Recent Advances in Indazole-Containing Derivatives: Synthesis and Biological Perspectives
Abstract
1. Introduction
2. Synthesis Route for Indazole Derivatives
2.1. Synthesis of 1H-Indazole
2.2. Synthesis of 2H-Indazole
3. Biological Applications of Indazole Derivatives
3.1. Antitumor Activity
3.2. Antimicrobial Activity
3.3. Anti-Diabetic Agents
3.4. Anti-Inflammatory Activity
3.5. Treatment of Parkinson’s Disease
3.6. Treatment of Anemia of Chronic Disease
3.7. Others Activitives
4. Conclusions
Acknowledgments
Conflicts of Interest
Abbreviations
| ACD | Anemia of chronic disease |
| ALK | Anaplastic lymphoma kinase |
| AR | Adrenergic receptor |
| Bcr-Abl | Break point cluster-Abelson |
| Btk | Bruton’s tyrosine kinasel |
| CD | Crohn’s disease |
| CDK | Cyclin-dependent kinase |
| CHK | Checkpoint kinase |
| DCE | 1,2-Dichloroethane |
| DDQ | 2,3-Dicyano-5,6-dichlorobenzoquinone |
| DFT | Density functional theory |
| DMPK | Drug metabolism and pharmacokinetics |
| DMPU | 1,3-Dimethyl-3,4,5,6-tetrahydro-2(1H)-pyrimidinone |
| DMSO | Dimethyl sulfoxide |
| EGFR | Epidermal growth factor receptor |
| ER | Endoplasmic reticulum |
| ERK | Extracellular signal-regulated kinase |
| EZH | Enhancer of zeste homologue |
| FBLD | Fragment-based lead discovery |
| FDA | Food and drug administration |
| FGFR | Fibroblast growth factor receptor |
| FRET | Forster resonance energy transfer |
| FLT3 | Fms-like tyrosine kinase 3 |
| FtsZ | Filamentous temperature-sensitive protein Z |
| GK | Glucokinase |
| GPR | G-protein coupled receptor |
| GR | Glucocorticoid receptor |
| GRAs | Glucagon receptor antagonists |
| GRK | G protein-coupled receptor kinase |
| GSK3β | Glycogen synthase kinase 3 betas |
| hCAs | Human carbonic anhydrases |
| HDACs | Histone deacetylases |
| hEGR | Human ether-a-go-go related gene |
| hFOB | Human fetal osteoblasts |
| HFIP | Hexafluoroisopropanol |
| HT | Hydroxytryptamine |
| HTS | High-throughput screening |
| HUVEC | Human umbilical vein endothelial cells |
| IDO | Indoleamine-pyrrole 2,3-dioxygenase |
| IKKβ | Inhibitor of nuclear factor kappa-B kinase betan |
| JAK | Janus kinase |
| LE | Excellent ligand |
| LPS | Lipopolysaccharide |
| LRRK | Leucine-rich repeat kinase |
| MA | Molecular sieves |
| MAC | Membrane attack complex |
| MBA | Methoxybenzamide |
| MCHR | Melanin-concentrating hormone receptor |
| MIC | Minimum inhibitory concentration |
| NMT | N-myristoyltransferase |
| NMR | Nuclear magnetic resonance |
| NOD | Nucleotide-binding oligomerization domain-containing protein |
| NSCLC | Non-small cell lung cancer |
| OGTT | Oral glucose tolerance test |
| OPG | Osteoprotegerin |
| PAD | Protein arginine deiminase |
| PD | Pharmacodynamic |
| PDGFRβ | Platelet-derived growth factor receptor betan |
| PDK | Phosphoinositide-dependent kinase |
| PEC | Posterior eye cup |
| PI3Kδ | Phosphoinositide 3-kinase deltae |
| PIFA | [Bis-(trifluoroacetoxy)iodo]benzene |
| PK | Pharmacokinetic |
| PKC | Protein kinase C |
| PLK4 | Polo-like kinase 4 |
| RET | Rearranged during transfection |
| RIP | Receptor-interacting protein |
| ROCK | Rho-associated coiled-coil kinase |
| SAHA | Suberoylanilide hydroxamic acid |
| SAR | Structure-activity relationship |
| SCW | Streptococcal cell wall |
| SEDRs | Selective estrogen receptor degraders |
| SGRMs | Selective glucocorticoid receptor modulators |
| SNAr | Nucleophilic aromatic substitution |
| TA | Transactivation |
| TAT | Tyrosine aminotransferase |
| TGI | Tumor growth inhibition |
| TNFα | Tumor necrosis factor-alphas |
| TTK | Tyrosine threonine kinase |
| TR | Transrepression |
| TRPA | Transient receptor potential ankyrin-repeat |
| UC | Ulcerative colitis |
| ULK | Unc-51-like kinase |
| USP | Ubiquitin specific protease |
| VEGFR | Vascular endothelial growth factor receptor |
References
- Gao, M.C.; Xu, B. Transition metal-involving synthesis and utilization of N-containing heterocycles: Exploration of nitrogen sources. Chem. Rec. 2016, 16, 1701–1714. [Google Scholar] [CrossRef] [PubMed]
- Teixeira, F.C.; Ramos, H.; Antunes, I.F.; Curto, M.J.M.; Teresa Duarte, M.; Bento, I. Synthesis and structural characterization of 1-and 2-substituted indazoles: Ester and carboxylic acid derivatives. Molecules 2006, 11, 867–889. [Google Scholar] [CrossRef] [PubMed]
- Vidyacharan, S.; Murugan, A.; Sharada, D.S. C(sp2)-H Functionalization of 2H-indazoles at C3-position via palladium(II)-catalyzed isocyanide insertion strategy leading to diverse heterocycles. J. Org. Chem. 2016, 81, 2837–2848. [Google Scholar] [CrossRef] [PubMed]
- Shinde, A.H.; Vidyacharan, S.; Sharada, D.S. BF3·OEt2 mediated metal-free one-pot sequential multiple annulation cascade (SMAC) synthesis of complex and diverse tetrahydroisoquinoline fused hybrid molecules. Org. Biomol. Chem. 2016, 14, 3207–3211. [Google Scholar] [CrossRef] [PubMed]
