Next Article in Journal
Phytochemical Quantification and the In Vitro Acetylcholinesterase Inhibitory Activity of Phellodendron chinense and Its Components
Next Article in Special Issue
Synthesis and Bioactivity Characterization of Scutellarein Sulfonated Derivative
Previous Article in Journal
Characterization of Aliphatic Polyesters Synthesized via Enzymatic Ring-Opening Polymerization in Ionic Liquids
Previous Article in Special Issue
Synthesis and Structural Modification of Marine Natural Products
 
 
Font Type:
Arial Georgia Verdana
Font Size:
Aa Aa Aa
Line Spacing:
Column Width:
Background:
Review

An Overview of Structurally Modified Glycyrrhetinic Acid Derivatives as Antitumor Agents

School of Chinese Pharmacy, Beijing University of Chinese Medicine, Beijing 100102, China
*
Authors to whom correspondence should be addressed.
These authors contributed equally to this work.
Molecules 2017, 22(6), 924; https://doi.org/10.3390/molecules22060924
Submission received: 18 May 2017 / Revised: 31 May 2017 / Accepted: 31 May 2017 / Published: 2 June 2017
(This article belongs to the Special Issue Synthesis and Modification of Natural Product)

Abstract

Glycyrrhetinic Acid (GA), a triterpenoid aglycone component of the natural product glycyrrhizinic acid, was found to possess remarkable anti-proliferative and apoptosis-inducing activity in various cancer cell lines. Though GA was not as active as other triterpenes, such as betulinic acid and oleanolic acid, it could trigger apoptosis in tumor cells and it can be obtained easily and cheaply, which has stimulated scientific interest in using GA as a scaffold to synthesize new antitumor agents. The structural modifications of GA reported in recent decades can be divided into four groups, which include structural modifications on ring-A, ring-C, ring-E and multiple ring modifications. The lack of a comprehensive and recent review on this topic prompted us to gather more new information. This overview is dedicated to summarizing and updating the structural modification of GA to improve its antitumor activity published between 2005 and 2016. We reviewed a total of 210 GA derivatives that we encountered and compiled the most active GA derivatives along with their activity profile in different series. Furthermore, the structure activity relationships of these derivatives are briefly discussed. The included information is expected to be of benefit to further studies of structural modifications of GA to enhance its antitumor activity.

Graphical Abstract

1. Introduction

Natural products have played a highly significant role in the medicine discovery and development processes and many useful medicines were developed from plant sources [1]. This was particularly evident in the area of cancer treatment, where over 60% of current antitumor drugs, such as vinblastine, etoposide and paclitaxel, originated from Nature [2].
Glycyrrhetinic acid (GA, Figure 1) is a triterpenoid aglycone component of the natural product glycyrrhizinic acid (GL), which is abundant in licorice root [3]. GA was proved to possess a variety of remarkable biological activities, including anti-inflammatory [4,5], antiviral [6,7], hepato- protective [8,9], and antitumor properties [10,11]. GA is highly regarded for its remarkable antitumor activities, whereby it shows significant cytotoxic activity against a broad variety of different cell types in vitro, for example non-small cell lung cancer cells [11], pituitary adenoma cells [12], human hepatocellular carcinoma cells [13], prostate cancer cells [14] and glioblastoma cells [15]. It also exhibits noteworthy activity in various experimental cancer models in vivo [16,17], and it is known to trigger apoptosis in tumor cell lines [14,18,19]. Some experimental reports have indicated that GA triggered apoptosis via the mitochondrial pathway through the collapse of mitochondrial membrane potential, the accumulation of the cytosolic cytochrome c and the activation of caspase-9 and caspase-3 [19,20].
The remarkable antitumor activity of GA has been the focus of researchers worldwide. However, because GA can inhibit type 2 11ß-hydroxysteroid dehydrogenase (11ß-HSD2), administrating GA at a high dose for a long time often causes pseudoaldosteronism, which is characterized by hypertension, hypokalemia and other adverse clinical effects [21,22,23]. Studies on using GA as a scaffold to develop new low-toxicity and high-effectivity antitumor agents have attracted much attention, and a number of structural modifications of GA were carried out and some reports of novel GA derivatives as antitumor agents have been published [24,25,26]. This overview is dedicated to summarizing and updating four aspects of the structural modification of GA leading to antitumor agents published between 2005 and 2016, including modifications at the ring-A, ring-C, ring-E and multiple ring modification. We have compiled the most active GA derivatives along with their activity profile in different series. Furthermore, the structure activity relationships of these derivatives are briefly discussed.

2. Four Aspects of the Structural Modifications of Glycyrrhetinic Acid

In the past few years, plenty of researchers around the world have designed and synthesized series of GA derivatives as potential antitumor agents. Most reports about the chemical and structural modifications of GA were focused on the specific functional groups of the A, C, and E rings, as these three rings contain three functional groups which are the most suitable for modification: a hydroxyl group at C-3 in ring-A, an α,β-unsaturated carbonyl function located in ring-C at C-11 and a carboxyl group at C-30 on ring-E. Meanwhile, studies on the skeleton ring architecture modification of this pentacyclic triterpene are increasing too, hence, the modifications of GA to produce novel antitumor agents can be classified into four styles, including structural modifications at ring-A, at ring-C, at ring-E and at multiple ring modifications.

2.1. Structural Modifications on Ring-A

2.1.1. Structural Modifications at the C3-OH in Ring-A

The structural modifications at the C3-OH group of GA are very common. For example, it could be converted into an oxime group, a carbonyl group and a 3-oxo group. However, in order to change the polarity pattern or improve the antitumor activity of GA, the C-30 carboxyl group was often esterified too.
It was reported that changing the polarity pattern of GA might be an advantage in obtaining better cytotoxicity. Based on this, different C-3 amino alkyl derivatives of GA (compounds 411, Scheme 1, were synthesized by Csuk et al. [27]. The antitumor activity of these derivatives was tested in a panel of 15 human cancer cell lines by a SRB assay. In the SRB assay, all of the amino compounds 411 showed significantly improved activity compared with GA. Among them, it could be observed that a diaminohexyl chain with seven carbon atoms was the most active derivative, about 60 times more so than GA. The antitumor activity was changed with the change of the carbon number. The results also showed that the esterification at C-30 (compound 3, Scheme 1) could improve the antitumor efficacy compared with compound 2. The same result could be found from previous findings and parallel results [28,29,30,31,32]. Besides, the introduction of nitrogen-containing substituents to the ring-A seemed to improve the anti-proliferative effect of GA derivatives. The cytotoxicity (IC50 values in μmol) of 111 in a panel of various cancer cell lines is summarized in Table 1.
Similarly, in order to change the polarity pattern of GA, Schwarz et al. [33] prepared a series of novel derivatives 1232 by introducing an extra amino group into C-3 and esterifying at C-30 (Scheme 2). These derivatives showed a higher antitumor activity and a better selectivity towards tumor cells compared with GA on 15 different human tumor cell lines and mouse embryonic fibroblasts (NiH3T3). Compound 24 substituted with glycine and esterified with an i-propyl moiety was the most active compound. As discussed above for antitumor activity, in this case, the esterification at C-30 also resulted in improved activity against tumor cell lines compared with GA. The most active compound among the C-30 ester derivatives was the benzyl ester (compound 14) showing IC50 value between 6.15–23.82 µM. The decrease of the IC50 value paralleled the size and lipophilic character of the alkyl chain of the esters. From the SAR of these compounds, it was concluded that the introduction of an extra amino acid moiety at C3-OH or an alkyl group at C30-COOH could enhance the antitumor activity. There seemed to be no effect by adding a stereogenic center in the side chain according to the results. Besides, the amines and their respective ammonium salts might be considered bioequivalent in biological activity. The cytotoxicity (IC50 values in µM) of 1232 in a panel of various cancer cell lines is summarized in Table 2.
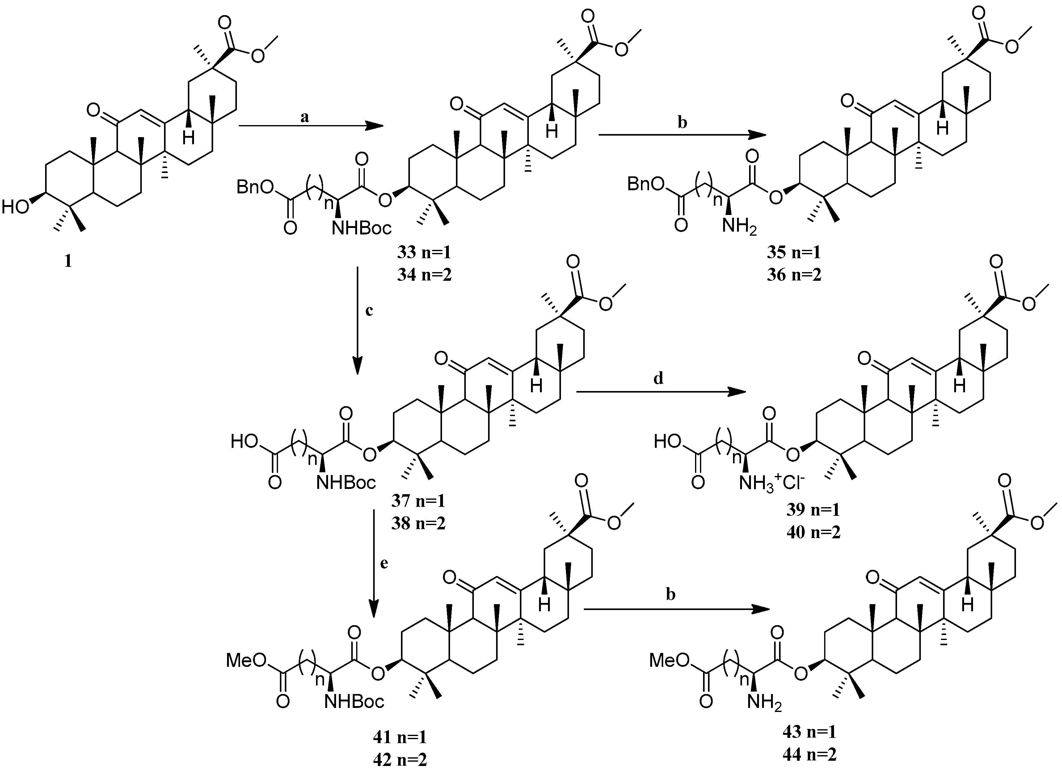
In subsequent research Csuk et al. conducted another study in a similar manner, producing a series of derivatives 3344 substituted with aspartic and glutamic acid (Scheme 3) [34]. The glutamic acid derivative 36 with a benzyl-protected side chain was the most active derivative among this series, showing an IC50 value between 1.27–2.33 µM. Meanwhile, compound 36 displayed an extraordinary selectivity (Mean F = 23) in comparison with other compounds. The derivatives carrying a free amino group and an unprotected carboxylic group such as compounds 39 and 40 turned out to be inactive (IC50 > 100 µM). The cytotoxicity (IC50 values in µM) of 3340, 43, 44 in a panel of various cancer cell lines is summarized in Table 3.
As mentioned, introduction an extra amino group into C-3 and esterification at C-30 could improve the antitumor activity of GA derivatives. To further increase the cytotoxicity and improve the selectivity, some other amino acid derivatives of glycyrrhetinic acid 4559 (Scheme 4) were designed and synthesized in a similar way by Csuk et al. [35]. The derivatives possessing short side chains like the alanyloxy or sarcosyloxy moiety, turned out to exhibit higher cytotoxic activity, for example, compound 46 showed IC50 values between 1.83 and 3.42 µM. However compounds with a more lipophilic side chains, such as compound 50, 51 showed decreased cytotoxic effects compared with GAMe in the SRB assay. These results indicated that the structure of the amino acid side chain affected the cytotoxicity most. The cytotoxicity (IC50 values in µM) of 4559 on a panel of various cancer cell lines is summarized in Table 4.
It was reported that the introduction of an extra hydrophilic sugar moiety into betulinic acid could increase its cytotoxicity [36]. Inspired by this, Schwarz et al. [37] prepared some GA glycoside structural analogues 6066 (Scheme 5) utilizing methyl glycyrrhetinate (compound 1, Scheme 1) as starting material.
Their antitumor activity was evaluated in a SRB assay on various tumor cell lines. These derivatizations did not result in increased cytotoxicity, with the exception of compound 64 which showed IC50 values as low as 9.48 µM on breast carcinoma MCF-7 cells, which was twice the activity of GAMe. It seemed that there was no correlation between the monosaccharide structure and the cytotoxicity, and similar results could also be found in [36,38,39]. The cytotoxicity (IC50 values in µM) of 6066 in a panel of various cancer cell lines is summarized in Table 5.
Lai et al. [40] designed and synthesized a series of novel furan-based nitric oxide (NO)-releasing derivatives of GA 6874 (Scheme 6) as antitumor agents. According to the MTT assay results, compounds 6874 displayed increased anti-HCC (HepG2, BEL-7402) activity (IC50 2.90–36.52 µM on HepG2, IC50 2.94–19.92 µM on BEL-7402) compared with GA (IC50 > 50 µM on HepG2, BEL-7402). The most active compound was 74, showing IC50 values as low as 2.90 µM, 2.94 µM on HepG2 and BEL-7402, respectively. These findings might provide more information for the design of new chemotherapeutic reagents for the intervention on human HCC in the clinic. The cytotoxicity (IC50 values in µM) of 6874 in a panel of various cancer cell lines is summarized in Table 6.
After forming long chains with ester bonds at C-3, Kumar Yadav et al. [41] found the GA-1, GA-2 and GA-3 (Figure 2) expressed significant antitumor activity against the human lung cancer cell line A-549 with pred. log IC50 = 1.182, 1.044, 1.274 µM according to the quantitative structure-activity relationship (QSAR) model. The cytotoxicity (IC50 values in µM) of GA-1, GA-2 and GA-3 on A-549 is summarized in Table 7.

