Abstract
Five flavonoid glycosides and two derivatives were isolated from the herbs of Scorzonera austriaca Wild by silica gel column chromatography and preparative HPLC. Their structures were identified, using chemical and spectroscopic methods, as 5,7,4′-trihydroxyflavone 6-C-(2''-O-β-d-glucopyranosyl β-d-glucopyranoside) (1), 5,7,3′,4′-tetrahydroxyflavone 6-C-(2''-O-β-d-glucopyranosyl β-d-glucopyranoside) (2), quercetin 3-O-rutinoside (3), 5,7,4′-trihydroxyflavone 6-C-β-d-glucopyranoside (4), 3′-methoxy-5,7,4′-trihydroxyflavone 6-C-β-d-glucopyranoside (5), 5,7,4′-trihydroxyflavone 8-C-(6''-O-trans-caffeoyl β-d-glucopyranoside) (6), and 5,7,3′,4′-tetrahydroxyflavone 8-C-(6''-O-trans-caffeoyl β-d-glucopyranoside) (7). Compounds 6 and 7 are new flavonoid glycoside derivatives, and compounds 1–5 were isolated from the herbs of Scorzonera austriaca for the first time. Compounds 6 and 7 were also assayed for their hepatoprotective activities with rat hepatocytes in vitro.
1. Introduction
Scorzonera austriaca Wild, a perennial herb of Compositae, is widely distributed in the northeast and northwest regions in China, especially abundant in Jilin Province, and has been widely used for curing fever, carbuncle, and mastitis as a traditional herbal medicine [1]. Since S. austriaca is used to treat hepatitis B as a folk medicine in our district, we have investigated its bioactivities and found that the total flavonoids from S. austriaca have hepatoprotective effects and inhibitory effects on hepatitis B virus [2,3,4]. Chronic infection with hepatitis B virus (HBV) often leads to the development of liver cancer and cirrhosis, creating immense sociological, clinical, and economic burdens worldwide [5]. Globally, 240 million people are infected with the HBV [6], and 650,000 people die every year from HBV-related cirrhosis or hepatocellular carcinoma [7]. Currently, seven drugs have been approved by FDA for the treatment of HBV infection: two interferons (standard and pegylated) and five nucleoside/nucleotide analogues (lamivudine, adefovir, telbivudine, entecavir, and tenofovir) [8]. Although interferons can restitute the host immune system, and have finite duration and no risk of drug resistance, the need for parenteral administration, the poor long-term response, and the high frequency of adverse side effects make them not ideal [8]. Nucleoside/nucleotide analogues are less expensive and orally available, have minimal side-effects comparing to interferons and can be used for decompensated cirrhosis and after liver transplantation [9]. However, because they have to be taken on a long-term basis, in general, drug resistance may evolve, and there is also a significant risk of HBV reactivation and sometimes HBV flare up after withdrawal of the antiviral agents [10]. Moreover, all of these drugs have low percentage of HBV e antigen seroconversion rate and HBV surface antigen loss, and none of them are able to clear chronic HBV infection [9,11,12]. Thus, new efforts are being directed to develop new and more effective anti-HBV therapeutics. In order to screen the new drug candidate for treating hepatitis B, the isolation and structure identification of flavonoid glycosides and their derivatives from the herbs of S. austriaca have been carried out, and we report the isolation and identification of two new flavonoid glycoside derivatives (6 and 7), together with five flavonoid glycosides 1–5 in the present study (Figure 1).
Figure 1.
Chemical structures of compounds 1–7.
2. Results and Discussion
The air-dried S. austriaca herbs were extracted with 70% aqueous ethanol solution (v/v), the extract was subjected to D101 polyporous resin column chromatography eluated with water and 60% aqueous ethanol solution (v/v), and the crude flavonoid extracts were obtained from 60% aqueous ethanol eluate. The crude flavonoid extracts were loaded on D4020 polyporous resin column eluting successively with water and different aqueous ethanol solutions, and four fractions were obtained. The four fractions were further separated and purified by silica gel column chromatography and semi-preparative RP-HPLC to afford compounds 1–7, including two new flavonoid glycoside derivatives (6 and 7).
