Subcritical Fluid Extraction of Chinese Quince Seed: Optimization and Product Characterization
Abstract
:1. Introduction
2. Results and Discussion
2.1. Oil extraction Process
2.2. Oil Characterization
2.2.1. Total and 2-Position Fatty Acid Composition
2.2.2. Physico-Chemical Determinations
2.2.3. Tocopherol Composition
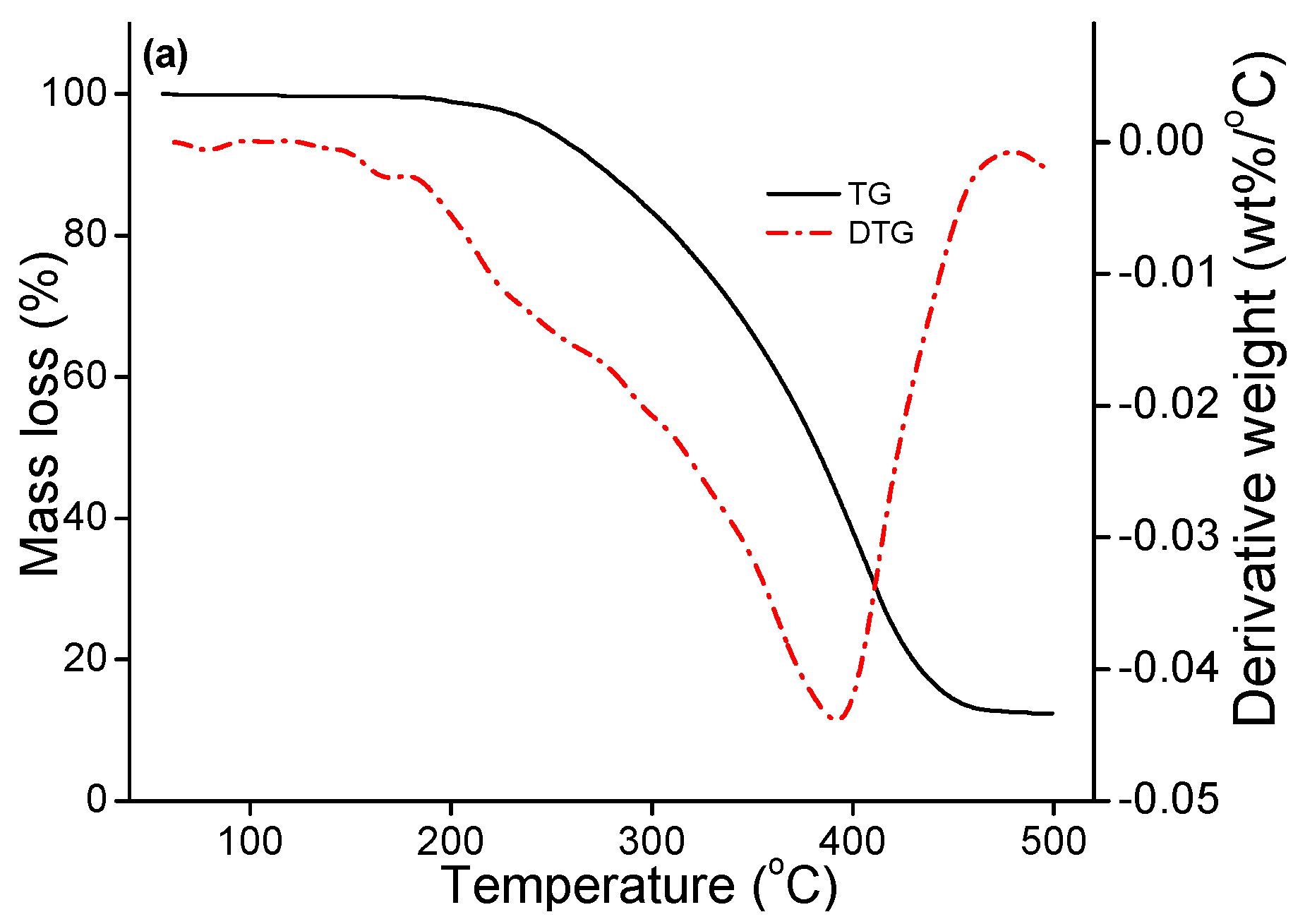
2.2.4. Thermal Stability
2.3. Protein Product Characterization
2.4. Comparison with CS and SC-CO2
3. Materials and Methods
3.1. Material
3.2. Oil Extraction Process
3.3. Oil Characterization
3.4. Protein Characterization
4. Conclusions
Appendix


| Parameter | CS | SCF | SC-CO2 |
|---|---|---|---|
| Amino acid (%, dry weight basis) | |||
| Asparaginic acid | 11.74 | 11.37 | 11.35 |
| Threonine | 1.50 | 1.57 | 3.46 |
| Serine | 2.60 | 2.56 | 4.31 |
| Glutamic acid | 28.88 | 28.76 | 26.58 |
| Glycine | 6.79 | 6.79 | 6.88 |
| Alanine | 1.41 | 3.86 | 4.06 |
| Cystine | 4.04 | 3.74 | 3.82 |
| Valine | 3.20 | 2.60 | 2.42 |
| Methionine | 0.49 | 0.43 | 0.45 |
| Isoleucine | 2.24 | 2.25 | 2.28 |
| Leucine | 8.97 | 7.05 | 7.07 |
| Tyrosine | 3.15 | 3.46 | 3.27 |
| Phenylalanine | 5.01 | 4.92 | 3.52 |
| Histidine | 3.20 | 2.93 | 2.72 |
| Lysine | 3.12 | 2.64 | 2.48 |
| Arginine | 7.22 | 8.63 | 8.56 |
| Proline | 6.43 | 6.44 | 6.77 |
| Nitrogen solubility index (NSI, %) 1 | 35.57 | 49.64 | 35.78 |
| Protein dispersibility index (PDI, %) 1 | 37.23 | 50.80 | 38.28 |
Acknowledgments
Author Contributions
Conflicts of Interest
References
- Cheng, W.Y.; Akanda, J.M.H.; Nyam, K.L. Kenaf seed oil: A potential new source of edible oil. Trends Food Sci. Tech. 2016, 52, 57–65. [Google Scholar] [CrossRef]
- Akubugwo, I.E.; Obasi, A.N.; Ginika, S.C. Nutritional potential of the leaves and seeds of black nightshade—solanum nigrum l. Var virginicum from afikpo-nigeria. Pak. J. Nutr. 2007, 6, 323–326. [Google Scholar] [CrossRef]
- Du, H.; Wu, J.; Li, H.; Zhong, P.-X.; Xu, Y.-J.; Li, C.-H.; Ji, K.-X.; Wang, L.-S. Polyphenols and triterpenes from chaenomeles fruits: Chemical analysis and antioxidant activities assessment. Food Chem. 2013, 141, 4260–4268. [Google Scholar] [CrossRef] [PubMed]
