Rapidly Simultaneous Determination of Six Effective Components in Cistanche tubulosa by Near Infrared Spectroscopy
Abstract
:1. Introduction
2. Results
2.1. HPLC Analysis
2.2. NIRS Analysis
2.3. Establishment of Quantitative Calibration Models
2.3.1. Selection of the Wave Band for the Calibration Models
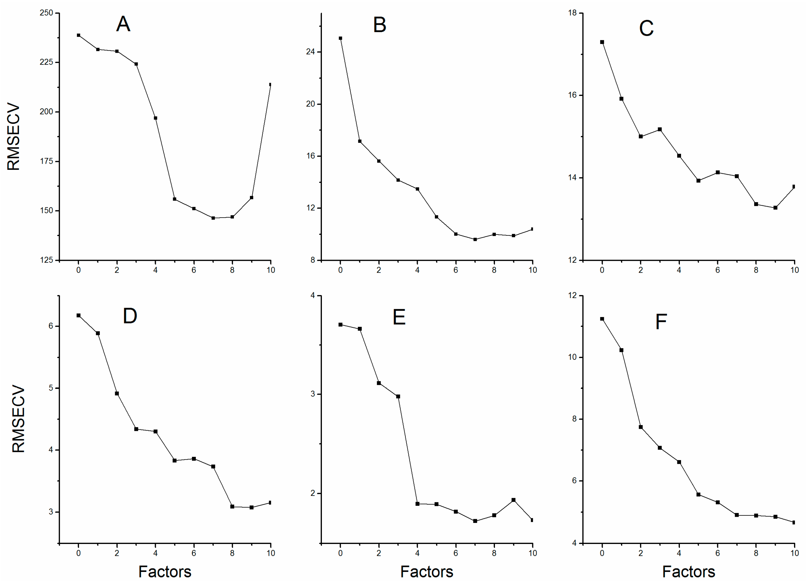
2.3.2. Selection of the Optimum Number of Factors for the Calibration Models
2.3.3. Selection of Spectral Pretreatment for the Calibration Models
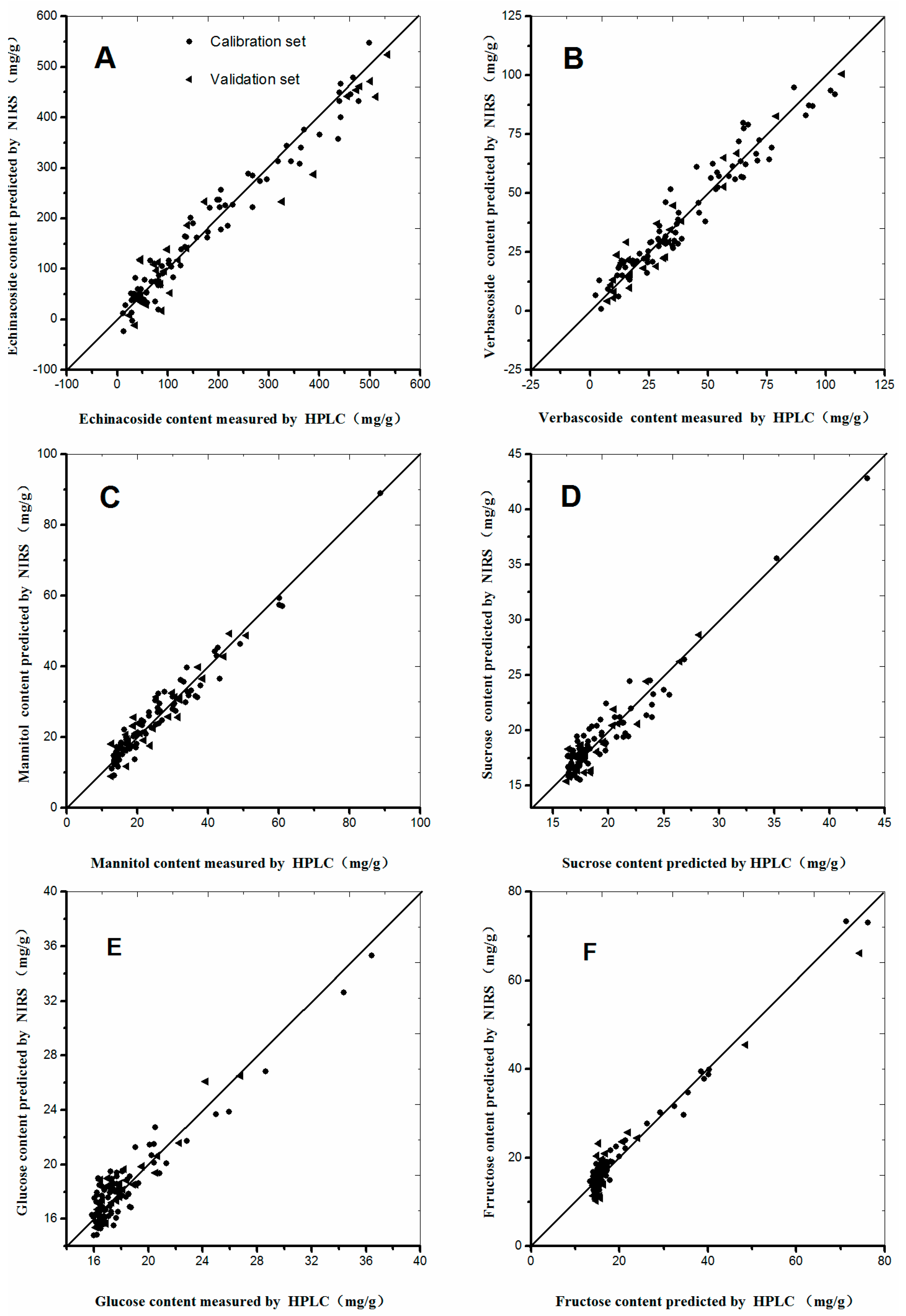
2.4. Evaluation of the Established Models
3. Materials and Methods
3.1. Sample Preparation
3.2. NIR Spectroscopic Data Collection
3.3. HPLC Data Collection
3.3.1. Extraction Preparation
3.3.2. Simultaneous Determination of Echinacoside and Verbascoside with HPLC-UV
3.3.3. Simultaneous Determination of Mannitol, Sucrose, Glucose and Fructose with HPLC-ELSD
3.4. Data Processing
4. Conclusions
Acknowledgments
Author Contributions
Conflicts of Interest
References
- Jiang, Y.; Tu, P.F. Analysis of chemical constituents in cistanche species. J. Chromatogr. A 2009, 1216, 1970–1979. [Google Scholar] [CrossRef] [PubMed]
- Xu, R.; Chen, J.; Chen, S.-L.; Liu, T.-N.; Zhu, W.-C.; Xu, J. Cistanche deserticola Ma cultivated as a new crop in China. Genet. Resour. Crop Evol. 2008, 56, 137–142. [Google Scholar] [CrossRef]
- Chinese Pharmacopoeia Committee Editing. Chinese Pharmacopoeia, 2005th ed.; Chemical Industrial Press: Beijing, China, 2005; Volume 1, p. 90. [Google Scholar]
- Kobayashi, H.; Komatsu, J. Constituents of cistanchis herba (1). Yakugaku Zasshi 1983, 103, 508–511. [Google Scholar] [CrossRef] [PubMed]
- Song, Z.H.; Lei, L.; Tu, P.F. Advances in research of pharmacological activity in plants of cistanche hoffing. Et link. Chin. Tradit. Herb. Drugs 2003, 34, 473–476. [Google Scholar]
- Xiong, Q.; Kadota, S.; Tani, T.; Namba, T. Antioxidative effects of phenylethanoids from Cistanche deserticola. Biol. Pharm. Bull. 1996, 19, 1580–1585. [Google Scholar] [CrossRef] [PubMed]
- Xuan, G.D.; Liu, C.Q. Research on the effect of phenylethanoid glycosides (PEG) of the Cistanche deserticola on anti–aging in aged mice induced by D-galactose. J. Chin. Med. Mater. 2008, 31, 1385–1388. [Google Scholar]