The five known compounds were identified as 5,7,4′-trihydroxyflavone 6-C-(2''-O-β-d-glucopyranosyl β-d-glucopyranoside) (1) [13], 5,7,3′,4′-tetrahydroxyflavone 6-C-(2''-O-β-d-glucopyranosyl β-d-glucopyranoside) (2) [14], quercetin 3-O-rutinoside (3) [15], 5,7,4′-trihydroxyflavone 6-C-β-d-glucopyranoside (4) [16], and 3′-methoxy-5,7,4′-trihydroxyflavone 6-C-β-d-glucopyranoside (5) [17], by comparison of various data with the reported compounds.
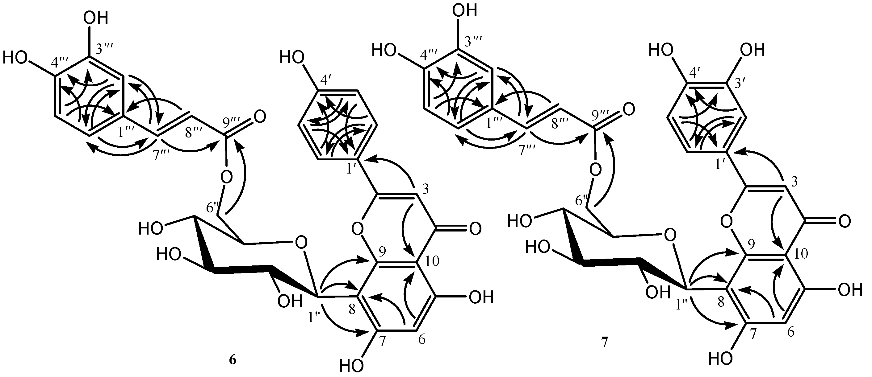
Compound 6 was obtained as yellow amorphous powders. Its HRESIMS displayed a [M + H]+ ion peak at m/z 595.1437 (calcd for C30H27O13, 595.1446), indicating the molecular formula C30H26O13. The 1H- and 13C-NMR spectra showed eleven aromatic or unsaturated proton signals, twenty-four unsaturated carbon signals, and six saturated carbons signals, among which a typical three-proton ABX aromatic spin system at δH 6.70 (1H, d, J = 7.0 Hz), 6.91 (1H, d, J = 7.0 Hz), 6.80 (1H, br. s), a trans-disubstituted double bond conjugated with a carbonyl group at δH 7.40 (1H, d, J = 15.7 Hz), 6.15 (1H, d, J = 15.7 Hz), and nine unsaturated carbon signals at δC 166.7 (C), 148.4 (C), 145.5 (C), 145.4 (CH), 125.3(C), 120.5 (CH) 115.7 (CH), 115.3 (CH), and 113.6 (CH) were deduced to arise from a trans-caffeoyl moiety based on the analysis of 1H-1H COSY, HMQC, and HMBC of 6 and the comparison of 1H- and 13C-NMR spectra of 6 with the reported values [18]. The 1H- and 13C-NMR spectra of 6 were very similar to those of the reported compound, 5,7,4′-trihydroxyflavone 8-C-β-d-glucopyranoside (6′) [19], except for a set of signals of the above trans-caffeoyl moiety. Comparison of 1H- and 13C-NMR spectra data of 6 and 6′ showed that the trans-caffeoyl moiety is attached to C-6″ of glucose on the basis of the acylation effects at the OH of C-6″, which are the downfield shift of the C-6″ protons (+0.66 and +0.73 ppm) and of the C-6″ carbon (+2.7 ppm) and the upfield shift of the C-5″ carbon (−3.5 ppm) [20], which was also confirmed by the correlation of the C-6″ protons at δH 4.17 and 4.48 with the carboxy carbon at δC 166.7 in HMBC of 6. The glucosyl anomeric proton observed at δH 4.77 as a doublet with J = 9.9 Hz was indicative of a β-configuration for the glucose. The full assignments of all protons and carbons were preformed through the correlations in 2D-NMR spectra (1H-1H COSY, HMQC and HMBC) of 6. For all of the data of 1H-, 13C-, and HMBC-NMR of compound 6 see Table 1, and key correlations and the structure of compound 6, see Figure 2. Based on the above evidence, the structure of 6 was determined to be 5,7,4′-trihydroxyflavone 8-C-(6''-O-trans-caffeoyl β-d-glucopyranoside).
Table 1.
