In Vitro Anticancer Activity and Structural Characterization of Ubiquinones from Antrodia cinnamomea Mycelium
Abstract
:1. Introduction
2. Results and Discussion
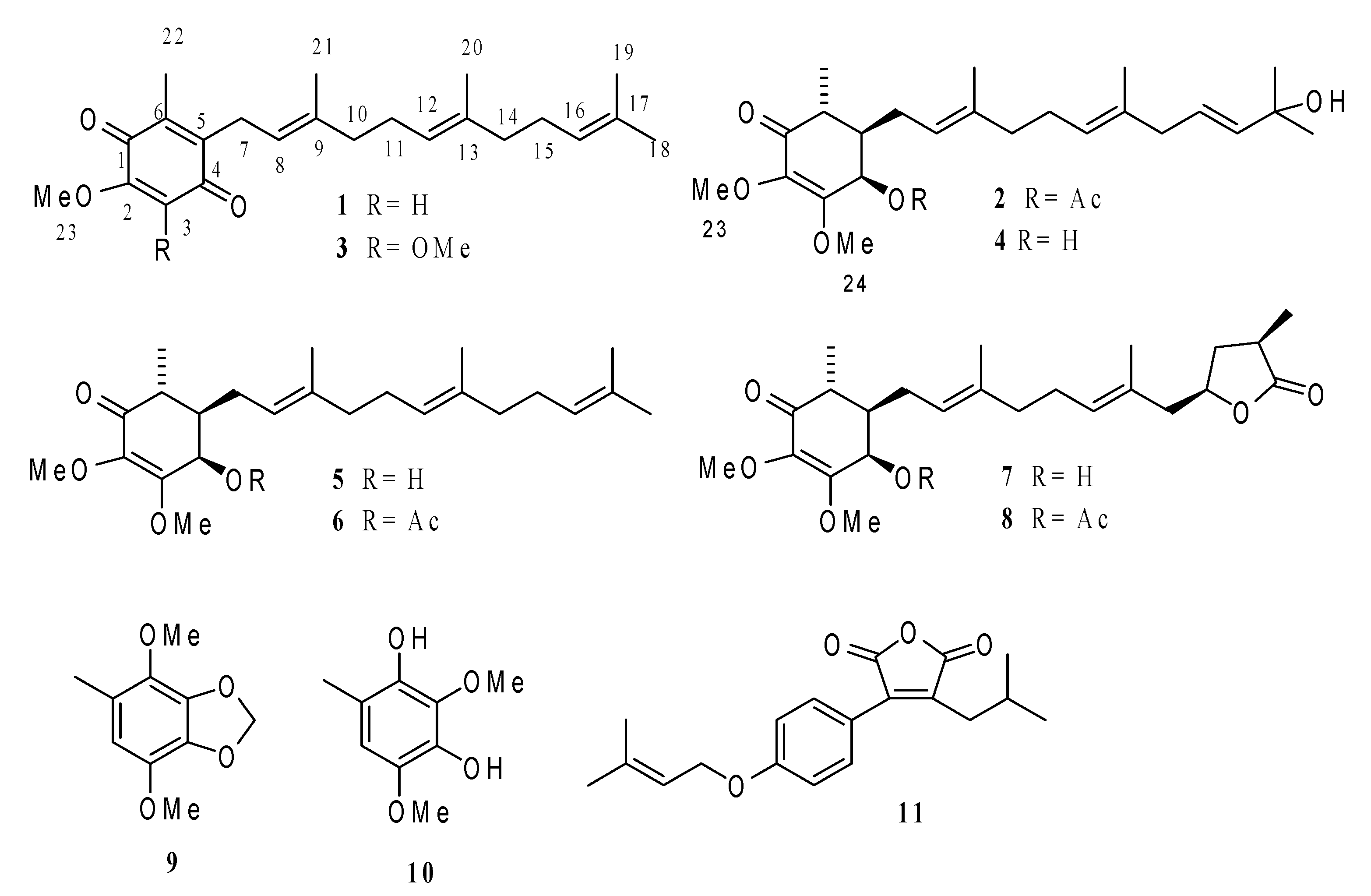
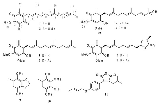
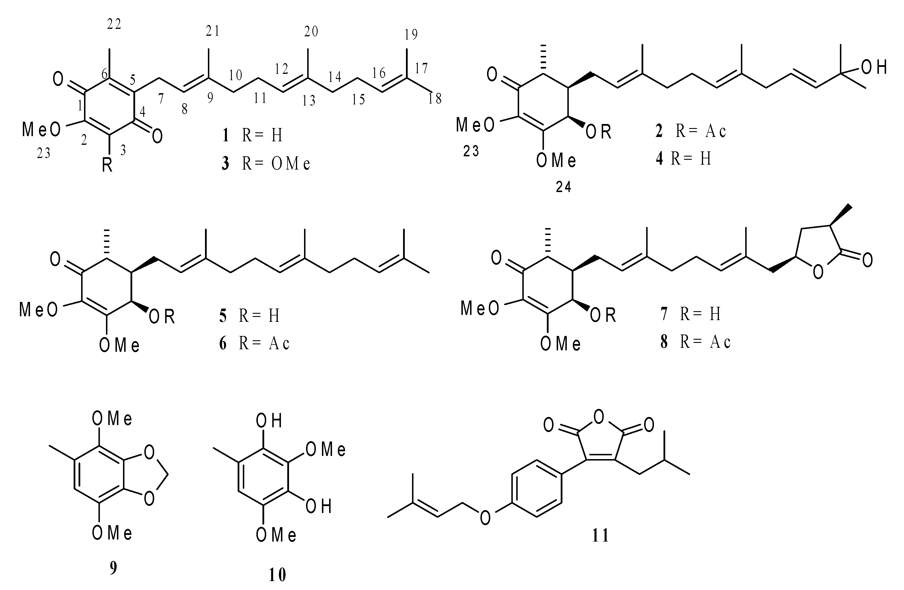
2.1. Isolation and Identification
2.2. HPLC Analysis and Fingerprint of Compounds
2.3. Cytotoxic Activity of Compounds 1–8
2.4. Effect of 4-Acetylantrocamol LT3 on the Cell Cycle Distribution
3. Experimental Section
3.1. General Methods
3.2. Material
3.3. Preparation of Crude Fungus Extracts
3.4. Isolation and Purification of Compounds
3.5. Preparation of Standard and Sample Solutions for HPLC Analysis
3.6. HPLC Analysis Method
3.7. Chemicals and Reagents
3.8. Cell Lines and Culture
3.9. Cytotoxicity Analysis Method
3.10. Cell Cycle Analysis
3.11. Statistical Analysis
4. Conclusions
Supplementary Materials
Acknowledgments
Author Contributions
Conflicts of Interest
References
- Forouzanfar, M.H.; Afshin, A.; Alexander, L.T.; Anderson, H.R.; Bhutta, Z.A.; Biryukov, S.; Brauer, M.; Burnett, R.; Cercy, K.; Charlson, F.J.; et al. Global, regional, and national comparative risk assessment of 79 behavioural, environmental and occupational, and metabolic risks or clusters of risks, 1990–2015. Lancet 2016, 388, 1659–1724. [Google Scholar] [CrossRef]
- Geethangili, M.; Tzeng, Y.M. Review of pharmacological effects of Antrodia camphorata and its bioactive compounds. Evid. Based Complement. Altern. Med. 2009, 2011, 212641. [Google Scholar]
- Chen, Y.C.; Chiu, H.L.; Chao, C.Y.; Lin, W.H.; Chao, L.K.; Huang, G.J.; Kuo, Y.H. New anti-inflammatory aromatic components from Antrodia camphorata. Int. J. Mol. Sci. 2013, 14, 4629–4639. [Google Scholar] [CrossRef] [PubMed]
- Chiang, P.C.; Lin, S.C.; Pan, S.L.; Kuo, C.H.; Tsai, I.L.; Kuo, M.T.; Wen, W.C.; Chen, P.; Guh, J.H. Antroquinonol displays anticancer potential against human hepatocellular carcinoma cells: A crucial role of AMPK and mTOR pathways. Biochem. Pharmacol. 2010, 79, 162–171. [Google Scholar] [CrossRef] [PubMed]
