Synthesis and Evaluation of New 1,3,4-Thiadiazole Derivatives as Antinociceptive Agents
Abstract
:1. Introduction
2. Results
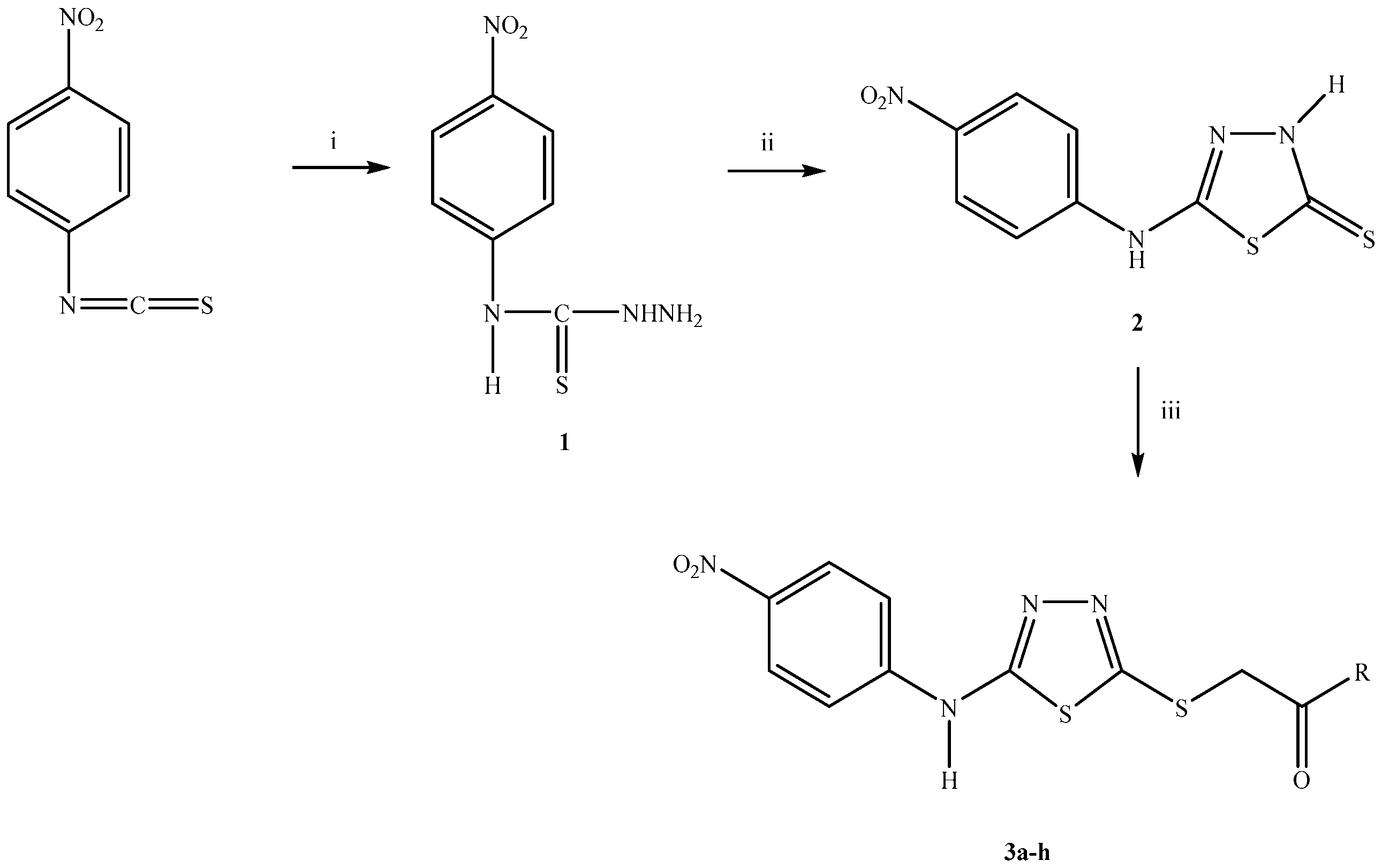
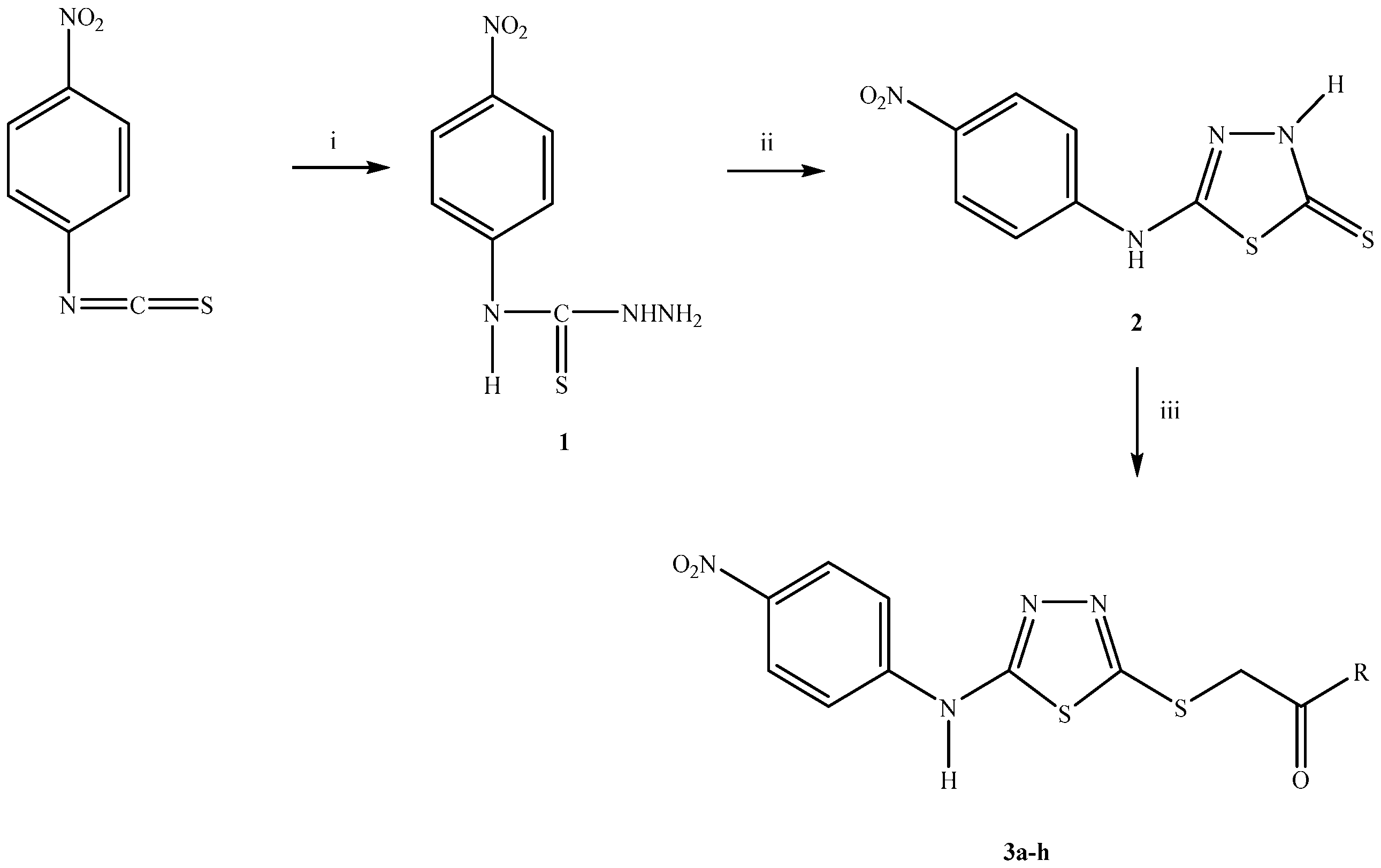
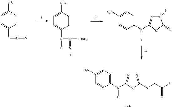
2.1. Chemistry
2.2. Pharmacology
3. Discussion
4. Materials and Methods
4.1. Chemistry
General Procedure for the Synthesis of the Compounds
4.2. Pharmacology
4.2.1. Animals
4.2.2. Administration of the Compounds
4.2.3. Assessment of Pain Behavior
Mechanical Nociceptive Test
Thermal Nociceptive Test
Chemical Nociceptive Test
4.2.4. Assessment of Spontaneous Locomotor Activity
Activity Cage Test
4.2.5. Statistical Analyses
5. Conclusions
Acknowledgments
Author Contributions
Conflicts of Interest
References
- Guindon, J.; Walczak, J.S.; Beaulieu, P. Recent advances in the pharmacological management of pain. Drugs 2007, 67, 2121–2133. [Google Scholar] [CrossRef] [PubMed]
- Moore, N.D. In search of an ideal analgesic for common acute pain. Acute Pain 2009, 11, 129–137. [Google Scholar] [CrossRef]
- Buschmann, H.; Christoph, T.; Friderichs, E.; Maul, C.; Sundermann, B. Analgesics: From Chemistry and Pharmacology to Clinical Application; Wiley-VCH: Weinheim, Germany, 2002; pp. 1–264. [Google Scholar]
- Turunen, J.H.O.; Mäntyselkä, P.T.; Kumpusalo, E.A.; Ahonen, R.S. Frequent analgesic use at population level: Prevalence and patterns of use. Pain 2005, 115, 374–381. [Google Scholar] [CrossRef] [PubMed]
- Simmons, D.L.; Botting, R.M.; Hla, T. Cyclooxygenase Isozymes: The Biology of Prostaglandin Synthesis and Inhibition. Pharmacol. Rev. 2004, 56, 387–437. [Google Scholar] [CrossRef] [PubMed]
- Dannhardt, G.; Laufer, S. Structural Approaches to Explain the Selectivity of COX-2 Inhibitors: Is There a Common Pharmacophore? Curr. Med. Chem. 2000, 7, 1101–1112. [Google Scholar] [CrossRef] [PubMed]
- Jain, A.K.; Sharma, S.; Vaidya, A.; Ravichandran, V.; Agrawal, R.K. 1,3,4-Thiadiazole and its Derivatives: A Review on Recent Progress in Biological Activities. Chem. Biol. Drug Des. 2013, 81, 557–576. [Google Scholar] [CrossRef] [PubMed]
