SiO2 Stabilized Magnetic Nanoparticles as a Highly Effective Catalyst for the Degradation of Basic Fuchsin in Industrial Dye Wastewaters
Abstract
:1. Introduction
2. Results and Discussion
2.1. Performance and Structural Characterization of Magnetic Nanoparticles
2.1.1. XRD Characterization
2.1.2. FT-IR Characterization
2.1.3. SEM and TEM Characterization
2.1.4. Magnetism Characterization
2.2. Research of Catalytic Performance
2.2.1. Effect of Hydrogen Peroxide Concentration on the Degradation Reaction
2.2.2. Influence of Catalyst Dosage on the Degradation Reaction
2.2.3. Effect of Initial Concentration of Basic Fuchsin on the Degradation Reaction
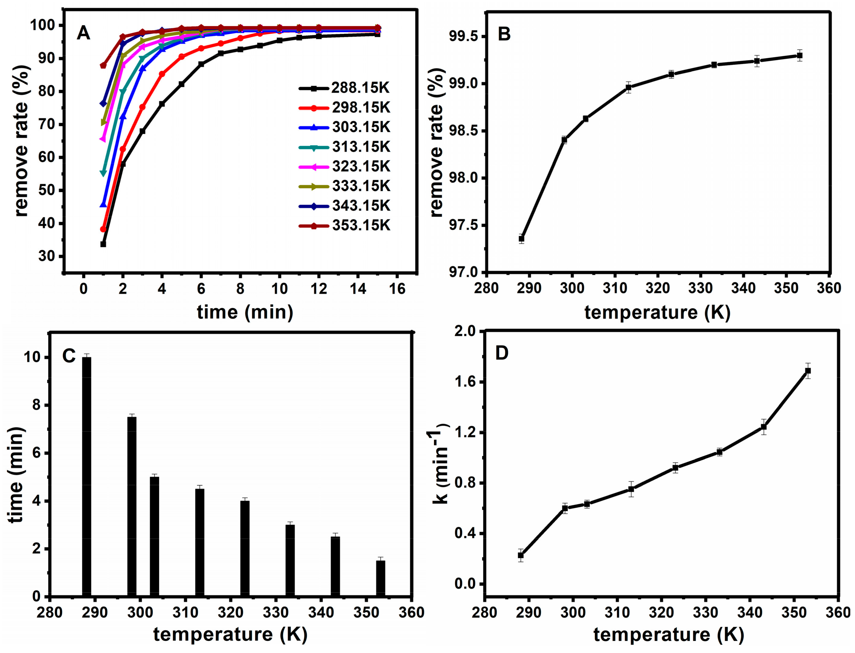
2.2.4. Temperature Effect on the Degradation Reaction
2.2.5. Effect of pH on the Mechanism of Catalysis
2.3. Catalytic Recyclability of Fe3O4@SiO2 NPs
3. Experimental Section
3.1. Materials and Instrumentation
3.2. Methods
3.2.1. Synthesis of Fe3O4
3.2.2. Synthesis of Fe3O4@SiO2
3.2.3. Catalytic Reaction
4. Conclusions
Author Contributions
Funding
Conflicts of Interest
References
- Wang, R.; Jin, X.; Wang, Z.; Gu, W.; Wei, Z.; Huang, Y.; Qiu, Z.; Jin, P. A multilevel reuse system with source separation process for printing and dyeing wastewater treatment: A case study. Bioresour. Technol. 2018, 247, 1233–1241. [Google Scholar] [CrossRef] [PubMed]
- Rocher, V.; Siaugue, J.M.; Cabuil, V.; Bee, A. Removal of organic dyes by magnetic alginate beads. Water Res. 2008, 42, 1290–1298. [Google Scholar] [CrossRef] [PubMed]
- Zargar, B.; Parham, H.; Hatamie, A. Modified iron oxide nanoparticles as solid phase extractor for spectrophotometeric determination and separation of basic fuchsin. Talanta 2009, 77, 1328–1331. [Google Scholar] [CrossRef] [PubMed]
- Yu, L.; Xue, W.; Cui, L.; Xing, W.; Cao, X.; Li, H. Use of hydroxypropyl-beta-cyclodextrin/polyethylene glycol 400, modified Fe3O4 nanoparticles for congo red removal. Int. J. Biol. Macromol. 2014, 64, 233–239. [Google Scholar] [CrossRef] [PubMed]
- Qiu, X.; Lu, L.; Leng, J.; Yu, Y.; Wang, W.; Jiang, M.; Bai, L. An enhanced electrochemical platform based on graphene oxide and multi-walled carbon nanotubes nanocomposite for sensitive determination of Sunset Yellow and Tartrazine. Food Chem. 2016, 190, 889–895. [Google Scholar] [CrossRef] [PubMed]
- He, Q.; Liu, J.; Liu, X.; Li, G.; Deng, P.; Liang, J. Preparation of Cu2O-reduced graphene nanocomposite modified electrodes towards ultrasensitive dopamine detection. Sensors 2018, 18, 199. [Google Scholar] [CrossRef] [PubMed]
- Nor, N.M.; Hadibarata, T.; Zubir, M.M.; Lazim, Z.M.; Adnan, L.A.; Fulazzaky, M.A. Mechanism of triphenylmethane cresol red degradation by trichoderma harzianum M06. Bioprocess Biosyst. Eng. 2015, 38, 2167–2175. [Google Scholar] [CrossRef] [PubMed]
- Anushree; Kumar, S.; Sharma, C. NiO–CeO2 nano-catalysts: Synthesis, characterization and application in catalytic wet air oxidation of wastewater. Mater. Express 2015, 5, 419–428. [Google Scholar] [CrossRef]
- Ma, Z.; Ren, L.; Xing, S.; Wu, Y.; Gao, Y. Sodium dodecyl sulfate modified FeCO2O4 with enhanced fenton-like activity at neutral pH. J. Phys. Chem. C 2015, 119, 23068–23074. [Google Scholar] [CrossRef]
