Abstract
Cyclic depsipeptides (CDPs) are cyclopeptides in which amide groups are replaced by corresponding lactone bonds due to the presence of a hydroxylated carboxylic acid in the peptide structure. These peptides sometimes display additional chemical modifications, including unusual amino acid residues in their structures. This review highlights the occurrence, structures and biological activities of the fungal CDPs reported until October 2017. About 352 fungal CDPs belonging to the groups of cyclic tri-, tetra-, penta-, hexa-, hepta-, octa-, nona-, deca-, and tridecadepsipeptides have been isolated from fungi. These metabolites are mainly reported from the genera Acremonium, Alternaria, Aspergillus, Beauveria, Fusarium, Isaria, Metarhizium, Penicillium, and Rosellina. They are known to exhibit various biological activities such as cytotoxic, phytotoxic, antimicrobial, antiviral, anthelmintic, insecticidal, antimalarial, antitumoral and enzyme-inhibitory activities. Some CDPs (i.e., PF1022A, enniatins and destruxins) have been applied as pharmaceuticals and agrochemicals.
1. Introduction
Cyclic depsipeptides (CDPs), also known as cyclodepsipeptides or peptolides, are cyclooligomers in which one or more amino acid is replaced by a hydroxylated carboxylic acid, resulting in the formation of at least one lactone bond in the core ring. They are biosynthesized by non-ribosomal peptide synthetases (NRPS) in combination with either polyketide synthase (PKS) or fatty acid (FA) synthase enzyme systems [1,2,3]. CDPs are widely distributed in bacteria [4], fungi [1], plants [5,6], algae [7], sponges [8], and other marine organisms [9,10,11,12,13]. Here, we focus on fungal CDPs which include cyclic tri-, tetra-, penta-, hexa-, hepta-, octa-, nona-, deca-, and tridecadepsipeptides though fungi can produce large amounts of cyclic peptides without any lactone bond in the core ring [14,15]. Some fungal CDPs such as beauvericins, destruxins, enniatins have been well characterized [16,17,18,19]. Special reviews covering chemical synthesis [16], biosynthesis [20], chemical classification [3], as well as applications [21,22] of fungal CDPs are also available. In this review, we describe the occurrence, biological activities, and structures of all hitherto reported fungal CDPs to assess which of them merit further study for purposes of drug development as well as for clarification of their physiological and ecological functions. We still classify fungal CDPs based on the total amounts of amino and hydroxylated carboxylic acids though a review about the classification of CDPs based on the hydroxylated carboxylic acid(s) involved in the ring lacone has just been published [3].
2. Cyclic Tridepsipeptides
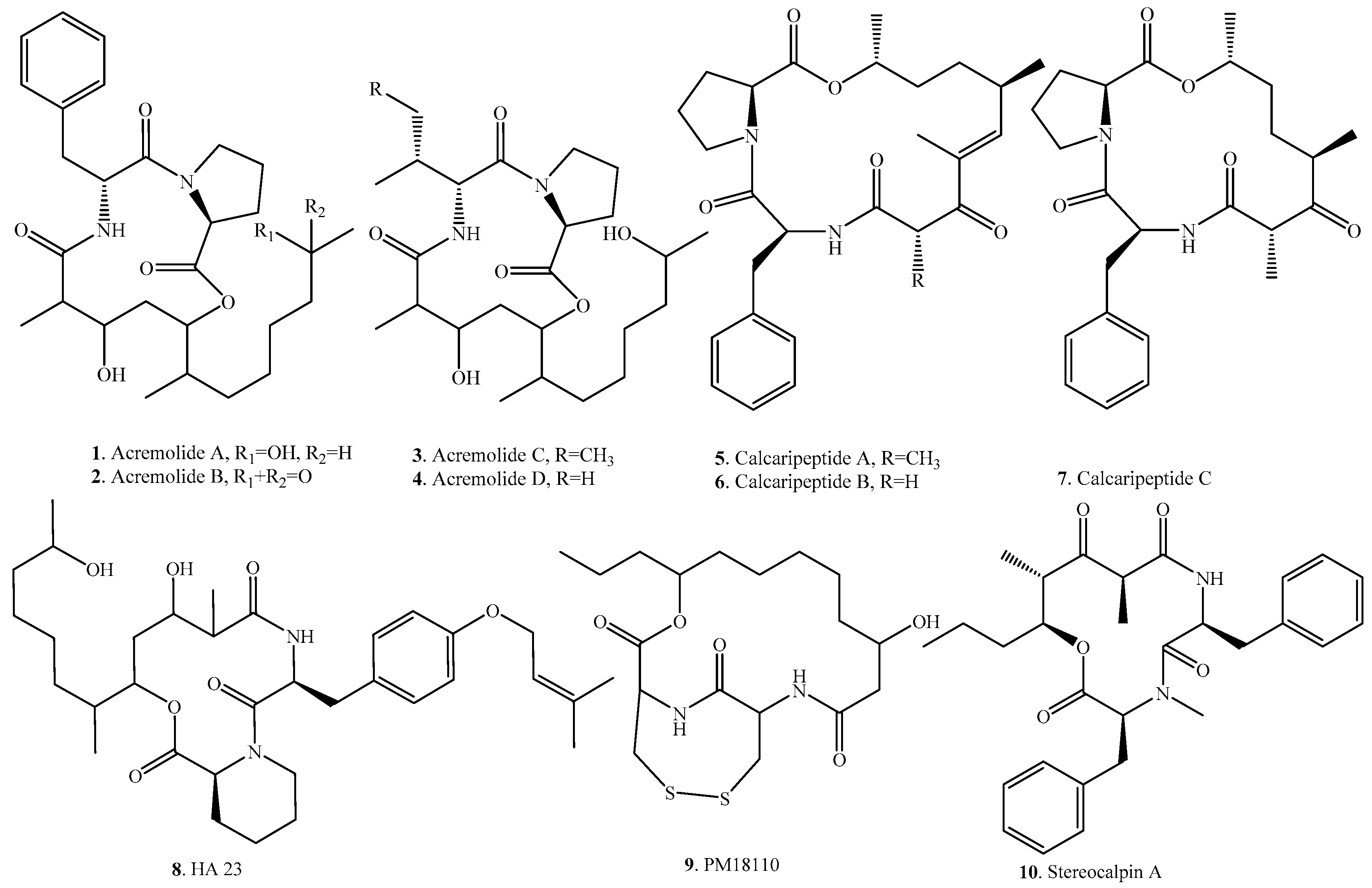
Cyclic tridepsipeptides usually contain two amino acids and one hydroxylated carboxylic acid. They were found in the genera Acremonium, Calcarisporium, Fusarium, Phomopsis and Ramalina. The occurrence and biological activities of fungal cyclic tridepsipeptides are listed in Table 1, and their structures are shown in Figure 1.
Table 1.
Fungal cyclic tridepsipeptides and their biological activities.
Figure 1.
Structures of the cyclic tridepsipeptides isolated from fungi.
Ten cyclic tridepsipeptides have been isolated from fungi so far. Acremolides A–D (1–4) were isolated from an Australian marine-derived Acremonium sp. MST-MF588a obtained from a sediment sample [23]. Calcaripeptides A (5), B (6), and C (7) were identified from Calcarisporium sp. strain KF525, which was isolated from German Wadden Sea [24]. HA23 (8), a cyclic tridepsipeptide of mixed peptide-polyketide origins, was isolated from Fusarium sp. CANU-HA23 [25].
PM181110 (9) was identified from the endophytic fungus Phomopsis glabrae isolated from the leaves of Pongamia pinnata, and exhibited anticancer activity against 40 human cancer cell lines with a mean IC50 value of 0.089 μM. The structure of this compound has a disulfide ring, which possibly contributed to the biological activity [26].
Stereocalpin A (10) was isolated from the endophytic fungus Ramalina terebrata associated with the Antarctic lichen Stereocaulon alpinum. This CDP is unique in that its structure contains a 5-hydroxy-2,4-dimethyl-3-oxo-octanoic acid. It showed moderate cytotoxic activity against three human solid tumor cell lines (i.e., colon carcinoma cell line HT-29, skin carcinoma cell line B16/F10, and liver carcinoma cell line HepG2), and weak inhibitory activity against protein tyrosine phosphatase 1B (PTP1B) [27]. Further investigation of the mechanism showed that stereocalpin A (10) inhibited the expression of adhesion molecules in activated muscle cells. These results suggest that this compound has the potential to exert a protective effect by modulating inflammation within the atherosclerotic lesion [28].
3. Cyclic Tetradepsipeptides
Forty nine cyclic tetradepsipeptides have been isolated from fungi so far. They have been found mainly in the genera Alternaria, Aspergillus, Beauveria, Fusarium, Hypoxylon, and Penicillium. Their occurrences in fungi, and biological activities are listed in Table 2, and the structures are provided in Figure 2.
Table 2.
Fungal cyclic tetradepsipeptides and their biological activities.


Figure 2.
Structures of the cyclic tetradepsipeptides isolated from fungi.
15G256γ (11), δ (12) and ε (13) were isolated from the marine fungus Hypoxylon oceanicum (LL-15G256) [29,30]. They showed moderate antifungal activity against the plant pathogenic fungi in greenhouse tests and human fungal pathogens in vitro. Microscopic examination of treated fungi suggested that the compounds displayed inhibition on cell wall biosynthesis [31].
AM-toxins I (14), II (15) and III (16), which were host-specific phytotoxins, were isolated from Alternaria alternata apple pathotype [32,33,34].
Aspergillipeptides A (18), B (19), and C (20) were obtained from Aspergillus sp. SCSGAF 41501 from China South Sea gorgonian Melitodes squamata. Aspergillipeptide C (20) showed strong antifouling activity against Bugula neritina larvae settlement [35].
Beauveriolides I-VIII (21–28) were isolated from Beauveria sp. [36,37,38]. Among them, beauveriolide I (21) displayed insecticidal activity on Spodoptera litura and Callosobruchus chinensis [36]. Beauveriolide III (23) selectively inhibited sterol O-acyltransferase 1 (SOAT1) in a cell-based assay [39].
Clavatustides A (49) and B (50) were identified from the cultured mycelia and broth of Aspergillus clavatus C2WU. The fungus was isolated from the crab Xenograpsus testudinatus, which lived at extreme, toxic habitat around the sulphur-rich hydrothermal vents in Taiwan Kueishantao. Both compounds suppressed the proliferation of hepatocellular carcinoma (HCC) cell lines (HepG2, SMMC-7721 and Bel-7402), and induced an accumulation of HepG2 cells in G1 phase and reduction of cells in S phase [40]. CCNE2 (cyclin E2) was proved to be the key regulator of clavatustide B-induced G1-S transition blocking in several cancer cell lines by using real-time PCR [41].
Fusaristatins A (51) and B (52) were identified in the endophytic fungus Fusarium sp. YG-45. Both compounds showed a moderate inhibitory effect on topoisomerases I and II. They also showed the growth-inhibitory activity toward lung cancer cells LU 65 [42]. Fusaristatin A (51) also displayed an inhibitory effect on the fungus Glomerella acutata [43].
A series of stevastelins were obtained from Penicillium sp. NK374186 which was isolated from the soil collected in Niigata of Japan [44,45,46]. They inhibited interleukin-2 or interleukin-6 dependent gene expression but did not inhibit the phosphatase activity of calcineurin. Stevastelins were considered as the potential immunosuppressants [47].
4. Cyclic Pentadepsipeptides
Cyclic pentadepsipeptides have been isolated from the genera Acremonium, Alternaria, Fusarium, Hapsidospora, and Penicillium. Their occurrences and biological activities are listed in Table 3, and their structures are provided in Figure 3.
Table 3.
Fungal cyclic pentadepsipeptides and their biological activities.

Figure 3.
Structures of the cyclic pentadepsipeptides isolated from fungi.
Alternaramide (60) was identified in the marine-derived fungus Alternaria sp. SF-5016, and showed weak antibiotic activity on Bacillus subtilis and Staphylococcus aureus [58]. This compound also had inhibitory effects on inflammatory mediator expression through TLR4-MyD88-mediated inhibition of NF-κB and MAPK pathway signaling in lipopolysaccharide-stimulated RAW264.7 and BV2 cells [59].
Aselacins A (61), B (62) and C (63) were obtained in Acremonium spp. from the soil samples collected in Asela (Ethiopia). They had inhibitory activity on the binding of endothelin to its receptor. Among them, aselacin A (61) inhibited binding to receptors in both atrial and cerebral membranes with IC50 values of 20 μg/mL, approximately [60,61].
By means of epigenetic manipulation of the fungal metabolome, EGM-556 (66) was identified by addition of histone deacetylase inhibitor suberoylanilide hydroxamic acid into the culture of the Floridian marine sediment-derived fungus Microascus sp. [62].
Hikiamides A (67), B (68) and C (69) were obtained from Fusairum sp. TAMA 456 from a rotten wood sample collected in Hiki county of Japan, and induced adipocyte differentiation and mRNA expression of adiponectin in murine ST-3 preadipocyte cells [63].
JBIR-113 (70), JBIR-114 (71), and JBIR-115 (72) were identified in the marine-derived Penicillium sp. fS36 from an unidentified sponge collected near Takarajima Island of Japan [64]. Copper and manganese cations induced production of JBIR-113 (70), JBIR-114 (71), and JBIR-115 (72) in the endophytic fungus Penicillium brasilianum from Melia azedarach. JBIR-113 (70) exhibited weak antiparasitary acitivity against Leishmania amazonensis [65].
Leualacin (73) was first isolated from Hapsidospora irregularis. This compound inhibited the binding of H-nitrendipine to porcine heart membranes in vitro and lowered the blood pressure of spontaneous hypertensive rats to show its potential application as the calcium channel blocker for treatment of hypertension, angina, myocardial infarction, and arrhythmia [66,67]. Afterwards, six other anlogues, leualacins B–G (74–79) were obtained from this fungal species. Leualacin F (78) elicited the calcium influx in primary human lobar bronchial epithelial cells involving the TRPA1 channel [68].
Phomalide (85) was isolated from the pathogen Phoma lingam (teleomorph: Leptosphaeria maculans) of the blackleg disease of brassica crops. This compound showed host-selective phytotoxicity [69,70].
Sansalvamide A (87) was isolated from a marine fungus Fusarium sp. [71]. This compound possessed marked antitumor activity against 60 cancer cell lines such as human prostate cancer PC3, human breast cancer MDA-MB-231, and human melanoma WM-115 by inhibiting topoisomerase I [72]. N-Methylation of sansalvamide A (87) enhanced its antitumor potency and selectivity [73]. Its derivative H-10 exhibited antiproliferative effects against murine melanoma B16 cells and induced cell apoptosis [74]. Zygosporamide (88) was isolated from the marine-derived fungus Zygosporium masonii. This compound illustrated significant cytotoxic activity against SF-268 and RXF 393 cell lines [75].
