Abstract
Anti-inflammatory compounds were investigated from the ethanol extract of the roots and rhizomes of Asarum heterotropoides var. mandshuricum, a traditional Chinese medicine called Xixin and used for pain and inflammatory. Nine new compounds were isolated, including six new lignans, neoasarinin A–C (1–3), neoasarininoside A and B (4 and 5), and asarinin B (7), and one new monoterpene, asarincin A (8), two new amides, asaramid II and III (10 and 11), and one new natural monoterpene, asaricin B (9), along with 37 known compounds (6, 12–47). Their structures and absolute configurations were elucidated on the basis of spectroscopic methods and chemical analyses. This is the first report of the absolute configuration of asarinin A (6). The 8-O-4′ neolignans (1–5) were reported in the genus Asarum for the first time. The 15 compounds 17, 19, 22–25, 28, 31, 36, 40, 42, 43, 45–47 were isolated from the genus Asarum, and compounds 16, 32, 33, 37 and 39 were isolated from A. heterotropoides var. mandshuricum for the first time. Thirty-seven of the isolates were evaluated for anti-inflammatory activity against the release of β-glucuronidase in polymorphonuclear leukocytes (PMNs) induced by the platelet-activating factor (PAF), and compounds 1, 4, 7, 8, 14, 17–19, 22, 24, 25, 29, 30, 32, 33, 40–43, 45, and 46 showed potent anti-inflammatory activities in vitro, with 27.9%–72.6% inhibitions at 10−5 mol/L. The results of anti-inflammatory assay suggested that lignans obtained from the CHCl3 extract might be the main active components of Xixin.
1. Introduction
The roots and rhizomes of Asarum heterotropoides Fr. Schmidt var. mandshuricum (Maxim.) Kitag, which is described as Xixin in Chinese or Asari Radix et Rhizoma (AR) in the Pharmacopoeia of the People’s Republic of China (2010 edition), is one of the most important traditional Chinese medicines of the genus Asarum (Aristolochiaceae). It was widely used in traditional medicine as an anodyne and anti-allergic remedy to treat various diseases such as aphthous stomatitis, headache, toothache, and inflammation in some countries of Asia [1]. Previous phytochemical investigations of A. heterotropoides var. mandshuricum resulted in the identification of chemical constituents with diverse structures including volatile oil [2], lignans [3,4,5,6], amides [7], terpenes [8], flavones [6,9,10,11,12], and benzene derivatives [6,11,12,13,14]. Additionally, the volatile oil of AR was considered the main effective component contributing to analgesia and anti-inflammation [15,16]. However, when a clinical application of a water decoction of AR was used to treat pain or inflammation diseases, the decocting process lasted for a long time [17,18]. Moreover, several studies proved that the volatile oil content was very low in the water decoction boiling for a long time of AR [19,20]. Meanwhile, in the course of our studies on anti-inflammatory and anti-nociceptive effects in mice of water and ethanol extracts of AR [21], it was also found that both 95% and 50% ethanol extracts showed significantly anti-inflammatory effects in the xylene-induced mice ear edema test with inhibitory rates of 61.86% and 52.56% at 0.2 g/kg, respectively. According to the previous results, it could be concluded that non-volatile constituents existed in AR also had the anti-inflammatory and analgesic activities. However, although AR worked to control pain and inflammation in traditional Chinese medicine prescriptions, there was not enough research to explain its non-volatile active components of analgesia and anti-inflammation, in spite of a few previous papers reporting its potential anti-tussive, anti-tumor, and anti-inflammatory effects [5,6,22,23], along with anti-allergic and anti-inflammatory components of Asiasarum sieboldi F. Maekawa belonging to the same genus [24,25,26].
In order to investigate the anti-inflammatory constituents in the roots and rhizomes of A. heterotropoides var. mandshuricum, the present study was therefore designed to describe the extraction, isolation, structure characterization, and anti-inflammatory activity screening of non-volatile compounds isolated from ethanol extract of this plant. As a result, 47 compounds were isolated and identified, including six new lignans (1–5, 7), one new monoterpene (8), two new amides (10 and 11), one new natural product (9), and 37 known compounds. The structures of new compounds were elucidated on the basis of IR, UV, MS, CD, and 1D and 2D NMR spectra. Since β-glucuronidase plays an important role in the inflammatory process, inhibitors of β-glucuronidase release may be accordingly considered therapeutic agents in inflammatory diseases [27]. Consequently, in order to evaluate the anti-inflammatory activity of non-volatile constituents, 37 compounds were screened in vitro by assessing the inhibitory rate of the release of β-glucuronidase in polymorphonuclear leukocytes (PMNs) induced by the platelet-activating factor (PAF) in this paper.
2. Results and Discussion
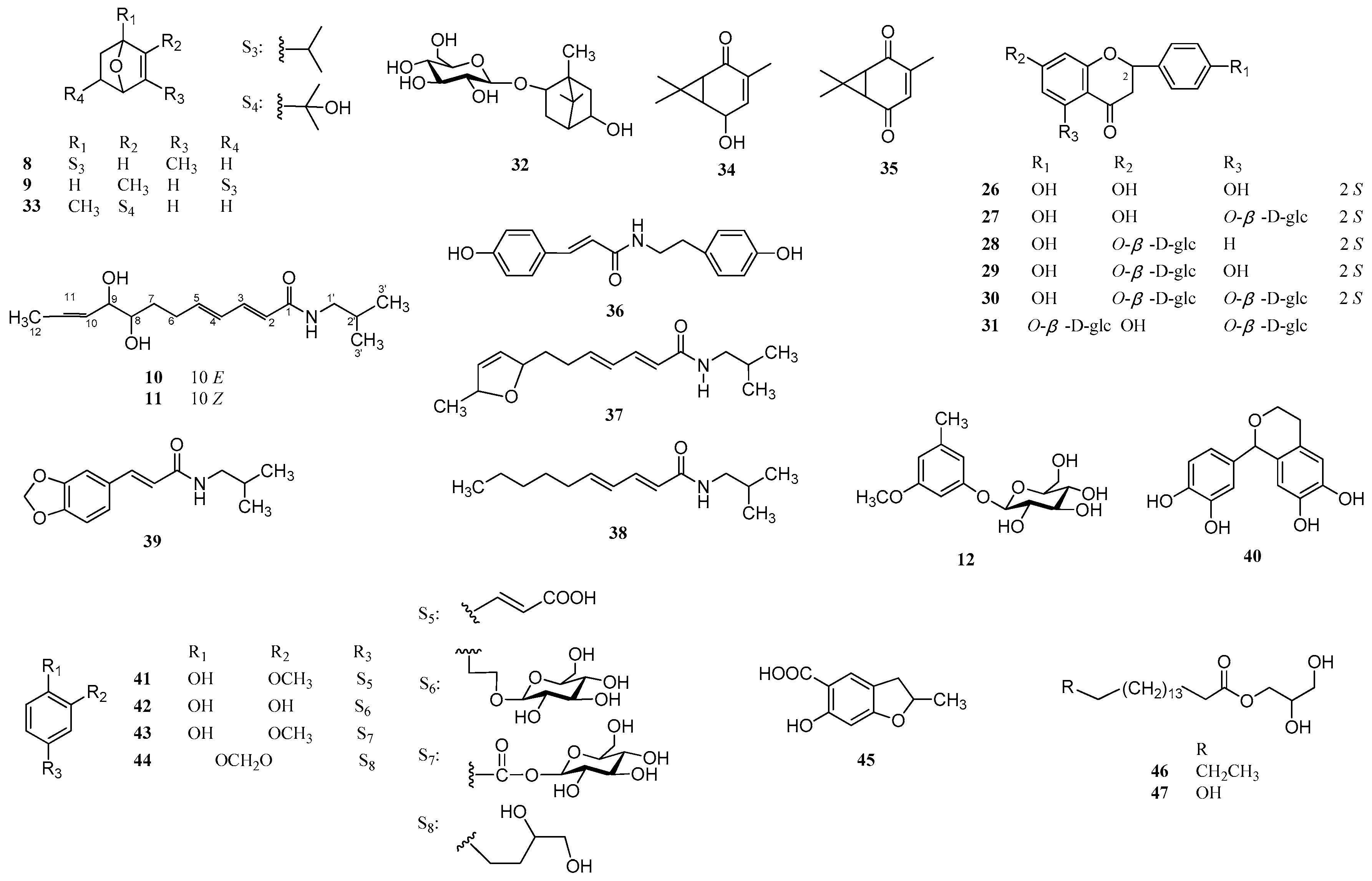
The EtOH extract of the roots and rhizomes of A. heterotropoides var. mandshuricum was suspended in H2O and then partitioned with petroleum ether, CHCl3, EtOAc, and n-BuOH, successively. The CHCl3, EtOAc, and n-BuOH extracts were separated and purified by various column chromatographic methods to yield six new lignans: neoasarinin A (1), neoasarinin B (2), neoasarinin C (3), neoasarininoside A (4), neoasarininoside B (5), and asarinin B (7); one new monoterpene: asarincin A (8); two new amides: asaramid II (10) and III (11); and one new natural monoterpene: asaricin B (9), together with 37 known compounds (6, 12–47) (Figure 1 and Figure 2). Compounds 1, 2, 4–9, 12–19, 21–25, 27–33, 37, and 40–47 were tested for anti-inflammatory activity.
Figure 1.
Chemical structures of compounds 1–7 and 13–25.
Figure 2.
Chemical structures of compounds 8–12 and 26–47.
Compound 1, an amorphous powder, was shown to have a molecular formula of C19H24O7 by HRMALDIMS (m/z 387.1403 [M + Na]+, calcd. 387.1414). The IR spectrum showed absorptions for hydroxyl (3445 cm−1). The 1H-NMR spectrum showed an ABX and an AX system aromatic proton signals at δ 6.96 (1H, d, J = 2.4 Hz, H-2), 6.77 (1H, dd, J = 8.4, 2.4 Hz, H-6), and 6.73 (1H, d, J = 8.4 Hz, H-5), and 6.41 (1H, d, J = 3.0 Hz, H-2′) and 6.29 (1H, d, J = 3.0 Hz, H-6′), respectively. The 1H-NMR signals at δ 3.81 (3H, s), 3.80 (3H, s), 3.71 (3H, s), and 2.12 (3H, s) supported the existence of three methoxyl groups and a methyl group. Through the analysis of HMBC spectrum, the correlations between H-2 and C-4, C-7, H-6 and C-4, C-7, H-5 and C-3, C-1, the methoxyl protons (δ 3.71) and C-3 indicated the presence of a 3-methoxyl-4-hydroxyphenyl unit. And the HMBC cross peaks between H-2′ and C-4′, C-6′, H-6′ and C-4′, C-2′ and methyl carbon (δ 15.7), methyl protons (δ 2.12) and C-4′, C-6′ could be attributed to a 5-methyl-1,3-dimethoxylphenyl unit (Figure 3). The other 1H-NMR signals, including two oxygenated methine protons (δ 4.87 (1H, d, J = 4.2 Hz, H-7) and 4.18 (1H, m, H-8)), an oxygenated methylene group (δ 3.83 (1H, m, H-9a) and 3.62 (1H, dd, J = 12.6, 3.6 Hz, H-9b)), in combination with the HMBC and 1H-1H COSY experiments, suggested that 1 could be a 8-O-4′ type of neolignan [28].
