Chemical Composition and in Vitro Antimicrobial, Cytotoxic, and Central Nervous System Activities of the Essential Oils of Citrus medica L. cv. ‘Liscia’ and C. medica cv. ‘Rugosa’ Cultivated in Southern Italy
Abstract
:1. Introduction
2. Results
2.1. Essential Oil Yield and Composition
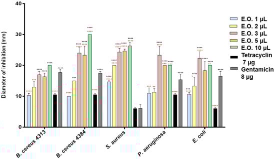
2.2. Antibacterial Activity
2.3. Cytotoxicity of Limonene, C. medica cv. ‘liscia’ and C. medica cv. ‘rugosa’ Essential Oils
2.4. ADCY1: Western Blotting Analysis
3. Discussion
4. Materials and Methods
4.1. Plant Material
4.2. Isolation of the Essential Oils
4.3. GC-FID Analysis
4.4. GC/MS Analysis
4.5. Identification of the Essential Oil Components
4.6. Antimicrobial Activity
4.7. Minimum Inhibitory Concentration
4.8. Cell Cultures
4.9. MTT Bioassay
4.10. Extraction Proteins and Western Blotting
4.11. Statistical Analysis
5. Conclusions
Author Contributions
Conflicts of Interest
Abbreviations
| ADCY1 | Adenylate Cyclase 1 |
| cAMP | Cyclic adenosine-3′,5′-monophosphate |
| EO | Essential oil |
| ERK | Extracellular signal-regulated kinase |
| MAP | Mitogen-activated protein |
| MTT | 3-(4,5-dimethylthiazol-2-yl)-2,5-diphenyl tetrazolium bromide |
| p90rsk | Ribosomal Protein S6 Kinases, 90-kDa |
| RPMI | Roswell Park Memorial Institute Medium |
| OD | Optical Density |
References
- Gabriele, B.; Fazio, A.; Dugo, P.; Costa, R.; Mondello, L. Essential oil composition of Citrus medica var. liscia L. cv. Diamante (Diamante citron) determined after using different extraction methods. J. Sep. Sci. 2009, 32, 99–108. [Google Scholar] [CrossRef] [PubMed]
- Savo, V.; Caneva, G.; Guarrera, P.M.; Reedy, D. Folk phytotherapy of the Amalfi Coast (Campania, Southern Italy). J. Ethnopharmacol. 2011, 135, 376–392. [Google Scholar] [CrossRef] [PubMed]
- Uzun, A.; Yesiloglu, T. Genetic Diversity in Citrus. In Genetic Diversity in Plants; Caliskan, M., Ed.; InTech: Rijeka, Croatia, 2012; pp. 213–230. [Google Scholar]
- Yeung, H.C. Handbook of Chinese Herbs and Formulas; Institute of Chinese Medicine: Los Angeles, CA, USA, 1985. [Google Scholar]
- Li, W.Q.; Kuriyama, S.; Li, Q.; Nagai, M.; Hozawa, A.; Nishino, Y.; Tsuji, I. Citrus consumption and cancer incidence: The Ohsaki cohort study. Int. J. Cancer 2010, 127, 1913–1922. [Google Scholar] [CrossRef] [PubMed]
- Menichini, F.; Tundis, R.; Loizzo, M.R.; Bonesi, M.; Provenzano, E.; Cindio, B.D.; Menichini, F. In vitro photo-induced cytotoxic activity of Citrus bergamia and C. medica L. cv. Diamante peel essential oils and identified active coumarins. Pharm. Biol. 2010, 48, 1059–1065. [Google Scholar] [CrossRef] [PubMed]
- Russo, R.; Cassiano, M.G.V.; Ciociaro, A.; Adornetto, A.; Varano, G.P.; Chiappini, C.; Corasaniti, M.T. Role of d-limonene in autophagy induced by bergamot essential oil in SH-SY5Y neuroblastoma cells. PLoS ONE 2014, 9, e113682. [Google Scholar] [CrossRef] [PubMed]
