added per well (MTT final concentration of 0.5 mg/mL) and incubated for 4 h at 37 °C. This colorimetric assay is based on the ability of live and metabolically unimpaired tumor-cell targets to reduce MTT to a blue formazan product. At the end of the incubation period, the supernatant was carefully aspirated, then, 100 µL of a mixture of isopropyl alcohol and 1 M hydrochloric acid (96/4, v/v) was added to each well. After 10 min of incubation and vigorous shaking to solubilize formazan crystals, the optical density was measured at 570 nm in a microculture plate reader (Zaragoza, Spain). For each assay, at least three experiments were performed in triplicate. The individual cell line growth curves confirmed that all A375 line in control medium remained in the log phase of cell growth 96 h after plating. Cell survival was expressed as percent of vehicle control. The IC50 values defined as the concentrations of drugs which produced 50% cell growth inhibition; 50% reduction of absorbance, were estimated from the sigmoidal dose–response curves.

4. Conclusions

The synthesis and study of the amino acid groups grafted on position 4 within the imiqualine series highlight the fact that the nature of the substituent on position 4 is not essential for the biological activity. Indeed, large modifications between EAPB02302, which only has a primary amine, and the new compounds with a complete amino acid residue do not significantly modify the activity, which remains similar to that of our first imiqualine generation. However, these modulations allow one to significantly increase the theoretical water solubility. The presence of dihydroxy groups on the phenyl appears to be necessary for the conservation of the cytotoxic activity on the melanoma cell line tested. These encouraging results obtained on the representative A375 melanoma cell line will prompt us to study further in vivo evaluation on xenografted mice.

Supplementary Materials

The following are available online. NMR 1H and 13C spectra of all compounds evaluated on A375 melanoma cells.

Author Contributions

Conceptualization, A.C., C.P., P.-A.B. and C.D.-M.; Investigation, A.C.; Methodology, A.C., C.P. and C.D.-M.; Supervision, P.C., P.-A.B. and C.D.-M.; Writing—original draft, A.C. and C.P.; Writing—review & editing, P.-A.B. and C.D.-M.

Funding

This research was funded by the Société d’Accélération du Transfert de Technologies (SATT AxLr).

Acknowledgments

Authors thank the Société d’Accélération du Transfert de Technologies (SATT AxLr) for financial support to Cindy Patinote, Stephanie Paniagua and Amandine Dejean for their technical help, AGV Discovery for the biological study, and the French department of Biotage for lending us a HPFC system.

Conflicts of Interest

The authors declare no conflict of interest.

