MALDI-MS Imaging of Urushiols in Poison Ivy Stem
Abstract
:1. Introduction
2. Results
3. Discussion
4. Materials and Methods
4.1. Plant Growth Conditions
4.2. GC-MS Urushiol Extraction and Quantification
4.3. Cryo-Sectioning for MALDI-MS Imaging
4.4. MALDI-MS Imaging Analysis
Supplementary Materials
Acknowledgments
Author Contributions
Conflicts of Interest
References
- Epstein, W. Poison oak and poison ivy dermatitis as an occupational problem. Cutis 1974, 13, 544–548. [Google Scholar]
- Majima, R.; Chō, S. Über einen hauptbestandteil des japanischen lackes. Eur. J. Inorg. Chem. 1907, 40, 4390–4393. [Google Scholar] [CrossRef]
- Majima, R. Über den hauptbestandteil des japan-lacks, viii. Mitteilung: Stellung der doppelbindungen in der seitenkette des urushiols und beweisführung, daß das urushiol eine mischung ist. Eur. J. Inorg. Chem. 1922, 55, 172–191. [Google Scholar] [CrossRef]
- Symes, W.; Dawson, C.R. Separation and structural determination of the olefinic components of poison ivy urushiol, cardanol and cardol. Nature 1953, 171, 841–842. [Google Scholar] [CrossRef] [PubMed]
- Symes, W.F.; Dawson, C.R. Poison ivy “urushiol”. J. Am. Chem. Soc. 1954, 76, 2959–2963. [Google Scholar] [CrossRef]
- Hill, G.A.; Mattacotti, V.; Graham, W. The toxic principle of the poison ivy. J. Am. Chem. Soc. 1934, 56, 2736–2738. [Google Scholar] [CrossRef]
- Johnson, R.A.; Baer, H.; Kirkpatrick, C.H.; Dawson, C.R.; Khurana, R. Comparison of the contact allergenicity of the four pentadecylcatechols derived from poison ivy urushiol in human subjects. J. Allergy Clin. Immunol. 1972, 49, 27–35. [Google Scholar] [CrossRef]
- Byers, V.S.; Castagnoli, N., Jr.; Epstein, W.L. In vitro studies of poison oak immunity: I. Effect of urushiol analogues on the human in vitro response. J. Clin. Investig. 1979, 64, 1449. [Google Scholar] [CrossRef] [PubMed]
- Elsohly, M.A.; Turner, C.E. GLC analysis of poison ivy and poison oak urushiol components in vegetable oil preparations. J. Pharm. Sci. 1980, 69, 587–589. [Google Scholar] [CrossRef] [PubMed]
- ElSohly, M.A.; Adawadkar, P.D.; Ma, C.-Y.; Turner, C.E. Separation and characterization of poison ivy and poison oak urushiol components. J. Nat. Prod. 1982, 45, 532–538. [Google Scholar] [CrossRef]
- Markiewitz, K.H.; Dawson, C.R. On the isolation of the allegenically active components of the toxic principle of poison ivy. J. Organ. Chem. 1965, 30, 1610–1613. [Google Scholar] [CrossRef]