- Souto-Maior, F.M.; Lélis de Carvalho, F.; Soares Lima de Morais, L.S.; Mendonça Netto, S.; Pergentino de Sousa, D.; Nóbrega de Almeida, R. Anxiolytic-like effects of inhaled linalool oxide in experimental mouse anxiety models. Pharmacol. Biochem. Behav. 2011, 100, 259–263. [Google Scholar] [CrossRef] [PubMed]
- Coelho, V.R.; Gianesini, J.; von Borowski, R.; Mazzardo-Martins, L.; Martins, D.F.; Picada, J.N.; Santos, A.R.; Brum, L.F.; Pereira, P. (−)-Linalool, a naturally occurring monoterpene compound, impairs memory acquisition in the object recognition task, inhibitory avoidance test and habituation to a novel environment in rats. Phytomedicine 2011, 18, 896–901. [Google Scholar] [CrossRef] [PubMed]
- Re, L.; Barocci, S.; Sonnino, S.; Mencarelli, A.; Vivani, C.; Paolucci, G.; Scarpantonio, A.; Rinaldi, L.; Mosca, E. Linalool modifies the nicotinic receptor–ion channel kinetics at the mouse neuromuscular junction. Pharmacol. Res. 2000, 42, 177–182. [Google Scholar] [CrossRef] [PubMed]
- Kim, N.K.; Ko, Y.J.; Yang, H.M.; Ham, Y.M.; Roh, S.W.; Jeon, Y.J.; Ahn, G.; Kang, M.C.; Yoon, W.J.; Kim, D.; et al. Anti-inflammatory effect of essential oil and its constituents from fingered citron (Citrus medica L. var. sarcodactylis) through blocking JNK, ERK and NF-kB signaling pathways in LPS-activated RAW 264.7 cells. Food Chem. Toxicol. 2013, 57, 126–131. [Google Scholar] [CrossRef] [PubMed]
- Wu, Z.; Li, H.; Yang, Y.; Zhan, Y.; Tu, D. Variation in the components and antioxidant activity of Citrus medica L. var. sarcodactylis essential oils at different stages of maturity. Ind. Crops Prod. 2013, 46, 311–316. [Google Scholar] [CrossRef]
- Monajemi, R.; Oryan, S.; Haeri-Roohani, A.; Ghannadi, A.; Jafarian, A. Cytotoxic effects of essential oils of some Iranian Citrus peels. Iran. J. Pharm. Res. 2005, 3, 183–187. [Google Scholar]
- Nazzaro, F.; Fratianni, F.; de Martino, L.; Coppola, R.; de Feo, V. Effect of Essential Oils on Pathogenic Bacteria. Pharmaceuticals 2013, 6, 1451–1474. [Google Scholar] [CrossRef] [PubMed]
- Del Monte, D.; de Martino, L.; Marandino, A.; Fratianni, F.; Nazzaro, F.; de Feo, V. Phenolic content, antimicrobial and antioxidant activities of Hypericum perfoliatum L. Ind. Crops Prod. 2015, 74, 342–347. [Google Scholar] [CrossRef]
- Sah, A.N.; Vijay, J.; Anand, B.M. Antimicrobial activity of six different parts of the plant Citrus medica Linn. Pharmacogn. J. 2011, 3, 80–83. [Google Scholar] [CrossRef]
- Belletti, N.; Lanciotti, R.; Patrignani, F.; Gardini, F. Antimicrobial Efficacy of Citron Essential Oil on Spoilage and Pathogenic Microorganisms in Fruit-Based Salads. J. Food Sci. 2008, 73, 331–338. [Google Scholar] [CrossRef] [PubMed]
- Kazemi, M. Chemical composition and antimicrobial activity of essential oil of Matricaria chamomilla. Bull. Environ. Pharmacol. Life Sci. 2014, 3, 148–153. [Google Scholar]
