Abstract
In this study, in order to find novel biologically active pyrazole oxime compounds, a series of pyrazole oxime derivatives containing a 5-trifluoromethylpyridyl moiety were synthesized. Preliminary bioassays indicated that most title compounds were found to display good to excellent acaricidal activity against Tetranychus cinnabarinus at a concentration of 200 μg/mL, and some designed compounds still showed excellent acaricidal activity against Tetranychus cinnabarinus at the concentration of 10 μg/mL, especially since the inhibition rates of compounds 8e, 8f, 8l, 8m, 8n, 8p, and 8q were all 100.00%. Interestingly, some target compounds exhibited moderate to good insecticidal activities against Plutella xylostella and Aphis craccivora at a concentration of 200 μg/mL; furthermore, compounds 8e and 8l possessed outstanding insecticidal activities against Plutella xylostella under the concentration of 50 μg/mL.
1. Introduction
Agrochemicals, together with genetically modified insect-resistant crops and biological plant protection methods, prevent severe harvest losses caused by phytophagous insects and mites [1,2,3]. Over the past decades, a great variety of chemical pesticides have been developed and used in the protection of crops, among which pyrazole derivatives occupy a considerable proportion in insecticides, germicides and acaricides [4,5,6,7]. As a well-known pyrazole-based pesticide developed by Nihon Nohyaku Co. in 1991, Fenpyroximate (Figure 1) has been widely used in protecting various crops due to its high efficiency against agricultural mites such as Polyphagotarsonemus latus Banks and Tetranychus urticae Koch, and its low toxicity to mammals [8]. Unfortunately, continuous application of Fenpyroximate in recent years led to the occurrence of resistance from some field populations of T. urticae [9]. Researchers are therefore propelled to search for new compounds that are highly active against phytophagous mites, and the development of novel analogues of Fenpyroximate is extraordinarily focused on [10,11,12].
Figure 1.
The design of the target molecules.
Fenpyroximate is structurally characterized by the unique 4-pyrazole oxime, which is recognized as an irreplaceable pharmacophore for acaricidal or insecticidal activities. In the process of developing new Fenpyroximate derivatives, modification of phenyl B (Figure 1) and its substituents was mainly concentrated on with the 4-pyrazole oxime moiety retained. For example, Dai and coworkers reported some acaricidal or insecticidal Fenpyroximate mimics that were obtained by replacing the phenyl B (Figure 1) with thiazole [13], or a pyridyl group [14]. Many of these efforts succeeded in getting some heterocycle-based pyrazole oxime compounds that displayed promising biological activities. Therefore, structural optimization of the phenyl B of Fenpyroximate (Figure 1) to explore novel bioactive molecules is a reasonable design.
As we know, due to its special aromaticity, basicity and hydrophilicity, a pyridyl group is a very commonly used active moiety in pesticidal molecules [15,16,17,18,19,20,21]. In addition, many investigations have indicated that introducing CF3 into heterocyclic molecules mostly results in the improvement of physical, chemical and biological properties [22,23]. In fact, it has been proved that CF3-substituted pyridine is a highly efficient functional group in active pesticidal molecules, for instance neonicotinoids insecticide Sulfoxaflor [24], and dichloropropene insecticide Pyridalyl [25], each of which has a similar trifluoromethyl pyridyl fragment.
Encouraged by these reports, in this study we integrated the 5-trifluoromethyl pyridyl unit into the scaffold of Fenpyroximate for the first time, and the substituents on the 5-position of the pyrazole ring are screened and optimized (Figure 1). Insecticidal and acaricidal activities of the target compounds were tested accordingly.
