Total Synthesis and Metabolic Stability of Hispidulin and Its d-Labelled Derivative
Abstract
:1. Introduction
2. Results and Discussion
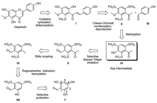
2.1. Retrosynthetic Analysis of Hispidulin
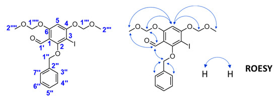
2.2. Synthesis of Hispidulin
2.3. Synthesis of d-Hispidulin
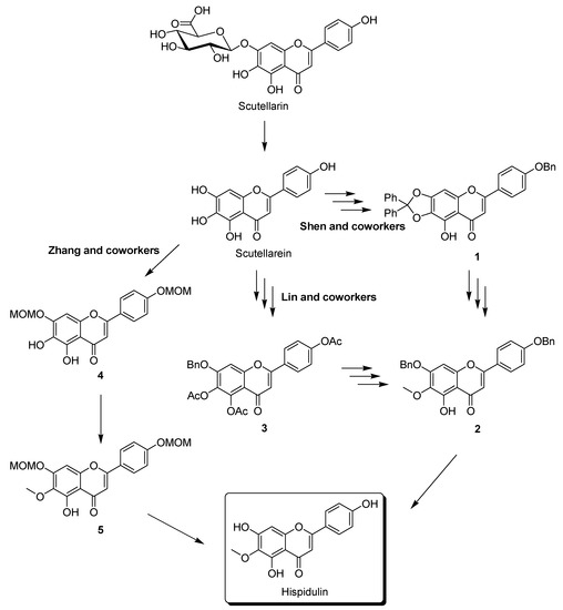
2.4. Comparison of Hispidulin Synthesis Methods
2.5. Human Liver Microsome Stability
3. Experimental Section
3.1. General Information
3.2. Chemistry
3.3. Human Liver Microsome Stability Assay
Supplementary Materials
Acknowledgments
Author Contributions
Conflicts of Interest
References
- Grassi, D.; Desideri, G.; Ferri, C. Flavonoids: Antioxidants against atherosclerosis. Nutrients 2010, 2, 889–902. [Google Scholar] [CrossRef] [PubMed]
- Pietta, P.G. Flavonoids as antioxidants. J. Nat. Prod. 2000, 63, 1035–1042. [Google Scholar] [CrossRef] [PubMed]
- Serafini, M.; Peluso, I.; Raguzzini, A. Flavonoids as anti-inflammatory agents. Proc. Nutr. Soc. 2010, 69, 273–278. [Google Scholar] [CrossRef] [PubMed]
- Cushnie, T.P.; Lamb, A.J. Antimicrobial activity of flavonoids. Int. J. Antimicrob. Agents 2005, 26, 343–356. [Google Scholar] [CrossRef] [PubMed]
- Cardenas-Rodriguez, N.; Gonzalez-Trujano, M.E.; Aguirre-Hernandez, E.; Ruiz-Garcia, M.; Sampieri, A., III; Coballase-Urrutia, E.; Carmona-Aparicio, L. Anticonvulsant and antioxidant effects of Tilia americana var. mexicana and flavonoids constituents in the pentylenetetrazole-induced seizures. Oxid. Med. Cell. Longev. 2014, 2014, 329172. [Google Scholar] [CrossRef] [PubMed]
- Guan, L.P.; Liu, B.Y. Antidepressant-like effects and mechanisms of flavonoids and related analogues. Eur. J. Med. Chem. 2016, 121, 47–57. [Google Scholar] [CrossRef] [PubMed]
- Ravishankar, D.; Rajora, A.K.; Greco, F.; Osborn, H.M. Flavonoids as prospective compounds for anti-cancer therapy. Int. J. Biochem. Cell Biol. 2013, 45, 2821–2831. [Google Scholar] [CrossRef] [PubMed]
- Fan, P.C.; Huang, W.J.; Chiou, L.C. Intractable chronic motor tics dramatically respond to Clerodendrum inerme (L) Gaertn. J. Child Neurol. 2009, 24, 887–890. [Google Scholar] [CrossRef] [PubMed]
- Huang, W.J.; Lee, H.J.; Chen, H.L.; Fan, P.C.; Ku, Y.L.; Chiou, L.C. Hispidulin, a constituent of Clerodendrum inerme that remitted motor tics, alleviated methamphetamine-induced hyperlocomotion without motor impairment in mice. J. Ethnopharmacol. 2015, 166, 18–22. [Google Scholar] [CrossRef] [PubMed]
- Liao, Y.H.; Lee, H.J.; Huang, W.J.; Fan, P.C.; Chiou, L.C. Hispidulin alleviated methamphetamine-induced hyperlocomotion by acting at alpha6 subunit-containing GABAA receptors in the cerebellum. Psychopharmacology 2016, 233, 3187–3199. [Google Scholar] [CrossRef] [PubMed]