References

  1. Eggermont, A.M.M.; Spatz, A.; Robert, C. Cutaneous melanoma. Lancet Lond. Engl. 2014, 383, 816–827. [Google Scholar] [CrossRef]
  2. Stratigos, A.; Garbe, C.; Lebbe, C.; Malvehy, J.; del Marmol, V.; Pehamberger, H.; Peris, K.; Becker, J.C.; Zalaudek, I.; Saiag, P.; et al. European Dermatology Forum (EDF); European Association of Dermato-Oncology (EADO); European Organization for Research and Treatment of Cancer (EORTC) Diagnosis and treatment of invasive squamous cell carcinoma of the skin: European consensus-based interdisciplinary guideline. Eur. J. Cancer Oxf. Engl. 2015, 51, 1989–2007. [Google Scholar] [CrossRef]
  3. Kwong, A.; Sanlorenzo, M.; Rappersberger, K.; Vujic, I. Update on advanced melanoma treatments: Small molecule targeted therapy, immunotherapy, and future combination therapies. Wien. Med. Wochenschr. 2017, 1–9. [Google Scholar] [CrossRef] [PubMed]
  4. Drugs Approved for Melanoma. Available online: https://www.cancer.gov/about-cancer/treatment/drugs/melanoma (accessed on 11 October 2018).
  5. Glitza, I.C.; Kim, D.W.; Chae, Y.K.; Kim, K.B. Targeted Therapy in Melanoma. In Genetics of Melanoma; Cancer Genetics; Springer: New York, NY, USA, 2016; pp. 237–265. ISBN 978-1-4939-3552-9. [Google Scholar]
  6. Keller, H.R.; Zhang, X.; Li, L.; Schaider, H.; Wells, J.W. Overcoming resistance to targeted therapy with immunotherapy and combination therapy for metastatic melanoma. Oncotarget 2017, 8, 75675–75686. [Google Scholar] [CrossRef] [PubMed]
  7. Basken, J.; Stuart, S.A.; Kavran, A.J.; Lee, T.; Ebmeier, C.C.; Old, W.; Ahn, N.G. Specificity of phosphorylation responses to MAP kinase pathway inhibitors in melanoma cells. Mol. Cell. Proteomics MCP 2017. [Google Scholar] [CrossRef]
  8. Moarbess, G.; Deleuze-Masquefa, C.; Bonnard, V.; Gayraud-Paniagua, S.; Vidal, J.-R.; Bressolle, F.; Pinguet, F.; Bonnet, P.-A. In vitro and in vivo anti-tumoral activities of imidazo[1,2-a]quinoxaline, imidazo[1,5-a]quinoxaline, and pyrazolo[1,5-a]quinoxaline derivatives. Bioorg. Med. Chem. 2008, 16, 6601–6610. [Google Scholar] [CrossRef] [PubMed]
  9. Deleuze-Masquefa, C.; Moarbess, G.; Khier, S.; David, N.; Gayraud-Paniagua, S.; Bressolle, F.; Pinguet, F.; Bonnet, P.-A. New imidazo[1,2-a]quinoxaline derivatives: Synthesis and in vitro activity against human melanoma. Eur. J. Med. Chem. 2009, 44, 3406–3411. [Google Scholar] [CrossRef] [PubMed]
  10. Deleuze-Masquefa, C.; Moarbess, G.; Bonnet, P.-A.; Pinguet, F.; Bazarbachi, A.; Bressolle, F. Imidazo[1,2-a]quinoxalines and derivatives for the treatment of cancers. Patent WO2009043934 A1, 2009. [Google Scholar]
  11. Cuq, P.; Deleuze-Masquefa, C.; Bonnet, P.-A.; Patinote, C. New Imidazo[1,2-a]quinoxalines and Derivatives for the Treatment of Cancers. Patent WO2016107895 A1, 2016. [Google Scholar]
  12. Chouchou, A.; Marion, B.; Enjalbal, C.; Roques, C.; Cuq, P.; Bonnet, P.-A.; Bressolle-Gomeni, F.M.M.; Deleuze-Masquéfa, C. Liquid chromatography-electrospray ionization-tandem mass spectrometry method for quantitative estimation of new imiqualine leads with potent anticancer activities in rat and mouse plasma. Application to a pharmacokinetic study in mice. J. Pharm. Biomed. Anal. 2018, 148, 369–379. [Google Scholar] [CrossRef] [PubMed]
  13. Wood, D.C.; Weber, F.S.; Palmquist, M.A. Continued studies in the toxicology of dimethyl sulfoxide (DMSO). J. Pharmacol. Exp. Ther. 1971, 177, 520–527. [Google Scholar] [PubMed]
  14. Abet, V.; Filace, F.; Recio, J.; Alvarez-Builla, J.; Burgos, C. Prodrug approach: An overview of recent cases. Eur. J. Med. Chem. 2017, 127, 810–827. [Google Scholar] [CrossRef] [PubMed]
  15. Jornada, D.H.; dos Santos Fernandes, G.F.; Chiba, D.E.; de Melo, T.R.F.; dos Santos, J.L.; Chung, M.C. The Prodrug Approach: A Successful Tool for Improving Drug Solubility. Molecules 2015, 21, 42. [Google Scholar] [CrossRef] [PubMed]
  16. Drag-Zalesinska, M.; Kulbacka, J.; Saczko, J.; Wysocka, T.; Zabel, M.; Surowiak, P.; Drag, M. Esters of betulin and betulinic acid with amino acids have improved water solubility and are selectively cytotoxic toward cancer cells. Bioorg. Med. Chem. Lett. 2009, 19, 4814–4817. [Google Scholar] [CrossRef] [PubMed]
  17. Parra, A.; Rivas, F.; Lopez, P.E.; Garcia-Granados, A.; Martinez, A.; Albericio, F.; Marquez, N.; Muñoz, E. Solution- and solid-phase synthesis and anti-HIV activity of maslinic acid derivatives containing amino acids and peptides. Bioorg. Med. Chem. 2009, 17, 1139–1145. [Google Scholar] [CrossRef] [PubMed]