- Gross, M.; Baer, H.; Fales, H.M. Urushiols of poisonous Anacardiaceae. Phytochemistry 1975, 14, 2263–2266. [Google Scholar] [CrossRef]
- Yamauchi, Y.; Oshima, R.; Kumanotani, J. Separation of Japanese lac urushiol diacetate on silver nitrate-coated silica gel columns by high-performance liquid chromatography. J. Chromatogr. A 1980, 198, 49–56. [Google Scholar] [CrossRef]
- Draper, W.M.; Wijekoon, D.; McKinney, M.; Behniwal, P.; Perera, S.K.; Flessel, C.P. Atmospheric pressure ionization LC-MS-MS determination of urushiol congeners. J. Agric. Food Chem. 2002, 50, 1852–1858. [Google Scholar] [CrossRef] [PubMed]
- Tadjimukhamedov, F.K.; Huang, G.M.; Ouyang, Z.; Cooks, R.G. Rapid detection of urushiol allergens of Toxicodendron genus using leaf spray mass spectrometry. Analyst 2012, 137, 1082–1084. [Google Scholar] [CrossRef] [PubMed]
- Sturtevant, D.; Lee, Y.-J.; Chapman, K.D. Matrix assisted laser desorption/ionization-mass spectrometry imaging (MALDI-MSI) for direct visualization of plant metabolites in situ. Curr. Opin. Biotechnol. 2016, 37, 53–60. [Google Scholar] [CrossRef] [PubMed]
- Geissman, T. The biosynthesis of phenolic plant products. In Biogenesis of Natural Products; Pergamon Press Ltd.: Oxford, UK, 1967. [Google Scholar]
- Dewick, P.M. Medicinal Natural Products: A Biosynthetic Approach; John Wiley & Sons: Chichester, UK, 2002. [Google Scholar]
- Sunthankar, S.; Dawson, C.R. The structural identification of the olefinic components of Japanese lac urushiol. J. Am. Chem. Soc. 1954, 76, 5070–5074. [Google Scholar] [CrossRef]
- Zhao, M.; Liu, C.; Zheng, G.; Wei, S.; Hu, Z. Comparative studies of bark structure, lacquer yield and urushiol content of cultivated Toxicodendron vernicifluum varieties. N. Z. J. Bot. 2013, 51, 13–21. [Google Scholar] [CrossRef]
- Billets, S.; Craig, J.C.; Corbett, M.D.; Vickery, J.F. Component analysis of the urushiol content of poison ivy and poison oak. Phytochemistry 1976, 15, 533–535. [Google Scholar] [CrossRef]
- Benhase, E.B.; Jelesko, J.G. Germinating and culturing axenic poison ivy seedlings. HortScience 2013, 48, 1525–1529. [Google Scholar]
- Bokhart, M.T.; Rosen, E.; Thompson, C.; Sykes, C.; Kashuba, A.D.; Muddiman, D.C. Quantitative mass spectrometry imaging of emtricitabine in cervical tissue model using infrared matrix-assisted laser desorption electrospray ionization. Anal. Bioanal. Chem. 2015, 407, 2073–2084. [Google Scholar] [CrossRef] [PubMed]
