Molecular Modeling and In Vitro Studies of a Neutral Oxime as a Potential Reactivator for Acetylcholinesterase Inhibited by Paraoxon
Abstract
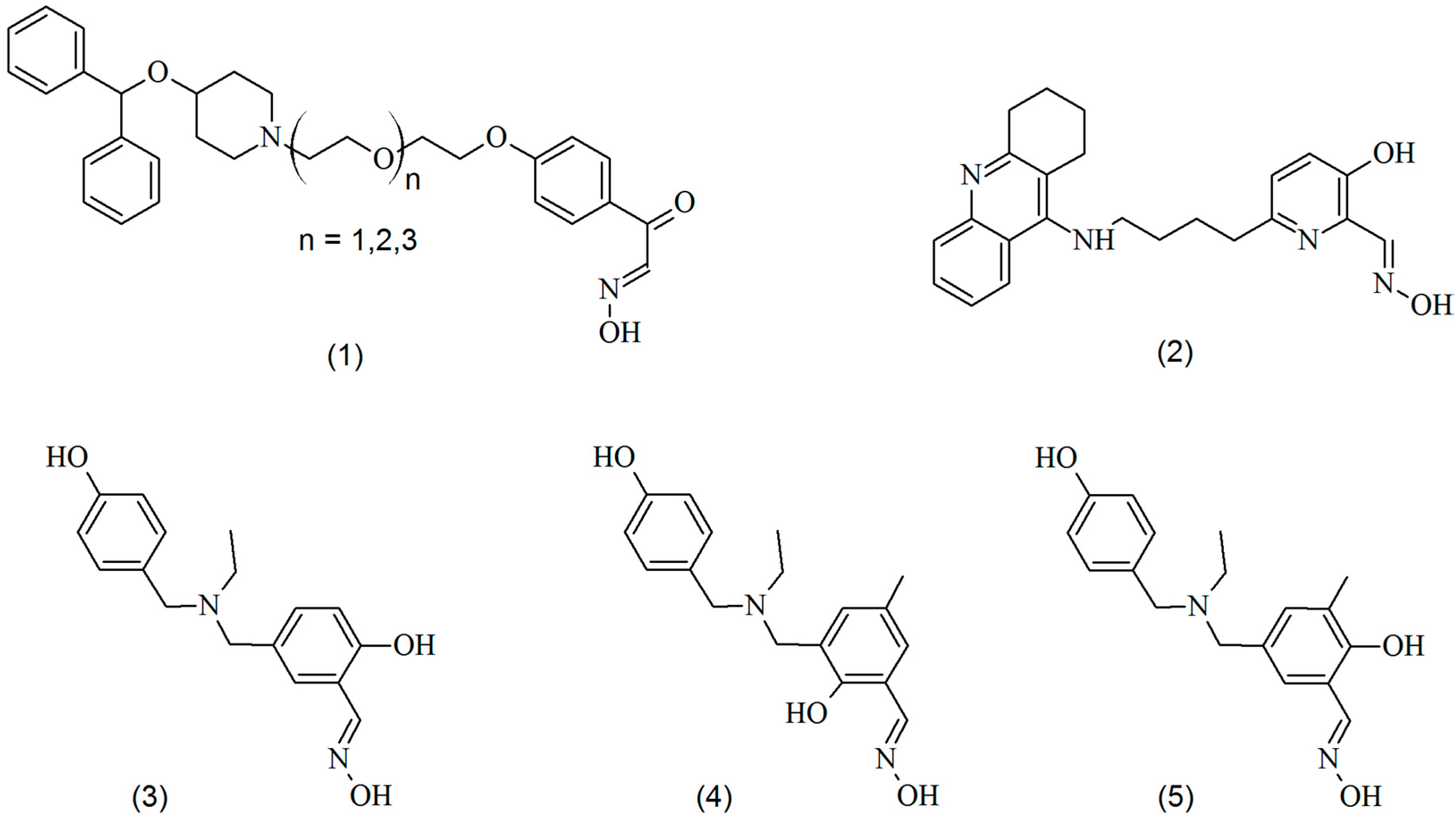
1. Introduction
2. Results and Discussion
2.1. Reactivation Tests
2.2. Molecular Docking Studies
2.3. MCDM Method
2.4. Molecular Dynamic Study
3. Experimental Section
3.1. Synthesis of the Oximes
3.2. Modified Ellman Method
3.2.1. Chemicals
3.2.2. Inhibition Assay
3.2.3. Reactivation Assay
3.3. Molecular Modeling Studies
3.3.1. Molecular Docking
3.3.2. Molecular Dynamics
3.4. MCDM Method
4. Conclusions
Supplementary Materials
Author Contributions
Funding
Conflicts of Interest
References
- Eddleston, M.; Buckley, N.A.; Eyer, P.; Dawson, A.H. Management of acute organophosphorus pesticide poisoning. Lancet 2008, 371, 597–607. [Google Scholar] [CrossRef]
- Schecter, W.P. Cholinergic symptoms due to nerve agent attack: A strategy for management. Clin. N. Am. 2004, 22, 579–590. [Google Scholar] [CrossRef] [PubMed]
- Cannard, K. The acute treatment of nerve agent exposure. J. Neurol. Sci. 2006, 249, 86–94. [Google Scholar] [CrossRef] [PubMed]
- Van Helden, H.P.; Busker, R.W.; Melchers, B.P.C.; Bruijnzeel, P.L.B. Pharmacological effects of oximes: How relevant are they. Arch. Toxicol. 1996, 70, 779–786. [Google Scholar] [CrossRef] [PubMed]
- Kassa, J. Review of oximes in the antidotal treatment of poisoning by organophosphorus nerve. J. Toxicol. Clin. Toxicol. 2002, 40, 803–816. [Google Scholar] [CrossRef] [PubMed]
- Worek, F.; Thiermann, H.; Szinics, L.; Eyer, P. Kinetic analysis of interactions between human acetylcholinesterase, structurally different organophosphorus compounds and oximes. Biochem. Pharmacol. 2004, 68, 2237–2248. [Google Scholar] [CrossRef] [PubMed]
- Kim, T.H.; Kuča, K.; Jun, D.; Jung, Y.S. Design and synthesis of new bis-pyridinium oxime reactivators for acetylcholinesterase inhibited by organophosphorus nerve agents. Bioorg. Med. Chem. Lett. 2005, 15, 2914–2917. [Google Scholar] [CrossRef] [PubMed]
- Brunton, L.L.; Lazo, J.S.; Parker, K.L. The Pharmacological Basis of Therapeutics, 11th ed.; McGraw-Hill, Medical Publishing Division: New York, NY, USA, 2006. [Google Scholar]
- Milatović, D.; Jokanović, M. Pyridinium Oximes as Cholinesterase Reactivators in the Treatment of OP Poisoning. In Handbook of Toxicology of Chemical Warfare Agents; Elsevier Inc.: London, UK, 2009; pp. 985–996. [Google Scholar]
- Kuča, K.; Musílek, K.; Jun, D.; Bajgar, J.; Kassa, J. Novel Oximes. In Handbook of Toxicology of Chemical Warfare Agents; Elsevier Inc.: London, UK, 2009; pp. 997–1021. [Google Scholar]