- Sánchez-Sánchez, C.M.; Expósito, E.; Casado, J.; Montiel, V. Goethite as a more effective iron dosage source for mineralization of organic pollutants by electro-fenton process. Electrochem. Commun. 2007, 9, 19–24. [Google Scholar] [CrossRef]
- Luo, M.; Yuan, S.; Tong, M.; Liao, P.; Xie, W.; Xu, X. An integrated catalyst of Pd supported on magnetic Fe3O4 nanoparticles: Simultaneous production of H2O2 and Fe2+ for efficient electro-fenton degradation of organic contaminants. Water Res. 2014, 48, 190–199. [Google Scholar] [CrossRef] [PubMed]
- Ganiyu, S.O.; Zhou, M.; Martínez-Huitle, C.A. Heterogeneous electro-fenton and photoelectro-Fenton processes: A critical review of fundamental principles and application for water/wastewater treatment. Appl. Catal. B-Environ. 2018, 235, 103–129. [Google Scholar] [CrossRef]
- Ahmadi, M.; Rahmani, H.; Takdastan, A.; Jaafarzadeh, N.; Mostoufi, A. A novel catalytic process for degradation of bisphenol a from aqueous solutions: A synergistic effect of nano-Fe3O4@Alg-Fe on O3 /H2O2. Process. Saf. Environ. 2016, 104, 413–421. [Google Scholar] [CrossRef]
- Sano, N.; Yamada, K.; Suntornlohanakul, T.; Tamon, H. Low temperature oxidation of Fe-included single-walled carbon nanohorns in water by ozone injection to enhance porous and magnetic properties. Chem. Eng. J. 2016, 283, 978–981. [Google Scholar] [CrossRef]
- Ahmedzeki, N.S.; Kamil, A. Statistical analysis of the removal of acid fuchsin dye using zeolite 5A. Iraqi J. Chem. Petroleum Eng. 2017, 18, 41–55. [Google Scholar]
- El Haddad, M. Removal of basic fuchsin dye from water using mussel shell biomass waste as an adsorbent: Equilibrium, kinetics, and thermodynamics. J. Taibah Univ. Sci. 2018, 10, 664–674. [Google Scholar] [CrossRef]
- Tokalioglu, S.; Yavuz, E.; Aslantas, A.; Sahan, H.; Taskin, F.; Patat, S. Spectrophotometric determination of basic fuchsin from various water samples after vortex assisted solid phase extraction using reduced graphene oxide as an adsorbent. Spectrochim. Acta A 2015, 149, 378–384. [Google Scholar] [CrossRef] [PubMed]
- Jing, P.; Li, J.; Pan, L.; Wang, J.; Sun, X.; Liu, Q. Efficient photocatalytic degradation of acid fuchsin in aqueous solution using separate porous tetragonal-CuFe2O4 nanotubes. J. Hazard. Mater. 2015, 284, 163–170. [Google Scholar] [CrossRef] [PubMed]
- Zhao, D.; Gao, X.; Wu, C.; Xie, R.; Feng, S.; Chen, C. Facile preparation of amino functionalized graphene oxide decorated with Fe3O4 nanoparticles for the adsorption of Cr(VI). Appl. Sur. Sci. 2016, 384, 1–9. [Google Scholar] [CrossRef]
- Lai, L.; Xie, Q.; Chi, L.; Gu, W.; Wu, D. Adsorption of phosphate from water by easily separable Fe3O4@SiO2 core/shell magnetic nanoparticles functionalized with hydrous lanthanum oxide. J. Colloid Interface Sci. 2016, 465, 76–82. [Google Scholar] [CrossRef] [PubMed]
- Liu, J.; Yang, S.; Wu, W.; Tian, q.; Cui, S.; Dai, Z.; Ren, F.; Xiao, X.; Jiang, C. 3D flower-like α-Fe2O3@TiO2 core-shell nanostructures: General synthesis and enhanced photocatalytic performances. ACS Sustain. Chem. Eng. 2015, 3, 2975–2984. [Google Scholar] [CrossRef]