5. Cyclic Hexadepsipeptides
Cyclic hexadepsipeptides are mainly distributed in the genera Acremonium, Aspergillus, Beauveria, Cordyceps, Fusarium, Isaria, Nigrospora, Peacilomyces, and Verticillium. They represent the largest class of CDPs found in fungi. Most of cyclic hexadepsipeptides belong to mycotoxins. Their occurrences and biological activities are shown in Table 4, and their structures are provided in Figure 4. The main groups of cyclic hexadepsipeptides include beauvenniatins, beauvericins, destruxins, enniatins, isaridins and isariins which have been well reviewed, respectively [16,17,18,19].
Table 4.
Fungal cyclic hexadepsipeptides and their biological activities.






Figure 4.
Structures of the cyclic hexadepsipeptides isolated from fungi.
Six aspergillicins analogs 94–99 were isolated from Aspergillus sp. [83,84]. Among them, aspergillicin F (99) showed innate immune-modulating activity [84].
Beauvenniatins A–E (100–104), and beauvericin J (125) from Acremonium sp. BCC 28424 showed antimalaria on Plasmodium falciparum K1, antituberculosis on Mycobacterium tuberculosis H37Ra, and cytotoxic activities on cancer cell lines (KB, MCF-7, and NCI-H187) and Vero cells. Beauvenniatins C (102), D (103), E (104), and beauvericin J (125), containing an N-Me-l-Tyr residue, showed weaker activity [85].
Beauvenniatin F (105) was isolated from an entomogenous fungus Fusarium proliferatum from the cadaver of an unidentified insect collected in Tibet, and exhibited strong cytotoxicity against K562/A (adriamycin-resistant K562) cells with IC50 value of 3.78 μM, and autophagy-inducing activity at the concentration of 20 μM in GFP-LC3 stable HeLa cells [86]. Beauvenniatins F (105), G1 (106), G2 (107), G3 (108), H1 (109), H2 (110), and H3 (111) from the fungus Acremonium sp. BCC 2629 exhibited antibacterial activity against Mycobacterium tuberculosis H37Ra with MIC values in the range of 1.07–4.45 μM, and proliferation inhibitions against the human malaria parasite (Plasmodium falciparum K1) with IC50 values in the range of 3.6–3.9 μM. They also displayed cytotoxic activity toward cancer cell-lines (KB, BC, NCI-H187 cell-lines) with IC50 values ranging from 1.00 to 2.29 μM, as well as Vero cells with IC50 values in the range of 1.9–5.5 μM [87].
Beauvericins and allobeauvericins are a class of cyclohexadepsipeptides with core structures made of three N-methyl-l-phenylalanine units connected alternately with three 2-hydroxy-d-isovaleric acid residues. They were first isolated from the culture of the insect-pathogenic fungus Beauverina bassiana [88]. They consisted of alternating 2-hydroxy-3-methylbutanoic acid and amino acid units. The three amino acid residues are aromatic N-methyl-l-phenylalanines. Beauvericin (BEA, 112) was found in in many entomophathogenic fungi such as Beauveria bassiana, Isaria tenuipes (formerly Paecilomyces tenuipes), Isaria fumosorosea (formerly Paecilomyces fumosoroseus), Cordyceps cicadae, all of these species are members of family Cordycipitaceae. BEA (112) has also been isolated from many Fusarium species (i.e, F. acuminatum, F. acutatum, F. anthophilum, F. avenaceum, F. beoniforme, F. circinatum, F. concentricum, F. dlamini, F. equiseti, F. fujikuoi, F. globosum, F. guttiforme, F. konzum, F. langsethiae, F. longipes, F. nygamai, F. oxysprum, F. poae, F. proliferatum, F. pseudoanthophilum, F. sambucinum, F. semitectum, F. sporotrichioides, F. subglutinans, F. tricinctum, and F. verticilloides). BEA was suggested as a chemotaxonomic marker of the fungi in genus Fusarium [17] and family Cordycipitaceae [89].
Destruxins are mainly isolated from the entomopathogenic fungus Metarhizium anisopliae. More than 35 destruxin analogs have been identified in this fungus [19]. Destruxin A (141) can induce and bind heat shock proteins (HSPs) in Bombyx mori Bm12 cells [90]. Most of destruxins exhibit insecticidal and phytotoxic activities. Other biological activities include antimicrobial, antitrypanosomal, cytotoxic, immunosuppressant, antiproliferative and antiviral acitivites. Destruxins act as V-ATPase inhibitors and provide a basis for the development of new drugs to against osteoporosis, cancer, or as the biological control agents [16,19]. Destrusins cause an initial tetanic paralysis, which is attributed to muscle depolarization by direct opening of Ca2+ channels in the membrane [16]. They can act as V-ATPase inhibitors, and modulate the antiapoptotic funcition of Bcl-xL through their inherent ability to inhibit the V-ATPase activity as a result of a caspase-independent pathway [19].
Enniatins have been isolated largely from Fusarium species, although they were isolated from other fungal genera, such as Verticillium and Halosarpheia [18]. About 30 enniatins have been isolated and characterized, either as a single compound or mixtures of inseparable homologs. Structurally, these depsipeptides are biosynthesized by a multifunctional enzyme, termed enniatin synthetase, and composed of six residues that alternate between N-methyl amino acids and hydroxylated carboxylic acids [18].
Enniatins A (177), A1 (178), B (180), B1 (181), D (184), E1 (186), E2 (187) and F (188) were isolated from the culture broth of Fusarium sp. FO-1305 [91]. In an enzyme assay using rat liver microsomes, they were found to inhibit acyl-CoA:cholesterol acyltransferase (ACAT) activity with IC50 values of 22 to 110 μM [92]. Enniatins A1 (178) and B1 (181) were found to induce apoptotic cell death and disrupt extracellular-regulated protein kinase, a mitogen-activated protein kinase associated with cell proliferation. They incorporate easily into the cell membrane as a passive channel and form action selective pores. By forming complexes with cations like K+, Na+ and Ca2+, enniatins evoke changes in intracellular ion concentration, disrupting cell function [18].
Enniatins H (190), I (191), and MK1688 (199), and beauvericin (112) were purified from Fusarium oxysporum KFCC 11363. Enniatins I (191) and MK1688 (199) inhibited the growth of cancer cell lines most strongly and had similar cytotoxic effects on the tested human cancer cell cultures [93].
Hirsutellide A (218), isolated from the entomopathogenic fungus Hirsutella kobayasii, showed antimycobacterial activity (IC50, 6–12 μg/mL) and antimalarial activity (IC50, 2.8 μg/mL) on Plasmodium falciparum [94].
Isarfelins A (225/226) and B (228) were isolated from the mycelia of Isaria felina. They were later identified as isarridins C1 (225)/C2 (226) and E (228), respectively, and exhibited antifungal activity on Rhizoctonia solani and Sclerotinia sclerotiorum, and insecticidal activity on Leucania separata [95].
Isoisariin B (240) was isolated from the entomopathogenic fungus Beauveria felina. This compound was active against the pest-insect Sitophilus spp. with an LD50 value of 10 μg/mL [96]. Other isariin analogs including isariins A (231), B (232), C (233), C2 (234), D (235), E (236), F2 (237), G1 (238), G2 (239), and isoisariin D (241) were identified in the fungus Beauveria felina [96,97,98,99].
Nodupeptide (242) was isolated from the gut of the insect Riptortus pedestris. This compound displayed insecticidal activity against rice brown planthopper (Nilaparvata lugens) with an LD50 value of 70 ng/larva, and inhibitory activity towards the drug-resistant human pathogenic bacterium Pseudomonas aeruginosa with the MIC value (5.0 μM) comparable to that (3.2 μM) of the positive control ciprofloxacin [100].
Paecilodepsipeptide A (also namely gliotide, 248) was first obtained from the marine-derived fungus Gliocladium sp. from the alga Durvillaea antarctica [101], and later isolated from the insect pathogenic fungus Paecilomyces cinnamomeus BCC 9616 [102]. This compound exhibited antimalarial activity on Plasmodium falciparum K1 and cytotoxic activity on KB and BC cell lines [102].
Pseudodestruxins A (249) and B (250) were obtained from the coprophilous fungus Nigrosabulum globosum isolated from sheep dung. Both had antibacterial activity on Bacillus subtilis and Staphylococcus aureus [103].
Roseotoxin B (259) from Trichothecium roseum improved allergic contact dermatitis through a unique anti-inflammatory mechanism involving excessive activation of autophagy in activated T lymphocytes [104].
Trichodepsipeptides A (272) and B (273), and guangomide A (214) were isolated from the filamentous fungus Trichothecium sp. (MSX 51320) [105]. Guangomide A (214) showed weak antibacterial activity on Staphylococcus epidermids and Enterococcus durans [106].
Trichomides A (274) and B (275) were isolated from Trichothecium roseum. Trichomide A (274) decreased the expression of Bcl-2 and increased that of Bax, with mild or negligible effects on the levels of p-Akt, CD25, and CD69. It provided valuable information for lead structure optimization of the novel immunosuppressant [107].
6. Cyclic Heptadepsipeptides
The occurrences and biological activities of fungal cyclic heptadepsipeptides are shown in Table 5, and their structures are provided in Figure 5.
Table 5.
Fungal cyclic heptadepsipeptides and their biological activities.

Figure 5.
Structures of the cyclic heptadepsipeptides isolated from fungi.
Cordycommunin (277) was obtained from the insect pathogenic fungus Ophiocordyceps communis BCC16475. This compound exhibited inhibitory activity on Mycobacterium tuberculosis H37Ra. It also showed weak cytotoxic activity on KB cells [180].
Fusaripeptide A (278) was obtained from the endophytic fungus Fasarium sp. from the roots of Mentha longifolia L. growing in Saudi Arabia. It exhibited antifungal, anti-malarial and cytotoxic activities [181].
Simplicilliumtides J (280), K (281), L (282) and verlamelins A (283) and B (284) were isolated from the deep-sea-derived fungus Simplicillium obclavatum EIODSF 020. Simplicilliumtides J (280), and verlamelins A (283) and B (284) showed antifungal activity toward Aspergillus versicolor and Curvularia australiensis, and also had obvious antiviral activity on HSV-1 with IC50 values of 14.0, 16.7, and 15.6 μM, respectively [182]. Verlamelins A (283) and B (284) were obtained from the entomopathogenic fungus Lecanicillium sp. (formerly Verticillium lecanii) isolated from a chillie trips cadaver. They showed antifungal activity against plant pathogenic fungi [183].
W493 A (285), B (286), C (287) and D (288) were obtained from the endophytic fungus Fusarium sp. isolated from the mangrove plant Ceriops tagal. Both W493 A (285) and B (286) exhibited moderate activity against the fungus Cladosporium cladosporiodes and weak antitumor activity against the human ovarian cancer cell line A2780 [184]. W493 A and B were also isolated from Fusarium sp. and showed strong antifungal activity against Venturia inaequalis, Monilinia mali, and Cochliobolus miyabeanus [185].
7. Cyclic Octadepsipeptides
The occurrences and biological activites of reported fungal cyclic octadepsipeptides are listed in Table 6, and their structures are shown in Figure 6.
Table 6.
Fungal cyclic octadepsipeptides and their biological activities.

Figure 6.
Structures of the cyclic octadepsipeptides isolated from fungi.
Bassianolide (289) was isolated from Beauveria bassiana, Lecanicilium sp. (formerly Verticillium lecanii), and Xylaria sp. BCC1067 to display insecticidal, cytotoxic and anthelmintic acitivities [187,188,189]. Synthesis of bassianolide (289) was succeeded, and this compound showed antitumor activity by inducing G0/G1 arrest in MDA-MB 231 breast cancer cells [190].
The broad-spectrum anthelimintic cyclic octadepsipeptides PF1022A (293), PF1022B (294), PF1022C (295), PF1022D (296), PF1022E (297), PF1022F (298), PF1022G (299) and PF1022H (300) were isolated from the endophytic fungus Rosellinia sp. PF1022 from the leaves of Camellia japonica [191,192]. The action mode of PF1022A (293) appeared to be complex, having at least two different targets, a latrophilin-like receptor, and a Ca2+-activated K+ channel [193]. The synthesis and biosynthesis of PF1022A (293) have also been studied in detail [194,195]. These metabolites were used as starting points to generate semisynthetic derivatives among which emodepside has been developed as the commercial anthelmintic agent Emodepside against gastrointestinal and extraintestinal parasites [193].
Phaeofungin (301), which was isolated from the endophytic fungus Phaeosphaeria sp. from living stems and leaves of Sedum sp. (Crassulaceae), was discovered by application of reverse genetics technology, using the Candida albicans fitness test (CaFT). This compound caused ATP release in wild-type Candida albicans strains. It showed modest antifungal activity with the MICs for Candida albicans, Aspergillus fumigatus, and Trichophyton mentagrophytes as 16, 8 and 4 µg/mL, respectively [196].
Verticilides A1 (302), A2 (303) and A3 (304) were isolated from Verticillium sp. FKI-2679. These compounds showed inhibitory activity on acyl-CoA:cholesterol acyltransferase (ACAT) in a cell-based assay using ACAT1- and ACAT2-expressing CHO cells [179].
8. Cyclic Nonadepsipeptides
The origins and biological activities of fungal cyclic nonadepsipeptides are listed in Table 7, and their structures are provided in Figure 7. Aureobasins were isolated from the black yeast Aureobasidium pullulans R106 from the leaf collected at Tsushima of Japan. They are composed of one hydroxylated carboxylic acid and eight amino acids, and 29 aureobasidin analogs (305–333) have been isolated from this fungus [203,204,205,206]. They showed good in vitro activity against all Candida species and Cryptococcus neoformans, in vivo activity against murine systemic candidiasis, and had low toxicity. They also showed inhibitory activity on inositol phosphorylceramide synthase [207].
Table 7.
Fungal cyclic nonadepsipeptides and their biological activities.

Figure 7.
Structures of the cyclic nonadepsipeptides isolated from fungi.
BZR-cotoxin I (334) was isolated from plant pathogenic fungus Bipolaris zeicola [208] and endophytic fungus Bipolaris sorokiniana LK12 [198]. It had moderate anti-lipid peroxidation and urease activities [198]. Pleofungins A (338), B (339), C (340) and D (341) were identified from Phoma sp. SANK 13899 from a soil sample collected at Tokyo of Japan. It is a rare case where a CDP contains three subsequent lactone bonds. These CDPs showed inhibitory activity on inositol phosphorylcermide synthase [209,210].