- Koubaa, M.; Mhemdi, H.; Barba, F.J.; Angelotti, A.; Bouaziz, F.; Chaabouni, S.E.; Vorobiev, E. Seed oil extraction from red prickly pear using hexane and supercritical CO2: Assessment of phenolic compound composition, antioxidant and antibacterial activities. J. Sci. Food Agric. 2016, 97, 613–620. [Google Scholar] [CrossRef] [PubMed]
- Naila, B.R.; Barba, F.J.; Danielle, B.; Isabelle, C. Supercritical CO2 extraction of oil, fatty acids and flavonolignans from milk thistle seeds: Evaluation of their antioxidant and cytotoxic activities in Caco-2 cells. Food Chem. Toxicol. 2015, 83, 275–282. [Google Scholar]
- Barba, F.J.; Grimi, N.; Vorobiev, E. New approaches for the use of non-conventional cell disruption technologies to extract potential food additives and nutraceuticals from microalgae. Food Eng. Rev. 2015, 7, 45–62. [Google Scholar] [CrossRef]
- Gu, L.B.; Liu, X.N.; Liu, H.M.; Pang, H.L.; Qin, G.Y. Extraction of fenugreek (Trigonella foenum-graceum L.) seed oil using subcritical butane: Characterization and process optimization. Molecules 2017, 22, 228. [Google Scholar] [CrossRef] [PubMed]
- Miao, J.; Che, K.; Xi, R.; He, L.; Chen, X.; Guan, X.; Zhuang, X.; Wen, X.; Cao, Y. Characterization and benzo[a]pyrene content analysis of camellia seed oil extracted by a novel subcritical fluid extraction. J. Am. Oil Chem. Soc. 2013, 90, 1503–1508. [Google Scholar] [CrossRef] [PubMed]
- Liu, Z.; Mei, L.; Wang, Q.; Shao, Y.; Tao, Y. Optimization of subcritical fluid extraction of seed oil from nitraria tangutorum using response surface methodology. LWT-Food Sci. Technol. 2014, 56, 168–174. [Google Scholar] [CrossRef]
- Wang, X.; Liu, K. Extraction with compressed petroleum gases for specialty oil and meal products. INFORM April 2005, 1, 2005. [Google Scholar]
- Freitas, L.D.S.; Oliveira, J.V.D.; Dariva, C.; Jacques, R.A.; Caramão, E.B. Extraction of grape seed oil using compressed carbon dioxide and propane: Extraction yields and characterization of free glycerol compounds. J. Agric. Food Chem. 2008, 56, 2558–2564. [Google Scholar] [CrossRef] [PubMed]
- Liu, H.M.; Wang, F.Y.; Li, H.Y.; Wang, X.D.; Qin, G.Y. Subcritical butane and propane extraction of oil from rice bran. BioResources 2015, 10, 4652–4662. [Google Scholar] [CrossRef]
- Muppaneni, T.; Reddy, H.K.; Ponnusamy, S.; Patil, P.D.; Sun, Y.; Dailey, P.; Deng, S. Optimization of biodiesel production from palm oil under supercritical ethanol conditions using hexane as co-solvent: A response surface methodology approach. Fuel 2013, 107, 633–640. [Google Scholar] [CrossRef]