Figure 3.
Key HMBC correlations (H → C) of compounds 1, 2, and 4–5.
The coupling constant between H-7 and H-8 was measured to be 4.2 Hz, which resulted in an erythro configuration at C-7 and C-8 [29,30]. Also, the NOE cross peaks observed between H-7 and H-8 indicated the relative configuration to be cis. A negative Cotton effect at 219 nm suggested the absolute configuration of 7S, 8R in 1 by analysis of its CD spectrum [31,32]. From these data, the structure of 1, therefore, was established as erythro-(7S, 8R)-7-(3-methoxyl-4-hydroxyphenyl)-8-(5′-methyl-1′,3′-dimethoxylphenoxyl) propane-7,9-diol, and it was named neoasarinin A.
The spectroscopic data of compound 1 are as follows: amorphous powder; +10.0 (c 0.60, MeOH); UV (MeOH) λmax (log ε) 231 (4.05), 280 (3.70), 308 (3.01) nm; CD (MeOH) λmax (c 0.56 × 10−4 mol/L, Δε) 219 (–0.48), 293 (–0.24); IR (KBr) νmax 3445, 2939, 2873, 1602, 1516, 1493, 1464, 1332, 1274, 1209, 1152, 1123, 1090, 1056, 1033, 825 cm−1; 1H-NMR (CD3OD, 600 MHz) and 13C-NMR (CD3OD, 150 MHz) data, see Table 1; EIMS m/z 364 [M]+ (4), 316 (11), 288 (4), 194 (32), 181 (8), 168 (100), 153 (63), 125 (25), 109(11), 93 (19), 65 (17), 53 (10); HRMALDIMS m/z 387.1403 [M + Na]+ (calcd. for C19H24O7Na, 387.1414).
Table 1.
NMR spectroscopic data (CD3OD) for compounds 1–3.
Compound 2 was isolated as an amorphous powder. The molecular formula, C20H24O6, was established by HRMALDIMS (m/z 383.1457 [M + Na]+, calcd. 383.1465). The IR absorptions of 2 were indicative of the presence of a hydroxyl group (3423 cm−1) and a C=C double bond (1639 cm−1). The 1H-NMR signals of two oxygenated methine protons (δ 4.82 (1H, d, J = 5.4 Hz, H-7) and 4.28 (1H, m, H-8)), an oxygenated methylene group (δ 3.75–3.83 (2H, m, H-9)), and HMBC correlations from H-2 and H-6 to C-7, and H-8 to C-4′ (Figure 3), supported the idea that 2 could be a 8-O-4′ type of neolignan [28]. The 1H-NMR spectrum showed the presence of a 3-methoxyl-4-hydroxyphenyl unit (δ 7.00 (1H, d, J = 2.4 Hz, H-2), 6.73 (1H, d, J = 8.4 Hz, H-5), 6.82 (1H, dd, J = 8.4, 2.4 Hz, H-6) and a methoxyl group at δ 3.79 (3H, s)), which was supported by the HMBC spectrum. In addition, the 1H-NMR spectrum of 2 also showed an additional trisubstituted aromatic ring with an ABX system protons at δ 6.75 (1H, d, J = 1.8 Hz, H-2′), 6.83 (1H, d, J = 7.2 Hz, H-5′), 6.64 (1H, dd, J = 7.2, 1.8 Hz, H-6′) and a methoxyl group at δ 3.76 (3H, s). Furthermore, by the analysis of 1H-, 13C-NMR and 1H-1H COSY spectra, the signals at δ 3.28 (2H, d, J = 5.4 Hz, H-7′) and δ 39.4 (C-7′), 5.92 (1H, m, H-8′) and 137.7 (C-8′), and 5.03 (2H, m, H-9′) and 114.4 (C-9′) showed the existence of an allyl group. The long-range correlations between H-2′ and C-4′, C-7′, H-6′ and C-4′, C-7′, H-5′ and C-1′, C-3′, and methoxyl protons (δ 3.76) and C-3′ were observed in the HMBC spectrum (Figure 3), which led to the trisubstituted aromatic ring being determined as a 1-allyl -3-methoxylphenyl unit.
The relative configuration of 2 was established from the NOESY spectrum and the coupling constants between H-7 and H-8. The NOE cross peak of H-7 and H-8 was observed in the NOESY spectrum, suggested the cis-configuration between H-7 and H-8. Moreover, the coupling constant J7,8 = 5.4 Hz demonstrated the relative configuration to be erythro [29,30]. The positive cotton effect appearing at 241 nm in the CD spectrum indicated the absolute configuration of 2 was 7R, 8S [31,32]. Thus the structure of 2 was determined to be erythro-(7R, 8S)-7-(3-methoxyl-4-hydroxylphenyl)-8-(1′-allyl-3′-methoxylphenoxyl) propane-7,9-diol, which named as neoasarinin B.
The spectroscopic data of compound 2 are as follows: amorphous powder; –3.6 (c 0.55, MeOH); UV (MeOH) λmax (log ε) 211 (4.03), 229 (3.95), 280 (3.55) nm; CD (MeOH) λmax (c 0.58 × 10−4 mol/L, Δε) 241 (+0.54), 274 (+0.04), 300 (–0.15); IR (KBr) νmax 3423, 2936, 1639, 1605, 1511, 1463, 1429, 1268, 1223, 1153, 1126, 1031, 916, 817 cm−1; 1H-NMR (CD3OD, 600 MHz) and 13C-NMR (CD3OD, 150 MHz) data, see Table 1; HRMALDIMS m/z 383.1457 [M + Na]+ (calcd. for C20H24O6Na, 383.1465).
Compound 3 was isolated as an amorphous powder. The molecular formula of it was determined as C20H24O6 on the basis of HRESIMS (m/z 383.1455 [M + Na]+, calcd. 383.1465). Compound 3 had the same molecular formula as 2. And IR, UV, 1H- and 13C-NMR spectra of the two compounds were very similar to each other, which revealed the identical plane structure of them with a 3-methoxyl-4-hydroxyphenyl unit and a 1-allyl-3-methoxylphenyl unit. The major differences between 2 and 3 were the chemical shift values of H-8, 9, and C-8, 9, and three aromatic protons for the 1-allyl-3-methoxylphenyl unit. The chemical shift values of δ 6.81 (H-2′), 6.98 (H-5′) and 6.69 (H-6′) for the 1-allyl-3-methoxylphenyl unit of 3 were all more downfield than those of 2 (δ 6.75 (H-2′), 6.83 (H-5′) and 6.64 (H-6′)). Furthermore, the more downfield chemical shift of C-8 (δ 86.3) of 3 was observed, and the chemical shifts of H-9 (δ 3.70 (1H, dd, J = 12.0, 3.6 Hz, H-9a) and δ 3.41 (1H, m, H-9b)) of 3 were more highfield than those of 2 (δ 3.75–3.83 (2H, m)). Through the analysis of the above data, it could be concluded that 3 and 2 were stereoisomers with different configurations at the chiral centers of C-7 and C-8, respectively.
The coupling constant between H-7 and H-8 was J7,8 = 6.0 Hz, suggesting the relative configuration of 3 to be threo [29,30], which confirmed no correlation between H-7 and H-8 in the NOESY spectrum. The CD spectrum of 3 showed the positive cotton effect at 238 nm, which established that the absolute configurations at C-7 and C-8 were 7S and 8S, respectively [31,32]. On the basis of the above data, the structure of 3 was concluded to be threo-(7S, 8S)-7-(3-methoxyl-4-hydroxyphenyl)-8-(1′-allyl-3′-methoxylphenoxyl) propane-7,9-diol, and it was named neoasarinin C.
The spectroscopic data of compound 3 are as follows: amorphous powder; –5.3 (c 0.38, MeOH); UV (MeOH) λmax (log ε) 205 (3.33), 230 (2.77), 279 (2.38) nm; CD (MeOH) λmax (c 0.61 × 10−4 mol/L, Δε) 238 (+0.18), 288 (–0.18); IR (KBr) νmax 3421, 2921, 1700, 1606, 1511, 1462, 1429, 1266, 1222, 1132, 1030, 874 cm−1; 1H-NMR (CD3OD, 600 MHz) and 13C-NMR (CD3OD, 150 MHz) data, see Table 1; HRESIMS m/z 383.1455 [M + Na]+ ( calcd. for C20H24O6Na, 383.1465).
Compound 4 was obtained as an amorphous powder. Its molecular formula was determined to be C24H18O13 by HRESIMS (m/z 525.1605 [M + H]+, calcd. 525.1602). The IR spectrum showed absorptions for hydroxyl (3133 cm−1) and conjugated carbonyl groups (1630 cm−1). The 1H- and 13C-NMR data were similar to those of the known threo-guaiacylglycerol-β-O-4′-vanillic acid ether, which revealed the plane structure of 4 to be a breakdown product of 8-O-4′ type of neolignan [33]. However, the major difference between 4 and threo-guaiacylglycerol-β-O-4′-vanillic acid ether was the presence of a methylenedioxy at δ 5.77 (2H, s) in 4. The HMBC correlations between H-2 and C-4, H-5 and C-3, C-1, H-6 and C-4, and the methylenedioxy protons (δ 5.77) and C-3, C-4 suggested the existence of a 3,4-methylenedioxyphenyl group instead of the 3-methoxyl-4-hydroxyphenyl unit (Figure 3). In addition, the 1H- and 13C-NMR spectra of 4 exhibited the signal of a set of β-glucopyranose, including the anomeric proton at δ 5.58 (1H, d, J = 7.8 Hz, H-1″) and the six characteristic aliphatic carbon signals at δ 94.8, 77.5, 76.7, 72.7, 69.7, and 61.0. The glycosidic linkage was determined to be at the formyl group (δ 165.1) by the correlation observed between H-1″ and C-7′ in HMBC experiments (Figure 3). Acid hydrolysis of 4 afforded a D-glucose. The HMBC spectrum also showed the correlations between H-2, H-6 and C-7, H-8 and C-4′, and H-2′, H-6′ and C-7′, which further supported the above conclusions.
The coupling constant value of 4.8 Hz between H-7 and H-8 revealed the erythro configuration [29,30]. Furthermore, a negative Cotton effect at 240 nm indicated that the absolute configuration of 4 was 7S, 8R [31,32]. From these data, the structure of 4 was, therefore, established as erythro-(7S, 8R)-7-(3,4-methylenedioxyphenyl)-8-[1′-(formyl-β-d-glucopyranosyl)-3′-methoxylphenoxyl) propane-7,9-diol, and named as neoasarininoside A.