- Kumar, V.B.; Yuan, T.C.; Liou, J.W.; Yang, C.J.; Sung, P.J.; Weng, C.F. Antroquinonol inhibits NSCLC proliferation by altering PI3K/mTOR proteins and miRNA expression profiles. Mutation Res. 2011, 707, 42–52. [Google Scholar] [CrossRef] [PubMed]
- Yu, C.C.; Chiang, P.C.; Lu, P.H.; Kuo, M.T.; Wen, W.C.; Chen, P.; Guh, J.H. Antroquinonol, a natural ubiquinone derivative, induces a cross talk between apoptosis, autophagy and senescence in human pancreatic carcinoma cells. J. Nutr. Biochem. 2012, 23, 900–907. [Google Scholar] [CrossRef] [PubMed]
- Chang, W.H.; Chen, M.C.; Cheng, I.H. Antroquinonol lowers brain amyloid-β levels and improves spatial learning and memory in a transgenic mouse model of Alzheimer’s disease. Sci. Rep. 2015, 5, 1–12. [Google Scholar] [CrossRef] [PubMed]
- Soares, A.A.; de Sá-Nakanishi, A.B.; Bracht, A.; da Costa, S.M.G.; Koehnlein, E.A.; de Souza, C.G.M.; Peralta, R.M. Hepatoprotective effects of mushrooms. Molecules 2013, 18, 7609–7630. [Google Scholar] [CrossRef] [PubMed]
- Tsai, P.Y.; Ka, S.M.; Chang, J.M.; Lai, J.H.; Dai, M.S.; Jheng, H.L.; Kuo, M.T.; Chen, P.; Chen, A. Antroquinonol differentially modulates T cell activity and reduces interleukin-18 production, but enhances Nrf2 activation, in murine accelerated severe lupus nephritis. Arthritis Rheumatol. 2012, 64, 232–242. [Google Scholar] [CrossRef] [PubMed]
- Lee, T.H.; Lee, C.K.; Tsou, W.L.; Liu, S.Y.; Kuo, M.T.; Wen, W.C. A new cytotoxic agent from solid-state fermented mycelium of Antrodia camphorata. Planta Med. 2007, 73, 1412–1415. [Google Scholar] [CrossRef] [PubMed]
- Yasuyuki Asaia, S.W. The interaction of ubiquinone-3 with phospholipid membranes. FEBS Lett. 1999, 446, 169–172. [Google Scholar]
- Yen, I.C.; Yao, C.W.; Kuo, M.T.; Chao, C.L.; Pai, C.Y.; Chang, W.L. Anti-Cancer agents derived from solid-state fermented Antrodia camphorata mycelium. Fitoterapia 2015, 102, 115–119. [Google Scholar] [CrossRef] [PubMed]