- Koning, M.C.; Van Grol, M.; Noort, D. Peripheral site ligand conjugation to a non-quaternary oxime enhances reactivation of nerve agent-inhibited human acetylcholinesterase. Toxicol. Lett. 2011, 206, 54–59. [Google Scholar] [CrossRef] [PubMed]
- Musílek, K.; Dolezal, M.; Gunn-Moore, F.; Kuča, K. Design, evaluation and structure-Activity relationship studies of the AChE reactivators against organophosphorus pesticides. Med. Res. Rev. 2011, 31, 548–575. [Google Scholar] [CrossRef] [PubMed]
- Saint-André, G.; Kilachyna, M.; Kodepely, S.; Louise-Leriche, L.; Gillon, E.; Renard, P.Y.; Nachon, F.; Baati, R.; Wagner, A. Design, synthesis and evaluation of new α-nucleophiles for the hydrolysis of organophosphorus nerve agents: Application to the reactivation of phosphorylated acetylcholinesterase. Tetrahedron 2011, 67, 6352–6361. [Google Scholar] [CrossRef]
- Chambers, J.E.; Meek, E.C.; Chambers, H.W. Novel brain-penetrating oximes for reactivation of cholinesterase inhibited by sarin and VX surrogates. Ann. N. Y. Acad. Sci. 2016, 1374, 52–58. [Google Scholar] [CrossRef] [PubMed]
- Winter, M.; Wille, T.; Musílek, K.; Kuča, K.; Thiermann, H.; Worek, F. Investigation of the reactivation kinetics of a large series of bipyridinium oximes with organophosphate-inhibited human acetylcholinesterase. Toxicol. Lett. 2016, 244, 136–142. [Google Scholar] [CrossRef] [PubMed]
- Matos, K.S.; Mancini, D.T.; Cunha, E.F.F.; Kuča, K.; França, T.C.C.; Ramalho, T.C. Molecular Aspects of the Reactivation Process of Acetylcholinesterase Inhibited by Cyclosarin. J. Braz. Chem. Soc. 2011, 10, 1999–2004. [Google Scholar] [CrossRef]
- Matos, K.S.; Cunha, E.F.F.; Gonçalves, A.S.; Wilter, A.; Kuča, K.; França, T.C.C.; Ramalho, T.C. First principles calculations of thermodynamics and kinetic parameters and molecular dynamics simulations of acetylcholinesterase reactivators: Can mouse data provide new insights into humans? J. Biomol. Struct. Dyn. 2012, 30, 546–558. [Google Scholar] [CrossRef] [PubMed]
- Koning, M.C.; Joonsen, M.J.A.; Noort, D.; Van Zuylen, A.; Tromp, M.C. Peripheral site ligand-oxime conjugates: A novel concept towards reactivation of nerve agent-inhibited human acetylcholinesterase. Bioorg. Med. Chem. 2011, 19, 588–594. [Google Scholar] [CrossRef] [PubMed]
- Luo, C.; Tong, M.; Chilukuri, N.; Brecht, K.; Maxwell, D.M.; Saxena, A. An in vitro comparative study on the reactivation of nerve agent-inhibited guinea pig and human acetylcholinesterases by oximes. Biochemistry 2009, 46, 11771–11779. [Google Scholar] [CrossRef] [PubMed]
- Mercey, G.; Verdelet, T.; Renou, J.; Kliachyna, M.; Baati, R.; Nachon, F.; Jean, L.; Renard, P.Y. Reactivators of Acetylcholinesterase Inhibited by Organophosphorus Nerve Agents. Acc. Chem. Res. 2012, 45, 756–766. [Google Scholar] [CrossRef] [PubMed]
