Development of Antimicrobial Packaging Film Made from Poly(Lactic Acid) Incorporating Titanium Dioxide and Silver Nanoparticles
Abstract
:1. Introduction
2. Materials and Methods
2.1. Materials
2.2. Preparation of Films
2.3. Water Vapor Permeability
2.4. Mechanical Properties
2.5. Color
2.6. Film Microstructure
2.7. FTIR Analysis
2.8. Differential Scanning Calorimetry (DSC)
2.9. Thermogravimetric Analysis (TGA)
2.10. Antimicrobial Activity
2.11. Migration Test
2.11.1. Food Simulants
2.11.2. ICP-AES Analysis
2.12. Statistical Analysis
3. Results and Discussion
3.1. WVP
3.2. Mechanical Properties
3.3. Color
3.4. Film Microstructure
3.5. FTIR
3.6. Differential Scanning Calorimetry (DSC)
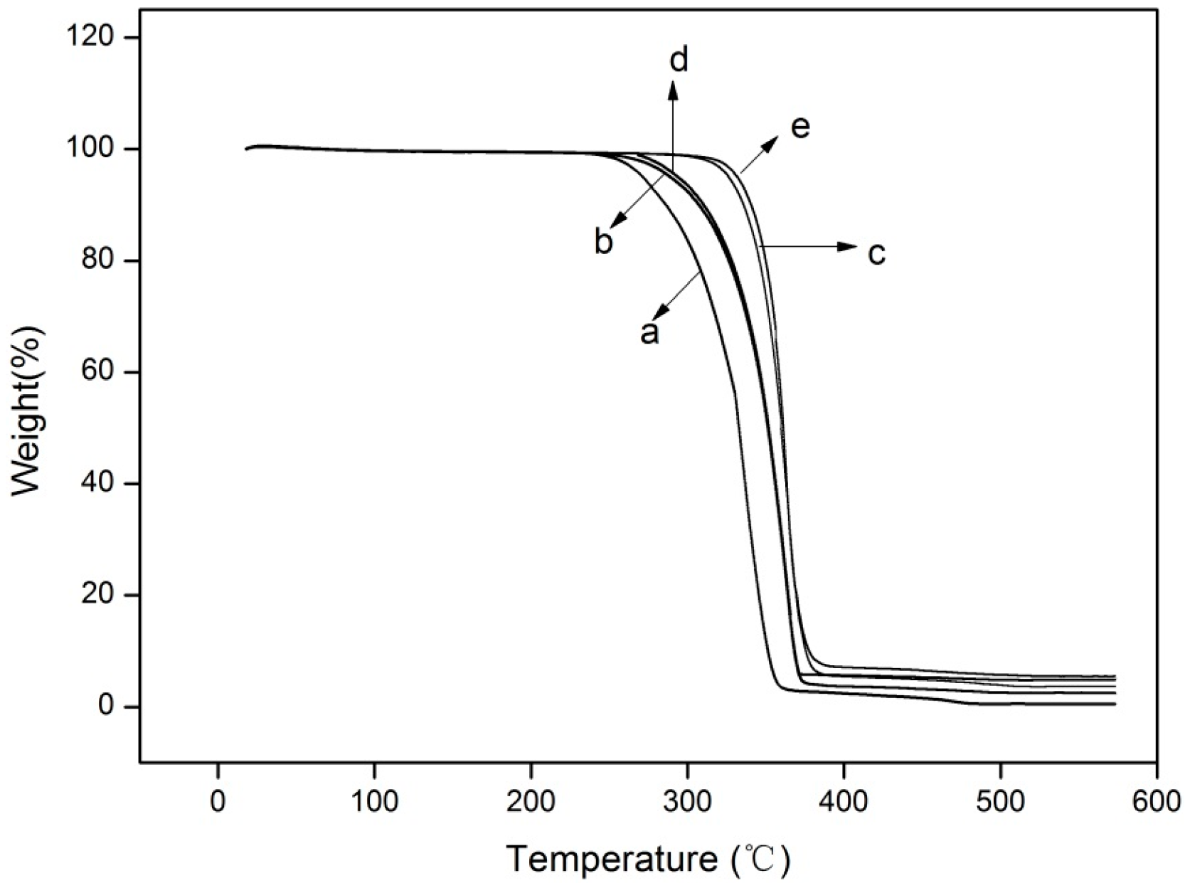
3.7. Thermogravimetric Analysis (TGA)
3.8. Antimicrobial Activity
3.9. Migration Test
4. Conclusions
Acknowledgments
Author Contributions
Conflicts of Interest
References
- Sirisinha, K.; Somboon, W. Melt characteristics, mechanical, and thermal properties of blown film from modified blends of poly(butylene adipate-co-terephthalate) and poly(lactide). J. Appl. Polym. Sci. 2012, 124, 4986–4992. [Google Scholar] [CrossRef]
- Friesen, K.; Chang, C.; Nickerson, M. Incorporation of phenolic compounds, rutin and epicatechin, into soy protein isolate films: mechanical, barrier and cross-linking properties. Food Chem. 2015, 172, 18–23. [Google Scholar] [CrossRef] [PubMed]
- Vert, M.; Schwarch, G.; Coudane, J. Present and Future of PLA Polymers. J. Macromol. Sci. 2006, 32, 787–796. [Google Scholar] [CrossRef]
- Bajpai, P.K.; Singh, I.; Madaan, J. Tribological behavior of natural fiber reinforced PLA composites. Wear 2013, 297, 829–840. [Google Scholar] [CrossRef]
- Au, H.T.; Pham, L.N.; Vu, T.H.T.; Park, J.S. Fabrication of an antibacterial non-woven mat of a poly(lactic acid)/chitosan blend by electrospinning. Macromol. Res. 2012, 20, 51–58. [Google Scholar] [CrossRef]
- Ahmed, J.; Varshney, S.K.; Auras, R.; Hwang, S.W. Thermal and Rheological Properties of l-Polylactide/Polyethylene Glycol/Silicate Nanocomposites Films. J. Food Sci. 2010, 75, N97–N108. [Google Scholar] [CrossRef] [PubMed]
- Dočekal, B.; Vojtková, B. Determination of trace impurities in titanium dioxide by direct solid sampling electrothermal atomic absorption spectrometry. Spectrochim. Acta Part B At. Spectrosc. 2007, 62, 304–308. [Google Scholar] [CrossRef]
- Gumiero, M.; Peressini, D.; Pizzariello, A.; Sensidoni, A.; Iacumin, L.; Comi, G.; Toniolo, R. Effect of TiO2 photocatalytic activity in a HDPE-based food packaging on the structural and microbiological stability of a short-ripened cheese. Food Chem. 2013, 138, 1633–1640. [Google Scholar] [CrossRef] [PubMed]