2. Results and Discussion
2.1. Chemistry
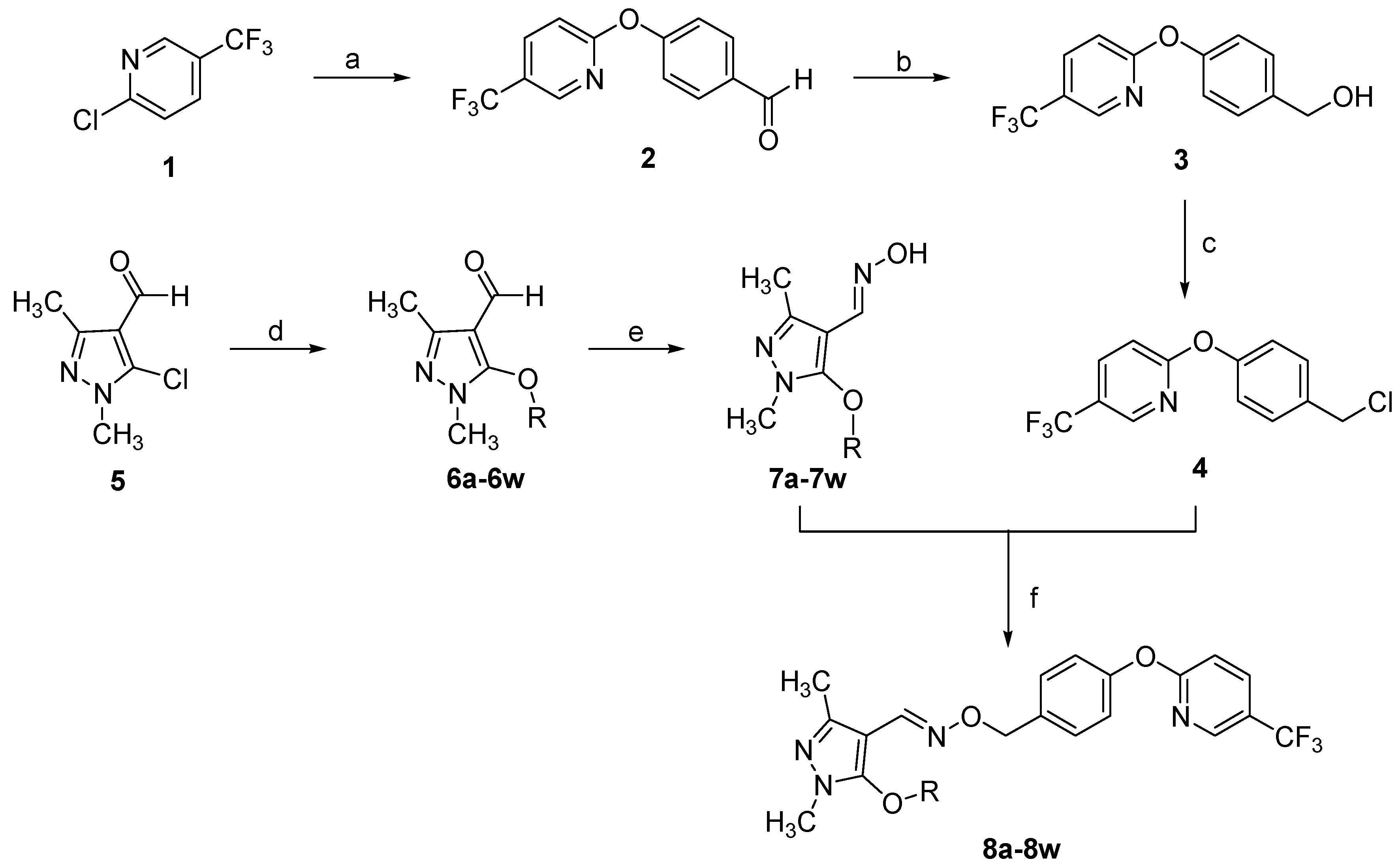
As shown in Scheme 1, 23 pyrazole oxime derivatives bearing a 5-trifluoromethyl pyridyl moiety were conveniently synthesized. The synthon 4 was synthesized from commercially available 2-chloro-5-trifluoromethylpyridine (1) as shown in Scheme 1. Compound 1 reacted with 4-hydroxybenzaldehyde using Cs2CO3 as the base and N,N-dimethylformamide as the solvent to give intermediate 2 in 75% yield. The next reaction with NaBH4 afforded compound 3 in 90% yield. Further chlorination of compound 3 obtained intermediate 4 in satisfactory yield. The addition of a few drops of N,N-dimethylformamide accelerated the chlorination reaction. The pyrazole oximes 7a–7w were prepared via two steps from pyrazole carbaldehyde 5. Benefitting from the activated C-Cl bond by the electron-withdrawing formyl group at the 4-position of the pyrazole ring, the introduction of either alkyl alcohol or substituted phenol nucleophiles into 5-chloro-1,3-dimethyl-1H-pyrazole-4-carbaldehyde (5) was performed smoothly and successfully, and afforded 5-substituted pyrazole-4-carbaldehydes (6a–6w). The condensation of intermediates 4 and 7a–7w proceeded smoothly with Cs2CO3 as the base and acetonitrile as the solvent to provide the title compounds 8a–8w in good yields. The structures of all the target compounds were analyzed and confirmed by 1H-NMR, 13C-NMR and elemental analyses.