2.1.2. Structural Modifications at the Skeleton of Ring-A

Previous studies revealed that some triterpenoid derivatives which contained a 2-cyano-1-en-3-one functionality on ring-A, such as the oleanoic acid derivatives CDDO (Figure 3) and its methyl ester CDDO-Me (Figure 3), exerted potent cytotoxic activity in various cancer cell lines [42,43]. Similar results were also obtained with GA and betulinic acid derivatives containing a 2-cyano-1-en-3-one function, for example β-CDODA-Me [44,45] (Figure 3). Inspired by this, Chadalapaka et al. [31] synthesized some β-CDODA-Me analogs 7579 (Scheme 7) with different electronegative 2-substituents including iodo, cyano, trifluoromethyl, dimethylphosphonyl and methanesulfonyl groups. The cell culture studies showed that the anti-proliferative activity of methyl derivative (β-CDODA-Me) on bladder and pancreatic cancer cells was more potent than that of the free acid (β-CDODA). This was consistent with a previous report [46]. Among the derivatives, 2-cyano and 2-trifluoromethyl ones showed the highest anti-proliferation activity. However, compound 79 and compound 77 were relatively inactive, showing higher IC50 values ranging from 3.34 to 11.97 µM than the corresponding 2-cyano and 2-trifluoromethyl derivatives on the four cell lines. It could be seen that their relative potencies were dependent on the cell context: 2-trifluoromethyl derivative (compound 78) (IC50 0.38 µM in KU7, IC50 0.82 µM in Panc-1, IC50 1.14 µM in Panc-28) was more active than β-CDODA-Me (IC50 1.59 µM in KU7, IC50 1.22 µM in Panc-1, IC50 1.80 µM in Panc-28), whereas β-CDODA-Me was more active in 253JB-V cells, showing IC50 values as low as 0.25 µM, lower than that of the compound 78 (IC50 0.67 µM). The results provided a new way for the structural modifications of GA. The cytotoxicity (IC50 values in μM) of 7679 in a panel of various cancer cell lines is summarized in Table 8.
In order to alter the lipophilicity of GA, several functional modifications were carried out at the C-2 and/or C-3 positions in ring-A by Csuk et al. [46] and a series of derivatives 8097 (Scheme 8) were obtained. Their cytotoxicity was investigated on eight different human tumor cell lines. According to the SRB assays, most of the derivatives showed lower antitumor activity than GA. Acetylated GA derivatives 8082 and oxidized GA derivatives 8385 did not show any significant antitumor activity. Deoxidized GA derivatives 86 and 97 were relatively active, showing IC50 < 20 µM in several tested cancer cell lines. The cytotoxicity (IC50 values in μM) of 8095, 97 in a panel of various cancer cell lines is summarized in Table 9.
In the search of new GA derivatives as antitumor agents, Jun et al. [47] employed GA as precursor and synthesized a series of GA derivatives 98112 (Scheme 9) with major changes to ring-A. The preliminary pharmacological study showed compound 98, 100, 101, 105, 106, 110 with hydroxyl groups displayed some cytotoxicity on HepG-2. The derivative 105 with two hydroxyl groups at C-2 and C-3 displayed more potent activity than GA showing IC50 as low as 0.22 µM on HepG-2.
It seemed that the number and location of hydroxyl groups in ring-A had an important influence on the antitumor activity of GA derivatives. The cytotoxicity (IC50 values in μM) of 98112 on HepG-2 os summarized in Table 10.

2.2. Structural Modifications on Ring-C

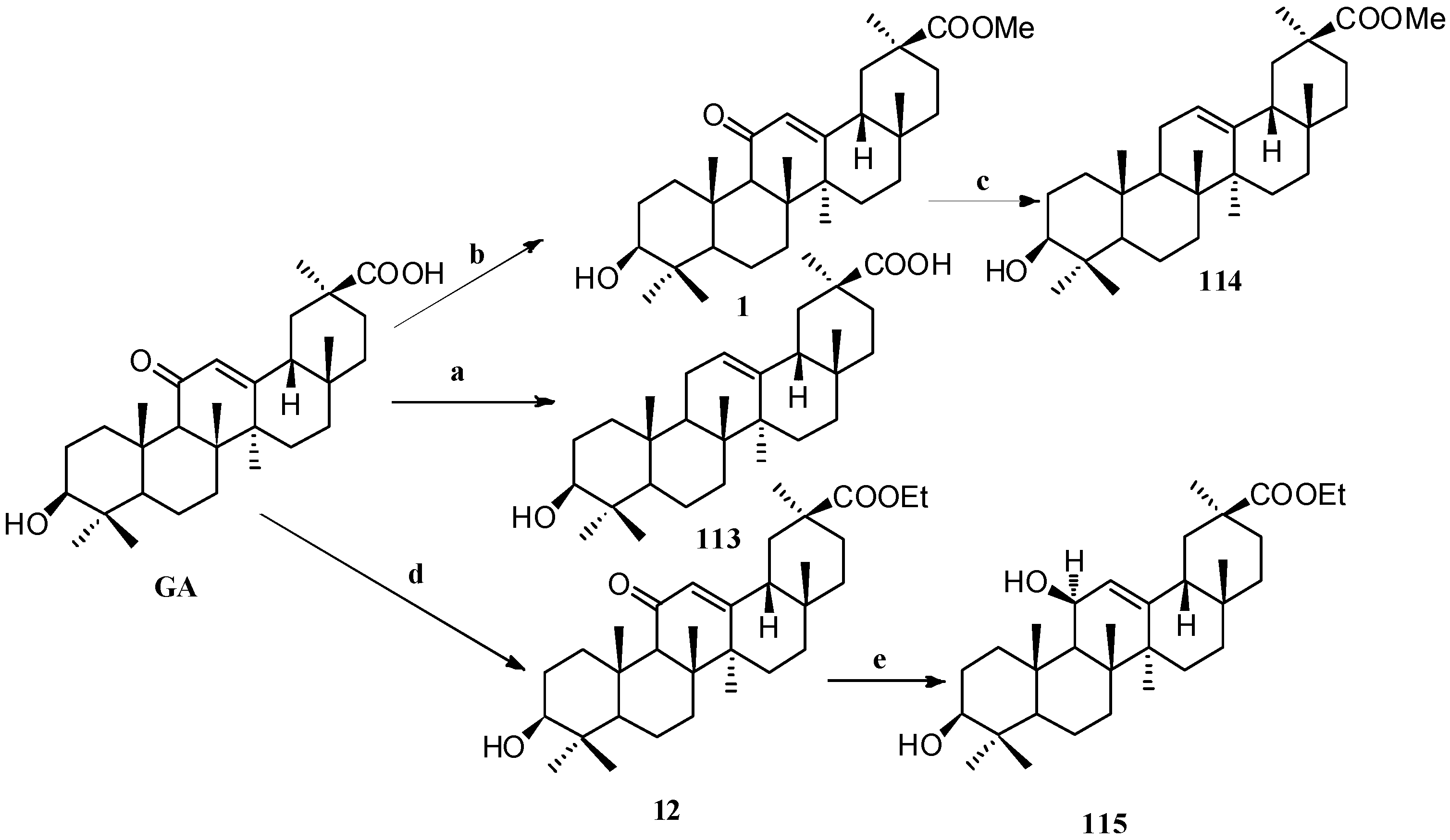
The studies on structural modifications at ring-C were mainly focused on the carbonyl function located at C-11. According to Fiore and Salvi [48,49], a ketone group at position C-11 was the primary cause for the apoptotic activity of GA derivatives, but the research conducted by Csuk et al. [50] showed that there was no direct relation between the presence of the C-11 ketone group and the apoptotic activity of the compounds. Also, esterification at C-30 was important, as mentioned above. Six compounds (Scheme 10) were tested in a SRB assay for cytotoxicity screening on 12 tumor cell lines and mouse embryonic fibroblasts (NIH3T3) which showed that GA and compound 113 nearly had the same activity on tumor cells, but after esterification at C-30, compounds 1 and 114 showed a relatively high cytotoxicity against the tested tumor cell lines. For the fibroblasts and most of the tumor cell lines, the toxicity of compound 114 was reduced, while the cytotoxic effect on the tumor cells of compounds 12 and 115 was similar to their effect on NIH3T3 cells. However, according to Lin et al. [51], when GA was converted into 11-DOGA, it showed higher toxicity toward gastric cancer cells both in vivo and in vitro, so the relation between the existence of the C-11 ketone group and the apoptotic activity should be further studied. The cytotoxicity (IC50 values in μM) of 1, 12, 113115 in a panel of various cancer cell lines is summarized in Table 11.