- Allodi, V.; Brutti, S.; Giarola, M.; Sgambetterra, M.; Navarra, M.A.; Panero, S.; Mariotto, G. Structural and Spectroscopic Characterization of A Nanosized Sulfated TiO2 Filler and of Nanocomposite Nafion Membranes. Polymers 2016, 8, 68. [Google Scholar] [CrossRef]
- Jiang, T.; Feng, L.; Wang, Y. Effect of alginate/nano-Ag coating on microbial and physicochemical characteristics of shiitake mushroom (Lentinus edodes) during cold storage. Food Chem. 2013, 141, 954–960. [Google Scholar] [CrossRef] [PubMed]
- Azlin-Hasim, S.; Cruz-Romero, M.C.; Ghoshal, T.; Morris, M.A.; Cummins, E.; Kerry, J.P. Application of silver nanodots for potential use in antimicrobial packaging applications. Innov. Food Sci. Emerg. Technol. 2015, 27, 136–143. [Google Scholar] [CrossRef]
- Fan, J.; Chu, Z.; Li, L.; Zhao, T.; Yin, M.; Qin, Y. Physicochemical Properties and Microbial Quality of Tremella aurantialba Packed in Antimicrobial Composite Films. Molecules 2017, 22, 500. [Google Scholar] [CrossRef] [PubMed]
- Dilek, B.; Yasemin Bakircioglu, K.; Gokhan, U. Determination of some traces metal levels in cheese samples packaged in plastic and tin containers by ICP-OES after dry, wet and microwave digestion. Food Chem. Toxicol. 2011, 49, 202–207. [Google Scholar]
- Mol, S. Determination of trace metals in canned anchovies and canned rainbow trouts. Food Chem. Toxicol. 2011, 49, 348–351. [Google Scholar] [CrossRef] [PubMed]
- Bott, J.; Störmer, A.; Franz, R. A model study into the migration potential of nanoparticles from plastics nanocomposites for food contact. Food Packag. Shelf Life 2014, 2, 73–80. [Google Scholar] [CrossRef]
- Qin, Y.; Li, W.; Liu, D.; Yuan, M.; Li, L. Development of active packaging film made from poly (lactic acid) incorporated essential oil. Prog. Org. Coat. 2016, 103, 76–82. [Google Scholar] [CrossRef]
- Rhim, J.W. Effect of PLA lamination on performance characteristics of agar/κ-carrageenan/clay bio-nanocomposite film. Food Res. Int. 2013, 51, 714–722. [Google Scholar] [CrossRef]
- He, L.; Mu, C.; Shi, J.; Zhang, Q.; Shi, B.; Lin, W. Modification of collagen with a natural cross-linker, procyanidin. Int. J. Biol. Macromol. 2011, 48, 354–359. [Google Scholar] [CrossRef] [PubMed]
- Liu, D.; Li, H.; Jiang, L.; Chuan, Y.; Yuan, M.; Chen, H. Characterization of Active Packaging Films Made from Poly (Lactic Acid)/Poly (Trimethylene Carbonate) Incorporated with Oregano Essential Oil. Molecules 2016, 21, 695. [Google Scholar] [CrossRef] [PubMed]
- Jain, S.; Reddy, M.M.; Mohanty, A.K.; Misra, M.; Ghosh, A.K. A New Biodegradable Flexible Composite Sheet from Poly(lactic acid)/Poly(ε-caprolactone) Blends and Micro-Talc. Macromol. Mater. Eng. 2010, 295, 750–762. [Google Scholar] [CrossRef]