- Cohen, L.H.; Gusev, A.I. Small molecule analysis by maldi mass spectrometry. Anal. Bioanal. Chem. 2002, 373, 571–586. [Google Scholar] [CrossRef] [PubMed]
- Epstein, W.L. Plant-induced dermatitis. Ann. Emerg. Med. 1987, 16, 950–955. [Google Scholar] [CrossRef]
- Martin, A.; Zim, H.; Nelson, A. American Wildlife and Plants; Dover Publications Inc.: New York, NY, USA, 1951. [Google Scholar]
- Penner, R.; Moodie, G.E.E.; Staniforth, R.J. The dispersal of fruits and seeds of poison-ivy, Toxicodendron radicans, by ruffed grouse, Bonasa umbellus, and squirrels, Tamiasciurus hudsonicus and Sciurus carolinensis. Can. Field-Nat. 1999, 113, 616–620. [Google Scholar]
- Popay, I.; Field, R. Grazing animals as weed control agents. Weed Technol. 1996, 217–231. [Google Scholar]
- Suthers, H.B.; Bickal, J.M.; Rodewald, P.G. Use of successional habitat and fruit resources by songbirds during autumn migration in central New Jersey. Wilson Bull. 2000, 112, 249–260. [Google Scholar] [CrossRef]
- Craig, J.C.; Waller, C.W.; Billets, S.; Elsohly, M.A. New GLC analysis of urushiol congeners in different plant parts of poison ivy, Toxicodendron radicans. J. Pharm. Sci. 1978, 67, 483–485. [Google Scholar] [CrossRef] [PubMed]
- Cojocaru, M.; Droby, S.; Glotter, E.; Goldman, A.; Gottlieb, H.E.; Jacoby, B.; Prusky, D. 5-(12-heptadecenyl)-resorcinol, the major component of the antifungal activity in the peel of mango fruit. Phytochemistry 1986, 25, 1093–1095. [Google Scholar] [CrossRef]
- Joel, D. Resin ducts in the mango fruit: A defence system. J. Exp. Bot. 1980, 31, 1707–1718. [Google Scholar] [CrossRef]
- Collakova, E.; Aghamirzaie, D.; Fang, Y.; Klumas, C.; Tabataba, F.; Kakumanu, A.; Myers, E.; Heath, L.S.; Grene, R. Metabolic and transcriptional reprogramming in developing soybean (Glycine max) embryos. Metabolites 2013, 3, 347–372. [Google Scholar] [CrossRef] [PubMed]
- Duran, A.L.; Yang, J.; Wang, L.; Sumner, L.W. Metabolomics spectral formatting, alignment and conversion tools (msfacts). Bioinformatics 2003, 19, 2283–2293. [Google Scholar] [CrossRef] [PubMed]
- Collakova, E.; DellaPenna, D. Homogentisate phytyltransferase activity is limiting for tocopherol biosynthesis in Arabidopsis. Plant Physiol. 2003, 131, 632–642. [Google Scholar] [CrossRef] [PubMed]
