A Simple Defined Medium for the Production of True Diketopiperazines in Xylella fastidiosa and Their Identification by Ultra-Fast Liquid Chromatography-Electrospray Ionization Ion Trap Mass Spectrometry
Abstract
:1. Introduction
2. Results
2.1. GC/MS Profiles of Hexane Fractions from X. fastidiosa 9a5c Culture Pellet and Supernatants Grown in PW Medium
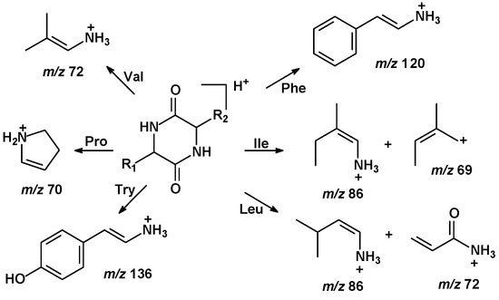
2.2. UFLC-MS/MS Profiles of Fraction from X. fastidiosa 9a5c Grown in XFM Medium
3. Discussion
4. Materials and Methods
4.1. Bacterial Strain
4.2. Preparation of X. fastidiosa Samples Grown in PW Medium for GC-MS Analysis
4.3. Preparation of X. fastidiosa Samples 9a5c Grown in XFM Medium for UFLC-MS/MS and GC-MS Analysis
4.3.1. UFLC-MS Parameters
4.3.2. GC-MS of Culture Pellet Residue from X. fastidiosa 9a5c Grown in XFM Medium
5. Conclusions
Supplementary Materials
Acknowledgments
Author Contributions
Conflicts of Interest
References
- Souza, A.A.; Takita, M.A.; Coletta-Filho, H.D.; Caldana, C.; Yanai, G.M.; Muto, N.H.; Oliveira, R.C.; Nunes, L.R.; Machado, M.A. Gene expression profile of the plant pathogen Xylella fastidiosa during biofilm formation in vitro. FEMS Microbiol. Lett. 2004, 237, 341–353. [Google Scholar] [CrossRef] [PubMed]
- Simpson, A.J.G.; Reinach, F.C.; Arruda, P.F.; Abreu, A.; Acencio, M.; Alvarenga, R.; Alves, L.M.C.; Araya, J.E.; Baia, G.S.; Baptista, C.S.; et al. The genome sequence of the plant pathogen Xylella fastidiosa. Nature 2000, 406, 151–159. [Google Scholar] [PubMed]
- Whitehead, N.A.; Barnard, A.M.L.; Slater, H.; Simpson, N.J.L.; Salmond, G.P.C. Quorum-sensing in Gram-negative bacteria. FEMS Microbiol. Rev. 2001, 25, 365–404. [Google Scholar] [CrossRef] [PubMed]
- Wang, L.H.; He, Y.; Gao, Y.; Wu, J.E.; Dong, Y.H.; He, C.; Wang, S.H.; Weng, L.X.; Xu, J.L.; Tay, L.; et al. A bacterial cell-cell communication signal with cross-kingdom structural analogues. Mol. Microbiol. 2004, 51, 903–912. [Google Scholar] [CrossRef] [PubMed]
- Simionato, A.V.C.; Carrilho, E.; Silva, D.S.; Lambais, M.R. Characterization of a putative Xylella fastidiosa diffusible signal factor by HRGC-EI-MS. J. Mass Spectrom. 2007, 42, 1375–1381. [Google Scholar] [CrossRef] [PubMed]
- Beaulieu, E.D.; Ionescu, M.; Chatterjee, S.; Yokota, K.; Trauner, D.; Lindow, S. Characterization of a diffusible signaling factor from Xylella fastidiosa. mBio 2013, 4, e00539-12. [Google Scholar] [CrossRef] [PubMed]
- Ionescu, M.; Baccari, C.; da Silva, A.M.; Garcia, A.; Yokota, K.; Lindow, S.E. Diffusible signal factor (DSF) synthase RpfF of Xylella fastidiosa is a multifunction protein also required for response to DSF. J. Bacteriol. 2013, 195, 5273–5284. [Google Scholar] [CrossRef] [PubMed]
- Ionescu, M.; Yokota, K.; Antonova, E.; Garcia, A.; Beaulieu, E.; Hayes, T.; Iavarone, A.T.; Lindowa, S.E. Promiscuous Diffusible Signal Factor Production and Responsiveness of the Xylella fastidiosa Rpf System. mBio 2016, 7, e01054-16. [Google Scholar] [CrossRef] [PubMed]
- Soares, M.S.; da Silva, D.F.; Forim, M.R.; da Silva, M.F.G.F.; Fernandes, J.B.; Vieira, P.C.; Silva, D.B.; Lopes, N.P.; de Carvalho, S.A.; de Souza, A.A.; et al. Quantification and localization of hesperidin and rutin in Citrus sinensis grafted on C. limonia after Xylella fastidiosa infection by HPLC-UV and MALDI imaging mass spectrometry. Phytochemistry 2015, 115, 161–170. [Google Scholar] [CrossRef] [PubMed]
- Christie, W.W. Mass Spectra of Methyl Esters of Fatty Acids: Part 1. Normal Saturated Fatty Acids and Part 2. Branched-Chain Fatty Acids. 2013. Available online: http://www.lipidhome.co.uk/ms/methesters/me-0db/index.htm (accessed on 15 December 2016).