- Khuri, A.I.; Cornell, J.A. Response Surfaces: Design and Analyses; Marcel Dekker, Inc.: New York, NA, USA, 1987. [Google Scholar]
- Durling, N.E.; Catchpole, O.J.; Grey, J.B.; Webby, R.F.; Mitchell, K.A.; Foo, L.Y.; Perry, N.B. Extraction of phenolics and essential oil from dried sage (Salvia officinalis) using ethanol–water mixtures. Food Chem. 2007, 101, 1417–1424. [Google Scholar] [CrossRef]
- Herodež, Š.S.; Hadolin, M.; Škerget, M.; Knez, Ž. Solvent extraction study of antioxidants from balm (Melissa officinalis L.) leaves. Food Chem. 2003, 80, 275–282. [Google Scholar] [CrossRef]
- Dong, X.; Zhong, J.; Wei, F.; Lv, X.; Wu, L.; Lei, Y.; Liao, B.; Quek, S.; Chen, H. Triacylglycerol composition profiling and comparison of high-oleic and normal peanut oils. J. Am. Oil Chem. Soc. 2015, 92, 233–242. [Google Scholar] [CrossRef]
- Satil, F.; Azcan, N.; Baser, K.H.C. Fatty acid composition of pistachio nuts in turkey. Chem. Nat. Compd. 2003, 39, 322–324. [Google Scholar] [CrossRef]
- Harhar, H.; Gharby, S.; Kartah, B.; Pioch, D.; Guillaume, D.; Charrouf, Z. Effect of harvest date of argania spinosa fruits on argan oil quality. Ind. Crop. Prod. 2014, 56, 156–159. [Google Scholar] [CrossRef]
- Ixtaina, V.Y.; Vega, A.; Nolasco, S.M.; Tomás, M.C.; Gimeno, M.; Bárzana, E.; Tecante, A. Supercritical carbon dioxide extraction of oil from mexican chia seed (Salvia hispanica L.): Characterization and process optimization. J. Supercrit. Fluid. 2010, 55, 192–199. [Google Scholar] [CrossRef]
- Bhatnagar, A.S.; Krishna, A.G.G. Effect of extraction solvent on oil and bioactives composition of commercial indian niger (Guizotia abyssinica (L.f.) cass.) seed. J. Am. Oil Chem. Soc. 2013, 90, 1203–1212. [Google Scholar] [CrossRef]
- Cerchiara, T.; Chidichimo, G.; Ragusa, M.I.; Belsito, E.L.; Liguori, A.; Arioli, A. Characterization and utilization of spanish broom (Spartium junceum L.) seed oil. Ind. Crop. Prod. 2010, 31, 423–426. [Google Scholar] [CrossRef]
- Silva, C.M.D.; Zanqui, A.B.; Gohara, A.K.; Cardozo-Filho, L.; Visentainer, J.V.; Chiavelli, L.U.R.; Bittencourt, P.R.S.; Silva, E.A.D.; Matsushita, M. Compressed n-propane extraction of lipids and bioactive compounds from perilla (Perilla frutescens). J. Supercrit. Fluid. 2015, 102, 1–8. [Google Scholar] [CrossRef]