- Renou, J.; Dias, J.; Mercey, G.; Vendelet, T.; Rousseau, C.; Gastellier, A.J.; Arboléas, M.; Loiodice, M.T.; Baati, R.; Jean, L.; et al. Synthesis and in vitro evaluation of donepezil-based reactivators and analogues for nerve agent-inhibited human acetylcholinesterase. RSC Adv. 2016, 6, 17929–17940. [Google Scholar] [CrossRef]
- Kliachyna, M.; Santoni, G.; Nussbaum, V.; Renou, J.; Sanson, B.; Colletier, J.P.; Baati, R. Design, synthesis and biological evaluation of novel tetrahydroacridine pyridine aldoxime and amidoxime hybrids as efficient uncharged reactivators of nerve agent inhibited human acetylcholinesterase. Eur. J. Med. Chem. 2014, 78, 455–467. [Google Scholar] [CrossRef] [PubMed]
- Wei, Z.; Liu, Y.; Wang, Y.; Li, W.; Zhou, X.; Zhao, J.; Li, S. Novel nonquaternary reactivators showing reactivation efficiency for soman-inhibited human acetylcholinesterase. Toxicol. Lett. 2016, 246, 1–6. [Google Scholar] [CrossRef] [PubMed]
- Almeida, J.S.F.D.; Cuya Guizado, T.R.; Guimarães, A.P.; Ramalho, T.C.; Gonçalves, A.S.; de Koning, M.C.; França, T.C.C. Docking and molecular dynamics studies of peripheral site ligand–oximes as reactivators of sarin-inhibited human acetylcholinesterase. J. Biomol. Struct. Dyn. 2016, 34, 2632–2642. [Google Scholar] [CrossRef] [PubMed]
- Silva, J.A.V.; Modesto-Costa, L.; Koning, M.C.; Borges, I., Jr.; França, T.C.C. Theoretical NMR and conformational analysis of solvated oximes for organophosphates-inhibited acetylcholinesterase. J. Mol. Struct. 2018, 1152, 311–320. [Google Scholar] [CrossRef]
- Nassar, M.Y.; Attia, A.S.; Adawy, S.; El-Shahat, M.F. Novel Isatinoxime Molybdenum and Chromium Complexes: Synthesis, Spectroscopic, and Thermal Characterization. J. Mol. Struct. 2012, 1026, 88–92. [Google Scholar] [CrossRef]
- Liang, C.; Xia, J.; Lei, D.; Li, X.; Yao, Q.; Gao, J. Synthesis, in Vitro and in Vivo Antitumor Activity of Symmetrical Bis-Schiff Base Derivatives of Isatin. Eur. J. Med. Chem. 2014, 74, 742–750. [Google Scholar] [CrossRef] [PubMed]
- Sai Prathima, P.; Bikshapathi, R.; Rao, V.J. Synthesis of Isatin Derivatives under Metal Free Conditions Using Hypervalent Iodine. Tetrahedron Lett. 2015, 56, 6385–6388. [Google Scholar] [CrossRef]
- Ozgun, D.O.; Yamali, C.; Gul, H.I.; Taslimi, P.; Gulcin, I.; Yanik, T.; Supuran, C.T. Inhibitory Effects of Isatin Mannich Bases on Carbonic Anhydrases, Acetylcholinesterase, and Butyrylcholinesterase. J. Enzyme Inhib. Med. Chem. 2016, 31, 1498–1501. [Google Scholar] [CrossRef] [PubMed]
- Melis, C.; Meleddu, R.; Angeli, A.; Distinto, S.; Bianco, G.; Capasso, C.; Cottiglia, F.; Angius, R.; Supuran, C.T.; Maccioni, E. Isatin: A Privileged Scaffold for the Design of Carbonic Anhydrase Inhibitors. J. Enzyme Inhib. Med. Chem. 2017, 32, 68–73. [Google Scholar] [CrossRef] [PubMed]