Scheme 1.
Synthesis of the title compounds 8a–8w. Reagents and conditions: (a) 4-hydroxybenzaldehyde, Cs2CO3, N,N-dimethylformamide, 105 °C for 10 h, 75% for 2; (b) NaBH4, ethanol, 0 °C for 3 h, 90% for 3; (c) thionyl chloride, N,N-dimethylformamide, dichloromethane, r.t. for 8 h, 82% for 4; (d) NaOR (R = Me, Et and t-Bu), ROH, 30 °C for 3 h, 45 °C for 2 h, 41%–49% for 6a–6c; NaOR (R = substituted phenyl), dimethylsulfoxide, 105 °C for 4–15 h, 60%–81% for 6d–6w; (e) hydroxylamine hydrochloride, potassium hydroxide, methanol or ethanol, reflux for 6–16 h, 65%–87% for 7a–7w; (f) compound 4, Cs2CO3, acetonitrile, reflux for 10–18 h, 44%–63% for 8a–8w.
2.2. Biological Activities
2.2.1. Acaricidal Activity
The acaricidal activity of all the title compounds against Tetranychus cinnabarinus was evaluated and the data are listed in Table 1. The results indicated that 5-alkoxy pyrazole derivatives 8a, 8b and 8c possessed no acaricidal activity at a concentration of 200 μg/mL. For the other 5-aryloxy-substituted compounds 8d–8w, an obvious substituent effect was found on the phenyl ring C. When the substituent at the 2-position of phenyl C (Figure 1) was halogen (8d, 8g and 8j) or methoxy (8o), it would reduce the acaricidal activity, and the mortality obviously declined depending on the concentration and disappeared at the concentration of 10 μg/mL. Moreover, 3-substituted phenyl C (Figure 1) affected the acaricidal activities in a similar manner. The introduction of halogen atoms (8h and 8k) led to the loss of acaricidal activity, except for that of 3-fluoro derivative (8e). As well as unsubstituted compound 8n, compound 8e retained 100.00% mortality, even at 10 μg/mL. The results seem to show that compared with the inductive effect, steric hindrance of the 2- or 3-position on phenyl C (Figure 1) plays a more important role in regulating the acaricidal activity. In contrast, it exhibited a good tolerance of 4-substituents on phenyl C (Figure 1 and Table 1), because the introduction of halogen atoms (8f, 8l and 8m), methoxy (8p), methyl (8q) or trifluoromethoxy (8s) did not affect the acaricidal activities at concentrations ranging from 200 μg/mL to 10 μg/mL. However, 4-tert butyl compound 8r was an exception, whose activity against T. cinnabarinus disappeared completely at a concentration of 200 μg/mL. Additionally, among disubstituted derivatives, compounds 8t and 8w displayed relatively higher acaricidal activity than compounds 8u and 8v from the concentrations of 200 μg/mL to 50 μg/mL.