1H-NMR (DMSO-d6, 400 MHz), 13C-NMR (DMSO-d6, 100 MHz), and HMBC data of compounds 6 and 7 (TMS as the internal standard, δ in ppm, J in Hz).
Figure 2.
The key HMBC correlation of compounds 6 and 7 (arrows point from proton to carbon).
Compound 7 was obtained as yellow amorphous powders. Its HRESIMS displayed a [M + H]+ ion peak at m/z 611.1408 (calcd for C30H27O14, 611.1395), indicating the molecular formula C30H26O14. The 1H- and 13C-NMR spectra of 7 were very similar to those of the reported compound, 5,7,3′,4′-tetrahydroxyflavone 8-C-β-d-glucopyranoside (7′) [21], except for a set of signals indicative of a trans-caffeoyl moiety: δH 7.40 (1H, d, J = 15.8 Hz, H-7″′), 6.23 (1H, d, J = 15.8 Hz, H-8″′), 6.94 (1H, s, H-2″′), 6.73 (1H, d, J = 8.0 Hz, H-5″′), and 6.85 (1H, d, J = 8.0 Hz, H-6″′), and δC 166.8 (C-9″′), 148.3 (C-4″′), 145.3 (C-3″′, 7″′), 125.4 (C-1″′), 120.6 (C-6″′) 115.8 (C-5″′), 115.6 (C-2″′) and 113.7 (C-8″′). The attachment of the trans-caffeoyl moiety to the 6"-position of the glucosyl part was also deduced from the acylation effects at the OH of C-6″, which are the downfield shift of the C-6″ protons (+0.59 and +0.75 ppm) and of the C-6″ carbon (+2.6 ppm) and the upfield shift of the C-5″ carbon (−3.5 ppm) [19], which was further confirmed by the correlation of the C-6″ protons at δH 4.15 and 4.54 with the carboxy carbon at δC 166.8 in HMBC of 7. The glucosyl anomeric proton observed at δH 4.75 as a doublet with J = 9.9 Hz was indicative of a β-configuration for the glucose. The full assignments of all protons and carbons were preformed through the correlations in 2D-NMR spectra (1H-1H COSY, HMQC, and HMBC) of 7. For all of the data of 1H-, 13C-, and HMBC-NMR of compound 7 see Table 1, and key correlations and the structure of compound 7, see Figure 2. Based on the above evidence, the structure of 7 was determined to be 5,7,3′,4′-tetrahydroxyflavone 8-C-(6''-O-trans-caffeoyl β-d-glucopyranoside).
The hepatoprotective activities of compounds 6 and 7 were assessed by measuring the content of alanine aminotransferase (ALT) of the cultures of rat hepatocytes injured by CCl4. Compounds 6 and 7 exhibited hepatoprotective activities with values of 71.2% and 81.2%, respectively, at a concentration of 100 μM, comparable to that of silibinin [22], which was used as a positive control (68.3% at 50 μM) (Table 2). Therefore, the flavonoid glycoside derivatives 6 and 7 are considered to be two of the hepatoprotective principles in this plant.
Table 2.
Effects of compounds 6 and 7 on CCl4-induced toxicity of rat hepatocytes.
3. Experimental Section
3.1. General Information
NMR spectra were recorded on a Bruker AV-400 spectrometer (Bruke Corporation, Faellanden, Switzerland). UV spectra were recorded on a Shimadzu UV-2401A spectrometer (Shimadzu Corporation, Kyoto, Japan). HR-ESI-MS were recorded on a Bruker microOTOF-Q II mass spectrometer (Bruke Corporation, Bremen, Germany). HPLC was performed Shimadzu LC-10A with a SPD-10A detector (Shimadzu Corporation, Kyoto, Japan) and Gemini 5μ C18 110A column (250 mm × 10.00 mm, 5 μm, flow rate: 3.0 mL·min−1, Phenomenex, Torrance, CA, USA). Column chromatography was performed on silica gel (200–300 mesh, Qingdao Marine Chemical Inc., Qingdao, China), and D101 polyporous resin (Tianjin Pesticide Co., LTD., Resin Branch, Tianjin, China). Thin layer Chromatography was performed on glass precoated silica gel GF254 plates (Qingdao Haiyang Chemical Co., Ltd, Qingdao, China), detection under UV light or by spraying with 10% H2SO4 in 95% EtOH followed by heating. Distilled water was purchased from Hangzhou Wahaha Group Co., Ltd. (Hongzhou, China). Acetonitrile of chromatographic grade for HPLC was purchased from Fisher Scientific (Fair Lawn, NJ, USA). Other chemicals and reagents of analytical grade were from Beijing Chemical Works (Beijing, China).