- Behrouz, S. Highly efficient one-pot three component synthesis of 2H-indazoles by consecutive condensation, C-N and N-N bond formations using Cu/Aminoclay/reduced grapheme oxide nanohybrid. J. Heterocyclic. Chem. 2017, 54, 1863–1871. [Google Scholar] [CrossRef]
- Jayanthi, M.; Rajakumar, P. Synthesis, cell viability, and flow cytometric fluorescence pulse width analysis of dendrimers with indazoles surface unit. J. Heterocyclic. Chem. 2017, 54, 3042–3050. [Google Scholar] [CrossRef]
- Lavrard, H.; Popowycz, F. Regioselective late-stage C-3 functionalization of pyrazolo-[3,4-b]pyridines. Synthesis 2018, 50, 998–1006. [Google Scholar]
- Bogonda, G.; Kim, H.Y.; Oh, K. Direct acyl radical addition to 2H-indazoles using Ag-catalyzed decarboxylative cross-coupling of α-keto acids. Org. Lett. 2018, 20, 2711–2715. [Google Scholar] [CrossRef] [PubMed]
- Scott, L.J. Niraparib: First global approval. Drugs 2017, 77, 1029–1034. [Google Scholar] [CrossRef] [PubMed]
- Baddam, S.R.; Kumar, N.U.; Reddy, A.P.; Bandichhor, R. Regioselective methylation of indazoles using methyl 2,2,2-trichloromethylacetimidate. Tetrahedron Lett. 2013, 54, 1661–1663. [Google Scholar] [CrossRef]
- AI-Bogami, A.S. Mechanochemical synthesis of cyclohexenones and indazoles as potential antimicrobial agents. Res. Chem. Intermed. 2016, 42, 5457–5477. [Google Scholar] [CrossRef]
- Gaikwad, D.D.; Chapolikar, A.D.; Devkate, C.G.; Warad, K.D.; Tayade, A.P.; Pawar, R.P.; Domb, A.J. Synthesis of indazole motifs and their medicinal importance: An overview. Eur. J. Med. Chem. 2015, 90, 707–731. [Google Scholar] [CrossRef] [PubMed]
- Dong, J.Y.; Zhang, Q.J.; Wang, Z.T.; Huang, G.; Li, S.S. Recent advances in the development of indazole-based anticancer agents. Chem. Med. Chem. 2018, 13, 1490–1507. [Google Scholar] [CrossRef] [PubMed]
- Wan, Y.C.; He, S.Z.; Li, W.; Tang, Z.L. Indazole derivatives: Promising anti-tumor agents. Anti-Cancer Agents Med. Chem. 2018, 18. [Google Scholar] [CrossRef] [PubMed]
- Cyr, P.; Regnier, S.; Bechara, W.S.; Charette, A.B. Rapid access to 3-aminoindazoles from tertiary amides. Org. Lett. 2015, 17, 3386–3389. [Google Scholar] [CrossRef] [PubMed]
- Wei, W.; Wang, Z.; Yang, X.K.; Yu, W.Q.; Chang, J.B. Divergent synthesis of 1H-indazoles and 1H-pyrazoles from hydrazones via iodine-mediated intramolecular aryl and sp3 C-H amination. Adv. Synth. Catal. 2017, 359, 3378–3387. [Google Scholar] [CrossRef]
- Zhang, Z.G.; Huang, Y.Y.; Huang, G.Q.; Zhang, G.S.; Liu, Q.F. [Bis-(trifluoroacetoxy)iodo]benzene-mediated oxidative direct amination C-N bond formation: Synthesis of 1H-indazoles. J. Heterocyclic. Chem. 2017, 54, 2426–2433. [Google Scholar] [CrossRef]
- Tang, M.; Kong, Y.F.; Chu, B.J.; Feng, D. Copper(I) oxide-mediated cyclization of o-haloaryl N-tosylhydrazones: Efficient synthesis of indazoles. Adv. Synth. Catal. 2016, 358, 926–939. [Google Scholar] [CrossRef]
- Zhu, X.Q.; Mao, S.; Guo, D.D.; Li, B.; Guo, S.H.; Gao, Y.R.; Wang, Y.Q. Copper-catalyzed isomerization and cyclization of E/Z-o-haloaryl N-sulfonylhydrazones: Convenient access to of 1H-indazoles. Chem. Cat. Chem. 2017, 9, 1084–1091. [Google Scholar]
- Annor-Gyamfi, J.K.; Gnanasekaran, K.K.; Bunce, R.A. Syntheses of 1-aryl-5-nitro-1H-indazoles and a general one-pot route to 1-aryl-1H-indazoles. Molecules 2018, 23, 674. [Google Scholar] [CrossRef] [PubMed]
- Kim, O.S.; Jang, J.H.; Kim, H.T.; Has, S.J.; Tsui, G.C.; Joo, J.M. Syntesis of fluorescent indazoles by palladium-catalyzed benzannualtion of pyrazoles with alkynes. Org. Lett. 2017, 19, 1450–1453. [Google Scholar] [CrossRef] [PubMed]
- Kim, H.T.; Ha, H.; Kang, G.; Kim, O.S.; Biswas, A.K.; Kim, S.M.; Baik, M.H.; Joo, J.M. Ligand-controlled regiodivergent C-H alkenylation of pyrazoles and its application to the synthesis of indazoles. Angew. Chem. Int. Ed. 2017, 56, 16262–16266. [Google Scholar] [CrossRef] [PubMed]
- Xu, P.; Wang, G.Q.; Wu, Z.K.; Li, S.H.; Zhu, C.J. Rh(III)-catalyzed double C-H activation of aldehyde hydrazones: A route to functionalized 1H-indazole synthesis. Chem. Sci. 2017, 8, 1303–1308. [Google Scholar] [CrossRef] [PubMed]
- Chen, C.Y.; Tang, G.R.; He, F.X.; Wang, Z.B.; Jing, H.L.; Faessler, R. A synthesis of 1H-indazoles via a Cu(OAc)2-catalyzed N-N bond formation. Org. Lett. 2016, 18, 1690–1693. [Google Scholar] [CrossRef] [PubMed]
- Wang, Q.; Li, X.W. Synthesis of 1H-indazoles from imidates and nitrosobenzenes via synergistic rhodium/copper catalysis. Org. Lett. 2016, 18, 2102–2105. [Google Scholar] [CrossRef] [PubMed]
- Yu, S.J.; Tang, G.D.; Li, Y.Z.; Zhou, X.K.; Lan, Y.; Li, X.W. Anthranil: An aminating reagent leading to bifunctionality for both C(sp3)-H and C(sp2)-H under rhodium(III) catalysis. Angew. Chem. Int. Ed. 2016, 55, 8696–8700. [Google Scholar] [CrossRef] [PubMed]
- Li, L.; Wang, H.; Yu, S.J.; Yang, X.F.; Li, X.W. Cooperative Co(III)/Cu(II)-catalyzed C-N/N-N coupling of imidates with anthranils: Access to 1H-indazoles via C-H activation. Org. Lett. 2016, 18, 3662–3665. [Google Scholar] [CrossRef] [PubMed]