- Cui, B.; Lee, Y.H.; Chai, H.; Tucker, J.C.; Fairchild, C.R.; Raventos-Suarez, C.; Long, B.; Lane, K.E.; Menendez, A.T.; Beecher, C.W.; et al. Cytotoxic sesquiterpenoids from Ratibida columnifera. J. Nat. Prod. 1999, 62, 1545–1550. [Google Scholar] [CrossRef] [PubMed]
- Iwashina, T.; Kamenosono, T.; Ueno, T. Hispidulin and nepetin 4 -glucosides from Cirsium oligophyllum. Phytochemistry 1999, 51, 1109–1111. [Google Scholar] [CrossRef]
- Flamini, G.; Antognoli, E.; Morelli, I. Two flavonoids and other compounds from the aerial parts of Centaurea bracteata from Italy. Phytochemistry 2001, 57, 559–564. [Google Scholar] [CrossRef]
- Fullas, F.; Hussain, R.A.; Chai, H.B.; Pezzuto, J.M.; Soejarto, D.D.; Kinghorn, A.D. Cytotoxic constituents of Baccharis gaudichaudiana. J. Nat. Prod. 1994, 57, 801–807. [Google Scholar] [CrossRef] [PubMed]
- Kavvadias, D.; Monschein, V.; Sand, P.; Riederer, P.; Schreier, P. Constituents of sage (Salvia officinalis) with in vitro affinity to human brain benzodiazepine receptor. Planta Med. 2003, 69, 113–117. [Google Scholar] [CrossRef] [PubMed]
- Hall, B.J.; Karim, N.; Chebib, M.; Johnston, G.A.; Hanrahan, J.R. Modulation of ionotropic GABA receptors by 6-methoxyflavanone and 6-methoxyflavone. Neurochem. Res. 2014, 39, 1068–1078. [Google Scholar] [CrossRef] [PubMed]
- Ren, L.; Chan, W.M.; Wang, F.; Xu, Z.; Zhao, C.; Mat, W.K.; Chai, Y.; Wong, J.T.; Tsang, S.Y.; Xue, H. Effects of flavone 6-substitutions on GABAA receptors efficacy. Eur. J. Pharmacol. 2011, 670, 121–129. [Google Scholar] [CrossRef] [PubMed]
- Kavvadias, D.; Sand, P.; Youdim, K.A.; Qaiser, M.Z.; Rice-Evans, C.; Baur, R.; Sigel, E.; Rausch, W.D.; Riederer, P.; Schreier, P. The flavone hispidulin, a benzodiazepine receptor ligand with positive allosteric properties, traverses the blood-brain barrier and exhibits anticonvulsive effects. Br. J. Pharmacol. 2004, 142, 811–820. [Google Scholar] [CrossRef] [PubMed]
- Shi, Z.H.; Li, N.G.; Wang, Z.J.; Tang, Y.P.; Dong, Z.X.; Zhang, W.; Zhang, P.X.; Gu, T.; Wu, W.Y.; Yang, J.P.; et al. Synthesis and biological evaluation of methylated scutellarein analogs based on metabolic mechanism of scutellarin in vivo. Eur. J. Med. Chem. 2015, 106, 95–105. [Google Scholar] [CrossRef] [PubMed]
- Lin, H.; Zhang, W.; Dong, Z.X.; Gu, T.; Li, N.G.; Shi, Z.H.; Kai, J.; Qu, C.; Shang, G.X.; Tang, Y.P.; et al. A new and practical synthetic method for the synthesis of 6-O-methyl-scutellarein: One metabolite of scutellarin in vivo. Int. J. Mol. Sci. 2015, 16, 7587–7594. [Google Scholar] [CrossRef] [PubMed]
- Chao, S.W.; Su, M.Y.; Chiou, L.C.; Chen, L.C.; Chang, C.I.; Huang, W.J. Total Synthesis of Hispidulin and the Structural Basis for Its Inhibition of Proto-oncogene Kinase Pim-1. J. Nat. Prod. 2015, 78, 1969–1976. [Google Scholar] [CrossRef] [PubMed]