The spectroscopic data of compound 4 are as follows: amorphous powder; +30.6 (c 0.52, MeOH); UV (MeOH) λmax (log ε) 220 (4.01), 263 (3.81), 289 (3.71) nm; CD (MeOH) λmax (c 0.36 × 10−4 mol/L, Δε) 240 (–0.13), 264 (+0.30), 298 (+0.14); IR (KBr) νmax 3133, 1630, 1605, 1400, 1349, 760 cm−1; 1H-NMR (CD3OD, 600 MHz) and 13C-NMR (CD3OD, 150 MHz) data, see Table 2. ESIMS m/z 542 [M + NH4]+, 547 [M + Na]+; HRESIMS m/z 525.1605 [M + H]+ (calcd. for C24H29O13, 525.1602).
Table 2.
NMR spectroscopic data (CD3OD) for compounds 4 and 5.
Compound 5 was isolated as a needle crystal. The molecular formula of it was determined as C26H32O13 on the basis of HRESIMS (m/z 551.1776 [M − H]−, calcd. 551.1770). The IR spectrum showed absorptions for hydroxyl (3422 cm−1) and conjugated carbonyl groups (1688 cm−1). The 1H and 13C-NMR spectrum of 5, similarity with the known compound guaiacylglycerol-β-O-4′-ferulic acid ether [34], were attributed to two 1,3,4-trisubstituted aromatic rings (δ 7.09 (1H, d, J = 1.2 Hz, H-2) and 111.0 (C-2), 7.07 (1H, overlapping, H-5) and 116.21 (C-5), and 6.94 (1H, dd, J = 7.8, 1.2 Hz, H-6) and 119.8 (C-6), 7.12 (1H, overlapping, H-6′) and 110.8 (C-6′), 6.93 (1H, d, J = 7.8 Hz, H-3′) and 116.15 (C-3′), and 7.04 (1H, dd, J = 7.8, 1.8 Hz, H-4′) and 122.0 (C-4′)), a (E)-formylvinyl unit (δ 7.54 (1H, d, J = 15.6 Hz, H-7′) and 144.8 (C-7′), 6.31 (1H, d, J = 15.6 Hz, H-8′) and 116.11 (C-8′), and carboxyl carbon at δ 169.5 (C-9′)), two oxygenated methine protons (δ 4.84 (1H, d, J = 4.8 Hz, H-7) and 72.4 (C-7), and 4.47 (1H, m, H-8) and 84.1 (C-8)), an oxygenated methylene group (δ 3.85–3.76 (1H, overlapping, H-9a,), 3.65 (1H, dd, J = 12.0, 4.8 Hz, H-9b) and 60.8 (C-9)), and two methoxyl groups (δ 3.79 (6H, s) and 55.3), indicating 5 was an 8-O-4′ type of neolignan derivative. Comparing the NMR data of 5 with those of guaiacylglycerol-β-O-4′-ferulic acid ether, there was not a ferulic acid unit in the structure of 5 but an isoferulic acid unit, which further supported by the correlations between H-6′ and C-7′, C-4′, H-3′ and C-1′, C-5′, H-4′ and C-2′, H-7′ and C-6′, C-4′ and C-9′, H-8′ and C-5′, the methoxyl protons (δ 3.79) and C-2′ in HMBC spectrum (Figure 3). Moreover, the HMBC correlations between H-8 and C-1′, H-7 and C-2, C-6, H-2 and C-7 further confirmed the above conclusions (Figure 3). The presence of a β-glucopyranosyl moiety in the molecule was suggested by the NMR spectrum, which showed six carbon signals at δ 101.6, 76.8, 76.5, 73.6, 69.9, and 61.2, and an anomeric proton signal at δ 4.80 (1H, d, J = 7.2 Hz, H-1″). Acid hydrolysis and GC analysis proved the absolute configuration of the sugar moiety to be D-glucose. The HMBC correlation between H-1″ and carboxyl carbon (δ 169.5) was observed, confirming the β-d-glucopyranosyl group linked to C-9′. The assignments of the 1H and 13C-NMR data were established by the analysis of the 1H-1H COSY, HMQC and HMBC spectra. The coupling constant J7,8 was 4.8 Hz, which was indicative of the erythro configuration between C-7 and C-8 [29,30]. The absolute configurations, 7S, 8R, were assigned on the basis of a negative Cotton effect at 224 nm [31,32]. As a result, 5 was determined to be erythro-(7S, 8R)-7-(3-methoxyl-4-hydroxyphenyl)-8-{5′-[(E)-formylvinyl-β-d-glucopyranosyl]-2′-methoxylphenoxyl} propane-7,9-diol, and named neoasarininoside B.
The spectroscopic data of compound 5 are as follows: needle crystal (MeOH); m.p. 178–179 °C; –23.3 (c 0.60, MeOH); UV (MeOH) λmax (log ε) 205 (4.10), 284 (3.89), 319 (3.91) nm; CD (MeOH) λmax (c 0.39 × 10−4 mol/L, Δε) 224 (–1.17), 279 (–0.45); IR (KBr) νmax 3422, 2935, 1688, 1632, 1598, 1510, 1464, 1421, 1265, 1136, 1074, 1030, 755 cm−1; 1H-NMR (CD3OD, 600 MHz) and 13C-NMR (CD3OD, 150 MHz) data, see Table 2; ESIMS m/z 570 [M + NH4]+, 575 [M + Na]+; HRESIMS m/z 551.1776 [M − H]− (calcd. for C26H31O13, 551.1770).
Compound 6 was obtained as an amorphous powder, with the molecular formula of C22H28O7 derived from the ion peak at m/z 427.17261 [M + Na]+ (calcd 427.1727) in HRESIMS. The IR spectrum indicated the presence of a hydroxyl group (3412 cm−1). All the 1H-NMR, 13C-NMR, 1H-1H COSY, and HMBC data are in good agreement with those of 4-[1-ethoxy-1-(4-hydroxy-3-methoxy) phenyl]methyl-2-(4-hydroxy-3-methoxy)phenyl-3-hydroxymethyl-tetrahydrofuran [35]. The NOESY correlation between H-7 and H-9 indicated that the two protons, H-7 and H-8, were oriented as trans with each other. The NOE cross peaks were observed at H-7′ and H-9′a, H-8′ and H-9′b, which indicated that the relative configuration between C-7′ and C-8′ was trans. On the other hand, the trans configuration between C-8 and C-8′ was determined by the NOESY correlations between H-8′ and H-9, H-7′ and H-8 (Figure 4). The absolute configuration of 6 was determined by comparing the CD spectrum of 6 with those of tanegool and analogues [36,37]. The CD spectrum of 6 showed positive absorption peaks at 235 and 278 nm, which were identical with the known compound tanegool. Thus, the structure of 6 was determined to be (7S, 8R, 7′R, 8′S)-7′-[7′-ethoxyl-7′-(4′-hydroxyl-3′-methoxylphenyl)]methyl-7-(4-hydroxyl-3-methoxylphenyl)-8-hydroxymethyl-tetrahydrofuran and named asarinin A.
Figure 4.
Key NOESY correlations (H ↔ H) of compound 6.
Compound 7 was obtained as a white amorphous powder. The molecular formula of it was determined as C21H24O7 on the basis of HRESIMS (m/z 411.1409 [M + Na]+, calcd. 411.1414). The IR absorption of 7 was indicative of the presence of hydroxyl (3446 cm−1). The UV spectrum showed maximum absorption at 241 and 280 nm, which corresponded to the furofuran type of lignan [38]. The 1H- and 13C-NMR spectra of 7 also indicated that it was an unsymmetrically substituted furofuran lignan. The 1H-NMR signals of an ABX system at δ 6.91 (1H, d, J = 1.2 Hz, H-2′), 6.89 (1H, d, J = 7.8 Hz, H-5′) and 6.83 (1H, dd, J = 7.8, 1.2 Hz, H-6′), the other two aromatic protons at 6.60 (2H, s, H-2, 6), together with three methoxyl groups at δ 3.91 (3H, s) and δ 3.90 (6H, s) showed the existence of a 4-hydroxyl-3-methoxylphenyl unit and a 4-hydroxyl-3,5-dimethoxylphenly unit. Comparing NMR data of 7 with those of (+)-de-4, 4′-O-dimethylepimagnolin [39], which was a microbial transformation product of (+)-epimagnolin by a specific type of Aspergillus, compound 7 presented identical spectroscopic data with the known compound. Although 7 exhibited the same 1H-NMR data as (+)-de-4, 4′-O-dimethylepimagnolin A, which has the absolute configuration 7S, 8R, 7′R, 8′R with optical rotation value of +107.7 (c 0.1, CHCl3), its optical rotation, –126.7 (c 0.60, CHCl3), was opposite. Accordingly, the absolute configuration was assigned as 7R, 8S, 7′S, 8′S in 7 [40]. Finally, compound 7 was determined as (7R, 8S, 7′S, 8′S)-7-(4-hydroxyl-3, 5-dimethoxylphenyl)-7′-(4′-hydroxyl-3′-methoxylphenyl)-10, 10′- dioxabicyclo[3. 3. 0]-octane, and was named asarinin B.
The spectroscopic data of compound 7 are as follows: amorphous powder; —126.7 (c 0.60, CHCl3); UV (CHCl3) λmax (log ε) 241 (3.86), 280 (3.58) nm; IR (KBr) νmax 3446, 1612, 1517, 1457, 1426, 1359, 1277, 1242, 1204, 1161, 1111, 1069, 1031, 998, 731 cm−1; 1H-NMR (CDCl3, 600 MHz) and 13C-NMR (CDCl3, 150 MHz) data, see Table 3. HRESIMS m/z 411.1409 [M + Na]+ (calcd. for C21H24O7Na, 411.1414).
Table 3.
NMR spectroscopic data for 7 (in CDCl3).
Compound 8 was isolated as a white powder. Its molecular formula was found to be C10H16O by HRESIMS (m/z 153.1273 [M + H]+, calcd. 153.1273). The IR absorption spectrum of 8 showed the presence of a double bond (1608 cm−1). The 1H-NMR and HMQC spectra contained the signals for an olefinic proton at δ 5.54 (1H, t, J = 4.2, 1.2 Hz, H-2), an oxygenated methine at δ 3.94 (1H, t, J = 3.0, 2.4 Hz, H-4), two methylenes (δ 2.09 (1H, m, H-6a), 1.77 (1H, m, overlapping, H-6b), 1.94 (1H, dt, J = 13.8, 2.4 Hz, H-5a), 1.35 (1H, ddd, J = 13.2, 3.5 Hz, H-5b)), a methylene at δ 1.77 (1H, m, overlapping, H-7) and three methyl groups (δ 1.75 (3H, s, CH3-10), 1.15 (6H, s, CH3-8, 9)). The 13C-NMR data of 8 showed the existence of two olefinic carbons at δ 134.0 (C-3) and 124.8 (C-2), an oxygenated quaternary carbon at δ 71.4 (C-1), an oxygenated methine carbon at δ 67.9 (C-4), a methine carbon at δ 38.4 (C-7), two methylene carbons at δ 32.8 (C-5) and 26.7 (C-6), and three methyl carbons (δ 25.7 (C-8), 25.6 (C-9), and 19.8 (C-10)). Combined analysis of the spectroscopic data of 8 suggested that it was very similar to 2-methyl-5-isopropyl-7-oxabicyclo[2.2.1]hept-2-ene [41]. The principal differences between these two compounds were the substitution sites of the isopropyl group and the methyl group, linked to the 7-oxabicyclo[2.2.1]hept-2-ene moiety, respectively. In the HMBC spectrum, the correlations between H-2 and C-10, the methyl protons at δ 1.75 and C-4, indicated that the methyl at δ 1.75 was attached to C-3. Moreover, the isopropyl group was determined to connect with C-1, which was supported by HMBC correlations from H-2 to C-7, from H-6 to C-7, and the two methyl protons at δ 1.15 to C-1 (Figure 5). All other HMBC correlations observed were consistent with the structure of 8. The relative configuration of 8 was determined by analysis of its NOESY spectrum, which showed no NOE correlation between H-4 and CH3-8, 9, suggesting that H-4 was on the opposite face of the molecule relative to the isopropyl group. Finally, the assignments of all protons and carbons were made by HMQC, HMBC, 1H-1H COSY spectra (Figure 5). Thus, the structure of 8 was elucidated as 1-isopropyl-3-methyl-7-oxabicyclo[2.2.1]hept-2-ene and named asaricin A.