  18. Jeong, H.J.; Chai, H.B.; Park, S.Y.; Kim, D.S. Preparation of amino acid conjugates of betulinic acid with activity against human melanoma. Bioorg. Med. Chem. Lett. 1999, 9, 1201–1204. [Google Scholar] [CrossRef]
  19. Schmeda-Hirschmann, G.; Rodríguez, J.A.; Theoduloz, C.; Valderrama, J.A. Gastroprotective effect and cytotoxicity of labdeneamides with amino acids. Planta Med. 2011, 77, 340–345. [Google Scholar] [CrossRef] [PubMed]
  20. Lu, X.-M.; Yi, H.-W.; Xu, J.-L.; Sun, Y.; Li, J.-X.; Cao, S.-X.; Xu, Q. A novel synthetic oleanolic acid derivative with amino acid conjugate suppresses tumour growth by inducing cell cycle arrest. J. Pharm. Pharmacol. 2007, 59, 1087–1093. [Google Scholar] [CrossRef] [PubMed]
  21. Zghaib, Z.; Guichou, J.-F.; Vappiani, J.; Bec, N.; Hadj-Kaddour, K.; Vincent, L.-A.; Paniagua-Gayraud, S.; Larroque, C.; Moarbess, G.; Cuq, P.; et al. New imidazoquinoxaline derivatives: Synthesis, biological evaluation on melanoma, effect on tubulin polymerization and structure-activity relationships. Bioorg. Med. Chem. 2016, 24, 2433–2440. [Google Scholar] [CrossRef] [PubMed]
  22. Testa, B.; Crivori, P.; Reist, M.; Carrupt, P.-A. The influence of lipophilicity on the pharmacokinetic behavior of drugs: Concepts and examples. Perspect. Drug Discov. Des. 2000, 19, 179–211. [Google Scholar] [CrossRef]
  23. Henchoz, Y.; Bard, B.; Guillarme, D.; Carrupt, P.-A.; Veuthey, J.-L.; Martel, S. Analytical tools for the physicochemical profiling of drug candidates to predict absorption/distribution. Anal. Bioanal. Chem. 2009, 394, 707–729. [Google Scholar] [CrossRef] [PubMed]
  24. Box, K.J.; Comer, J.E.A. Using measured pKa, LogP and solubility to investigate supersaturation and predict BCS class. Curr. Drug Metab. 2008, 9, 869–878. [Google Scholar] [CrossRef] [PubMed]
  25. Avdeef, A. Physicochemical profiling (solubility, permeability and charge state). Curr. Top. Med. Chem. 2001, 1, 277–351. [Google Scholar] [CrossRef] [PubMed]
  26. Remko, M.; Remková, A.; Broer, R. A Comparative Study of Molecular Structure, pKa, Lipophilicity, Solubility, Absorption and Polar Surface Area of Some Antiplatelet Drugs. Int. J. Mol. Sci. 2016, 17, 388. [Google Scholar] [CrossRef] [PubMed]
  27. Fridgeirsdottir, G.A.; Harris, R.; Fischer, P.M.; Roberts, C.J. Support Tools in Formulation Development for Poorly Soluble Drugs. J. Pharm. Sci. 2016, 105, 2260–2269. [Google Scholar] [CrossRef] [PubMed]
Sample Availability: Samples of the compounds are not available from the authors.
Scheme 1. General and lead compounds structures of the imiqualines.
Scheme 1. General and lead compounds structures of the imiqualines.
Molecules 23 02987 sch001
Scheme 2. Synthesis of imidazo[1,2-a]quinoxaline derivatives grafted with the α-amine group of the amino acid. Reagents and Conditions: (a) SOCl2, reflux, 18h; (b) NaHMDS, THF, 0 °C to RT, 5 h; (c) NaH, DMA, reflux, 48 h; (d) DEA, POCl3, MW (130 °C, 15 min); (e) H-amino acid (PG)-OtBu, DIEA, DMF, MW (150 °C, 30–60 min); (f) NBS, CHCl3, reflux, 2 h; (g) 3,4-dimethoxyphenylboronic acid, Pd(PPh3)4, Na2CO3, DME, MW (140 °C, 20 min); (h) BBr3, CH2Cl2, RT, 1h–3h, (i) BBr3, CH2Cl2, RT, 1h; (j) 3,4-dihydroxyphenylboronic acid 12, Pd(PPh3)4, Na2CO3, DME, MW (140 °C, 20 min); (k) TFA/ CH2Cl2 (1/1, v/v), RT, 1–2 h.
Scheme 2. Synthesis of imidazo[1,2-a]quinoxaline derivatives grafted with the α-amine group of the amino acid. Reagents and Conditions: (a) SOCl2, reflux, 18h; (b) NaHMDS, THF, 0 °C to RT, 5 h; (c) NaH, DMA, reflux, 48 h; (d) DEA, POCl3, MW (130 °C, 15 min); (e) H-amino acid (PG)-OtBu, DIEA, DMF, MW (150 °C, 30–60 min); (f) NBS, CHCl3, reflux, 2 h; (g) 3,4-dimethoxyphenylboronic acid, Pd(PPh3)4, Na2CO3, DME, MW (140 °C, 20 min); (h) BBr3, CH2Cl2, RT, 1h–3h, (i) BBr3, CH2Cl2, RT, 1h; (j) 3,4-dihydroxyphenylboronic acid 12, Pd(PPh3)4, Na2CO3, DME, MW (140 °C, 20 min); (k) TFA/ CH2Cl2 (1/1, v/v), RT, 1–2 h.
Molecules 23 02987 sch002
Scheme 3. Synthesis of the ornithine-containing imidazo[1,2-a]quinoxaline derivative grafted by the side chain. Reagents and Conditions: (e) Boc-Orn-OtBu, HCl, DIEA, DMF, MW (150 °C, 30–60 min); (f) NBS, CHCl3, reflux, 2 h; (g) 3,4-dimethoxyphenylboronic acid, Pd(PPh3)4, Na2CO3, DME, MW (140 °C, 20 min); (h) BBr3, CH2Cl2, RT, 1 h–3 h; (i) BBr3, CH2Cl2, RT, 1 h; (j) 3,4-dihydroxyphenylboronic acid 12, Pd(PPh3)4, Na2CO3, DME, MW (140 °C, 20 min); (k) TFA/ CH2Cl2 (1/1, v/v), RT, 1–2 h.