- Li, Y.; Geng, J.; Liu, Y.; Yu, S.; Zhao, G. Thiadiazole-a Promising Structure in Medicinal Chemistry. Chem. Med. Chem. 2013, 8, 27–41. [Google Scholar] [CrossRef] [PubMed]
- Matysiak, J. Biological and Pharmacological Activities of 1,3,4-Thiadiazole Based Compounds. Mini-Rev. Med. Chem. 2015, 15, 762–775. [Google Scholar] [CrossRef] [PubMed]
- Haider, S.; Alam, M.S.; Hamid, H. 1,3,4-Thiadiazoles: A potent multi targeted pharmacological scaffold. Eur. J. Med. Chem. 2015, 92, 156–177. [Google Scholar] [CrossRef] [PubMed]
- Shkair, A.M.; Shakya, A.K.; Raghavendra, N.M.; Naik, R.R. Molecular Modeling, Synthesis and Pharmacological Evaluation of 1,3,4-Thiadiazoles as Anti-inflammatory and Analgesic Agents. Med. Chem. 2016, 12, 90–100. [Google Scholar] [CrossRef] [PubMed]
- Schenone, S.; Brullo, C.; Bruno, O.; Bondavalli, F.; Ranise, A.; Filippelli, W.; Rinaldi, B.; Capuano, A.; Falcone, G. New 1,3,4-thiadiazole derivatives endowed with analgesic and anti-inflammatory activities. Bioorg. Med. Chem. 2006, 14, 1698–1705. [Google Scholar] [CrossRef] [PubMed]
- Amir, M.; Kumar, H.; Javed, S.A. Non-carboxylic Analogues of Naproxen: Design, Synthesis, and Pharmacological Evaluation of some 1,3,4-Oxadiazole/Thiadiazole and 1,2,4-Triazole Derivatives. Arch. Pharm. Chem. Life Sci. 2007, 340, 577–585. [Google Scholar] [CrossRef] [PubMed]
- Salgin-Gökşen, U.; Gökhan-Kelekçi, N.; Göktaş, O.; Köysal, Y.; Kiliç, E.; Işik, S.; Aktay, G.; Ozalp, M. 1-Acylthiosemicarbazides, 1,2,4-triazole-5(4H)-thiones, 1,3,4-thiadiazoles and hydrazones containing 5-methyl-2-benzoxazolinones: Synthesis, analgesic-anti-inflammatory and antimicrobial activities. Bioorg. Med. Chem. 2007, 15, 5738–5751. [Google Scholar] [CrossRef] [PubMed]
- Yavuz, S.; Ünal, Y.; Pamir, Ö.; Yılmazer, D.; Kurtipek, Ö.; Kavutçu, M.; Arslan, M.; Ark, M.; Yıldırır, Y. Synthesis and pharmacological evaluation of some novel thebaine derivatives: N-(tetrazol-1H-5-yl)-6,14-endoethenotetrahydrothebaine incorporating the 1,3,4-oxadiazole or the 1,3,4-thiadiazole moiety. Arch. Pharm. Chem. Life Sci. 2013, 346, 455–462. [Google Scholar] [CrossRef] [PubMed]