- Wang, J.-H.; Quan, C.-S.; Qi, X.-H.; Li, X.; Fan, S.-D. Determination of diketopiperazines of Burkholderia cepacia CF-66 by gas chromatography–mass spectrometry. Anal. Bioanal. Chem. 2010, 396, 1773–1779. [Google Scholar] [CrossRef] [PubMed]
- Gu, B.; He, S.; Yan, X.; Zhang, L. Tentative biosynthetic pathways of some microbial diketopiperazines. Appl. Microbiol. Biotechnol. 2013, 97, 8439–8453. [Google Scholar] [CrossRef] [PubMed]
- Xing, J.; Yang, Z.; Lv, B.; Xiang, L. Rapid screening for cyclo-dopa and diketopiperazine alkaloids in crude extracts of Portulaca oleracea L. using liquid chromatography/tandem mass spectrometry. Rapid Commun. Mass Spectrom. 2008, 22, 1415–1422. [Google Scholar] [CrossRef] [PubMed]
- Ryan, L.A.M.; dal Bello, F.; Arendt, E.K.; Koehler, P. Detection and quantitation of 2,5 diketopiperazines in wheat sourdough and bread. J. Agric. Food Chem. 2009, 57, 9563–9568. [Google Scholar] [CrossRef] [PubMed]
- Sobolevskaya, M.P.; Denisenko, V.A.; Fotso, S.; Laach, H.; Menzorova, N.I.; Sibirtsev, Y.T.; Kuznetsova, T.A. Biologically active metabolites of the actinobacterium Streptomyces sp. GW 33/1593. Russ. Chem. Bull. 2008, 57, 665–668. [Google Scholar] [CrossRef]
- Stark, T.; Hofmann, T. Structures, Sensory Activity, and Dose/Response Functions of 2,5-Diketopiperazines in Roasted Cocoa Nibs (Theobroma cacao). J. Agric. Food Chem. 2005, 53, 7222–7231. [Google Scholar] [CrossRef] [PubMed]
- Rudi, A.; Kashman, Y.; Benayahu, Y.; Schleyer, M. Amino Acid Derivatives from the Marine Sponge Jaspis digonoxea. J. Nat. Prod. 1994, 57, 829–832. [Google Scholar] [CrossRef] [PubMed]
- Chen, Y.-H.; Liou, S.-E.; Chen, C.-C. Two-step mass spectrometric approach for the identification of diketopiperazines in chicken essence. Eur. Food Res. Technol. 2004, 218, 589–597. [Google Scholar] [CrossRef]
- Furukawa, T.; Akutagawa, T.; Funatani, H.; Uchida, T.; Hotta, Y.; Niwa, M.; Takaya, Y. Cyclic dipeptides exhibit potency for scavenging radicals. Bioorgan. Med. Chem. 2012, 20, 2002–2009. [Google Scholar] [CrossRef] [PubMed]
- Wang, N.; Cui, C.-B.; Li, C.-W. A new cyclic dipeptide penicimutide: The activated production of cyclic dipeptides by introduction of neomycin-resistance in the marine-derived fungus Penicillium purpurogenum G59. Arch. Pharm. Res. 2016, 39, 762–770. [Google Scholar] [CrossRef] [PubMed]
- Guo, Y.-C.; Cao, S.-X.; Zong, X.-K.; Liao, X.-C.; Zhao, Y.-F. ESI-MSn study on the fragmentation of protonated cyclic-dipeptides. Spectroscopy 2009, 23, 131–139. [Google Scholar] [CrossRef]
- Walzel, B.; Riederer, B.; Keller, U. Mechanism of alkaloid cyclopeptide synthesis in the ergot fungus Claviceps purpurea. Chem. Biol. 1997, 4, 223–230. [Google Scholar] [CrossRef]
- Lautru, S.; Gondry, M.; Genet, R.; Pernodet, J.L. The albonoursin gene cluster of S. noursei: Biosynthesis of diketopiperazine metabolites independent of nonribosomal peptide synthetases. Chem. Biol. 2002, 9, 1355–1364. [Google Scholar] [CrossRef]