Scheme 3. Synthesis of the ornithine-containing imidazo[1,2-a]quinoxaline derivative grafted by the side chain. Reagents and Conditions: (e) Boc-Orn-OtBu, HCl, DIEA, DMF, MW (150 °C, 30–60 min); (f) NBS, CHCl3, reflux, 2 h; (g) 3,4-dimethoxyphenylboronic acid, Pd(PPh3)4, Na2CO3, DME, MW (140 °C, 20 min); (h) BBr3, CH2Cl2, RT, 1 h–3 h; (i) BBr3, CH2Cl2, RT, 1 h; (j) 3,4-dihydroxyphenylboronic acid 12, Pd(PPh3)4, Na2CO3, DME, MW (140 °C, 20 min); (k) TFA/ CH2Cl2 (1/1, v/v), RT, 1–2 h.
Molecules 23 02987 sch003
Table 1. Synthesis of imidazo[1,2-a]quinoxaline derivatives grafted with the α-amine of the amino acid as described in Scheme 2: cLogP, theoretical water solubility (mg/mL) at pH 7.4 calculated values and IC50 values against A375 (human melanoma cell line).
Table 1. Synthesis of imidazo[1,2-a]quinoxaline derivatives grafted with the α-amine of the amino acid as described in Scheme 2: cLogP, theoretical water solubility (mg/mL) at pH 7.4 calculated values and IC50 values against A375 (human melanoma cell line).
Amino Acids─R─R’CompoundsClogP aTheoretical Water Solubility (mg/mL) at pH 7.4 bIC50 Values c (nM)
GlyMolecules 23 02987 i001Molecules 23 02987 i0028a5.255.88 × 10−4ND d
9a4.991.79 × 10−31932
11a2.5947.18403
AlaMolecules 23 02987 i003Molecules 23 02987 i0048b5.613.80 × 10−4>10,000
9b5.341.15 × 10−36103
10b3.216.015947
11b2.9419.92584
ValMolecules 23 02987 i005Molecules 23 02987 i0068c6.471.35 × 10−4>10,000
9c6.214.07 × 10−47180
10c4.071.91>10,000
11c3.816.57166
LeuMolecules 23 02987 i007Molecules 23 02987 i0088d6.987.43 × 10−5>10,000
9d6.722.23 × 10−4128
10d4.580.89>10,000
11d4.323.08838
LysMolecules 23 02987 i009Molecules 23 02987 i0108e7.055.70 × 10−5ND d
9e6.791.56 × 10−44575
11e2.784.34 × 10−3673
OrnMolecules 23 02987 i011Molecules 23 02987 i0128f7.013.43 × 10−5>10,000
9f6.759.07 × 10−51111
11f2.575.82 × 10−33404
PheMolecules 23 02987 i013Molecules 23 02987 i0149g6.821.06 × 10−41999
11g3.716.47951
TyrMolecules 23 02987 i015Molecules 23 02987 i0169h7.993.31 × 10−54117
11h3.0510.172174
a,b cLogP and theoretical water solubility (mg/mL) at pH 7.4 values are calculated using the ACDLabs® software; c IC50 values, concentration of the compound (nM) producing 50% cell growth inhibition after 96 h of drug exposure, as determined by the MTT assay. Each experiment was performed in triplicate, and the results are presented as average values. Coefficients of variation were less than 10%; d ND: Not determined.
Table 2. Synthesis of imidazo[1,2-a]quinoxaline derivatives grafted with the side chain amine of ornithine as described in Scheme 3: ClogP, theoretical water solubility (mg/mL) at pH 7.4 calculated values and IC50 values against A375 (human melanoma cell line).
Table 2. Synthesis of imidazo[1,2-a]quinoxaline derivatives grafted with the side chain amine of ornithine as described in Scheme 3: ClogP, theoretical water solubility (mg/mL) at pH 7.4 calculated values and IC50 values against A375 (human melanoma cell line).
Amino acidCompoundsClogP aTheoretical Water Solubility (mg/mL) at pH 7.4 bIC50 Values c (nM)
Orn8i6.121.62 × 10−4>10,000
9i5.864.50 × 10−4>10,000
11i2.993.05 × 10−35168
a,b ClogP and theoretical water solubility (mg/mL) at pH 7.4 values are calculated using the ACDLabs® software. c IC50 values, concentration of the compound (nM) producing 50% cell growth inhibition after 96 h of drug exposure, as determined by the MTT assay. Each experiment was performed in triplicate, and the results are presented as average values. Coefficients of variation were less than 10%.
Table 3. First and second generation imiqualines leads: ClogP, theoretical water solubility (mg/mL) at pH 7.4 calculated values and IC50 values against A375 (human melanoma cell line).
Table 3. First and second generation imiqualines leads: ClogP, theoretical water solubility (mg/mL) at pH 7.4 calculated values and IC50 values against A375 (human melanoma cell line).
CompoundsClogP aTheoretical Water Solubility (mg/mL) at pH 7.4 bIC50 Values c (nM)
EAPB02034.63.46 × 10−31570
EAPB05034.482.60 × 10−3200
EAPB023022.684.28 × 10−260
EAPB023033.551.74 × 10−210
a,b ClogP and theoretical water solubility (mg/mL) at pH 7.4 values are calculated using the ACDLabs® software. c IC50 values, concentration of the compound (nM) producing 50% cell growth inhibition after 96 h of drug exposure, as determined by the MTT assay. Each experiment was performed in triplicate, and the results are presented as average values. Coefficients of variation were less than 10%.