- Chen, G.H.; Hu, M.L.; Peng, Y.G. Switchable synthesis of 3-substituted 1H-indazoles and 3,3-disubstituted 3H-indazoles-3-phosphonates tuned by phosphoryl groups. J. Org. Chem. 2018, 83, 1591–1597. [Google Scholar] [CrossRef] [PubMed]
- Bel Abed, H.; Schoene, J.; Christmann, M.; Nazaré, M. Organophorus-mediated N-N bond formation: Facile access to 3-amino-2H-indazoles. Org. Biomol. Chem. 2016, 14, 8520–8528. [Google Scholar] [CrossRef] [PubMed]
- Schoene, J.; Bel Abed, H.; Christmann, M.; Nazaré, M. A straightforward approach to N-substituted 2H-indazol-2-amines through reductive cyclization. Tetrahedron Lett. 2017, 58, 1633–1635. [Google Scholar] [CrossRef]
- Nykaza, T.V.; Harrison, T.S.; Ghosh, A.; Putnik, R.A.; Radosevich, A.T. A biphilic phosphetane cataltzes N-N bond-forming cadogan heterocyclization via PIII/PIV=O redox cycling. J. Am. Chem. Soc. 2017, 139, 6839–6842. [Google Scholar] [CrossRef] [PubMed]
- Schoene, J.; Bel Abed, H.; Schmieder, P.; Christmann, M.; Nazaré, M. A general one-pot synthesis of 2H-indazoles using an organophosphorus-silane system. Chem. Eur. J. 2018, 24, 9090–9100. [Google Scholar] [CrossRef] [PubMed]
- Bel Abed, H.; Weißing, N.; Schoene, J.; Paulus, J.; Sewald, N.; Nazaré, M. Novel strategy for the preparation of 3-perfluoroalkylated-2H-indazole derivatives. Tetrahedron Lett. 2018, 59, 1813–1815. [Google Scholar] [CrossRef]
- Hunnel, J.R.; Ellaman, J.A. Cobalt(III)-catalyzed synthesis of indazoles and furans by C-H bond functionalization/addition/cyclization cascades. J. Am. Chem. Soc. 2015, 137, 490–498. [Google Scholar]
- Geng, X.Y.; Wang, C.Y. Rhenium-catalyzed [4 + 1] annulation of azobenzenes and aldehydes via isolable cyclic rhenium (I) complexes. Org. Lett. 2015, 17, 2434–2437. [Google Scholar] [CrossRef] [PubMed]
- Jeong, T.; Han, S.H.; Han, S.; Sharma, S.; Park, J.; Lee, J.S.; Kwak, J.H.; Jung, Y.H.; Kim, I.S. Access to 3-acyl-(2H)-indazoles via rh(III)-catalyzed C-H addition and cyclization of azobenzenes with α-keto aldehydes. Org. Lett. 2016, 18, 232–235. [Google Scholar] [CrossRef] [PubMed]
- Oh, H.J.; Han, S.; Pandey, A.K.; Han, S.H.; Mishra, N.K.; Kim, S.; Chun, R.; Kim, H.S.; Park, J.; Kim, I.S. Synthesis of (2H)-indazoles through Rh(III)-catalyzed annulation reaction of azobenzenes with sulfoxonium yildes. J. Org. Chem. 2018, 83, 4070–4077. [Google Scholar] [CrossRef] [PubMed]
- Cai, S.J.; Lin, S.Y.; Yi, X.L.; Xi, C.J. Substrate-controlled transformation of azobenzenes to indazoles and indoles via rh(III)-catalysis. J. Org. Chem. 2017, 82, 512–520. [Google Scholar] [CrossRef] [PubMed]
- Long, Z.; Wang, Z.G.; Zhou, D.N.; Wan, D.Y.; You, J.S. Rh(III)-Catalyzed regio- and chemoselective [4 + 1]-annulation of azoxy compounds with diazoesters for the synthesis of 2H-indazoles: Roles of the azoxy oxygen atom. Org. Lett. 2017, 19, 2777–2780. [Google Scholar] [CrossRef] [PubMed]
- Long, Z.; Yang, Y.D.; You, J.S. Rh(III)-Catalyzed [4 + 1]-annulation of azoxy compounds with alkynes: A regioselective approach to 2H-indazoles. Org. Lett. 2017, 19, 2781–2784. [Google Scholar] [CrossRef] [PubMed]
- Wei, W.W.; Li, X.Y.; Gu, M.; Yao, H.Q.; Lin, A.J. Cu/Pd Cooperatively catalyzed tandem C-N and C-P bond formation: Access to phosphorated 2H-indazoles. Org. Biomol. Chem. 2017, 15, 8458–8462. [Google Scholar] [CrossRef] [PubMed]
- Yi, X.L.; Jiao, L.; Xi, C.J. I2-Mediated 2H-indazole synthesis via halogen-bond-asssited benzyl C-H functionalization. Org. Biomol. Chem. 2016, 14, 9912–9918. [Google Scholar] [CrossRef] [PubMed]
- Yi, X.L.; Xi, C.J. Iodine-catalyzed aerobic oxidation of o-alkylazobenzenes to 2H-indazoles. Tetrahedron 2017, 73, 1311–1316. [Google Scholar] [CrossRef]
- Hu, W.M.; Yu, J.T.; Liu, S.Q.; Jiang, Y.; Cheng, J. Copper-mediated annulation of 2-(1-arylvinyl) anilines and aryl nitrosos towards 2,3-diaryl-2H-indazoles. Org. Chem. Front. 2017, 4, 22–25. [Google Scholar] [CrossRef]
- Sampson, P.B.; Liu, Y.; Forrest, B.; Cumming, G.; Li, S.W.; Patel, N.K.; Edwards, L.; Laufer, R.; Feher, M.; Ban, F.Q.; et al. The discovery of polo-like kinase 4 inhibitors: Identification of (1R,2S)-2-(3-((E)-4(((cis)-2,6-dimethyl morpholino)methyl)styryl)-1H-indazol-6-yl)-5’-methoxyspiro[cyclopropane-1,3’-indolin]-2’-one(CFI-400945) as a potent, orally active antitumor agent. J. Med. Chem. 2015, 58, 147–169. [Google Scholar] [CrossRef] [PubMed]
- Yu, B.; Yu, Z.Q.; Qi, P.P.; Yu, D.Q.; Liu, H.M. Discovery of orally active anticancer candidate CFI-400945 derived from biologically promising spirooxindoles: Success and challenges. Eur. J. Med. Chem. 2015, 95, 35–40. [Google Scholar] [CrossRef] [PubMed]
- Wang, H.L.; Cee, V.J.; Chavez, F., Jr.; Lanman, B.A.; Reed, A.B.; Wu, B.; Guerrero, N.; Russell Lipford, J.; Sastri, C.; Winston, J.; et al. The discovery of novel 3-(pyrazin-2-yl)-1H-indazoles as potent pan-Pim kinase inhibitors. Bioorg. Med. Chem. Lett. 2015, 25, 834–840. [Google Scholar] [CrossRef] [PubMed]