9. Cyclic Decadepsipeptides
The occurrences and biological activities of fungal cyclic decadepsipeptides are shown in Table 8, and their structures are provided in Figure 8. Only eight cyclic decadepsipeptides have been identified in fungi. Clavariopsins A (342) and B (343) were produced by an aquatic hyphomycetes, Clavariopsis aquatic [217]. Both showed antifungal activity by inhibiting fungal cell wall biosynthesis [218]. Four tachykinin (NK2) receptor inhibitors, SCH 217048 (346), SCH 378161 (348), SCH 378167 (349) and SCH 378199 (350) were isolated from a taxonomically unidentified fungus. They were selective and competitive receptor antagonists of the human NK2 receptor [219]. Both Sch 217048 (346) and Sch 378161 (348) were also isolated from the freshwater fungus Clohesyomyces aquaticus [220].
Table 8.
Fungal cyclic decadepsipeptides and their biological activities.
Figure 8.
Structures of the cyclic decadepsipeptides isolated from fungi.
10. Cyclic Tridecadepsipeptides
Up to now, only two tridecadepsipepitdes namely FR901469 (351) and petriellin A (352) have been identified in fungi [224]. Their structures are shown in Figure 9. FR901469 (351) was isolated from an unidentified fungus No.11243. This compound displayed antifungal activity by inhibiting 1,3-β-glucan synthase with an IC50 value of 0.05 μg/mL [224]. Petriellin A (352) was obtained from the coprophilous fungus Petriella sordida. It exhibited antifungal activity against Ascobolus furfuraceus (NRRL 6460) and Sordaria fimicola (NRRL 6459) [225].
Figure 9.
Structures of the cyclic tridecadepsipeptides isolated from fungi.
11. Conclusions and Future Perspectives
In this review, we describe the chemistry and biology of the CDPs discovered from fungi during the past 50 years. It is worth mentioning that more and more CDPs have been isolated from plant endophytic and marine-derived fungi which indicate that plant-derived endophytic and marine-drived fungi are the mines of biologically active natural products [10,13,226,227,228]. Some invertebrate derived CDPs (e.g., from sponge origin) are actually synthesized by the symbiotic microorganisms [229]. In addition, some minor or new CDPs have been identified in fungi with the application of new techniques such as LC-MS/MS [230], reverse genetics [196], genomics [138], epigenetic manipulation [62], and combinatorial biosynthesis [231,232].
Fungal CDPs are mainly reported from the genera Acremonium, Alternaria, Aspergillus, Beauveria, Fusarium, Isaria, Metarhizium, Penicillium, and Rosellina. Among the CDPs, cyclic hexadepsipeptides account for the largest proportion. Most of them are mycotoxins such as beauvenniatins, beauvericins, destruxins, and enniatins [16,17,18,19]. Compared to the cyclic peptides only with amide bonds [14,15], the ring size of CDPs seems to be smaller.
Many fungal CDPs such as aureobasidins (305–333), beauvericin (112), paecilodepsipeptide A (248) and sansalvamide A (87), show an interesting spectrum of biological activities, can be used as either drug candidates or lead compounds for drug development [21]. Their potential applications as antitumor agents, herbicides, antimicrobials, and insecticidals have attracted considerable interest within the pharmaceutical and agrochemical companies [19,233,234,235]. Chemical syntheses have been achieved for many bioactive CDPs such as aspergillicin F (99) [84], enniatin B (180) [236], PF1022A (293) [194], and zygosporamide (88) [237]. The biosynthetic pathways of some fungal CDPs such as beauvericin (112) [238], enniatin (177) [239], fusaristatin A (51) and W493 B (286) [240], verlamelin (283) [241] have also been revealed. They were considered to be biosynthesized by the non-ribosomal peptide synthetases (NRPS) [231].
Some fungal CDPs are currently in clinical use or have entered human clinical trials as antibiotic or anticancer agents. Some have been developed into commercial products [18,19,22]. The noteworthy example is the anthelmintic agent emodepside which is a semisynthetic derivative of PF1022A (293), a cyclic octadepsipeptide from the endophytic fungus Rosellina sp. PF1022 derived from the leaves of Camellia japonica [191]. Emodepside binds to a presynaptic latrophilin receptor and interacts with a calcium-activated potassium channel. Both modes of action cause paralysis and death of the nematode [242]. It is employed against gastrointestinal and extraintestinal parasites such as nematodes in veterinary medicine [193]. Another example is fusafungine, a mixture of enniatins, which is an antibacterial for the treatment of rhinosinusitis in nasal spray [18]. However, fusafungine has been recently withdrawn from the EU market since enniatins have been previously identified as mycotoxins which pose a potential health hazard on humans or animals [243,244,245]. The third example is the direct application of destruxins as insecticidal agents [19]. Destruxins were isolated from a variety of fungi such as Metarrhizium anisopliae [16], Beauveria felina [123], and Ophiocordyceps coccidiicola [128]. With the increasing understanding of the biosynthetic pathways of some fungal CDPs, we can rationally design bioengineering approaches such as chemoenzymatics, mutasynthesis, site-directed mutagenesis, and combinatorial biosynthesis. We may be able to effectively not only increase the yields of bioactive CDPs, but also block the biosynthesis of some toxic depsipeptides [231,246].
Acknowledgments
This work was co-financed by the grants from the National Key R & D Program of China (2017YFD0201105), and the National Natural Science Foundation of China (31271996).
Author Contributions
Xiaohan Wang performed bibliographic research, drafted and corrected the manuscript. Xiao Gong and Peng Li retrieved literature, participated in the discussions and supported manuscript corrections. Daowan Lai reviewed the manuscript and helped to revise it. Ligang Zhou conceived the idea, designed the review structure, supervised manuscript drafting, and revised the manuscript. All authors read and approved the final manuscript.
Conflicts of Interest
The authors declare no conflict of interest.
References
- Sivanathan, S.; Scherkenbeck, J. Cyclodepsipeptides: A rich source of biologically active compounds for drug research. Molecules 2014, 19, 12368–12420. [Google Scholar] [CrossRef] [PubMed]
- Taevernier, L.; Wynendaele, E.; De Vreese, L.; Burvenich, C.; De Spiegeleer, B. The mycotoxin definition reconsidered towards fungal cyclic depsipeptides. J. Environ. Sci. Health C 2016, 34, 114–135. [Google Scholar] [CrossRef] [PubMed]
- Taevernier, L.; Wynendaele, E.; Gevaert, B.; De Spiegeleer, B. Chemical classification of cyclic depsipeptides. Curr. Protein Pept. Sci. 2017, 18, 425–452. [Google Scholar] [CrossRef] [PubMed]
- Ye, X.; Anjum, K.; Song, T.; Wang, W.; Liang, Y.; Chen, M.; Huang, H.; Lian, X.-Y.; Zhang, Z. Antiproliferative cyclcodepsipeptides from the marine actinomycete Streptomyces sp. P11-23B downregulating the tumor metabolic enzymes of glycolysis, glutaminolysis, and lipogenesis. Phytochemistry 2017, 135, 151–159. [Google Scholar] [CrossRef] [PubMed]
- Fujioka, M.; Koda, S.; Morimoto, Y.; Biemann, K. Structure of FR900359, a cyclic depsipeptide from Ardisia crenata Sims. J. Org. Chem. 1988, 53, 2820–2825. [Google Scholar] [CrossRef]
- Yang, G.-Z.; Li, Y.-C. Cyclopeptide and terpenoids from Tripterygium wilfordii Hook. F. Helv. Chim. Acta 2002, 85, 168–174. [Google Scholar] [CrossRef]
- Dmitrenok, A.; Iwashita, T.; Nakajima, T.; Sakamoto, B.; Namikoshi, M.; Nagai, H. New cyclic depsipeptides from the green alga Bryopsis species; application of a carboxypeptidase hydrolysis reaction to the structure determination. Tetrahedron 2006, 62, 1301–1308. [Google Scholar] [CrossRef]
- Andavan, G.S.B.; Lemmens-Gruber, R. Cyclodepsipeptides from marine sponges: Natural agents for drug research. Mar. Drugs 2010, 8, 810–834. [Google Scholar] [CrossRef] [PubMed]
- Aneiros, A.; Garateix, A. Bioactive peptides from marine sources: Pharmacological properties and isolation procedures. J. Chromatogr. B 2004, 803, 41–53. [Google Scholar] [CrossRef] [PubMed]
- Lee, Y.; Phat, C.; Hong, S.-C. Structural diversity of marine cyclic peptides and their molecular mechanisms for anticancer, antibacterial, antifungal, and other clinical applications. Peptides 2017, 95, 94–105. [Google Scholar] [CrossRef] [PubMed]
- Rangel, M.; de Santana, C.J.C.; Pinheiro, A.; Anjos, L.; Barth, T.; Junior, O.R.P.; Fontes, W.; Catro, M.S. Marine depsipeptides as promising pharmacotherapeutic agents. Curr. Protein Pept. Sci. 2017, 18, 72–91. [Google Scholar] [CrossRef] [PubMed]
- Suarez-Jimenez, G.-M.; Burgos-Hernandez, A.; Ezquerra-Brauer, J.-M. Bioactive peptides and depsipeptides with anticancer potential: Sources from marine animals. Mar. Drugs 2012, 10, 963–986. [Google Scholar] [CrossRef] [PubMed]
- Gogineni, V.; Hamann, M.T. Marine natural product peptides with therapeutic potential: Chemistry, biosynthesis, and pharmacology. BBA-Gener. Subj. 2018, 1862, 81–196. [Google Scholar] [CrossRef] [PubMed]
- Wang, X.; Li, Y.; Zhang, X.; Lai, D.; Zhou, L. Structural diversity and biological activities of the cyclodipeptides from fungi. Molecules 2017, 22, 2026. [Google Scholar] [CrossRef] [PubMed]
- Wang, X.; Lin, M.; Xu, D.; Lai, D.; Zhou, L. Structural diversity and biological activities of fungal cyclic peptides, excluding cyclodipeptides. Molecules 2017, 22, 2069. [Google Scholar] [CrossRef] [PubMed]
- Pedras, M.S.C.; Zaharia, L.I.; Ward, D.E. The destruxins: Synthesis, biosynthesis, biotransformation, and biological activity. Phytochemistry 2002, 59, 579–596. [Google Scholar] [CrossRef]
- Jestoi, M. Emerging Fusarium-mycotoxins fusaproliferin, beauvericin, enniatins, and moniliformin—A review. Crit. Rev. Food Sci. Nutr. 2008, 48, 21–49. [Google Scholar] [CrossRef] [PubMed]
- Sy-Cordero, A.A.; Pearce, C.J.; Oberlies, N.H. Revisiting the enniatins: A review of their isolation, biosynthesis, structure dertermination and biological activities. J. Antibiot. 2012, 65, 541–549. [Google Scholar] [CrossRef] [PubMed]
- Liu, B.-L.; Tzeng, Y.-M. Development and applicatons of destruxins: A review. Biotechnol. Adv. 2012, 30, 1242–1254. [Google Scholar] [CrossRef] [PubMed]
- Kries, H. Biosynthetic engineering of nonribosomal peptide synthetases. J. Pept. Sci. 2016, 22, 564–570. [Google Scholar] [CrossRef] [PubMed]
- Lemmens-Gruber, R.; Kamyar, M.R.; Dornetshuber, R. Cyclodepsipeptides-potential drugs and lead compounds in the drug development process. Curr. Med. Chem. 2009, 16, 1122–1137. [Google Scholar] [CrossRef] [PubMed]
- Dang, T.; Suessmuth, R.D. Bioactive peptide natural products as lead structures for medicinal use. Acc. Chem. Res. 2017, 50, 1566–1576. [Google Scholar] [CrossRef] [PubMed]
- Ratnayake, R.; Fremlin, L.J.; Lacey, E.; Gill, J.H.; Capon, R.J. Acremolides A–D, lipodepsipeptides from an Australian marine-derived fungus, Acremonium sp. J. Nat. Prod. 2008, 71, 403–408. [Google Scholar] [CrossRef] [PubMed]
- Silber, J.; Ohlendorf, B.; Labes, A.; Nather, C.; Imhoff, F. Calcaripeptides A–C, cyclodepsipeptides from a Calcarisporium strain. J. Nat. Prod. 2013, 76, 1461–1467. [Google Scholar] [CrossRef] [PubMed]