- Bhattacharya, S.K.; Clow, A.; Przyborowska, A.; Halket, J.; Glover, V.; Sandler, M. Effect of Aromatic Amino Acids, Pentylenetetrazole and Yohimbine on Isatin and Tribulin Activity in Rat Brain. Neurosci. Lett. 1991, 132, 44–46. [Google Scholar] [CrossRef]
- Rane, R.; Karunanidhi, S.; Jain, K.; Shaikh, M.; Hampannavar, G.; Karpoormath, R. A Recent Perspective on Discovery and Development of Diverse Therapeutic Agents Inspired from Isatin Alkaloids. Curr. Top. Med. Chem. 2016, 16, 1262–1289. [Google Scholar] [CrossRef] [PubMed]
- Pinto, A.C.; Lapis, A.A.M.; da Silva, B.V.; Bastos, R.S.; Dupont, J.; Neto, B.A.D. Pronounced Ionic Liquid Effect in the Synthesis of Biologically Active Isatin-3-Oxime Derivatives under Acid Catalysis. Tetrahedron Lett. 2008, 49, 5639–5641. [Google Scholar] [CrossRef]
- Laxmi, K. Theoretical Approach on Structural Aspects of Antiepileptic Agent Indoline-2, 3-Dione-3-Oxime by Arguslab 4 Software. J. Appl. Chem. 2014, 2, 92–101. [Google Scholar]
- Jun, D.; Musilova, L.; Musílek, K.; Kuča, K. In Vitro Ability of Currently Available Oximes to Reactivate Organophosphate Pesticide-Inhibited Human Acetylcholinesterase and Butyrylcholinesterase. Int. J. Mol. Sci. 2011, 12, 2077–2087. [Google Scholar] [CrossRef] [PubMed]
- Bharate, S.B.; Guo, L.; Reeves, T.E.; Cerasoli, D.M.; Thompson, C.M. Bisquaternary Pyridinium Oximes: Comparison of in Vitro Reactivation Potency of Compounds Bearing Aliphatic Linkers and Heteroaromatic Linkers for Paraoxon-Inhibited Electric Eel and Recombinant Human Acetylcholinesterase. Bioorg. Med. Chem. 2010, 18, 787–794. [Google Scholar] [CrossRef] [PubMed]
- Costa, M.D.; Freitas, M.L.; Soares, F.A.A.; Carratu, V.S.; Brandão, R. Potential of Two New Oximes in Reactivate Human Acetylcholinesterase and Butyrylcholinesterase Inhibited by Organophosphate Compounds: An in Vitro Study. Toxicol. In Vitro 2011, 25, 2120–2123. [Google Scholar] [CrossRef] [PubMed]
- Worek, F.; Thiermann, H. The Value of Novel Oximes for Treatment of Poisoning by Organophosphorus Compounds. Pharmacol. Ther. 2013, 139, 249–259. [Google Scholar] [CrossRef] [PubMed]
- Krishnan, J.K.S.; Arun, P.; Appu, A.P.; Vijayakumar, N.; Figueiredo, T.H.; Braga, M.F.M.; Baskota, S.; Olsen, C.H.; Farkas, N.; Dagata, J.; et al. Intranasal Delivery of Obidoxime to the Brain Prevents Mortality and CNS Damage from Organophosphate Poisoning. Neurotoxicology 2016, 53, 64–73. [Google Scholar] [CrossRef] [PubMed]
- Ellman, G.L.; Courtney, K.D.; Andres, V., Jr.; Featherstone, R.M. A new and rapid colorimetric determination of acetylcholinesterase activity. Biochem. Pharmacol. 1961, 7, 88–95. [Google Scholar] [CrossRef]