The bioactivities were measured on a DNM-9602 enzyme immunoassay spectrophotometer (Beijing, China). Enzyme-linked immunosorbent assay kits for alanine transferase (ALT) were purchased from Jiancheng Institute of Biotechnology (Nanjing, China), collagenase IV from Sigma (St. Louis, MO, USA), 1640 medium from HyClone (Logan, UT, USA), PBS from Gibco company (Carlsbad, CA, USA), fetal bovine serum (FBS) from Zhejiang Tianhang Biotechnology Co., Ltd. (Hangzhou, China), and silibinin from the Chinese National Institute for the Control of Pharmaceutical and Biological Products (Beijing, China).
Female Wistar rats (150–180g) were purchased from the Experimental Animal Center, Jilin University (Changchun, China).
The herbs of S. austriaca were collected in Si-ping District in Jilin Province, China. They were identified by Professor Jing-Min Zhang of the School of Pharmaceutical Sciences, Jilin University (Changchun, China).
3.2. Extraction and Isolation
Two kilograms of air-dried whole S. austriaca herbs were extracted twice with 20 L of 70% aqueous ethanol solution (v/v) at room temperature. The extraction solution was concentrated under reduced pressure to remove ethanol, and the water concentrate was filtered and then passed through a D101 polyporous resin column eluting successively with water and 60% aqueous ethanol solution (v/v). The crude flavonoid extracts were obtained from 60% aqueous ethanol eluate by vacuum distillation recovery and used for the next experiments. The crude flavonoid extracts were loaded on D4020 polyporous resin column eluting successively with water, 15%, 20%, 25%, 30%, and 40% aqueous ethanol solutions (v/v), and six fractions (Fractions 1–6) were obtained. Fraction 2 was chromatographed over silica gel eluting with CHCl3–MeOH–EtOAc–H2O (2:2:4:1, v/v, lower layer) to afford Fraction 2a, Fraction 4 with CHCl3–MeOH–EtOAc–H2O (2:1.4:4:1, v/v, lower layer) to afford Fraction 4a, and Fraction 6 with CHCl3–MeOH–EtOAc–H2O (2:1:4:1, v/v, lower layer) to afford Fraction 6a. They were further isolated by semi-preparative RP-HPLC using acetonitrile and 0.1% formic acid solution in water as the mobile phase and the eluate was monitored at 337 nm. Compound 1 (30 mg), 2 (30 mg), and 3 (20 mg) were obtained from Fraction 2a with gradient elution (10%–11% acetonitrile from 0.00–20.00 min, 11%–18% acetonitrile from 20.00–40.00 min), compound 4 (30 mg) and 5 (20 mg) from Fraction 4a by using 15% acetonitrile, and compound 6 (60 mg) and 7 (200 mg) from Fraction 6a with gradient elution (20%–22% acetonitrile from 0.00–45.00 min).