- Hung, C.-M.; Chen, C.-W.; Jhuang, Y.-Z.; Dong, C.-D. Fe3O4 magnetic nanoparticles: Characterization and performance exemplified by the degradation of methylene blue in the presence of persulfate. J. Adv. Oxid. Technol. 2016, 19, 1–9. [Google Scholar] [CrossRef]
- Wang, M.; Fang, G.; Liu, P.; Zhou, D.; Ma, C.; Zhang, D.; Zhan, J. Fe3O4@β-CD nanocomposite as heterogeneous Fenton-like catalyst for enhanced degradation of 4-chlorophenol (4-CP). Appl. Catal. B: Environ. 2016, 188, 113–122. [Google Scholar] [CrossRef]
- He, Q.; Liu, J.; Liu, X.; Li, G.; Chen, D.; Deng, P.; Liang, J. Fabrication of amine-modified magnetite-electrochemically reduced graphene oxide nanocomposite modified glassy carbon electrode for sensitive dopamine determination. Nanomaterials (Basel) 2018, 8, 194. [Google Scholar] [CrossRef] [PubMed]
- Sun, M.; Chu, C.; Geng, F.; Lu, X.; Qu, J.; Crittenden, J.; Elimelech, M.; Kim, J.-H. Reinventing fenton chemistry: Iron oxychloride nanosheet for pH-Insensitive H2O2 Activation. Environ. Sci. Tech. Let. 2018, 5, 186–191. [Google Scholar] [CrossRef]
- Sun, M.; Zhang, G.; Liu, Y.; Liu, H.; Qu, J.; Li, J. Highly efficient AuPd/Carbon nanotube nanocatalysts for the electro-fenton process. Chem. A Eur. 2015, 21, 7611–7620. [Google Scholar] [CrossRef] [PubMed]
- Liu, Y.; Fu, R.; Sun, Y.; Zhou, X.; Baig, S.A.; Xu, X. Multifunctional nanocomposites Fe3O4@SiO2-EDTA for Pb(II) and Cu(II) removal from aqueous solutions. Appl. Surf. Sci. 2016, 369, 267–276. [Google Scholar] [CrossRef]
- He, Q.; Liu, J.; Liang, J.; Liu, X.; Tuo, D.; Li, W. Chemically surface tunable solubility parameter for controllable drug delivery-an example and perspective from hollow PAA-coated magnetite nanoparticles with r6g model drug. Materials 2018, 11, 247. [Google Scholar] [CrossRef] [PubMed]
- Bombuwala Dewage, N.; Liyanage, A.S.; Pittman, C.U., Jr.; Mohan, D.; Mlsna, T. Fast nitrate and fluoride adsorption and magnetic separation from water on α-Fe2O3 and Fe3O4 dispersed on douglas fir biochar. Bioresour. Technol. 2018, 263, 258–265. [Google Scholar] [CrossRef] [PubMed]
- Wu, C.; Zhu, G.; Fan, J.; Wang, J. Preparation of neutral red functionalized Fe3O4@SiO2 and its application for magnetic solid phase extraction of trace Hg(II) from environmental water samples. RSC Adv. 2016, 6, 86428–86435. [Google Scholar] [CrossRef]
- Zhao, Y.; Li, J.; Zhao, L.; Zhang, S.; Huang, Y.; Wu, X.; Wang, X. Synthesis of amidoxime-functionalized Fe3O4@SiO2 core–shell magnetic microspheres for highly efficient sorption of U(VI). Chem. Eng. J. 2014, 235, 275–283. [Google Scholar] [CrossRef]
- Baby, T.T.; Ramaprabhu, S. SiO2 coated Fe3O4 magnetic nanoparticle dispersed multiwalled carbon nanotubes based amperometric glucose biosensor. Talanta 2010, 80, 2016–2022. [Google Scholar] [CrossRef] [PubMed]
- Hakami, O.; Zhang, Y.; Banks, C.J. Influence of aqueous environment on agglomeration and dissolution of thiol-functionalised mesoporous silica-coated magnetite nanoparticles. Environ. Sci. Pollut. R. 2015, 22, 3257–3264. [Google Scholar] [CrossRef] [PubMed]
- Liu, J.; Wu, W.; Tian, Q.; Dai, Z.; Wu, Z.; Xiao, X.; Jiang, C. Anchoring of Ag6Si2O7 nanoparticles on α-Fe2O3 short nanotubes as a Z-scheme photocatalyst for improving their photocatalytic performances. Dalton T. 2016, 45, 12745–12772. [Google Scholar] [CrossRef] [PubMed]