- Feng, Y.; Blunt, J.W.; Cole, A.L.J.; Munro, M.H.G. A novel cyclodepsipeptide, HA23, from a Fusarium sp. Org. Lett. 2002, 4, 2095–2096. [Google Scholar] [CrossRef] [PubMed]
- Verekar, S.A.; Mishra, P.D.; Sreekumar, E.S.; Deshmukh, S.K.; Fiebig, H.-H.; Kelter, G.; Maier, A. Anticancer acitivity of new depsipeptide compound isolated from an endophytic fungus. J. Antibiot. 2014, 67, 697–701. [Google Scholar] [CrossRef] [PubMed]
- Seo, C.; Yim, J.H.; Lee, H.K.; Park, S.M.; Sohn, J.-H.; Oh, H. Stereocalpin A, a bioactive cyclic depsipeptide from the Antarctic lichn Stereocaulon alpinum. Tetrahedron Lett. 2008, 49, 29–31. [Google Scholar] [CrossRef]
- Byeon, H.-E.; Park, B.-K.; Yim, J.H.; Lee, H.K.; Moon, E.-Y.; Rhee, D.-K.; Pyo, S. Stereocalpin A inhibits the expression of adhesion molecules in activated vascular smooth muscle cells. Int. Immunopharmacol. 2012, 12, 315–325. [Google Scholar] [CrossRef] [PubMed]
- Abbanat, D.; Leighton, M.; Maiese, W.; Jones, E.B.G.; Pearce, C.; Greenstein, M. Cell wall active antifungal compounds produced by the marine fungus Hypoxylon oceanicum LL-15G256. I. Taxonomy and fermentation. J. Antibiot. 1998, 51, 296–302. [Google Scholar] [CrossRef] [PubMed]
- Schlingmann, G.; Milne, L.; Williams, D.R.; Carter, G.T. Cell wall active antifungal compounds produced by the marine fungus Hypoxylon oceanicum LL-15G256. II. Isolation and structure determination. J. Antibiot. 1998, 51, 303–316. [Google Scholar] [CrossRef] [PubMed]
- Albaugh, D.; Albert, G.; Bradford, P.; Cotter, V.; Froyd, J.; Gaughran, J.; Kirsch, D.R.; Lai, M.; Rehnig, A.; Sieverding, E.; et al. Cell wall active antifungal compounds produced by the marine fungus Hypoxylon oceanicum LL-15G256. III. Biological properties of 15G256γ. J. Antibiot. 1998, 51, 317–322. [Google Scholar] [CrossRef] [PubMed]
- Ueno, T.; Nakashima, T.; Hayashi, Y.; Fukami, H. Structures of AM-toxin I and II, host specific phytotoxic metabolites produced by Alternaria mali. Agric. Biol. Chem. 1975, 39, 1115–1122. [Google Scholar] [CrossRef]
- Ueno, T.; Nakashima, T.; Hayashi, Y.; Fukami, H. Isolation and structure of AM-toxin III, a host specific phytotoxic metabolite produced by Alternaria mali. Agric. Biol. Chem. 1975, 39, 2081–2082. [Google Scholar] [CrossRef]
- Miyashita, M.; Nakamori, T.; Miyagawa, H.; Akamatsu, M.; Ueno, T. Inhibitor activity of analogs of AM-toxin, a host-specific phytotoxin from the Alternaria alternata apple pathotype, on photosynthetic O2 evolution in apple leaves. Biosci. Biotechnol. Biochem. 2003, 67, 635–638. [Google Scholar] [CrossRef] [PubMed]
- Bao, J.; Zhang, X.-Y.; Xu, X.-Y.; He, F.; Nong, X.-H.; Qi, S.-H. New cyclic tetrapeptides and asteltoxins from gorgonian-derived fungus Aspergillus sp. SCSAF 0076. Tetrahedron 2013, 69, 2113–2117. [Google Scholar] [CrossRef]
- Mochizuki, K.; Ohmori, K.; Tamura, H.; Shizuri, Y.; Nichiyama, S.; Miyoshi, E.; Yamamura, S. The structures of biactive cyclodepsipeptides, beauveriolides I and II, metabolites of entomopathogenic fungi Beauveria sp. Bull. Chem. Soc. Jpn. 1993, 66, 3041–3046. [Google Scholar] [CrossRef]
- Namatame, I.; Tomoda, H.; Tabata, N.; Si, S.; Omura, S. Structure elucidation of fungal beauveriolide III, a novel inhibitor of lipid droplet formation in mouse macrophages. J. Antibiot. 1999, 52, 7–12. [Google Scholar] [CrossRef] [PubMed]
- Matsuda, D.; Namatame, I.; Tomoda, H.; Kobayashi, S.; Zocher, R.; Kleinkauf, H.; Omura, S. New beauveriolides produced by amino acid-supplemented fermentation of Beauveria sp. FO-6979. J. Antibiot. 2004, 57, 1–9. [Google Scholar] [CrossRef] [PubMed]
- Ohshiro, T.; Kobayashi, K.; Ohba, M.; Matsuda, D.; Rudel, L.L.; Takahashi, T.; Doi, T.; Tomoda, H. Selective inhibition of sterol O-acyltransferase 1 isozyme by beauveriolide III in intact cells. Sci. Rep. 2017, 7, 4163. [Google Scholar] [CrossRef] [PubMed]
- Jiang, W.; Ye, P.; Chen, C.-T.A.; Wang, K.; Liu, P.; He, S.; Wu, X.; Gan, L.; Ye, Y.; Wu, B. Two novel hepatocellular carcinoma cycle inhibitory cyclodepsipeptides from a hydrothermal vent carab-associated fungus Aspergillus clavatus C2WU. Mar. Drugs 2013, 11, 4761–4772. [Google Scholar] [CrossRef] [PubMed]
- Ye, P.; Shen, L.; Jiang, W.; Ye, L.; Chen, C.A.; Wu, X.; Wang, K.; Wu, B. Zn-driven discovery of a hydrothermal vent fungal metabolite clavatustide C, and an experimental study of the anti-cancer mechanism of c.avatustide B. Mar. Drugs 2014, 12, 3203–3217. [Google Scholar] [CrossRef] [PubMed]
- Shiono, Y.; Tsuchinari, M.; Shimanuki, K.; Miyajima, T.; Murayama, T.; Koseki, T.; Laatsch, H.; Funakoshi, T.; Takanami, K.; Suzuki, K. Fusarstatins A and B, two new cyclic lipopeptides from an endophytic Fusarium sp. J. Antibiot. 2007, 60, 309–316. [Google Scholar] [CrossRef] [PubMed]
- Li, G.; Kusari, S.; Christopher, G.; Strohmann, C.; Spiteller, M. Three cyclic pentapeptides and a cyclic lipopeptide produced by endophytic Fusarium decemcellulare LG53. RSC Adv. 2016, 6, 54092–54098. [Google Scholar] [CrossRef]
- Morino, T.; Masuda, A.; Yamada, M.; Nishimoto, M.; Nishikiori, T.; Saito, S.; Shimada, N. Stevastelins, novel immunosuppressants produced by Penicillium. J. Antibiot. 1994, 47, 1341–1343. [Google Scholar] [CrossRef] [PubMed]
- Morino, T.; Shimada, K.; Masuda, A.; Yamashita, N.; Nishimoto, M.; Nishikiori, T.; Saito, S. Structural determination of stevastelins, novel depsipeptides from Penicillium sp. J. Antibiot. 1996, 49, 564–568. [Google Scholar] [CrossRef] [PubMed]
- Morino, T.; Shimada, K.; Masuda, A.; Nishimoto, M.; Saito, S. Stevastelin A3, D3 and E3, novel congeners from a high producing mutant of Penicillium sp. J. Antibiot. 1996, 49, 1049–1051. [Google Scholar] [CrossRef] [PubMed]
- Hamaguchi, T.; Masuda, A.; Morino, T.; Osada, H. Stevastelins, a novel of immunosuppressants, inhibit dual-specificity protein phosphatases. Chem. Biol. 1997, 4, 279–286. [Google Scholar] [CrossRef]
- Russell, D.W. Angolide, a naturally-occurng cyclotetradepsipeptide with twelve-membered ring. J. Chem. Soc. 1965, 1965, 4664–4668. [Google Scholar] [CrossRef]
- Elsworth, J.F.; Grove, J.F. Cyclodepsipeptides from Beauveria bassiana. Part 2. Beauverolides A to F and their relationship to isarolide. J. Chem. Soc. Perkin Trans. 1 1980, 8, 1795–1799. [Google Scholar] [CrossRef]
- Grove, J.F. Cyclodepsipeptides from Beauveria bassiana. Part 3. The isolation of beauverolides Ba, Ca, Ja, and Ka. J. Chem. Soc. Perkin Trans. 1 1980, 12, 2878–2880. [Google Scholar] [CrossRef]
- Isogai, A.; Kanaoka, M.; Matsuda, H.; Hori, Y.; Suzuki, A. Structure of a new cyclodepsipeptide, beauverilide A from Beauveria bassiana. Agric. Biol. Chem. 1978, 42, 1797–1798. [Google Scholar] [CrossRef]
- Nakaya, S.; Mizuno, S.; Ishigami, H.; Yamakawa, Y.; Kawagishi, H.; Ushimaru, T. New rapid screening method for anti-aging compounds using budding yeast and identification of beauveriolide I as a potent active compound. Bsiosci. Biotechnol. Biochem. 2012, 76, 1226–1228. [Google Scholar] [CrossRef] [PubMed]
- Elsworth, J.F.; Grove, J.F. Cyclodepsipeptides from Beauveria bassiana. Part 1. Beauverolides H and I. J. Chem. Soc. Perkin Trans. 1 1977, 3, 270–273. [Google Scholar] [CrossRef]
- Jegorov, A.; Sedmera, P.; Matha, V.; Simek, P.; Zhradnickova, H.; Landa, Z.; Eyal, J. Beauverolides L and La from Beauveria tenella and Paecilomyces fumosoroseus. Phytochemistry 1994, 37, 1301–1303. [Google Scholar] [CrossRef]
- Kuzma, M.; Jegorov, A.; Kacer, P.; Havlicek, V. Sequencing of new beauverolides by high-performance liquid chromatography and mass spectrometry. J. Mass Spectrom. 2001, 36, 1108–1115. [Google Scholar] [CrossRef] [PubMed]
- Wang, F.; Jiang, J.; Hu, S.; Ma, H.; Zhu, H.; Tong, Q.; Cheng, L.; Hao, X.; Zhang, G.; Zhang, Y. Secondary metabolites form endophytic fungus Chaetomium sp. induce colon cancer cell apoptotic death. Fitoterapia 2017, 121, 86–93. [Google Scholar] [CrossRef] [PubMed]
- Shimada, K.; Morino, T.; Masuda, A.; Sato, M.; Kitagawa, M.; Saito, S. Absolute structural determination of stevastelin B. J. Antibiot. 1996, 49, 569–574. [Google Scholar] [CrossRef] [PubMed]
- Kim, M.; Sohn, J.; Ahn, J.; Oh, H. Alternaramide, a cyclic depsipeptide from the marine-derived fungus Alternaria sp. SF-5016. J. Nat. Prod. 2009, 72, 2065–2068. [Google Scholar] [CrossRef] [PubMed]
- Ko, W.; Sohn, J.H.; Jang, J.-H.; Ahn, J.S.; Kang, D.G.; Lee, H.S.; Kim, J.-S.; Kim, Y.-C.; Oh, H. Inhibitory effects of alternaramide on inflammatory mediator expression through TLR4-MyD88-mediated inhibition of NF-κB and MAPK pathway signaling in lipopolysaccharide-stimulated RAW264.7 and BV2 cells. Chem.-Biol. Interact. 2016, 244, 16–26. [Google Scholar] [CrossRef] [PubMed]
- Jackson, M.; Burres, N.S.; Karwowski, J.P.; Alder, L.A.; Humphrey, P.E.; Hohl, W.L.; McAlpine, J.B. Aselacins, novel compounds that inhibit binding of endothelin to its receptor. I. The production organism, fermentation and biological activity. J. Antibiot. 1994, 47, 523–527. [Google Scholar] [CrossRef] [PubMed]
- Hochlowski, J.E.; Hill, P.; Whittern, D.N.; Scherr, M.H.; Rasmussen, R.R.; Dorwin, S.A.; McAlpine, J.B. Aselacins, novel compounds that inhibit binding of endothelin to its receptor. II. Isolation and elucidation of structures. J. Antibiot. 1994, 47, 528–535. [Google Scholar] [CrossRef] [PubMed]
- Vervoort, H.C.; Draskovic, M.; Crews, P. Histone deacetylase inhibitors as a tool to up-regulate new fungal biosynthetic products: Isolation of EGM-556, a cyclodepsipeptide, from Microascus sp. Org. Lett. 2011, 13, 410–413. [Google Scholar] [CrossRef] [PubMed]
- Fukuda, T.; Sudoh, Y.; Tsuchiya, Y.; Okuda, T.; Matsuura, N.; Motojima, A.; Oikawa, T.; Igarashi, Y. Hikiamides A–C, cyclic pentadepsipeptides from Fusairum sp. TAMA 456. J. Nat. Prod. 2015, 78, 797–802. [Google Scholar] [CrossRef] [PubMed]
- Kawahara, T.; Takagi, M.; Shin-ya, K. Three new depsipeptides, JBIR-113, JBIR-114 and JRIR-115, isolated from a marine sponge-derived Penicillium sp. fS36. J. Antibiot. 2012, 65, 147–150. [Google Scholar] [CrossRef] [PubMed]
- Fill, T.P.; Pallini, H.F.; Amaral, L.S.; Silva, J.V.; Bidoia, D.L.; Peron, F.; Garcia, F.P.; Nakamura, C.V.; Rodgigues-Filho, E. Copper and manganese cations alter seconcary metabolism in the fungus Penicillium brasilianum. J. Braz. Chem. Soc. 2016, 27, 1444–1451. [Google Scholar]
- Hamano, K.; Kinoshita, M.; Furuya, K.; Miyamoto, M.; Takamatsu, Y.; Hemmi, A.; Tanzawa, K. Leualacin, a novel calcium blocker from Hapsidospora irregularis. I. Taxonomy, fermentation, isolation, physio-chemical and biological properties. J. Antibiot. 1992, 45, 899–905. [Google Scholar] [CrossRef] [PubMed]
- Hamano, K.; Kinoshita, M.; Tanzawa, K.; Yoda, K.; Ohki, Y.; Nakamura, T.; Kinoshita, T. Leualacin, a novel calcium blocker from Hapsidospora irregularis. II. Structure determination. J. Antibiot. 1992, 45, 906–913. [Google Scholar] [CrossRef] [PubMed]
- Zhang, S.; Qiu, Y.; Kakule, T.B.; Lu, Z.; Xu, F.; Lamb, J.G.; Reilly, C.A.; Zheng, Y.; Sham, S.W.S.; Xuan, L.; et al. Identification of cyclic depsipeptides and their dedicated synthetase from Hapsidospora irregularis. J. Nat. Prod. 2017, 80, 363–370. [Google Scholar] [CrossRef] [PubMed]