Figure 5.
Key HMBC (H → C) and 1H-1H COSY correlations (H ↔ H) of compounds 8 and 9.
The spectroscopic data of compound 8 are as follows: white powder; –13.3 (c 0.60, MeOH); UV (MeOH) λmax (log ε) 202 (3.07) nm; IR (KBr) νmax 3340, 2975, 2931, 2891, 1608, 1471, 1435, 1378, 1313, 1293, 1253, 1159, 1054, 1033, 918, 666, 617 cm−1; 1H-NMR (CD3OD, 600 MHz) and 13C-NMR (CD3OD, 150 MHz) data, see Table 4. EIMS m/z 152 (15), 137 (29), 109 (100), 95 (27), 79 (66), 59 (90), 55 (22), 43 (71); HRESIMS m/z 153.1273 [M + H]+ (calcd. for C10H17O, 153.1273).
Table 4.
NMR spectroscopic data (CD3OD) for compounds 8 and 9.
Compound 9 was obtained as a colorless prismatic crystal. The molecular formula of it was determined as C10H16O by HRESIMS (m/z 153.1271 [M + H]+, calcd. 153.1273). The IR spectrum displayed the absorption of a double bond (1632 cm−1). Comparing the 1H- and 13C-NMR data of 9 with those of asiasarinol [42], the existence of a 7-oxabicyclo[2.2.1]hept-2-ene moiety, a isopropyl group, and a methyl group in 9 was inferred. Furthermore, the locations of the isopropyl group and the methyl, connected with 9, were determined by an HMBC experiment. The HMBC correlations of the methyl protons at δ 1.76 with C-3 and C-1, H-3 and C-10 supported the idea that the methyl at δ 1.76 was linked to C-2. In addition, the HMBC correlations from H-8, H-9 to C-5 revealed that the isopropyl was attached to C-5. The 1H-1H COSY spectrum of 9 further reinforced the above conclusions by the correlation of H-3 with H-4, H-4 with H-5, H-5 with H-6, H-6 with H-1 (Figure 5). On the basis of the above evidence, the structure of 9 was identified as 2-methyl-5-isopropyl-7-oxabicyclo[2.2.1]hept-2-ene, named asaricin B. Although reported as an intermediate product during the synthesis process of α-Phellandrene previously [41], asaricin B was first isolated from a plant.
The spectroscopic data of compound 9 are as follows: colorless prismatic crystal (EtOAc); mp 98–99 °C; +13.6 (c 0.66, MeOH); UV (MeOH) λmax (log ε) 205 (4.64) nm; IR (KBr) νmax 3259, 2963, 2948, 2883, 1632, 1465, 1446, 1384, 1365, 1255, 1212, 1165, 1128, 1072, 1027, 989, 868, 707 cm−1; 1H-NMR (CD3OD, 600 MHz) and 13C-NMR (CD3OD, 150 MHz) data, see Table 4. EIMS m/z 152 (2), 137 (9), 127 (16), 111 (74), 109 (40), 100 (83), 71 (100), 55 (29), 43 (67); HRESIMS m/z 153.1271 [M + H]+ (calcd. for C10H17O, 153.1273).
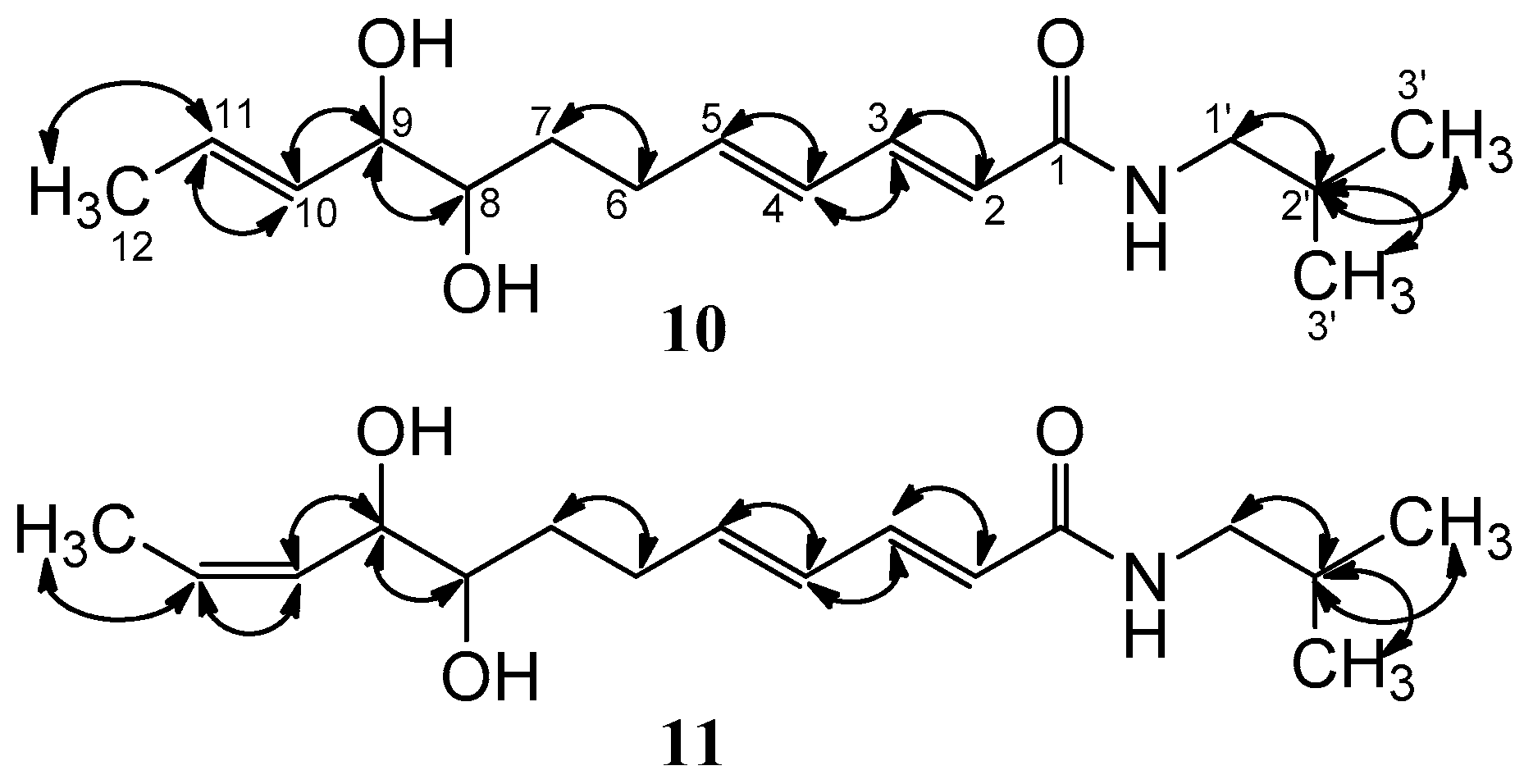
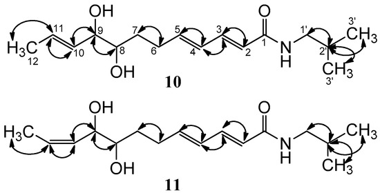
Compound 10 was obtained as a white amorphous powder. Its molecular formula was established as C16H27NO3 by HRESIMS (m/z 282.2069 [M + H]+, calcd. 282.2063). ESI-MS gave the ion peak at m/z 282 [M + H]+, 264 [M + H − H2O]+, 246[M + H − 2H2O]+, indicating the presence of two hydroxyl groups in the structure of 10. The IR bands at 3417 cm−1 and 1676 cm−1 were attributed to hydroxyl and carbonyl groups, respectively. The UV maximal absorption near 256 nm and the 1H-NMR signals of 10 at δ 0.91 (6H, m, H-3′, 4′), 1.78 (1H, m, H-2′) and 3.05 (2H, d, J = 7.0 Hz, H-1′) suggested the presence of an N-isobutylamide group [43]. Comparing the 1H- and 13C-NMR data of 10 with those of asaramid [42], it showed the presence of the (2E,4E)-2,4-dienamide moiety and an allylic methylene (δ 2.35 (2H, m, H-6) and 28.9 (C-6)). In addition, the 1H-, 13C-NMR and DEPT spectra of 10 indicated the existence of one methyl, two oxygenated methines, two olefinic methines, and a methylene. Furthermore, the geometry of the additional double bond between C-10 and C-11 was determined to be the E-form, which was supported by the coupling constant of J10,11 = 15.0 Hz. The 1H-NMR signals of two downfield shifted oxygenated methine protons at δ 3.38 (1H, m, H-8) and 3.81 (1H, m, H-9) implied that C-8 and C-9 bear one hydroxyl group. Moreover, the locations of double bonds between C-10 and C-11, and two hydroxyl groups at C-8 and C-9, respectively, were further confirmed by the 1H-1H COSY experiment, in which the methyl protons at δ 1.70 (3H, d, J = 6.0 Hz) coupled with the olefinic proton at δ 5.71 (1H, m, H-11), and the other olefinic proton at δ 5.48 (1H, dd, J = 15.0, 7.2 Hz, H-10) coupled with H-9, and H-9 coupled with H-8 (Figure 6). According to the IR, UV, 1H- and 13C-NMR, DEPT, 1H-1H COSY, and MS data, the structure of 10 was elucidated as (2E, 4E, 10E)-8, 9-dihydroxy-N-isobutyl-2, 4, 10-dodecatrienamide, and named asaramid II.
Figure 6.
Key 1H-1H COSY correlations (H ↔ H) of compounds 10 and 11.