- Simões, C.L.; Viana, J.C.; Cunha, A.M. Mechanical properties of poly(ε-caprolactone) and poly(lactic acid) blends. J. Appl. Polym. Sci. 2009, 112, 345–352. [Google Scholar] [CrossRef]
- Qin, Y.; Yang, J.; Xue, J. Characterization of antimicrobial poly(lactic acid)/poly(trimethylene carbonate) films with cinnamaldehyde. J. Mater. Sci. 2015, 50, 1150–1158. [Google Scholar] [CrossRef]
- Council Directive 85/572/EEC. Council Directive of 19 December 1985 laying down the list of simulants to be used for testing migration of constituents of plastic materials and articles intended to come into contact with foodstuffs. Off. J. Eur. Communities 1985, L372, 14–21. [Google Scholar]
- Lin, Q.B.; Li, H.; Zhong, H.N.; Zhao, Q.; Xiao, D.H.; Wang, Z.W. Migration of Ti from nano-TiO2 -polyethylene composite packaging into food simulants. Food Addit. Contam. Part A 2014, 31, 1284–1290. [Google Scholar] [CrossRef] [PubMed]
- Arrieta, M.P.; López, J.; Ferrándiz, S.; Peltzer, M.A. Characterization of PLA-limonene blends for food packaging applications. Polym. Test. 2013, 32, 760–768. [Google Scholar] [CrossRef]
- Mukurumbira, A.R.; Mellem, J.J.; Amonsou, E.O. Effects of madumbe starch nanocrystals on the physicochemical properties of starch biocomposite films. Carbohydr. Polym. 2017, 165, 142–148. [Google Scholar] [CrossRef] [PubMed]
- Choudalakis, G.A.; Gotsis, A.D. Permeability of Polymer/Clay Nanocomposites. Eur. Polym. J. 2009, 45, 967–984. [Google Scholar] [CrossRef]
- Tantekin-Ersolmaz, Ş.B.; Atalay-Oral, Ç.; Tatlıer, M.; Erdem-Şenatalar, A.; Schoeman, B.; Sterte, J. Effect of zeolite particle size on the performance of polymer–zeolite mixed matrix membranes. J. Membr. Sci. 2000, 175, 285–288. [Google Scholar] [CrossRef]
- Liu, S.; Cai, P.; Li, X.; Chen, L.; Li, L.; Li, B. Effect of film multi-scale structure on the water vapor permeability in hydroxypropyl starch (HPS)/Na-MMT nanocomposites. Carbohydr. Polym. 2016, 154, 186. [Google Scholar] [CrossRef] [PubMed]
- Lizundia, E.; Vilas, J.L.; Sangroniz, A.; Etxeberria, A. Light and gas barrier properties of PLLA/metallic nanoparticles composite films. Eur. Polym. J. 2017, 91, 10–20. [Google Scholar] [CrossRef]
- Fortunati, E.; Rinaldi, S.; Peltzer, M.; Bloise, N.; Visai, L.; Armentano, I.; Jiménez, A.; Latterini, L.; Kenny, J.M. Nano-biocomposite films with modified cellulose nanocrystals and synthesized silver nanoparticles. Carbohydr. Polym. 2014, 101, 1122–1133. [Google Scholar] [CrossRef] [PubMed]
- Fakhreddin, H.S.; Rezaei, M.; Zandi, M.; Ghavi, F.F. Preparation and functional properties of fish gelatin-chitosan blend edible films. Food Chem. 2013, 136, 1490. [Google Scholar]