- Sato, T.; Kozima, S.; Kobayashi, K.; Kobayashi, H. Pharmacological studies on Cistanchis Herba. I. Effects of the constituents of Cistanchis Herba on sex and learning behavior in chronic stressed mice. Yakugaku Zasshi 1986, 105, 1131–1144. [Google Scholar] [CrossRef]
- Shen, C.Y.; Jiang, J.G.; Yang, L.; Wang, D.W.; Zhu, W. Anti-ageing active ingredients from herbs and nutraceuticals used in traditional Chinese medicine: pharmacological mechanisms and implications for drug discovery. Br. J. Pharmacol. 2016, 11, 1395–1425. [Google Scholar] [CrossRef] [PubMed]
- Li, N.; Wang, J.; Ma, J.; Gu, Z.; Jiang, C.; Yu, L.; Fu, X. Neuroprotective Effects of Cistanches Herba Therapy on Patients with Moderate Alzheimer’s Disease. Evid. Based Complement. Altern. Med. 2015, 2015. [Google Scholar] [CrossRef] [PubMed]
- Gao, J.Y.; Jiang, Y.; Dai, F.; Han, Z.L.; Liu, H.Y.; Bao, Z.; Zhang, T.M.; Tu, P.F. Study on laxative Constituents in Cistanche deserticola Y.C. Ma. Mod. Chin. Med. 2015, 17, 307–310. [Google Scholar]
- Tu, P.F.; Chen, Q.L.; Jiang, Y.; Guo, Y.H.; Yang, T.X.; Wang, X.Y.; Aierkan, M.; Li, X.B.; Du, Y.; Nan, Z.D.; et al. Cultivation techniques of Cistanche tubulosa and its host tamarix spp. Mod. Chin. Med. 2015, 17, 349–358. [Google Scholar]
- Tu, P.F.; Jiang, Y.; Guo, Y.H.; Tian, Y.Z.; Li, X.B.; Wang, X.Y.; Wei, J.; Chen, Q.L.; Aierkan, M. Developing ecological industry of cistanches herba for promoting ecological civilization of the western desert region. Mod. Chin. Med. 2015, 17, 297–301. [Google Scholar]
- Lu, D.Y.; Zhang, J.Y.; Yang, Z.Y.; Liu, H.M.; Li, S.; Wu, B.J.; Ma, Z.G. Quantitative analysis of cistanches herba using high-performance liquid chromatography coupled with diode array detection and high-resolution mass spectrometry combined with chemometric methods. J. Sep. Sci. 2013, 36, 1945–1952. [Google Scholar] [CrossRef] [PubMed]
- Jiang, Y.; Li, S.P.; Wang, Y.T.; Chen, X.J.; Tu, P.F. Differentiation of herba cistanches by fingerprint with high-performance liquid chromatography-diode array detection-mass spectrometry. J. Chromatogr. A 2009, 1216, 2156–2162. [Google Scholar] [CrossRef] [PubMed]