The spectroscopic data of compound 10 are as follows: white amorphous powder; –1.7 (c 0.60, MeOH); UV (MeOH) λmax (log ε) 256 (3.66) nm; IR (KBr) νmax 3417, 2962, 1676, 1550, 1437, 1388, 1271, 1203, 1135, 1027, 719 cm−1; 1H-NMR (CD3OD, 600 MHz) and 13C-NMR (CD3OD, 150 MHz), see Table 5; ESIMS m/z 282 [M + H]+; HRESIMS m/z 282.2069 [M + H]+ (calcd. for C16H28NO3, 282.2063).
Table 5.
NMR spectroscopic data (CD3OD) for compounds 10 and 11.
Compound 11 was obtained as a white amorphous powder, and had the same molecular formula as 10, which was determined to be C16H27NO3 by HRESIMS (m/z 282.2063 [M + H]+, calcd. 282.2063). The IR, UV, 1H, and 13C-NMR data of 11 were very close to those of 10 except for the different chemical shift values of C-9 and C-12. The chemical shift values of 11 at δ 69.9 (C-9) and 12.3 (C-12) were at higher fields than δ 75.8 (C-9) and 16.7 (C-12) of 10, respectively, which suggested that the geometry of the double bond between C-10 and C-11 was Z-form [44]. Moreover, the Z-configuration of the double bond was further confirmed by the coupling constant J10,11 = 9.0 Hz instead of 15.0 Hz. On the basis of IR, UV, 1H and 13C-NMR, DEPT, 1H-1H COSY (Figure 6), and MS data, the structure of 11 was identified as (2E, 4E, 10Z)-8, 9-dihydroxy-N-isobutyl-2, 4, 10-dodecatrienamide, and named aramid III.
The spectroscopic data of compound 11 are as follows: white amorphous powder; –3.3 (c 0.60, MeOH); UV (MeOH) λmax (log ε) 257 (3.64) nm; IR (KBr) νmax 3408, 2962, 1678, 1551, 1437, 1386, 1270, 1204, 1136, 1026, 720 cm−1; 1H-NMR (CD3OD, 600 MHz) and 13C-NMR (CD3OD, 150 MHz), see Table 5; ESIMS m/z 282 [M + H]+; HRESIMS m/z 282.2063 [M + H]+ (calcd. for C16H28NO3, 282.2063).
The 37 known compounds (6, 12–47), which comprise six structural classes, were fully identified by comparison of their physical and spectroscopic data with those reported in the corresponding literature. They were 14 lignans: asarinin A (6) [35], (1R, 2S, 5R, 6R)-5′-O-methylpluviatilol (13) [26], (–)-asarinin (14) [3], (–)-sesamin (15) [3], xanthoxylol (16) [45], clemaphenol A (17) [46], epipinoresinol (18) [47], neo-olivil (19) [48], (–)-piperitol (20) [49], episesaminone (21) [50], (7′R)-7′-hydroxylariciresinol (22) [51], tanegool (23) [35], (–)-tanegol (24) [52], morinols G (25) [53]; six flavanones: (2S)-naringenin (26) [54], (2S)-naringenin-5-O-β-d-glucopyranoside (27) [55], (2S)-liquiritigenin-7-O-β-d-glucopyranoside (28) [56], (2S)-naringenin-7-O-β-d-glucopyranoside (29) [57], (2S)-naringenin-5, 7-di-O-β-d-glucopyranoside (30) [58], naringenin-5, 4′-di-O-β-d-glucopyranoside (31) [59]; four monoterpenes: 2-exo-O-β-d-glucosyl-5-hydroxy-borneol (32) [42], aisasarinol (33) [42], asiarinol A (34) [8], car-3-ene-2, 5-dione (35) [8]; four straight chain amide derivatives: N-trans-coumaroyltyramine (36) [60], asaramid (37) [42], pellitorine (38) [7], N-isobutyl-3,4-methylenedioxy cinnamide (39) [61]; seven benzene derivatives: 3-methoxyl-5-methylbenzene-1-O-β-d-glucopyranoside (12) [62],1-(3′,4′-dihydroxy) phenyl-6,7-dihydroxy-isochroman (40) [63], trans-ferulic acid (41) [64], 2-(3, 4-dihydroxy)-phenyl-ethyl-O-β-d-glucopyranoside (42) [65], vanillic acid 1-O-β-d-glucopyranoside (43) [66], 3-(3,4-methylenedioxyphenyl)-1,2-propanediol (44) [67], 2, 3-dihydro-2-methyl-6-hydroxybenzofuran-5-carboxylic acid (45) [68]; and two fatty glycerides: glyceryl-1-stearate (46) [69], 2, 3-dihydroxypropyl-16-hydroxyhexadecanoate (47) [70]. The 15 known compounds 17, 19, 22–25, 28, 31, 36, 40, 42, 43, and 45–47 were isolated for the first time from the genus Asarum, and five known compounds 16, 32, 33, 37, and 39 were first reported from A. heterotropoides var. mandshuricum.
Although previous studies had reported the isolation of bisepoxylignans and monoepoxylignans from the genus Asarum [3,5], five 8-O-4′ type neolignans, 1–5, were reported in this genus for the first time. In addition, 1-O-feruloyl-β-d-glucopyranoside was found in Asiasarum sieboldi [58], but it was interesting that 5 contained the 1-O-isoferuloyl-β-d-glucopyranosyl unit in its structure, which was not reported in the compounds isolated from the genus Asarum.
As mentioned in the introduction, a few papers have reported some anti-inflammatory compounds isolated from A. heterotropoides var. mandshuricum and A. sieboldi, which showed the potent inhibition of (–)-sesamin (15) in both LPS-induced NO production in BV-2 microglial cells and TNFα-induced NF-κB transcriptional activity in HepG2 cell assays [25,26], along with (1R, 2S, 5R, 6R)-5′-O-methylpluviatilol (13), (–)-asarinin (14) and epipinoresinol (18) in LPS-activated macrophages RAW264.7 assay [5], but there has been no prior report on the evaluation of the anti-inflammatory effects of non-volatile compounds obtained from A. heterotropoides var. mandshuricum in PAF-induced β-glucuronidase release in a PMNs cell assay. Thus, 37 of the isolates, including 18 lignans (1, 2, 4–7, 13–19 and 21–25), five flavanones (27–31), four monoterpenes (8, 9, 32 and 33), one amide derivative (37), seven benzene derivatives (12 and 40–45), and two fatty glycerides (46 and 47), at 10−5 mol/L, were screened for anti-inflammatory activity in vitro by assessing the inhibitory rate of the release of β-glucuronidase in polymorphonuclear leukocytes (PMNs) induced by the platelet-activating factor (PAF). Ginkgolide B was used as the positive control and gave inhibitory rates of 64.1%–80.9% for four different 96-well plates (1#–4#) at 10−5 mol/L. The Student’s t-test for unpaired observations between the model (stimulated by PAF alone) and the control (cultured in medium alone) or tested samples was carried out to identify statistical differences; * p < 0.05, ** p < 0.01, *** p < 0.001; p < 0.05 were considered as significantly different. The results showed that 10 of the lignans (1, 4, 7, 14, 17–19, 22, 24 and 25), two of the flavonones (29 and 30), three of the monoterpenes (8, 32 and 33), five of the benzene derivatives (40–43 and 45), and one fatty glyceride (46) possessed varying degrees of anti-inflammatory activity, as shown in Figure 7 and Table S1 in Supplementary Materials. However, the I.R. values of compounds 6, 9, 12, 13, 16, 21, 28, 31, 37, and 47 were all less than 20%. Compound 19, a monoepoxylignan, exhibited the highest inhibitory activity with a rate of 135.6% (p < 0.001), much more than that of the positive control of the 3# 96-well plate (75.7%). Two other monoepoxylignans, compounds 22 and 24, displayed anti-inflammatory activity, with inhibitory rates of 49.7% (p < 0.05) and 34.7% (p < 0.05), respectively. Four bisepoxylignans, 7, 14, 17, and 18, also gave significant inhibition with a rate of 27.9%–57.9%. These lignans showing anti-inflammatory activities were observed to commonly bear a tetrahydrofuran ring in their structure. In addition, two 8-O-4′ neolignans, compounds 1 and 4, also produced a strong inhibitory effect with a rate of 40.5% (p < 0.05) and 69.9% (p < 0.01), respectively. Moreover, one monoterpene, 8, three benzene derivatives, 40, 43, and 45, and one fatty glyceride compound, 46, exhibited high inhibitory activity with rates of 55.8%, 72.6%, 66.9%, 56.9%, and 69.4% (p < 0.01, for each), respectively. For the other active compounds, monoterpenes 32 and 33, flavonone glucosides 29 and 30, and benzene derivatives 41 and 42, the inhibitory rates of release of β-glucuronidase were 31.0%–44.4% (p < 0.05, for each). The other compounds showed weak or no inhibition activity in this study.
Figure 7.
Isolated compounds and extracts from roots and rhizomes of Asarum heterotropoides var. mandshuricum inhibit the release of β-glucuronidase in PMN cells induced by the PAF. Asterisks indicate significant differences comparing with control, * p < 0.05, ** p < 0.01, *** p < 0.001.
In this anti-inflammatory activity assay in vitro, we also tested the inhibitory activity of β-glucuronidase release of the different polarity extracts, including Pet. extract, CHCl3 extract, EtOAc extract, and n-BuOH extract obtained from the ethanol extract of roots and rhizomes of A. heterotropoides var. mandshuricum. The results showed that the CHCl3 extract displayed strong inhibitory activity with a rate of 76.8% (p < 0.01) at 10 μg/mL, while the other three extracts exhibited no anti-inflammatory activity (Figure 7). Moreover, by detailed analysis of the 21 anti-inflammatory active compounds, it was found that 13 of them were isolated from the CHCl3 extract, comprising nine lignans (1, 7, 14, 17–19, 22, 24, and 25), two benzene derivatives (41 and 45), one monoterpene (8), and one fatty glyceride (46). According to the results of the anti-inflammatory study, it was inferred that the lowly polar components that existed in the CHCl3 extract, especially lignans, as well as benzene derivatives, were the main active anti-inflammatory components of this traditional Chinese medicine. In addition, the anti-inflammatory active compound 14 was found to be the most abundant among all isolates—the amount obtained from 231 g CHCl3 extract was about 10 g, likely responsible for most of the anti-inflammatory effect of the CHCl3 extract. Based on these results, it is possible that one of the mechanisms for the anti-inflammatory effect of A. heterotropoides var. mandshuricum is due to the inhibition of the release of β-glucuronidase in PMN cells. However, a number of mediators and mechanisms are also involved in inflammatory reaction, so additional investigations are required to find the anti-inflammatory mechanisms and active components of A. heterotropoides var. mandshuricum.