- Baer, H.; Hooton, M.; Fales, H.; Wu, A.; Schaub, F. Catecholic and other constituents of the leaves of Toxicodendron radicans and variation of urushiol concentrations within one plant. Phytochemistry 1980, 19, 799–802. [Google Scholar] [CrossRef]
- Woodfield, H.K.; Sturtevant, D.; Borisjuk, L.; Munz, E.; Guschina, I.A.; Chapman, K.D.; Harwood, J.L. Spatial and temporal mapping of key lipid species in Brassica napus seeds. Plant Physiol. 2017, 173, 1998–2009. [Google Scholar] [CrossRef] [PubMed]
Sample Availability: Samples of the compounds are not available. |






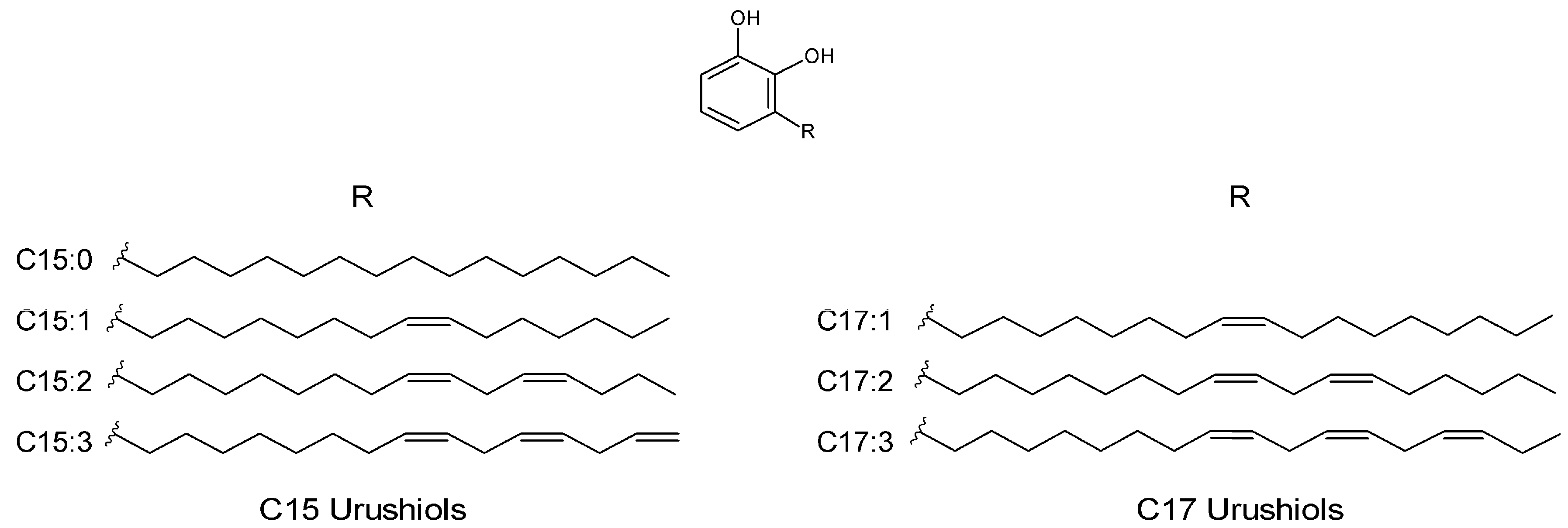
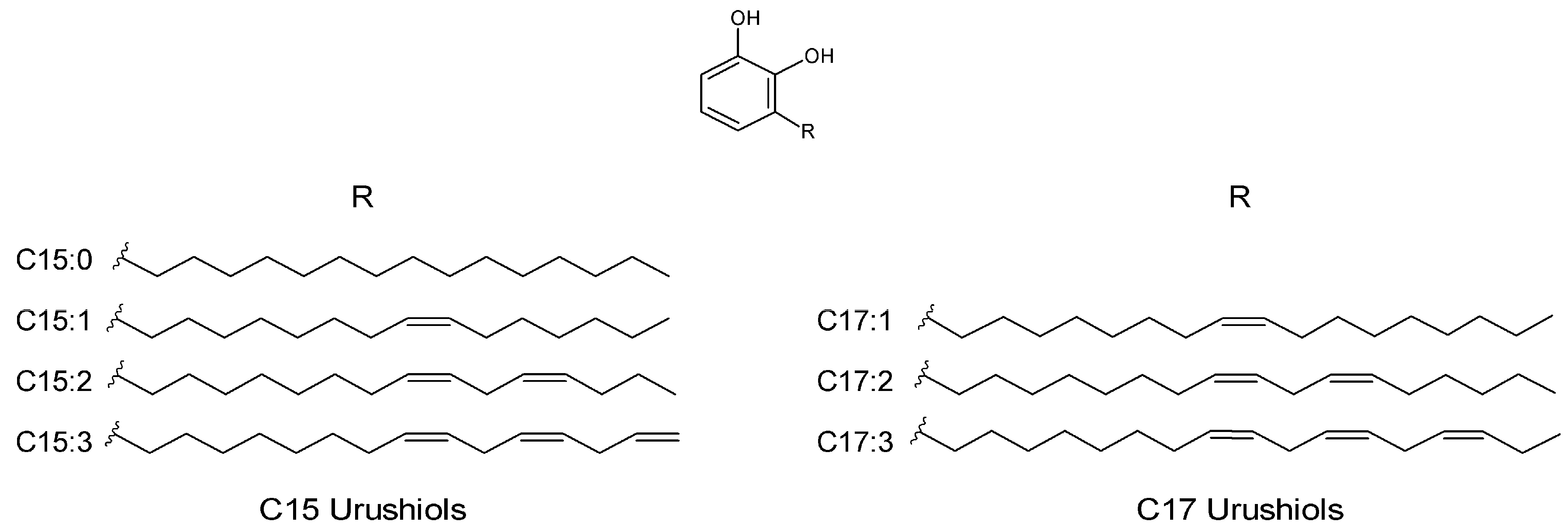
| Compound | Abbreviation | Empirical Formula | Monoisotopic Mass | [M + Na]+ |
|---|---|---|---|---|
| Pentadecylcatechol | C15:0 | C21H36O2 | 320.2715 | 343.2613 |
| Pentadecenylcatechol | C15:1 | C21H34O2 | 318.2558 | 341.2456 |
| Pentadecadienylcatechol | C15:2 | C21H32O2 | 316.2402 | 339.2300 |
| Pentadecatrienylcatechol | C15:3 | C21H30O2 | 314.2245 | 337.2143 |
| Heptadecenylcatechol | C17:1 | C23H38O2 | 346.2871 | 369.2769 |
| Heptadecadienylcatechol | C17:2 | C23H36O2 | 344.2715 | 367.2613 |
| Heptadecatrienylcatechol | C17:3 | C23H34O2 | 342.2558 | 365.2456 |
© 2017 by the authors. Licensee MDPI, Basel, Switzerland. This article is an open access article distributed under the terms and conditions of the Creative Commons Attribution (CC BY) license (http://creativecommons.org/licenses/by/4.0/).
Share and Cite
Aziz, M.; Sturtevant, D.; Winston, J.; Collakova, E.; Jelesko, J.G.; Chapman, K.D. MALDI-MS Imaging of Urushiols in Poison Ivy Stem. Molecules 2017, 22, 711. https://doi.org/10.3390/molecules22050711
Aziz M, Sturtevant D, Winston J, Collakova E, Jelesko JG, Chapman KD. MALDI-MS Imaging of Urushiols in Poison Ivy Stem. Molecules. 2017; 22(5):711. https://doi.org/10.3390/molecules22050711
Chicago/Turabian StyleAziz, Mina, Drew Sturtevant, Jordan Winston, Eva Collakova, John G. Jelesko, and Kent D. Chapman. 2017. "MALDI-MS Imaging of Urushiols in Poison Ivy Stem" Molecules 22, no. 5: 711. https://doi.org/10.3390/molecules22050711
APA StyleAziz, M., Sturtevant, D., Winston, J., Collakova, E., Jelesko, J. G., & Chapman, K. D. (2017). MALDI-MS Imaging of Urushiols in Poison Ivy Stem. Molecules, 22(5), 711. https://doi.org/10.3390/molecules22050711