- Li, J.; Xu, B.; Zhang, Y.; Dai, S.; Sun, F.; Shi, X.; Qiao, Y. Determination of Geniposide in Gardenia jasminoidesellis fruit by near-infrared spectroscopy and chemometrics. Anal. Lett. 2016, 49, 2063–2076. [Google Scholar] [CrossRef]
- Alamar, P.D.; Carames, E.T.S.; Poppi, R.J.; Pallone, J.A.L. Quality evaluation of frozen guava and yellow passion fruit pulps by NIR spectroscopy and chemometrics. Food. Res. Int. 2016, 85, 209–214. [Google Scholar] [CrossRef]
- Clavaud, M.; Roggo, Y.; Degardin, K.; Sacre, P.Y.; Hubert, P.; Ziemons, E. Moisture content determination in an antibody-drug conjugate freeze-dried medicine by near-infrared spectroscopy: A case study for release testing. J. Pharm. Biomed. Anal. 2016, 131, 380–390. [Google Scholar] [CrossRef] [PubMed]
- McGoverin, C.M.; Hanifi, A.; Palukuru, U.P.; Yousefi, F.; Glenn, P.B.; Shockley, M.; Spencer, R.G.; Pleshko, N. Nondestructive assessment of engineered cartilage composition by near infrared spectroscopy. Ann. Biomed. Eng. 2016, 44, 680–692. [Google Scholar] [CrossRef] [PubMed]
- Meng, Y.; Wang, S.; Cai, R.; Jiang, B.; Zhao, W. Discrimination and content analysis of fritillaria using near infrared spectroscopy. J. Anal. Methods Chem. 2015, 2015. [Google Scholar] [CrossRef] [PubMed]
- Huang, Y.W.; Wang, J.H.; Li, X.Y.; Jacqueline, J.S.; Lei, L.; Han, D.H. Research on fast discrimination between panax ginseng and panax quinquefolium based on near infrared spectroscopy. Spectrosc. Spectrosc. Anal. 2010, 30, 2954–2957. [Google Scholar]
- Li, W.; Wang, Y.; Qu, H. Near infrared spectroscopy as a tool for the rapid analysis of the honeysuckle extracts. Vib. Spectrosc. 2012, 62, 159–164. [Google Scholar] [CrossRef]
- Cai, H.; Bao, Z.; Jiang, Y.; Sun, Y.Q.; Xu, X.W.; Tu, P.F. Quantitative analysis of three active constituents in crude drug of Cistanche deserticola influenced by different factors. Chin. Tradit. Herb. Drugs 2013, 44, 3223–3230. [Google Scholar]
- Lin, H.; Yan, C.R.; Xu, C.X.; Cai, J.; Wang, D.J. Simultaneous Determination by HPLC-ELSD of Ten Kinds of Sugars and Sugar Alcohols in Foods. Food Sci. 2013, 34, 286–291. [Google Scholar]
- Yan, S.M.; Liu, J.P.; Xu, L.; Fu, X.S.; Cui, H.F.; Yun, Z.Y.; Yu, X.P.; Ye, Z.H. Rapid discrimination of the geographical origins of an oolong tea (anxi-tieguanyin) by near-infrared spectroscopy and partial least squares discriminant analysis. J. Anal. Methods Chem. 2014, 2014. [Google Scholar] [CrossRef] [PubMed]
