Design and Synthesis of Novel Pyrazole-Substituted Different Nitrogenous Heterocyclic Ring Systems as Potential Anti-Inflammatory Agents
Abstract
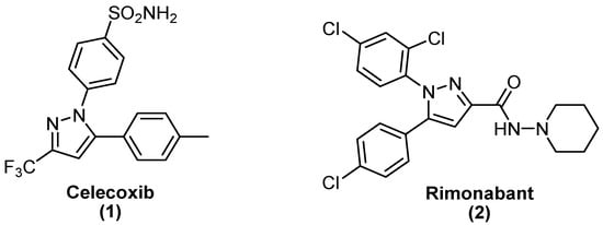
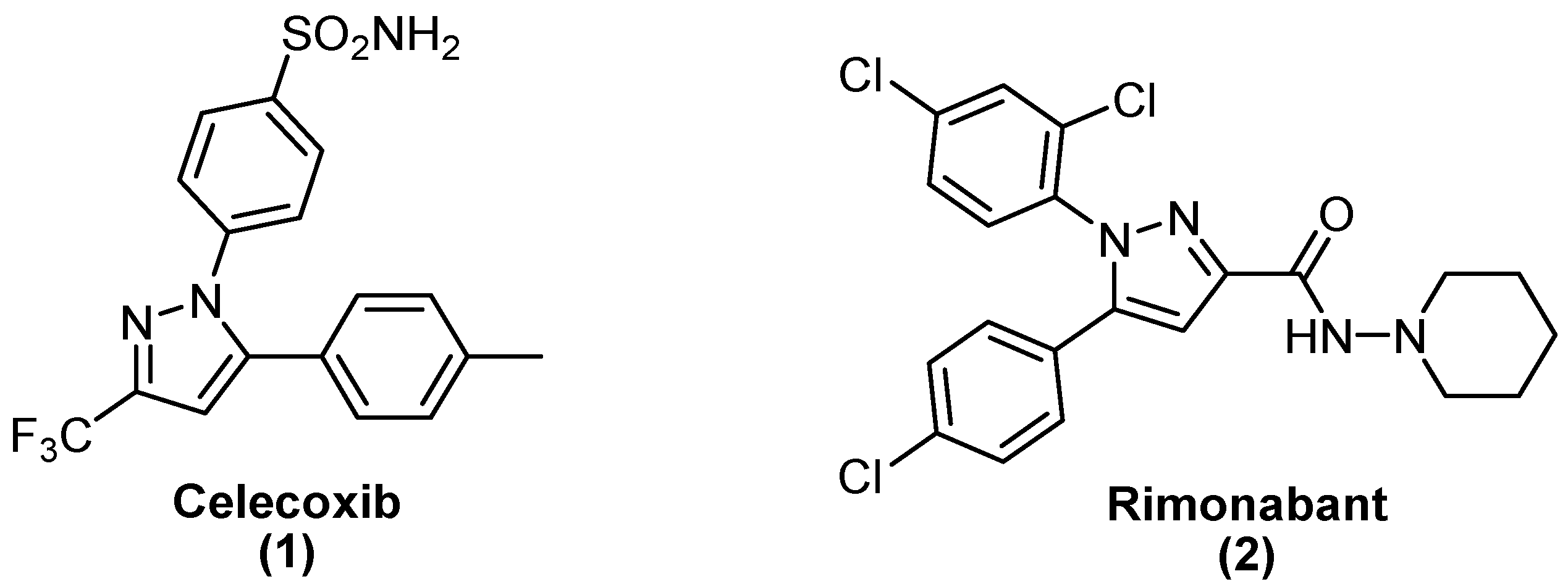
:1. Introduction
2. Results and Discussion
2.1. Chemistry
2.2. Biological Evaluation
2.2.1. In Vivo Anti-Inflammatory Activity
2.2.2. Ulcerogenic Liability
2.3. Molecular Modeling Study
3. Experimental Section
3.1. General Information
3.1.1. 1-(4-Substitutedphenyl)-3-(1-(3-chlorophenyl)-3-(4-methoxyphenyl)-1H-pyrazol-4-yl)prop-2-en-1-one (2a,b)
3.1.2. 1-(3-(4-Substituted phenyl)-5-(1-(3-chlorophenyl)-3-(4-methoxyphenyl)-1H-pyrazol-4-yl)-4,5-dihydro-pyrazol-1-yl ethanone (3a,b)
3.1.3. 3-(4-Substitutedphenyl)-5-(1-(3-chlorophenyl)-3-(4-methoxyphenyl)-1H-pyrazol-4-yl)-4,5-di-hydropyrazole-1-carbothioamide (4a,b)
3.1.4. 4-(3-(4-Substituted phenyl)isoxazol-5-yl)-1-(3-chlorophenyl)-3-(4-methoxyphenyl)-1H-pyrazole (5a,b)
3.1.5. 6-(4-Substitutedphenyl)-4-(1-(3-chlorophenyl)-3-(4-methoxyphenyl)-1H-pyrazol-4-yl)-1,2-dihydro-2-Oxopyridine-3-carbonitrile (6a,b) and 6-(4-substitutedphenyl)-4-(1-(3-chlorophenyl)-3-(4-methoxyphenyl)-1H-pyrazol-4-yl)-1,2-dihydro-2-iminopyridine-3-carbonitrile (7a,b)
3.1.6. 4-(4-Substitutedphenyl)-6-(1-(3-chlorophenyl)-3-(4-methoxyphenyl)-1H-pyrazol-4-yl)pyrimidin-2-amine (8a,b)
3.1.7. 4-(4-Substitutedphenyl)-6-(1-(3-chlorophenyl)-3-(4-methoxyphenyl)-1H-pyrazol-4-yl)pyrimidine-2-(1H)-thione (9a,b)
3.2. Measurement of Anti-Inflammatory Activity
3.3. Ulcerogenic Liability
3.4. Molecular Modeling Study
3.4.1. Optimization of the Target Compound 6b
3.4.2. Optimization of the Enzymes Active Site
3.4.3. Docking of the Target Molecule 6b and Celecoxib to the Receptor Active Sites
- -
- Dummy atoms as the docking site.
- -
- Triangle matcher as the placement methodology to be used.
- -
- London dG as scoring methodology to be used and was adjusted to its default values.
4. Conclusions
Acknowledgments
Author Contributions
Conflicts of Interest
References
- Alegaon, S.G.; Alagawadi, K.R.; Garg, M.K.; Dushyant, K.B.; Vinod, D. 1,3,4-Trisubstituted pyrazole analogues as promising anti-inflammatory agents. Bioorg. Chem. 2014, 54, 51–59. [Google Scholar] [CrossRef] [PubMed]
- Alegaon, S.G.; Hirpara, M.B.; Alagawadi, K.R.; Hullatti, K.K.; Kashniyal, K. Synthesis of novel pyrazole-thiadiazole hybrid as potential potent and selective cyclooxygenase-2 (COX-2) inhibitors. Bioorg. Med. Chem. Lett. 2014, 24, 5324–5329. [Google Scholar] [CrossRef] [PubMed]