Table 1.
Acaricidal activities of compounds 8a–8w (mortality, %).
2.2.2. Insecticidal Activities
Besides acaricidal potencies, the insecticidal activities of the new compounds were also explored on Plutella xylostella and Aphis craccivora. As shown in Table 2, some of the obtained compounds displayed good insecticidal activities against P. xylostella. For instance, the mortalities of compounds 8e, 8f, 8i, 8l, 8m, 8n, 8p, and 8q against P. xylostella were all 100.00% at 200 μg/mL. Moreover, some of them showed good insecticidal activities against P. xylostella when the concentration was reduced to 50 μg/mL; compounds 8e and 8l possessed relatively higher insecticidal activities against P. xylostella than other derivatives. Some target compounds also demonstrated moderate to good insecticidal activities against A. craccivora at 200 μg/mL; for example, compounds 8e, 8h, 8i, and 8r had 100.00%, 85.33%, 95.28%, and 100.00% inhibition rates, respectively. In fact, similar to that of acaricidal activities, the compounds possessing more potent insecticidal abilities against P. xylostella were 4-substituted derivatives with compound 8e as the only exception. When it comes to A. craccivora, the structure-activity relationships were not obvious. Overall, they were more potent against P. xylostella than against A. craccivora.
Table 2.
Insecticidal activities of compounds 8a–8w (mortality, %).
All the above data implied that structural modification of Fenpyroximate by a 5-trifluoromethyl pyridyl unit could produce some new compounds with good biological activities. To get more active derivatives, further analogue synthesis and structural optimization are well under way.
3. Experimental Section
3.1. Chemistry
3.1.1. General Procedures
All reagents were chemically pure and solvents were dried according to standard methods. The 1H-NMR and 13C-NMR spectra were obtained on a Bruker AV400 spectrometer (400 MHz, 1H; 100 MHz, 13C, Bruker, Billerica, MA, USA) in CDCl3 with tetramethylsilane as the internal standard. The melting points were determined on an X-4 binocular microscope melting point apparatus (Beijing Tech Instrument Co., Beijing, China) and are uncorrected. Elemental analyses were determined on a Yanaco CHN Corder MT-3 elemental analyzer (Yanaco, Kyoto, Japan). The reactions were monitored by analytical thin-layer chromatography (TLC) with ultraviolet (UV) light and TLC was carried out on silica gel GF254. The intermediates 5-chloropyrazole aldehyde 5 and 5-alkoxy pyrazole aldehyde 6a–6c were synthesized according to the reported procedures [26]. The 5-Substituted pyrazole oximes 7a–7w were prepared by the literature method [11].
3.1.2. Synthesis of 4-(5-Trifluoromethylpyridin-2-yloxy)benzaldehyde (2)
To a solution of 4-hydroxybenzaldehyde (6.4 g, 52.5 mmol) in N,N-dimethylformamide (150 mL) was added Cs2CO3 (16.3 g, 50 mmol), the mixture was then stirred for 20 min at room temperature, followed by adding compound 1 (9.1 g, 50 mmol). The resulting mixture was then heated slowly to 105 °C and stirred for 10 h. After cooled to room temperature, the solvent was evaporated in vacuo. The slurry was then distributed in water (150 mL) and ethyl acetate (100 mL), and the separated water phase was then extracted with ethyl acetate (3 × 50 mL). The combined organic layer was washed by water and brine, dried over anhydrous Na2SO4, and concentrated in rotatory evaporator to afford compound 2 in 75% yield as a white solid, which was used for the following transformations without further purification.