- Li, H.; Wan, J.; Dang, W.H. Preparation and Characterization of Nano-TiO2/PE Antibacterial Films. Adv. Mater. Res. 2011, 284–286, 1790–1793. [Google Scholar] [CrossRef]
- Chrissafis, K.; Paraskevopoulos, K.M.; Tsiaoussis, I.; Bikiaris, D. Comparative study of the effect of different nanoparticles on the mechanical properties, permeability, and thermal degradation mechanism of HDPE. J. Appl. Polym. Sci. 2009, 114, 1606–1618. [Google Scholar] [CrossRef]
- Kontou, E.; Niaounakis, M. Thermo-mechanical properties of LLDPE/SiO2 nanocomposites. Polymer 2006, 47, 1267–1280. [Google Scholar] [CrossRef]
- Panaitescu, D.M.; Radovici, C.; Ghiurea, M.; Paven, H.; Iorga, M.D. Influence of Rutile and Anatase TiO2 Nanoparticles on Polyethylene Properties. Polym. Plast. Technol. Eng. 2011, 50, 196–202. [Google Scholar] [CrossRef]
- Rhim, J.W.; Wang, L.F.; Hong, S.I. Preparation and characterization of agar/silver nanoparticles composite films with antimicrobial activity. Food Hydrocoll. 2013, 33, 327–335. [Google Scholar] [CrossRef]
- Rong, Z.; Min, Z.R.; Ming, Q.Z.; Hai, C.L.; Han, M.Z. Interfacial interaction in Ag/polymer nanocomposite films. J. Mater. Sci. Lett. 2001, 20, 1473–1476. [Google Scholar]
- Zhang, Q.; Li, D.; Zhang, H.; Su, G.; Li, G. Preparation and properties of poly(lactic acid)/sesbania gum/nano-TiO2 composites. Polym. Bull. 2017, 42, 1–13. [Google Scholar] [CrossRef]
- Doganay, D.; Coskun, S.; Kaynak, C.; Unalan, H.E. Electrical, mechanical and thermal properties of aligned silver nanowire/polylactide nanocomposite films. Compos. Part B Eng. 2016, 99, 288–296. [Google Scholar] [CrossRef]
- Zhang, W.X.; Zhang, Q.; Gong, X.H.; Jiang, J.X.; Wang, X.T.; Liu, J.N. Synthesis and characterization of PMMA/CdSe nanocomposites parpared by in situ bulk polymerization. J. Wuhan Inst. Technol. 2012, 34, 56–58. [Google Scholar]
- Zhang, C.; Cai, X.; Wang, F. Preparation and evaluation of the self-cleaning poly (lactic acid)(PLA) film blended with Titanium dioxide (TiO2) nano particles/Prepararea si evaluarea peliculelor de acid poli (lactic)(PLA) cu functie de autocuratare în amestec cu nanoparticule de dioxid de titan (TiO2). Ind. Text. 2016, 67, 121. [Google Scholar]
- Luo, Y.B.; Li, W.D.; Wang, X.L.; Xu, D.Y.; Wang, Y.Z. Preparation and properties of nanocomposites based on poly(lactic acid) and functionalized TiO2. Acta Mater. 2009, 57, 3182–3191. [Google Scholar] [CrossRef]
- Yan, S.; Yin, J.; Yang, Y.; Dai, Z.; Ma, J.; Chen, X. Surface-grafted silica linked with l -lactic acid oligomer: A novel nanofiller to improve the performance of biodegradable poly(l-lactide). Polymer 2007, 48, 1688–1694. [Google Scholar] [CrossRef]
