Design, Synthesis and Anticancer Screening of Novel Benzothiazole-Piperazine-1,2,3-Triazole Hybrids
Abstract
:1. Introduction
2. Results and Discussion
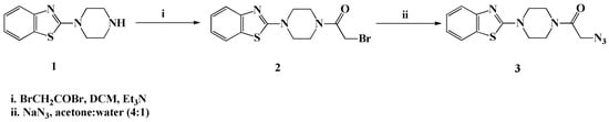
2.1. Chemistry
2.2. Antiproliferative Activity
2.3. In Silico ADME and LogP Analysis
3. Materials and Methods
3.1. General
3.1.1. Synthesis and Characterization of 1-(4-(Benzo[d]thiazol-2-yl)piperazin-1-yl)-2-bromoethanone (2)
3.1.2. Synthesis and Characterization of 2-Azido-1-(4-(benzo[d]thiazol-2-yl)piperazin-1-yl)ethanone (3)
3.1.3. General Procedure for the Synthesis of Propargylated Heterocycles 4f–l
3.1.4. Characterization of 5-Methyl-4-phenyl-3-(prop-2-yn-1-ylthio)-1,2,4-triazole (4f)
3.1.5. Characterization of 4-Methyl-5-phenyl-3-(prop-2-yn-1-ylthio)-1,2,4-triazole (4g)
3.1.6. Characterization of 4-Ethyl-5-phenyl-3-(prop-2-yn-1-ylthio)-1,2,4-triazole (4h)
3.1.7. Characterization of 4-Phenyl-5-phenyl-3-(prop-2-yn-1-ylthio)-1,2,4-triazole (4i)
3.1.8. Characterization of 2-(Prop-2-yn-1-ylthio)benzo[d]thiazole (4j)
3.1.9. Characterization of 2-(Prop-2-yn-1-ylthio)benzo[d]imidazole (4k)
3.1.10. Characterization of 1-(Prop-2-yn-1-yl)indoline-2,3-dione (5l)
3.1.11. General Procedure for the Synthesis of 1,4-Disubstituted 1,2,3-triazoles (5a–l)
3.1.12. Characterization of 1-(4-(Benzothiazol-2-yl)piperazin-1-yl)-2-(4-(hydroxymethyl)-1H-1,2,3-triazol-1-yl)ethanone (5a)
3.1.13. Characterization of 1-(4-(Benzothiazol-2-yl)piperazin-1-yl)-2-(4-(3-hydroxypropyl)-1H-1,2,3-triazol-1-yl)ethanone (5b)
3.1.14. Characterization of 1-(4-(Benzothiazol-2-yl)piperazin-1-yl)-2-(4-(hydroxy(phenyl)methyl)-1H-1,2,3-triazol-1-yl)ethanone (5c)
3.1.15. Characterization of 1-(4-(Benzothiazol-2-yl)piperazin-1-yl)-2-(4-(hydroxydiphenylmethyl)-1H-1,2,3-triazol-1-yl)ethanone (5d)
3.1.16. Characterization of Ethyl 1-(2-(4-(Benzothiazol-2-yl)piperazin-1-yl)-2-oxoethyl)-1H-1,2,3-triazole-4-carboxylate (5e)
3.1.17. Characterization of 1-(4-(Benzo[d]thiazol-2-yl)piperazin-1-yl)-2-(4-(((5-methyl-4-phenyl-4H-1,2,4-triazol-3-yl)thio)methyl)-1H-1,2,3-triazol-1-yl)ethanone (5f)
3.1.18. Characterization of 1-(4-(Benzo[d]thiazol-2-yl)piperazin-1-yl)-2-(4-(((4-methyl-5-phenyl-4H-1,2,4-triazol-3-yl)thio)methyl)-1H-1,2,3-triazol-1-yl)ethanone (5g)
3.1.19. Characterization of 1-(4-(Benzo[d]thiazol-2-yl)piperazin-1-yl)-2-(4-(((4-ethyl-5-phenyl-4H-1,2,4-triazol-3-yl)thio)methyl)-1H-1,2,3-triazol-1-yl)ethanone (5h)
3.1.20. Characterization of 1-(4-(Benzo[d]thiazol-2-yl)piperazin-1-yl)-2-(4-(((4,5-diphenyl-4H-1,2,4-triazol-3-yl)thio)methyl)-1H-1,2,3-triazol-1-yl)ethanone (5i)
3.1.21. Characterization of 1-(4-(Benzo[d]thiazol-2-yl)piperazin-1-yl)-2-(4-((benzo[d]thiazol-2-ylthio)methyl)-1H-1,2,3-triazol-1-yl)ethanone (5j)
3.1.22. Characterization of 2-(4-(((1H-Benzo[d]imidazol-2-yl)thio)methyl)-1H-1,2,3-triazol-1-yl)-1-(4-(benzo[d]thiazol-2-yl)piperazin-1-yl)ethanone (5k)