- Ward, D.E.; Vazquez, A.; Pedtras, M.S.C. Probing host-selective phytotoxity: Synthesis and biological activity of phomalide, isophomalide, and dihydrophomalide. J. Org. Chem. 1999, 64, 1657–1666. [Google Scholar] [CrossRef] [PubMed]
- Pedras, M.S.C.; Biesenthal, C.J. Vital staining of plant cell suspension cultures: Evaluation of the phytotoxic activity of the phytotoxins phomalide and destruxin B. Plant Cell Rep. 2000, 19, 1135–1138. [Google Scholar] [CrossRef]
- Belofsky, G.N.; Jensen, P.R.; Fenical, W. Sansalvamide: A new cytotoxic cyclic depsipeptide produced by a marine fungus of the genus Fusarium. Tetrahedron Lett. 1999, 40, 2913–2916. [Google Scholar] [CrossRef]
- Hwang, Y.; Rowley, D.; Rhodes, D.; Gertsch, J.; Fenical, W.; Bushman, F. Mechanism of inhibition of a poxvirus topoisomerase by the marine natural product sansalvamide A. Mol. Pharmacol. 1999, 55, 1049–1053. [Google Scholar] [CrossRef] [PubMed]
- Liu, S.; Gu, W.; Lo, D.; Ding, X.-Z.; Ujiki, M.; Adrian, T.E.; Soff, G.A.; Silverman, R.B. N-Methylsansalvamide A peptide analogues. Potent new antitumor agents. J. Med. Chem. 2005, 48, 3630–3638. [Google Scholar] [CrossRef] [PubMed]
- Zhang, G.; Liu, S.; Liu, Y.; Wang, F.; Ren, J.; Gu, J.; Zhou, K.; Shan, B. A novel cyclic pentapeptide, H-10, inhibits B16 cancer cell growth and induces cell apoptosis. Oncol. Lett. 2014, 8, 248–252. [Google Scholar] [CrossRef] [PubMed]
- Oh, D.; Jensen, P.R.; Fenical, W. Zygosporamide, a cytotoxic cyclic depsipeptide from the marine-derived fungus Zygosporium masonii. Tetrahedron Lett. 2006, 47, 8625–8628. [Google Scholar] [CrossRef]
- McCorkindale, N.J.; Baxter, R.L. Brevigellin, a benzoylated cyclodepsipeptide from Penicillium brevicompactum. Tetrahedron 1981, 37, 1795–1801. [Google Scholar] [CrossRef]
- Ortíz-López, F.J.; Monteiro, M.C.; González-Menéndez, V.; Tormo, J.R.; Genilloud, O.; Bills, G.F.; Vicente, F.; Zhang, C.; Roemer, T.; Singh, S.B.; et al. Cyclic colisporifungin and linear cavinafungins, antifungal lipopeptides isolated from Colispora cavincola. J. Nat. Prod. 2015, 78, 468–475. [Google Scholar] [CrossRef] [PubMed]
- Kawahara, T.; Itoh, M.; Kozone, I.; Izumikawa, M.; Sakata, N.; Tsuchida, T.; Shin-ya, K. MBJ-0110, a novel cyclopeptide isolated from the fungus Penicillium sp. f25267. J. Antibiot. 2016, 69, 66–68. [Google Scholar] [CrossRef] [PubMed]
- Song, H.; Lee, H.; Lee, C. A new cytotoxic cyclic pentadepsipeptide, neo-N-methylsansalvamide produced by Fusarium solani KCCM90040, isolated from potato. Food Chem. 2011, 126, 472–478. [Google Scholar] [CrossRef]
- Cueto, M.; Jensen, P.R.; Fenical, W. N-methylsansalvamide, a cytotoxic cyclic depsipeptide from a marine fungus of the genus Fusarium. Phytochemistry 2000, 55, 223–226. [Google Scholar] [CrossRef]
- Bringmann, G.; Lang, G.; Steffens, S.; Schaumann, K. Petrosifungins A and B, novel cyclodepsipeptides from a sponge-derived strain of Penicillium brevicompactum. J. Nat. Prod. 2004, 67, 311–315. [Google Scholar] [CrossRef] [PubMed]
- Rahman, R.; Taylor, A.; Das, B.C.; Verpoorte, J.A. A new depsipeptide from Pithomyces chartarum. Can. J. Chem. 1976, 54, 1360–1364. [Google Scholar] [CrossRef]
- Capon, R.J.; Skene, C.; Stewart, M.; Ford, J.; O’Hair, R.A.J.; Williams, L.; Lacey, E.; Gill, J.H.; Friedel, T. Aspergillicins A–E: Five novel depsipeptides from the marine-drived fungus Aspergillus carneus. Org. Biomol. Chem. 2003, 2013, 1856–1862. [Google Scholar] [CrossRef]
- Kikuchi, H.; Hoshikawa, T.; Fujimura, S.; Sakata, N.; Kurata, S.; Katou, Y.; Oshima, Y. Isolation of a cyclic depsipeptide, aspergillicin F, and synthesis of aspergillicins with innate immune-modulating activity. J. Nat. Prod. 2015, 78, 1949–1956. [Google Scholar] [CrossRef] [PubMed]
- Isaka, M.; Yangchum, A.; Sappan, M.; Suvannakad, R.; Srikitikulchai, P. Cyclohexadepsipeptides from Acremonium sp. BCC 28424. Tetrahedron 2011, 67, 7929–7935. [Google Scholar] [CrossRef]
- Tian, J.; Han, J.-J.; Zhang, X.; He, L.-W.; Zhang, Y.-J.; Bao, L.; Liu, H.-W. New cyclohexadepsipeptides from an entomogenous fungus Fusarium proliferatum and their cytotoxicity and autophagy-inducing activity. Chem. Biodivrs. 2016, 13, 852–860. [Google Scholar] [CrossRef] [PubMed]
- Bunyapaiboonsri, T.; Vongvilai, P.; Auncharoen, P.; Isaka, M. Cyclohexadepsipeptides from the filamentous fungus Acremonium sp. BCC 2629. Helv. Chim. Acta 2012, 95, 963–972. [Google Scholar] [CrossRef]
- Hamill, R.L.; Higgens, C.E.; Boaz, H.E.; Gorman, M. The structure of beauvericin, a new depsipeptide antibiotic toxic to Artemia salina. Tetrahedron Lett. 1969, 49, 4255–4258. [Google Scholar] [CrossRef]
- Luangsa-Ard, J.J.; Berkaew, P.; Ridkaew, R.; Hywel-Jones, N.L.; Isaka, M. A beauvericin hot spot in the genus Isaria. Mycol. Res. 2009, 113, 1389–1395. [Google Scholar] [CrossRef] [PubMed]
- Zhang, H.; Hu, W.; Xiao, M.; Ou, S.; Hu, Q. Destruxin A induces and binds HSPs in Bombyx mori Bm12 cells. J. Agric. Food Chem. 2017, 65, 9849–9853. [Google Scholar] [CrossRef] [PubMed]
- Tomoda, H.; Nishida, H.; Huang, X.-H.; Masuma, R.; Kim, Y.K.; Omura, S. New cyclodepsipeptides, enniatins D, E and F produced by Fusarium sp. FO-1305. J. Antibiot. 1992, 45, 1207–1215. [Google Scholar] [CrossRef] [PubMed]
- Tomoda, H.; Huang, X.-H.; Cao, J.; Nishida, H.; Nagao, R.; Okuda, S.; Tanaka, H.; Omura, S.; Arai, H.; Inoue, K. Inhibition of acyl-CoA:cholesterol acyltransferase activity by cyclodepsipeptide antibiotics. J. Antibiot. 1992, 45, 1626–1632. [Google Scholar] [CrossRef] [PubMed]
- Lee, H.-S.; Song, H.-H.; Jeong, J.-H.; Shin, C.-G.; Choi, S.-U.; Lee, C. Cytotoxicities of enniatins H, I, and MK1688 from Fusarium oxysporum KFCC 11363P. Toxicon 2008, 51, 1178–1185. [Google Scholar] [CrossRef] [PubMed]
- Vongvanich, N.; Kittakoop, P.; Isaka, M.; Trakulnaleamsai, S.; Vimuttipong, S.; Tanticharoen, M.; Thebtaranonth, Y. Hirsutellide A, a new antimycobacterial cyclohexadepsipeptide from the entomopathogenic fungus Hirsutella kobayasii. J. Nat. Prod. 2002, 65, 1346–1348. [Google Scholar] [CrossRef] [PubMed]
- Guo, Y.X.; Liu, Q.H.; Ng, T.B.; Wang, H.X. Isarfelin, a peptide with antifungal and insecticidal activities from Isaria felina. Peptides 2005, 26, 2384–2391. [Google Scholar] [CrossRef] [PubMed]
- Langenfeld, A.; Blond, A.; Gueye, S.; Herson, P.; Nay, B.; Dupont, J.; Prado, S. Insecticidal cyclodepsipeptides from Beauveria felina. J. Nat. Prod. 2011, 74, 825–830. [Google Scholar] [CrossRef] [PubMed]
- Deffieux, G.; Merlet, D.; Baute, R.; Bourgeois, G.; Baute, M.A.; Neveu, A. New insecticidal cyclodepsipeptides from the fungus Isaria felina. II. Structure elucidation of isariins B, C and D. J. Antibiot. 1981, 34, 1266–1270. [Google Scholar] [CrossRef] [PubMed]
- Sabareesh, V.; Ranganayaki, R.S.; Raghothama, S.; Bopanna, M.P.; Balaram, H.; Srinivasan, M.C.; Balaram, P. Identification and characterization of a library of microheterogeneous cyclohexadepsipeptides from the fungus Isaria. J. Nat. Prod. 2007, 70, 715–729. [Google Scholar] [CrossRef] [PubMed]
- Du, F.-Y.; Zhang, P.; Li, X.-M.; Li, C.-S.; Cui, C.-M.; Wang, B.-G. Cyclohexadepsipeptides of the isaridin class from the marine-derived fungus Beauveria felina EN-135. J. Nat. Prod. 2014, 77, 1164–1169. [Google Scholar] [CrossRef] [PubMed]
- Wu, H.M.; Lin, L.P.; Xu, Q.L.; Han, W.B.; Zhang, S.; Liu, Z.W.; Mei, Y.N.; Yao, Z.J.; Tan, R.X. Nodupetide, a potent insecticide and antimicrobial from Nodulisporium sp. associated with Riptortus pedestris. Tetrahedron Lett. 2017, 58, 663–665. [Google Scholar] [CrossRef]
- Lang, G.; Mitova, M.I.; Ellis, G.; van der Sar, S.; Phipps, R.K.; Blunt, J.W.; Cummings, N.J.; Cole, A.L.J.; Munro, M.H.G. Bioactivity profiling using HPLC/microtiter-plate analysis: Application to a New Zealand marine alga-derived fungus, Gliocladium sp. J. Nat. Prod. 2006, 69, 621–624. [Google Scholar] [CrossRef] [PubMed]
- Isaka, M.; Palasarn, S.; Lapanun, S.; Striklung, K. Peacilodepsipeptide A, an antimalarial and antitumor cyclohexadepsipeptide from the insect pathogenic fungus Peacilomyces cinnamomeus BCC 9616. J. Nat. Prod. 2007, 70, 675–678. [Google Scholar] [CrossRef] [PubMed]
- Che, Y.; Swenson, D.C.; Gloer, J.B.; Koster, B.; Malloch, D. Pseudodestruxins A and B: New cyclic depsipeptides from the coprophilous fungus Nigrosabulum globosum. J. Nat. Prod. 2001, 64, 555–558. [Google Scholar] [CrossRef] [PubMed]
- Wang, X.; Hu, C.; Wu, X.; Wang, S.; Zhang, A.; Chen, W.; Shen, Y.; Tan, R.; Wu, X.; Sun, Y.; et al. Anti-inflammatory mechanism involving excessive activation of autophagy in activated T lymphocytes. J. Investig. Dermatol. 2016, 136, 1636–1646. [Google Scholar] [CrossRef] [PubMed]
- Sy-Cordero, A.A.; Graf, T.N.; Adcock, A.F.; Kroll, D.J.; Shen, Q.; Swanson, S.M.; Wani, M.C.; Pearce, C.J.; Oberlies, N.H. Cyclodepsipeptides, sesquiterpenoids, and other cytotoxic metabolites from the filamentous fungus Trichothecium sp. (MSX 51320). J. Nat. Prod. 2011, 74, 2137–2142. [Google Scholar] [CrossRef] [PubMed]
- Amagata, T.; Morinaka, B.I.; Amagata, A.; Tenney, K.; Valeriote, F.A.; Lobkovsky, E.; Clardy, J.; Crews, P. A chemical study of cyclic depsipeptides produced by a sponge-derived fungus. J. Nat. Prod. 2006, 69, 1560–1565. [Google Scholar] [CrossRef] [PubMed]
- Zhang, A.H.; Wang, X.Q.; Han, W.B.; Sun, Y.; Guo, Y.; Wu, Q.; Ge, H.M.; Song, Y.C.; Ng, S.W.; Xu, Q.; et al. Discovery of a new class of immunosuppressants from Trichothecium roseum co-inspired by cross-kindom similarity in innate immunity and pharmacophore motif. Chem. Asian J. 2013, 8, 3101–3107. [Google Scholar] [CrossRef] [PubMed]
- Huang, H.; She, Z.; Lin, Y.; Vrijmoed, L.L.P.; Lin, W. Cyclic peptides from an endophytic fungus obtained from a mangrove leaf (Kandelia candel). J. Nat. Prod. 2007, 70, 1696–1699. [Google Scholar] [CrossRef] [PubMed]
- Nilanonta, C.; Isaka, M.; Kittakoop, P.; Trakulnaleamsai, S.; Tanticharoen, M.; Thebtaranonth, Y. Precursor-directed biosynthesis of beauvericin analogs by the insect pathogenic fungus Paecilomyces tenuipes BCC 1614. Tetrahedron 2002, 58, 3355–3360. [Google Scholar] [CrossRef]
- Deng, C.-M.; Liu, S.-X.; Huang, C.-H.; Pang, J.-Y.; Lin, Y.-C. Secondary metabolites of a mangrove endophytic fungus Aspergillus terreus (No. GX7-3B) from the South China Sea. Mar. Drugs 2013, 11, 2616–2624. [Google Scholar] [CrossRef] [PubMed]
- Xu, Y.; Zhan, J.; Wijeratne, E.M.K.; Burns, A.M.; Gunatilaka, A.A.L.; Molnar, I. Cytotoxic and antihaptotactic beauvericin analogues from precursor-directed biosynthesis with the insect pathogen Beauveria bassiana ATCC 7159. J. Nat. Prod. 2007, 70, 1467–1471. [Google Scholar] [CrossRef] [PubMed]
- Wang, J.; Zhang, D.-M.; Jia, J.-F.; Peng, Q.-L.; Tian, H.-Y.; Wang, L.; Ye, W.-C. Cyclodepsipeptides from the ascocarps and insect-body portions of fungus Cordyceps cicadae. Fitoterapia 2014, 97, 23–27. [Google Scholar] [CrossRef] [PubMed]
- Xu, L.; Wang, J.; Zhao, J.; Li, P.; Shan, T.; Wang, J.; Li, X.; Zhou, L. Beauvericin from the endophytic fungus, Fusarium redolens, isolated from Dioscorea zingiberensis and its antibacterial activity. Nat. Prod. Commun. 2010, 5, 811–814. [Google Scholar] [CrossRef] [PubMed]