- Clerici, F.; Pocar, D. Synthesis of 2-Amino-5-sulfanyl-1,3,4-thiadiazole derivatives and evaluation of their antidepressant and anxiolytic activity. J. Med. Chem. 2001, 44, 931–936. [Google Scholar] [CrossRef] [PubMed]
- Yusuf, M.; Khan, R.A.; Ahmed, B. Syntheses and anti-depressant activity of 5-amino-1,3,4-thiadiazole-2-thiol imines and thiobenzyl derivatives. Bioorg. Med. Chem. 2008, 16, 8029–8034. [Google Scholar] [CrossRef] [PubMed]
- Pattanayak, P.; Sharma, R.; Sahoo, P.K. Synthesis and evaluation of 2-amino-5-sulfanyl-1,3,4-thiadiazoles as antidepressant, anxiolytic, and anticonvulsant agents. Med. Chem. Res. 2009, 18, 351–361. [Google Scholar] [CrossRef]
- Sharma, R.; Misra, G.P.; Sainy, J.; Chaturvedi, S.C. Synthesis and biological evaluation of 2-amino-5-sulfanyl-1,3,4-thiadiazole derivatives as antidepressant, anxiolytics and anticonvulsant agents. Med. Chem. Res. 2011, 20, 245–253. [Google Scholar] [CrossRef]
- Rajak, H.; Deshmukh, R.; Aggarwal, N.; Kashaw, S.; Kharya, M.D.; Mishra, P. Synthesis of novel 2,5-disubstituted 1,3,4-thiadiazoles for their potential anticonvulsant activity: Pharmacophoric model studies. Arch. Pharm. Chem. Life Sci. 2009, 342, 453–461. [Google Scholar] [CrossRef] [PubMed]
- Can, Ö.D.; Altıntop, M.D.; Demir Özkay, Ü.; Üçel, U.İ.; Doğruer, B.; Kaplancıklı, Z.A. Synthesis of Thiadiazole Derivatives Bearing Hydrazone Moieties and Evaluation of Their Pharmacological Effects on Anxiety, Depression, and Nociception Parameters in Mice. Arch. Pharm. Res. 2012, 35, 659–669. [Google Scholar] [CrossRef] [PubMed]
- Wong, C.H.; Dey, P.; Yarmush, J.; Wu, W.H.; Zbuzek, V.K. Nifedipine-induced analgesia after epidural injection in rats. Anesth. Analg. 1994, 79, 303–306. [Google Scholar] [CrossRef] [PubMed]
- Gabra, B.H.; Sirois, P. Beneficial effect of chronic treatment with the selective bradykinin B1 receptor antagonists, R-715 and R-954, in attenuating streptozotocin-diabetic thermal hyperalgesia in mice. Peptides 2003, 24, 1131–1139. [Google Scholar] [CrossRef] [PubMed]