3.1.23. Characterization of 1-((1-(2-(4-(Benzo[d]thiazol-2-yl)piperazin-1-yl)-2-oxoethyl)-1H-1,2,3-triazol-4-yl)methyl)indoline-2,3-dione (5l)
3.1.24. General Procedure for the Synthesis of 1,4,5-Trisubstituted-1,2,3-triazoles (6a,b)
3.1.25. Characterization of Dimethyl 1-(2-(4-(Benzo[d]thiazol-2-yl)piperazin-1-yl)-2-oxoethyl)-1H-1,2,3-triazole-4,5-dicarboxylate (6a)
3.1.26. Characterization of Diethyl 1-(2-(4-(Benzo[d]thiazol-2-yl)piperazin-1-yl)-2-oxoethyl)-1H-1,2,3-triazole-4,5-dicarboxylate (6b)
3.2. Anticancer Activity
Cell Proliferation Assay
4. Conclusions
Author Contributions
Funding
Conflicts of Interest
References
- Abd El-All, A.S.; Magd-El-Din, A.A.; Ragab, F.A.; ElHefnawi, M.; Abdalla, M.M.; Galal, S.A.; El-Rashedy, A.A. New benzimidazoles and their antitumor effects with Aurora A kinase and KSP inhibitory activities. Arch. Pharm. 2015, 348, 475–486. [Google Scholar] [CrossRef] [PubMed]
- Kok, S.H.; Gambari, R.; Chui, C.H.; Yuen, M.C.; Lin, E.; Wong, R.S.; Lau, F.Y.; Cheng, G.Y.; Lam, W.S.; Chan, S.H.; et al. Synthesis and anti-cancer activity of benzothiazole containing phthalimide on human carcinoma cell lines. Bioorg. Med. Chem. 2008, 16, 3626–3631. [Google Scholar] [CrossRef] [PubMed]
- Raj, R.; Singh, P.; Singh, P.; Gut, J.; Rosenthal, P.J.; Kumar, V. Azide-alkyne cycloaddition en route to 1H-1,2,3-triazole-tethered 7-chloroquinoline-isatin chimeras: Synthesis and antimalarial evaluation. Eur. J. Med. Chem. 2013, 62, 590–596. [Google Scholar] [CrossRef] [PubMed]
- Wang, X.; Dai, Z.C.; Chen, Y.F.; Cao, L.L.; Yan, W.; Li, S.K.; Wang, J.X.; Zhang, Z.G.; Ye, Y.H. Synthesis of 1,2,3-triazole hydrazide derivatives exhibiting anti-phytopathogenic activity. Eur. J. Med. Chem. 2017, 126, 171–182. [Google Scholar] [CrossRef] [PubMed]
- Yadav, P.; Lal, K.; Kumar, A.; Guru, S.K.; Jaglan, S.B.; Hushan, S. Green synthesis and anticancer potential of chalcone linked-1,2,3-triazoles. Eur. J. Med. Chem. 2017, 126, 944–953. [Google Scholar] [CrossRef] [PubMed]
- Boukhssas, S.; Aouine, Y.; Faraj, H.; Alami, A.; El Hallaoui, A.; Bekkari, H. Synthesis, characterization, and antibacterial activity of diethyl 1-((4-methyl-2-phenyl-4,5-dihydrooxazol-4-yl)methyl)-1H-1,2,3-triazole-4,5-dicarboxylate. J. Chem. 2017, 2017, 1–6. [Google Scholar] [CrossRef]
- Sumangala, V.; Poojary, B.; Chidananda, N.; Fernandes, J.; Kumari, N.S. Synthesis and antimicrobial activity of 1,2,3-triazoles containing quinoline moiety. Arch. Pharm. Res. 2010, 33, 1911–1918. [Google Scholar] [CrossRef] [PubMed]
- Tan, W.; Li, Q.; Li, W.; Dong, F.; Guo, Z. Synthesis and antioxidant property of novel 1,2,3-triazole-linked starch derivatives via “click chemistry”. Int. J. Biol. Macromol. 2016, 82, 404–410. [Google Scholar] [CrossRef] [PubMed]