2.3. Structural Modifications on Ring-E

The C-30 position in GA has been widely exploited and hundreds of derivatives have been reported in the literature. To increase the antitumor activity of GA and to obtain potent cytostatic compounds, Lallemand et al. [52] synthesized a series of GA amide derivatives 116130 (Scheme 11) by coupling GA with various amines. The antitumor activity screening showed that compound 127 appeared to be the most potent one, with single-digit micro molarity IC50 values in a panel of eight cancer cell lines. Further pharmacokinetic studies by the same group suggested that compound 127 was rapidly distributed (t1/2dist of ~3 min) but slowly eliminated (t1/2elim = ~77 min). This study was helpful in producing this kind of GA antitumor derivatives.
Similarly, Shi et al. [53] synthesized biotinylated GA (BGA) by introducing biotin into the C-30 carboxyl of GA, and evaluated its antitumor effects on mouse B16 melanoma cells and BEL 7402 cells. The result showed that the biotin group in BGA had no influence on the antitumor effects of GA. The cytotoxicity (IC50 values in μM) of 116130 in a panel of various cancer cell lines is summarized in Table 12.
Guided by previous results indicating that incorporation of a stable nitroxyl radical or amino acids into antitumor molecules could increase their activity and decrease their toxicity [34,54,55], Liu et al. [56] designed and synthesized a series of GA derivatives 131140 (Scheme 12) by introducing a nitroxyl functionality and amino acid segments into GA.
The in vitro cytotoxicity screening showed that compounds 131140 with only various free amino acids at C-30 showed no significant cytotoxicity (GI50 > 70 µM). However, incorporation of a piperidine (compounds 141150) or pyrroline (compounds 151155) nitroxyl radical at the terminus of the C-30 side chains could significantly enhance the cytotoxic effects. Among the new derivatives, compound 150 with a tryptophan amino moiety and a piperidine nitroxyl radical showed the greatest cytotoxicity (GI50 13.7–15.0 µM), five-fold more potent than GA. These results suggested that the incorporation of a nitroxyl functionality and amino acid segments into the C-30 carboxyl group of GA might contribute to improve its cytotoxicity. The cytotoxicity (GI50 values in μM) of 141155 in a panel of various cancer cell lines is summarized in Table 13.
Inspired by previous studies indicating that esterification of glycyrrhetinic acid (GA) with dehydrozingerone (DZ) resulted in a novel cytotoxic GADZ conjugate, Tatsuzaki et al. [57] synthesized a series of triterpenoid—dehydrozingerone derivatives by combining DZ analogs with different triterpenoids, such as oleanoic acid (OA), ursolic acid (UA), glycyrrhetinic acid (GA).
The in vitro antitumor assay indicated that most of the GADZ conjugates 156166 (Scheme 13) showed significant antitumor activity. In particular, compounds 156158 exhibited prominent cytotoxicity against LN-Cap, 1A9, and KB cells with ED50 values of 0.6, 0.8 and 0.9 µM. However, similar conjugates between DZ and OA or UA were inactive suggesting that the GA component was critical for activity. The cytotoxicity (ED50 values in μM) of 156166 in a panel of various cancer cell lines is summarized in Table 14.
In the search of new GA derivatives as antitumor agents, Csuk et al. [58] performed some variations at C-30 of GA, including esterification, the formation of amides and a nitrile. The antitumor evaluation showed the amide derivatives like compounds 167169 (Scheme 14) showed no cytotoxic activity at 30 µM concentration, but nearly all the ester derivatives like compounds 170, 172174 (Scheme 15) exhibited high cytotoxic activity. In particular, compound 172 exhibited potent cytotoxic activity on SW1736 cells (IC50 = 1.88 µM), while compound 175 esterified at C-30 and etherified at C-3 almost showed no cytotoxic activity (IC50 > 30 µM) against seven tested human tumor cell lines. This suggested that not only the type of the chemical bonding but also the position of substituent groups affects the antitumor activity. This study greatly enriched the modification strategy of the carbonyl group. The cytotoxicity (IC50 values in μM) of 167175 in a panel of various cancer cell lines is summarized in Table 15.

2.4. Structural Modifications of Multiple Rings

In an attempt to improve the pharmacological activity of GA, structural modification at multiple rings has been reported. Structural modifications of multiple rings in GA has focused on the A, C, and E rings, especially at A and E ring. Shen et al. [59,60] reported syntheses and antitumor activity of some GA derivatives by simultaneously modifying the C-3 hydroxyl group and the C-30 carboxyl group in GA. They found when the carbon chain of the linking group was 2 to 4, the activity increased as the carbon chain was lengthened, while when the carbon chain length of the linking group was 5, the activity decreased. Meanwhile, they also found that when there were nitrate moieties at C-3 and C-30 simultaneously; the antitumor activity of the compounds was enhanced.
Starting from GA, Li et al. [61] synthesized a series of GA derivatives 176199 (Scheme 16) in which the 30-carboxyl group was modificated by ferulic acid analogs and the 3-hydroxyl group was coupled with amino acids. The MTT assay results showed that most of the derivatives exhibited much higher antitumor activity than GA against cancer cell lines (MCF-7 cells, MDA-MB-231) and lower cytotoxicity against normal cells (hTERT-RPE1 cells).
Among the derivatives, compound 193 was the most active one (IC50 1.88 + 0.20 µM for MCF-7; IC50 1.37 + 0.18 µM for MDA-MB-231). The results displayed that introduction of a lipophilic fragment or amino acid groups into C-3 and C-30 might increase the antitumor activity. The cytotoxicity (IC50 values in μM) of 176199 in a panel of various cancer cell lines is summarized in Table 16.
In order to further improve the antitumor activity of GA, Song et al. [62] designed and synthesized a series of novel GA derivatives by modifying the structure at the C-3 hydroxyl or C-11 carbonyl or C-30 carboxyl.
The biological activity evaluation showed that compound 203 (Scheme 17) exhibited the most promising antitumor activity against tumor cell lines MDA-MB-231 cells, DU-145 cells and Hep-G2 cells (IC50 10.01 µM for HepG2, 11.96 µM for DU-145 and 17.8 µM for MDA-MB-231), which was much better than starting material GA (IC50 values of 74.35, 69.40, 72.65 µM, respectively). What’s more, compound 200 with linker n = 2 and compound 205 with linker n = 4 also showed higher antitumor activity than GA on all tested tumor cell lines. But other compound, such as 201, 202, 204, showed weak anti-proliferative effect due to their poor solubility. The cytotoxicity (IC50 values in μM) of 200206, 209, 210 in a panel of various cancer cell lines is summarized in Table 17.

3. Conclusions

Glycyrrhetinic Acid was found to possess remarkable anti-proliferative and apoptosis-inducing activity against various cancer cell lines. A number of structural modifications of GA were carried out to synthesize new potential antitumor agents. As for the many synthetic strategies reported in this review, they can be summarized as follows: (i) introduction of aminoalkyl, amino acid, sugar and other groups into the hydroxyl group at C-3 by esterification; (ii) oxidation or elimination of the hydroxyl group at C-3, introduction of functional groups at C-2, opening or increasing the number of atoms of ring-A; (iii) elimination of the C-11 ketone group in ring-C; (iv) esterification or amidation of the carboxyl group at C-30 in ring-E; (v) esterification at the C-3 hydroxyl group and C-30 carboxyl group simultaneously, elimination of the ketone group at C-11 and esterification at C-30 simultaneously.
To some extent, the reported GA derivatives and their biological activity confirmed that there are many factors affecting the antitumor activity, such as the kind, quantity and position of substituents, and the type of chemical bonding. The published studies of GA derivatives as the antitumor agents have provided us much useful information which was as follows and is summarized in Figure 4:
  • The hydroxyl at the C-3 position seems to be critical in maintaining the cytotoxicity. The introduction of an extra amino acid or a nitrogen-containing substituent was found to be beneficial to increase the cytotoxicity, but the acetylation or oxidation of the hydroxyl group at the C-3 position resulted in a decreased anti-proliferative activity.
  • The A ring skeleton plays an important role in eliciting antitumor activity. A cyano or trifluoromethyl substituent at C-2 position of GA improved the cytotoxicity. Expansion of ring A did not make a major difference in the cytotoxicity, but the number and location of hydroxyl groups in the A-ring has an important influence on the antitumor activity.
  • The C-11 keto group of C ring seems to show no direct relation with cytotoxicity.
  • The C-30 carboxyl group is essential for cytotoxicity. Esterification at the C-30 carboxylic acid could improve the antitumor efficacy.
  • Esterification at the C-3 hydroxyl group and C-30 carboxyl group simultaneously increased the antitumor activity.
The chemical methods for the structural modifications of GA are efficient but the strategies were long and complicated and often involve harsh reaction conditions, therefore, in the future studies structure-activity relationships should be a prerequisite and focused on obtaining highly effective and low-toxicity antitumor derivatives of GA.

Acknowledgments

This study was supported by the National Natural Science Foundation of China (No. 81173519); the Innovation Team Project Foundation of Beijing University of Chinese Medicine (Lead Compound Discovering and Developing Innovation Team Project Foundation, No. 2011-CXTD-15); Beijing Key Laboratory for Basic and Development Research on Chinese Medicine; and young teachers’ scientific research project of Beijing University of Chinese Medicine (No. 2015-JYB JSMS023).

Conflicts of Interest

The authors declare no conflict of interest.

Abbreviations

DCCDicyclohexylcarbodiimide
DCMDichloromethane
DEADDiethyl azodicarboxylate
DMAP4-Dimethylaminopyridine
DMFN,N-Dimethylformamide
DMSODimethylsulfoxide
EDCI1-Ethyl-3-(3-dimethylaminopropyl)carbodiimide hydrochloride
HMPTHexamethylphosphoryl triamide
HOBt1-Hydroxybenzotriazole
IBX2-Iodoxybenzoic acid
m-CPBAm-Chloroperbenzoic acid
NMPN-Methylpyrrolidone
p-TSAp-Toluenesulfonic acid
TFATrifluoroacetic acid
THFTetrahydrofuran
TMSOTfTrimethylsilyltrifluoro methanesulfonate