3. Experimental Section
3.1. General
Melting points were obtained on an XT-4A micromelting point apparatus (Shanghai Hui Tong Optical Instrument Co., Ltd., Shanghai, China) without correction. Optical rotations were determined on a Perkin-Elmer 243B digital polarimeter (Boston, MA, USA). UV spectra were carried out on a Cary 300 UV-Vis spectrophotometer (Agilent Technologies, Santa Clara, CA, USA). CD spectra were measured on a JASCO J-810 spectropolarimeter (Jasco, Tokoyo, Japan). A Nicolet NEXUS-470 FTIR spectrophotometer (Madison, WI, USA) was used for scanning IR spectroscopy. NMR spectra were recorded on Varian INOVA-500 (Walnut Creek, CA, USA) and JOEL JNM-ECA600 spectrometers (JEOL, Tokyo, Japan). The chemical shifts are expressed as δ (ppm) values using solvent as an internal standard, and coupling constant, J, are in Hz. Mass spectra were detected with Bruker APEX IV FT (Bruker, Billerica, MA, USA) and ABI Q-STAR mass spectrometers (Navarre, FL, USA). GC was carried out on a Shimadzu GC-2010 series system fitted with a FID detector (Shimadzu Corporation, Kyoto, Japan) and performed with a DB-1701 column (30 m × 0.25 mm i.d., 0.25 μm film thickness, Agilent Technologies, Santa Clara, CA, USA). Semi-preparative HPLC was conducted on an Alltima C18 column (10 mm i.d. × 250 mm, 10 μm, Alltech, Nicholasville, KY, USA) equipped with an Alltech 426 HPLC pump and an Alltech UVIS 2000 detector (Alltech, Nicholasville, KY, USA). Column chromatography was performed with silica gel (200–300 mesh, Qingdao Marine Chemical Co., Ltd., Qingdao, China) or Sephadex LH-20 gel (Pharmacia Co., Ltd., Shanghai, China). TLC analysis was performed on silica gel (400 mesh, Qingdao Marine Chemical Co., Ltd., Qingdao, China) and precoated polyamide plates (0.2 mm, Zhejiang Siqing Biochem Co., Ltd., Taizhou, China) plates. d-glucose was obtained from Beijing Chemical Reagent Company. All other chemical solvents used for isolation were of analytical grade (Beijing Beihua Fine Chemicals Co., Ltd., Beijing, China). Fractions were monitored by TLC and spots were detected by UV illumination or visualized by heating silica gel plates sprayed with 10% H2SO4 in 95% EtOH.
3.2. Plant Material
The roots and rhizomes of Asarum heterotropoides Fr. Schmidt var. mandshuricum (Maxim.) Kitag were purchased from Benxi City, Liaoning province, China, in May 2005, and authenticated by Professor Shao-Qing Cai of Peking University Health Science Center. The voucher specimen (No. 050526) was deposited in the Herbarium of Pharmacognosy, School of Pharmaceutical Sciences, Peking University, Beijing, China.
3.3. Extraction and Isolation
The air-dried and powdered roots and rhizomes of A. heterotropoides var. mandshuricum (36 kg) were extracted three times (2 h, 1.5 h, 1.5 h for each) under reflux with 95% ethanol and then three times (2 h, 1.5 h, 1.5 h for each) with 50% ethanol successively. The combined extracts were concentrated under reduced pressure to give a dark brown residue (9.2 kg), then 7.8 kg of it was suspended in H2O (16.5 L) and partitioned sequentially with petroleum ether (Pet.) (60–90 °C) (4 × 5 L), CHCl3 (4 × 5 L), EtOAc (4 × 5 L), and n-BuOH (4 × 5 L), respectively. The CHCl3 layer (231 g) was fractionated on silica gel CC eluting with a gradient of petroleum ether–EtOAc (10:1 to 0:1) to obtain 16 fractions, C1–C16. Fraction C11 was subjected to silica gel CC eluting with a gradient of CHCl3–MeOH (1:30 to 1:35) to yield four subfractions C11-1–C11-4. C11-1 was then subjected to chromatography on silica gel CC eluting with petroleum ether–Me2CO to produce seven subfractions C11-1-1–C11-1-7. C11-1-5 was chromatographed over silica gel with petroleum ether–Me2CO (2.5:1) as eluent, and subfraction was then separated by Sephadex LH-20 (CHCl3–MeOH, 6:4) and semi-preparative HPLC eluted with a gradient of MeOH–H2O to yield 7 (18 mg). C11-3 was subjected to silica gel CC eluting with petroleum ether–Me2CO (4.5:1) to yield 9 (4 mg). Fraction C12 was chromatographed on silica gel with a gradient of CHCl3–MeOH to give four fractions C12-1–C12-4. C12-3 was further divided into five subfractions C12-3-1–C12-3-5 with repeated silica gel CC eluting with CHCl3–MeOH (80:1 to 15:1). Chromatography of C12-3-1 on silica gel with CHCl3–EtOAc (5:1, 4:1) and CH2Cl2–Me2CO (7:1) as eluent successively and purified by semi-preparative HPLC eluting with a gradient of MeOH-H2O to yield 1 (23 mg), 2 (11.9 mg), 3 (2.1 mg) and 6 (5.1 mg). C12-4 was separated on silica gel CC eluting with CHCl3–MeOH (70:1 to 15:1) and further purified by C18 reversed-phase silica gel CC eluting with 70% MeOH in H2O to afford 8 (43 mg). Fraction C13 was chromatographed with a gradient of CHCl3–MeOH (35:1, 20:1, 5:1) as eluent to give six subfractions C13-1–C13-6. C13-6 was then subjected to silica gel CC with petroleum ether–Me2CO (30:1), and subfraction was further separated by semi-preparative HPLC with a gradient of MeOH–H2O as the mobile phase to yield 10 (12 mg) and 11 (6.5 mg).
The EtOAc layer (50 g) was fractionated on silica gel CC eluting with a gradient of CHCl3–MeOH (10:1 to 0:1) to yield 10 fractions, E1–E10. Fraction E6 was chromatographed on silica gel CC eluting with CHCl3–MeOH–H2O (15:1:0.1, 10:1:0.1), and purified by Sephadex LH-20 with MeOH to afford 12 (8.1 mg). Fraction E8 was separated on silica gel CC eluting with CHCl3–MeOH–H2O (8:1:0.1, 5:1:0.1) and then purified by semi-preparative HPLC with MeOH–H2O as eluent to yield 4 (3.9 mg).
The n-BuOH layer (400 g) was fractionated on silica gel CC eluting with a gradient of CHCl3–MeOH (7:1 to 0:1) to yield 14 fractions, B1–B14. Fraction B6 was further separated on silica gel CC eluting with CHCl3–MeOH–H2O (5:1:0.1 to 2:1:0.1) to give nine subfractions B6-1–B6-9. B6-7 was further divided by silica gel CC using CHCl3–MeOH–H2O (5:1:0.1), and purified by Sephadex LH-20 eluting with MeOH to afford 5 (20 mg). The extraction and isolation of known compounds 13–47 is described in the Supplementary Materials.
3.4. Acid Hydrolysis of Compounds 4 and 5, and GC Analysis
Compounds 4 (1 mg) and 5 (2 mg) in 2 N HCl (3 mL) were refluxed at 80 °C for 1 h. After cooling, the reaction mixture was neutralized with NaHCO3 and successively extracted with CHCl3 (4 × 3 mL). The aqueous layer was then evaporated to dryness and the residue was dissolved in anhydrous pyridine (200 μL), and l-cysteine methyl ester hydrochloride (0.06 mol/L, 200 μL) was added. The mixture was stirred at 60 °C for 1 h. Then 150 μL trimethylsilylation reagent hexamethyldisilazane–trimethyl chlorosilane (HMDS–TMCS, 3:1) was added, and the mixture was stirred at 60 °C for an additional 30 min. After centrifugation, the supernatant was concentrated under a stream of N2. The residue was portioned between n-hexane and H2O (0.2 mL each), and the n-hexane layer (2 μL) was analyzed by GC for sugar identification (detector, FID; injection temperature, 260 °C; detector temperature, 280 °C; temperature gradient system for the oven, 160 °C for 1 min and then raised to 230 °C at a rate of 5 °C/min; carrier gas, N2; flow rate, 1 mL/min). d-Glucose was identified for compounds 4 and 5 by comparison with retention time of authentic d-glucose (tR = 20.76 min) after treatment in the same manner.
3.5. Anti-Inflammatory Activity Assay
Compounds and extracts used to test were dissolved in DMSO at the concentration of 10−5 mol/L and 10 μg/mL. A suspension of rat polymorphonuclear leukocytes (PMNs) (2.5 × 106 cells/mL, 250 μL) was incubated at 37 °C for 15 min with the presence of the test sample (2.5 μL) (n = 3) [71]. Then cytochalasin B (1 mmol/L, 2.5 μL, Sigma-Aldrich, Shanghai, China) was added and incubated for 5 min, followed by activating with platelet-activating factor (PAF) (1 μmol/L, 2.5 μL, Sigma-Aldrich, Shanghai, China). After 10 min, the reaction was terminated in an ice bath. The supernatant was obtained by centrifugation at 4000 rpm for 5 min (4 °C), and then the supernatants (25 μL) and phenolphthalein glucuronic acid (2.5 mmol/L, 25 μL, Sigma-Aldrich, Shanghai, China) were incubated with acetic acid buffer (0.1 mol/L, 100 μL, pH 4.6) at 37 °C, 5% CO2, for 18 h. Finally, NaOH (0.2 mol/L, 150 μL) was added to terminate the reaction. The results were quantified by reading the absorbance at 550 nm by BIO-RAD model 450 enzyme-labeling instrument. The inhibitory rate (I.R.) was obtained by the following formula:
I.R. (%) = (ODmodel − ODsample)/(ODmodel − ODcontrol) × 100%.
ODmodel, ODsample, and ODcontrol refer to the average absorbance of the four wells of PAF, the three wells of the test sample, and the control group, respectively.
4. Conclusions
The roots and rhizomes of A. heterotropoides var. mandshuricum are used in traditional Chinese medicine for the treatment of pain and inflammatory diseases [1]. Previous research proved that some compositions of the volatile oil, monoterpenes, lignans, and amides isolated from the genus Asarum showed potential anti-inflammatory activity [5,15,16,24,25,26]. In this paper, 47 compounds, including nine new compounds, one new natural compound, and 37 known compounds, were isolated and identified from the ethanol extract of this plant. Meanwhile, 8-O-4′ neolignans were reported in this genus for the first time. In order to evaluate the potential anti-inflammatory effects of non-volatile constituents separated from the roots and rhizomes of A. heterotropoides var. mandshuricum, 37 compounds were tested to assess the inhibitory rate of the release of β-glucuronidase in PMNs cells induced by PAF. The results showed that 10 of the lignans (1, 4, 7, 14, 17–19, 22, 24, and 25), two of the flavonones (29 and 30), three of the monoterpenes (8, 32 and 33), five of the benzene derivatives (40–43 and 45) and one fatty glyceride (46) possessed varying degrees of anti-inflammatory activity. The lignans, especially the tetrahydrofuran ring in their structures (7, 14, 17–19, 22, and 24), displayed significant anti-inflammatory activity. From an integrated analysis of previous research [5,25,26], it could be inferred that lignans are the main non-volatile constituents with anti-inflammatory activity. Additionally, the flavonones are commonly found in the genus Asarum [9,55,57,72,73], but there is no study reporting whether the flavonones obtained from this genus possess anti-inflammatory activity since this type of compound had been proved to be potentially useful for inhibiting the inflammatory response [74,75]. This study demonstrated that two flavonones (29 and 30) showed anti-inflammatory activity against the release of β-glucuronidase in PMNs cells, which is the first report of the anti-inflammatory effects of flavonones from this genus. Interestingly, (–)-asarinin (14), the effects of which had been reported for LPS-activated NO production in macrophages RAW264.7 cells and PAF-induced β-glucuronidase release in PMN cells in the literature [5] and in this paper, respectively, was the most abundant in this plant (Xixin) among all isolates. This primary finding provides support for further study of this compound for the development of a novel anti-inflammatory agent. The results provide a scientific explanation for the use of this plant as an herbal medicine in the treatment of inflammatory diseases.