- Cavalcante, S.F.A.; Kitagawa, D.A.S.; Rodrigues, R.B.; Cardozo, M.; de Paula, R.L.; de Correa, A.B.A.; Simas, B.C. Straightforward, economical procedures for microscale Ellman’s test for cholinesterase inhibition and reactivation. Quim. Nova 2018, 41, 1192–1195. [Google Scholar] [CrossRef]
- Pohanka, M.; Hrabinova, M.; Kuca, K.; Simonato, J.P. Assessment of Acetylcholinesterase Activity Using Indoxylacetate and Comparison with the Standard Ellman’s Method. Int. J. Mol. Sci. 2011, 12, 2631–2640. [Google Scholar] [CrossRef] [PubMed]
- Järvinen, P.P.; Fallarero, A.; Gupta, S.; Mohan, G.C.; Hatakka, A.I.; Vuorela, P.M. Miniaturization and Validation of the Ellman’s Reaction Based Acetylcholinesterase Inhibitory Assay into 384-Well Plate Format and Screening of a Chemical Library. Comb. Chem. High Throughput Screen. 2010, 13, 278–284. [Google Scholar] [CrossRef] [PubMed]
- Pohanka, M.; Jun, D.; Kuca, K. Improvement of acetylcholinesterase-based assay for organophosphates in way of identification by reactivators. Talanta 2008, 77, 451–454. [Google Scholar] [CrossRef] [PubMed]
- Bajgar, J. Organophosphates/nerve agent poisoning: Mechanism of action, diagnosis, prophylaxis, and treatment. Adv. Clin. Chem. 2004, 38, 151–216. [Google Scholar] [PubMed]
- Musílek, K.; Lipka, L.; Račáková, V.; Kuča, K.; Jun, D.; Dohnal, V.; Doležal, M. New methods in synthesis of acetylcholinesterase reactivators and evaluation of their potency to reactivate cyclosarin-inhibited AChE. Chem. Pap. 2006, 60, 1–4. [Google Scholar] [CrossRef]
- Kuča, K.; Cabal, J.; Jun, D.; Musílek, K. In vitro reactivation potency of acetylcholinesterase reactivators K074 and K075 to reactivate tabun-inhibited human brain cholinesterases. Neurotox. Res. 2007, 11, 101–106. [Google Scholar] [CrossRef] [PubMed]
- Kontoyanni, M.; McClellan, L.M.; Sokol, G.S. Evaluation of Docking Performance: Comparative Data on Docking Algorithms. J. Med. Chem. 2004, 47, 558–565. [Google Scholar] [CrossRef] [PubMed]
- Lev, B. Multi-Criteria Decision Analysis via Ratio and Difference Judgement. Interfaces 2001, 31, 151–152. [Google Scholar] [CrossRef]
- Wallenius, J.; Dyer, J.S.; Fishburn, P.C.; Steuer, R.E.; Zionts, S.; Deb, K. Multiple Criteria Decision Making, Multiattribute Utility Theory: Recent Accomplishments and What Lies Ahead. Manag. Sci. 2008, 54, 1336–1349. [Google Scholar] [CrossRef]
- Behzadian, M.; Otaghsara, S.K.; Yazdani, M.; Ignatius, J. A state-of the-art survey of TOPSIS applications. Expert Syst. Appl. 2012, 39, 13051–13069. [Google Scholar] [CrossRef]
- Hwang, C.; Yoon, K. Multiple Attribute Decision Making: Methods and Applications, a State of the Art Survey; Springer: Berlin/Heidelberg, Germany, 1981. [Google Scholar]