- Degrassi, G.; Aguilar, C.; Bosco, M.; Zahariev, S.; Pongor, S.; Ventui, V. Plant growth-promoting Pseudomonas putida WCS358 produces and secretes four cyclic dipeptides: Cross-talk with quorum sensing bacteria sensors. Curr. Microbiol. 2002, 45, 250–254. [Google Scholar] [CrossRef] [PubMed]
- Holden, M.T.G.; Chhabra, S.R.; Denys, R.; Stead, P.; Bainton, N.J.; Hill, J.P.; Manefield, M.; Kumar, N.; Labatte, M.; England, D.; et al. Quorum sensing cross talk: Isolation and chemical characterization of cyclic dipeptides from Pseudomonas aeruginosa and other Gram-negative bacteria. Mol. Microbiol. 1999, 33, 1254–1266. [Google Scholar] [CrossRef] [PubMed]
- Barnard, A.M.L.; Salmond, G.P.C. Quorum sensing: The complexities of chemical communication between bacteria. Complexus 2004, 5, 87–101. [Google Scholar] [CrossRef]
- Davis, M.J.; French, W.J.; Schaad, N.W. Axenic culture of the bacteria associated with phony disease of peach and plum scald. Curr. Microbiol. 1981, 6, 309–314. [Google Scholar] [CrossRef]
- Marques, L.L.R.; Ceri, H.; Manfio, G.P.; Reid, D.M.; Olson, M.E. Characterization of biofilm formation by Xylella fastidiosa in vitro. Plant Dis. 2002, 86, 633–638. [Google Scholar] [CrossRef]
- Van den Dool, H.; Kratz, P.D. A generalization of the retention index system including linear temperature programmed gas-liquid partition chromatography. J. Chromatogr. A 1963, 11, 463–471. [Google Scholar] [CrossRef]
- Adams, R.P. Identification of Essential Oil Components by Gas Chromatography/Mass Spectrometry, 4th ed.; Allured Publishing Corporation: Carol Stream, IL, USA, 2007. [Google Scholar]
- Hill, B.L.; Purcell, A.H. Multiplication and movement of Xylella fastidiosa within grapevine and four other plants. Phytopathology 1995, 85, 1368–1372. [Google Scholar] [CrossRef]
- Killiny, N.; Almeida, R.P.P. Host structural carbohydrate induces vector transmission of a bacterial plant pathogen. Proc. Natl. Acad. Sci. USA 2009, 106, 22416–22420. [Google Scholar] [CrossRef] [PubMed]
- Hopkins, D.L.; Adlerz, W.C. Natural hosts of Xylella fastidiosa in Florida. Plant Dis. 1988, 72, 429–431. [Google Scholar] [CrossRef]
Sample Availability: Samples of the compounds are not available from the authors. |




| Structural Isomers/Stereoisomers | Rt ** (min) | M.W. * | m/z (%) Ions | Reference |
|---|---|---|---|---|
| 1 Pro-Tyr | ||||
| cyclo(Pro-Tyr) | 2.4 | 261 | 233(100); 181(69); 63(8); 136(7) | [14,15,16,17] |
| cyclo(Pro-Tyr) | 4.3 | 261 | 233(96); 216(11); 197(17); 155(12); 147(20); 136(100); 119(4) | [14,15,16,17,18] |
| 2 Leu-Phe | ||||
| 3 Ile-Phe | ||||
| cyclo(Leu-Phe) | 5.6 | 261 | 243(35); 233(100); 215(99); 187(23); 170(8); 120(84); 103(4); 86(21) | [13,14,16,18,19] |
| cyclo(Ile-Phe) | ||||
| cyclo(Leu-Phe) | 6.1 | 261 | 243(100); 233(57); 216(11); 188 (8); 131(7); 120(89); 86 (39) | [13,14,16,18,19] |