Compound 1: Yellow amorphous powder, yielded a positive reaction to FeCl3 reagent, mp 201–203 °C; UV (MeOH), λmax 265, 339 nm; HRESIMS m/z 595.1665 [M + H]+ (calcd for C27H31O15, 595.1657); 1H-NMR (DMSO-d6, 400 MHz) δ: 7.93 (2H, d, J = 8.4 Hz, H-2′,6′), 6.93 (2H, d, J = 8.4 Hz, H-3′,5′), 6.78 (1H, s, H-3), 6.49 (1H, s, H-8), 4.65 (1H, d, J = 9.6Hz, Glc-H-1), 4.44 (1H, m, Glc-H-2), 3.41 (1H, m, Glc-H-3), 3.16 (1H, m, Glc-H-4), 3.16 (1H, m, Glc-H-5), 3.33 (1H, m, Glc-H-6), 3.67 (1H, m, Glc-H-6), 4.18 (1H, d, J = 7.6Hz, Glc′-H-1), 2.85 (1H, m, Glc′-H-2), 3.03 (1H, m, Glc′-H-3), 3.01 (1H, m, Glc′-H-4), 2.64 (1H, m, Glc′-H-5), 2.94 (1H, m, Glc′-H-6), 3.17 (1H, m, Glc′-H-6); 13C-NMR (DMSO-d6, 100 MHz) δ: 163.4 (C-2), 102.7 (C-3), 182.0 (C-4), 161.1 (C-5), 107.9 (C-6), 161.1 (C-7), 93.3 (C-8), 156.4 (C-9), 103.3 (C-10), 121.1 (C-1′), 128.4 (C-2′,6′), 116.0 (C-3′,5′), 161.1 (C-4′), 71.1 (Glc-1), 81.0 (Glc-2), 78.4 (Glc-3), 70.4 (Glc-4), 81.6 (Glc-5), 61.4 (Glc-6), 105.3 (Glc′-1), 74.7 (Glc′-2), 76.4 (Glc′-3), 69.3 (Glc′-4), 76.4 (Glc′-5), 60.5 (Glc′-6).
Compound 2: Yellow amorphous powder, yielded a positive reaction to FeCl3 reagent, mp 205–207 °C; UV (MeOH), λmax 258, 366 nm; HRESIMS m/z 611.1623 [M + H]+ (calcd for C27H31O16, 611.1607); 1H-NMR (DMSO-d6, 400 MHz) δ: 7.41 (1H, d, J = 8.1 Hz, H-6′), 7.40 (H, s, H-2′), 6.89 (1H, d, J = 8.1 Hz, H-5′), 6.65 (1H, s, H-3), 6.45 (1H, s, H-8), 4.66 (1H, d, J = 9.8Hz, Glc-H-1), 4.44 (1H, m, Glc-H-2), 3.45 (1H, m, Glc-H-3), 3.17 (1H, m, Glc-H-4), 3.17 (1H, m, Glc-H-5), 3.41 (1H, m, Glc-H-6), 3.68 (1H, m, Glc-H-6), 4.19 (1H, d, J = 7.6Hz, Glc′-H-1), 2.86 (1H, m, Glc′-H-2), 3.06 (1H, m, Glc′-H-3), 3.03 (1H, m, Glc′-H-4), 2.65 (1H, m, Glc′-H-5), 2.99 (1H, m, Glc′-H-6), 3.17 (1H, m, Glc′-H-6); 13C-NMR (DMSO-d6, 100 MHz) δ: 163.5 (C-2), 102.7 (C-3), 181.9 (C-4), 160.6 (C-5), 107.9 (C-6), 163.0 (C-7), 93.3 (C-8), 156.4 (C-9), 103.3 (C-10), 121.4 (C-1′), 113.2 (C-2′), 145.7 (C-3′), 149.7 (C-4′), 116.0 (C-5′), 118.9 (C-6′), 71.2 (Glc-1), 80.9 (Glc-2), 78.4 (Glc-3), 70.4 (Glc-4), 81.6 (Glc-5), 61.4 (Glc-6), 105.5 (Glc′-1), 74.7 (Glc′-2), 76.2 (Glc′-3′), 69.3 (Glc′-4), 76.2 (Glc′-5), 60.6 (Glc′-6).
Compound 3: Yellow amorphous powder, yielded a positive reaction to FeCl3 reagent, mp 185–187 °C; UV (MeOH), λmax 259, 359 nm; HRESIMS m/z 611.1620 [M + H]+ (calcd for C27H31O16, 611.1607). 1H-NMR (DMSO-d6, 400MHz) δ: 7.54 (1H, d, J = 8.1, H-6′), 7.53 (1H, s H-2′), 6.83 (1H, d, J = 8.1 Hz, H-5′), 6.36 (1H, s, H-8), 6.17 (1H, s, H-6), 5.33 (1H, d, J = 6.7 Hz, Glc-H-1), 4.39 (1H, s, Rha-H-1), 0.99 (3H, d, J = 6.1 Hz, Rha-H-6); 13C-NMR (DMSO-d6, 100 MHz) δ: 156.4 (C-2), 133.2 (C-3), 177.2 (C-4), 161.1 (C-5), 98.8 (C-6), 164.7 (C-7), 93.6 (C-8), 156.4 (C-9), 103.6 (C-10), 121.0 (C-1′), 115.2 (C-2′), 144.8 (C-3′), 148.6 (C-4′), 116.1 (C-5′), 121.5 (C-6′), 101.3 (Glc-1), 74.0 (Glc-2), 76.4 (Glc-3), 69.9 (Glc-4), 75.9 (Glc-5), 66.9 (Glc-6), 100.7 (Rha-1), 70.5 (Rha-2), 70.3 (Rha-3), 71.8 (Rha-4), 68.2 (Rha-5), 17.7 (Rha-6).