- Yang, S.S.; Wang, G.J.; Wang, S.Y.; Lin, Y.Y.; Kuo, Y.H.; Lee, T.H. New constituents with iNOS inhibitory activity from mycelium of Antrodia camphorata. Planta Med. 2009, 75, 512–516. [Google Scholar] [CrossRef] [PubMed]
- Chen, P.Y.; Wu, J.D.; Tang, K.Y.; Yu, C.C.; Kuo, Y.H.; Zhong, W.B.; Lee, C.K. Isolation and synthesis of a bioactive benzenoid derivative from the fruiting bodies of Antrodia camphorata. Molecules 2013, 18, 7600–7608. [Google Scholar] [CrossRef] [PubMed]
- Lu, M.C.; El-Shazly, M.; Wu, T.Y.; Du, Y.C.; Chang, T.T.; Chen, C.F.; Hsu, Y.M.; Lai, K.H.; Chiu, C.P.; Chang, F.R.; et al. Recent research and development of Antrodia cinnamomea. Pharmacol. Ther. 2013, 139, 124–156. [Google Scholar] [CrossRef] [PubMed]
- Traficante, D.D. Carbon-13 NMR chemical shifts in structural and stereochemical analysis. Concepts Magn. Reson. 1996, 8, 297–298. [Google Scholar] [CrossRef]
- Drexler, H.G.; Uphoff, C.C. Detection of mycoplasma contaminations. In Basic Cell Culture Protocols, 1st ed.; Helgason, C.D., Miller, C.L., Eds.; Humana Press: New York, NY, USA, 2005; Volume 290, pp. 13–23. [Google Scholar]
- Lee, S.Y.; Li, M.H.; Shi, L.S.; Chu, H.; Ho, C.W.; Chang, T.C. Rhodiola crenulata extract alleviates hypoxic pulmonary edema in rats. Evid. Based Complement. Altern. Med. 2013, 2013, 718739. [Google Scholar]
Sample Availability: Samples of the compounds are available from the authors. |





| Position | 1 | 3 | 4 | 2 a |
|---|---|---|---|---|
| δH Mult. (J in Hz) | δH Mult. (J in Hz) | δH Mult. (J in Hz) | δH Mult. (J in Hz) | |
| 3 | 5.85 s | |||
| 4 | 4.31 d (2.8) | 5.71 d (3.2) | ||
| 5 | 1.70 m | 1.88 m | ||
| 6 | 2.51 dq (9.6, 6.8) | 2.51 dq (10.8, 7.2) | ||
| 7 | 3.19 d (6.8) | 3.16 d (6.8) | 2.21 m | 2.24 m 1.95 m |
| 8 | 4.92 t (6.8) | 4.91 t (6.8) | 5.14 t (6.8) | 5.09 t (6.8) |
| 10 | 1.90–2.00 m | 1.90–2.00 m | 2.02 m | 2.00 m |
| 11 | 1.97–2.05 m | 1.97–2.05 m | 2.08 t | 2.06 m |
| 12 | 5.04 t (7.2) | 5.03 t (7.2) | 5.08 t (6.4) | 5.09 t (6.8) |