- Ma, L.Y.; Pang, L.P.; Wang, B.; Zhang, M.; Hu, B.; Xue, D.Q.; Shao, K.P.; Zhang, B.L.; Liu, Y.; Zhang, E.; et al. Design and synthesis of novel 1,2,3-triazole-pyrimidine hybrids as potential anticancer agents. Eur. J. Med. Chem. 2014, 86, 368–380. [Google Scholar] [CrossRef] [PubMed]
- Altimari, J.M.; Hockey, S.C.; Boshoff, H.I.; Sajid, A.; Henderson, L.C. Novel 1,4-substituted-1,2,3-triazoles as antitubercular agents. ChemMedChem 2015, 10, 787–791. [Google Scholar] [CrossRef] [PubMed]
- Soltis, M.J.; Yeh, H.J.; Cole, K.A.; Whittaker, N.; Wersto, R.P.; Kohn, E.C. Identification and characterization of human metabolites of CAI [5-amino-1-1(4′-chlorobenzoyl-3,5-dichlorobenzyl)-1,2,3-triazole-4-carboxamide). Drug Metab. Dispos. 1996, 24, 799–806. [Google Scholar] [PubMed]
- Sheng, C.; Zhang, W. New lead structures in antifungal drug discovery. Curr. Med. Chem. 2011, 18, 733–766. [Google Scholar] [CrossRef] [PubMed]
- Del Busto, R.; Haas, E.; Madhaven, T.; Burch, K.; Cox, F.; Fisher, E.; Quinn, E.; Pohlod, D. In vitro and clinical studies of cefatrizine, a new semisynthetic cephalosporin. Antimicrob. Agents Chemother. 1976, 9, 397–405. [Google Scholar] [CrossRef] [PubMed]
- Patel, R.V.; Patel, P.K.; Kumari, P.; Rajani, D.P.; Chikhalia, K.H. Synthesis of benzimidazolyl-1,3,4-oxadiazol-2ylthio-N-phenyl (benzothiazolyl) acetamides as antibacterial, antifungal and antituberculosis agents. Eur. J. Med. Chem. 2012, 53, 41–51. [Google Scholar] [CrossRef] [PubMed]
- Saeed, S.; Rashid, N.; Jones, P.G.; Ali, M.; Hussain, R. Synthesis, characterization and biological evaluation of some thiourea derivatives bearing benzothiazole moiety as potential antimicrobial and anticancer agents. Eur. J. Med. Chem. 2010, 45, 1323–1331. [Google Scholar] [CrossRef] [PubMed]
- Ongarora, D.S.; Gut, J.; Rosenthal, P.J.; Masimirembwa, C.M.; Chibale, K. Benzoheterocyclic amodiaquine analogues with potent antiplasmodial activity: Synthesis and pharmacological evaluation. Bioorg. Med. Chem. Lett. 2012, 22, 5046–5050. [Google Scholar] [CrossRef] [PubMed]
- Amnerkar, N.D.; Bhusari, K.P. Synthesis, anticonvulsant activity and 3D-QSAR study of some prop-2-eneamido and 1-acetyl-pyrazolin derivatives of aminobenzothiazole. Eur. J. Med. Chem. 2010, 45, 149–159. [Google Scholar] [CrossRef] [PubMed]
- Sarkar, S.; Dwivedi, J.; Chauhan, R. Synthesis of 1-[2(substituted phenyl)-4-oxothiazolidin-3-yl]-3-(6-fluro-7-chloro-1,3-benzothiazol-2-yl)-ureas as anthelmintic agent. J. Pharm. Res. 2013, 7, 439–442. [Google Scholar] [CrossRef]
- Shafi, S.; Alam, M.M.; Mulakayala, N.; Mulakayala, C.; Vanaja, G.; Kalle, A.M.; Pallu, R.; Alam, M.S. Synthesis of novel 2-mercapto benzothiazole and 1,2,3-triazole based bis-heterocycles: Their anti-inflammatory and anti-nociceptive activities. Eur. J. Med. Chem. 2012, 49, 324–333. [Google Scholar] [CrossRef] [PubMed]