Supplementary Materials
Supplementary materials can be accessed at: http://www.mdpi.com/1420-3049/22/1/125/s1. The NMR, HR-MS and HPLC-MS/MS spectra of Compounds 1–11, and the extraction and isolation of known compounds 13–47, and anti-inflammatory activity assay in vitro are included in the Supplementary Data.
Acknowledgments
This research was financially supported by the National Natural Science Foundation of China (grant No. 81274073), the 985 Project of Peking University, and the National Eleventh Five-year Key Technologies R&D Program of China (No. 2006BAI14B01).
Author Contributions
Ming-Ying Shang and Shao-Qing Cai conceived and designed the experiments; Yu Jing performed the experiments; Yu Jing and Ming-Ying Shang analyzed the data; Yi-Fan Zhang, Guang-Xue Liu, Yao-Li. Li and Xuan Wang contributed reagents/materials/analysis tools; Yu Jing, Yi-Fan Zhang and Ming-Ying Shang wrote the paper.
Conflicts of Interest
The authors declare no conflict of interest.
References
- Zhou, R.H. Resource Science of Chinese Medicinal Materials; China Medical & Pharmaceutical Sciences Press: Beijing, China, 1993; pp. 202–211. [Google Scholar]
- Chen, Y.L.; Liu, Q.Q.; Wang, J.Z.; Chen, C.P.; Wang, J.Y. Composition analysis of volatile oil of Asarum heterotropoides var. mandshuricum extracted by three different methods. J. Chin. Med. Mater. 2013, 36, 1447–1451. [Google Scholar]
- Cai, S.Q.; Wang, H.; Chen, S.Z.; Lou, Z.C. Studies on the non-volatile chemical constituents of Asarum heterotropoides var. mandshuricum. J. Beijing Med. Univ. 1996, 28, 228–230. [Google Scholar]
- Lu, S.; Xu, L.; Huang, J.; Gao, H.Y.; Wu, L.J. Chemical contituents of the roots of Asarum heterotropoides Fr. Schmidt var. mandshuricum. J. Shenyang Pharm. Univ. 2008, 25, 702–704. [Google Scholar]
- Huang, J.; Wang, H.Q.; Zhang, C.; Li, G.Y.; Lin, R.C.; Wang, J.H. A new tetrahydrofuran-type lignan with anti-inflammatory activity from Asarum heterotropoides Fr. Schmidt var. mandshuricum. J. Asian Nat. Prod. Res. 2014, 16, 387–392. [Google Scholar] [CrossRef] [PubMed]
- Lee, J.; Lee, Y.J.; Oh, S.M.; Yi, J.M.; Kim, N.S.; Bang, O.S. Bioactive compounds from the roots of Asiasarum heterotropoides. Molecules 2014, 19, 122–138. [Google Scholar] [CrossRef] [PubMed]
- Yasuda, I.; Takeya, K.; Itokawa, H. Structures of amides from Asiasarum heterotropoides. Chem. Pharm. Bull. 1981, 29, 564–566. [Google Scholar] [CrossRef]
- Hashimoto, K.; Okui, Y.; Hiroyoki, I. Monoterpenes from Asiasari Radix from Asarum sp. Phytochemistry 1990, 29, 3571–3574. [Google Scholar] [CrossRef]
- Wang, D.; Xia, X.H. Chemical constituents of aerial parts of Asarum heterotropides var. mandshuricum. Chin. Tradit. Herbal Drugs 1998, 29, 83–84. [Google Scholar]
- Xu, L.; Lu, S.; Sun, B.H.; Gao, H.Y.; Wu, L.J. Chemical contituents of aerial parts of Asarum heterotropoides Fr. Schmidt var. mandshuricum. J. Shenyang Pharm. Univ. 2008, 25, 699–701. [Google Scholar]
- Xu, L.; Wu, D.; Wu, Z.H.; Lu, S.; Gao, H.Y.; Wu, L.J. Chemical Contituents of aerial parts of Asarum heterotropoides Fr. Schmidt var. mandshuricum (2). J. Shenyang Pharm. Univ. 2009, 26, 964–967. [Google Scholar]
- Lu, S.; Wu, D.; Wu, Z.H.; Gao, H.Y.; Sun, B.H.; Wu, L.J. Isolation and identification of chemical constituents from roots of Asarum heterotropides Fr Schmidt. var. mandshuricum (Maxim.) Kitag. (II). J. Shenyang Pharm. Univ. 2010, 27, 707–710. [Google Scholar]
- Miyazawa, M.; Ishikawa, Y.; Toshikura, M. Insecticidal Compounds from Asarum heterotropoides var. mandshuricum. Chem. Express 1991, 6, 703–706. [Google Scholar]
- Miyazawa, M.; Ishikawa, Y.; Toshikura, M. Insecticidal allylbenzenes from Asarum heterotropoides var. mandshuricum. Chem. Express 1992, 7, 69–72. [Google Scholar]
- Hu, Y.J.; Zhou, H.; Wang, J.G.; Zhang, Y.; Li, Y.K. The pharmacological effect of “Xi Xin” oil. Chin. Pharm. Bull. 1986, 2, 41–44. [Google Scholar]
- Qu, S.Y.; Wu, Y.J. The anti-inflammatory effect of Asarum heterotropoides var. mandshuricum oil. Yao Xue Xue Bao 1982, 17, 12–16. [Google Scholar] [PubMed]
- Gao, J.J.; Zhu, L.L.; Wang, H.M. Comparative study between heavy dosage and conventional dosage herba Asari for treatment of late stage severe rheumatoid arthitis. J. Tradit. Chin. Med. 1997, 38, 283–285. [Google Scholar]
- Zhu, X.H.; Tian, H.M. Impact on the effect of decoction of Xixin due to dosage, decoction time and species. Tianjin Pharm. 1999, 11, 35–36. [Google Scholar]
- Cai, S.Q.; Li, J. Species Systematization and Quality Evaluation of Commonly Used Chinese Traditional Drugs, North, 5th ed.; Beijing Medical University Press: Beijing, China, 2001; p. 91. [Google Scholar]
- Liu, J. Study the clinical application of Xixin through determination volatile oil of different parts. Res. Tradit. Chin. Med. 1996, 6, 54–55. [Google Scholar]
- Xiong, Y.L.; Jing, Y.; Shang, M.Y.; Li, C.L.; Ye, J.; Wang, X.; Cai, S.Q. Anti-inflammatory and anti-nociceptive effects in mice of water and ethanol extracts of root and rhizomes of Asarum heterotropoides var. mandshuricum. Chin. J. Chin. Mater. Med. 2009, 34, 2252–2257. [Google Scholar]
- Kosuge, T.; Yokota, M.; Nukaya, H. Studies on antitussive principles of Asiasari Radix. Chem. Pharm. Bull. 1978, 26, 2284–2285. [Google Scholar] [CrossRef]
- Takasaki, M.; Konoshima, T.; Yasuda, I. Inhibitory Effects of Shouseiryu-to on Two-Stage Carcinogenesis II Anti-tumor-promoting activities of lignans from Asiasarum hetertropoides var. mandshuricum. Biol. Pharm. Bull. 1997, 20, 776–780. [Google Scholar] [CrossRef] [PubMed]
- Hashimoto, K.; Yanagisawa, T.; Okui, Y. Study on anti-allergic components in the roots of Asiasarum sieboldi. Planta Med. 1994, 60, 124–127. [Google Scholar] [CrossRef] [PubMed]
- Han, A.R.; Kim, H.J.; Shin, M.; Hong, M.; Kim, Y.S.; Bae, H. Constituents of Asarum sieboldii with inhibitory activity on lipopolysaccharide (LPS)-induced NO production in BV-2 microglial cells. Chem. Biodivers. 2008, 5, 346–351. [Google Scholar] [CrossRef] [PubMed]
- Quang, T.H.; Ngan, N.T.T.; Minh, C.V.; Kiem, P.V.; Tai, B.H.; Thao, N.P.; Song, S.B.; Kim, Y.H. Anti-inflammatory and PPAR transactivational effects of secondary metabolites from the roots of Asarum sieboldii. Bioorg. Med. Chem. Lett. 2012, 22, 2527–2533. [Google Scholar] [CrossRef] [PubMed]
- Thelen, M.; Dewald, B.; Baggiolini, M. Neutrophil signal transduction and activation of the respiratory burst. Physiol. Rev. 1993, 73, 797–821. [Google Scholar] [PubMed]
- Sergio, H.C.; Massayoshi, Y.; Otto, R.G. Neolignans from Virola carinata fruit. Phytochemistry 1985, 24, 1051–1055. [Google Scholar]
- Takeshi, D.; Takako, I.; Shizuke, K. The constituents of Eucommia ulmoides Oliv. VI. Isolation of a new sesquilignan and neolignan glycosides. Chem. Pharm. Bull. 1987, 35, 1803–1807. [Google Scholar]
- Yuan, Z.; Li, X. NMR Methods for determining the configuration of 8-O-4′ neolignans. Chin. J. Magnet. Reson. 2003, 20, 307–314. [Google Scholar]
- Wang, C.Z.; Jia, Z.J. Neolignan glycosides from pedicularis longiflora. Planta Med. 1997, 63, 241–244. [Google Scholar] [CrossRef] [PubMed]
- Greca, M.D.; Molinaro, A.; Monaco, P. Neolignans from arum italicum. Phytochemistry 1994, 35, 777–779. [Google Scholar] [CrossRef]
- Sakushima, A.; Coskun, M.; Maoka, T. Hydroxybenzoic acids from Boreava orientalis. Phytochemistry 1995, 40, 257–261. [Google Scholar] [CrossRef]
- Ichikawa, M.; Ryu, K.; Yoshida, J. Identification of six phenylpropanoids from Garlic Skin as major antioxidants. J. Agric. Food Chem. 2003, 51, 7313–7317. [Google Scholar] [CrossRef] [PubMed]
- Li, T.Z.; Zhang, W.D.; Gu, Z.B.; Liu, W.Y.; Zhou, J.; Chen, W.S. Studies on the lignans from Patrinia scabra. Yao Xue Xue Bao 2003, 38, 520–522. [Google Scholar] [PubMed]