| 14 | 1.90–2.00 m | 1.90–2.00 m | 2.64 d (4.8) | 2.63 d (5.6) |
| 15 | 1.97–2.05 m | 1.97–2.05 m | 5.56 m | 5.57 m |
| 16 | 5.05 t (7.2) | 5.05 t (7.2) | 5.56 m | 5.59 d (5.6) |
| 18 | 1.66 s | 1.65 s | 1.29 s | 1.29 s |
| 19 | 1.56 s | 1.57 s | 1.29 s | 1.29 s |
| 20 | 1.55 s | 1.55 s | 1.55 s | 1.53 s |
| 21 | 1.72 s | 1.72 s | 1.63 s | 1.55 s |
| 22 | 2.02 s | 2.00 s | 1.14 d (7.2) | 1.17 d (7.2) |
| 23 | 3.77 s | 3.97 s | 3.63 s | 3.65 s |
| 24 | 3.96 s | 4.04 s | 3.98 s |
| Position | 1 | 3 | 4 | 2 a |
|---|---|---|---|---|
| δC Mult. | δC Mult. | δC Mult. | δC Mult. | |
| 1 | 182.80 s | 184.75 s | 197.20 s | 196.91 s |
| 2 | 158.31 s | 144.36 s | 135.84 s | 137.29 s |
| 3 | 107.09 s | 144.21 s | 160.58 s | 158.20 s |
| 4 | 186.95 s | 183.90 s | 67.88 d | 69.10 d |
| 5 | 138.75 s | 138.85 s | 43.40 d | 43.00 d |
| 6 | 144.09 s | 141.67 s | 40.24 d | 41.29 d |
| 7 | 25.68 t | 25.29 t | 26.94 t | 26.84 t |
| 8 | 118.98 d | 118.87 d | 121.19 d | 120.36 d |
| 9 | 137.51 s | 137.57 s | 137.76 s | 137.77 s |
| 10 | 39.68 t | 39.68 t | 39.62 t | 39.60 t |
| 11 | 26.43 t | 26.45 t | 26.35 t | 26.44 t |
| 12 | 123.82 d | 123.83 d | 124.83 d | 124.90 d |
| 13 | 135.19 s | 135.18 s | 134.04 s | 133.80 s |
| 14 | 39.66 t | 39.67 t | 42.20 t | 42.29 t |
| 15 | 26.74 d | 26.72 d | 125.22 d | 125.26 d |
| 16 | 124.30 d | 124.29 d | 139.16 d | 139.20 d |
| 17 | 131.29 s | 131.27 s | 70.76 s | 70.63 s |
| 18 | 25.48 q | 25.67 q | 29.85 q | 29.77 q |
| 19 | 17.65 q | 17.64 q | 29.80 q | 29.77 q |
| 20 | 16.00 q | 15.98 q | 16.14 q | 16.02 q |
| 21 | 16.34 q | 16.30 q | 16.14 q | 16.08 q |
| 22 | 11.85 q | 11.92 s | 12.32 q | 12.83 q |
| 23 | 56.07 q | 61.12 q | 60.59 q | 60.69 q |
| 24 | 61.12 q | 59.20 q | 59.67 q |
| Compound | IC50 (μM) | |||
|---|---|---|---|---|
| MDCK a | A549 a | HepG2 a | PC3 a | |
| 1 | >100 | 0.3820 | >100 | 0.0140 |
| 2 | >100 | 0.0270 | 0.1280 | 4.2850 |
| 3 | >100 | 4.1600 | >100 | 0.0600 |
| 4 | >100 | 0.0080 | 0.1060 | 0.0010 |