- Shen, M.Z.; Shi, Z.H.; Li, N.G.; Tang, H.; Shi, Q.P.; Tang, Y.P.; Yang, J.P.; Duan, J.A. Efficient Synthesis of 6-O-methyl-scutellarein from Scutellarin via Selective Methylation. Lett. Org. Chem. 2013, 10, 733–737. [Google Scholar] [CrossRef]
- Zhang, W.; Dong, Z.X.; Gu, T.; Li, N.G.; Zhang, P.X.; Wu, W.Y.; Yu, S.P.; Tang, Y.P.; Yang, J.P.; Shi, Z.H. A new and efficient synthesis of 6-O-methylscutellarein, the major metabolite of the natural medicine scutellarin. Molecules 2015, 20, 10184–10191. [Google Scholar] [CrossRef] [PubMed]
- Katsnelson, A. Heavy drugs draw heavy interest from pharma backers. Nat. Med. 2013, 19, 656. [Google Scholar] [CrossRef] [PubMed]
- Gant, T.G. Using deuterium in drug discovery: Leaving the label in the drug. J. Med. Chem. 2014, 57, 3595–3611. [Google Scholar] [CrossRef] [PubMed]
- Mullard, A. FDA approves first deuterated drug. Nat. Rev. Drug Discov. 2017, 16, 305. [Google Scholar] [CrossRef] [PubMed]
- Tung, R.D. Deuterium medicinal chemistry comes of age. Future Med. Chem. 2016, 8, 491–494. [Google Scholar] [CrossRef] [PubMed]
- Labib, S.; Hummel, S.; Richling, E.; Humpf, H.U.; Schreier, P. Use of the pig caecum model to mimic the human intestinal metabolism of hispidulin and related compounds. Mol. Nutr. Food Res. 2006, 50, 78–86. [Google Scholar] [CrossRef] [PubMed]
- Xu, H.J.; Liang, Y.F.; Cai, Z.Y.; Qi, H.X.; Yang, C.Y.; Feng, Y.S. CuI-nanoparticles-catalyzed selective synthesis of phenols, anilines, and thiophenols from aryl halides in aqueous solution. J. Org. Chem. 2011, 76, 2296–2300. [Google Scholar] [CrossRef] [PubMed]
- Anderson, K.W.; Ikawa, T.; Tundel, R.E.; Buchwald, S.L. The selective reaction of aryl halides with KOH: Synthesis of phenols, aromatic ethers, and benzofurans. J. Am. Chem. Soc. 2006, 128, 10694–10695. [Google Scholar] [CrossRef] [PubMed]
- Chen, J.M.; Yuan, T.J.; Hao, W.Y.; Cai, M.Z. Simple and efficient Cul/PEG-400 system for hydroxylation of aryl halides with potassium hydroxide. Catal. Commun. 2011, 12, 1463–1465. [Google Scholar] [CrossRef]
- Kantevari, S.; Yempala, T.; Yogeeswari, P.; Sriram, D.; Sridhar, B. Synthesis and antitubercular evaluation of amidoalkyl dibenzofuranols and 1H-benzo[2,3]benzofuro[4,5-e][1,3]oxazin-3(2H)-ones. Bioorg. Med. Chem. Lett. 2011, 21, 4316–4319. [Google Scholar] [CrossRef] [PubMed]
- Hase, T.; Ohtani, K.; Kasai, R.; Yamasaki, K.; Picheansoonthon, C. Revised Structure for Hortensin, a Flavonoid from Millingtonia-Hortensis. Phytochemistry 1995, 40, 287–290. [Google Scholar] [CrossRef]