- Nie, L.; Dai, Z.; Ma, S. Enhanced accuracy of near-infrared spectroscopy for traditional Chinese medicine with competitive adaptive reweighted sampling. Anal. Lett. 2016, 49, 2259–2267. [Google Scholar] [CrossRef]
- Xie, L.; Ye, X.; Liu, D.; Ying, Y. Quantification of glucose, fructose and sucrose in bayberry juice by NIR and PLS. Food Chem. 2009, 114, 1135–1140. [Google Scholar] [CrossRef]
- Huang, Y.W.; Wang, J.H.; Jacqueline, J.S.; Lei, L.; Han, D.H. Determination of total main ginsenosides contents in American ginseng and Chinese ginseng using near infrared spectroscopy. Chin. J. Anal. Chem. 2011, 39, 377–381. [Google Scholar]
- Malley, D.F.; McClure, C.; Martin, P.D.; Buckley, K.; McCaughey, W.P. Compositional analysis of cattle manure during composting using a field-portable near-infrared spectrometer. Commun. Soil Sci. Plant Anal. 2005, 36, 455–475. [Google Scholar] [CrossRef]
Sample Availability: Samples of the compounds are available from the authors. |




| Medicinal Components | tR (min) | Standard Sample Range (mg/g) | Calibration Curve | r | Recovery (%, n = 3) | Sample Value Range (mg/g) |
|---|---|---|---|---|---|---|
| Echinacoside | 5.79 | 1.00–1000.00 | Y = 1.106 × 10−4X + 2.50 | 0.9998 | 98.5 | 6.50–535.45 |
| Verbascoside | 8.10 | 1.00–250.00 | Y = 8.100 × 10−5X + 0.03 | 0.9995 | 103.8 | 1.35–212.88 |
| Fructose | 12.50 | 1.00–250.00 | Y = 4.195 × 10−2X + 2.13 | 0.9999 | 100.5 | 13.36–104.78 |
| Mannitol | 14.70 | 1.00–100.00 | Y = 4.954 × 10−3X + 0.113 | 0.9990 | 99.6 | 12.52–88.70 |
| Glucose | 15.70 | 1.00–100.00 | Y = 1.857 × 10−2X + 0.104 | 0.9999 | 100.2 | 15.84–75.36 |
| Sucrose | 21.60 | 1.00–100.00 | Y = 6.816 × 10−3X + 0.156 | 0.9996 | 98.5 | 16.22–43.43 |
| Medicinal Components | Performances of RMSEC and r | Wave Band | |
|---|---|---|---|
| 4000–10,000 cm−1 | 4000–7500 cm−1 | ||
| Echinacoside | RMSEC | 27.9 | 136.0 |
| r | 0.9813 | 0.3431 | |
| Verbascoside | RMSEC | 6.69 | 11.00 |
| r | 0.9629 | 0.8956 | |
| Mannitol | RMSEC | 3.05 | 12.5 |
| r | 0.9747 | 0.4029 | |
| Sucrose | RMSEC | 1.21 | 2.63 |
| r | 0.9584 | 0.786 | |
| Glucose | RMSEC | 1.22 | 2.16 |