- Lopez Ortiz, C.M.; Prats Moya, M.S.; Berenguer, N.V. A rapid chromatographic method for simultaneous determination of β-sitosterol and tocopherol homologues in vegetable oils. J. Food Compos. Anal. 2006, 19, 141–149. [Google Scholar] [CrossRef]
- Akil, E.; Castelo-Branco, V.N.; Costa, A.M.M.; do Amaral Vendramini, A.L.; Calado, V.; Torres, A.G. Oxidative stability and changes in chemical composition of extra virgin olive oils after short-term deep-frying of french fries. J. Am. Oil Chem. Soc. 2015, 92, 409–421. [Google Scholar] [CrossRef]
- Fazel, M.; Sahari, M.A.; Barzegar, M.A. Determination of main tea seed oil antioxidants and their effects on common kilka oil. Int. Food Res. J. 2008, 15, 209–217. [Google Scholar]
- Leo, L.; Rescio, L.; Ciurlia, L.; Zacheo, G. Supercritical carbon dioxide extraction of oil and α-tocopherol from almond seeds. J. Sci. Food Agric. 2005, 85, 2167–2174. [Google Scholar] [CrossRef]
- Tres, M.V.; Mohr, S.; Luccio, M.D.; Oliveira, J.V. Low-pressure solubility of propane and n-butane in refined soybean oil. J. Chem. Thermodyn. 2009, 41, 1378–1381. [Google Scholar] [CrossRef]
- Pereira, A.N.; Trevisan, O.V. Thermoanalysis and reaction kinetics of heavy oil combustion. J. Braz. Soc. Mech. Sci. Eng. 2014, 36, 393–401. [Google Scholar] [CrossRef]
- Pu, W.; Pang, S.; Jia, H. Using dsc/tg/dta techniques to re-evaluate the effect of clays on crude oil oxidation kinetics. J. Pet. Sci. Eng. 2015, 134, 123–130. [Google Scholar] [CrossRef]
- Sarmento, C.M.P.; Ferreira, S.R.S.; Hense, H. Supercritical fluid extraction (SFE) of rice bran oil to obtain fractions enriched with tocopherols and tocotrienols. Braz. J. Chem. Eng. 2006, 23, 243–249. [Google Scholar] [CrossRef]
- Jia, H.; Zhao, J.Z.; Pu, W.F.; Zhao, J.; Kuang, X.Y. Thermal study on light crude oil for application of high-pressure air injection (HPAI) process by TG/DTG and DTA tests. Energ. Fuel. 2012, 26, 1575–1584. [Google Scholar] [CrossRef]
- Udenigwe, C.C.; Aluko, R.E. Chemometric analysis of the amino acid requirements of antioxidant food protein hydrolysates. Int. J. Mol. Sci. 2011, 12, 3148–3161. [Google Scholar] [CrossRef] [PubMed]