Sample Availability: Samples of the compounds 12, 32, 33, 34, 35, 36, 37, 38, 41, 42, 43, 44, 45a, 45b, 46a, 46b, 47a, 47b, hispidulin and d-hispidulin are available from the authors. |









| Entry | Catalyst | Ligand | Base | Solvent | T (°C) | Yield (%) |
|---|---|---|---|---|---|---|
| 1 | CuI | 1,10-Phenanthroline | KOH | DMSO–H2O | 100 | trace |
| 2 | Cu | - | NaOH | H2O | 100 | trace |
| 3 | Cu | - | NaOH | DMSO–H2O | 100 | trace |
| 4 | Pd2dba3 | tBuXPhos | KOH | Dioxane–H2O | 100 | 27 |
| 5 | Pd2dba3 | tBuXPhos | KOH | Dioxane–H2O | 70 | 14 |
| 6 | Pd2dba3 | tBuXPhos | KOH | Dioxane–H2O | 100 1 | 26 |
| 7 | Pd2dba3 | tBuXPhos | KOH | Dioxane–H2O | 100 2 | 23 |
| 8 | Pd2dba3 | tBuXPhos | KOH | DMF | 100 1 | trace |
| Entry | Catalyst | Solvent | Yield (%) | Reaction Time (h) |
|---|---|---|---|---|
| 1 | Pd(PPh3)4 | Dioxane | 68 | 30 |
| 2 | Pd(PPh3)4 | Toluene | 70 | 24 |
| 3 | PdCl2(PPh3)2 | Dioxane | 73 | 20 |
| 4 | PdCl2(PPh3)2 | Toluene | 83 | 10 |
| 5 | Pd(dppf)Cl2 | Dioxane | 34 | 78 |
| 6 | Pd(dppf)Cl2 | Toluene | 53 | 43 |
| Research Group | Synthesis Route | Reaction Steps | Overall Yield (%) |
|---|---|---|---|
| Shen and coworkers | Semisynthesis | Seven | 10.7 |
| Lin and coworkers | Semisynthesis | Seven | 7.1 |
| Zhang and coworkers | Semisynthesis | Four | 6.3 |
| Kavvadias and coworkers | Total synthesis | Nine | 1.1 |
| Chao and coworkers | Total synthesis | Ten | 1.6 |
| This study | Total synthesis | Eight | 26.9 |
| Compound | Half-Life (min) | CLint 1 (mL/min/mg Protein) |
|---|---|---|
| Hispidulin | 46 | 0.0298 |
| d-Hispidulin | 43 | 0.0325 |
| Testosterone | 19 | 0.0727 |
© 2017 by the authors. Licensee MDPI, Basel, Switzerland. This article is an open access article distributed under the terms and conditions of the Creative Commons Attribution (CC BY) license (http://creativecommons.org/licenses/by/4.0/).
Share and Cite
Chen, L.-C.; Hsu, K.-C.; Chiou, L.-C.; Tseng, H.-J.; Huang, W.-J. Total Synthesis and Metabolic Stability of Hispidulin and Its d-Labelled Derivative. Molecules 2017, 22, 1897. https://doi.org/10.3390/molecules22111897
Chen L-C, Hsu K-C, Chiou L-C, Tseng H-J, Huang W-J. Total Synthesis and Metabolic Stability of Hispidulin and Its d-Labelled Derivative. Molecules. 2017; 22(11):1897. https://doi.org/10.3390/molecules22111897
Chicago/Turabian StyleChen, Liang-Chieh, Kai-Cheng Hsu, Lih-Chu Chiou, Hui-Ju Tseng, and Wei-Jan Huang. 2017. "Total Synthesis and Metabolic Stability of Hispidulin and Its d-Labelled Derivative" Molecules 22, no. 11: 1897. https://doi.org/10.3390/molecules22111897
APA StyleChen, L.-C., Hsu, K.-C., Chiou, L.-C., Tseng, H.-J., & Huang, W.-J. (2017). Total Synthesis and Metabolic Stability of Hispidulin and Its d-Labelled Derivative. Molecules, 22(11), 1897. https://doi.org/10.3390/molecules22111897