- Sánches-Lozano, J.M.; García-Cascales, M.S.; Lamata, M.T. Comparative TOPSIS-ELECTRE TRI methods for optimal sites for photovoltaic solar farms. Case study in Spain. J. Clean. Prod. 2016, 127, 387–398. [Google Scholar] [CrossRef]
- Olson, D.L. Comparison of weights in TOPSIS models. Math. Comput. Model. 2004, 40, 721–727. [Google Scholar] [CrossRef]
- Saaty, T.L. The Analytic Hierarchy Process; MacGraw-Hill: New York, NY, USA, 1980. [Google Scholar]
- Saaty, T.L. How to make a decision: The Analytic Hierarchy Process. Eur. J. Oper. Res. 1990, 48, 9–26. [Google Scholar] [CrossRef]
- Saaty, T.L. The Modern Science of Multicriteria Decision Making and Its Practical Applications: The AHP/ANP Approach. Oper. Res. 2013, 61, 1101–1118. [Google Scholar] [CrossRef]
- Dong, Q.; Saaty, T.L. An analytic hierarchy process model of group consensus. J. Syst. Sci. Syst. Eng. 2014, 23, 362–374. [Google Scholar] [CrossRef]
- Altuzarra, A.; Moreno-Jiménez, J.M.; Salvador, M. A Bayesian priorization procedure for AHP-group decision making. Eur. J. Oper. Res. 2007, 182, 367–382. [Google Scholar] [CrossRef]
- Kuča, K.; Cabal, J.; Patocka, J.; Kassa, J. Synthesis of Bisquaternary Symmetric—χ,δ-Bis(2-Hydroxyiminomethylpyridinium) Alkane Dibromides and Their Reactivation of Cyclosarin-Inhibited Acetylcholinesterase. Lett. Org. Chem. 2004, 1, 84–86. [Google Scholar] [CrossRef]
- Guex, N.; Peitsch, M.C. SWISS-MODEL and Swiss-PdbViewer: An environment for comparative protein modeling. Electrophoresis 1997, 18, 2714–2723. [Google Scholar] [CrossRef] [PubMed]
- Castro, A.T.; Figueroa-Villar, J.D. Molecular Structure, Conformational Analysis and Charge Distribution of Pralidoxime: Ab Initio and DFT Studies. Int. J. Quantum Chem. 2002, 89, 135–146. [Google Scholar] [CrossRef]
- Kuča, K.; Jun, D.; Junova, L.; Musílek, K.; Hrabinova, M.; da Silva, A.V.J.; França, T.C.C. Synthesis, Biological Evaluation, and Docking Studies of Novel Bisquaternary Aldoxime Reactivators on Acetylcholinesterase and Butyrylcholinesterase Inhibited by POX. Molecules 2018, 23, 1103. [Google Scholar] [CrossRef] [PubMed]
- Deppmeier, B.J.; Driessen, A.J.; Hehre, W.J.; Johnson, J.A.; Klunzinger, P.E.; Watanabe, M.; Yu, J. PC Spartan Pro, Version 1.0.5; Wavefunction Inc.: Irvine, CA, USA, 2000. [Google Scholar]
- Roche, G.B.; Freire, R.O.; Simas, A.M.; Steward, J.J. RM1: A reparameterization of AM1 for H, C, O, P, S, F, Cl, Br, and I. J. Comput. Chem. 2006, 27, 1101–1111. [Google Scholar] [CrossRef] [PubMed]
- Thomsen, R.; Christensen, M.H. MolDock: A New Technique for High-Accuracy Molecular Docking. J. Med. Chem. 2006, 49, 3315–3321. [Google Scholar] [CrossRef] [PubMed]
- Storn, R.; Price, K. Differential Evolution—A Simple and Efficient Adaptive Scheme for Global Optimization over Continuous Spaces; Technical Report; ICSI: Berkeley, CA, USA, 1995. [Google Scholar]