- Chougala, B.M.; Samundeeswari, S.; Holiyachi, M.; Shastri, L.A.; Dodamani, S.; Jalalpure, S.; Dixit, S.R.; Joshi, S.D.; Sunagar, V.A. Synthesis, characterization and molecular docking studies of substituted 4-coumarinylpyrano[2,3-c]pyrazole derivatives as potent antibacterial and anti-inflammatory agents. Eur. J. Med. Chem. 2017, 125, 101–116. [Google Scholar] [CrossRef] [PubMed]
- Abdel-Sayed, M.A.; Bayomi, S.M.; El-Sherbeny, M.A.; Abdel-Aziz, N.I.; El-Tahir, K.H.; Shehatou, G.S.; Abdel-Aziz, A.A. Synthesis, anti-inflammatory, analgesic, COX-1/2 inhibition activities and molecular docking study of pyrazoline derivatives. Bioorg. Med. Chem. 2016, 24, 2032–2042. [Google Scholar] [CrossRef] [PubMed]
- Abdelall, E.K.; Lamie, P.F.; Ali, W.A. Cyclooxygenase-2 and 15-lipoxygenase inhibition, synthesis, anti-inflammatory activity and ulcer liability of new celecoxib analogues: Determination of region-specific pyrazole ring formation by NOESY. Bioorg. Med. Chem. Lett. 2016, 26, 2893–2899. [Google Scholar] [CrossRef] [PubMed]
- Abdellatif, K.R.; Abdelall, E.K.; Fadaly, W.A.; Kamel, G.M. Synthesis, cyclooxygenase inhibition, anti-inflammatory evaluation and ulcerogenic liability of new 1,3,5-triarylpyrazoline and 1,5-diarylpyrazole derivatives as selective COX-2 inhibitors. Bioorg. Med. Chem. Lett. 2016, 26, 406–412. [Google Scholar] [CrossRef] [PubMed]
- El-Feky, S.A.; Abd El-Samii, Z.K.; Osman, N.A.; Lashine, J.; Kamel, M.A.; Thabet, H.K. Synthesis, molecular docking and anti-inflammatory screening of novel quinoline incorporated pyrazole derivatives using the Pfitzinger reaction II. Bioorg. Chem. 2015, 58, 104–116. [Google Scholar] [CrossRef] [PubMed]
- Hussain, S.; Kaushik, D. Noval 1-substituted-3,5-dimethyl-4-[(substituted phenyl)diazenyl]pyrazole derivatives: Synthesis and pharmacological activity. J. Saudi Chem. Soc. 2015, 19, 274–281. [Google Scholar] [CrossRef]
- Thore, S.N.; Gupta, S.V.; Baheti, K.G. Novel ethyl-5-amino-3-methylthio-1H-pyrazole-4-carboxylates: Synthesis and pharmacological activity. J. Saudi Chem. Soc. 2016, 20, 259–264. [Google Scholar] [CrossRef]
- CarmoMalvar, D.; Ferreira, R.T.; de Castro, R.A.; de Castro, L.L.; Freitas, A.C.; Costa, E.A.; Florentino, I.F.; Mafra, J.C.; de Souza, G.E.; Vanderlinde, F.A. Antinociceptive, anti-inflammatory and antipyretic effects of 1.5-diphenyl-1H-Pyrazole-3-carbohydrazide, a new heterocyclic pyrazole derivative. Life Sci. 2014, 95, 81–88. [Google Scholar]
- Sharath, V.; Kumar, H.V.; Naik, N. Synthesis of novel indole based scaffolds holding pyrazole ring as anti-inflammatory and antioxidant agents. J. Pharm. Res. 2013, 6, 785–790. [Google Scholar] [CrossRef]