- Mariappan, G.; Prabhat, P.; Sutharson, L.; Banerjee, J.; Patangia, U.; Nath, S. Synthesis and antidiabetic evaluation of benzothiazole derivatives. J. Korean Chem. Soc. 2012, 56, 251–256. [Google Scholar] [CrossRef]
- Cai, J.; Sun, M.; Wu, X.; Chen, J.; Wang, P.; Zong, X.; Ji, M. Design and synthesis of novel 4-benzothiazole amino quinazolines Dasatinib derivatives as potential anti-tumor agents. Eur. J. Med. Chem. 2013, 63, 702–712. [Google Scholar] [CrossRef] [PubMed]
- Al-Talib, M.; Al-Soud, Y.A.; Abussaud, M.; Khshashneh, S. Synthesis and biological evaluation of new benzothiazoles as antimicrobial agents. Arab. J. Chem. 2016, 9, S926–S930. [Google Scholar] [CrossRef]
- Chandramouli, C.; Shivanand, M.; Nayanbhai, T.; Bheemachari, B.; Udupi, R. Synthesis and biological screening of certain new triazole Schiff bases and their derivatives bearing substituted benzothiazole moiety. J. Chem. Pharm. Res. 2012, 4, 1151–1159. [Google Scholar]
- Charehsaz, M.; Gürdal, E.E.; Helvacıoğlu, S.; Yarım, M. Toxicological evaluation of benzothiazole derivatives carrying piperazine ring. Marmara Pharm. J. 2017, 21, 243–250. [Google Scholar] [CrossRef]
- Özkay, Ü.D.; Can, Ö.D.; Sağlık, B.N.; Turan, N. A benzothiazole/piperazine derivative with acetylcholinesterase inhibitory activity: Improvement in streptozotocin-induced cognitive deficits in rats. Pharmacol. Rep. 2017, 69, 1349–1356. [Google Scholar] [CrossRef] [PubMed]
- Kumbhare, R.M.; Dadmal, T.L.; Pamanji, R.; Kosurkar, U.B.; Velatooru, L.R.; Appalanaidu, K.; Khageswara Rao, Y.; Venkateswara Rao, J. Synthesis of novel fluoro 1,2,3-triazole tagged amino bis(benzothiazole) derivatives, their antimicrobial and anticancer activity. Med. Chem. Res. 2014, 23, 4404–4413. [Google Scholar] [CrossRef]
- Kumbhare, R.M.; Dadmal, T.L.; Janaki Ramaiah, M.; Kishore, K.S.V.; Pushpa Valli, S.N.C.V.L.; Tiwari, S.K.; Appalanaidu, K.; Khageswar Rao, Y.; Manika, P.B. Synthesis and anticancer evaluation of novel triazole linked N-(pyrimidin-2-yl)benzo[d]thiazol-2-amine derivatives as inhibitors of cell survival proteins and inducers of apoptosis in MCF-7 breast cancer cells. Bioorg. Med. Chem. Lett. 2015, 25, 654–658. [Google Scholar] [CrossRef] [PubMed]
- Aouad, M.R. Click Synthesis and antimicrobial screening of novel isatin-1,2,3-triazoles with piperidine, morpholine, or piperazine moieties. Org. Prep. Proced. Int. 2017, 49, 216–227. [Google Scholar] [CrossRef]
- Rezki, N. A green ultrasound synthesis, characterization and antibacterial evaluation of 1,4-disubstituted 1,2,3-triazoles tethering bioactive benzothiazole nucleus. Molecules 2016, 21, 505. [Google Scholar] [CrossRef] [PubMed]
- Rezki, N. Green microwave synthesis and antimicrobial evaluation of novel triazoles. Org. Prep. Proced. Int. 2017, 49, 525–541. [Google Scholar] [CrossRef]