- Hu, H.Y.; Wang, X.J.; Chan, G.K.Y.; Chang, J.H.; Do, S.; Drummond, J.; Ebens, A.; Lee, W.; Ly, J.; Lyssikatos, J.P.; et al. Discovery of 3,5-substituted 6-azaindazoles as potent pan-Pim inhibitors. Bioorg. Med. Chem. Lett. 2015, 25, 5258–5264. [Google Scholar] [CrossRef] [PubMed]
- Wang, X.J.; Kolesnikov, A.; Tay, S.; Chan, G.; Chao, Q.; Do, S.; Drummond, J.; Ebens, A.J.; Liu, N.; Ly, N.; et al. Discovery of 5-azaindazole (GNE-955) as a potent pan-Pim inhibitor with optimized bioavailability. J. Med. Chem. 2017, 60, 4458–4473. [Google Scholar] [CrossRef] [PubMed]
- Govek, S.P.; Nagasawa, J.Y.; Douglas, K.L.; Lai, A.G.; Kahraman, M.; Bonnefous, C.; Aparicio, A.M.; Darimont, B.D.; Grillot, K.L.; Joseph, J.D.; et al. Optimization of an indazole series of selective estrogen receptor degraders: Tumor regression in a tamoxifen-resistant breast cancer xenograft. Bioorg. Med. Chem. Lett. 2015, 25, 5163–5167. [Google Scholar] [CrossRef] [PubMed]
- Lai, A.; Kahraman, M.; Govek, S.; Nagasawa, J.; Bonnefous, C.; Julien, J.; Douglas, K.; Sensintaffar, J.; Lu, N.; Lee, K.J.; et al. Identification of GDC-0810 (ARN-810), an orally bioavailable Selective Estrogen Receptor Degrader (SERD) that demonstrates robust activity in tamoxifen-resistant breast cancer xenografts. J. Med. Chem. 2015, 58, 4888–4904. [Google Scholar] [CrossRef] [PubMed]
- Shan, Y.Y.; Dong, J.Y.; Pan, X.Y.; Zhang, L.; Zhang, J.; Dong, Y.L.; Wang, M.Y. Expanding the structural diversity of Bcr-Abl inhibitors: Dibenzoylpiperazin incorporated with 1H-indazol-3-amine. Eur. J. Med. Chem. 2015, 104, 139–147. [Google Scholar] [CrossRef] [PubMed]
- Song, P.R.; Chen, M.; Ma, X.D.; Xu, L.; Liu, T.; Zhou, Y.B.; Hu, Y.Z. Identification of novel inhibitors of Aurora A with a 3-(pyrrolopyridin-2-yl)indazole scaffold. Bioorg. Med. Chem. 2015, 23, 1858–1868. [Google Scholar] [CrossRef] [PubMed]
- Liu, Y.; Lang, Y.H.; Kumar Patel, N.; Ng, G.; Laufer, R.; Li, S.W.; Edwards, L.; Forrest, B.; Sampson, P.B.; Feher, M.; et al. The discovery of orally bioavailable tyrosine threonine kinase (TTK) inhibitors: 3-(4-(heterocyclyl)phenyl)-1H-indazole-5-carboxamides as anticancer agents. J. Med. Chem. 2015, 58, 3366–3392. [Google Scholar] [CrossRef] [PubMed]
- Lu, Y.Y.; Zhao, C.R.; Wang, R.Q.; Li, W.B.; Qu, X.J. A novel anticancer diarylurea derivative HL-40 as a muti-kinases inhibitor with good pharmacokinetics in Wistar rats. Biomed. Pharmacother. 2015, 69, 255–259. [Google Scholar] [CrossRef] [PubMed]
- Zhao, C.R.; Wang, R.Q.; Li, G.; Xue, X.X.; Sun, C.J.; Qu, X.J.; Li, W.B. Synthesis of indazole based diarylurea derivatives and their antiproliferative activity against tumor cell lines. Bioorg. Med. Chem. Lett. 2013, 23, 1989–1992. [Google Scholar] [CrossRef] [PubMed]
- Liu, J.; Peng, X.; Dai, Y.; Zhang, W.; Ren, S.M.; Ai, J.; Geng, M.Y.; Li, Y.X. Design, synthesis and biological evaluation of novel FGFR inhibitors bearing indazole scaffold. Org. Biomol. Chem. 2015, 13, 7643–7654. [Google Scholar] [CrossRef] [PubMed]
- Cui, J.; Peng, X.; Gao, D.D.; Dai, Y.; Ai, J.; Li, Y.X. Optimization of 1H-indazol-3-amine derivatives as potent fibroblast growth factor receptor inhibitors. Bioorg. Med. Chem. Lett. 2017, 27, 3782–3786. [Google Scholar] [CrossRef] [PubMed]
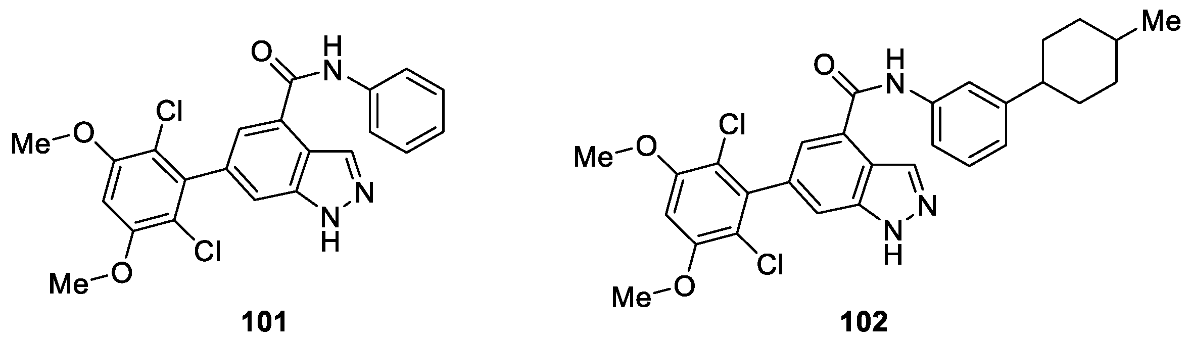
- Zhang, Z.; Zhao, D.M.; Dai, Y.; Cheng, M.S.; Geng, M.Y.; Shen, J.K.; Ma, Y.C.; Ai, J.; Xiong, B. Design, synthesis and biological evaluation of 6-(2,6-dichloro-3,5-dimethoxyphenyl)-4-substituted-1H-indazole as potent fibroblast growth factor receptor inhibitors. Molecules 2016, 21, 1407. [Google Scholar] [CrossRef] [PubMed]
- Zhu, W.; Chen, H.; Wang, Y.L.; Wang, J.; Peng, X.; Chen, X.J.; Gao, Y.L.; Li, C.P.; He, Y.L.; Ai, J.; et al. Design, synthesis, and pharmacological evaluation of novel multi-substituted pyridine-3-amine derivatives as multi-targeted protein kinase inhibitors for the treatment of non-small cell lung cancer. J. Med. Chem. 2017, 60, 6018–6035. [Google Scholar] [CrossRef] [PubMed]
- Yan, W.; Wang, X.Y.; Dai, Y.; Zhao, B.; Yang, X.Y.; Fan, J.; Gao, Y.L.; Meng, F.W.; Wang, Y.M.; Luo, C.; et al. Discovery of 3-(5’-substituted)-benzimidazole-5-(1-(3,5-dichloropyridin-4-yl)ethoxy)-1H-indazole as potent fibroblast growth factor receptor inhibitors: Design, synthesis and biological evaluation. J. Med. Chem. 2016, 59, 6690–6708. [Google Scholar] [CrossRef] [PubMed]
- Turner, L.D.; Summers, A.J.; Johnson, L.O.; Knowles, M.A.; Fishwick, C.W.G. Identification of an indazole-based pharmacophore for the inhibition of FGFR kinases using fragment-led de novo design. ACS Med. Chem. Lett. 2017, 8, 1264–1268. [Google Scholar] [CrossRef] [PubMed]
- Engel, J.; Richters, A.; Getlik, M.; Tomassi, S.; Keul, M.; Termathe, M.; Lategahn, J.; Becker, C.; Mayer-Wrangowski, S.; Grütter, C.; et al. Targeting drug resistance in EGFR with covalent inhibitors—A structure-based design approach. J. Med. Chem. 2015, 58, 6844–6863. [Google Scholar] [CrossRef] [PubMed]
