A New Xanthone Glycoside from the Endolichenic Fungus Sporormiella irregularis
Abstract
:1. Introduction
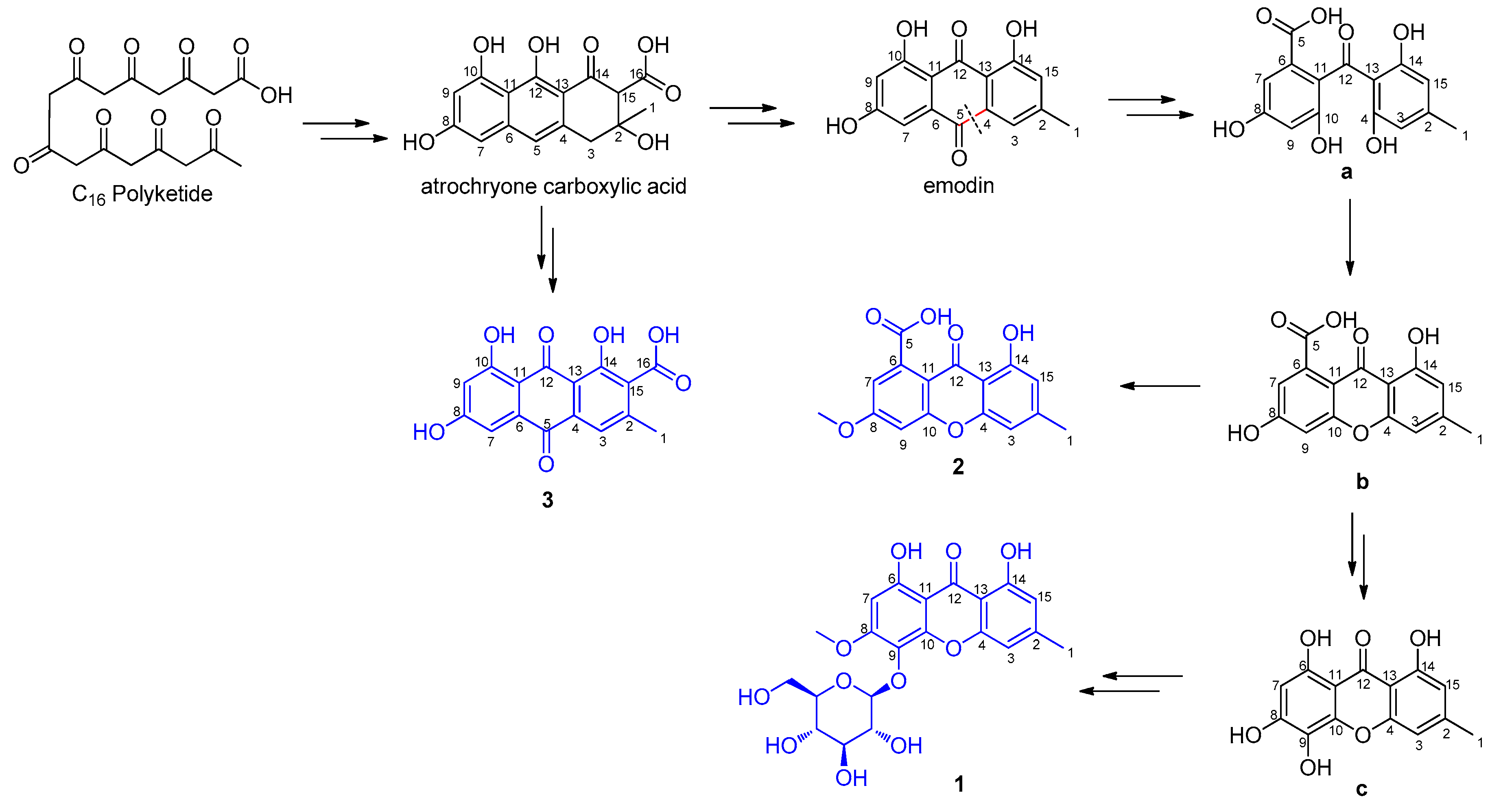
2. Results and Discussion
3. Materials and Methods
3.1. Chemicals
3.2. General Experimental Procedures
3.3. Fungus Material
3.4. Extraction and Isolation
3.5. Acid Hydrolysis
4. Conclusions
Supplementary Materials
Acknowledgments
Author Contributions
Conflicts of Interest
References
- Kruys, A.; Wedin, M. Phylogenetic relationships and an assessment of traditionally used taxonomic characters in the Sporormiaceae (Pleosporales, Dothideomycetes, Ascomycota), utilising multi-gene phylogenies. Syst. Biodivers. 2009, 7, 465–478. [Google Scholar] [CrossRef]
- Kruys, A.; Eriksson, O.E.; Wedin, M. Phylogenetic relationships of coprophilous Pleosporales (Dothideomycetes, Ascomycota), and the classification of some Bitunicate taxa of unknown position. Mycol. Res. 2006, 110, 527–536. [Google Scholar] [CrossRef] [PubMed]
- Wang, H.K.; Aptroot, A.; Crous, P.W.; Hyde, K.D.; Jeewon, R. The polyphyletic nature of Pleosporales: An example from Massariosphaeria based on rDNA and RBP2 gene phylogenies. Mycol. Res. 2007, 111, 1268–1276. [Google Scholar] [CrossRef] [PubMed]
- Ahmed, S.I.; Cain, R.F. Revision of the genera Sporormia and Sporormiella. Can. J. Bot. 1972, 50, 419–477. [Google Scholar] [CrossRef]
- Leyte-Lugo, M.; Figueroa, M.; Gonzalez, M.C.; Glenn, A.E.; Gonzalez-Andrade, M.; Mata, R. Metabolites from the endophytic fungus Sporormiella minimoides isolated from Hintonia Latiflora. Phytochemistry 2013, 96, 273–278. [Google Scholar] [CrossRef] [PubMed]
- Guo, L.D.; Huang, G.R.; Wang, Y. Seasonal and tissue age influences on endophytic fungi of Pinus tabulaeformis (Pinaceae) in the Dongling Mountains, Beijing. J. Integr. Plant Biol. 2008, 50, 997–1003. [Google Scholar] [CrossRef] [PubMed]
- Schulz, B.; Boyle, C.; Draeger, S.; Römmert, A.K.; Krohn, K. Endophytic fungi: A source of novel biologically active secondary metabolites. Mycol. Res. 2002, 106, 996–1004. [Google Scholar] [CrossRef]
- Suryanarayanan, T.S.; Kumaresan, V. Endophytic fungi of some halophytes from an estuarine mangrove forest. Mycol. Res. 2000, 104, 1465–1467. [Google Scholar] [CrossRef]