- Abraham, M.J.; Murtola, T.; Schulz, R.; Páll, S.; Smith, J.C.; Hess, B.; Lindah, E. Gromacs: High performance molecular simulations through multi-level parallelism from laptops to supercomputers. SoftwareX 2015, 1–2, 19–25. [Google Scholar] [CrossRef]
- Da Silva, A.W.S.; Vranken, W.F. ACPYPE—AnteChamber PYthon Parser Interface. BMC Res. Notes 2012, 5, 367. [Google Scholar] [CrossRef] [PubMed]
- Humphrey, W.; Dalke, A.; Schulten, K. VMD-Visual Molecular Dynamics. J. Mol. Graph. 1996, 14, 33–38. [Google Scholar] [CrossRef]
- Warren, D. The PyMOL Molecular Graphics System; DeLano Scientific: San Carlos, CA, USA, 2002. [Google Scholar]
- Aczél, J.; Saaty, T.L. Procedures for synthesizing ratio judgements. J. Math. Psychol. 1983, 27, 93–102. [Google Scholar] [CrossRef]
- Alonso, J.A.; Lamata, M.T. Consistency in the Analytic Hierarchy Process: A new approach. Int. J. Uncertain. Fuzzy Knowl. Based Syst. 2006, 14, 445–459. [Google Scholar] [CrossRef]
Sample Availability: Samples of the compounds are not available from the authors. |









| Oxime | Distance O(oxime)-P(POX) (Å) | Intermolecular Energy (kcal/mol) | H-Bond Energy (kcal/mol) | Interaction Residues | % Reactivation (Mean in 10 min—Conc. 10 µmol/L) |
|---|---|---|---|---|---|
| Isatin-O | 4.03 | −75.22 | −1.60 | Ser125 | 6.37 |
| Obidoxime | 4.60 | −122.48 | −11.54 | Ser203 Tyr124 Tyr337 Asp74 | 24.55 |
| 2-PAM | 8.14 | −87.18 | −2.03 | His447 | 4.13 |
| Criterion | Distance O-P (Å) | Intermolecular Energy (kcal/mol) | H-Bond Energy (kcal/mol) | Interaction Residues |
|---|---|---|---|---|
| Max/Min | Min | Min | Min | Max |
| Weight | 0.633 | 0.228 | 0.044 | 0.095 |
| Isatin-O | ||||
| Dock1 | 5.19 | −81.13 | −4.92 | 2 |
| Dock2 | 4.50 | −94.18 | −2.65 | 2 |
| Dock3 | 3.75 | −84.51 | −0.6 | 1 |
| Dock4 | 5.76 | −81.33 | −7.76 | 3 |
| Dock5 | 4.68 | −93.39 | −2.53 | 3 |
| Dock6 | 5.44 | −71.62 | −2.25 | 2 |
| Dock7 | 3.76 | −76.95 | −2.18 | 1 |
| Dock8 | 4.50 | −78.03 | −0.96 | 3 |
| Dock9 | 4.60 | −92.04 | −3.77 | 3 |
| Dock10 | 4.50 | −85.00 | −0.24 | 2 |
| Obidoxime | ||||
| Dock1 | 5.28 | −123.99 | −8.78 | 4 |
| Dock2 | 4.62 | −125.10 | −7.71 | 3 |
| Dock3 | 5.42 | −103.54 | −5.33 | 2 |
| Dock4 | 5.3 | −111.45 | −11.7 | 3 |
| Dock5 | 5.29 | −122.32 | −5.20 | 3 |
| Dock6 | 5.15 | −122.76 | −8.67 | 4 |
| Dock7 | 5.3 | −118.75 | −7.22 | 3 |
| Dock8 | 4.6 | −122.48 | −11.54 | 4 |
| Dock9 | 5.28 | −121.38 | −7.73 | 3 |
| Dock10 | 5.12 | −111.4 | −10.23 | 2 |
| DM1 | Crit 1 | Crit 2 | Crit 3 | Crit 4 | DM2 | Crit 1 | Crit 2 | Crit 3 | Crit 4 |
| Crit 1 | 1 | 5 | 9 | 7 | Crit 1 | 1 | 4 | 9 | 7 |
| Crit 2 | 1/5 | 1 | 5 | 4 | Crit 2 | 1/4 | 1 | 7 | 4 |
| Crit 3 | 1/9 | 1/5 | 1 | 1/3 | Crit 3 | 1/9 | 1/7 | 1 | 1/4 |