| cyclo(Ile-Phe) | ||||
| cyclo(Leu-Phe) | 11.0 | 261 | 243(11); 233(100); 216(47); 188(4); 162(3); 120(77); 86(12) | [13,14,16,18,19] |
| cyclo(Ile-Phe) | ||||
| cyclo(Leu-Phe) | 11.5 | 261 | 233(100); 216(29); 188(3); 120(74); 86(13) | [13,14,16,18,19] |
| cyclo(Ile-Phe) | ||||
| 4 Ile-Ser | ||||
| cyclo(Ile-Ser) | 3.4 | 201 | 183(27); 173(100); 115(4); 86(4) | [19] |
| 5 Pro-Val | ||||
| cyclo(Pro-Val) | 4.5 | 197 | 180(17); 169(100); 152(8); 141(17); 124 (15); 72(18); 70(13) | [13,14,16,18,20] |
| 6 Tyr-Tyr | ||||
| cyclo(Tyr-Tyr) | 4.6 | 327 | 299(100); 282(7); 254(3); 221(19); 136(39); 107(4) | [21] |
| 7 Leu-Ile/8 Leu-Leu | ||||
| 9 Ile-Ile | ||||
| cyclo(Leu-Ile) | 4.6 | 227 | 209(13); 199(41); 181 (44); 166 (3); 153 (6); 86(100) | [18,19,21] |
| cyclo(Leu-Leu) | ||||
| cyclo(Ile-Ile) | ||||
| cyclo(Leu-Ile) | 4.7 | 227 | 209(14); 199(46); 181 (30); 166 (3); 153 (5); 136(10); 129(4); 114(5); 86(100); 70(3); 69(1) | [18,19,21] |
| cyclo(Leu-Leu) | ||||
| cyclo(Ile-Ile) | ||||
| cyclo(Leu-Ile) | 4.9 | 227 | 209(12); 199(100); 181(36); 171(5); 153(28); 136(21); 86(92); 68(4) | [18,19,21] |
| cyclo(Leu-Leu) | ||||
| cyclo(Ile-Ile) | ||||
| cyclo(Leu-Ile) | 6.4 | 227 | 209(15); 199(31); 181 (15); 153 (7); 142(4); 114(12) 86(100) | [18,19,21] |
| cyclo(Leu-Leu) | ||||
| cyclo(Ile-Ile) | ||||
| cyclo(Leu-Ile) | 10.8 | 227 | 199(75); 182(100); 154(6); 86(37) | [18,19,21] |
| cyclo(Leu-Leu) | ||||
| cyclo(Ile-Ile) | ||||
| cyclo(Leu-Ile) | 11.4 | 227 | 199 (28); 182(100); 154(5); 86(17) | [18,19,21] |
| cyclo(Leu-Leu) | ||||
| cyclo(Ile-Ile) | ||||
| 10 Val-Tyr | ||||
| cyclo(Val-Tyr) | 5.8 | 263 | 235(100); 218(7); 190(8); 157(4); 136(71) | [13,14,16] |
| 11 Ala-Phe | ||||
| cyclo(Ala-Phe) | 5.8 | 219 | 191(100); 174(8); 120(68) | [14,16,21] |
| cyclo(Ala-Phe) | 6.0 | 219 | 191(100); 174(10); 120 (71) | [14,16,21] |
| 12 Leu-Tyr | ||||
| 13 Ile-Tyr | ||||
| cyclo(Leu-Tyr) | 5.9 | 277 | 249(100); 232(8); 171 (11); 147(4); 136 (60); 86(5) | [13,19] |
| cyclo(Ile-Tyr) | ||||
| cyclo(Leu-Tyr) | 6.6 | 277 | 260 (24); 258(25); 249(100); 241(4); 232(21); 204(12); 171(25); 164(5); 147(3); 136(98); 119(3); 107(37); 86(9) | [13,19] |
| cyclo(Ile-Tyr) | ||||
| cyclo(Leu-Tyr) | 6.7 | 277 | 249(100); 232(24); 204(3); 171(12); 136(52) | [13,19] |
| cyclo(Ile-Tyr) | ||||
| 14 Pro-Leu | ||||
| 15 Pro-Ile | ||||
| cyclo(Pro-Leu) | 6.3 | 211 | 194(33); 183(100); 166(20); 155 (41); 138(16); 86(16); 70 (22) | [13,14,16,18,20] |
| cyclo(Pro-Ile) | ||||
| cyclo(Pro-Leu) | 6.8 | 211 | 183(100); 166(12); 155(34); 138(12); 127(8); 114(17); 86(16) | [13,14,16,18,20] |
| cyclo(Pro-Ile) | ||||
| cyclo(Pro-Leu) | 7.1 | 211 | 194(35); 183(100); 166(23); 155(22); 138(12); 127(7); 114(3); 86(62); 70(68) | [13,14,16,18,20] |
| cyclo(Pro-Ile) | ||||
| 16 Pro-Phe | ||||
| cyclo(Pro-Phe) | 7.6 | 245 | 217(100); 200 (5); 172 (3); 131(3); 120 (43); 70 (25) | [13,14,16,18,20] |