- Can, O.D.; Alyu, F.; Turan, N.; Ozdemir, A. Antinociceptive activities of some 4,5-dihydro-1H-pyrazole derivatives: Involvement of central and peripheral pathways. Lett. Drug Des. Discov. 2016, 13, 411–417. [Google Scholar] [CrossRef]
- Demir Özkay, U.; Can, O.D. Anti-nociceptive effect of vitexin mediated by the opioid system in mice. Pharmacol. Biochem. Behav. 2013, 109, 23–30. [Google Scholar] [CrossRef] [PubMed]
- Ermut, G.; Karalı, N.; Çetin, İ.; Topçul, M.; Birteksöz, S. Synthesis and chemotherapeutic activities of 5-chloro-1H-indole-2,3-dione 3-thiosemicarbazones. Marmara Pharm. J. 2013, 17, 147–154. [Google Scholar] [CrossRef]
- Tomkinson, A.E.; Chen, X.; Dziegielewska, B.; Mackerell, A.D.; Zhong, S.; Wilson, G.M. Compounds that Inhibit Human DNA Ligases and Methods of Treating Cancer. US20100099683A1, 22 April 2010. [Google Scholar]
- D’Amour, F.E.; Smith, D.L. A method for determining loss of pain sensation. J. Pharmacol. Exp. Ther. 1941, 72, 74–79. [Google Scholar]
- Koster, R.; Anderson, M.; De Beer, E.J. Acetic acid for analgesic screening. Fed. Proc. 1959, 18, 412–415. [Google Scholar]
- Kaplancikli, Z.A.; Altintop, M.D.; Turan-Zitouni, G.; Ozdemir, A.; Can, O.D. Synthesis and analgesic activity of some acetamide derivatives. J. Enzyme Inhib. Med. Chem. 2012, 27, 275–280. [Google Scholar] [CrossRef] [PubMed]
- Votava, M.; Hess, L.; Slíva, J.; Krsiak, M.; Agová, V. Dexmedetomidine selectively suppresses dominant behavior in aggressive and sociable mice. Eur. J. Pharmacol. 2005, 523, 79–85. [Google Scholar] [CrossRef] [PubMed]
- Argoff, C. Mechanisms of pain transmission and pharmacologic management. Curr. Med. Res. Opin. 2011, 27, 2019–2031. [Google Scholar] [CrossRef] [PubMed]
- Millan, M.J. Descending control of pain. Prog. Neurobiol. 2002, 66, 355–474. [Google Scholar] [CrossRef]
- Mollica, A.; Costante, R.; Novellino, E.; Stefanucci, A.; Pieretti, S.; Zador, F.; Samavati, R.; Borsodi, A.; Benyhe, S.; Vetter, I.; Lewis, R.J. Design, synthesis and biological evaluation of two opioid agonist and Cav 2.2 blocker multitarget ligands. Chem. Biol. Drug Des. 2015, 86, 156–162. [Google Scholar] [CrossRef] [PubMed]