- Nilanonta, C.; Isaka, M.; Kittakoop, P.; Palittapongarnpim, P.; Kamchonwongpaisan, S.; Pittayakhajonwut, D.; Tanticharoen, M.; Thebtaranonth, Y. Antimycobacterial and antiplasmodial cyclodepsipeptides from the insect pathogenic fungus Paecilomyces tenuipes BCC 1614. Planta Med. 2000, 66, 756–758. [Google Scholar] [CrossRef] [PubMed]
- Fukuda, T.; Arai, M.; Tomoda, H.; Omura, S. New beauvericins, potentiators of antifungal miconazole activity, produced by Beauveria sp. FKI-1366. II. Structure elucidation. J. Antibiot. 2004, 57, 117–124. [Google Scholar] [CrossRef] [PubMed]
- Kawazu, K.; Murakami, T.; Ono, Y.; Kanzaki, H.; Kobayashi, A.; Mikawa, T.; Yoshikawa, N. Isolation and characterization of two novel nematicidal depsipeptides from an imperfect fungus, strain D1084. Biosci. Biotechnol. Biochem. 1993, 57, 98–101. [Google Scholar] [CrossRef] [PubMed]
- Umeyama, A.; Takahashi, K.; Grudniewska, A.; Shimizu, M.; Hayashi, S.; Kato, M.; Okamoto, Y.; Suenaga, M.; Ban, S.; Kumada, T.; et al. In vitro antitrypanosomal activity of the cyclodepsipeptides, cardinalisamides A–C, from the insect pathogenic fungus Cordyceps cardinalis NBRC 103832. J. Antibiot. 2014, 67, 163–166. [Google Scholar] [CrossRef] [PubMed]
- Isaka, M.; Palasarn, S.; Supothina, S.; Komwijit, S.; Luangsa-ard, J. Bioactive compounds from the scale insect pathogenic fungus Conoideocrella tenius BCC 18627. J. Nat. Prod. 2011, 74, 782–789. [Google Scholar] [CrossRef] [PubMed]
- Wahlman, M.; Davidson, B.S. New destruxins from the entomophathogenic fungus Metarhizium anisopliae. J. Nat. Prod. 1993, 56, 643–647. [Google Scholar] [CrossRef]
- Suzuki, A.; Taguchi, H.; Tamura, S. Isolation and structure elucidation of three new insecticidal cyclodepsipeptides, destruxins C and D and desmethyldestruxin B, produced by Metarrhizium anisopliae. Agric. Biol. Chem. 1970, 34, 813–816. [Google Scholar] [CrossRef]
- Ayer, W.A.; Pena-Rodriguez, L.M. Metabolites produced by Alternaria brassicae, the black spot pathogen of canola. Part 1, the phytotoxic components. J. Nat. Prod. 1987, 50, 400–407. [Google Scholar] [CrossRef]
- Chen, H.C.; Yeh, S.F.; Ong, G.-T.; Wu, S.-H.; Sun, C.-M.; Chou, C.-K. The novel desmethyldestruxin B2, from Metarhizium anisopliae, that suppresses hepatitis B virus surface antigen production in human hepatoma cells. J. Nat. Prod. 1995, 58, 527–531. [Google Scholar] [CrossRef] [PubMed]
- Chung, Y.-M.; El-Shazly, M.; Chuang, D.-W.; Hwang, T.-L.; Asai, T.; Oshima, Y.; Ashour, M.L.; Wu, Y.-C.; Chang, F.-R. Suberoylanilide hydroxamic acid, a histone deacetylase inhibitor, induces the production of anti-inflammatory cyclodepsipeptides from Beauveria felina. J. Nat. Prod. 2013, 76, 1260–1266. [Google Scholar] [CrossRef] [PubMed]
- Evans, N.; Mcroberts, N.; Hill, R.A.; Marshall, G. Phytotoxin production by Alternaria linicola and phytoalexin production by the linseed host. Ann. Appl. Boil. 1996, 129, 415–431. [Google Scholar] [CrossRef]
- Du, F.-Y.; Li, X.-M.; Zhang, P.; Li, C.-S.; Wang, B.-G. Cyclodepsipeptides and other O-containing heterocyclic metabolites from Beauveria felina EN-135, a marine-derived entomophathogenic fungus. Mar. Drugs 2014, 12, 2816–2826. [Google Scholar] [CrossRef] [PubMed]
- Pais, M.; Das, B.C.; Ferron, P. Depsipeptides from Metarhizium anisopliae. Phytochemistry 1981, 20, 715–723. [Google Scholar] [CrossRef]
- Gupta, S.; Roberts, D.W.; Renwick, J.A.A. Insecticidal cyclodepsipeptides from Metarhizium anisopliae. J. Chem. Soc. Perkin Trans. 1 1989, 12, 2347–2357. [Google Scholar] [CrossRef]
- Ganaha, M.; Yoshii, K.; Otsuki, Y.; Iguchi, M.; Okamoto, Y.; Iseki, K.; Ban, S.; Ishiyama, A.; Hokari, R.; Iwatsuki, M. In vitro antitrypanosomal activity of the secondary metabolites from the mutant strain IU-3 of the insect pathogenic fungus Ophiocordyceps coccidiicola NBRC 100683. Chem. Pharmceut. Bull. 2016, 64, 988–990. [Google Scholar] [CrossRef] [PubMed]
- Krasnoff, S.B.; Gibson, D.M. New destruxins from the entomopathogenic fungus Aschersonia sp. J. Nat. Prod. 1996, 59, 485–489. [Google Scholar] [CrossRef]
- Cai, P.; Smith, D.; Katz, B.; Pearce, C.; Venables, D.; Houck, D. Dextruxin-A4 chlorohydrin, a novel destruxin from fungus OS-F68576: Isolation, structure determination, and biological activity as an inducer of erythropoietin. J. Nat. Prod. 1998, 61, 290–293. [Google Scholar] [CrossRef] [PubMed]
- Kao, M.-C.; Rao, Y.K.; Hsieh, Y.-W.; Weng, S.-H.; Lu, T.-L.; Tzeng, D.T.W.; Liu, J.-J.; Lin, C.-J.; Lai, C.-H.; Tzeng, Y.-M. A cyclohexadepsipeptide from entomogenous fungi Metarhizium anisopliae inhibits the Helicobacter pylori induced pathogenesis through attenuation of vacuolating cytotoxin-A activity. Process. Biochem. 2015, 50, 134–139. [Google Scholar] [CrossRef]
- Kim, H.S.; Jung, M.H.; Ahn, S.; Lee, C.W.; Kim, S.N.; Ok, J.H. Structure elucidation of a new cyclic hexadepsipeptide from Beauveria felina. J. Antibiot. 2002, 55, 598–601. [Google Scholar] [CrossRef] [PubMed]
- Buchwaldt, L.; Jensen, J.S. HPLC purification of destruxins produced by Alternaria brassicae in culture and leaves of Brassica napus. Phytochemistry 1991, 30, 2311–2316. [Google Scholar] [CrossRef]
- Arroyo-Manzanares, N.; Di Mavungu, J.D.; Carrido-Jurado, I.; Arce, L.; Vanhaecke, L.; Quesada-Moraga, E.; De Saeger, S. Analytical strategy for determination of known and unknown destruxins using hybrid quadrupole-orbitrap high-resolution mass spectrometry. Anal. Bioanal. Chem. 2017, 409, 3349–3357. [Google Scholar] [CrossRef] [PubMed]
- Lira, S.P.; Vita-Marques, A.M.; Seleghim, M.H.R.; Bugni, T.S.; LaBarbera, D.V.; Sette, L.D.; Sponchiado, S.R.P.; Ireland, C.M.; Berlinck, R.G.S. New destruxins from the marine-derived fungus Beauveria felina. J. Antibiot. 2006, 59, 553–563. [Google Scholar] [CrossRef] [PubMed]
- Yeh, S.F.; Pan, W.; Ong, G.; Chiou, A.; Chuang, C.; Chiou, S.; Wu, S. Study of structure-activity correlation in destruxins, a class of cyclodepsipeptides possessing suppressive effect on the generation of hepatitis B virus surface antigen in human hepatoma cells. Biochem. Biophys. Res. Commun. 1996, 229, 65–72. [Google Scholar] [CrossRef] [PubMed]
- Jegorov, A.; Sedmera, P.; Havlicek, V.; Mat’haa, V. Destruxin Ed1 a cyclopeptide from the fungus Metarhizium anisopliae. Phytochemistry 1998, 49, 1815–1817. [Google Scholar] [CrossRef]
- Chiang, Y.-M.; Szewczyk, E.; Nayak, T.; Davidson, A.D.; Sanchez, J.F.; Lo, H.-C.; Wen-Yueh, H.; Simityan, H.; Kuo, E.; Praseuth, A.; et al. Molecular genetic mining of the Aspergillus secondary metabolome: Discovery of the emericellamide biosynthetic pathway. Chem. Biol. 2008, 15, 527–532. [Google Scholar] [CrossRef] [PubMed]
- Oh, D.; Kauffmann, C.A.; Jensen, P.R.; Fenical, W. Induced production of emericellamides A and B from the marine-derived fungus Emericella sp. in competing co-culture. J. Nat. Prod. 2007, 70, 515–520. [Google Scholar] [CrossRef] [PubMed]
- Visconti, A.; Blais, L.A.; ApSimon, J.W.; Greenhalgh, R.; Miller, J.D. Production of enniatins by Fusarium acuminatum and Fusarium compactum in liquid culture: Isolation and characterization of three new enniatins, B2, B3, and B4. J. Agric. Food Chem. 1992, 40, 1076–1082. [Google Scholar] [CrossRef]
- Zaher, A.M.; Makboul, M.A.; Moharram, A.M.; Tekwani, B.L.; Calderon, A.I. A new enniatin antibiotic from the endophyte Fusarium tricinctum Corda. J. Antibit. 2015, 68, 197–200. [Google Scholar] [CrossRef] [PubMed]
- Cuomo, V.; Randazzo, A.; Meca, G.; Moretti, A.; Cascone, A.; Eriksson, O.; Novellino, E.; Ritieni, A. Production of enniatins A, A1, B, B1, B4, J1 by Fusarium tricinctum in solid corn culture: Structural analysis and effects on mitochondrial respiration. Food Chem. 2013, 140, 784–793. [Google Scholar] [CrossRef] [PubMed]
- Meca, G.; Font, G.; Ruiz, M.J. Comparative cytotoxicity study of enniatins A, A1, A2, B, B1, B4 and J3 on Caoco-2 cells, Hep-G2 and HT-29. Food Chem. Toxicol. 2011, 49, 2464–2469. [Google Scholar] [CrossRef] [PubMed]
- Juan-Garcia, A.; Manyes, L.; Ruiz, M.-J.; Font, G. Involvement of enniatins-induced cytotoxicity in human HepG2 cells. Toxicol. Lett. 2013, 218, 166–173. [Google Scholar] [CrossRef] [PubMed]
- Blais, L.A.; Apsimon, J.W.; Blackwell, B.A.; Greenhalgh, R.; Miller, J.D. Isolation and characterization of enniatins from Fusarium avenaceum DAOM 196490. Can. J. Chem. 1992, 70, 1281–1287. [Google Scholar] [CrossRef]
- Pohanka, A.; Capieau, K.; Broberg, A.; Stenlid, J.; Kenne, L. Enniatins of Fusarium sp. strain F31 and their inhibition of Botrytis cinerea spore germination. J. Nat. Prod. 2004, 67, 851–857. [Google Scholar] [CrossRef] [PubMed]
- Lin, Y.; Wang, J.; Wu, X.; Zhou, S.; Vrijmoed, L.L.P.; Jones, E.B.G. A novel compound, enniatin G, from the mangrove fungus Halosarpheia sp. (strain 732) form the South China Sea. Aust. J. Chem. 2002, 55, 225–227. [Google Scholar] [CrossRef]
- Nilanonta, C.; Isaka, M.; Chanphen, R.; Thong-orn, N.; Tanticharoen, M.; Thebtaranonth, Y. Unusual enniatins produced by the insect pathogenic fungus Verticillium hemipterigenum: Isolation and studies on precursor-directed biosynthesis. Tetrahedron 2003, 59, 1015–1020. [Google Scholar] [CrossRef]
- Sebastia, N.; Meca, G.; Soriano, J.M.; Manes, J. Antibacterial effects of enniatins J1 and J3 on pathogenic and lactic acid bacteria. Food Chem. Toxicol. 2011, 49, 2710–2717. [Google Scholar] [CrossRef] [PubMed]
- Vongvilai, P.; Isaka, M.; Kittakoop, P.; Srikitikulchai, P.; Kongsaeree, P.; Prabpai, S.; Thebtaranonth, Y. Isolation and structure elucidation of enniatins L, M1, M2, and N: Novel hydroxy analogs. Helv. Chim. Acta 2004, 87, 2066–2073. [Google Scholar] [CrossRef]
- Hyun, U.; Lee, D.-H.; Lee, C.; Shin, C.-G. Apoptosis induced by enniatins H and MK 1688 isolated from Fusarium oxysporum FB1501. Toxicon 2009, 53, 723–728. [Google Scholar] [CrossRef] [PubMed]
- Song, H.; Lee, H.; Jeong, J.; Park, H.; Lee, C. Diversity in beauvericin and enniatins H, I, and MK1688 by Fusarium oxysporum isolated from potato. Int. J. Food Microbiol. 2008, 122, 296–301. [Google Scholar] [CrossRef] [PubMed]
- Supothina, S.; Isaka, M.; Kirtikara, K.; Tanticharoen, M.; Thebtaranonth, Y. Enniatin production by the entomopathogenic fungus Verticillium hemipterigenum BCC 1449. J. Antibiot. 2004, 57, 732–738. [Google Scholar] [CrossRef] [PubMed]
- Uhlig, S.; Ivanova, L.; Petersen, D.; Kristensen, R. Structural studies on minor enniatins from Fusarium sp. VI03441: Novel N-methyl-threonine containing enniatins. Toxicon 2009, 53, 734–742. [Google Scholar] [CrossRef] [PubMed]
- Jenkins, K.M.; Renner, M.K.; Jensen, P.R.; Fenical, W. Exumolides A and B: Antimicroalgal cyclic depsipeptides produced by a marine fungus of the genus Scytalidium. Tetrahedron Lett. 1998, 39, 2463–2466. [Google Scholar] [CrossRef]
- Rukachaisirikul, V.; Rodglin, A.; Sukpondma, Y.; Phongpaichit, S.; Buatong, J.; Sakayaroj, J. Phthalide and isocoumarin derivatives produced by an Acremonium sp. isolated from a mangrove, Rhizophora apiculata. J. Nat. Prod. 2012, 75, 853–858. [Google Scholar] [CrossRef] [PubMed]