- Macias, F.A.; Lopez, A.; Varela, R.M.; Torres, A.; Molinillo, J.M. Bioactive lignans from a cultivar of Helianthus annuus. J. Agric. Food Chem. 2004, 52, 6443–6447. [Google Scholar] [CrossRef] [PubMed]
- Lee, J.; Lee, D.H.; Jang, D.S. Two new stereoisomers of tetrahydrofuranoid lignans from the flower buds of Magnolia fargesii. Chem. Pharm. Bull. 2007, 55, 137–139. [Google Scholar] [CrossRef] [PubMed]
- Matsushita, H.; Miyase, T.; Ueno, A. Lignan and terpene glycosides from Epimedium sagittarium. Phytochemistry 1991, 30, 2025–2027. [Google Scholar] [CrossRef]
- Miyazawa, M.; Kasahara, H.; Kameoka, H. Microbial oxidation of (+)-epimagnolin A by Aspergillus niger. Phytochemistry 1994, 35, 1191–1193. [Google Scholar] [CrossRef]
- Li, N.; Wu, J.L.; Hasegawa, T.; Sakai, J.I.; Bai, L.M.; Wang, L.Y.; Kakuta, S.; Furuya, Y.; Ogura, H.; Kataoka, T.; et al. Bioactive lignans from Peperomia duclouxii. J. Nat. Prod. 2007, 70, 544–548. [Google Scholar] [CrossRef] [PubMed]
- Blumann, A.; Ryder, L. Autoxidation of α-phellandrene. J. Chem. Soc. 1949, 2040–2043. [Google Scholar] [CrossRef]
- Opitz, M.; Pachaly, P.; Sin, K.S. New polar ingredients from Asarum sieboldii. Pharmazie 1999, 54, 218–223. [Google Scholar]
- Chen, I.S.; Chen, T.L.; Lin, W.Y. Isobutylamides from the fruit of Zanthoxylum integrifoliolum. Phytochemistry 1999, 52, 357–360. [Google Scholar] [CrossRef]
- Xiong, Q.B.; Shi, D.W.; Hirofumi, Y. Alkylamides from pericarps of Zanthoxylum bungeanum. Phytochemistry 1997, 46, 1123–1126. [Google Scholar] [CrossRef]
- Takaku, N.; Choi, D.H.; Mikame, K.; Okunishi, T.; Suzuki, S.; Ohashi, H.; Umezawa, T.; Shimada, M. Lignans of Chamaecyparis obtusa. J. Wood Sci. 2001, 47, 476–482. [Google Scholar] [CrossRef]
- He, M.; Zhang, J.H.; Hu, C.Q. Studies on the chemical components of Clematic chineniss. Yao Xue Xue Bao 2001, 36, 278–280. [Google Scholar] [PubMed]
- Okuyama, E.; Suzumura, K.; Yamazaki, M. Pharmacologically active components of Todopon Puok (Fagraea racemosa), a medicinal plant from Borneo. Chem. Pharm. Bull. 1995, 43, 2200–2204. [Google Scholar] [CrossRef] [PubMed]
- Schottner, M.; Reiner, J.; Tayman, F.S.K. (+)-Neo-olivil from roots of Urtica dioica. Phylochemistry 1997, 46, 1107–1109. [Google Scholar] [CrossRef]
- Kato, M.J.; Chu, A.; Davin, L.B.; Lewis, N.G. Biosynthesis of antioxidant lignans in Sesamum indicum seeds. Phytochemistry 1998, 47, 583–591. [Google Scholar] [CrossRef]
- Patrice, A.M.; Massuo, J.K.; Norman, G.L. Episesaminone, a Sesamum indicum furofuran lignin, isolation and hemisynthesis. J. Nat. Prod. 1997, 60, 1189–1192. [Google Scholar]
- Barrero, A.F.; Haidour, A.; Dorado, M.M. Lignans from the wood of Abzes pznsapo. J. Nat. Prod. 1994, 57, 713–719. [Google Scholar] [CrossRef] [PubMed]
- Cutillo, F.; D’Abrosca, B.; DellaGreca, M.; Fiorentino, A.; Zarrelli, A. Lignans and neolignans from Brassica fruticulosa: Effects on seed germination and plant growth. J. Agric. Food Chem. 2003, 51, 6165–6172. [Google Scholar] [CrossRef] [PubMed]
- Su, B.N.; Takaishi, Y.; Kusumi, T.; Morinols, A.L. Twelve novel sesquineolignans and neolignans with a new carbon skeleton from Marina chinensis. Tetrahedron 1999, 55, 14571–14586. [Google Scholar] [CrossRef]
- Li, J.; Li, F.; Lu, Y.Y.; Wen, G.Q. Study on the an tiphlogistic constituents in seed of Schisandra propinqua (Wall) Hook. F. et Thoms. Chin. Pharm. J. 2007, 142, 255–257. [Google Scholar]
- Long, C.F.; Wang, X.; Yang, Y.X.; Cai, S.Q. Studies on flavonoids from the roots of Asarum maximum. J. Beijing Med. Univ. 2000, 32, 229–232. [Google Scholar]
- Dong, C.X.; Wu, K.S.; Shi, S.P. Flavanoids from Clematis hexapetala. J. Chin. Pharm. Sci. 2006, 15, 15–20. [Google Scholar]
- Zhang, S.X.; Tani, T.; Yamaji, S.; Ma, C.M.; Wang, M.C.; Cai, S.Q.; Zhao, Y.Y. Flavonoids from the roots and rhizomes of Asarum longerhizomatosum. J. Asian Nat. Prod. Res. 2003, 5, 25–30. [Google Scholar] [CrossRef] [PubMed]
- Hashimoto, K.; Katsuhara, T.; Niitsu, K.; Ikeya, Y.; Okada, M.; Mitsuhashi, H. Two glycosides from roots of Asarum sieboldii. Phytochemistry 1992, 31, 2477–2480. [Google Scholar] [CrossRef]
- Morikawa, T.; Wang, L.B.; Nakamura, S.; Ninomiya, K.; Yokayama, E.; Matsuda, H.; Muraoka, O.; Wu, L.J.; Yoshikawa, M. Medicinal flowers. XXVII.1 new flavanone and chalcone glycosides, Arenariumosides I, II, III, and IV, and tumor necrosis factor-alpha inhibitors from everlasting, flowers of Helichrysum arenarium. Chem. Pharm. Bull. 2009, 57, 361–367. [Google Scholar] [PubMed]
- Atta-ur-Rahman; Bhatti, M.K.; Akhtar, F.; Choudhary, M.I. Alkaloids of Fumaria indica. Phytochemistry 1992, 31, 2869–2872. [Google Scholar] [CrossRef]
- Zhang, S.X.; Cai, S.Q.; Zhao, Y.Y. Studies on chemical constituents from radix and rhizome of Asarum longerhizomatosum. Chin. Tradit. Herbal Drugs 2002, 4, 297–299. [Google Scholar]
- Wang, Z.H.; Huang, J.; Ma, X.C.; Li, G.Y.; Ma, Y.P.; Li, N.; Wang, J.H. Phenolic glycosides from Curculigo orchioides Gaertn. Fitoterapia 2013, 86, 64–69. [Google Scholar] [CrossRef] [PubMed]
- Yan, Y.M.; Dai, H.Q.; Du, Y.H.; Schneider, B.; Guo, H.; Li, D.P.; Zhang, L.X.; Fu, H.A.; Dong, X.P.; Cheng, Y.X. Identification of blapsins A and B as potent small-molecule 14-3-3 inhibitors from the insect Blaps japanensis. Bioorg. Med. Chem. Lett. 2012, 22, 4179–4181. [Google Scholar] [CrossRef] [PubMed]
- Jin, G.Z.; Piao, H.S. Studies on chemical constituents from roots of Caragana microphylla. Chin. J. Chin. Mater. Med. 2007, 32, 698–700. [Google Scholar]
- Greca, M.D.; Ferrara, M.; Fiorentino, A. Antialgal compounds from Zantedeschia aethiopica. Phytochemistry 1998, 49, 1299–1304. [Google Scholar] [CrossRef]
- Klick, S.; Herrmann, K. Glucosides and glucose esters of hydroxybenzoic acids in plants. Phytochemistry 1988, 27, 2177–2180. [Google Scholar] [CrossRef]
- Rukachaisirikul, T.; Intaraudom, J.; Chawanasak, S. Phenylpropanoids from Cinnamomum parthenoxylon. Sci. Asia 2000, 26, 159–161. [Google Scholar]
- Banerjee, S.K.; Singh, K. A novel acid from Apium leptophyllum. J. Indian Council Chem. 1995, 11, 39–41. [Google Scholar]
- Cai, L.N.; Wang, H.S.; Cao, H.X. The constituents from the rhizome of Alisma orientalis (SAM) Juzep. Tianran Chanwu Yanjiu Yu Kaifa 1996, 8, 5–9. [Google Scholar]
- Kuo, Y.H.; Yeh, M.H.; Huang, S.L. A novel 6-butyl-3-hydroxyflavanone from heartwood of Bauhinia purpurea. Phytochemistry 1998, 49, 2529–2530. [Google Scholar] [CrossRef]
- Dai, S.J.; Mi, Z.M.; Ma, Z.B.; Li, S.; Chen, R.Y.; Yu, D.Q. Bioactive Diels-Alder type adducts from the stem bark of Morus macroura. Planta Med. 2004, 70, 758–763. [Google Scholar] [CrossRef] [PubMed]
- Iwashina, T.; Kitajima, J. Chalcone and flavonol glycosides from Asarum canadense (Aristolochiaceae). Phytochemistry 2000, 55, 971–974. [Google Scholar] [CrossRef]
- Xie, B.B.; Shang, M.Y.; Lee, K.H.; Wang, X.; Komatsu, K.; Cai, S.Q. 5-methoxyaristololactam I, the first natural 5-substituted aristololactam from Asarum ichangense. Nat. Prod. Commun. 2011, 6, 11–14. [Google Scholar] [PubMed]
- Bai, X.; Zhang, X.; Chen, L.; Zhang, J.; Zhang, L.; Zhao, X.; Zhao, T.; Zhao, Y. Protective effect of naringenin in experimental ischemic stroke: Down-regulated NOD2, RIP2, NF-κB, MMP-9 and up-regulated claudin-5 expression. Neurochem. Res. 2014, 39, 1405–1415. [Google Scholar] [CrossRef] [PubMed]
- Wang, J.; Jiang, W.; Wang, Y. Anti-inflammation of flavonoid compounds from Dalbergia odorifera T. Chen in lipopolysaccharide stimulated RAW264.7 macrophage. Xi Bao Yu Fen Zi Mian Yi Xue Za Zhi 2013, 29, 681–684. [Google Scholar] [PubMed]
- Sample Availability: Samples of the compounds are available from the authors.
© 2017 by the authors. Licensee MDPI, Basel, Switzerland. This article is an open access article distributed under the terms and conditions of the Creative Commons Attribution (CC-BY) license ( http://creativecommons.org/licenses/by/4.0/).