- Wang, A.L.; Li, X.X.; Wu, H.; Zou, F.M.; Yan, X.E.; Chen, C.; Hu, C.; Yu, K.L.; Wang, W.C.; Zhao, P.; et al. Discovery of (R)-1-(3-(4-amino-3-(3-chloro-4-(pyridine-2-ylmethoxy)phenyl)-1H-pyrazolo[3,4-d] pyrimidin-1-yl) piperidin-1-yl)prop-2-en-1-one (CHMFL-EGFR-202) as a novel irreversible EGFR mutant kinase inhibitor with a distinct binding mode. J. Med. Chem. 2017, 60, 2944–2962. [Google Scholar] [CrossRef] [PubMed]
- Aman, W.; Lee, J.H.; Kim, M.J.; Yang, S.Y.; Jung, H.Y.; Hah, J.M. Discovery of highly selective CRAF inhibitors, 3-carboxamido-2H-indazole-6-arylamide: In silico FBLD design, synthesis and evaluation. Bioorg. Med. Chem. Lett. 2016, 26, 1188–1192. [Google Scholar] [CrossRef] [PubMed]
- Schiemann, K.; Mallinger, A.; Wienke, D.; Esdar, C.; Poeschke, O.; Busch, M.; Rohdich, F.; Eccles, S.A.; Schneider, R.; Raynaud, F.I.; et al. Discovery of potent and selective CDK8 inhibitors from an HSP90 pharmacophore. Bioorg. Med. Chem. Lett. 2016, 26, 1443–1451. [Google Scholar] [CrossRef] [PubMed]
- Czodrowski, P.; Mallinger, A.; Wienke, D.; Esdar, C.; Pöschke, O.; Busch, M.; Rohdich, F.; Eccles, S.A.; Ortiz-Ruiz, M.J.; Schneider, R.; et al. Structure-based optimization of potent, selective, and orally bioavailable CDK8 inhibitors discovered by high-throughput screening. J. Med. Chem. 2016, 59, 9337–9349. [Google Scholar] [CrossRef] [PubMed]
- Mallinger, A.; Schiemann, K.; Rink, C.; Stieber, F.; Calderini, M.; Crumpler, S.; Stubbs, M.; Adeniji-Popoola, O.; Poeschke, O.; Busch, M.; et al. Discovery of potent, selective, and orally bioavailable small-molecule modulators of the mediator complex-associated kinases CDK8 and CDK19. J. Med. Chem. 2016, 59, 1078–1101. [Google Scholar] [CrossRef] [PubMed]
- Li, L.; Liu, F.F.; Jin, N.; Tang, S.; Chen, Z.X.; Yang, X.T.; Ding, J.; Geng, M.Y.; Jiang, L.; Huang, M.; et al. Discovery and structure activity relationship study of novel indazole amide inhibitors for extracellular signal-regulated kinase 1/2 (ERK1/2). Bioorg. Med. Chem. Lett. 2016, 26, 2600–2604. [Google Scholar] [CrossRef] [PubMed]
- Babu Boga, S.; Deng, Y.Q.; Zhu, L.; Nan, Y.; Cooper, A.; SHipps, G.W.; Doll, R.; Shih, N.Y.; Zhu, H.; Sun, R.; et al. MK-8353: Discovery of an orally bioavailable dual mechanism ERK inhibitor for oncology. ACS Med. Chem. Lett. 2018, 9, 761–767. [Google Scholar] [CrossRef] [PubMed]
- Qian, S.; He, T.; Wang, W.; He, Y.Y.; Zhang, M.; Yang, L.L.; Li, G.B.; Wang, Z.Y. Discovery and preliminary structure-activity relationship of 1H-indazoles with promising indoleamine-2,3-dioxygenase1 (IDO1) inhibition properties. Bioorg. Med. Chem. 2016, 24, 6194–6205. [Google Scholar] [CrossRef] [PubMed]
- Pradhan, N.; Paul, S.; Deka, S.J.; Roy, A.; Trivedi, V.; Manna, D. Identification of substituted 1H-indazoles as potent inhibitors for immunosuppressive enzyme indoleamine 2,3-dioxygenase 1. Chem. Select. 2017, 2, 5511–5517. [Google Scholar] [CrossRef]
- Chang, C.F.; Lin, W.H.; Ke, Y.Y.; Lin, Y.S.; Wang, W.C.; Chen, C.H.; Kuo, P.C.; Hsu, J.T.A.; Uang, B.J.; Hsieh, H.P. Discovery of novel inhibitors of Aurora kinases with indazole scaffold: In silio fragment-based and knowledge-based drug design. Eur. J. Med. Chem. 2016, 124, 186–199. [Google Scholar] [CrossRef] [PubMed]
- Menichincheri, M.; Ardini, E.; Magnaghi, P.; Avanzi, N.; Banfi, P.; Bossi, R.; Buffa, L.; Canevari, G.; Ceriani, L.; Colombo, M.; et al. Discovery of entrectinib: A new 3-aminoindazole as a potent anaplastic lymphoma kinase (ALK), c-ros oncogene 1 kinase (ROS1), and pan-tropomyosin receptor kinase (pan-TRKs) inhibitor. J. Med. Chem. 2016, 59, 3392–3408. [Google Scholar] [CrossRef] [PubMed]
- Amatu, A.; Somaschini, A.; Cerea, G.; Bosotti, R.; Valtorta, E.; Buonandi, P.; Marrapese, G.; Veronese, S.; Luo, D.; Hornby, Z.; et al. Novel CAD-ALK gene rearrangement is drugable by entrectinib in colorectal cancer. Br. J. Cancer 2015, 113, 1730–1734. [Google Scholar] [CrossRef] [PubMed]
- Ardini, E.; Menichincheri, M.; Banfi, P.; Bosotti, R.; De Ponti, C.; Pulci, R.; Ballinari, D.; Ciomei, M.; Texido, G.; Degrassi, A.; et al. Entrectinib, a Pan-TRK, ROS1, and ALK inhibitor with activity in multiple molecularly defined cancer indications. Mol. Cancer. Ther. 2016, 15, 628–639. [Google Scholar] [CrossRef] [PubMed]
- Tomassi, S.; Lategahn, J.; Engel, J.; Keul, M.; Tumbrink, H.L.; Ketzer, J.; Mühlenberg, T.; Baumann, M.; Schultz-Fademrecht, C.; Bauer, S.; et al. Indazole-based covalent inhibitors to target drug resistant epidermal growth factor receptor. J. Med. Chem. 2017, 60, 2361–2372. [Google Scholar] [CrossRef] [PubMed]
- Chen, T.; Sorna, V.; Choi, S.; Call, L.; Bearss, J.; Carpenter, K.; Warner, S.L.; Sharma, S.; Bearss, D.J.; Vankayalapati, H. Fragment-based design, synthesis, biological evalution, and SAR of 1H-benzo[d]imidazole-2-yl)-1H-indazol derivatives as potent PDK1 inhibitors. Bioorg. Med. Chem. Lett. 2017, 27, 5473–5480. [Google Scholar] [CrossRef] [PubMed]