References

  1. Cragg, G.M.; Newman, D.J. Natural products: A continuing source of novel drug leads. Biochim. Biophys. Acta 2013, 1830, 3670–3695. [Google Scholar] [CrossRef] [PubMed]
  2. Newman, D.J.; Cragg, G.M.; Snader, K.M. Natural products as sources of new drugs over the period 1981–2002. J. Nat. Prod. 2003, 66, 1022–1037. [Google Scholar] [CrossRef] [PubMed]
  3. Salomatina, O.V.; Markov, A.V.; Logashenko, E.B.; Korchagina, D.V.; Zenkova, M.A.; Salakhutdinov, N.F.; Vlassov, V.V.; Tolstikov, G.A. Synthesis of novel 2-cyano substituted glycyrrhetinic acid derivatives as inhibitors of cancer cells growth and NO production in LPS-activated J-774 cells. Bioorg. Med. Chem. 2014, 22, 585–593. [Google Scholar] [CrossRef] [PubMed]
  4. Wang, C.Y.; Kao, T.C.; Lo, W.H.; Yen, G.C. Glycyrrhizic acid and 18β-glycyrrhetinic acid modulate lipopolysaccharide-induced inflammatory response by suppression of NF-κB through PI3K p110δ and p110γ inhibitions. J. Agric. Food Chem. 2011, 59, 7726–7733. [Google Scholar] [CrossRef] [PubMed]
  5. Kao, T.C.; Shyu, M.H.; Yen, G.C. Glycyrrhizic acid and 18β-glycyrrhetinic acid inhibit inflammation via PI3K/Akt/GSK3β signaling and glucocorticoid receptor activation. J. Agric. Food Chem. 2010, 58, 8623–8629. [Google Scholar] [CrossRef] [PubMed]
  6. Hardy, M.E.; Hendricks, J.M.; Paulson, J.M.; Faunce, N.R. 18 β-glycyrrhetinic acid inhibits rotavirus replication in culture. Virol. J. 2012, 9, 96. [Google Scholar] [CrossRef] [PubMed]
  7. Wang, L.J.; Geng, C.A.; Ma, Y.B.; Huang, X.Y.; Luo, J.; Chen, H.; Zhang, X.M.; Chen, J.J. Synthesis, biological evaluation and structure-activity relationships of glycyrrhetinic acid derivatives as novel anti-hepatitis B virus agents. Bioorg. Med. Chem. Lett. 2012, 22, 3473–3479. [Google Scholar] [CrossRef] [PubMed]
  8. Chen, S.; Zou, L.; Li, L.; Wu, T. The protective effect of glycyrrhetinic acid on carbon tetrachloride-induced chronic liver fibrosis in mice via upregulation of Nrf2. PLoS ONE 2013, 8, e53662. [Google Scholar] [CrossRef] [PubMed]
  9. Jeong, H.G.; You, H.J.; Park, S.J.; Moon, A.R.; Chung, Y.C.; Kang, S.K.; Chun, H.K. Hepatoprotective effects of 18β-glycyrrhetinic acid on carbon tetrachloride-induced liver injury: Inhibition of cytochrome P450 2E1 expression. Pharmacol. Res. 2002, 46, 221–227. [Google Scholar] [CrossRef]
  10. Huang, Y.C.; Kuo, C.L.; Lu, K.W.; Lin, J.J.; Yang, J.L.; Wu, R.S.; Wu, P.P.; Chung, J.G. 18α-glycyrrhetinic acid induces apoptosis of HL-60 human leukemia cells through caspases-and mitochondria-dependent signaling pathways. Molecules 2016, 21, 872. [Google Scholar] [CrossRef] [PubMed]
  11. Huang, R.Y.; Chu, Y.L.; Huang, Q.C.; Chen, X.M.; Jiang, Z.B.; Zhang, X.; Zeng, X. 18β-Glycyrrhetinic acid suppresses cell proliferation through inhibiting thromboxane synthase in non-small cell lung cancer. PLoS ONE 2014, 9, e93690. [Google Scholar] [CrossRef] [PubMed]
  12. Wang, D.; Wong, H.K.; Feng, Y.B.; Zhang, Z.J. 18beta-Glycyrrhetinic acid induces apoptosis in pituitary adenoma cells via ROS/MAPKs-mediated pathway. J. Neurooncol. 2014, 116, 221–230. [Google Scholar] [CrossRef] [PubMed]
  13. Satomi, Y.; Nishino, H.; Shibata, S. Glycyrrhetinic acid and related compounds induce G1 arrest and apoptosis in human hepatocellular carcinoma HepG2. Anticancer Res. 2005, 25, 4043–4047. [Google Scholar] [PubMed]
  14. Shetty, A.V.; Thirugnanam, S.; Dakshinamoorthy, G.; Samykutty, A.; Zheng, G.; Chen, A.; Bosland, M.C.; Kajdacsy-Balla, A.; Gnanasekar, M. 18α-glycyrrhetinic acid targets prostate cancer cells by down-regulating inflammation-related genes. Int. J. Oncol. 2011, 39, 635–640. [Google Scholar] [PubMed]
  15. Li, S.; Zhu, J.H.; Cao, L.P.; Sun, Q.; Liu, H.D.; Li, W.D.; Li, J.S.; Hang, C.H. Growth inhibitory in vitro effects of glycyrrhizic acid in U251 glioblastoma cell line. Neurol. Sci. 2014, 35, 1115–1120. [Google Scholar] [CrossRef] [PubMed]
  16. Lee, C.S.; Kim, Y.J.; Lee, M.S.; Han, E.S.; Lee, S.J. 18β-Glycyrrhetinic acid induces apoptotic cell death in SiHa cells and exhibits a synergistic effect against antibiotic anti-cancer drug toxicity. Life Sci. 2008, 83, 481–489. [Google Scholar] [CrossRef] [PubMed]
  17. Hibasami, H.; Iwase, H.; Yoshioka, K.; Takahashi, H. Glycyrrhetic acid (a metabolic substance and aglycon of glycyrrhizin) induces apoptosis in human hepatoma, promyelotic leukemia and stomach cancer cells. Int. J. Mol. Med. 2006, 17, 215–219. [Google Scholar] [CrossRef] [PubMed]
  18. Yang, J.C.; Myung, S.C.; Kim, W.; Lee, C.S. 18β-Glycyrrhetinic acid potentiates Hsp90 inhibition-induced apoptosis in human epithelial ovarian carcinoma cells via activation of death receptor and mitochondrial pathway. Mol. Cell. Biochem. 2012, 370, 209–219. [Google Scholar] [CrossRef] [PubMed]
  19. Gao, Z.; Kang, X.; Ju, Y.; Hu, J.; Xu, C. Induction of apoptosis with mitochondrial membrane depolarization by a glycyrrhetinic acid derivative in human leukemia K562 cells. Cytotechnology 2012, 64, 421–428. [Google Scholar] [CrossRef] [PubMed]
  20. Sharma, G.; Kar, S.; Palit, S.; Das, P.K. 18β-glycyrrhetinic acid induces apoptosis through modulation of Akt/FOXO3a/Bim pathway in human breast cancer MCF-7 cells. J. Cell. Physiol. 2012, 227, 1923–1931. [Google Scholar] [CrossRef] [PubMed]
  21. Sontia, B.; Mooney, J.; Gaudet, L.; Touyz, R.M. Pseudohyperaldosteronism, liquorice, and hypertension. J. Clin. Hypertens. 2008, 10, 153–157. [Google Scholar] [CrossRef]
  22. Van Uum, S.H. Liquorice and hypertension. Neth. J. Med. 2005, 63, 119–120. [Google Scholar] [PubMed]
  23. Makino, T.; Okajima, K.; Uebayashi, R.; Ohtake, N.; Inoue, K.; Mizukami, H. 3-Monoglucuronyl-glycyrrhretinic acid is a substrate of organic anion transporters expressed in tubular epithelial cells and plays important roles in licorice-induced pseudoaldosteronism by inhibiting 11β-hydroxysteroid dehydrogenase 2. J. Pharmacol. Exp. Ther. 2012, 342, 297–304. [Google Scholar] [CrossRef] [PubMed]
  24. Lallemand, B.; Gelbcke, M.; Dubois, J.; Prévost, M.; Jabin, I.; Kiss, R. Structure-activity relationship analyses of glycyrrhetinic acid derivatives as anticancer agents. Mini Rev. Med. Chem. 2011, 11, 881–887. [Google Scholar] [CrossRef] [PubMed]
  25. Graebin, C.S.; Verli, H.; Guimarães, J.A. Glycyrrhizin and glycyrrhetic acid: scaffolds to promising new pharmacologically active compounds. J. Braz. Chem. Soc. 2010, 21, 1595–1615. [Google Scholar] [CrossRef]
  26. Kang, L.; Li, X.; Chen, C. Research Progress on Structure Modification and Biological Activity of 18β-Glycyrrhetinic Acid. Curr. Opin. Complement. Altern. Med. 2014, 1, 34–44. [Google Scholar]
  27. Csuk, R.; Schwarz, S.; Kluge, R.; Ströhl, D. Synthesis and biological activity of some antitumor active derivatives from glycyrrhetinic acid. Eur. J. Med. Chem. 2010, 45, 5718–5723. [Google Scholar] [CrossRef] [PubMed]
  28. Gao, Y.; Guo, X.; Li, X.; Liu, D.; Song, D.; Xu, Y.; Sun, M.; Jing, Y.; Zhao, L. The synthesis of glycyrrhetinic acid derivatives containing a nitrogen heterocycle and their antiproliferative effects in human leukemia cells. Molecules 2010, 15, 4439–4449. [Google Scholar] [CrossRef] [PubMed]
  29. Song, D.; Gao, Y.; Wang, R.; Liu, D.; Zhao, L.; Jing, Y. Down-regulation of c-FLIP, XIAP and Mcl-1 protein as well as depletion of reduced glutathione contribute to the apoptosis induction of glycyrrhenitic acid derivatives in leukemia cells. Cancer Biol. Ther. 2010, 9, 96–108. [Google Scholar] [CrossRef] [PubMed]
  30. Subba Rao, G.S.R.; Kondaiah, P.; Singh, S.K.; Ravanan, P.; Sporn, M.B. Chemical modifications of natural triterpenes—Glycyrrhetinic and boswellic acids: evaluation of their biological activity. Tetrahedron 2008, 64, 11541–11548. [Google Scholar] [CrossRef] [PubMed]
  31. Chadalapaka, G.; Jutooru, I.; McAlees, A.; Stefanac, T.; Safe, S. Structure-dependent inhibition of bladder and pancreatic cancer cell growth by 2-substituted glycyrrhetinic and ursolic acid derivatives. Bioorgan. Med. Chem. Lett. 2008, 18, 2633–2639. [Google Scholar] [CrossRef] [PubMed]
  32. Liu, D.; Song, D.; Guo, G.; Wang, R.; Lv, J.; Jing, Y.; Zhao, L. The synthesis of 18β-glycyrrhetinic acid derivatives which have increased anti-proliferative and apoptotic effects in leukemia cells. Bioorg. Med. Chem. 2007, 15, 5432–5439. [Google Scholar] [CrossRef] [PubMed]
  33. Schwarz, S.; Csuk, R.; Ströhl, D.; Siewert, B. Synthesis and antitumor activity of glycyrrhetinic acid derivatives. Bioorg. Med. Chem. 2010, 18, 7458–7474. [Google Scholar] [CrossRef] [PubMed]
  34. Csuk, R.; Schwarz, S.; Kluge, R. Improvement of the cytotoxicity and tumor selectivity of glycyrrhetinic acid by derivatization with bifunctional amino acids. Arch. Pharm. 2011, 344, 505–513. [Google Scholar] [CrossRef] [PubMed]
  35. Csuk, R.; Schwarz, S.; Siewert, B.; Kluge, R.; Ströhl, D. Synthesis and cytotoxic activity of methyl glycyrrhetinate esterified with amino acids. Z. für Naturforschung B 2012, 67, 731–746. [Google Scholar] [CrossRef]
  36. Gauthier, C.; Legault, J.; Lebrun, M.; Dufour, P.; Pichette, A. Glycosidation of lupane-type triterpenoids as potent in vitro cytotoxic agents. Bioorg. Med. Chem. 2006, 14, 6713–6725. [Google Scholar] [CrossRef] [PubMed]
  37. Schwarz, S.; Siewert, B.; Xavier, N.M.; Jesus, A.R.; Rauter, A.P.; Csuk, R. A “natural” approach: Synthesis and cytoxicity of monodesmosidic glycyrrhetinic acid glycosides. Eur. J. Med. Chem. 2014, 72, 78–83. [Google Scholar] [CrossRef] [PubMed]