Compound 4: Yellow amorphous powder, yielded a positive reaction to FeCl3 reagent, mp 238–240 °C; UV (MeOH), λmax 260, 351 nm; HRESIMS m/z 433.1157 [M + H]+ (calcd for C21H21O10, 433.1129); 1H-NMR (DMSO-d6, 400 MHz) δ: 7.90 (2H, d, J = 8.4 Hz, H-2′,6′), 6.97 (2H, d, J = 8.4 Hz, H-3′,5′), 6.74 (1H, s, H-3), 6.64 (1H, s, H-8), 4.58 (1H, d, J = 9.6Hz, Glc-H-1), 4.07 (1H, t, J = 8.8Hz, Glc-H-2), 3.20 (1H, m, Glc-H-3), 3.15 (1H, m, Glc-H-4), 3.15 (1H, m, Glc-H-5), 3.43(1H, m, Glc-H-6), 3.67 (1H, d, J = 15.6 Hz, Glc-H-6); 13C-NMR (DMSO-d6, 100 MHz) δ: 163.4 (C-2), 102.6 (C-3), 181.8 (C-4), 160.6 (C-5), 108.9 (C-6), 164.0 (C-7), 93.8 (C-8), 156.2 (C-9), 103.1 (C-10), 121.0 (C-1′), 128.3 (C-2′,6′), 116.1 (C-3′,5′), 161.4 (C-4′), 73.0 (Glc-1), 70.1 (Glc-2), 79.0 (Glc-3), 70.5 (Glc-4), 81.5 (Glc-5), 61.3 (Glc-6).
Compound 5: Yellow amorphous powder, yielded a positive reaction to FeCl3 reagent, mp 208–210 °C; UV (MeOH), λmax 261, 348 nm; HRESIMS m/z 463.1253 [M + H]+ (calcd for C22H23O11, 463.1235); 1H-NMR (DMSO-d6, 400 MHz) δ: 7.33 (1H, d, J = 8.4 Hz, H-6′), 7.33 (H, s, H-2′), 6.82 (1H, d, J = 8.4 Hz, H-5′), 6.50 (1H, s, H-3), 6.37 (1H, s, H-8), 4.66 (1H, d, J = 9.8 Hz, Glc-H-1), 3.25 (3H, s, C-3′-OCH3); 13C-NMR (DMSO-d6, 100 MHz) δ: 164.1 (C-2), 102.3 (C-3), 182.0 (C-4), 160.1 (C-5), 107.3 (C-6), 163.4 (C-7), 93.5 (C-8), 156.8 (C-9), 103.2 (C-10), 121.6 (C-1′), 108.6 (C-2′), 147.6 (C-3′), 150.3 (C-4′), 115.1 (C-5′), 120.0 (C-6′), 73.5 (Glc-1), 69.8 (Glc-2), 78.2 (Glc-3), 70.7 (Glc-4), 80.7 (Glc-5), 61.1 (Glc-6).
Compound 6: Yellow amorphous powder, yielded a positive reaction to FeCl3 reagent, mp 208–210 °C; UV (MeOH), λmax 268, 339 nm; HRESIMS m/z 595.1437 [M + H]+ (calcd for C30H27O13, 595.1446); 1H-NMR (DMSO-d6, 400 MHz) and 13C-NMR (DMSO-d6, 100 MHz) see Table 1.
Compound 7: Yellow amorphous powder, yielded a positive reaction to FeCl3 reagent, mp 204–206 °C; UV (MeOH), λmax 269, 350 nm; HRESIMS m/z 611.1408 [M + H]+ (calcd for C30H27O14, 611.1395); 1H-NMR (DMSO-d6, 400 MHz) and 13C-NMR (DMSO-d6, 100 MHz) see Table 1.