- Zang, J.; Liang, X.W.; Huang, Y.X.; Jia, Y.P.; Li, X.Y.; Xu, W.F.; Chou, C.J.; Zhang, Y.J. Discovery of novel pazopanib-based HDAC and VEGFR dual inhibitors targeting cancer epigenetics and angiogenesis simultaneously. J. Med. Chem. 2018, 61, 5304–5322. [Google Scholar] [CrossRef] [PubMed]
- Harris, P.A.; Boloor, A.; Cheung, M.; Kumar, R.; Crosby, R.M.; Davis-Ward, R.G.; Epperly, A.H.; Hinkle, K.W.; Hunter, R.N.; Johnson, J.H.; et al. Discovery of 5-[[4-[(2,3-dimethyl-2H-indazol-6-yl) methylamino]-2-pyrimidinyl] amino]-2-methyl-benzenesulfonamide (Pazopanib), a novel and potent vascular endothelial growth factor receptor inhibitor. J. Med. Chem. 2008, 51, 4632–4640. [Google Scholar] [CrossRef] [PubMed]
- Sun, Y.; Shan, Y.Y.; Li, C.S.; Si, R.; Pan, X.Y.; Wang, B.H.; Zhang, J. Discovery of novel anti-angiogenesis agents. Part 8: Diaryl thiourea bearing 1H-indazole-3-amine as muti-target RTKs inhibitors. Eur. J. Med. Chem. 2017, 141, 373–385. [Google Scholar] [CrossRef] [PubMed]
- Elsayed, N.M.Y.; Abou El Ella, D.A.; Serya, R.A.T.; Tolba, M.F.; Shalaby, R.; Abouzid, K.A.M. Design, synthesis and biological evaluation of indazole-pyrimidine based derivatives as anticancer agents with anti-angiogenic and antiproliferative activities. Med. Chem. Commun. 2016, 7, 881–899. [Google Scholar] [CrossRef]
- Wei, N.; Liang, J.Q.; Peng, S.M.; Sun, Q.; Dai, Q.Y.; Dong, M.X. Design, synthesis, and biological evaluation of axitinib derivatives. Molecules 2018, 23, 747. [Google Scholar] [CrossRef] [PubMed]
- Angapelly, S.; Sri Ramya, P.V.; Angeli, A.; Supuran, C.T.; Arifuddin, M. Novel sulfocoumarin/coumarin/4-sulfamoylphenyl bearing indazole-3-carboxamide hybrids: Synthesis and Selective inhibition of tumor associated carbonic anhydrase isozymes IX and XII. Chem. Med. Chem. 2017, 12, 1578–1584. [Google Scholar] [CrossRef] [PubMed]
- Yang, X.B.; Li, F.L.; Konze, K.D.; Meslamani, J.; Ma, A.Q.; Brown, P.J.; Zhou, M.M.; Arrowsmith, C.H.; Ümit Kaniskan, H.; et al. Structure-activity relationship studies for enhancer of zeste homologue 2 (EZH2) and enhancer of zeste homologue 1 (EZH1) inhibitors. J. Med. Chem. 2016, 59, 7617–7633. [Google Scholar] [CrossRef] [PubMed]
- Di Lello, P.; Pastor, R.; Murray, J.M.; Blake, R.A.; Cohen, F.; Crawford, T.D.; Drobnick, J.; Drummond, J.; Kategaya, L.; Kleinheinz, T.; et al. Discovery of small-molecule inhibitors of ubiquitin specific protease 7 (USP7) using integrated NMR and in silico techniques. J. Med. Chem. 2017, 60, 10056–10070. [Google Scholar] [CrossRef] [PubMed]
- Wood, S.D.; Grant, W.; Adrados, I.; Choi, J.Y.; Alburger, J.M.; Duckett, D.R.; Roush, W.R. In silico HTS and structure based optimization of indazole-derived ULK1 inhibitors. ACS Med. Chem. Lett. 2017, 8, 1258–1263. [Google Scholar] [CrossRef] [PubMed]
- Du, S.J.; Lu, H.Z.; Yang, D.Y.; Li, H.; Gu, X.L.; Wan, C.; Jia, C.Q.; Wang, M.; Li, X.Y.; Qin, Z.H. Synthesis, antifungal activity and QSAR of some novel carboxylic acid amides. Molecules 2015, 20, 4072–4088. [Google Scholar] [CrossRef] [PubMed]
- Wang, Y.; Yan, M.; Ma, R.X.; Ma, S.T. Synthesis and antibacterial activity of novel 4-bromo-1H-indazole derivatives as FtsZ inhibitors. Arch. Pharm. Chem. Life Sci. 2015, 348, 266–274. [Google Scholar] [CrossRef] [PubMed]
- Pérez-Villanueva, J.; Yépez-Mulia, L.; González-Sánchez, I.; Palacios-Espinosa, J.F.; Soria-Arteche, O.; del Rosario Sainz-Espuñes, R.; Cerbón, M.A.; Rodríguez-Villar, K.; Rodríguez-Vicente, A.K.; Cortés-Gines, M.; et al. Synthesis and biological evaluation of 2H-indazole derivatives: Towards antimicrobial and anti-inflammatory dual agents. Molecules 2017, 22, 1864. [Google Scholar] [CrossRef] [PubMed]
- Lin, S.N.; Zhang, F.Q.; Jiang, G.Q.; Qureshi, S.A.; Yang, X.D.; Chicchi, G.G.; Tota, L.; Bansal, A.; Brady, E.; Trujillo, M.; et al. A novel series of indazole-/indole-based glucagon receptor antagonists. Bioorg. Med. Chem. Lett. 2015, 25, 4143–4147. [Google Scholar] [CrossRef] [PubMed]
- Cheruvallath, Z.S.; Gwaltney II, S.L.; Sabat, M.; Tang, M.N.; Wang, H.X.; Jennings, A.; Hosfield, D.; Lee, B.; Wu, Y.Q.; Halkowycz, P.; et al. Discovery of potent and orally active 1,4-disubstituted indazoles as novel allosteric Glucokinase Activators. Bioorg. Med. Chem. Lett. 2017, 27, 2678–2682. [Google Scholar] [CrossRef] [PubMed]
- McCoull, W.; Bailey, A.; Barton, P.; Birch, A.M.; Brown, A.J.H.; Butler, H.S.; Boyd, S.; Butlin, R.J.; Chappell, B.; Clarkson, P.; et al. Indazole-6-phenylcyclopropylcarboxylic acids as selective GPR120 agonists with in vivo efficacy. J. Med. Chem. 2017, 60, 3187–3197. [Google Scholar] [CrossRef] [PubMed]
- Hammerling, M.; Edman, K.; Lepistö, M.; Eriksson, A.; Ivanova, S.; Dahmén, J.; Rehwinkel, H.; Berger, M.; Hendrickx, R.; Dearman, T.J.; et al. Discovery of indazole ethers as novel, potent, non-steroidal glucocorticoid receptor modulators. Bioorg. Med. Chem. Lett. 2016, 26, 5714–5748. [Google Scholar] [CrossRef] [PubMed]