- Cortes, L.Q.; Lonjon, A.; Dantras, E.; Lacabanne, C. High-performance thermoplastic composites poly(ether ketone ketone)/silver nanowires: Morphological, mechanical and electrical properties. J. Non-Cryst. Solids 2014, 391, 106–111. [Google Scholar] [CrossRef]
- Buzarovska, A.; Grozdanov, A. Biodegradable poly(l-lactic acid)/TiO2 nanocomposites: Thermal properties and degradation. J. Appl. Polym. Sci. 2011, 123, 2187–2193. [Google Scholar] [CrossRef]
- Fei, P.; Fei, B.; Yu, Y.; Xiong, H.; Tan, J. Thermal properties and crystallization behavior of bamboo fiber/high-density polyethylene composites: Nano-TiO2 effects. J. Appl. Polym. Sci. 2013, 131, 1082–1090. [Google Scholar] [CrossRef]
- Pascual, A.M.D.; Diez-Vicente, A.L. Effect of TiO2 nanoparticles on the performance of polyphenylsulfone biomaterial for orthopaedic implants. J. Mater. Chem. B 2014, 2, 7502–7514. [Google Scholar] [CrossRef]
- Lian, Z.; Zhang, Y.; Zhao, Y. Nano-TiO2 particles and high hydrostatic pressure treatment for improving functionality of polyvinyl alcohol and chitosan composite films and nano-TiO2 migration from film matrix in food simulants. Innov. Food Sci. Emerg. Technol. 2016, 33, 145–153. [Google Scholar] [CrossRef]
- Tsou, C.-H.; Yao, W.-H.; Lu, Y.-C.; Tsou, C.-Y.; Wu, C.-S.; Chen, J.; Wang, R.Y.; Su, C.; Hung, W.-S.; De Guzman, M. Antibacterial Property and Cytotoxicity of a Poly (lactic acid)/Nanosilver-Doped Multiwall Carbon Nanotube Nanocomposite. Polymers 2017, 9, 100. [Google Scholar] [CrossRef]
- Girdthep, S.; Worajittiphon, P.; Molloy, R.; Lumyong, S.; Leejarkpai, T.; Punyodom, W. Biodegradable nanocomposite blown films based on poly(lactic acid) containing silver-loaded kaolinite: A route to controlling moisture barrier property and silver ion release with a prediction of extended shelf life of dried longan. Polymer 2014, 55, 6776–6788. [Google Scholar] [CrossRef]
- Conte, A.; Longano, D.; Costa, C.; Ditaranto, N.; Ancona, A.; Cioffi, N.; Scrocco, C.; Sabbatini, L.; Contò, F.; Nobile, M.A.D. A novel preservation technique applied to fiordilatte cheese. Innov. Food Sci. Emerg. Technol. 2013, 19, 158–165. [Google Scholar] [CrossRef]
- Song, H.; Li, B.; Lin, Q.-B.; Wu, H.-J.; Chen, Y. Migration of silver from nanosilver–polyethylene composite packaging into food simulants. Food Addit. Contam. 2011, 28, 1758–1762. [Google Scholar] [CrossRef] [PubMed]
- European Commission. Commission Regulation (EU) No 10/2011/EC of 14 January 2011 on Plastic Materials and Articles Intended to Come into Contact with Food; European Commission: Brussels, Belgium, 2011. [Google Scholar]