- Xiong, H.; Xiao, G.K.; Chen, G.D.; Chen, H.R.; Hu, D.; Li, X.X.; Zhong, S.W.; Guo, L.D.; Yao, X.S.; Gao, H. Sporormiellin A, the first tetrahydrofuran-fused furochromone with an unprecedented tetracyclic skeleton from Sporormiella minima. RSC Adv. 2014, 46, 24295–24299. [Google Scholar] [CrossRef]
- Kinoshita, K.; Sasaki, T.; Awata, M.; Takada, M.; Yaginuma, S. Structure of sporostatin (M5032), an inhibitor of cyclic adenosine 3′,5′-monophosphate phosphodiesterase. J. Antibiot. 1997, 50, 961–964. [Google Scholar] [CrossRef] [PubMed]
- Huang, L.; Lingham, R.B.; Harris, G.H.; Singh, S.B.; Dufresne, C.; Nallin-Omstead, M.; Bills, G.F.; Mojena, M.; Sanchez, M.; Karkas, J.D.; et al. New fungal metabolites as potential antihypercholesterolemics and anticancer agents. Can. J. Bot. 1995, 73, 898–906. [Google Scholar] [CrossRef]
- Soman, A.G.; Gloer, J.B.; Koster, B.; Malloch, D. Sporovexins A–C and a new preussomerin analog: Antibacterial and antifungal metabolites from the coprophilous fungus Sporormiella vexans. J. Nat. Prod. 1999, 62, 659–661. [Google Scholar] [CrossRef] [PubMed]
- Mudur, S.V.; Gloer, J.B.; Wicklow, D.T. Sporminarins A and B: Antifungal metabolites from a fungicolous isolate of Sporormiella minimoides. J. Antibiot. 2006, 59, 500–506. [Google Scholar] [CrossRef] [PubMed]
- Hatori, H.; Shibata, T.; Tsurumi, Y.; Nakanishi, T.; Katsuoka, M.; Ohtsu, Y.; Sakamoto, K.; Takase, S.; Ueda, H.; Hino, M.; et al. FR171456, a novel cholesterol synthesis inhibitor produced by Sporormiella minima No. 15604 I. taxonomy, fermentation, isolation, physico-chemical properties. J. Antibiot. 2004, 57, 253–259. [Google Scholar] [CrossRef] [PubMed]
- Hatori, H.; Shibata, T.; Nishikawa, M.; Ueda, H.; Hino, M.; Fujii, T. FR171456, a novel cholesterol synthesis inhibitor produced by Sporormiella minima No. 15604 II. biological activities. J. Antibiot. 2004, 57, 260–263. [Google Scholar] [CrossRef] [PubMed]
- Krohn, K.; Ludewig, K.; Jones, P.G.; Doering, D.; Aust, H.J.; Draeger, S.; Schulz, B. Biologically active metabolites from fungi, 21 an antifungal and herbicidal lanostane lactone from Sporormiella australis. Nat. Prod. Lett. 1992, 1, 29–32. [Google Scholar] [CrossRef]
- Li, Y.; Li, X.; Chen, G.; Gao, H.; Guo, L.; Yao, X. A new disecosteroid from an endolichenic fungal stain Sporormiella irregularis (No.71-11-4-1). J. Shenyan Pharm. Univ. 2012, 29, 678–684, 701. [Google Scholar]