Share and Cite

MDPI and ACS Style

Chouchou, A.; Patinote, C.; Cuq, P.; Bonnet, P.-A.; Deleuze-Masquéfa, C. Imidazo[1,2-a]quinoxalines Derivatives Grafted with Amino Acids: Synthesis and Evaluation on A375 Melanoma Cells. Molecules 2018, 23, 2987. https://doi.org/10.3390/molecules23112987

AMA Style

Chouchou A, Patinote C, Cuq P, Bonnet P-A, Deleuze-Masquéfa C. Imidazo[1,2-a]quinoxalines Derivatives Grafted with Amino Acids: Synthesis and Evaluation on A375 Melanoma Cells. Molecules. 2018; 23(11):2987. https://doi.org/10.3390/molecules23112987

Chicago/Turabian Style

Chouchou, Adrien, Cindy Patinote, Pierre Cuq, Pierre-Antoine Bonnet, and Carine Deleuze-Masquéfa. 2018. "Imidazo[1,2-a]quinoxalines Derivatives Grafted with Amino Acids: Synthesis and Evaluation on A375 Melanoma Cells" Molecules 23, no. 11: 2987. https://doi.org/10.3390/molecules23112987

APA Style

Chouchou, A., Patinote, C., Cuq, P., Bonnet, P.-A., & Deleuze-Masquéfa, C. (2018). Imidazo[1,2-a]quinoxalines Derivatives Grafted with Amino Acids: Synthesis and Evaluation on A375 Melanoma Cells. Molecules, 23(11), 2987. https://doi.org/10.3390/molecules23112987

Article Metrics

Back to TopTop