| 5 | 10.531 | 0.4210 | 0.0440 | 0.0730 |
| 6 | 41.612 | 0.6110 | 0.0750 | 2.3150 |
| 7 | >100 | 6.0320 | 21.3720 | 1.0310 |
| 8 | >100 | 35.8830 | >100 | 20.3310 |
| 9 | >100 | >100 | >100 | 13.2590 |
| 10 | >100 | >100 | >100 | >100 |
| 11 | >100 | >100 | 90.4110 | >100 |
| Vepesid® (μM) | 4.049 | |||
| Taxol® (nM) | 0.354 | 0.461 | ||
| Dosage (μM) | sub G1 (%) | G1 (%) | S (%) | G2-M (%) |
|---|---|---|---|---|
| Control a,b,c | 1.2 ± 0.4 | 53.2 ± 1.8 | 13.2 ± 3.4 | 31.3 ± 2.5 |
| 4-acetylantrocamol LT3 (1 μM) a,b,c | 6.0 ± 0.7 | 37.4 ± 4.2 | 15.4 ± 1.6 | 33.6 ± 4.7 |
| 4-acetylantrocamol LT3 (10 μM) a,b,c | 9.2 ± 2.1 | 32.9 ± 2.4 | 19.3 ± 4.9 | 33.6 ± 5.6 |
© 2017 by the authors. Licensee MDPI, Basel, Switzerland. This article is an open access article distributed under the terms and conditions of the Creative Commons Attribution (CC BY) license (http://creativecommons.org/licenses/by/4.0/).
Share and Cite
Yen, I.-C.; Lee, S.-Y.; Lin, K.-T.; Lai, F.-Y.; Kuo, M.-T.; Chang, W.-L. In Vitro Anticancer Activity and Structural Characterization of Ubiquinones from Antrodia cinnamomea Mycelium. Molecules 2017, 22, 747. https://doi.org/10.3390/molecules22050747
Yen I-C, Lee S-Y, Lin K-T, Lai F-Y, Kuo M-T, Chang W-L. In Vitro Anticancer Activity and Structural Characterization of Ubiquinones from Antrodia cinnamomea Mycelium. Molecules. 2017; 22(5):747. https://doi.org/10.3390/molecules22050747
Chicago/Turabian StyleYen, I-Chuan, Shih-Yu Lee, Kuen-Tze Lin, Feng-Yi Lai, Mao-Tien Kuo, and Wen-Liang Chang. 2017. "In Vitro Anticancer Activity and Structural Characterization of Ubiquinones from Antrodia cinnamomea Mycelium" Molecules 22, no. 5: 747. https://doi.org/10.3390/molecules22050747
APA StyleYen, I.-C., Lee, S.-Y., Lin, K.-T., Lai, F.-Y., Kuo, M.-T., & Chang, W.-L. (2017). In Vitro Anticancer Activity and Structural Characterization of Ubiquinones from Antrodia cinnamomea Mycelium. Molecules, 22(5), 747. https://doi.org/10.3390/molecules22050747