  38. Gauthier, C.; Legault, J.; Girard-Lalancette, K.; Mshvildadze, V.; Pichette, A. Haemolytic activity, cytotoxicity and membrane cell permeabilization of semi-synthetic and natural lupane-and oleanane-type saponins. Bioorg. Med. Chem. 2009, 17, 2002–2008. [Google Scholar] [CrossRef] [PubMed]
  39. Thibeault, D.; Gauthier, C.; Legault, J.; Bouchard, J.; Dufour, P.; Pichette, A. Synthesis and structure-activity relationship study of cytotoxic germanicane-and lupane-type 3β-O-monodesmosidic saponins starting from betulin. Bioorg. Med. Chem. 2007, 15, 6144–6157. [Google Scholar] [CrossRef] [PubMed]
  40. Lai, Y.; Shen, L.; Zhang, Z.; Liu, W.; Zhang, Y.; Ji, H.; Tian, J. Synthesis and biological evaluation of furoxan-based nitric oxide-releasing derivatives of glycyrrhetinic acid as anti-hepatocellular carcinoma agents. Bioorg. Med. Chem. Lett. 2010, 20, 6416–6420. [Google Scholar] [CrossRef] [PubMed]
  41. Yadav, D.K.; Kalani, K.; Khan, F.; Srivastava, S.K. QSAR and docking based semi-synthesis and in vitro evaluation of 18 β-glycyrrhetinic acid derivatives against human lung cancer cell line A-549. Med. Chem. 2013, 9, 1073–1084. [Google Scholar] [CrossRef] [PubMed]
  42. Wang, Y.; Porter, W.W.; Suh, N.; Honda, T.; Gribble, G.W.; Leesnitzer, L.M.; Plunket, K.D.; Mangelsdorf, D.J.; Blanchard, S.G. A synthetic triterpenoid, 2-cyano-3, 12-dioxooleana-1, 9-dien-28-oic acid (CDDO), is a ligand for the peroxisome proliferator-activated receptor γ. Mol. Endocrinol. 2000, 14, 1550–1556. [Google Scholar] [PubMed]
  43. Honda, T.; Rounds, B.A.V.; Bore, L.; Finlay, H.J.; Favaloro, F.G., Jr.; Suh, N.; Wang, Y.; Sporn, M.B.; Gribble, G.W. Synthetic oleanane and ursane triterpenoids with modified rings A and C: A series of highly active inhibitors of nitric oxide production in mouse macrophages. J. Med. Chem. 2000, 43, 4233–4246. [Google Scholar] [CrossRef] [PubMed]
  44. Chintharlapalli, S.; Papineni, S.; Jutooru, I.; McAlees, A.; Safe, S. Structure-dependent activity of glycyrrhetinic acid derivatives as peroxisome proliferator–activated receptor γ agonists in colon cancer cells. Mol. Cancer Ther. 2007, 6, 1588–1598. [Google Scholar] [CrossRef] [PubMed]
  45. Chintharlapalli, S.; Papineni, S.; Liu, S.; Jutooru, I.; Chadalapaka, G.; Cho, S.D.; Murthy, R.S.; You, Y.; Safe, S. 2-Cyano-lup-1-en-3-oxo-20-oic acid, a cyano derivative of betulinic acid, activates peroxisome proliferator-activated receptor γ in colon and pancreatic cancer cells. Carcinogenesis 2007, 28, 2337–2346. [Google Scholar] [CrossRef] [PubMed]
  46. Csuk, R.; Schwarz, S.; Siewert, B. Synthesis and Antitumor Activity of Ring A—Modified Glycyrrhetinic Acid Derivatives. Z. Nat. B J. Chem. Sci. 2011, 66, 521–532. [Google Scholar]
  47. Jun, H.; Yang, W.; Chang-Qi, Z. Synthesis and Anti-tumor Activity of Opened A-Ring Modified 18 beta-Glycyrrhetinic Acid Derivatives. Chem. J. Chin. Univ. 2010, 31, 1762–1768. [Google Scholar]
  48. Fiore, C.; Salvi, M.; Palermo, M. On the mechanism of mitochondrial permeability transition induction by glycyrrhetinic acid. BBA Bioenerg. 2004, 1658, 195–201. [Google Scholar] [CrossRef] [PubMed]
  49. Salvi, M.; Fiore, C.; Battaglia, V. Carbenoxolone induces oxidative stress in liver mitochondria, which is responsible for transition pore opening. Endocrinology 2005, 146, 2306–2312. [Google Scholar] [CrossRef] [PubMed]
  50. Csuk, R.; Schwarz, S.; Kluge, R. Does One Keto Group Matter? Structure—Activity Relationships of Glycyrrhetinic Acid Derivatives Modified at Position C-11. Arch. Pharm. 2012, 345, 28–32. [Google Scholar] [CrossRef] [PubMed]
  51. Lin, D.; Zhong, W.; Li, J. Involvement of BID translocation in glycyrrhetinic acid and 11-deoxy glycyrrhetinic acid-induced attenuation of gastric cancer growth. Nutr. Cancer 2014, 66, 463–473. [Google Scholar] [CrossRef] [PubMed]
  52. Lallemand, B.; Chaix, F.; Bury, M. N-(2-{3-[3,5-bis(trifluoromethyl)phenyl]ureido}ethyl)-glycyrrhetinamide (6b): A novel anticancer glycyrrhetinic acid derivative that targets the proteasome and displays anti-kinase activity. J. Med. Chem. 2011, 54, 6501–6513. [Google Scholar] [CrossRef] [PubMed]
  53. Shi, J.; Xiao, J.; Wei, D. Synthesis of biotinylated 18β-glycyrrhetinic acid and its effect on tumor cells activity. Med. Chem. Res. 2009, 18, 538–544. [Google Scholar] [CrossRef]
  54. Jeong, H.J.; Chai, H.B.; Park, S.Y. Preparation of amino acid conjugates of betulinic acid with activity against human melanoma. Bioorg. Med. Chem. Lett. 1999, 9, 1201–1204. [Google Scholar] [CrossRef]
  55. Liu, Y.Q.; Tian, X.; Yang, L. First synthesis of novel spin-labeled derivatives of camptothecin as potential antineoplastic agents. Eur. J. Med. Chem. 2008, 43, 2610–2614. [Google Scholar] [CrossRef] [PubMed]
  56. Liu, Y.; Qian, K.; Wang, C.Y. Synthesis and biological evaluation of novel spin labeled 18β-glycyrrhetinic acid derivatives. Bioorg. Med. Chem. Lett. 2012, 22, 7530–7533. [Google Scholar] [CrossRef] [PubMed]
  57. Tatsuzaki, J.; Taniguchi, M.; Bastow, K.F. Anti-tumor agents 255: Novel glycyrrhetinic acid-dehydrozingerone conjugates as cytotoxic agents. Bioorg. Med. Chem. 2007, 15, 6193–6199. [Google Scholar] [CrossRef] [PubMed]
  58. Csuk, R.; Schwarz, S.; Siewert, B. Conversions at C-30 of Glycyrrhetinic Acid and Their Impact on Antitumor Activity. Arch. Pharm. 2012, 345, 223–230. [Google Scholar] [CrossRef] [PubMed]
  59. Shen, L.; Lai, Y.; Zhang, Y.; Luo, X.; Yuan, S.; Zhang, L. Synthesis and antitumor activities of nitrate derivatives of glycyrrthetinic acid. J. China Pharm. Univ. 2008, 39, 103–107. [Google Scholar]
  60. Shen, L.; Zhang, Y.; Lai, Y.; Luo, X.; Yuan, S.; Zhang, L. Synthesis and antitumor activity of nitric oxide-donating glycyrrhetinic acid derivatives coupled with nitrate moiety. J. China Pharm. Univ. 2011, 42, 34–38. [Google Scholar]
  61. Li, Y.; Feng, L.; Song, Z.F. Synthesis and anticancer activities of glycyrrhetinic acid derivatives. Molecules 2016, 21, 199. [Google Scholar] [CrossRef] [PubMed]
  62. Song, H.; Sun, Y.; Xu, G. Synthesis and biological evaluation of novel hydrogen sulfide releasing glycyrrhetic acid derivatives. J. Enzym. Inhib. Med. Chem. 2016, 31, 1457–1463. [Google Scholar] [CrossRef] [PubMed]
Figure 1. Structure of glycyrrhetinic acid.
Figure 1. Structure of glycyrrhetinic acid.
Molecules 22 00924 g001
Scheme 1. Synthesis of the GA amino alkyl derivatives 111. Reagents and conditions: (a) K2CO3,CH3I, DMF, 24 h, 25 °C; (b) ClCH2COCl, Et3N, THF (or CH2Cl2), 25 °C, 12 h; (c) H2N-(CH2)n-NH2, DMF, K2CO3, 12 h, 25 °C.
Scheme 1. Synthesis of the GA amino alkyl derivatives 111. Reagents and conditions: (a) K2CO3,CH3I, DMF, 24 h, 25 °C; (b) ClCH2COCl, Et3N, THF (or CH2Cl2), 25 °C, 12 h; (c) H2N-(CH2)n-NH2, DMF, K2CO3, 12 h, 25 °C.
Molecules 22 00924 sch001
Scheme 2. Synthesis of the GA amino acid derivatives 1232. Reagents and conditions: (a) K2CO3, alkyl halides, DMF, 24 h, 25 °C; (b) These compounds were synthesized by DCC mediated esterification of N-Boc protected amino acids followed by their deportation using TFA in dry DCM (for the amines) or by treating them with dry HCl gas in DCM (for the ammonium hydrochlorides).
Scheme 2. Synthesis of the GA amino acid derivatives 1232. Reagents and conditions: (a) K2CO3, alkyl halides, DMF, 24 h, 25 °C; (b) These compounds were synthesized by DCC mediated esterification of N-Boc protected amino acids followed by their deportation using TFA in dry DCM (for the amines) or by treating them with dry HCl gas in DCM (for the ammonium hydrochlorides).
Molecules 22 00924 sch002
Scheme 3. Synthesis of the GA amino acid derivatives 3344. Reagents and conditions: (a) DCC, DMAP, Boc-Asp(OBzl)OH or Boc-Glu(OBzl)OH, DCM, 12 h, 25 °C; (b) TFA, DCM, 12 h, 25 °C; (c) NH4+HCO2, Pd/C (10%), THF/MeOH, 12 h, 25 °C; (d) HCl (gas), DCM, 12 h, 25 °C; (e) CH3I, K2CO3, DMF, 2 h, 25 °C.
Scheme 3. Synthesis of the GA amino acid derivatives 3344. Reagents and conditions: (a) DCC, DMAP, Boc-Asp(OBzl)OH or Boc-Glu(OBzl)OH, DCM, 12 h, 25 °C; (b) TFA, DCM, 12 h, 25 °C; (c) NH4+HCO2, Pd/C (10%), THF/MeOH, 12 h, 25 °C; (d) HCl (gas), DCM, 12 h, 25 °C; (e) CH3I, K2CO3, DMF, 2 h, 25 °C.
Molecules 22 00924 sch003
Scheme 4. Synthesis of the GAMe (GA methyl ester) amino ester derivatives 4559. Reagents and conditions: (a) Boc-amino acids, DCM, DMAP, DCC, 12 h, 25 °C; (b) TFA in DCM, 12 h, 25 °C, or HCl (gas) in DCM, 12 h, 25 °C.
Scheme 4. Synthesis of the GAMe (GA methyl ester) amino ester derivatives 4559. Reagents and conditions: (a) Boc-amino acids, DCM, DMAP, DCC, 12 h, 25 °C; (b) TFA in DCM, 12 h, 25 °C, or HCl (gas) in DCM, 12 h, 25 °C.
Molecules 22 00924 sch004
Scheme 5. Synthesis of the GA glycosides derivatives 6066. Reagents and conditions: (a) Sugar trichloro acetimidate, TMSOTf, DCM, −70 °C–25 °C, 2 h.
Scheme 5. Synthesis of the GA glycosides derivatives 6066. Reagents and conditions: (a) Sugar trichloro acetimidate, TMSOTf, DCM, −70 °C–25 °C, 2 h.
Molecules 22 00924 sch005
Scheme 6. Synthesis of the GA furan-based nitric oxide (NO)-releasing derivatives 6774. Reagents and conditions: (a) CH3OH, p-TSA; (b) succinic anhydride, DMAP, dry DCM, 15 h; (c) phenylsulfonyl furans, DCC, DMAP, dry DCM, 24 h.
Scheme 6. Synthesis of the GA furan-based nitric oxide (NO)-releasing derivatives 6774. Reagents and conditions: (a) CH3OH, p-TSA; (b) succinic anhydride, DMAP, dry DCM, 15 h; (c) phenylsulfonyl furans, DCC, DMAP, dry DCM, 24 h.
Molecules 22 00924 sch006
Figure 2. Structures of GA-1, GA-2 and GA-3.
Figure 2. Structures of GA-1, GA-2 and GA-3.
Molecules 22 00924 g002
Figure 3. Structures of CDDO, CDDO-Me, β-CDODA and β-CDODA-Me.