- Isaka, M.; Palasarn, S.; Sriklung, K.; Kocharin, K. Cyclohexadepsipeptides from the insect pathogenic fungus Hirsutella nivea BCC 2594. J. Nat. Prod. 2005, 68, 1680–1682. [Google Scholar] [CrossRef] [PubMed]
- Pedras, M.S.C.; Zaharia, I.L.; Gai, Y.; Smith, K.C.; Ward, D.E. Metabolism of the hsot-selective toxins destruxin B and homodestruxin B: Probing a plant disease resistance trait. Org. Lett. 1999, 1, 1655–1658. [Google Scholar] [CrossRef]
- Cruz, L.J.; Insua, M.M.; Baz, J.P.; Trujillo, M.; Rodriguez-Mias, R.A.; Oliveira, E.; Giralt, E.; Albericio, F.; Cañedo, L.M. IB-01212, a new cytotoxic cyclodepsipeptide isolated from the marine fungus Clonostachys sp. ESNA-A009. J. Org. Chem. 2006, 71, 3335–3338. [Google Scholar] [CrossRef] [PubMed]
- Luque-Ortega, J.R.; Cruz, L.J.; Albericio, F.; Rivas, L. The antitumoral depsipeptide IB-01212 kills leishmania through an apoptosis-like process involving intracellular targets. Mol. Pharm. 2010, 7, 1608–1617. [Google Scholar] [CrossRef] [PubMed]
- Li, J.; Fu, X.; Zeng, Y.; Wang, Q.; Zhao, P. Two cyclopeptides from endophytic fungus Beauveria sp. Lr89 isolated from Maytenus hookeri. Nat. Prod. Res. Dev. 2011, 23, 667–669. [Google Scholar]
- Ravindra, G.; Ranganayaki, R.S.; Raghothama, S.; Srinivasan, M.C.; Gilardi, R.D.; Karle, I.L.; Balaram, P. Two novel hexadepsipeptides with several modified amino acid residues isolated from the fungus Isaria. Chem. Biodivers. 2004, 1, 489–504. [Google Scholar] [CrossRef] [PubMed]
- Yurchenko, A.N.; Smetanina, O.F.; Kalinovsky, A.I.; Pushilin, M.A.; Glazunov, V.P.; Khudyakova, Y.V.; Kirichuk, N.N.; Ermakova, S.P.; Dyshlovoy, S.A.; Yurchenko, E.A.; et al. Oxirapentyns F-K from the marine-sediment-derived fungus Isaria felina KMM 4639. J. Nat. Prod. 2014, 77, 1321–1328. [Google Scholar] [CrossRef] [PubMed]
- Ding, L.-J.; Yuan, W.; Liao, X.-J.; Han, B.-N.; Wang, S.-P.; Li, Z.-Y.; Xu, S.-H.; Zhang, W.; Lin, H.-W. Oryzamides A-E, cyclodepsipeptides from the sponge-derived fungus Nigrospora oryzae PF18. J. Nat. Prod. 2016, 79, 2045–2052. [Google Scholar] [CrossRef] [PubMed]
- Isaka, M.; Berkaew, P.; Intereya, K.; Komwijit, S.; Sathitkunanon, T. Antiplasmodial and antiviral cyclohexadepsipeptides from the endophytic fungus Pullularia sp. BCC 8613. Tetrahedron 2007, 63, 6855–6860. [Google Scholar] [CrossRef]
- Ebrahim, W.; Kjer, J.; El Amrani, M.; Wray, V.; Lin, W.; Ebel, R.; Lai, D.; Proksch, P. Pullularins E and F, two new peptides from the endophytic fungus Bionecteria ochroleuca isolated from the mangrove plant Sonneratia caseolaris. Mar. Drugs 2012, 10, 1081–1091. [Google Scholar] [CrossRef] [PubMed]
- Wang, Y.; Ke, A.; Wang, F.; Zhang, X.; Fan, Y.; Lu, X.; Zheng, Z.; Jiang, Q.; Zhang, H.; Zhao, B. F04W2166A, a proteasome inhibitor from fungal metabolites. Chin. J. Antibiot. 2011, 9, 662–666. [Google Scholar]
- Ni, X.; Zhang, A.; Zhao, Z.; Shi, Q. Inhibitory effect of cyclic hexadepsipeptides on the proliferation activity on human PC-3 cells. Chin. Pharmacol. Bull. 2012, 28, 1527–1530. [Google Scholar]
- Tsunoo, A.; Kamijo, M.; Taketomo, N.; Sato, Y.; Ajisaka, K. Roseocardin, a novel cardiotonic cyclodepsipeptide from Trichothecium roseum TT103. J. Antibiot. 1997, 50, 1007–1013. [Google Scholar] [CrossRef] [PubMed]
- Jegorov, A.; Paizs, B.; Zabka, M.; Kuzma, M.; Havlicek, V.; Giannakopulos, A.E.; Derrick, P.J. Profiling of cyclic hexadepsipeptides roseotoxins synthesized in vitro and in vivo: A combined tandem mass spectrometry and quantum chemical study. Eur. J. Mass Spectrom. 2003, 9, 105–116. [Google Scholar] [CrossRef] [PubMed]
- Engstorm, G.; Delance, J.; Richard, J.; Baetz, A. Purification and characterization of roseotoxin b, a toxic cyclodepsipeptide from Trichothecium roseum. J. Agric. Food Chem. 1975, 23, 244–253. [Google Scholar] [CrossRef]
- Zabka, M.; Drastichova, K.; Jegorov, A.; Soukupova, J.; Nedbal, L. Direct evidence of plant-pathogenic activity of fungal metabolites of Trichothecium roseum on apple. Mycopathologia 2006, 162, 65–68. [Google Scholar] [CrossRef] [PubMed]
- Yu, Z.; Liang, G.; Kajahn, I.; Schmaljohann, R.; Imhoff, J.F. Scopularides A and B, cyclodepsipeptides from a mrine sponge-derived fungus Scopulariopsis brevicaulis. J. Nat. Prod. 2008, 71, 1052–1054. [Google Scholar] [CrossRef] [PubMed]
- Kralj, A.; Kehraus, S.; Krick, A.; van Echten-Deckert, G.; Konig, G.M. Two new depsipeptides from the marine fungus Spicellum roseum. Planta Med. 2007, 73, 366–371. [Google Scholar] [CrossRef] [PubMed]
- Russell, D.W. Effect of stereoisomeric isoleucines on sporidesmolide biosynthesis by Pithomyces chartarum. J. Gen. Microbiol. 1967, 47, 335–346. [Google Scholar] [CrossRef] [PubMed]
- Bishop, E.; Russell, D.W. Isolation and structure of sporidesmolide IV, a cyclohexadepsipeptide from Pithomyces myadicus. J. Chem. Soc. 1967, 0, 634–638. [Google Scholar]
- Gillis, H.A.; Russell, D.W.; Taylor, A.; Walter, J.A. Isolation and structure of sporidesmolide V from cultures of Pithomyces chartarum. Can. J. Chem. 1990, 68, 19–21. [Google Scholar] [CrossRef]
- Feng, Y.; Blunt, J.W.; Cole, A.L.J.; Cannon, J.F.; Robinson, W.T.; Munro, M.H.G. Two novel cytotoxic cyclodepsipeptides from a mycoparasitic Cladobotryum sp. J. Org. Chem. 2003, 68, 2002–2005. [Google Scholar] [CrossRef] [PubMed]
- Ohshiro, T.; Matsudo, D.; Kazuhiro, T.; Uchida, R.; Nonaka, K.; Masuma, R.; Tomada, H. New verticilides, inhibitors of acyl-CoA: Cholesterol acyltransferase, produced by Verticillium sp. FKI-2679. J. Antibiot. 2012, 65, 255–262. [Google Scholar] [CrossRef] [PubMed]
- Haritakun, R.; Sappan, M.; Suvannakad, R.; Tasanathai, K.; Isaka, M. An antimycobacterial cyclodepsipeptide from the entomopathogenic fungus Ophiocordyceps communis BCC 16475. J. Nat. Prod. 2010, 73, 75–78. [Google Scholar] [CrossRef] [PubMed]
- Ibrahim, S.R.M.; Adbdallah, H.M.; Elkhayat, E.S.; Al Musayeib, N.M.; Asfour, H.Z.; Zayed, M.F.; Mohamed, G.A. Fusaripeptode A: New antifungal and anti-malarial cyclodepsipeptide from the endophytic fungus Fusarium sp. J. Asian Nat. Prod. Res. 2017, 20, 1–11. [Google Scholar] [CrossRef] [PubMed]
- Liang, X.; Nong, X.-H.; Huang, Z.-H.; Qi, S.-H. Antifungal and antiviral cyclic peptides from the deep-sea-derived fungus Simplicillium obclavatum EIODSF 020. J. Agric. Food Chem. 2017, 65, 5114–5121. [Google Scholar] [CrossRef] [PubMed]
- Ishidoh, K.; Kinoshita, H.; Igarashi, Y.; Ihara, F.; Nihira, T. Cyclic lipodepsipeptides verlamelin A and B, isolated from entomopathogenic fungus Lecanicillium sp. J. Antibiot. 2014, 67, 459–463. [Google Scholar] [CrossRef] [PubMed]
- Lu, F.; Daletos, G.; Lin, W.; Proksch, P. Two new cyclic depsipeptides from the endophytic fungus Fusarium sp. Nat. Prod. Commun. 2015, 10, 1667–1670. [Google Scholar]
- Nihei, K.; Itoh, H.; Hashimoto, K.; Miyairi, K.; Okuno, T. Antifungal cyclodepsipeptides, W493 A and B, from Fusarium sp.: Isolation and structural determination. Biosci. Biotechnol. Biochem. 1998, 62, 858–863. [Google Scholar] [CrossRef] [PubMed]
- Hommel, U.; Weber, H.-P.; Oberer, L.; Naegeli, H.U.; Oberhauser, B.; Foster, C.A. The 3D-strucuture of a natural inhibitor of cell adhesion molecule expression. FEBS Lett. 1996, 379, 69–73. [Google Scholar] [CrossRef]
- Kanaoka, M.; Isogai, A.; Murakoshi, S.; Ichinoe, M.; Suzuki, A.; Tamura, S. Bassianolide, a new insecticidal cyclodepsipeptide from Beauveria bassiana and Verticillium lecanii. Agric. Biol. Chem. 1978, 42, 629–635. [Google Scholar] [CrossRef]
- Nakajyo, S.; Shimizu, K.; Kometani, A.; Suzuki, A.; Ozaki, H.; Urakawa, N. On the inhibitory mechanism of bassianolide, a cyclodepsipeptide, in acetylcholine-induced contraction in guinea-pig taenia coli. Jpn. J. Pharmacol. 1983, 33, 573–582. [Google Scholar] [CrossRef] [PubMed]
- Jirakkakul, J.; Punya, J.; Pongpattanakitshote, S.; Paungmoung, P.; Vorapreeda, N.; Tachaleat, A.; Klomnara, C.; Tanticharoen, M.; Cheevadhanarak, S. Identification of the nonribosomal peptide synthetase gene responsible for bassianolide synthesis in wood-decaying fungus Xylaria sp. BCC1067. Microbiology 2008, 154, 995–1006. [Google Scholar] [CrossRef] [PubMed]
- Mun, B.; Park, Y.J.; Sung, G.H.; Lee, Y.; Kim, K.H. Synthesis and antitumor activity of (−)-bassianolide in MDA-MB 231 breast cancer cells through cell cycle arrest. Bioorg. Chem. 2016, 69, 64–70. [Google Scholar] [CrossRef] [PubMed]
- Sasaki, T.; Takagi, M.; Yaguchi, T.; Miyadoh, S.; Okada, T.; Koyama, M. A new anthelmintic cyclodepsipeptide, PF1022A. J. Antibiot. 1992, 45, 692–697. [Google Scholar] [CrossRef] [PubMed]
- Ohyama, M.; Okada, Y.; Takahashi, M.; Sakanaka, O.; Matsumoto, M.; Atsumi, K. Structure-activity relationship of anthelmintic cyclooctadepsipeptides. Biosci. Biotechnol. Biochem. 2011, 75, 1354–1363. [Google Scholar] [CrossRef] [PubMed]
- Kruecken, J.; Harder, A.; Jeschke, P.; Holden-Dye, L.; O’Connor, V.; Welz, C.; Von Samson-Himmelstjerna, G. Anthelmintic cyclooctadepsipeptides: Complex in structure and mode of action. Trends Parasitol. 2012, 28, 385–394. [Google Scholar] [CrossRef] [PubMed]
- Scherkenbeck, J.; Plant, A.; Harder, A.; Mencke, N. A highly efficient synthsis of the anthelmintic cyclooctadepsipeptide PF1022A. Tetrahedron 1995, 51, 8459–8470. [Google Scholar] [CrossRef]
- Weckwerth, W.; Miyamoto, K.; Iinuma, K.; Krause, M.; Glinski, M.; Storm, T.; Bonse, G.; Kleinkauf, H.; Zocher, R. Biosynthesis of PF1022A and related cyclooctadepsipeptide. J. Biol. Chem. 2000, 275, 17909–17915. [Google Scholar] [CrossRef] [PubMed]
- Singh, S.B.; Ondeyka, J.; Harris, G.; Herath, K.; Zink, D.; Vicente, F.; Bills, G.; Collado, J.; Platas, G.; Val, A.G.; et al. Isolation, structure, and biological activity of phaeofungin, a cyclic lipodepsipeptide from a Phaeosphaeria sp. using the genome-wide Candida albicans fitness test. J. Nat. Prod. 2013, 76, 334–345. [Google Scholar] [CrossRef] [PubMed]
- Ueda, K.; Xiao, J.; Doke, N.; Nakatsuka, S. Isolation and structure of BZR-cotoxin IV produced by Bipolaris zeicola race 3, the cause of leaf spot disease in corn. Tetrahedron Lett. 1995, 36, 741–744. [Google Scholar] [CrossRef]
- Ali, L.; Khan, A.L.; Hussain, J.; Al-Harrasi, A.; Waqas, M.; Kang, S.-M.; Al-Rawahi, A.; Lee, I.-J. Sorokiniol: A new enzymes inhibitory metabolite from fungal endophyte Bipolaris sorokiniana LK12. BMC Microbiol. 2016, 16, 103. [Google Scholar] [CrossRef] [PubMed]
- Ishiyama, D.; Sato, T.; Honda, R.; Senda, H.; Konno, H.; Kanazawa, S. Glomosporin, a novel antifungal cyclic depsipeptide from Glomospora sp. II. Structure elucidation. J. Antibiot. 2000, 53, 525–531. [Google Scholar] [CrossRef] [PubMed]
- Sato, T.; Ishiyama, D.; Honda, R.; Senda, H.; Konno, H.; Tokumasu, S.; Kanazawa, S. Glomosporin, a novel antifungal cyclic depsipeptide from Glomospora sp. I. Production, isolation, physicochemical properties and biological activities. J. Antibiot. 2000, 53, 597–602. [Google Scholar] [CrossRef] [PubMed]
- Ding, G.; Chen, A.J.; Lan, J.; Zhang, H.; Chen, X.; Liu, X.; Zou, Z. Sesquiterpenes and cyclopeptides from the endophytic fungus Trichoderma asperellum Samuels, Lieckf & Nirenberg. Chem. Biodivers. 2012, 9, 1205–1212. [Google Scholar] [PubMed]