3.1.3. Synthesis of 4-(5-Trifluoromethylpyridin-2-yloxy)phenylmethanol (3)
Intermediate 2 (13.4 g, 50 mmol) was dissolved in ethanol (100 mL) and cooled to 0 °C. To the solution was added NaBH4 (3.8 g, 100 mmol) in portions over 30 min. After being stirred at 0 °C for 3 h, the reaction mixture was poured into water, followed by adding 5% hydrochloric acid to adjust pH to 5–6. The resulting solution was extracted by chloroform (3 × 50 mL), dried over anhydrous Na2SO4 and concentrated under reduced pressure to give compound 3 in 90% yield, which was used in the next procedure without further purification.
3.1.4. Synthesis of 2-(4-Chloromethylphenoxy)-5-(trifluoromethyl)pyridine (4)
A solution of intermediate 3 (13.5 g, 50 mmol) in dichloromethane (80 mL) was cooled in ice-water bath followed by adding thionyl chloride (8.9 g, 74.8 mmol) dropwise over 20 min. Then a few drops of N,N-dimethylformamide was added thereto. The resulting solution was stirred at room temperature for 8 h. The reaction mixture was quenched by trash ice, then the organic phase was separated, washed by water and saturated NaHCO3, dried over anhydrous Na2SO4, and evaporated in vacuo to produce compound 4 (yield 82%) as a white solid; 1H-NMR (CDCl3): δ 8.36 (s, 1H, Py-H), 7.84 (dd, J1 = 8.8 Hz, J2 = 2.4 Hz, 1H, Py-H), 7.38 (d, J = 8.4 Hz, 2H, Ar-H), 7.07 (d, J = 8.4 Hz, 2H, Ar-H), 6.96 (d, J = 8.8 Hz, 1H, Py-H), 4.54 (s, 2H, CH2). Anal. Calcd for C13H9ClF3NO: C 54.28; H 3.15; N 4.87. Found: C 54.41; H 3.03; N 4.70.
3.1.5. General Procedure for the Preparation of 6d–6w
To a solution of substituted phenol (26 mmol) in absolute ethanol (50 mL) was added sodium hydroxide (26 mmol) at room temperature. The mixture was heated to reflux for 3–5 h. After the removal of the solvent, the residue was dissolved in dimethylsulfoxide (50 mL), to the resulting mixture was added 5-chloro-1,3-dimethyl-1H-pyrazole-4-carbaldehyde (5) (20 mmol) in portions. Then the solution was heated to 105 °C and maintained at that temperature for 4–15 h and cooled to room temperature. The reaction mixture was poured into water (100 mL) and extracted with ethyl acetate (3 × 50 mL). The organic layer was washed with water (3 × 25 mL) and dried over anhydrous Na2SO4, filtered and evaporated to produce the corresponding carbaldehydes 6d–6w, with yields ranging from 60% to 81% [11].
3.1.6. General Procedure for the Preparation of 8a–8w
To a stirred solution of intermediate 4 (7.2 mmol), compound 7 (6 mmol) in anhydrous acetonitrile (30 mL) was added Cs2CO3 (7.2 mmol) at room temperature, the resulting mixture was heated to reflux for 10–18 h. After cooled to room temperature, the reaction mixture was filtered. After most of the solvent had been evaporated under reduced pressure, the residue was admixed with water (100 mL) and extracted with dichloromethane (3 × 30 mL). The combined organic layer was washed with water (3 × 30 mL), and dried over anhydrous Na2SO4. The solvent was removed using a rotary evaporator to give a residue, which was then separated by silica gel column chromatography using petroleum ether and ethyl acetate (v/v = 30:1) as eluent to afford the target compounds 8a–8w, with yields ranging from 44% to 63%. All 23 pyrazole oxime derivatives 8a–8w were novel and the physical and spectral data for these compounds are listed below.