Sample Availability: Samples of the compounds are not available from the authors. |








| Sample | Elastic Modulus (MPa) | Elongation of Break (%) | Tensile Strength (MPa) |
|---|---|---|---|
| PLA/Ti1% | 3381.82 ± 26.57 b | 42.54 ± 2.38 ab | 11.43 ± 1.51 b |
| PLA/Ti5% | 3754.56 ± 132.15 c | 46.94 ± 3.64 ab | 5.73 ± 1.17 a |
| PLA/Ti1%/Ag | 3375.24 ± 131.50 b | 49.57 ± 3.84 b | 11.66 ± 3.17 b |
| PLA/Ti5%/Ag | 3554.96 ± 64.43 ab | 60.05 ± 7.05 c | 9.69 ± 3.58 ab |
| PLA | 3027.53 ± 176.41 a | 40.36 ± 1.74 a | 15.16 ± 8.89 c |
| Sample | L* | a* | b* | Opacity |
|---|---|---|---|---|
| PLA/Ti1% | 62.49 ± 0.40 d | −1.19 ± 0.39 a | −4.42 ± 0.41 b | 3.43 ± 0.05 b |
| PLA/Ti5% | 79.64 ± 0.27 e | −1.00 ± 0.11 b | −5.39 ± 0.26 a | 6.58 ± 0.08 d |
| PLA/Ti1%/Ag | 55.52 ± 0.40 b | −0.20 ± 0.17 c | −2.41 ± 0.29 d | 4.57 ± 0.04 c |
| PLA/Ti5%/Ag | 61.55 ± 0.29 c | −0.76 ± 0.07 b | −3.37 ± 0.10 c | 7.31 ± 0.04 e |
| PLA | 52.53 ± 0.29 a | −1.46 ± 0.06 a | −0.73 ± 0.12 e | 1.60 ± 0.03 a |
| Sample | Tg (°C) | Tc (°C) | Tm (°C) | Xc (%) |
|---|---|---|---|---|
| PLA/Ti1% | 58.4 | 110.9 | 160.5 | 16.5 |
| PLA/Ti5% | 58.6 | 113.5 | 160.6 | 19.9 |
| PLA/Ti1%/Ag | 58.0 | 109.3 | 160.0 | 17.9 |
| PLA/Ti5%/Ag | 58.4 | 110.7 | 160.8 | 18.2 |
| PLA | 58.1 | 125.8 | 160.2 | 11.6 |
© 2017 by the authors. Licensee MDPI, Basel, Switzerland. This article is an open access article distributed under the terms and conditions of the Creative Commons Attribution (CC BY) license (http://creativecommons.org/licenses/by/4.0/).
Share and Cite
Li, W.; Zhang, C.; Chi, H.; Li, L.; Lan, T.; Han, P.; Chen, H.; Qin, Y. Development of Antimicrobial Packaging Film Made from Poly(Lactic Acid) Incorporating Titanium Dioxide and Silver Nanoparticles. Molecules 2017, 22, 1170. https://doi.org/10.3390/molecules22071170
Li W, Zhang C, Chi H, Li L, Lan T, Han P, Chen H, Qin Y. Development of Antimicrobial Packaging Film Made from Poly(Lactic Acid) Incorporating Titanium Dioxide and Silver Nanoparticles. Molecules. 2017; 22(7):1170. https://doi.org/10.3390/molecules22071170
Chicago/Turabian StyleLi, Wenhui, Cheng Zhang, Hai Chi, Lin Li, Tianqing Lan, Peng Han, Haiyan Chen, and Yuyue Qin. 2017. "Development of Antimicrobial Packaging Film Made from Poly(Lactic Acid) Incorporating Titanium Dioxide and Silver Nanoparticles" Molecules 22, no. 7: 1170. https://doi.org/10.3390/molecules22071170
APA StyleLi, W., Zhang, C., Chi, H., Li, L., Lan, T., Han, P., Chen, H., & Qin, Y. (2017). Development of Antimicrobial Packaging Film Made from Poly(Lactic Acid) Incorporating Titanium Dioxide and Silver Nanoparticles. Molecules, 22(7), 1170. https://doi.org/10.3390/molecules22071170