| r | 0.9426 | 0.8074 | |
| Fructose | RMSEC | 1.57 | 6.75 |
| r | 0.99 | 0.7951 | |
| Medicinal Components | Optimum NO. of Factors | Pretreatment Spectral | Calibration Set | Validation Set | ||
|---|---|---|---|---|---|---|
| RMSEC | r | RMSEP | Rp | |||
| Echinacoside | 7 | MSV, 1st D, SG (7, 3) | 44.00 | 0.9531 | 42.70 | 0.9601 |
| MSV, 2nd D, SG (7, 3) | 27.60 | 0.9808 | 24.53 | 0.9688 | ||
| Verbascoside | 7 | SNV, 1st D, SG (15, 3) | 6.84 | 0.9612 | 7.28 | 0.9637 |
| SNV, 2nd D, SG (15, 3) | 6.76 | 0.9627 | 6.57 | 0.9617 | ||
| mannitol | 9 | SNV, 1st D, SG (7, 3) | 10.50 | 0.6350 | 14.00 | 0.1287 |
| SNV, 2nd D, SG (7, 3) | 2.85 | 0.9775 | 3.32 | 0.9460 | ||
| Sucrose | 9 | MSV, 1st D, SG (7, 3) | 1.63 | 0.9228 | 1.34 | 0.9456 |
| MSV, 2nd D, SG (7, 3) | 1.19 | 0.9597 | 1.02 | 0.9449 | ||
| Glucose | 7 | SNV, 1st D, SG (17, 3) | 1.21 | 0.9437 | 1.09 | 0.9006 |
| SNV, 2nd D, SG (17, 3) | 1.20 | 0.9441 | 1.00 | 0.9336 | ||
| Fructose | 10 | SNV, 1st D, SG (13, 3) | 3.70 | 0.9432 | 4.75 | 0.9252 |
| SNV, 2nd D, SG (13, 3) | 1.55 | 0.9902 | 1.74 | 0.9689 | ||
© 2017 by the authors. Licensee MDPI, Basel, Switzerland. This article is an open access article distributed under the terms and conditions of the Creative Commons Attribution (CC BY) license (http://creativecommons.org/licenses/by/4.0/).
Share and Cite
Wang, X.; Wang, X.; Guo, Y. Rapidly Simultaneous Determination of Six Effective Components in Cistanche tubulosa by Near Infrared Spectroscopy. Molecules 2017, 22, 843. https://doi.org/10.3390/molecules22050843
Wang X, Wang X, Guo Y. Rapidly Simultaneous Determination of Six Effective Components in Cistanche tubulosa by Near Infrared Spectroscopy. Molecules. 2017; 22(5):843. https://doi.org/10.3390/molecules22050843
Chicago/Turabian StyleWang, Xinhong, Xiaoguang Wang, and Yuhai Guo. 2017. "Rapidly Simultaneous Determination of Six Effective Components in Cistanche tubulosa by Near Infrared Spectroscopy" Molecules 22, no. 5: 843. https://doi.org/10.3390/molecules22050843
APA StyleWang, X., Wang, X., & Guo, Y. (2017). Rapidly Simultaneous Determination of Six Effective Components in Cistanche tubulosa by Near Infrared Spectroscopy. Molecules, 22(5), 843. https://doi.org/10.3390/molecules22050843