- Wang, Y.; Gloer, J.B.; Scott, J.A.; Malloch, D. Terezines A-D: New amino acid-derived bioactive metabolites from the coprophilous fungus Sporormiella teretispora. J. Nat. Prod. 1995, 58, 93–99. [Google Scholar] [CrossRef] [PubMed]
- Weber, H.A.; Swenson, D.C.; Gloer, J.B.; Malloch, D. Similins A and B: new antifungal metabolites from the coprophilous fungus Sporormiella similis. Tetrahedron Lett. 1992, 33, 1157–1160. [Google Scholar] [CrossRef]
- Burgess, B.W.; Clapp-Shapiro, W.H.; Giacobbe, R.A.; Harris, G.H.; Mandela, S.; Polishook, J.; Rattray, M.; Thornton, R.A.; Zink, D.L. Antifungal Agent. GB 2315489 A, 4 February 1998. [Google Scholar]
- Chen, G.D.; Li, Y.J.; Gao, H.; Chen, Y.; Li, X.X.; Li, J.; Guo, L.D.; Cen, Y.Z.; Yao, X.S. New azaphilones and chlorinated phenolic glycosides from Chaetomium elatum with caspase-3 inhibitory activity. Planta Med. 2012, 78, 1683–1689. [Google Scholar] [CrossRef] [PubMed]
- Urbain, A.; Marston, A.; Grilo, L.S.; Bravo, J.; Purev, O.; Purevsuren, B.; Batsuren, D.; Reist, M.; Carrupt, P.A.; Hostettmann, K. Xanthones from Gentianella amarella ssp. acuta with acetylcholinesterase and monoamine oxidase inhibitory activities. J. Nat. Prod. 2008, 71, 895–897. [Google Scholar] [CrossRef] [PubMed]
- Tanaka, T.; Nakashima, T.; Ueda, T.; Tomii, K.; Kouno, I. Facile discrimination of aldose enantiomers by reversed-phase HPLC. Chem. Pharm. Bull. 2007, 55, 899–901. [Google Scholar] [CrossRef] [PubMed]
- Hanumaiah, T.; Rao, B.K.; Rao, C.P.; Rao, G.S.R.; Rao, J.U.M.; Rao, K.V.J.; Marshall, D.S.; Thomson, R.H. Naphthalenes and naphthoquinones from Ventilago species. Phytochemistry 1985, 24, 1811–1815. [Google Scholar] [CrossRef]
- Waser, M.; Lackner, B.; Zuschrader, J.; Muller, N.; Falk, H. An efficient regioselective synthesis of endocrocin and structural related natural anthraquinones starting from emodin. Tetrahedron Lett. 2005, 46, 2377–2380. [Google Scholar] [CrossRef]
- Sanchez, J.F.; Entwistle, R.; Hung, J.H.; Yaegashi, J.; Jain, S.; Chiang, Y.M.; Wang, C.C.C.; Oakley, B.R. Genome-based deletion analysis reveals the prenyl xanthone biosynthesis pathway in Aspergillus nidulans. J. Am. Chem. Soc. 2011, 133, 4010–4017. [Google Scholar] [CrossRef] [PubMed]