- Dorman, H.J.D.; Deans, S.G. Antimicrobial agents from plants: Antibacterial activity of plant volatile oils. J. Appl. Microbiol. 2000, 88, 308–316. [Google Scholar] [CrossRef] [PubMed]
- Dai, J.; Zhu, L.; Yang, L.; Qiu, J. Chemical composition, antioxidant and antimicrobial activities of essential oil from Wedelia prostrata. EXCLI J. 2013, 12, 479–490. [Google Scholar] [PubMed]
- Vimal, M.; Vijaya, P.P.; Mumtaj, P.; Farhath, M.S.S. Antibacterial activity of selected compounds of essential oils from indigenous plants. J. Chem. Pharm. Res. 2013, 5, 248–253. [Google Scholar]
- Bakkali, F.; Averbeck, S.; Averbeck, D.; Idaomar, M. Biological effects of essential oils: A review. Food Chem. Toxicol. 2008, 46, 446–475. [Google Scholar] [CrossRef] [PubMed]
- Aggarwal, K.K.; Khanuja, S.P.S.; Ahmad, A.; Santha Kumar, T.R.; Gupta, V.K.; Kumar, S. Antimicrobial activity profiles of the two enantiomers of limonene and carvone isolated from the oils of Mentha spicata and Anethum sowa. Flavour Fragr. J. 2002, 17, 59–63. [Google Scholar] [CrossRef]
- Geran, R.I.; Greenberg, N.H.; Macdonald, M.M.; Schumacher, A.M.; Abbott, B.J. Protocols for screening chemical agents and natural products against animal tumours and other biological systems. Cancer Chemother. Rep. 1972, 3, 59–61. [Google Scholar]
- Corasaniti, M.T.; Maiuolo, J.; Maida, S.; Fratto, V.; Navarra, M; Russo, R.; Bagetta, G. Cell signaling pathways in the mechanisms of neuroprotection afforded by bergamot essential oil against NMDA-induced cell death in vitro. Br. J. Pharmacol. 2007, 151, 518–529. [Google Scholar] [CrossRef] [PubMed]
- Pimenta, F.C.F.; Correia, N.D.A.; Albuquerque, K.L.G.D.; de Sousa, D.P.; da Rosa, M.R.D.; Pimenta, M.B.F.; de Almeida, R.N. Naturally occurring anxiolytic substances from aromatic plants of genus citrus. J. Med. Plants Res. 2012, 6, 342–347. [Google Scholar] [CrossRef]
- Impey, S.; Obrietan, K.; Storm, D.R. Making new connections: Role of ERK/MAP kinase signaling in neuronal plasticity. Neuron 1999, 23, 11–14. [Google Scholar] [CrossRef]
- Davis, M.I.; Ronesi, J.; Lovinger, D.M. A predominant role for inhibition of the adenylate cyclase/protein kinase A pathway in ERK activation by cannabinoid receptor 1 in N1E-115 neuroblastoma cells. J. Biol. Chem. 2003, 49, 48973–48980. [Google Scholar] [CrossRef] [PubMed]
- Uğuz, A.C.; Ahmi, Ö.; Mustafa, N. Curcumin inhibits apoptosis by regulating intracellular calcium release, reactive oxygen species and mitochondrial depolarization levels in SH-SY5Y neuronal cells. J. Recept Signal Transduct. Res. 2016, 36, 395–401. [Google Scholar] [CrossRef] [PubMed]
- Cowburn, R.F.; Marcusson, J.O.; Eriksson, A.; Wiehager, B.; O’Neill, C. Adenylyl cyclase activity and G-protein subunit levels in postmortem frontal cortex of suicide victims. Brain Res. 1994, 633, 297–304. [Google Scholar] [CrossRef]