- Mady, M.F.; Saleh, T.S.; El-Kateb, A.A.; Abd El-Rahman, N.M.; Abd El-Moez, S.I. Microwave-assisted synthesis of novel pyrazole and pyrazolo[3,4-d]pyridazine derivatives incorporating diaryl sulfone moiety as potential antimicrobial agents. Res. Chem. Intermed. 2016, 42, 753–769. [Google Scholar] [CrossRef]
- Yu, L.G.; Ni, T.F.; Gao, W.; He, Y.; Wang, Y.Y.; Cui, H.W.; Yang, C.G.; Qiu, W.W. The synthesis and antibacterial activity of pyrazole-fused tricyclic diterpene derivatives. Eur. J. Med. Chem. 2015, 90, 10–20. [Google Scholar] [CrossRef] [PubMed]
- Mert, S.; Kasımoğulları, R.; İça, T.; Çolak, F.; Altun, A.; Ok, S. Synthesis, structure-activity relationships, and in vitro antibacterial and antifungal activity evaluations of novel pyrazole carboxylic and dicarboxylic acid derivatives. Eur. J. Med. Chem. 2014, 78, 86–96. [Google Scholar] [CrossRef] [PubMed]
- Wang, F-Q.; Yang, H.; He, B.; Jia, Y-K.; Meng, S-Y.; Zhang, C.; Liu, H-M.; Liu, F-W. A novel domino approach for synthesis of indolyltetrahydropyrano[4,3-c]pyrazole derivatives as anticancer agents. Tetrahedron 2016, 72, 5769–5775. [Google Scholar]
- Ganga Reddy, V.; Srinivasa Reddy, T.; Lakshma Nayak, V.; Prasad, B.; Reddy, A.P.; Ravikumar, A.; Taj, S.; Kamal, A. Design, synthesis and biological evaluation of N-((1-benzyl-1H-1,2,3-triazol-4-yl)methyl)-1,3-diphenyl-1H-pyrazole-4-carboxamides as CDK1/Cdc2 inhibitors. Eur. J. Med. Chem. 2016, 122, 164–177. [Google Scholar] [CrossRef] [PubMed]
- Metwally, N.H.; Abdelrazek, F.M.; Eldaly, S.M. Synthesis and anticancer activity of some new heterocyclic compounds based on 1-cyanoacetyl-3,5-dimethylpyrazole. Res. ChemIntermed. 2016, 42, 1071–1089. [Google Scholar] [CrossRef]
- Reddy, T.S.; Kulhari, H.; Reddy, V.G.; Bansal, V.; Kamal, A.; Shukla, R. Design, synthesis and biological evaluation of 1,3-diphenyl-1H-pyrazole derivatives containing benzimidazole skeleton as potential anticancer and apoptosis inducing agents. Eur. J. Med. Chem. 2015, 101, 790–805. [Google Scholar] [CrossRef] [PubMed]
- Minu, M.; Singh, D.; Mahaddalkar, T.; Lopus, M.; Winter, P.; Ayoub, A.T.; Missiaen, K.; Tilli, T.M.; Pasdar, M.; Tuszynski, J. Chemical synthesis, pharmacological evaluation and in silico analysis of new 2,3,3a,4,5,6-hexahydrocyclopenta[c]pyrazole derivatives as potential anti-mitotic agents. Bioorg. Med. Chem. Lett. 2016, 26, 3855–3861. [Google Scholar] [PubMed]