- Rezki, N.; Mayaba, M.M.; Al-blewi, F.F.; Aouad, M.R. Click 1,4-regioselective synthesis, characterization, and antimicrobial screening of novel 1,2,3-triazoles tethering fluorinated 1,2,4-triazole and lipophilic side chain. Res. Chem. Intermed. 2017, 43, 995–1011. [Google Scholar] [CrossRef]
- Rezki, N.; Aouad, M.R. Green ultrasound-assisted three-component click synthesis of novel 1H-1,2,3-triazole carrying benzothiazoles and fluorinated-1,2,4-triazole conjugates and their antimicrobial evaluation. Acta Pharm. 2017, 67, 309–324. [Google Scholar] [CrossRef] [PubMed]
- Walczynski, K.; Guryn, R.; Zuiderveld, O.P.; Timmerman, H. Non-Imidazole histamine H3 ligands, Part 2: New 2-substituted benzothiazoles as histamine H3 antagonists. Archiv. Pharm. Int. J. Pharm. Med. Chem. 1999, 332, 389–398. [Google Scholar] [CrossRef]
- Aouad, M.R. Efficient eco-friendly solvent-free click synthesis and antimicrobial evaluation of new fluorinated 1,2,3-triazoles and their conversion into Schiff bases. J. Braz. Chem. Soc. 2015, 26, 2105–2115. [Google Scholar] [CrossRef]
- Aouad, M.R. Synthesis and antimicrobial screening of novel thioglycosides and acyclonucleoside analogs carrying 1,2,3-triazole and 1,3,4-oxadiazole moieties. Nucleosides Nucleotides Nucleic Acids 2016, 35, 1–15. [Google Scholar] [CrossRef] [PubMed]
- Aouad, M.R.; Mayaba, M.M.; Naqvi, A.; Bardaweel, S.K.; Al-blewi, F.F.; Messali, M.; Rezki, N. Design, synthesis, in silico and in vitro antimicrobial screenings of novel 1,2,4-triazoles carrying 1,2,3-triazole scaffold with lipophilic side chain tether. Chem. Cent. J. 2017, 11, 117–129. [Google Scholar] [CrossRef] [PubMed]
- ISO 10993-5-Biological Evaluation of Medical Devices. Part 5: Testes for in Vitro Cytotoxicity, 3rd ed.; International Organization for Standardization: Geneva, Switzerland, 2009.
- Van De Waterbeemd, H.; Gifford, E. ADMET in silico modelling: Towards prediction paradise? Nat. Rev. Drug Discov. 2003, 2, 192–204. [Google Scholar] [PubMed]
- Lipinski, C.A.; Lombardo, F.; Dominy, B.W.; Feeney, P.J. Experimental and computational approaches to estimate solubility and permeability in drug discovery and development settings. Adv. Drug Deliv. Rev. 2001, 19, 3–26. [Google Scholar] [CrossRef]
Sample Availability: Not available. |




| Code | T47D IC50 µM | MCF7 IC50 µM | HCT116 IC50 µM | Caco2 IC50 µM |
|---|---|---|---|---|
| 2 | >200 | >200 | >200 | >200 |
| 3 | 162 ± 9 | 168 ± 11 | 185 ± 11 | 188 ± 10 |
| 5a | 132 ± 6 | 128 ± 5 | 154 ± 8 | 145 ± 9 |
| 5b | 38 ± 2 | 33 ± 4 | 48 ± 4 | 42 ± 2 |
| 5c | 56 ± 7 | 61 ± 2 | 78 ± 9 | 68 ± 5 |
| 5d | 44 ± 6 | 42 ± 3 | 51 ± 4 | 53 ± 3 |
| 5e | 91 ± 8 | 88 ± 9 | 110 ± 6 | 103 ± 5 |
| 5f | 164 ± 13 | 173 ± 12 | 184 ± 18 | 166 ± 9 |
| 5g | 58 ± 8 | 55 ± 4 | 76 ± 5 | 72 ± 8 |