Figure 3. Structures of CDDO, CDDO-Me, β-CDODA and β-CDODA-Me.
Molecules 22 00924 g003
Scheme 7. Synthesis of the GA 2-substituted derivatives 7579. Reagents and conditions: (a) CH2N2, Et2O, 0 °C; (b) IBX, DMSO, 21 h, 80–85 °C; (c) iodine, pyridine, tetrahydrofuran; (d) CuCN, NMP, 2 h, 130 °C; (e) CH3SO2Na, CuI, DMSO, 20 h, 120–125 °C; (f) CuI, methyl-2,2-difluoro-2-(fluorosulfonyl) acetate, DMF/HMPT, 20 h, 70 °C; (g) dimethyl phosphite, Cs2CO3, N,N-dimethylethylenediamine, toluene, 26 h, 95–100 °C.
Scheme 7. Synthesis of the GA 2-substituted derivatives 7579. Reagents and conditions: (a) CH2N2, Et2O, 0 °C; (b) IBX, DMSO, 21 h, 80–85 °C; (c) iodine, pyridine, tetrahydrofuran; (d) CuCN, NMP, 2 h, 130 °C; (e) CH3SO2Na, CuI, DMSO, 20 h, 120–125 °C; (f) CuI, methyl-2,2-difluoro-2-(fluorosulfonyl) acetate, DMF/HMPT, 20 h, 70 °C; (g) dimethyl phosphite, Cs2CO3, N,N-dimethylethylenediamine, toluene, 26 h, 95–100 °C.
Molecules 22 00924 sch007
Scheme 8. Synthesis of the C-2 and C-3 modified GA derivatives 8097. Reagents and conditions: (a) AcCl, pyridine, CH2Cl2, 2 h, 25 °C; (b) Jones reagent, 20–60 min, 25 °C; (c) KOH, hydrazine, ethylene glycol, 24 h, 200 °C; (d) periodic acid, DMSO, 3 days, −50 °C; (e) HOAc, p-TsOH, 24 h, 80 °C; (f) MeSO2Cl, pyridine (or Et3N for 15), 1–70 h, 25 °C; (g) for 92: K2CO3, DMF, 24 h, 120 °C; for 93: Bu4NF, DMF, 4 days, 102 °C; for 94: PPh3, 3,3-dimethylglutarimide, DEAD, THF, 24 h, 25 °C; (h) m-CPBA, CH2Cl2, 20 h, 25 °C; (i) 1,1′-thiocarbonyldiimidazole, 1,2-dichloroethane, 70 h, 100 °C; (j) Bu3SnH, AIBN (cat.), toluene, 40 h, 115 °C.
Scheme 8. Synthesis of the C-2 and C-3 modified GA derivatives 8097. Reagents and conditions: (a) AcCl, pyridine, CH2Cl2, 2 h, 25 °C; (b) Jones reagent, 20–60 min, 25 °C; (c) KOH, hydrazine, ethylene glycol, 24 h, 200 °C; (d) periodic acid, DMSO, 3 days, −50 °C; (e) HOAc, p-TsOH, 24 h, 80 °C; (f) MeSO2Cl, pyridine (or Et3N for 15), 1–70 h, 25 °C; (g) for 92: K2CO3, DMF, 24 h, 120 °C; for 93: Bu4NF, DMF, 4 days, 102 °C; for 94: PPh3, 3,3-dimethylglutarimide, DEAD, THF, 24 h, 25 °C; (h) m-CPBA, CH2Cl2, 20 h, 25 °C; (i) 1,1′-thiocarbonyldiimidazole, 1,2-dichloroethane, 70 h, 100 °C; (j) Bu3SnH, AIBN (cat.), toluene, 40 h, 115 °C.
Molecules 22 00924 sch008
Scheme 9. Synthesis of ring A modified GA derivatives 98112. Reagents and conditions: (a) Jones’ reagent; (b) HCO2Et, NaOMe; (c) NaOMe, H2O2; (d) t-BuOK/t-BuOH, n-BuONO; (e) NaBH4; (f) p-TsCl; (g) CH3I, K2CO3; (h) LiBr, Li2CO3; (i) m-CPBA, K2CO3; (j) HClO4; (k) KOH; (l) m-CPBA, NaHCO3; (m) NaOMe; (n) NH2OH·HCl; (o) p-TsCl, DMAP.
Scheme 9. Synthesis of ring A modified GA derivatives 98112. Reagents and conditions: (a) Jones’ reagent; (b) HCO2Et, NaOMe; (c) NaOMe, H2O2; (d) t-BuOK/t-BuOH, n-BuONO; (e) NaBH4; (f) p-TsCl; (g) CH3I, K2CO3; (h) LiBr, Li2CO3; (i) m-CPBA, K2CO3; (j) HClO4; (k) KOH; (l) m-CPBA, NaHCO3; (m) NaOMe; (n) NH2OH·HCl; (o) p-TsCl, DMAP.
Molecules 22 00924 sch009
Scheme 10. Synthesis of ring C modified GA derivatives 113115. Reagents and conditions: (a) Zinc dust, conc. HCl, dioxane, 25 °C, 24 h; (b) MeI, K2CO3, DMF, 25 °C, 24 h; (c) BH3-THF, THF, citric acid, 25 °C, 20 h; (d) EtI, K2CO3, DMF, 25 °C, 24 h; (e) BH3-THF, THF, Na2CO3, 25 °C, 4 days.
Scheme 10. Synthesis of ring C modified GA derivatives 113115. Reagents and conditions: (a) Zinc dust, conc. HCl, dioxane, 25 °C, 24 h; (b) MeI, K2CO3, DMF, 25 °C, 24 h; (c) BH3-THF, THF, citric acid, 25 °C, 20 h; (d) EtI, K2CO3, DMF, 25 °C, 24 h; (e) BH3-THF, THF, Na2CO3, 25 °C, 4 days.
Molecules 22 00924 sch010
Scheme 11. Synthesis of ring E modified GA derivatives 116130. Reagents and conditions: (a) 1. DCC, HOBt, DIPEA, DMF, r.t., 30 min; 2. R1NH2, r.t., overnight; (b) 1. DCC, HOBt, DIPEA, DMF, r.t., 30 min; 2. H2N(CH2)2NHBoc, r.t., overnight; (c) TFA, DCM, 0 °C, 3 h; (d) DMAP, RCOCl, DCM; (e) THF, RNCO, r.t., 20 h; (f) THF, RNCS, r.t., 20 h; (g) Jones reagent, acetone, 0 °C, 45 min.
Scheme 11. Synthesis of ring E modified GA derivatives 116130. Reagents and conditions: (a) 1. DCC, HOBt, DIPEA, DMF, r.t., 30 min; 2. R1NH2, r.t., overnight; (b) 1. DCC, HOBt, DIPEA, DMF, r.t., 30 min; 2. H2N(CH2)2NHBoc, r.t., overnight; (c) TFA, DCM, 0 °C, 3 h; (d) DMAP, RCOCl, DCM; (e) THF, RNCO, r.t., 20 h; (f) THF, RNCS, r.t., 20 h; (g) Jones reagent, acetone, 0 °C, 45 min.
Molecules 22 00924 sch011
Scheme 12. Synthesis of ring E modified GA derivatives 131155. Reagents and conditions: (a) (i) amino acid methyl ester EDCI/HOBt/Et3N, DMF; (ii) 4N NaOH THF/MeOH; (b) EDCI/HOBt/Et3N DMF, r.t., overnight; (c) EDCI/HOBt/Et3N DMF, r.t., overnight.
Scheme 12. Synthesis of ring E modified GA derivatives 131155. Reagents and conditions: (a) (i) amino acid methyl ester EDCI/HOBt/Et3N, DMF; (ii) 4N NaOH THF/MeOH; (b) EDCI/HOBt/Et3N DMF, r.t., overnight; (c) EDCI/HOBt/Et3N DMF, r.t., overnight.
Molecules 22 00924 sch012
Scheme 13. Syntheses of GA–DZ derivatives 156166. Reagents and conditions: (a) Molecules 22 00924 i001, 1N NaOH (for R2 = Me), 5N KOH (for R2 = Ph); (b) GA, EDCI, DMAP, CH2Cl2.
Scheme 13. Syntheses of GA–DZ derivatives 156166. Reagents and conditions: (a) Molecules 22 00924 i001, 1N NaOH (for R2 = Me), 5N KOH (for R2 = Ph); (b) GA, EDCI, DMAP, CH2Cl2.
Molecules 22 00924 sch013
Scheme 14. Synthesis of the GA amide derivatives 167169. Reagents and conditions: (a) K2CO3, diamine, DMF, 25 °C, 20 h; (b) Boc2O, Et3N, MeOH, 25 °C, 20 h.
Scheme 14. Synthesis of the GA amide derivatives 167169. Reagents and conditions: (a) K2CO3, diamine, DMF, 25 °C, 20 h; (b) Boc2O, Et3N, MeOH, 25 °C, 20 h.
Molecules 22 00924 sch014
Scheme 15. Synthesis of the GA ester derivatives 170175. Reagents and conditions: (a) K2CO3, alkyl halide, DMF, 25 °C, 20 h.
Scheme 15. Synthesis of the GA ester derivatives 170175. Reagents and conditions: (a) K2CO3, alkyl halide, DMF, 25 °C, 20 h.
Molecules 22 00924 sch015
Scheme 16. Synthesis of multiple rings modified GA derivatives 176199. Reagents and conditions: (a) ferulic acid analogs, EDCI, DMAP, CH2Cl2, r.t.; (b) Boc-L-methionine or Boc-L-selenomethionine, EDCI, DMAP, CH2Cl2, r.t.; (c) HCl (gas) in CH2Cl2, r.t.
Scheme 16. Synthesis of multiple rings modified GA derivatives 176199. Reagents and conditions: (a) ferulic acid analogs, EDCI, DMAP, CH2Cl2, r.t.; (b) Boc-L-methionine or Boc-L-selenomethionine, EDCI, DMAP, CH2Cl2, r.t.; (c) HCl (gas) in CH2Cl2, r.t.
Molecules 22 00924 sch016
Scheme 17. Synthesis of multiple rings modified GA derivatives 200210: Reagents and conditions: (a) K2CO3, cat. KI, 60 °C, 12 h, chromatography; (b) Ac2O, Py, r.t., 3 h, chromatography; (c) K2CO3, cat. KI, 224, or 225 or 226, 60 °C, 12 h; (d) Zn (containing 10% HgCl2), concentrated. HCl, 1,4-dioxane, 20 °C, 2 h, chromatography; (e) K2CO3, cat. KI, 227, 60 °C, 12 h, chromatography; (f) ClCH2COCl, Py, THF, r.t., 4 h; (g) Et3N, THF, refluxing, 10 h; (h) K2CO3, cat. KI 230 or 231 60 °C, 12 h, chromatography.
Scheme 17. Synthesis of multiple rings modified GA derivatives 200210: Reagents and conditions: (a) K2CO3, cat. KI, 60 °C, 12 h, chromatography; (b) Ac2O, Py, r.t., 3 h, chromatography; (c) K2CO3, cat. KI, 224, or 225 or 226, 60 °C, 12 h; (d) Zn (containing 10% HgCl2), concentrated. HCl, 1,4-dioxane, 20 °C, 2 h, chromatography; (e) K2CO3, cat. KI, 227, 60 °C, 12 h, chromatography; (f) ClCH2COCl, Py, THF, r.t., 4 h; (g) Et3N, THF, refluxing, 10 h; (h) K2CO3, cat. KI 230 or 231 60 °C, 12 h, chromatography.
Molecules 22 00924 sch017
Figure 4. Structure-activity relationships of GA.
Figure 4. Structure-activity relationships of GA.
Molecules 22 00924 g004
Table 1. Cytotoxicity (IC50 values in µM) of 111 in a panel of various cancer cell lines.
Table 1. Cytotoxicity (IC50 values in µM) of 111 in a panel of various cancer cell lines.
Cell LinesGA1234567891011
518A283.9227.5425.435.243.792.552.021.091.273.493.124.33
8505C86.5026.0726.0815.863.372.121.781.682.133.356.187.60
A25380.7819.4225.546.193.642.562.271.121.743.014.655.48
A278074.5725.5423.776.014.392.432.001.361.142.803.303.63
A54982.7623.5024.808.395.153.312.521.592.214.082.235.16
DLD-181.2126.1217.366.134.392.662.400.911.253.964.505.53
FADU84.5523.4123.5612.445.573.513.301.782.204.265.545.65
HCT-1178.8322.1014.415.134.302.412.191.171.703.533.443.86
HCT-878.8524.3613.393.972.371.511.380.620.892.922.424.07
HT-2980.0927.5416.915.342.901.691.280.590.862.762.062.73
LIPO81.4420.4725.3914.553.892.571.931.591.444.365.486.93
MCF-784.7022.1425.226.693.552.451.791.170.983.893.332.68
SW173676.9334.8716.423.146.053.302.691.612.244.093.303.73
SW48086.8016.0825.918.923.682.541.912.252.243.935.744.73
Table 2. Cytotoxicity (IC50 values in µM) of 1232 in a panel of various cancer cell lines.
Table 2. Cytotoxicity (IC50 values in µM) of 1232 in a panel of various cancer cell lines.
Compound8505CA253A2780A549DLD-1LIPOAverage
GA86.50 ± 4.2080.78 ± 4.0474.57 ± 3.7382.76 ± 4.1481.21 ± 4.0681.44 ± 4.0781.4 ± 4.07
1224.58 ± 1.2325.04 ± 1.2526.96 ± 1.3522.74 ± 1.1428.14 ± 1.4127.66 ± 1.3824.39 ± 1.22
1314.24 ± 0.7115.76 ± 0.7924.95 ± 1.2514.41 ± 0.7227.61 ± 1.3815.93 ± 0.8019.21 ± 0.96
148.10 ± 0.4110.67 ± 0.5420.32 ± 1.186.15 ± 0.3122.69 ± 1.1311.54 ± 0.8013.76 ± 0.69
15>30>30>30>30>30>30>30
16>30>30>30>30>30>30>30
17>30>30>30>30>30>30>30
187.45 ± 0.376.26 ± 0.315.99 ± 0.306.42 ± 0.328.59 ± 0.437.54 ± 0.387.04 ± 0.35
194.31 ± 0.223.61 ± 0.182.98 ± 0.152.77 ± 0.144.49 ± 0.224.30 ± 0.223.74 ± 0.19
202.55 ± 0.132.50 ± 0.131.72 ± 0.092.40 ± 0.122.51 ± 0.132.52 ± 0.132.37 ± 0.12
215.32 ± 0.273.59 ± 0.183.90 ± 0.205.39 ± 0.275.61 ± 0.284.32 ± 0.224.69 ± 0.23