- He, R.; Ju, X.; Yuan, J.; Wang, L.; Girgih, A.T.; Aluko, R.E. Antioxidant activities of rapeseed peptides produced by solid state fermentation. Food Res. Int. 2012, 49, 432–438. [Google Scholar] [CrossRef]
- Katsanos, C.S.; Kobayashi, H.; Sheffieldmoore, M.; Aarsland, A.; Wolfe, R.R. A high proportion of leucine is required for optimal stimulation of the rate of muscle protein synthesis by essential amino acids in the elderly. Am. J. Physiol. Endocrinol. Metab. 2006, 291, 381–387. [Google Scholar] [CrossRef] [PubMed]
- Labuckas, D.; Maestri, D.; Lamarque, A. Effect of different oil extraction methods on proximate composition and protein characteristics of walnut (Juglans Regia L.) flour. LWT-Food Sci. Technol. 2014, 59, 794–799. [Google Scholar] [CrossRef]
- Zuknik, M.H.; Norulaini, N.A.N.; Dalila, W.S.W.N.; Ali, N.R.; Omar, A.K.M. Solubility of virgin coconut oil in supercritical carbon dioxide. J. Food Eng. 2016, 168, 240–244. [Google Scholar] [CrossRef]
- Belayneh, H.D.; Wehling, R.L.; Cahoon, E.; Ciftci, O.N. Extraction of omega-3-rich oil from camelina sativa seed using supercritical carbon dioxide. J. Supercrit. Fluid. 2015, 104, 153–159. [Google Scholar] [CrossRef]
- Bi, Y.; Yang, G.; Li, H.; Genwang Zhang, A.; Guo, Z. Characterization of the chemical composition of lotus plumule oil. J. Agric. Food Chem. 2006, 54, 7672–7677. [Google Scholar] [CrossRef] [PubMed]
- Firestone, D. Official Methods and Recommended Practices of the AOCS; AOCS: Champaign, IL, USA, 2009. [Google Scholar]
- Xu, F.; Zhang, L.; Cao, Y.; Yang, L.; Zhang, H.; Li, Y.; Zhao, H.; Li, Y. Chemical and physical characterization of donkey abdominal fat in comparison with cow, pig and sheep fats. J. Am. Oil Chem. Soc. 2013, 90, 1371–1376. [Google Scholar] [CrossRef]
- Ogunsina, B.S.; Indira, T.N.; Bhatnagar, A.S.; Radha, C.; Debnath, S.; Krishna, A.G.G. Quality characteristics and stability of moringa oleifera seed oil of indian origin. J. Food Sci. Tech. Mys. 2014, 51, 503–510. [Google Scholar] [CrossRef] [PubMed]
- AOCS: Oil stability index (OSI). American Oil Chemists’ Society Official Methods; AOCS: Champaign, IL, USA, 1999; Cd 12b–92. [Google Scholar]
- Abramovič, H.; Butinar, B.; Nikolič, V. Changes occurring in phenolic content, tocopherol composition and oxidative stability of camelina sativa oil during storage. Food Chem. 2007, 104, 903–909. [Google Scholar] [CrossRef]