- Reiach, J.S.; Li, P.P.; Warsh, J.J.; Kish, S.J.; Young, L.T. Reduced adenylyl cyclase immunolabeling and activity in postmortem temporal cortex of depressed suicide victims. J. Affect. Disord. 1999, 56, 141–151. [Google Scholar] [CrossRef]
- Donati, R.J.; Rasenick, M.M. G protein signaling and the molecular basis of antidepressant action. Life Sci. 2003, 73, 1–17. [Google Scholar] [CrossRef]
- Hines, L.M.; Tabakoff, B. Platelet adenylyl cyclase activity: A biological marker for major depression and recent drug use. Biol. Psychiatry 2005, 58, 955–962. [Google Scholar] [CrossRef] [PubMed]
- Abdel-Razaq, W.; Bates, T.E.; Kendall, D.A. The effects of antidepressants on cyclic AMP-response element-driven gene transcription in a model cell system. Biochem. Pharmacol. 2007, 73, 1995–2003. [Google Scholar] [CrossRef] [PubMed]
- Watt, W.C.; Storm, D.R. Odorants stimulate the ERK/mitogen-activated protein kinase pathway and activate cAMP-response element-mediated transcription in olfactory sensory neurons. J. Biol. Chem. 2001, 276, 2047–2052. [Google Scholar] [CrossRef] [PubMed]
- Park, H.M.; Lee, J.H.; Yaoyao, J.; Jun, H.J.; Lee, S.J. Limonene, a natural cyclic terpene, is an agonistic ligand for adenosine A 2A receptors. Biochem. Biophys. Res. Commun. 2001, 404, 345–348. [Google Scholar] [CrossRef] [PubMed]
- Council of Europe. European Pharmacopoeia, 5th ed.; Council of Europe: Strasbourg Cedex, France, 2004; Volume I, p. 217. [Google Scholar]
- Jennings, W.; Shibamoto, T. Qualitative Analysis of Flavour and Fragrance Volatiles by Glass Capillary Gas Chromatography; Academic Press: New York, NY, USA, 1980. [Google Scholar]
- Davies, N.W. Gas chromatographic retention indices of monoterpenes and sesquiterpenes on methyl silicone and Carbowax 20M phases. J. Chromatogr. 1990, 503, 1–24. [Google Scholar] [CrossRef]
- Goodner, K.L. Practical retention index models of OV-101, DB-1, DB-5, and DB-Wax for flavor and fragrance compounds. LWT-Food Sci. Technol. 2008, 41, 951–958. [Google Scholar] [CrossRef]
- Adams, R.P. Identification of Essential Oil Components by Gas Chromatography/Mass Spectroscopy, 4th ed.; Allured Publishing Corporation: Carol Stream, IL, USA, 2007. [Google Scholar]
- Wiley Registry of Mass Spectral Data, with NIST Spectral Data CD Rom, 7th ed.; John Wiley & Sons: New York, NY, USA, 1998.
- De Martino, L.; de Feo, V.; Nazzaro, F. Chemical Composition and in Vitro Antimicrobial and Mutagenic Activities of Seven Lamiaceae Essential Oils. Molecules 2009, 14, 4213–4230. [Google Scholar] [CrossRef] [PubMed]
- Sarker, S.D.; Nahar, L.; Kumarasamy, Y. Microtitre plate-based antibacterial assay incorporating resazurin as an indicator of cell growth, and its application in the in vitro antibacterial screening of phytochemicals. Methods 2007, 42, 321–324. [Google Scholar] [CrossRef] [PubMed]