223.87 ± 0.192.33 ± 0.122.59 ± 0.133.43 ± 0.173.72 ± 0.192.74 ± 0.143.11 ± 0.16
232.32 ± 0.122.23 ± 0.111.77 ± 0.092.18 ± 0.112.74 ± 0.142.38 ± 0.122.27 ± 0.11
242.76 ± 0.142.01 ± 0.102.24 ± 0.112.65 ± 0.132.54 ± 0.132.74 ± 0.142.49 ± 0.12
253.49 ± 0.173.51 ± 0.182.08 ± 0.103.43 ± 0.175.54 ± 0.283.53 ± 0.183.60 ± 0.18
261.96 ± 0.102.68 ± 0.131.31 ± 0.071.78 ± 0.093.52 ± 0.183.49 ± 0.172.46 ± 0.12
274.79 ± 0.245.03 ± 0.253.54 ± 0.185.07 ± 0.254.54 ± 0.234.81 ± 0.244.63 ± 0.23
283.10 ± 0.163.49 ± 0.172.85 ± 0.143.51 ± 0.185.02 ± 0.253.57 ± 0.183.59 ± 0.18
293.19 ± 0.163.05 ± 0.151.73 ± 0.092.76 ± 0.144.54 ± 0.233.25 ± 0.163.09 ± 0.15
30>30>30>30>30>30>30>30
31>30>30>30>30>30>30>30
32>30>30>30>30>30>30>30
Table 3. Cytotoxicity (IC50 values in µM) of 3340, 43, 44 in a panel of various cancer cell lines.
Table 3. Cytotoxicity (IC50 values in µM) of 3340, 43, 44 in a panel of various cancer cell lines.
Cell Lines3536373839404344
518A210.90 ± 0.551.75 ± 0.0917.19 ± 0.8617.94 ± 0.90>100>10039.24 ± 1.9647.72 ± 2.39
8505C12.97 ± 0.451.76 ± 0.0915.82 ± 0.7917.00 ± 0.85>100>10045.36 ± 2.2761.57 ± 3.08
A2537.99 ± 0.401.28 ± 0.0615.07 ± 0.7513.80 ± 0.69>100>10030.47 ± 1.5253.07 ± 2.65
A27808.84 ± 0.441.65 ± 0.0817.29 ± 0.8618.24 ± 0.91>100>10022.44 ± 1.1229.19 ± 1.46
A54910.94 ± 0.551.77 ± 0.0919.82 ± 0.9921.20 ± 1.06>100>10031.59 ± 1.5860.96 ± 3.05
Lipo11.35 ± 0.571.74 ± 0.0916.67 ± 0.8318.78 ± 0.94>100>10040.62 ± 2.0354.77 ± 2.74
MCF-77.35 ± 0.361.27 ± 0.0617.47 ± 0.8716.96 ± 0.85>100>10016.89 ± 0.8429.26 ± 1.46
SW173616.68 ± 0.832.33 ± 0.1217.13 ± 0.8619.24 ± 0.96>100>10020.85 ± 1.0438.50 ± 1.93
Average10.88 ± 0.541.69 ± 0.0817.06 ± 0.8517.90 ± 0.90>100>10030.93 ± 1.5546.77 ± 2.34
NiH3T314.74 ± 0.7439.09 ± 1.9523.09 ± 1.1524.42 ± 1.22>100>10016.89 ± 0.8433.63 ± 1.68
F1.3523.131.351.36 0.550.72
Table 4. Cytotoxicity (IC50 values in µM) of 4559 in a panel of various cancer cell lines.
Table 4. Cytotoxicity (IC50 values in µM) of 4559 in a panel of various cancer cell lines.
Compound8505CA253A2780A549DLD-1LIPOMCF-7
452.922.262.242.263.353.562.25
462.502.461.832.133.422.502.49
479.625.564.586.9111.647.965.49
4816.936.415.509.948.7016.154.60
4911.477.4812.5614.4812.4522.326.06
50>30>306.89>30>30>30>30
51>30>30>30>30>30>30>30
52>30>30>30>30>30>30>30
533.473.412.133.393.413.542.73
543.523.522.483.384.494.543.40
555.484.054.945.436.275.954.03
564.023.764.063.884.384.022.46
572.894.042.592.351.480.803.01
582.492.211.982.533.012.701.55
592.402.431.582.432.272.511.75
Table 5. Cytotoxicity (IC50 values in µM) of 6066 in a panel of various cancer cell lines (NA = not active).
Table 5. Cytotoxicity (IC50 values in µM) of 6066 in a panel of various cancer cell lines (NA = not active).
Cell Lines60616263646566GA–Me
SW1736NANANA.23.87 ± 1.311.18 ± 0.921.38 ± 1.9NA34.87 ± 1.2
MCF-7NA16.7 ± 1.419.60 ± 1.4NA9.48 ± 1.420.11 ± 1.3NA22.14 ± 0.9
LIPONANANA28.45 ± 2.1NA23.23 ± 1.3NA20.47 ± 1.1
DLD-1NANANANANA23.18 ± 1.7NA26.12 ± 1.0
A253NANANA27.25 ± 1.813.16 ± 0.919.70 ± 1.4NA19.42 ± 1.1
8505CNANANANA21.97 ± 0.622.77 ± 1.4NA26.07 ± 1.3
518A2NANANA28.92 ± 2.025.95 ± 0.823.26 ± 1.2NA27.54 ± 1.0
NiH3T3NANANANANA23.45 ± 0.1NA22.81 ± 0.6
Table 6. Cytotoxicity (IC50 values in µM) of 6874 in a panel of various cancer cell lines.
Table 6. Cytotoxicity (IC50 values in µM) of 6874 in a panel of various cancer cell lines.
Cell LinesGA68697071727374
HepG2>5018.1813.4126.0336.5215.677.902.90
BEL-7402>507.859.226.038.2019.927.372.94
Table 7. Cytotoxicity (IC50 values in μM) of GA-1, GA-2 and GA-3 in A-549.
Table 7. Cytotoxicity (IC50 values in μM) of GA-1, GA-2 and GA-3 in A-549.
Cell LinesGA-1GA-2GA-3
A5491.1821.0441.274
Table 8. Cytotoxicity (IC50 values in μM) of 7679 and β-CDODA-Me in a panel of various cancer cell lines.
Table 8. Cytotoxicity (IC50 values in μM) of 7679 and β-CDODA-Me in a panel of various cancer cell lines.
Compound253JB-VKU7Panc-1Panc-28
762.673.044.0812.75
7711.973.347.699.75
780.670.380.821.14
797.903.736.118.14
β-CDODA-Me0.251.591.221.80
Table 9. Cytotoxicity (IC50 values in μM) of 8095, 97 in a panel of various cancer cell lines.
Table 9. Cytotoxicity (IC50 values in μM) of 8095, 97 in a panel of various cancer cell lines.
Compound518A28505CA2780A549DLD-1LIPOMCF-7SW1736
80–85>30>30>30>30>30>30>30>30
8618.3319.2828.83>30>3028.7421.8716.56
8729.8227.6914.8426.6229.5624.8028.6827.00
88>30>30>30>30>30>30>3013.24
89>3029.42>30>30>30>30>3029.40
90–92>30>30>30>30>30>30>30>30
93>30>3014.95>30>30>30>3019.14
94, 95>30>30>30>30>30>30>30>30
9723.6924.3010.39>30>3025.52>3016.98
Table 10. Cytotoxicity (IC50 values in μM) of 98112 in a panel of various cancer cell lines.
Table 10. Cytotoxicity (IC50 values in μM) of 98112 in a panel of various cancer cell lines.
Cell Lines9899100101102103104105
HepG-261.70>10071.8347.12>100>100>1000.22
106107108109110111112
HepG-259.98>100>100>10088.68>100>100
Table 11. Cytotoxicity (IC50 values in μM) of 1, 12, 113115 in a panel of various cancer cell lines.
Table 11. Cytotoxicity (IC50 values in μM) of 1, 12, 113115 in a panel of various cancer cell lines.
Cell LinesGA113111412115
518A283.9271.4927.5434.5425.2351.52
8505C86.5078.5226.0733.8824.5852.80
A278074.5762.7825.5423.5826.9657.01
A43179.5886.1325.2833.5523.4546.55
A54982.7679.1323.5031.5922.7448.97
DLD-181.2190.5026.1231.7328.1452.80
HCT-11678.8387.7022.1031.8221.5847.78
HCT-878.8588.7624.3631.3443.4244.32
HT-2980.0990.3027.5423.8922.1444.32
LIPO81.4473.8820.4734.8127.6652.80
MCF-784.7090.1922.1434.3718.6148.97
SW173676.9372.4734.8732.3513.3745.48
NIH3T318.5268.7022.8142.2223.6643.16
Table 12. Cytotoxicity (IC50 values in μM) of 116130 in a panel of various cancer cell lines.
Table 12. Cytotoxicity (IC50 values in μM) of 116130 in a panel of various cancer cell lines.
CompoundA549SKMELT98GHS683U373PC3MCF7816F10
GA>10092858483807637
11652>100915943343437
11740>100>1005775433831
1183382465642333132
1194360736357413748
12031>100>1005832315930
1214749623855532836
1226342775875724631
1233738543637473031
1246835776776722731
1252837353129302528
1262949302830322831
127791266844
1282965714242464241
12931382582993034
1303833353635393033
Table 13. Cytotoxicity (GI50 values in μM) of 141155 in a panel of various cancer cell lines.
Table 13. Cytotoxicity (GI50 values in μM) of 141155 in a panel of various cancer cell lines.
CompoundA549DU145KBKbvin
GA61.2 ± 2.3364.9 ± 0.50561.2 ± 0.11862.3 ± 1.41
141>70>70>70>70
142>70>70>70>70
14319.4 ± 0.90919.3 ± 0.29214.6 ± 0.44814.9 ± 0.471
14434.2 ± 1.8828.9 ± 0.92117.5 ± 0.92718.6 ± 0.931
14523.3 ± 0.30421.7 ± 0.40216.9 ± 0.50119.2 ± 0.497
14644.0 ± 0.05745.5 ± 0.66639.9 ± 0.61847.6 ± 1.06
14718.3 ± 0.37317.4 ± 0.61915.3 ± 0.46919.5 ± 1.33
148>70>70>70>70
14919.6 ± 1.6022.0 ± 0.54616.0 ± 0.36817.0 ± 0.377
15015.0 ± 0.68915.0 ± 0.36314.2 ± 0.67013.7 ± 1.25
15146.7 ± 1.9046.2 ± 0.69745.5 ± 1.0446.9 ± 0.230
15246.1 ± 0.65345.2 ± 1.2741.3 ± 0.34644.2 ± 0.280
15319.0 ± 1.1322.5 ± 0.60617.8 ± 0.19316.6 ± 0.591
15434.5 ± 0.18739.5 ± 1.0530.7 ± 0.48027.3 ± 0.338
15541.5 ± 1.8343.2 ± 1.6138.4 ± 1.1538.5 ± 0.956
Table 14. Cytotoxicity (ED50 values in μM) of 156166 in a panel of various cancer cell lines.
Table 14. Cytotoxicity (ED50 values in μM) of 156166 in a panel of various cancer cell lines.
CompoundKBKB-VINA5491A9HCT-8ZR-751PC-3DU-145LN-Cap
GA>21>21NA>2119.5NA>21>21>21
DZNANA>5233.9>52>52>52>5251
1561.62.520.91.72.81.43.10.6
1570.82.82.20.81.931.13.62.8
1580.91.92.81.621.92.89.96.5
1596.2>1515.55.92.6>157.4>151.9
1601.81.71.71.12.75.23.35.81.1
1612.913.231.84.98.83.5>156.8
16238.73.21.32.22.71.62.74.4
163NANA>14>14>14NA>14>14>14
1649.9NA>1413.3>14>1414.1>1414.1
165NANANA>14>14NA14.1>1414.1
166>14>14NANA>14NA>1413>14
Table 15. Cytotoxicity (IC50 values in μM) of 167175 in a panel of various cancer cell lines.
Table 15. Cytotoxicity (IC50 values in μM) of 167175 in a panel of various cancer cell lines.
Compound518A28505CA253A549DLD-1LipoSW1736
GA83.9286.5080.7882.7681.2181.4476.93
167>30>30>30>30>30>30>30
168>30>30>30>30>30>30>30
169>30>30>30>30>30>30>30
17015.1915.5915.8920.2722.9815.4619.87
17128.99>30>30>30>30>3028.64
17221.008.8210.974.2823.0911.471.88
17314.9111.6113.5719.1614.8812.7716.36
17415.3315.5915.8920.2722.9815.4619.87
175>30>30>30>30>30>30>30
Table 16. Cytotoxicity (IC50 values in μM) of 176199 in a panel of various cancer cell lines.
Table 16. Cytotoxicity (IC50 values in μM) of 176199 in a panel of various cancer cell lines.
CompoundMCF-7MDA-MB-231hTERT-RPE1
GA75.66 ± 1.5284.70 ± 1.7363.41 ± 1.07
17613.64 ± 0.935.03 ± 0.8217.32 ± 1.21
17722.46 ± 1.268.14 ± 0.7622.80 ± 0.97
17820.29 ± 1.4714.38 ± 0.5229.63 ± 1.16
17924.45 ± 1.3614.46 ± 0.5828.41 ± 0.87
1808.54 ± 0.677.31 ± 0.1618.59 ± 0.54
18119.27 ± 1.019.41 ± 1.0321.11 ± 0.73
18214.90 ± 0.7520.84 ± 1.2024.09 ± 0.88
18319.30 ± 0.9823.15 ± 1.0722.88 ± 0.68
1926.00 ± 0.433.52 ± 0.6110.36 ± 0.80
1931.88 ± 0.201.37 ± 0.184.93 ± 0.36
1948.62 ± 0.235.36 ± 0.4416.28 ± 0.51
1958.45 ± 0.323.49 ± 0.6112.33 ± 0.46
1967.24 ± 0.306.43 ± 0.848.48 ± 0.73
1976.02 ± 0.356.27 ± 0.246.33 ± 0.19
1982.65 ± 0.122.31 ± 0.655.65 ± 1.02
1992.42 ± 0.231.86 ± 0.297.08 ± 0.73
Table 17. Cytotoxicity (IC50 values in μM) of 200206, 209 and 210 in a panel of various cancer cell lines.
Table 17. Cytotoxicity (IC50 values in μM) of 200206, 209 and 210 in a panel of various cancer cell lines.
CompoundHepG2DU-145MDA-MB-231
GA74.35 ± 2.0369.40 ± 2.3772.65 ± 1.67
200>10021.59 ± 3.2224.66 ± 2.71
201>100>10089.40 ± 2.85
202>100>100>100
20310.01 ± 2.2911.96 ± 1.4217.80 ± 1.76
204>100>10079.3 ± 2.34
20536.37 ± 1.89>10040.65 ± 2.11
206>100>100>100
209>100>100>100
210>100>100>100