- Suzuki, H. Tachykininergic neurotransmission in the central nervous system. J. Nippon. Med. Sch. 2002, 69, 322–327. [Google Scholar] [CrossRef] [PubMed]
- Noble, F. Pharmacology of CCKRs and SAR studies of peptidic analog ligands. Curr. Top. Med. Chem. 2007, 7, 1173–1179. [Google Scholar] [CrossRef] [PubMed]
- Luo, Z.D.; Cizkova, D. The role of nitric oxide in nociception. Curr. Rev. Pain. 2000, 4, 459–466. [Google Scholar] [CrossRef] [PubMed]
- Sample Availability: Samples of the compounds 3a–h are available from the authors.





| Compound | R | Yield (%) | M.p. (°C) |
|---|---|---|---|
| 3a | Diethylamino | 92 | 240.1 |
| 3b | (3-Chlorophenyl)amino | 85 | 227.9 |
| 3c | (4-Chlorophenyl)amino | 91 | 233.4 |
| 3d | (4-Nitrophenyl)amino | 92 | 267.0 |
| 3e | (1,3-Benzodioxol-5-ylmethyl)amino | 91 | 238.8 |
| 3f | Morpholin-4-yl | 89 | 235.3 |
| 3g | (Benzothiazol-2-yl)amino | 89 | 282.5 |
| 3h | (6-Nitrobenzothiazol-2-yl)amino | 85 | 298.7 |
© 2016 by the authors. Licensee MDPI, Basel, Switzerland. This article is an open access article distributed under the terms and conditions of the Creative Commons Attribution (CC-BY) license ( http://creativecommons.org/licenses/by/4.0/).
Share and Cite
Altıntop, M.D.; Can, Ö.D.; Demir Özkay, Ü.; Kaplancıklı, Z.A. Synthesis and Evaluation of New 1,3,4-Thiadiazole Derivatives as Antinociceptive Agents. Molecules 2016, 21, 1004. https://doi.org/10.3390/molecules21081004
Altıntop MD, Can ÖD, Demir Özkay Ü, Kaplancıklı ZA. Synthesis and Evaluation of New 1,3,4-Thiadiazole Derivatives as Antinociceptive Agents. Molecules. 2016; 21(8):1004. https://doi.org/10.3390/molecules21081004
Chicago/Turabian StyleAltıntop, Mehlika Dilek, Özgür Devrim Can, Ümide Demir Özkay, and Zafer Asım Kaplancıklı. 2016. "Synthesis and Evaluation of New 1,3,4-Thiadiazole Derivatives as Antinociceptive Agents" Molecules 21, no. 8: 1004. https://doi.org/10.3390/molecules21081004
APA StyleAltıntop, M. D., Can, Ö. D., Demir Özkay, Ü., & Kaplancıklı, Z. A. (2016). Synthesis and Evaluation of New 1,3,4-Thiadiazole Derivatives as Antinociceptive Agents. Molecules, 21(8), 1004. https://doi.org/10.3390/molecules21081004