| cyclo(Pro-Phe) | 8.1 | 245 | 217(100); 200(3); 189(3); 120(90); 70 (40) | [13,14,16,18,20] |
| 17 Phe-Tyr | ||||
| cyclo(Phe-Tyr) | 8.5 | 311 | 283(100); 266(4); 238(9); 205 (12); 149(3); 136(41); 120 (16) | [13] |
| 18 Val-Ile | ||||
| 19 Val-Leu | ||||
| cyclo(Val-Ile) | 8.6 | 213 | 185(100); 168(40); 140(9); 86(8); 72(9) | [16,18] |
| cyclo(Val-Leu) | ||||
| cyclo(Val-Ile) | 8.8 | 213 | 195(3); 185(97); 168(100); 157(4); 140(11); 86(14); 72(20) | [14,16,18] |
| cyclo(Val-Leu) | ||||
| 20 Val-Phe | ||||
| cyclo(Val-Phe) | 9.9 | 247 | 219(100); 202(19); 174(8); 120 (68) | [13,14,16,18] |
| 21 Phe-Phe | ||||
| cyclo(Phe-Phe) | 11.7 | 295 | 267(100); 250(18); 239(4); 207(5); 154(5); 120 (70) | [18,21] |
| cyclo(Phe-Phe) | 12.6 | 295 | 267(99); 250(7); 120 (100) | [18,21] |
© 2017 by the authors. Licensee MDPI, Basel, Switzerland. This article is an open access article distributed under the terms and conditions of the Creative Commons Attribution (CC BY) license (http://creativecommons.org/licenses/by/4.0/).
Share and Cite
Silva, M.M.d.; Andrade, M.d.S.; Bauermeister, A.; Merfa, M.V.; Forim, M.R.; Fernandes, J.B.; Vieira, P.C.; Silva, M.F.d.G.F.d.; Lopes, N.P.; Machado, M.A.; et al. A Simple Defined Medium for the Production of True Diketopiperazines in Xylella fastidiosa and Their Identification by Ultra-Fast Liquid Chromatography-Electrospray Ionization Ion Trap Mass Spectrometry. Molecules 2017, 22, 985. https://doi.org/10.3390/molecules22060985
Silva MMd, Andrade MdS, Bauermeister A, Merfa MV, Forim MR, Fernandes JB, Vieira PC, Silva MFdGFd, Lopes NP, Machado MA, et al. A Simple Defined Medium for the Production of True Diketopiperazines in Xylella fastidiosa and Their Identification by Ultra-Fast Liquid Chromatography-Electrospray Ionization Ion Trap Mass Spectrometry. Molecules. 2017; 22(6):985. https://doi.org/10.3390/molecules22060985
Chicago/Turabian StyleSilva, Michelli Massaroli da, Moacir dos Santos Andrade, Anelize Bauermeister, Marcus Vinícius Merfa, Moacir Rossi Forim, João Batista Fernandes, Paulo Cezar Vieira, Maria Fátima das Graças Fernandes da Silva, Norberto Peporine Lopes, Marcos Antônio Machado, and et al. 2017. "A Simple Defined Medium for the Production of True Diketopiperazines in Xylella fastidiosa and Their Identification by Ultra-Fast Liquid Chromatography-Electrospray Ionization Ion Trap Mass Spectrometry" Molecules 22, no. 6: 985. https://doi.org/10.3390/molecules22060985
APA StyleSilva, M. M. d., Andrade, M. d. S., Bauermeister, A., Merfa, M. V., Forim, M. R., Fernandes, J. B., Vieira, P. C., Silva, M. F. d. G. F. d., Lopes, N. P., Machado, M. A., & Souza, A. A. d. (2017). A Simple Defined Medium for the Production of True Diketopiperazines in Xylella fastidiosa and Their Identification by Ultra-Fast Liquid Chromatography-Electrospray Ionization Ion Trap Mass Spectrometry. Molecules, 22(6), 985. https://doi.org/10.3390/molecules22060985