- Jones, P.; Storer, R.I.; Sabnis, Y.A.; Wakenhut, F.M.; Whitlock, G.A.; England, K.S.; Mukaiyama, T.; Dehnhardt, C.M.; Coe, J.W.; Kortum, S.W.; et al. Design and synthesis of a pan-Janus kinase inhibitor clinical candidate (PF-06263276) suitable for inhaled and topical delivery for the treatment of inflammatory diseases of the lungs and skin. J. Med. Chem. 2017, 60, 767–786. [Google Scholar] [CrossRef] [PubMed]
- Haile, P.A.; Votta, B.J.; Marquis, R.W.; Bury, M.J.; Mehlmann, J.F.; Singhaus, R.R.; Charnley, A.K.; Lakdawala, A.S.; Convery, M.A.; Lipshutz, D.B.; et al. The identification and pharmacological characterization of 6-(tert-butylsulfonyl)-N-(5-fluoro-1H-indazol-3-yl)quinolin-4-amine (GSK’583), a highly potent and selective inhibitor of RIP2 kinase. J. Med. Chem. 2016, 59, 4867–4880. [Google Scholar] [CrossRef] [PubMed]
- Hemmerling, M.; Nilsson, S.; Edman, K.; Eirefelt, S.; Russell, W.; Hendrickx, R.; Johnsson, E.; Mårdh, C.K.; Berger, M.; Rehwinkel, H.; et al. Selective nonsteroidal glucocorticoid receptor modulators for the inhaled treatment of pulmonary diseases. J. Med. Chem. 2017, 60, 8591–8605. [Google Scholar] [CrossRef] [PubMed]
- Pryde, D.C.; Marron, B.E.; West, C.W.; Reister, S.; Amato, G.; Yoger, K.; Antonio, B.; Padilla, K.; Cox, P.J.; Turner, J.; et al. Discovery of a series of indazole TRPA1 antagonists. ACS Med. Chem. Lett. 2017, 8, 666–671. [Google Scholar] [CrossRef] [PubMed]
- Down, K.; Amour, A.; Baldwin, I.R.; Cooper, A.W.J.; Deakin, A.M.; Felton, L.M.; Guntrip, S.B.; Hardy, C.; Harrison, Z.A.; Jones, K.L.; et al. Optimization of novel indazoles as highly potent and selective inhibitors of phosphoinositide 3-kinase δ for the treatment of respiratory disease. J. Med. Chem. 2015, 58, 7381–7399. [Google Scholar] [CrossRef] [PubMed]
- Henley, Z.A.; Bax, B.D.; Inglesby, L.M.; Champigny, A.; Gaines, S.; Faulder, P.; Le, J.; Thomas, D.A.; Washio, Y.; Baldwin, L.R. From PIM1 to PI3Kδ via GSK3ß: Target hopping through the kinome. ACS Med. Chem. Lett. 2017, 8, 1093–1098. [Google Scholar] [CrossRef] [PubMed]
- Tjin, C.C.; Wissner, R.F.; Jamali, H.; Schepartz, A.; Ellman, J.A. Synthesis and biological evaluation of an indazole-based selective protein arginine deiminase 4 (PAD4) inhibitor. ACS Med. Chem. Lett. 2018, 9, 1013–1018. [Google Scholar] [CrossRef] [PubMed]
- Ripa, L.; Edman, K.; Dearman, M.; Edenro, G.; Hendrickx, R.; Ullah, V.; Chang, H.F.; Lepistö, M.; Chapman, D.; Geschwindner, S.; et al. Discovery of a novel oral glucocorticoid receptor modulator (AZD9567) with improved side effect profile. J. Med. Chem. 2018, 61, 1785–1799. [Google Scholar] [CrossRef] [PubMed]
- Fell, M.J.; Mirescu, C.; Basu, K.; Cheewatrakoolpong, B.; DeMong, D.E.; Ellis, J.M.; Hyde, L.A.; Lin, Y.; Markgraf, C.G.; Mei, H.; et al. MLi-2, a potent, selective, and centrally active compound for exploring the therapeutic potential and safety of LRRK2 kinase inhibition. J. Pharmacol. Exp. Ther. 2015, 355, 397–409. [Google Scholar] [CrossRef] [PubMed]
- Scott, J.D.; DeMong, D.E.; Greshock, T.J.; Basu, K.; Dai, X.; Harris, J.; Hruza, A.; Li, S.W.; Lin, S.I.; Liu, H.; Macala, M.K.; et al. Discovery of a 3-(4-pyrimidinyl) indazole (MLi-2), an orally available and selective leucine-rich repeat kinase 2 (LRRK2) inhibitor that reduces brain kinase activity. J. Med. Chem. 2017, 60, 2983–2992. [Google Scholar] [CrossRef] [PubMed]
- Tzvetkov, N.T.; Stammler, H.G.; Neumann, B.; Hiristova, S.; Antonov, L.; Gastreich, M. Crystal structures, binding interactions, and ADME evaluation of brain penetrant N-substituted indazole-5-carboxamides as subnanomolar selective monoamine oxidase B and dual MAO-A/B inhibitors. Eur. J. Med. Chem. 2017, 127, 470–492. [Google Scholar] [CrossRef] [PubMed]
- Fukuda, T.; Ueda, K.; Ishiyama, T.; Goto, R.; Muramatsu, S.; Hashimoto, M.; Watanabe, K.; Tanaka, N. Synthesis and SAR studies of 3,6-disubstituted indazole derivaties as potent hepcidin production inhibitors. Bioorg. Med. Chem. Lett. 2017, 27, 2148–2152. [Google Scholar] [CrossRef] [PubMed]
- Fukuda, T.; Goto, R.; Kiho, T.; Ueda, K.; Muramatsu, S.; Hashimoto, M.; Aki, A.; Watanabe, K.; Tanaka, N. Discovery of DS28120313 as a potent orally active hepcidin production inhibitor: Design and optimization of novel 4,6-disubstituted indazole derivatives. Bioorg. Med. Chem. Lett. 2017, 27, 5252–5257. [Google Scholar] [CrossRef] [PubMed]
- Fukuda, T.; Goto, R.; Kiho, T.; Ueda, K.; Muramatsu, S.; Hashimoto, M.; Aki, A.; Watanabe, K.; Tanaka, N. Discovery of DS79182026: A potent orally active hepcidin production inhibitor. Bioorg. Med. Chem. Lett. 2017, 27, 3716–3722. [Google Scholar] [CrossRef] [PubMed]
- Hoyt, S.B.; Taylor, J.; London, C.; Ali, A.; Ujjainwalla, F.; Tata, J.; Struthers, M.; Cully, D.; Wisniewski, T.; Ren, N.; Bopp, C.; et al. Discovery of indazole aldosterone synthase (CYP11B2) inhibitors as potential treatments for hypertension. Bioorg. Med. Chem. Lett. 2017, 27, 2384–2388. [Google Scholar] [CrossRef] [PubMed]