| 5h | 48 ± 4 | 49 ± 2 | 69 ± 8 | 62 ± 8 |
| 5i | 159 ± 9 | 168 ± 7 | 177 ± 11 | 182 ± 12 |
| 5j | 95 ± 3 | 99 ± 7 | 102 ± 13 | 98 ± 6 |
| 5k | 163 ± 10 | 160 ± 10 | 182 ± 17 | 178 ± 10 |
| 5l | 125 ± 14 | 138 ± 16 | 145 ± 15 | 159 ± 11 |
| 6a | >200 | >200 | >200 | >200 |
| 6b | 161 ± 8 | 172 ± 10 | 176 ± 18 | 178 ± 7 |
| Compounds | MW | logP | tPSA | nON | nOHNH | Vio | MV |
|---|---|---|---|---|---|---|---|
| 2 | 340.25 | 2.55 | 36.44 | 4 | 0 | 0 | 250.19 |
| 3 | 302.36 | 2.51 | 86.19 | 7 | 0 | 0 | 257.20 |
| 5a | 358.43 | 0.93 | 87.39 | 8 | 1 | 0 | 305.57 |
| 5b | 386.48 | 1.41 | 87.39 | 8 | 1 | 0 | 339.19 |
| 5c | 434.52 | 2.51 | 87.39 | 8 | 1 | 0 | 377.09 |
| 5d | 510.62 | 4.17 | 87.39 | 8 | 1 | 1 | 448.11 |
| 5e | 400.46 | 1.80 | 93.46 | 9 | 0 | 0 | 342.10 |
| 5f | 531.67 | 2.99 | 97.88 | 10 | 0 | 1 | 452.13 |
| 5g | 531.67 | 3.74 | 97.88 | 10 | 0 | 1 | 452.13 |
| 5h | 545.70 | 4.12 | 97.88 | 10 | 0 | 1 | 468.94 |
| 5i | 593.74 | 5.01 | 97.88 | 10 | 0 | 2 | 506.98 |
| 5j | 507.67 | 4.34 | 80.05 | 8 | 0 | 1 | 417.66 |
| 5k | 490.62 | 3.59 | 95.84 | 9 | 1 | 0 | 411.93 |
| 5l | 487.55 | 2.14 | 106.23 | 10 | 0 | 0 | 408.89 |
| 6a | 444.47 | 1.49 | 119.77 | 11 | 0 | 1 | 369.83 |
| 6b | 472.53 | 2.24 | 119.77 | 11 | 0 | 1 | 403.43 |
| Doxorubicin | 543.52 | 0.57 | 206.08 | 12 | 7 | 3 | 459.18 |
© 2018 by the authors. Licensee MDPI, Basel, Switzerland. This article is an open access article distributed under the terms and conditions of the Creative Commons Attribution (CC BY) license (http://creativecommons.org/licenses/by/4.0/).
Share and Cite
Aouad, M.R.; Soliman, M.A.; Alharbi, M.O.; Bardaweel, S.K.; Sahu, P.K.; Ali, A.A.; Messali, M.; Rezki, N.; Al-Soud, Y.A. Design, Synthesis and Anticancer Screening of Novel Benzothiazole-Piperazine-1,2,3-Triazole Hybrids. Molecules 2018, 23, 2788. https://doi.org/10.3390/molecules23112788
Aouad MR, Soliman MA, Alharbi MO, Bardaweel SK, Sahu PK, Ali AA, Messali M, Rezki N, Al-Soud YA. Design, Synthesis and Anticancer Screening of Novel Benzothiazole-Piperazine-1,2,3-Triazole Hybrids. Molecules. 2018; 23(11):2788. https://doi.org/10.3390/molecules23112788
Chicago/Turabian StyleAouad, Mohamed R., Moataz A. Soliman, Muath O. Alharbi, Sanaa K. Bardaweel, Pramod K. Sahu, Adeeb A. Ali, Mouslim Messali, Nadjet Rezki, and Yaseen A. Al-Soud. 2018. "Design, Synthesis and Anticancer Screening of Novel Benzothiazole-Piperazine-1,2,3-Triazole Hybrids" Molecules 23, no. 11: 2788. https://doi.org/10.3390/molecules23112788
APA StyleAouad, M. R., Soliman, M. A., Alharbi, M. O., Bardaweel, S. K., Sahu, P. K., Ali, A. A., Messali, M., Rezki, N., & Al-Soud, Y. A. (2018). Design, Synthesis and Anticancer Screening of Novel Benzothiazole-Piperazine-1,2,3-Triazole Hybrids. Molecules, 23(11), 2788. https://doi.org/10.3390/molecules23112788