- Picerno, P.; Autore, G.; Marzocco, S.; Meloni, M.; Sanogo, R.; Aquino, R.P. Anti-inflammatory activity of verminoside from Kigelia africana and evaluation of cutaneous irritation in cell cultures and reconstituted human epidermis. J. Nat. Prod. 2005, 68, 1610–1614. [Google Scholar] [CrossRef] [PubMed]
- Petrella, A.; Ercolino, S.F.; Festa, M.; Gentilella, A.; Tosco, A.; Conzen, S.D.; Parente, L. Dexamethasone inhibits TRAIL-induced apoptosis of thyroid cancer cells via Bcl-xL induction. Eur. J. Cancer 2006, 42, 3287–3293. [Google Scholar] [CrossRef] [PubMed]




| No. | Compound | LRI a | LRI b | CL | CR | Identification c |
|---|---|---|---|---|---|---|
| 1 | α-Thujene | 915 | 930 | - | 0.1 | 1, 2 |
| 2 | α-Pinene | 921 | 939 | 0.8 | 1.2 | 1, 2 |
| 3 | α-Fenchene | 934 | 952 | 0.1 | 0.1 | 1, 2 |
| 4 | Camphene | 964 | 954 | 8.5 | 10.9 | 1, 2, 3 |
| 5 | β-Pinene | 980 | 979 | 1.4 | 1.7 | 1, 2 |
| 6 | α-Phellandrene | 991 | 1002 | 0.5 | 0.6 | 1, 2 |
| 7 | δ-2-Carene | 1004 | 1002 | 0.1 | 0.3 | 1, 2 |
| 8 | p-Cymene | 1012 | 1024 | - | 1.0 | 1, 2 |
| 9 | Limonene | 1022 | 1029 | 67.2 | 62.8 | 1, 2 |
| 10 | (Z)-β-Ocimene | 1028 | 1037 | Tr | 0.1 | 1, 2 |
| 11 | (E)-β-Ocimene | 1038 | 1050 | 0.1 | 0.3 | 1, 2, 3 |
| 12 | γ-Terpinene | 1047 | 1059 | 0.3 | 0.7 | 1, 2 |
| 13 | Linalool oxide furanoid | 1064 | 1072 | 0.3 | Tr | 1, 2 |
| 14 | trans-Linalool oxide | 1086 | 0.1 | - | 1, 2 | |
| 15 | Terpinolene | 1077 | 1088 | 0.1 | 0.3 | 1, 2 |
| 16 | Linalool | 1091 | 1096 | 0.3 | 1.3 | 1, 2 |
| 17 | α-Pinene oxide | 1095 | 1099 | Tr | 0.1 | 1, 2 |
| 18 | 1,3,8-p-Menthatriene | 1100 | 1110 | - | Tr | 1, 2 |
| 19 | Perillene | 1103 | 1103 | Tr | Tr | 1, 2 |
| 20 | trans-Thujone | 1106 | 1114 | Tr | 0.1 | 1, 2, 3 |
| 21 | Dehydro sabina ketone | 1111 | 1120 | 0.1 | 0.1 | 1, 2 |
| 22 | allo-Ocimene | 1119 | 1132 | Tr | 0.1 | 1, 2 |
| 23 | cis-p-Mentha-2,8-dien-1-ol | 1126 | 1137 | - | Tr | 1, 2 |
| 24 | cis-Limonene oxide | 1133 | 1136 | Tr | 0.5 | 1, 2 |
| 25 | trans-Limonene oxide | 1140 | 1142 | - | Tr | 1, 2, 3 |
| 26 | Isopulegol | 1144 | 1149 | Tr | 0.1 | 1, 2 |
| 27 | neo allo-Ocimene | 1152 | 1144 | - | Tr | 1, 2 |
| 28 | Citronellal | 1155 | 1153 | Tr | 0.2 | 1, 2 |
| 29 | neo iso-Isopulegol | 1167 | 1171 | 0.8 | 0.7 | 1, 2 |
| 30 | Isoborneol | 1163 | 1160 | - | Tr | 1, 2, 3 |
| 31 | α-Terpineol | 1180 | 1188 | 0.7 | 0.6 | 1, 2 |
| 32 | Hexyl butanoate | 1183 | 1192 | - | Tr | 1, 2 |
| 33 | Dihydrocarveol | 1185 | 1193 | Tr | Tr | 1, 2 |
| 34 | Methyl chavicol | 1190 | 1196 | - | Tr | 1, 2 |
| 35 | trans-4-Caranone | 1195 | 1196 | 0.3 | 0.1 | 1, 2, 3 |
| 36 | Decenal | 1198 | 1196 | - | Tr | 1, 2 |
| 37 | 2-Decanol | 1202 | 1199 | 0.3 | 0.1 | 1, 2 |
| 38 | cis-4-Caranone | 1209 | 1200 | 0.1 | 0.3 | 1, 2 |
| 39 | endo-Fenchyl acetate | 1219 | 1220 | 0.9 | 0.4 | 1, 2 |
| 40 | Thymol methyl-ether | 1223 | 1235 | - | Tr | 1, 2 |