- Furlotti, G.; Alisi, M.A.; Cazzolla, N.; Ceccacci, F.; Garrone, B.; Gasperi, T.; Bella, A.L.; Leonelli, F.; Loreto, M.A.; Magarò, G.; et al. Targeting serotonin 2A and adrenergic α1 receptors for ocular antihypertensive agents: Discovery of 3,4-dihydropyrazino [1,2-b]indazol-1(2H)-one derivatives. Chem. Med. Chem. 2018, 13, 1597–1607. [Google Scholar] [CrossRef] [PubMed]
- Atobe, M.; Yamakawa, N.; Wada, Y.; Goto, T.; Kawanishi, M.; Ito, T.; Saito, M.; Takeda, M.; Tabata, T.; Arai, H. A series of novel indazole derivatives of Sirt 1 activator as osteogenic regulators. Bioorg. Med. Chem. Lett. 2017, 27, 4828–4831. [Google Scholar] [CrossRef] [PubMed]
- Igawa, H.; Takahashi, M.; Ikoma, M.; Kaku, H.; Kakegawa, K.; Kina, A.; Aida, J.; Okuda, S.; Kawata, Y.; Noguchi, T.; et al. Amine-free melanin-concentrating hormone receptor 1 antagonists: Novel non-basic 1-(2H-indazole-5-yl)pyridine-2-(1H)-one derivatives and mitigation of mutagenicity in Ames test. Bioorg. Med. Chem. 2016, 24, 2504–2518. [Google Scholar] [CrossRef] [PubMed]
- Yao, Y.Y.; Li, R.Z.; Liu, X.Y.; Yang, F.L.; Yang, Y.; Li, X.Y.; Shi, X.; Yuan, T.Y.; Fang, L.H.; Du, G.H.; et al. Discovery of novel N-substituted prolinamido indazoles as potent Rho kinase inhibitors and vasorelaxation agents. Molecules 2017, 22, 1766. [Google Scholar] [CrossRef] [PubMed]
- Gong, L.L.; Peng, J.H.; Fang, L.L.; Ping, X.; Jiao, X.Z.; Xie, P.; Fang, L.H.; Du, G.H. The vasorelaxant mechanisms of a Rho kinase inhibitor in rat thoracic aorta. Molecules 2012, 17, 5935–5944. [Google Scholar] [CrossRef] [PubMed]
- Wada, Y.; Shirahashi, H.; Iwanami, T.; Ogawa, M.; Nakano, S.; Morimoto, A.; Kasahara, K.I.; Tanaka, E.; Takada, Y.; Ohashi, S.; et al. Discovery of novel indazole derivatives as highly potent and selective human ß3-adrenergic receptor agonists with the possibility of having no cardiovascular side effects. J. Med. Chem. 2015, 58, 6048–6057. [Google Scholar] [CrossRef] [PubMed]
- Wada, Y.; Nakano, S.; Morimoto, A.; Kasahara, K.I.; Hayashi, T.; Takada, Y.; Suzuki, H.; Niwa-Sakai, M.; Ohashi, S.; Mori, M.; et al. Discovery of novel indazole derivatives as orally available β3-adrenergic receptor agonists lacking off-target-based cardiovascular side effects. J. Med. Chem. 2017, 60, 3252–3265. [Google Scholar] [CrossRef] [PubMed]
- Smith, C.R.; Dougan, D.R.; Komandla, M.; Kanouni, T.; Knight, B.; Lawson, J.D.; Sabat, M.; Taylor, E.R.; Vu, P.; Wyrick, C. Fragment-based discovery of a small molecule inhibitor of bruton’s tyrosine kinase. J. Med. Chem. 2015, 58, 5437–5444. [Google Scholar] [CrossRef] [PubMed]
- Frost, J.M.; DeGoey, D.A.; Shi, L.; Gum, R.J.; Fricano, M.M.; Lundgaard, G.L.; EI-Kouhen, O.F.; Hsieh, G.C.; Neelands, T.; Matulenko, M.A.; et al. Substituted Indazoles as Nav1.7 Blockers for the Treatment of Pain. J. Med. Chem. 2016, 59, 3373–3391. [Google Scholar] [PubMed]
- Waldschmidt, H.V.; Homan, K.T.; Cruz-Rodríguez, O.; Cato, M.C.; Waninger-Saroni, J.; Larmore, K.M.; Cannavo, A.; Song, J.L.; Cheung, J.Y.; Kirchhoff, P.D.; et al. Structure-based design, synthesis, and biological evaluation of highly selective and potent G protein-coupled receptor kinase 2 inhibitors. J. Med. Chem. 2016, 59, 3793–3807. [Google Scholar] [CrossRef] [PubMed]
- Lorthiois, E.; Anderson, K.; Vulpetti, A.; Rogel, O.; Cumin, F.; Ostermann, N.; Steinbacher, S.; Sweeney, A.M.; Delgado, O.; Liao, S.M.; et al. Discovery of highly potent and selective small-molecule reversible factor D inhibitors demonstrating alternative complement pathway inhibition in vivo. J. Med. Chem. 2017, 60, 5717–5735. [Google Scholar] [CrossRef] [PubMed]
- Harrison, J.R.; Brand, S.; Smith, V.; Robinson, D.A.; Thompson, S.; Smith, A.; Davies, K.; Mok, N.; Torrie, L.S.; Collie, I.; et al. A molecular hybridization approach for the design of potent, highly selective, and brain-penetrant N-myristoyltransferase inhibitors. J. Med. Chem. 2018, 61, 8374–8389. [Google Scholar] [CrossRef] [PubMed]






























































































© 2018 by the authors. Licensee MDPI, Basel, Switzerland. This article is an open access article distributed under the terms and conditions of the Creative Commons Attribution (CC BY) license (http://creativecommons.org/licenses/by/4.0/).
Share and Cite
Zhang, S.-G.; Liang, C.-G.; Zhang, W.-H. Recent Advances in Indazole-Containing Derivatives: Synthesis and Biological Perspectives. Molecules 2018, 23, 2783. https://doi.org/10.3390/molecules23112783
Zhang S-G, Liang C-G, Zhang W-H. Recent Advances in Indazole-Containing Derivatives: Synthesis and Biological Perspectives. Molecules. 2018; 23(11):2783. https://doi.org/10.3390/molecules23112783
Chicago/Turabian StyleZhang, Shu-Guang, Chao-Gen Liang, and Wei-Hua Zhang. 2018. "Recent Advances in Indazole-Containing Derivatives: Synthesis and Biological Perspectives" Molecules 23, no. 11: 2783. https://doi.org/10.3390/molecules23112783
APA StyleZhang, S.-G., Liang, C.-G., & Zhang, W.-H. (2018). Recent Advances in Indazole-Containing Derivatives: Synthesis and Biological Perspectives. Molecules, 23(11), 2783. https://doi.org/10.3390/molecules23112783