- Lv, X.H.; Li, Q.S.; Ren, Z.L.; Chu, M.J.; Sun, J.; Zhang, X.; Xing, M.; Zhu, H.L.; Cao, H.Q. (E)-1,3-diphenyl-1H-pyrazole derivatives containing O-benzyl oxime moiety as potential immunosuppressive agents: Design, synthesis, molecular docking and biological evaluation. Eur. J. Med. Chem. 2016, 108, 586–593. [Google Scholar] [CrossRef] [PubMed]
- Mert, S.; Alım, Z.; İşgör, M.M.; Beydemir, S.; Kasımoğulları, R. The synthesis of novel pyrazole-3,4-dicarboxamides bearing 5-amino-1,3,4-thiadiazole-2-sulfonamide moiety with effective inhibitory activity against the isoforms of human cytosolic carbonic anhydrase I and II. Bioorg. Chem. 2016, 68, 64–71. [Google Scholar] [CrossRef] [PubMed]
- Guillen, E.; Gonzalez, A.; Basu, P.K.; Ghosh, A.; Font-Bardia, M.; Calvet, T.; Calvis, C.; Messeguer, R.; Lopez, C. The influence of ancillary ligands on the antitumoral activity of new cyclometallatedPt(II) complexes derived from an ferrocene-pyrazole hybrid. J. Organomet. Chem. 2017, 828, 122–132. [Google Scholar] [CrossRef]
- Zhang, H.; Zhu, P.; Liu, J.; Lin, Y.; Yao, H.; Jiang, J.; Ye, W.; Wu, X.; Xu, J. Synthesis, in vitro and in vivo antitumor activity of pyrazole-fused 23-hydroxybetulinic acid derivatives. Bioorg. Med. Chem. Lett. 2015, 25, 728–732. [Google Scholar] [CrossRef] [PubMed]
- Fahmy, H.H.; Khalifa, N.M.; Ismail, M.F.; El-Sahrawy, H.M.; Nossier, E.S. Biological Validation of Novel PolysubstitutedPyrazole Candidates with in Vitro Anticancer Activities. Molecules 2016, 21, 271–284. [Google Scholar] [CrossRef] [PubMed]
- Ismail, M.F.; Khalifa, N.M.; Fahmy, H.H.; EL-Sahrawy, H.M.; Nossier, E.S. Anticancer evaluation of novel 1,3,4-trisubstituted pyrazole candidates bearing different nitrogenous heterocyclic Moieties. Biomed. Res. 2016, 27, 1087–1093. [Google Scholar]
- Fahmy, H.H.; Khalifa, N.M.; Ismail, M.F.; EL-Sahrawy, H.M.; Nossier, E.S.; Ali, M.M. In vivo Cytotoxicity of Polysubstituted Pyrazole Derivatives against Liver Cancer Cell Line. Lat. Am. J. Pharm. 2016, 35, 1783–1790. [Google Scholar]
- Fahmy, H.H.; Khalifa, N.M.; Ismail, M.F.; EL-Sahrawy, H.M.; Nossier, E.S.; Ali, M.M. Biological Evaluation of Novel 1,3-Diaryl-1H-Pyrazoles Incorporating Different Heterocyclic Ring Systems as Potent Cytotoxic Agents. Lat. Am. J. Pharm. 2016, 35, 1740–1347. [Google Scholar]
- Ismail, M.F.; Khalifa, N.M.; Fahmy, H.H.; Nossier, E.S.; Abdulla, M.M. Design, Docking, and Synthesis of Some New Pyrazoline and Pyranopyrazole Derivatives as Anti-inflammatory Agents. J. Heterocycl. Chem. 2014, 51, 450–458. [Google Scholar] [CrossRef]
- Fahmy, H.H.; Khalifa, N.M.; Nossier, E.S.; Abdalla, M.M.; Ismai, M.M. Synthesis and anti-inflammatory evaluation of new substituted 1-(3-chlorophenyl)-3-(4-methoxyphenyl)-1H pyrazole derivatives. Acta Pol. Pharm. 2012, 69, 411–421. [Google Scholar] [PubMed]