| 41 | Neral | 1231 | 1238 | 0.1 | 0.5 | 1, 2 |
| 42 | Geraniol | 1246 | 1252 | 0.9 | 0.7 | 1, 2, 3 |
| 43 | Geranial | 1261 | 1267 | 0.1 | 0.7 | 1, 2 |
| 44 | n-Decanol | 1263 | 1269 | 0.3 | - | 1, 2 |
| 45 | trans-Carvone oxide | 1276 | 1276 | 0.1 | 0.1 | 1, 2, 3 |
| 46 | Thymol | 1283 | 1290 | - | 0.4 | 1, 2, 3 |
| 47 | p-Cymene-7-ol | 1292 | 1290 | - | Tr | 1, 2 |
| 48 | Undecen-10-en-1-al | 1296 | 1299 | 0.1 | Tr | 1, 2 |
| 49 | n-Nonanyl acetate | 1301 | 1312 | 0.1 | Tr | 1, 2 |
| 50 | Citronellic acid | 1314 | 1313 | Tr | Tr | 1, 2 |
| 51 | δ-Elemene | 1326 | 1338 | 0.4 | 0.2 | 1, 2, 3 |
| 52 | α-Terpinyl acetate | 1339 | 1349 | Tr | 0.1 | 1, 2, 3 |
| 53 | Citronellyl acetate | 1343 | 1352 | 0.1 | 0.1 | 1, 2, 3 |
| 54 | Eugenol | 1348 | 1359 | - | Tr | 1, 2 |
| 55 | Neryl acetate | 1354 | 1361 | 0.7 | 0.6 | 1, 2, 3 |
| 56 | α-Ylangene | 1364 | 1375 | Tr | Tr | 1, 2, 3 |
| 57 | α-Copaene | 1368 | 1376 | - | Tr | 1, 2, 3 |
| 58 | Geranyl acetate | 1373 | 1381 | 0.9 | 0,5 | 1, 2, 3 |
| 59 | β-Patchoulene | 1380 | 1381 | 0.1 | 0.1 | 1, 2 |
| 60 | Methyl eugenol | 1396 | 1403 | 0.1 | 0.1 | 1, 2, 3 |
| 61 | Italicene | 1399 | 1405 | 0.1 | Tr | 1, 2 |
| 62 | Sesquithujiene | 1403 | 1405 | 0.1 | Tr | 1, 2 |
| 63 | Longifolene | 1407 | 1407 | 0.5 | 0.6 | 1, 2, 3 |
| 64 | β-Duprezianene | 1417 | 1422 | 0.1 | 0.1 | 1, 2 |
| 65 | γ-Elemene | 1422 | 1436 | 0.1 | 0.1 | 1, 2, 3 |
| 66 | α-trans-Bergamotene | 1424 | 1434 | 0.5 | 0.4 | 1, 2 |
| 67 | α-Guaiene | 1432 | 1439 | Tr | Tr | 1, 2, 3 |
| 68 | Aromadendrene | 1441 | 1441 | 0.1 | 0.1 | 1, 2, 3 |
| 69 | (Z)-β-Farnesene | 1445 | 1442 | 0.1 | 0.1 | 1, 2, 3 |
| 70 | (E)-β-Farnesene | 1449 | 1456 | Tr | Tr | 1, 2 |
| 71 | cis-Cadin-1(6),4-diene | 1457 | 1463 | - | Tr | 1, 2 |
| 72 | 9-epi-(E)-Caryophyllene | 1469 | 1466 | Tr | 0.1 | 1, 2, 3 |
| 73 | β-Acoradiene | 1473 | 1470 | Tr | Tr | 1, 2 |
| 74 | γ-Gurjenene | 1478 | 1477 | Tr | - | 1, 2 |
| 75 | α-Amorphene | 1482 | 1484 | 0.1 | Tr | 1, 2, 3 |
| 76 | Aristolochene | 1486 | 1488 | Tr | Tr | 1, 2 |
| 77 | β-Selinene | 1490 | 1490 | 0.1 | 0.1 | 1, 2 |
| 78 | α-Selinene | 1496 | 1498 | 1.0 | 0.6 | 1, 2 |
| 79 | α-Cuprenene | 1502 | 1505 | 0.1 | Tr | 1, 2 |
| 80 | δ-Amorphene | 1511 | 1512 | - | 0.1 | 1, 2 |
| 81 | δ-Cadinene | 1523 | 1523 | 0.1 | - | 1, 2 |
| 82 | (Z)-Nerolidol | 1526 | 1532 | Tr | - | 1, 2 |
| 83 | γ-Cuprenene | 1530 | 1533 | Tr | Tr | 1, 2 |
| 84 | (E)-Nerolidol | 1552 | 1563 | 0.3 | Tr | 1, 2 |
| 85 | Caryophyllene oxide | 1572 | 1583 | - | 0.1 | 1, 2, 3 |
| 86 | Globulol | 1580 | 1590 | Tr | Tr | 1, 2 |
| 87 | β-Oplopenone | 1597 | 1607 | Tr | Tr | 1, 2 |
| 88 | Guaiol | 1599 | 1600 | 0.1 | Tr | 1, 2 |
| 89 | 1-epi-Cubenol | 1618 | 1628 | Tr | Tr | 1, 2 |
| 90 | Eremoligenol | 1629 | 1631 | Tr | - | 1, 2 |
| 91 | α-Muurolol | 1631 | 1646 | Tr | - | 1, 2, 3 |
| 92 | epi-α-Muurolol | 1644 | 1642 | 0.1 | 0.1 | 1, 2 |