| Run NO. 2 | Parameters and Levels | Oil Yield (%) | |||
|---|---|---|---|---|---|
| X1 | X2 | X3 | Experimental | Predicted | |
| 1 | 45 | 30 | 10 | 16.11 | 16.17 |
| 2 | 65 | 30 | 10 | 21.00 | 21.09 |
| 3 | 45 | 50 | 10 | 19.25 | 19.16 |
| 4 | 65 | 50 | 10 | 18.25 | 18.19 |
| 5 | 45 | 40 | 5 | 12.98 | 12.90 |
| 6 | 65 | 40 | 5 | 13.42 | 13.31 |
| 7 | 45 | 40 | 15 | 19.07 | 19.18 |
| 8 | 65 | 40 | 15 | 22.65 | 22.73 |
| 9 | 55 | 30 | 5 | 16.99 | 17.01 |
| 10 | 55 | 50 | 5 | 15.95 | 16.12 |
| 11 | 55 | 30 | 15 | 24.10 | 23.93 |
| 12 | 55 | 50 | 15 | 24.93 | 24.91 |
| 13 | 55 | 40 | 10 | 26.25 | 26.71 |
| 14 | 55 | 40 | 10 | 27.44 | 26.71 |
| 15 | 55 | 40 | 10 | 26.32 | 26.71 |
| 16 | 55 | 40 | 10 | 26.95 | 26.71 |
| 17 | 55 | 40 | 10 | 26.60 | 26.71 |
| Source a | Sum of squares | DF | Mean | p-value | Model fit |
|---|---|---|---|---|---|
| Model | 392.23 | 9 | 43.59 | < 0.0001 b | R2 = 0.9972 |
| X1 | 125.68 | 1 | 125.68 | < 0.0001 b | Adj R2 = 0.9937 |
| X2 | 3.07 | 1 | 3.07 | 0.0030 c | CV = 1.87% |
| X3 | 66.60 | 1 | 66.60 | < 0.0001 b | N/A |
| X1 X2 | 8.67 | 1 | 8.67 | 0.0001 b | N/A |
| X1 X3 | 2.46 | 1 | 2.46 | 0.0053 c | N/A |
| X2 X3 | 0.87 | 1 | 0.87 | 0.0494 c | N/A |
| X12 | 139.74 | 1 | 139.74 | < 0.0001 b | N/A |
| X22 | 22.24 | 1 | 22.24 | < 0.0001 b | N/A |
| X32 | 64.73 | 1 | 64.73 | < 0.0001 b | N/A |
| Residual | 1.09 | 7 | 0.16 | N/A | N/A |
| Lack of fit | 0.12 | 3 | 0.040 | 0.9132 | N/A |
| Pure error | 0.97 | 4 | 0.24 | N/A | N/A |
| Total | 393.41 | 16 | N/A | N/A | N/A |
| Fatty acid | sn-1,2,3 (%) | sn-2 Position (%) | ||||
|---|---|---|---|---|---|---|
| CS | SCF | SC-CO2 | CS | SCF | SC-CO2 | |
| C14:0 | 0.07 ± 0.00 | 0.05 ± 0.00 | 0.06 ± 0.01 | 0.11 ± 0.02 | 0.06 ± 0.00 | 0.10 ± 0.01 |
| C16:0 | 9.35 ± 0.27 | 8.96 ± 0.38 | 9.86 ± 0.30 | 0.96 ± 0.16 | 3.00 ± 0.72 | 1.62 ± 0.31 |
| C18:0 | 2.80 ± 0.06 | 2.79 ± 0.05 | 2.43 ± 0.01 | 0.52 ± 0.18 | 5.83 ± 1.64 | 1.27 ± 0.53 |
| C18:1 | 40.35 ± 0.17 | 40.94 ± 0.16 | 38.38 ± 0.09 | 36.62 ± 0.24 | 31.90 ± 0.86 | 32.32 ± 0.11 |
| C18:2 | 45.23 ± 0.07 | 45.05 ± 0.05 | 46.43 ± 0.10 | 61.37 ± 0.27 | 58.80 ± 1.53 | 63.57 ± 0.72 |
| C18:3 | 0.31 ± 0.01 | 0.27 ± 0.01 | 1.02 ± 0.03 | 0.42 ± 0.02 | 0.27 ± 0.00 | 1.12 ± 0.00 |
| C20:0 | 1.17 ± 0.02 | 1.20 ± 0.08 | 1.05 ± 0.10 | ND | 0.14 ± 0.03 | ND |