1,3-Dimethyl-5-methyloxy-1H-pyrazole-4-carbaldehyde-O-[4-(5-trifluoromethylpyridin-2-yloxy)phenylmethyl]-oxime (8a): White oil, yield 52%. 1H-NMR (CDCl3): δ 8.44 (s, 1H, Py-H), 8.08 (s, 1H, CH=N), 7.90 (d, J = 8.8 Hz, 1H, Py-H), 7.49 (d, J = 7.6 Hz, 2H, Ar-H and Py-H), 7.15 (d, J = 7.2 Hz, 2H, Ar-H), 7.01 (d, J = 8.8 Hz, 1H, Ar-H), 5.16 (s, 2H, CH2), 3.94 (s, 3H, OCH3), 3.62 (s, 3H, N-CH3), 2.28 (s, 3H, CH3); 13C-NMR (CDCl3): δ 165.8, 153.0, 152.8, 146.8, 145.5, 145.4, 141.6, 136.7, 136.6, 135.2, 130.0, 121.4, 111.3, 97.4, 75.4, 61.7, 33.6, 14.0. Anal. Calcd for C20H19F3N4O3: C 57.14; H 4.56; N 13.33. Found: C 57.28; H 4.39; N 13.16.
1,3-Dimethyl-5-ethyloxy-1H-pyrazole-4-carbaldehyde-O-[4-(5-trifluoromethylpyridin-2-yloxy)phenylmethyl]-oxime (8b). White solid, yield 55%, mp 48–50 °C. 1H-NMR (CDCl3): δ 8.42 (s, 1H, Py-H), 8.04 (s, 1H, CH=N), 7.88 (d, J = 8.8 Hz, 1H, Py-H), 7.47 (d, J = 7.2 Hz, 2H, Ar-H and Py-H), 7.14 (d, J = 6.8 Hz, 2H, Ar-H), 6.99 (d, J = 8.4 Hz, 1H, Ar-H), 5.14 (s, 2H, CH2), 4.16 (q, J = 6.8 Hz, 2H, CH2), 3.60 (s, 3H, N-CH3), 2.26 (s, 3H, CH3), 1.32 (t, J = 6.0 Hz, 3H, CH3); 13C-NMR (CDCl3): δ 165.8, 152.8, 152.1, 146.8, 145.4, 145.3, 141.7, 136.7, 136.6, 135.3, 130.0, 121.4, 111.3, 97.8, 75.3, 70.6, 33.6, 15.3, 14.0. Anal. Calcd for C21H21F3N4O3: C 58.06; H 4.87; N 12.90. Found: C 58.23; H 4.69; N 12.76.
1,3-Dimethyl-5-tert-butyloxy-1H-pyrazole-4-carbaldehyde-O-[4-(5-trifluoromethylpyridin-2-yloxy)phenylmethyl]-oxime (8c). White solid, yield 50%, mp 64–65 °C. 1H-NMR (CDCl3): δ 8.45 (s, 1H, Py-H), 8.01 (s, 1H, CH=N), 7.90 (d, J = 8.4 Hz, 1H, Py-H), 7.49 (d, J = 8.0 Hz, 2H, Ar-H and Py-H), 7.15 (d, J = 7.2 Hz, 2H, Ar-H), 7.01 (d, J = 8.8 Hz, 1H, Ar-H), 5.15 (s, 2H, CH2), 3.62 (s, 3H, N-CH3), 2.35 (s, 3H, CH3), 1.38 (s, 9H, t-C4H9); 13C-NMR (CDCl3): δ 165.8, 152.7, 150.1, 146.6, 145.5, 145.4, 143.0, 136.7, 135.3, 130.0, 125.1, 121.3, 111.3, 101.6, 85.4, 75.3, 34.6, 29.0, 15.2. Anal. Calcd for C23H25F3N4O3: C 59.73; H 5.45; N 12.11. Found: C 59.62; H 5.58; N 12.30.