- Roensberg, D.; Debbab, A.; Mandi, A.; Vasylyeva, V.; Boehler, P.; Stork, B.; Engelke, L.; Hamacher, A.; Sawadogo, R.; Diederich, M.; et al. Pro-apoptotic and immunostimulatory tetrahydroxanthone dimers from the endophytic fungus Phomopsis longicolla. J. Org. Chem. 2013, 78, 12409–12425. [Google Scholar] [CrossRef] [PubMed]
- Chiang, Y.M.; Szewczyk, E.; Davidson, A.D.; Entwistle, R.; Keller, N.P.; Wang, C.C.C.; Oakley, B.R. Characterization of the Aspergillus nidulans monodictyphenone gene cluster. Appl. Environ. Microbiol. 2010, 76, 2067–2074. [Google Scholar] [CrossRef] [PubMed]
- Schätzle, M.A.; Husain, S.M.; Ferlaino, S.; Müller, M. Tautomers of anthrahydroquinones: Enzymatic reduction and implications for chrysophanol, monodictyphenone, and related xanthone biosyntheses. J. Am. Chem. Soc. 2012, 134, 14742–14745. [Google Scholar]
- Cardona, M.L.; Fernandez, I.; Pedro, J.R.; Serrano, A. Xanthones from Hypericum reflexum. Phytochemistry 1990, 29, 3003–3006. [Google Scholar] [CrossRef]
- Peres, V.; Nagem, T.J.; de Oliveira, F.F. Tetraoxygenated naturally occurring xanthones. Phytochemistry 2000, 55, 683–710. [Google Scholar] [CrossRef]
- Maria Carmen, R.I.; Marston, A.; Hostettmann, K. Xanthones and secoiridoid glucosides of Halenia campanulata. Phytochemistry 1992, 31, 1387–1389. [Google Scholar]
- Hostettmann, K.; Wagner, H. Xanthone glycosides. Phytochemistry 1977, 16, 821–829. [Google Scholar] [CrossRef]
- Huang, Z.; Yang, J.; Lei, F.; She, Z.; Lin, Y. A new xanthone O-glycoside from the mangrove endophytic fungus Phomopsis sp. Chem. Nat. Compd. 2013, 49, 27–30. [Google Scholar] [CrossRef]
- Isaka, M.; Palasarn, S.; Kocharin, K.; Hywel-Jones, N. Comparison of the bioactive secondary metabolites from the scale insect pathogens, anamorph Paecilomyces cinnamomeus and teleomorph Torrubiella luteorostrata. J. Antibiot. 2007, 60, 577–581. [Google Scholar] [CrossRef] [PubMed]
- Kornsakulkarn, J.; Saepua, S.; Srichomthong, K.; Supothina, S.; Thongpanchang, C. New mycotoxins from the scale insect fungus Aschersonia coffeae Henn. Bcc 28712. Tetrahedron 2012, 68, 8480–8486. [Google Scholar] [CrossRef]
- Sample Availability: Samples of the compounds are not available from the authors.