| C20:1 | 0.48 ± 0.01 | 0.49 ± 0.03 | 0.58 ± 0.01 | ND | ND | ND |
| C22:0 | 0.23 ± 0.01 | 0.25 ± 0.03 | 0.19 ± 0.00 | ND | ND | ND |
| Extraction method | CS | SCF | SC-CO2 |
|---|---|---|---|
| Colour (Lovibond units) | 99.40 ± 1.15 | 95.50 ± 0.17 | 82.00 ± 1.83 |
| Density (g/mL) | 0.919 ± 0.02 | 0.917 ± 0.02 | 0.920 ± 0.03 |
| Refractive index | 1.472 ± 0.002 | 1.474 ± 0.012 | 1.473 ± 0.001 |
| Acid value (mg KOH/g) | 6.87 ± 0.12 | 3.97 ± 0.04 | 4.75 ± 0.05 |
| Iodine value (g/100 g) | 107.61 ± 1.19 | 108.91 ± 1.20 | 110.27 ± 5.13 |
| Peroxide value (meq O2/kg) | 0.03 ± 0.00 | 0.02 ± 0.00 | 0.04 ± 0.00 |
| Unsaponifiable matter (%) | 0.91 ± 0.001 | 1.35 ± 0.006 | 1.61 ± 0.002 |
| Saponification value (mg KOH/g) | 190.72 ± 0.79 | 191.25 ± 0.88 | 193.76 ± 0.91 |
| Tocopherols (mg/kg) | 620.1 ± 0.21 | 851.3 ± 0.23 | 578.4± 0.28 |
| α-Tocopherol | 619.9± 0.31 | 847.6± 0.32 | 576.0± 0.47 |
| β-Tocopherol | 0.2± 0.28 | 1.2± 0.08 | 1.1± 0.72 |
| γ-Tocopherol | ND | 2.5± 0.05 | 1.3± 0.24 |
| δ-Tocopherol | ND | ND | ND |
| Induction time (h) | 6.77 ± 0.04 | 6.85 ± 0.07 | 0.33 ± 0.00 |
© 2017 by the authors. Licensee MDPI, Basel, Switzerland. This article is an open access article distributed under the terms and conditions of the Creative Commons Attribution (CC BY) license (http://creativecommons.org/licenses/by/4.0/).
Share and Cite
Wang, L.; Wu, M.; Liu, H.-M.; Ma, Y.-X.; Wang, X.-D.; Qin, G.-Y. Subcritical Fluid Extraction of Chinese Quince Seed: Optimization and Product Characterization. Molecules 2017, 22, 528. https://doi.org/10.3390/molecules22040528
Wang L, Wu M, Liu H-M, Ma Y-X, Wang X-D, Qin G-Y. Subcritical Fluid Extraction of Chinese Quince Seed: Optimization and Product Characterization. Molecules. 2017; 22(4):528. https://doi.org/10.3390/molecules22040528
Chicago/Turabian StyleWang, Li, Min Wu, Hua-Min Liu, Yu-Xiang Ma, Xue-De Wang, and Guang-Yong Qin. 2017. "Subcritical Fluid Extraction of Chinese Quince Seed: Optimization and Product Characterization" Molecules 22, no. 4: 528. https://doi.org/10.3390/molecules22040528
APA StyleWang, L., Wu, M., Liu, H.-M., Ma, Y.-X., Wang, X.-D., & Qin, G.-Y. (2017). Subcritical Fluid Extraction of Chinese Quince Seed: Optimization and Product Characterization. Molecules, 22(4), 528. https://doi.org/10.3390/molecules22040528