- Winter, C.A.; Risley, E.A.; Nuss, G.W. Carrageenin-induced edema in hind paw of the rat as an assay for antiinflammatory drugs. Proc. Soc. Exp. Biol. Med. 1962, 111, 544–547. [Google Scholar] [CrossRef] [PubMed]
- Corell, T.; Jensen, K.M.; Splawinski, J.A. New Anti-inflammatory Derivative of Imidazole which is Less Ulcerogenic than Indomethacin in Rats. Acta Pharmacol. Toxicol. 1979, 45, 232–239. [Google Scholar] [CrossRef]
- Kurumbail, R.G.; Stevens, A.M.; Gierse, J.K.; McDonald, J.J.; Stegeman, R.A.; Pak, J.Y.; Gildehaus, D.; Iyashiro, J.M.; Penning, T.D.; Seibert, K.; et al. Structural basis for selective inhibition of cyclooxygenase-2 by anti-inflammatory agents. Nature 1996, 384, 644–648. [Google Scholar] [CrossRef] [PubMed]
- Wang, J.L.; Carter, J.; Kiefer, J.R.; Kurumbail, R.G.; Pawlitz, J.L.; Brown, D.; Hartmann, S.J.; Graneto, M.J.; Seibert, K.; Talley, J.J. The novel benzopyran class of selective cyclooxygenase-2 inhibitors-part I: The first clinical candidate. Bioorg. Med. Chem. Lett. 2010, 20, 7155–7158. [Google Scholar] [CrossRef] [PubMed]
Sample Availability: Samples of all the compounds are available from the authors. |







| Drugs | %Change | % Inhibition | %Change | % Inhibition | %Change | % Inhibition | %Change | % Inhibition |
|---|---|---|---|---|---|---|---|---|
| 1 h | 2 h | 3 h | 4 h | |||||
| control | 100.5 ± 9.07 | ---- | 113.8 ± 13.21 | ---- | 102.4 ± 10.42 | ---- | 32.05 ± 2.80 | ---- |
| 2a | 88.78 ± 9.70 | −11.62 | 94.47 ± 10.13 | −17.00 | 58.42 ± 7.31 * | −42.93 | 4.735 ± 1.92 * | −85.23 |
| 2b | 77.43 ± 2.25 | −22.92 | 82.37 ± 2.55 | −27.62 | 36.27 ± 3.73 * | −64.57 | 4.557 ± 0.99 * | −85.78 |
| 3a | 64.03 ± 4.96 * | −36.26 | 70.22 ± 5.50 * | −38.30 | 63.92 ± 3.59 * | −37.56 | 5.003 ± 0.94 * | −84.39 |
| 3b | 91.8 ± 9.65 | −8.61 | 98.19 ± 9.24 | −13.72 | 48.54 ± 4.24 * | −52.58 | 19.56 ± 2.79 | −38.96 |
| 4a | 96.39 ± 6.90 | −4.05 | 103 ± 6.95 | −9.51 | 131 ± 12.23 | 27.98 | 35.83 ± 1.50 | 11.80 |
| 4b | 55.82 ± 4.05 * | −44.43 | 64.57 ± 5.18 * | −43.27 | 28.38 ± 2.86 * | −72.28 | 7.442 ± 1.59 * | −76.78 |
| 5a | 73.41 ± 5.92 | −26.93 | 78.32 ± 7.00 | −31.18 | 66.51 ± 6.60 * | −35.02 | 19.73 ± 2.44 | −38.45 |
| 5b | 100.4 ± 10.72 | −0.06 | 107.8 ± 10.97 | −5.26 | 53.77 ± 5.47 * | −47.47 | 10.38 ± 1.77 * | −67.62 |
| 6a | 86.3 ± 2.17 | −14.09 | 93.78 ± 2.51 | −17.60 | 84.33 ± 6.57 | −17.62 | 44.02 ± 5.39 | 37.35 |
| 6b | 41.96 ± 3.82 * | −58.23 | 61.37 ± 4.23 * | −46.08 | 53.86 ± 4.94 * | −47.39 | 3.345 ± 0.52 * | −89.57 |