| Crit 4 | 1/7 | 1/4 | 3 | 1 | Crit 4 | 1/7 | 1/4 | 4 | 1 |
| CR = 0.09 | CR = 0.09 | ||||||||
| DM3 | Crit 1 | Crit 2 | Crit 3 | Crit 4 | DM4 | Crit 1 | Crit 2 | Crit 3 | Crit 4 |
| Crit 1 | 1 | 5 | 9 | 7 | Crit 1 | 1 | 4 | 8 | 6 |
| Crit 2 | 1/5 | 1 | 5 | 3 | Crit 2 | 1/4 | 1 | 5 | 4 |
| Crit 3 | 1/9 | 1/5 | 1 | ¼ | Crit 3 | 1/8 | 1/5 | 1 | 1/3 |
| Crit 4 | 1/7 | 1/3 | 4 | 1 | Crit 4 | 1/6 | 1/4 | 3 | 1 |
| CR = 0.08 | CR = 0.08 | ||||||||
| GrPCM | Crit 1 | Crit 2 | Crit 3 | Crit 4 | Wi = Weights | ||||
| Crit 1 | 1 | 4.47 | 8.74 | 6.74 | 0.633 | ||||
| Crit 2 | 0.22 | 1 | 5.44 | 3.72 | 0.228 | ||||
| Crit 3 | 0.11 | 0.18 | 1 | 0.29 | 0.044 | ||||
| Crit 4 | 0.15 | 0.27 | 3.46 | 1 | 0.095 | ||||
| CR = 0.083 | |||||||||
| Oxime | Average H-Bond Number | Interaction Residues |
|---|---|---|
| Isatin-O | 3 | Leu76 |
| Tyr77 | ||
| Thr83 | ||
| Asn89 | ||
| Ser125 | ||
| Obidoxime | 2 | Asp74 |
| Thr83 | ||
| Asn89 | ||
| Glu202 | ||
| 2-PAM | 1 | His441 |
© 2018 by the authors. Licensee MDPI, Basel, Switzerland. This article is an open access article distributed under the terms and conditions of the Creative Commons Attribution (CC BY) license (http://creativecommons.org/licenses/by/4.0/).
Share and Cite
De Paula, R.L.; De Almeida, J.S.F.D.; Cavalcante, S.F.A.; Gonçalves, A.S.; Simas, A.B.C.; Franca, T.C.C.; Valis, M.; Kuca, K.; Nepovimova, E.; Granjeiro, J.M. Molecular Modeling and In Vitro Studies of a Neutral Oxime as a Potential Reactivator for Acetylcholinesterase Inhibited by Paraoxon. Molecules 2018, 23, 2954. https://doi.org/10.3390/molecules23112954
De Paula RL, De Almeida JSFD, Cavalcante SFA, Gonçalves AS, Simas ABC, Franca TCC, Valis M, Kuca K, Nepovimova E, Granjeiro JM. Molecular Modeling and In Vitro Studies of a Neutral Oxime as a Potential Reactivator for Acetylcholinesterase Inhibited by Paraoxon. Molecules. 2018; 23(11):2954. https://doi.org/10.3390/molecules23112954
Chicago/Turabian StyleDe Paula, Reuel L., Joyce S. F. D. De Almeida, Samir F. A. Cavalcante, Arlan S. Gonçalves, Alessandro B. C. Simas, Tanos C. C. Franca, Martin Valis, Kamil Kuca, Eugenie Nepovimova, and José M. Granjeiro. 2018. "Molecular Modeling and In Vitro Studies of a Neutral Oxime as a Potential Reactivator for Acetylcholinesterase Inhibited by Paraoxon" Molecules 23, no. 11: 2954. https://doi.org/10.3390/molecules23112954
APA StyleDe Paula, R. L., De Almeida, J. S. F. D., Cavalcante, S. F. A., Gonçalves, A. S., Simas, A. B. C., Franca, T. C. C., Valis, M., Kuca, K., Nepovimova, E., & Granjeiro, J. M. (2018). Molecular Modeling and In Vitro Studies of a Neutral Oxime as a Potential Reactivator for Acetylcholinesterase Inhibited by Paraoxon. Molecules, 23(11), 2954. https://doi.org/10.3390/molecules23112954