- Shiomi, K.; Matsui, R.; Kakei, A.; Yamaguchi, Y.; Masuma, R.; Hatano, H.; Arai, N.; Isozaki, M.; Tanaka, H.; Kobayashi, S.; et al. Verticilide, a new ryanodine-binding inhibitor, produced by Verticilium sp. FKI-1033. J. Antibiot. 2010, 63, 77–82. [Google Scholar] [CrossRef] [PubMed]
- Ikai, K.; Takesako, K.; Shiomi, K.; Moriguchi, M.; Umeda, Y.; Yamamoto, J.; Kato, I. Structure of aureobasidin A. J. Antibiot. 1991, 44, 925–933. [Google Scholar] [CrossRef] [PubMed]
- Ikai, K.; Shiomi, K.; Takesako, K.; Mizutani, S.; Yamamoto, J.; Ogawa, Y.; Ueno, M.; Kato, I. Structures of aureobasidins B to R. J. Antibiot. 1991, 44, 1187–1198. [Google Scholar] [CrossRef] [PubMed]
- Yoshikawa, Y.; Ikai, K.; Umeda, Y.; Ogawa, A.; Takesako, K.; Kato, I. Isolation, structures, and antifungal activities of new aureobasidins. J. Antibiot. 1993, 45, 1347–1354. [Google Scholar] [CrossRef]
- Awazu, N.; Ikai, K.; Yamamoto, J.; Nishimura, K.; Mizutani, S.; Takesako, K.; Kato, I. Structures and antifungal activities of new aureobasidins. J. Antibiot. 1995, 48, 525–527. [Google Scholar] [CrossRef] [PubMed]
- Aeed, P.A.; Young, C.L.; Nagiec, M.M.; Elhammer, A.P. Inhibition of inositol phosphrylceramide synthase by the cyclic peptide aureobasidin A. Antimicrob. Agents Chemother. 2009, 53, 496–504. [Google Scholar] [CrossRef] [PubMed]
- Ueda, K.; Xiao, J.; Doke, N.; Nakatsuka, S. Structure of BZR-cotoxin I produced by Bipolaris zeicola race 3, the cause of leaf spot disease in corn. Tetrahedron Lett. 1994, 35, 7033–7036. [Google Scholar] [CrossRef]
- Aoyagi, A.; Yano, T.; Kozuma, S.; Takatsu, T. Pleofungins, novel inositol phosphorylceramide synthase inhibitors, from Phoma sp. SANK 13899. II. Structure elucidaton. J. Antibiot. 2007, 60, 143–152. [Google Scholar] [CrossRef] [PubMed]
- Yano, T.; Aoyagi, A.; Kozuma, S.; Kawamura, Y.; Tanaka, I.; Suzuki, Y.; Takamatsu, Y.; Takatsu, T.; Inukai, M. Pleofungins, novel inositol phosphorylceramide synthase inhibitors, from Phoma sp. SANK 13899. I. Taxonomy, fermentation, isolation, and biological activities. J. Antibiot. 2007, 60, 136–142. [Google Scholar] [CrossRef] [PubMed]
- Liu, X.; Wang, J.; Guo, P.; Mao, C.; Zhu, Z.; Li, H. In vitro inhibition of postharvest pathogens of fruit and control of gray mold of strawberry and green mold of citrus by aureobasidin A. Int. J. Food Microbiol. 2007, 119, 223–229. [Google Scholar] [CrossRef] [PubMed]
- Tan, H.W.; Tay, S.T. The inhibitory effects of aureobasidin A on Candida planktonic and biofilm cells. Mycoses 2013, 56, 150–156. [Google Scholar] [CrossRef] [PubMed]
- Takesako, K.; Ikai, K.; Haruna, F.; Endo, M.; Shimanaka, K.; Sono, E.; Nakamura, T.; Kato, I.; Yamaguchi, H. Aureobasidins, new antifungal antibiotics. Taxonomy, fermentation, isolation, and properties. J. Antibiot. 1991, 44, 919–924. [Google Scholar] [CrossRef] [PubMed]
- Ueda, K.; Xiao, J.; Doke, N.; Nakatsuka, S. Structure of BZR-cotoxin II produced by Bipolaris zeicola race 3, the cause of leaf spot disease in corn. Tetrahedron Lett. 1992, 33, 5377–5380. [Google Scholar] [CrossRef]
- Ueda, K.; Xiao, J.; Doke, N.; Nakatsuka, S. Structure of BZR-cotoxin III produced by Bipolaris zeicola race 3, the cause of leaf spot desease in corn. Nat. Prod. Lett. 1995, 6, 43–48. [Google Scholar] [CrossRef]
- Herath, K.; Harris, G.; Jayasuriya, H.; Zink, D.; Smith, S.; Vicente, F.; Gills, G.; Collado, J.; Gonzalez, A.; Jiang, B.; et al. Isolation, structure and biological activity of phomafungin, a cyclic lipodepsipeptide from a widespread tropical Phoma sp. Bioorg. Med. Chem. 2009, 17, 1361–1369. [Google Scholar] [CrossRef] [PubMed]
- Suzuki, Y.; Ojika, M.; Sakagami, Y.; Kajda, K.; Fudou, R.; Kameyama, T. New cyclic depsipeptide antibiotics, clavariopsin A and B, produced by an aquatic hyphomycetes, Clavariopsis aquatica. 2. Structure analysis. J. Antibiot. 2001, 54, 22–28. [Google Scholar] [CrossRef] [PubMed]
- Kaida, K.; Fudou, R.; Kameyama, T.; Tubaki, K.; Suzuki, Y.; Ojika, M.; Sakagami, Y. New cyclic depsipeptide antibiotics, clavariopsins A and B, produced by an aquatic hyphomycetes, Clavariopsis aquatica. 1. Taxonomy, fermentation, isolation, and biological properties. J. Antibiot. 2001, 54, 17–21. [Google Scholar] [CrossRef] [PubMed]
- Hedge, V.R.; Puar, M.S.; Dai, P.; Pu, H.; Patel, M.; Anthes, J.C.; Richard, C.; Terracciano, J.; Das, P.R.; Gullo, V. A family of depsi-pepitde fungal metabolites, as selective and competitive human tachykinin receptor (NK2) antagonists: Fermentation, isolation, physico-chemical properties, and biological activity. J. Antibiot. 2001, 54, 125–135. [Google Scholar] [PubMed]
- El-Elimat, T.; Raja, H.A.; Day, C.S.; McFeeters, H.; McFeeters, R.L.; Oberlies, N.H. α-Pyrone derivatives, tetra/hexahydroxanthones, and cyclodepsipeptides from two freshwater fungi. Bioorgan. Med. Chem. 2017, 25, 795–804. [Google Scholar] [CrossRef] [PubMed]
- Nakadate, S.; Nozawa, K.; Sato, H.; Horie, H.; Fujii, Y.; Nagai, M.; Hosoe, T.; Kawai, K.; Yaguchi, T. Antifungal cyclic depsipeptide, eujavanicin A, isolated from Eupenicillium javanicum. J. Nat. Prod. 2008, 71, 1640–1642. [Google Scholar] [CrossRef] [PubMed]
- Isaka, M.; Palasarn, S.; Komwijit, S.; Somrithipol, S.; Sommai, S. Pleosportin A, an antimalarial cyclodepsipeptide from an elephant dung fungus (BCC 7069). Tetrahedron Lett. 2014, 55, 469–471. [Google Scholar] [CrossRef]
- Hedge, V.R.; Puar, M.S.; Chan, T.M.; Dai, P.; Das, P.R.; Patel, M. Sch 217048: A novel cyclodepsipeptide with neurokinin antagonist activity. J. Org. Chem. 1998, 63, 9584–9586. [Google Scholar]
- Fujie, A.; Iwamoto, T.; Muramatsu, H.; Okudaira, T.; Nitta, K.; Tomoko, N.; Sakamoto, K.; Hori, Y.; Hino, M.; Hashimoto, S.; et al. FR901469, a novel antifungal antibiotic from an unidentified fungus No. 11243. I. Taxonomy, fermentation, isolation, physico-chemical properties and biological properties. J. Antibiot. 2000, 53, 912–919. [Google Scholar] [CrossRef] [PubMed]
- Lee, K.K.; Gloer, J.B. Petriellin A: A novel antifungal depsipeptide from the coprophilous fungus Petriella sordida. J. Org. Chem. 1995, 60, 5384–5385. [Google Scholar] [CrossRef]
- Abdalla, M.A.; Matasyoh, J.C. Endophytes as producers of peptides: An overview about the recently discovered peptides from endophytic microbes. Nat. Prod. Bioprospect. 2014, 4, 257–270. [Google Scholar] [CrossRef] [PubMed]
- Zhao, J.; Shan, T.; Mou, Y.; Zhou, L. Plant-derived bioactive compounds produced by endophytic fungi. Mini-Rev. Med. Chem. 2011, 11, 159–168. [Google Scholar] [CrossRef] [PubMed]
- El-Hossary, E.M.; Cheng, C.; Hamed, M.M.; Hamed, A.N.E.; Ohlsen, K.; Hentschel, U.; Abdelmohsen, U.R. Antifungal potential of marine natural products. Eur. J. Med. Chem. 2017, 126, 631–651. [Google Scholar] [CrossRef] [PubMed]
- Faulkner, D.J. Highlights of marine natural products chemistry (1972–1999). Nat. Prod. Rep. 2000, 17, 1–6. [Google Scholar] [CrossRef] [PubMed]
- Renaud, J.B.; Kelman, M.J.; McMullin, D.R.; Yeung, K.K.-C.; Sumarah, M.W. Application of C8 liquid chromatography-tandem mass spectrometry for the analysis of enniatins and bassianolides. J. Chromatogr. A. 2017, 1508, 65–72. [Google Scholar] [CrossRef] [PubMed]
- Sussmuth, R.; Muller, J.; von Dohen, H.; Monar, I. Fungal cyclooligomer depsipeptides: From classical biochemistry to combinatorial biosynthesis. Nat. Prod. Rep. 2011, 28, 99–124. [Google Scholar] [CrossRef] [PubMed]
- Zobel, S.; Boecker, S.; Kulke, D.; Heibach, D.; Meyer, V.; Suessmuth, R.D. Reprogramming the biosynthesis of cyclodepsipeptide synthetases to obtain new enniatins and beauvericins. ChemBioChem 2016, 17, 283–287. [Google Scholar] [CrossRef] [PubMed]
- Cavelier, F.; Verducci, J.; Andre, F.; Haraux, F.; Sigalat, C.; Traris, M.; Vey, A. Natural cyclopeptides as leads for novel pesticides: Tentoxin and destruxin. Pestic. Sci. 1998, 52, 81–89. [Google Scholar] [CrossRef]
- Kitagaki, J.; Shi, G.; Miyauchi, S.; Murakami, S.; Yang, Y. Cyclic depsipeptides as potential cancer therapeutics. Anti-Cancer Drug 2015, 26, 259–271. [Google Scholar] [CrossRef] [PubMed]
- Hershenhorn, J.; Casella, F.; Vurro, M. Weed bioconrol with fungi: Past, present and future. Biocontrol Sci. Technol. 2016, 26, 1313–1328. [Google Scholar] [CrossRef]
- Hu, D.X.; Bielitza, M.; Koos, P.; Ley, V.S. A total synthesis of the ammonium ionophore, (−)-enniatin B. Tetrahedron Lett. 2012, 53, 4077–4079. [Google Scholar] [CrossRef]
- Wang, Y.; Zhang, F.; Zhang, Y.; Liu, J.O.; Ma, D. Synthesis and antitumor activity of cyclodepsipeptide zygosporamide and its analogues. Bioorg. Med. Chem. Lett. 2008, 18, 4385–4387. [Google Scholar] [CrossRef] [PubMed]
- Xu, Y.; Orozco, R.; Wijeratne, E.M.K.; Gunatilaka, A.A.L.; Stock, S.P.; Molnar, I. Biosynthesis of the cyclooligomer depsipeptide beauvericin, a virulence factor of the entomopathogenic fungus Beauveria bassiana. Chem. Biol. 2008, 15, 898–907. [Google Scholar] [CrossRef] [PubMed]
- Hornbogen, T.; Glinski, M.; Zocher, R. Biosynthesis of depsipeptide mycotoxins in Fusarium. Eur. J. Plant Pathol. 2002, 108, 713–718. [Google Scholar] [CrossRef]
- Soerensen, J.L.; Sondergaard, T.E.; Covarelli, L.; Fuertes, P.R.; Hansen, F.T.; Frandsen, R.J.N.; Saei, W.; Lukassen, M.B.; Wimmer, R.; Nielsen, K.F.; et al. Identification of the biosynthetic gene clusters for the lipopeptides fusaristatin A and W493 B in Fusarium graminearum and F. pseudograminearum. J. Nat. Prod. 2014, 77, 2619–2625. [Google Scholar] [CrossRef] [PubMed]
- Ishidoh, K.; Kinoshita, H.; Nihira, T. Identification of a gene cluster responsible for the biosynthesis of cyclic lipopeptide verlamelin. Appl. Microbiol. Biotechnol. 2014, 98, 7501–7510. [Google Scholar] [CrossRef] [PubMed]
- Harder, A.; Holden-Dye, L.; Walker, R.; Wunderlich, F. Mechanisms of action of emodepside. Parasitol. Res. 2005, 97, S1–S10. [Google Scholar] [CrossRef] [PubMed]
- Kolf-Clauw, M.; Sassahara, M.; Lucioli, J.; Rubira-Gerez, J.; Alassan-Kpembi, I.; Lyazhri, F.; Borin, C.; Oswald, I.P. The emerging mycotoxin, enniatin B1, down-modulates the gastrointestinal toxicity of T-2 toxin in vitro on intestinal epithelial cells and ex vivo on intestinal explants. Arch. Toxicol. 2013, 87, 2233–2241. [Google Scholar] [CrossRef] [PubMed]
- Devreese, M.; Broekaert, N.; De Mil, T.; Fraeyman, S.; De Backer, P.; Croubels, S. Pilot toxicokinetic study and absolute oral bioavailability of the Fusarium mycotoxin enniatin B1 in pigs. Food Chem. Toxicol. 2014, 63, 161–165. [Google Scholar] [CrossRef] [PubMed]
- Taevernier, L.; Detroyer, S.; Veryser, L.; De Spiegeleer, B. Enniatin-containing solutions for oromucosal use: Quality-by-design ex-vivo transmucosal risk assessment of composition variability. Int. J. Pharm. 2015, 491, 144–151. [Google Scholar] [CrossRef] [PubMed]
- Baltz, R.H. Combinatorial biosynthesis of cyclic lipopeptide antibiotics: A mode for synthetic biology to accelerate the evolution of secondary metabolite biosynthetic pathways. ACS Synth. Biol. 2014, 3, 748–758. [Google Scholar] [CrossRef] [PubMed]
© 2018 by the authors. Licensee MDPI, Basel, Switzerland. This article is an open access article distributed under the terms and conditions of the Creative Commons Attribution (CC BY) license (http://creativecommons.org/licenses/by/4.0/).




