- Qin, Y.; Sun, M.; Liu, H.; Qu, J. AuPd/Fe3O4-based three-dimensional electrochemical system for efficiently catalytic degradation of 1-butyl-3-methylimidazolium hexafluorophosphate. Electrochim. Acta 2015, 186, 328–336. [Google Scholar] [CrossRef]
- Che, H.L.; Wang, S.P.; Wu, Z.M.; Chen, Y. Based on the magnetic nanoparticles of schistosoma japonicum antibody fluorescence immunoassay. Chin. J. Anal. Chem. 2008, 36, 1455–1459. [Google Scholar]
- Roto, R.; Yusran, Y.; Kuncaka, A. Magnetic adsorbent of Fe3O4@SiO2 core-shell nanoparticles modified with thiol group for chloroauric ion adsorption. Appl. Surf. Sci. 2016, 377, 30–36. [Google Scholar] [CrossRef]
- Chang, Q.; Tang, H. Immobilization of horseradish peroxidase on NH2-modified magnetic Fe3O4/SiO2 particles and its application in removal of 2,4-dichlorophenol. Molecules 2014, 19, 15768–15782. [Google Scholar] [CrossRef] [PubMed]
- Rostamnia, S.; Gholipour, B.; Liu, X.; Wang, Y.; Arandiyan, H. NH2-coordinately immobilized tris(8-quinolinolato)iron onto the silica coated magnetite nanoparticle: Fe3O4@SiO2-FeQ3 as a selective Fenton-like catalyst for clean oxidation of sulfides. J. Colloid Interface Sci. 2018, 511, 447–455. [Google Scholar] [CrossRef] [PubMed]
Sample Availability: Samples of the compounds are not available from the authors. |













| Samples | Wavenumber (cm−1) | Attribution |
|---|---|---|
| Fe3O4 | 582 cm−1 | Fe-O |
| 3300–3500 cm−1 | -OH stretching vibration | |
| Fe3O4/SiO2 | 570 cm−1 | Fe-O |
| 1090 cm−1 | Si-O-Si | |
| 944 cm−1 | Si-OH stretching vibration | |
| 800 cm−1 | Si-O bending vibration | |
| 464 cm−1 | Si-O-Si bending vibration | |
| 3300–3500 cm−1 | -OH stretching vibration |
© 2018 by the authors. Licensee MDPI, Basel, Switzerland. This article is an open access article distributed under the terms and conditions of the Creative Commons Attribution (CC BY) license (http://creativecommons.org/licenses/by/4.0/).
Share and Cite
Ning, J.; Wang, M.; Luo, X.; Hu, Q.; Hou, R.; Chen, W.; Chen, D.; Wang, J.; Liu, J. SiO2 Stabilized Magnetic Nanoparticles as a Highly Effective Catalyst for the Degradation of Basic Fuchsin in Industrial Dye Wastewaters. Molecules 2018, 23, 2573. https://doi.org/10.3390/molecules23102573
Ning J, Wang M, Luo X, Hu Q, Hou R, Chen W, Chen D, Wang J, Liu J. SiO2 Stabilized Magnetic Nanoparticles as a Highly Effective Catalyst for the Degradation of Basic Fuchsin in Industrial Dye Wastewaters. Molecules. 2018; 23(10):2573. https://doi.org/10.3390/molecules23102573
Chicago/Turabian StyleNing, Jingheng, Min Wang, Xin Luo, Qiongcan Hu, Rong Hou, Weiwei Chen, Donger Chen, Jianhui Wang, and Jun Liu. 2018. "SiO2 Stabilized Magnetic Nanoparticles as a Highly Effective Catalyst for the Degradation of Basic Fuchsin in Industrial Dye Wastewaters" Molecules 23, no. 10: 2573. https://doi.org/10.3390/molecules23102573
APA StyleNing, J., Wang, M., Luo, X., Hu, Q., Hou, R., Chen, W., Chen, D., Wang, J., & Liu, J. (2018). SiO2 Stabilized Magnetic Nanoparticles as a Highly Effective Catalyst for the Degradation of Basic Fuchsin in Industrial Dye Wastewaters. Molecules, 23(10), 2573. https://doi.org/10.3390/molecules23102573