3.3. In Vitro Hepatoprotective Activity
Isolated rat hepatocytes from female Wistar rats were prepared by the collagenase perfusion technique with minor modifications [23]. Culture medium was composed of RPMI 1640 medium supplemented with 10% fetal bovine serum and 1% Pen/Strep (100 IU·mL−1 penicillin and 100 mg·mL−1 streptomycin). The isolated cells were diluted to 8 × 106 / mL using the culture medium, and every 8 × 105 cells (0.1 mL) were seeded into a 48-well plate and incubated at 37 °C in a humidified atmosphere containing 5% CO2. After preincubation for four hours, the medium was replaced with fresh medium containing CCl4 (15 mM) and test specimens at various concentrations, and four hours later, the medium was taken to measure ALT. Enzyme-linked immunosorbent assay kits and DNM-9602 enzyme immunoassay spectrophotometer were used to measure ALT. For the results, see the Table 2.
4. Conclusions
Compounds 6 and 7 are new flavonoid glycoside derivatives. Compounds 1–5 were isolated from S. austriaca Wild for the first time. Compounds 6 and 7 were also assayed for hepatoprotective activities with rat hepatocytes, and the data proved that compounds 6 and 7 exhibited hepatoprotective activities. Therefore, the new flavonoid glycoside derivatives 6 and 7 are considered to be two of the hepatoprotective properties in this plant.
Acknowledgments
This work was supported by the National Important Special Foundation of the New Drug Development of China (No. 2013ZX09103002-007). The authors gratefully thank Jing-Min Zhang (School of Pharmaceutical Sciences, Jilin University) for the identification of plant.
Author Contributions
Guang-Shu Wang designed research, analyzed the data and wrote the paper; Yang Xie and Qiu-Shi Guo performed research. All authors read and approved the final manuscript.
Conflicts of Interest
The authors declare no conflict of interest.
References
- The Editorial Board of Zhong Hua Ben Cao of State Administration of Traditional Chinese Medicine of the People’s Republic of China. Zhong Hua Ben Cao, 1st ed.; Scientific and Technical Publishers: Shanghai, China, 1999; Volume 7, pp. 939–941. [Google Scholar]
- Wang, G.S.; Yang, X.H.; Zhou, X.P. Aplication of the extract of Scorzonera austriaca in Preparing Medicine to Treat Hepatitis. China Patent 2011102552351, 24 July 2013. [Google Scholar]
- Xie, Y.; Wang, J.; Geng, Y.M.; Qu, Y.F.; Zhang, Z.; Wang, G.S. Experimental studies on inhibitory effects of total flavonoids in Scorzonera austriaca Wild on hepatitis B virus in vitro. Chin. J. Biochem. Pharm. 2015, 35, 41–44. [Google Scholar]
- Zhang, T.W.; Xie, Y.; Zhang, Z.; Wang, G.S. Study on hepatoprotective effects of total flavonoids in Scorzonera austriaca Wild in vivo and in vitro. Chin. J. Biochem. Pharm. 2015, 35, 6–9. [Google Scholar]
- Ahmed, M.; Wang, F.; Levin, A.; Le, C.; Eltayebi, Y.; Houghton, M.; Tyrrell, L.; Barakat, K. Targeting the Achilles heel of the hepatitis B virus: A review of current treatments against covalently closed circular DNA. Drug Discov. Today 2015, 20, 548–556. [Google Scholar] [CrossRef] [PubMed]
- World Health Organization. Hepatitis B. Fact sheet no. 204. Updated 2015. Available online: http://www.who.int/mediacentre/factsheets/fs204/en/ (accessed on 18 September 2015).