Share and Cite

MDPI and ACS Style

Xu, B.; Wu, G.-R.; Zhang, X.-Y.; Yan, M.-M.; Zhao, R.; Xue, N.-N.; Fang, K.; Wang, H.; Chen, M.; Guo, W.-B.; et al. An Overview of Structurally Modified Glycyrrhetinic Acid Derivatives as Antitumor Agents. Molecules 2017, 22, 924. https://doi.org/10.3390/molecules22060924

AMA Style

Xu B, Wu G-R, Zhang X-Y, Yan M-M, Zhao R, Xue N-N, Fang K, Wang H, Chen M, Guo W-B, et al. An Overview of Structurally Modified Glycyrrhetinic Acid Derivatives as Antitumor Agents. Molecules. 2017; 22(6):924. https://doi.org/10.3390/molecules22060924

Chicago/Turabian Style

Xu, Bing, Gao-Rong Wu, Xin-Yu Zhang, Meng-Meng Yan, Rui Zhao, Nan-Nan Xue, Kang Fang, Hui Wang, Meng Chen, Wen-Bo Guo, and et al. 2017. "An Overview of Structurally Modified Glycyrrhetinic Acid Derivatives as Antitumor Agents" Molecules 22, no. 6: 924. https://doi.org/10.3390/molecules22060924

APA Style

Xu, B., Wu, G.-R., Zhang, X.-Y., Yan, M.-M., Zhao, R., Xue, N.-N., Fang, K., Wang, H., Chen, M., Guo, W.-B., Wang, P.-L., & Lei, H.-M. (2017). An Overview of Structurally Modified Glycyrrhetinic Acid Derivatives as Antitumor Agents. Molecules, 22(6), 924. https://doi.org/10.3390/molecules22060924

Article Metrics

Back to TopTop