| 7a | 84.47 ± 4.65 | −15.92 | 86.53 ± 2.72 | −23.97 | 114.6 ± 6.95 | 12.00 | 38.18 ± 5.73 | 19.11 |
| 7b | 74.78 ± 5.38 | −25.56 | 80.48 ± 5.51 | −29.28 | 61.94 ± 3.79 * | −39.49 | 4.368 ± 1.18 * | −86.37 |
| 8a | 60.3 ± 4.08 * | −39.97 | 71.13 ± 6.50 * | −37.50 | 82.85 ± 8.84 | −19.07 | 26.39 ± 2.92 | −17.66 |
| 8b | 77.38 ± 6.13 | −22.97 | 112.4 ± 10.61 | −1.25 | 76.74 ± 6.85 | −25.03 | 18.34 ± 2.40 * | −42.78 |
| 9a | 52.79 ± 5.44 * | −47.45 | 61.83 ± 6.32 * | −45.67 | 68.91 ± 5.30 | −32.68 | 22.56 ± 0.81 | −29.61 |
| 9b | 39.06 ± 2.75 * | −61.11 | 46.06 ± 3.05 * | −59.53 | 62.15 ± 6.83 * | −39.29 | 4.033 ± 0.87 * | −87.42 |
| Indomethacin | 60.14 ± 6.64 * | −40.1295 | 67.97 ± 6.03 * | −40.2745 | 62.27 ± 8.14 * | −39.17 | 8.655 ± 1.53 * | −72.9943 |
| Celebrex | 52.39 ± 3.03 * | −47.8509 | 58.69 ± 2.95 * | −48.4341 | 60.25 ± 5.74 * | −41.1372 | 5.205 ± 0.65 * | −83.7597 |
| Compd. NO. | Docking Score (Kcal/mol) | Amino Acid Residues (Bond Length Å) | Atoms of Compound | Type of Bond |
|---|---|---|---|---|
| 2a | −6.78 | His90 (2.6); | O(CO) | H-acc |
| Arg120 (2.1); | O(OCH3) (parent) | H-acc | ||
| 2b | −6.93 | His90 (2.4); | O(CO) | H-accH-accArene-cation Arene-cation |
| Arg120 (2.3); | O(OCH3) (parent) | |||
| Arg120; | C6H3-4-OCH3 (new) | |||
| Arg513 | C6H3-4-OCH3 (new) | |||
| 3a | −7.12 | Arg120 (1.8); | O(OCH3) (parent) | H-acc |
| 3b | −5.46 | Arg120 (2.1); | O(OCH3) (parent) | H-accArene-cation Arene-cation |
| Arg120; | C6H3-4-OCH3 (new) | |||
| Arg513 | C6H3-4-OCH3 (new) | |||
| 4a | −5.22 | Arg120 (2.6); | O(OCH3) (parent) | H-acc |
| 4b | −7.24 | Arg120 (2.4); | O(OCH3) (parent) | H-accArene-cation Arene-cation |
| Arg120; | C6H3-4-OCH3 (new) | |||
| Arg513 | C6H3-4-OCH3 (new) | |||
| 5a | −5.14 | Arg120 (2.7); | O(OCH3) (parent) | H-acc |
| 5b | −6.25 | Arg120 (2.1); | O(OCH3) (parent) | H-acc Arene-cation Arene-cation |
| Arg120; | C6H3-4-OCH3 (new) | |||
| Arg513 | C6H3-4-OCH3 (new) | |||
| 6a | −5.43 | His90 (2.4); | NH(pyridone) | H-acc |
| His90 (2.6); | O(pyridone) | H-acc | ||
| Arg120 (2.5); | O(OCH3) (parent) | H-acc | ||
| 6b | −8.11 | His90 (2.7); | NH(pyridone) | H-accH-accH-accArene-cation Arene-cation |
| His90 (2.7); | O(pyridone) | |||
| Arg120 (3.1); | O(OCH3) (parent) | |||
| Arg120; | C6H3-4-OCH3 (new) | |||
| Arg513 | C6H3-4-OCH3 (new) | |||
| 7a | −5.45 | His90 (2.6); | NH(iminopyridine) | H-accH-acc |
| Arg120 (2.3); | O(OCH3) (parent) | |||
| 7b | −6.98 | His90 (2.7); | NH(iminopyridine) | H-accH-accArene-cation Arene-cation |