| No. | 1 | ||||
|---|---|---|---|---|---|
| δC, Mult | δH, Mult, (J in Hz) | 1H-1H COSY | HMBC | ROESY | |
| 1 | 21.9, CH3 | 2.39, br s | 3, 15 | 2, 3, 15 | |
| 2 | 149.3, qC | ||||
| 3 | 107.9, CH | 6.92, br s | 1, 15 | 1, 4, 12, 13, 15 | |
| 4 | 155.5, qC | ||||
| 6 | 157.6, qC | ||||
| 7 | 95.5, CH | 6.58, s | 6, 8, 9, 11, 12 | 8-OCH3 | |
| 8 | 160.1, qC | ||||
| 9 | 125.1, qC | ||||
| 10 | 148.5, qC | ||||
| 11 | 101.3 qC | ||||
| 12 | 183.6, qC | ||||
| 13 | 104.7, qC | ||||
| 14 | 159.9, qC | ||||
| 15 | 111.2, CH | 6.65, br s | 1, 3 | 1, 3, 13, 14 | |
| 8-OCH3 | 56.7, CH3 | 3.92, s | 8 | 7, 1′ | |
| 6-OH * | 11.76, br s | ||||
| 14-OH * | 11.64, br s | ||||
| 1′ | 103.6, CH | 4.84, d, (7.6) | 2′ | 9 | 3′, 5′, 8-OCH3 |
| 2′ | 74.2, CH | 3.32, overlapped | 1′, 3′, 2′-OH | 1′, 3′, 4′ | |
| 3′ | 76.5, CH | 3.24, td, (8.6, 4.8) | 2′, 4′, 3′-OH | 2′, 4′ | 1′, 5′ |
| 4′ | 69.9, CH | 3.16, m | 3′, 5′, 4′-OH | 3′, 5′, 6′ | |
| 5′ | 77.3, CH | 3.09, ddd, (9.6, 5.8, 1.8) | 4′, 6′a, 6′b | 1′, 4′ | 1′, 3′ |
| 6′ | 61.1, CH2 | 3.60, ddd, (11.6, 5.6, 1.8), a 3.39, ddd, (11.6, 5.8, 5.6), b | 5′, 6′b, 6′-OH 5′, 6′a, 6′-OH | ||
| 2′-OH | 5.14, d, (4.9) | 2′ | |||
| 3′-OH | 5.01, d, (4.8) | 3′ | |||
| 4′-OH | 4.92, d, (5.1) | 4′ | |||
| 6′-OH | 4.26, t, (5.6) | 6′a, 6′b | |||
| No. | 2 | ||||
|---|---|---|---|---|---|
| δC, Mult | δH, Mult, (J in Hz) | 1H-1H COSY | HMBC | ROESY | |
| 1 | 21.9, CH3 | 2.41, br s | 3, 15 | 2, 3, 15 | |
| 2 | 148.8, qC | ||||
| 3 | 107.2, CH | 6.88, br s | 1, 15 | 1, 4, 13, 15 | |
| 4 | 155.2, qC | ||||
| 5 | 168.8, qC | ||||
| 6 | 136.5, qC | ||||
| 7 | 111.8, CH | 6.99, d, (2.4) | 9 | 5, 8, 9, 11 | 8-OCH3 |
| 8 | 164.8, qC | ||||
| 9 | 101.2, CH | 7.20, d, (2.4) | 7 | 7, 8, 10, 11 | 8-OCH3 |
| 10 | 157.6, qC | ||||
| 11 | 109.7, qC | ||||
| 12 | 179.2, qC | ||||
| 13 | 105.9, qC | ||||
| 14 | 160.5, qC | ||||
| 15 | 111.2, CH | 6.67, br s | 1, 3 | 1, 3, 13, 14 | |
| 8-OCH3 | 56.6, CH3 | 3.96, s | 8 | 7, 9 | |
| 5-OH * | 13.23, br s | ||||
| 14-OH * | 12.33, br s | ||||
© 2016 by the authors. Licensee MDPI, Basel, Switzerland. This article is an open access article distributed under the terms and conditions of the Creative Commons Attribution (CC-BY) license ( http://creativecommons.org/licenses/by/4.0/).
Share and Cite
Yang, B.-J.; Chen, G.-D.; Li, Y.-J.; Hu, D.; Guo, L.-D.; Xiong, P.; Gao, H. A New Xanthone Glycoside from the Endolichenic Fungus Sporormiella irregularis. Molecules 2016, 21, 764. https://doi.org/10.3390/molecules21060764
Yang B-J, Chen G-D, Li Y-J, Hu D, Guo L-D, Xiong P, Gao H. A New Xanthone Glycoside from the Endolichenic Fungus Sporormiella irregularis. Molecules. 2016; 21(6):764. https://doi.org/10.3390/molecules21060764
Chicago/Turabian StyleYang, Bin-Jie, Guo-Dong Chen, Yan-Jun Li, Dan Hu, Liang-Dong Guo, Ping Xiong, and Hao Gao. 2016. "A New Xanthone Glycoside from the Endolichenic Fungus Sporormiella irregularis" Molecules 21, no. 6: 764. https://doi.org/10.3390/molecules21060764
APA StyleYang, B.-J., Chen, G.-D., Li, Y.-J., Hu, D., Guo, L.-D., Xiong, P., & Gao, H. (2016). A New Xanthone Glycoside from the Endolichenic Fungus Sporormiella irregularis. Molecules, 21(6), 764. https://doi.org/10.3390/molecules21060764