- Lozano, R.; Naghavi, M.; Foreman, K. Global and regional mortality from 235 causes of death for 20 age groups in 1990 and 2010: A systematic analysis for the Global Burden of Disease Study 2010. Lancet 2012, 380, 2095–2128. [Google Scholar] [CrossRef]
- Zhang, F.; Wang, G. A review of non-nucleoside anti-hepatitis B virus agents. Eur. J. Med. Chem. 2014, 75, 267–281. [Google Scholar] [CrossRef] [PubMed]
- Perrillo, R.P. Overview of treatment of hepatitis B: Key approaches and clinical challenges. Semin. Liver Dis. 2004, 24 (Suppl. 1), 23–29. [Google Scholar] [CrossRef] [PubMed]
- Grimm, D.; Thimme, R.; Blum, H.E. HBV life cycle and novel drug targets. Hepatol Int. 2011, 5, 644–653. [Google Scholar] [CrossRef] [PubMed]
- Liaw, Y.F. HBeAg seroconversion as an important end point in the treatment of chronic hepatitis B. Hepatol. Int. 2009, 3, 425–433. [Google Scholar] [CrossRef] [PubMed]
- Kang, L; Pan, J.Q.; Wu, J.F.; Hu, J.L.; Sun, Q.; Tang, J. Anti-HBV Drugs: Progress, Unmet Needs, and New Hope. Viruses 2015, 7, 4960–4977. [Google Scholar] [CrossRef] [PubMed]
- Xu, F.F.; Fan, C.L.; Wang, L.; Wang, G.C.; Zhang, X.Q.; Ye, W.C. Chemical constituents from the seeds of Hovenia acerba. J. Jinan Univ. (Nat Sci. Med. Edit.) 2011, 32, 304–306. [Google Scholar]
- Besson, E.; Dellamonica, G.; Chopin, J.; Markham, K.R.; Kim, M.; Koh, H.S.; Fukami, H. C-glycosylflavones from Oryza sativa. Phytochemistry 1985, 24, 1061–1064. [Google Scholar] [CrossRef]
- Xie, Y.; Wang, J.; Geng, Y.M.; Zhang, Z.; Qu, Y.F.; Wang, G.S. Pheonolic compounds from the fruits of Viburnum sargentii Koehne. Molecules 2015, 20, 14377–14385. [Google Scholar] [CrossRef] [PubMed]
- Li, Y.W.; Li, R.J.; Yuan, L.Y.; Chang, Y.; Wang, X.L.; Chen, L.H. Chemical constituents from flower of Gentiana tibetica. Chin. Tradit. Herb. Drugs 2015, 46, 2052–2056. [Google Scholar]
- Liang, J.; Li, S.H.; Chen, C.Q. Chemical constituents in Swertia davidi. Chin. Tradit. Herb. Drugs 2014, 45, 919–923. [Google Scholar]
- Wang, J.; Wang, N.L.; Yao, X.S.; Kitangaka, S. Caffeoyl quinic acid derivatives from Bidens parviflora and their antihistamine release activities. Chin. Tradit. Herb. Drugs 2006, 37, 966–970. [Google Scholar]
- Liu, X.; Zhang, Z.L.; Wang, Z.; He, L.; Peng, C.; Wang, G.S. Isolation and structure identification of flavonoid glycosides from Scorzonera austriaca Wild. J. Jilin Univ. (Med. Edit.) 2012, 38, 595–597. [Google Scholar]
- Leitao, S.G.; Kaplan, M.A.C.; Delle Monache, F. Phenylpropanoid glucosides from Aegiphila obducta. J. Nat. Prod. 1994, 57, 1703–1707. [Google Scholar] [CrossRef] [PubMed]
- Li, Q.M.; Wang, G.S. Isolation and structure identification of flavonoid glycosides from Scorzonera ruprechtiana Lipsch et Krasch. J. Jilin Univ. (Med. Edit.) 2010, 36, 10–13. [Google Scholar]
- Wu, Y.H.; Yang, L.X.; Wang, F.; Wu, X.M.; Zhou, C.X.; Shi, S.Y.; Mo, J.X.; Zhao, Y. Hepatoprotective and antioxidative effects of total phenolics from Laggera pterodonta on chemical-induced injury in primary cultured neonatal rat hepatocytes. Food. Chem. Toxicol. 2007, 45, 1349–1355. [Google Scholar] [CrossRef] [PubMed]
- Seglen, P.O. Preparation of rat liver cells: III. Enzymatic requirements for tissue dispersion. Exp. Cell Res. 1973, 82, 391–398. [Google Scholar] [CrossRef]
- Sample Availability: Samples of the compounds 1–7 are available from the authors.
© 2016 by the authors. Licensee MDPI, Basel, Switzerland. This article is an open access article distributed under the terms and conditions of the Creative Commons Attribution (CC-BY) license ( http://creativecommons.org/licenses/by/4.0/).