| 93 | Pogostol | 1647 | 1653 | 0.3 | Tr | 1, 2 |
| 94 | Cedranol | 1658 | 1673 | 0.1 | 0,1 | 1, 2 |
| 95 | α-Bisabolol | 1674 | 1685 | 0.1 | - | 1, 2, 3 |
| 96 | Eudesm-7(11)-en-4-ol | 1682 | 1700 | Tr | 0.5 | 1, 2 |
| 97 | Z-α-trans-Bergamotol | 1688 | 1690 | 0.1 | - | 1, 2 |
| 98 | Nootkatol | 1703 | 1715 | 0.3 | - | 1, 2 |
| 99 | (2Z,6E)-Farnesol | 1711 | 1723 | Tr | - | 1, 2 |
| 100 | Oplopanone | 1717 | 1740 | Tr | - | 1, 2 |
| Monoterpene hydrocarbons | 79.1 | 80.2 | ||||
| Oxygenated monoterpenes | 4.8 | 6.9 | ||||
| Sesquiterpene hydrocarbons | 4.2 | 3.2 | ||||
| Oxygenated sesquiterpenes | 2.5 | 1.6 | ||||
| Non terpenes | 0.8 | 0.1 | ||||
| Total | 91.4 | 92.0 |
| Microorganism | MIC (μL) | |||
|---|---|---|---|---|
| C. medica cv. ‘Liscia’ | C. medica cv. ‘Rugosa’ | Limonene | Camphene | |
| Bacillus cereus 4313 | 0.1 μL | 0.5 μL | 1 μL | >6 μL |
| Bacillus cereus 4384 | 0.1 μL | 0.1 μL | 1 μL | >8 μL |
| Escherichia coli | 0.1 μL | 0.2 μL | 1μL | 0.084 μL |
| Pseudomonas aeruginosa | 0.1 μL | 0.8 μL | 1 μL | >10 μL |
| Staphylococcus aureus | 0.1 μL | 0.8 μL | 1 μL | >10 μL |
© 2016 by the authors. Licensee MDPI, Basel, Switzerland. This article is an open access article distributed under the terms and conditions of the Creative Commons Attribution (CC-BY) license ( http://creativecommons.org/licenses/by/4.0/).
Share and Cite
Aliberti, L.; Caputo, L.; De Feo, V.; De Martino, L.; Nazzaro, F.; Souza, L.F. Chemical Composition and in Vitro Antimicrobial, Cytotoxic, and Central Nervous System Activities of the Essential Oils of Citrus medica L. cv. ‘Liscia’ and C. medica cv. ‘Rugosa’ Cultivated in Southern Italy. Molecules 2016, 21, 1244. https://doi.org/10.3390/molecules21091244
Aliberti L, Caputo L, De Feo V, De Martino L, Nazzaro F, Souza LF. Chemical Composition and in Vitro Antimicrobial, Cytotoxic, and Central Nervous System Activities of the Essential Oils of Citrus medica L. cv. ‘Liscia’ and C. medica cv. ‘Rugosa’ Cultivated in Southern Italy. Molecules. 2016; 21(9):1244. https://doi.org/10.3390/molecules21091244
Chicago/Turabian StyleAliberti, Luigi, Lucia Caputo, Vincenzo De Feo, Laura De Martino, Filomena Nazzaro, and Lucéia Fátima Souza. 2016. "Chemical Composition and in Vitro Antimicrobial, Cytotoxic, and Central Nervous System Activities of the Essential Oils of Citrus medica L. cv. ‘Liscia’ and C. medica cv. ‘Rugosa’ Cultivated in Southern Italy" Molecules 21, no. 9: 1244. https://doi.org/10.3390/molecules21091244
APA StyleAliberti, L., Caputo, L., De Feo, V., De Martino, L., Nazzaro, F., & Souza, L. F. (2016). Chemical Composition and in Vitro Antimicrobial, Cytotoxic, and Central Nervous System Activities of the Essential Oils of Citrus medica L. cv. ‘Liscia’ and C. medica cv. ‘Rugosa’ Cultivated in Southern Italy. Molecules, 21(9), 1244. https://doi.org/10.3390/molecules21091244