| Arg120 (2.1); | O(OCH3) (parent) | |||
| Arg120; | C6H3-4-OCH3 (new) | |||
| Arg513 | C6H3-4-OCH3 (new) | |||
| 8a | −5.20 | Arg120 (2.2); | O(OCH3) (parent) | H-acc |
| 8b | −6.26 | Arg120 (1.9); | O(OCH3) (parent) | H-accArene-cation Arene-cation |
| Arg120; | C6H3-4-OCH3 (new) | |||
| Arg513 | C6H3-4-OCH3 (new) | |||
| 9a | −5.75 | Arg120 (2.5); | O(OCH3) (parent) | H-acc |
| 9b | −7.48 | Arg120 (1.9); | O(OCH3) (parent) | H-accArene-cation Arene-cation |
| Arg120; | C6H3-4-OCH3 (new) | |||
| Arg513 | C6H3-4-OCH3 (new) | |||
| SC-558 | −6.30 | His90 (2.2); | H(NH2) | H-acc |
| GIn192 (2.4); | H(NH2) | H-don | ||
| Arg513 (2.2); | H(NH2) | H-don | ||
| Val523; | C6H3-4-Br | Arene-Arene | ||
| Ala527; | C6H3-4-Br | Arene-Arene | ||
| Leu352; | Phenylsulphonamide | Arene-Arene | ||
| Ser353 | Phenylsulphonamide | Arene-Arene | ||
| Celecoxib | −6.55 | His90 (1.9); | H(NH2) | H-acc |
| GIn192 (2.1); | H(NH2) | H-don | ||
| Leu338 (2.3); | H(NH2) | H-acc | ||
| Val523; | C6H3-4-OCH3 | Arene-Arene | ||
| Ala527; | C6H3-4-OCH3 | Arene-Arene | ||
| Leu352; | Phenylsulphonamide | Arene-Arene | ||
| Ser353 | Phenylsulphonamide | Arene-Arene |
© 2017 by the authors. Licensee MDPI, Basel, Switzerland. This article is an open access article distributed under the terms and conditions of the Creative Commons Attribution (CC BY) license (http://creativecommons.org/licenses/by/4.0/).
Share and Cite
Nossier, E.S.; Fahmy, H.H.; Khalifa, N.M.; El-Eraky, W.I.; Baset, M.A. Design and Synthesis of Novel Pyrazole-Substituted Different Nitrogenous Heterocyclic Ring Systems as Potential Anti-Inflammatory Agents. Molecules 2017, 22, 512. https://doi.org/10.3390/molecules22040512
Nossier ES, Fahmy HH, Khalifa NM, El-Eraky WI, Baset MA. Design and Synthesis of Novel Pyrazole-Substituted Different Nitrogenous Heterocyclic Ring Systems as Potential Anti-Inflammatory Agents. Molecules. 2017; 22(4):512. https://doi.org/10.3390/molecules22040512
Chicago/Turabian StyleNossier, Eman S., Hoda H. Fahmy, Nagy M. Khalifa, Wafaa I. El-Eraky, and Marawan A. Baset. 2017. "Design and Synthesis of Novel Pyrazole-Substituted Different Nitrogenous Heterocyclic Ring Systems as Potential Anti-Inflammatory Agents" Molecules 22, no. 4: 512. https://doi.org/10.3390/molecules22040512
APA StyleNossier, E. S., Fahmy, H. H., Khalifa, N. M., El-Eraky, W. I., & Baset, M. A. (2017). Design and Synthesis of Novel Pyrazole-Substituted Different Nitrogenous Heterocyclic Ring Systems as Potential Anti-Inflammatory Agents. Molecules, 22(4), 512. https://doi.org/10.3390/molecules22040512