1,3-Dimethyl-5-(2-fluorophenoxy)-1H-pyrazole-4-carbaldehyde-O-[4-(5-trifluoromethylpyridin-2-yloxy)phenylmethyl]-oxime (8d). Yellow solid, yield 48%, mp 56–58 °C. 1H-NMR (CDCl3): δ 8.46 (s, 1H, Py-H), 7.91 (d, J = 8.4 Hz, 1H, Py-H), 7.84 (s, 1H, CH=N), 7.37 (d, J = 6.8 Hz, 2H, Ar-H and Py-H), 7.01–7.22 (m, 6H, ArH), 6.78–6.82 (m, 1H, ArH), 5.01 (s, 2H, CH2), 3.68 (s, 3H, N-CH3), 2.38 (s, 3H, CH3). 13C-NMR (CDCl3): δ 165.8, 153.2, 152.8, 150.8, 147.3, 147.0, 145.5, 145.4, 144.3, 144.2, 140.4, 136.7, 135.0, 130.0, 124.6, 124.5, 121.3, 117.2, 117.1, 116.8, 111.3, 99.9, 75.5, 34.2, 14.5. Anal. Calcd for C25H20F4N4O3: C 60.00; H 4.03; N 11.20. Found: C 60.19; H 3.85; N 11.02.
1,3-Dimethyl-5-(3-fluorophenoxy)-1H-pyrazole-4-carbaldehyde-O-[4-(5-trifluoromethylpyridin-2-yloxy)phenylmethyl]-oxime (8e). White oil, yield 51%. 1H-NMR (CDCl3): δ 8.45 (s, 1H, Py-H), 7.91 (d, J = 8.8 Hz, 1H, Py-H), 7.86 (s, 1H, CH=N), 7.37 (d, J = 7.2 Hz, 2H, Ar-H and Py-H), 7.25–7.31 (m, 1H, ArH), 7.11 (d, J = 6.8 Hz, 2H, Ar-H), 7.01 (d, J = 8.4 Hz, 1H, Ar-H), 6.65–6.85 (m, 3H, ArH), 5.03 (s, 2H, CH2), 3.63 (s, 3H, N-CH3), 2.40 (s, 3H, CH3). 13C-NMR (CDCl3): δ 165.8, 164.8, 162.3, 157.6, 152.8, 147.0, 145.5, 140.5, 136.7, 134.9, 130.9, 130.8, 130.0, 125.1, 121.3, 111.3, 110.9, 110.8, 110.6, 103.7, 103.4, 100.4, 75.5, 34.2, 14.6. Anal. Calcd for C25H20F4N4O3: C 60.00; H 4.03; N 11.20. Found: C 59.85; H 4.21; N 11.39.
1,3-Dimethyl-5-(4-fluorophenoxy)-1H-pyrazole-4-carbaldehyde-O-[4-(5-trifluoromethylpyridin-2-yloxy)phenylmethyl]-oxime (8f). White solid, yield 56%, mp 46–48 °C. 1H-NMR (CDCl3): δ 8.44 (s, 1H, Py-H), 7.90 (d, J = 8.4 Hz, 1H, Py-H), 7.83 (s, 1H, CH=N), 7.36 (d, J = 8.0 Hz, 2H, Ar-H and Py-H), 7.11 (d, J = 8.4 Hz, 2H, Ar-H), 6.98–7.02 (m, 3H, ArH), 6.86–6,88 (m, 2H, ArH), 5.02 (s, 2H, CH2), 3.62 (s, 3H, N-CH3), 2.38 (s, 3H, CH3). 13C-NMR (CDCl3): δ 165.8, 160.0, 157.5, 152.8, 152.7, 147.7, 147.0, 145.5, 145.4, 140.6, 136.7, 135.0, 130.0, 125.1, 121.3, 120.0, 116.6, 116.5, 116.4, 111.4, 100.1, 75.4, 34.2, 14.6. Anal. Calcd for C25H20F4N4O3: C 60.00; H 4.03; N 11.20. Found: C 60.17; H 3.89; N 11.08.
1,3-Dimethyl-5-(2-chlorophenoxy)-1H-pyrazole-4-carbaldehyde-O-[4-(5-trifluoromethylpyridin-2-yloxy)phenylmethyl]-oxime (8g). White solid, yield 53%, mp 46–48 °C. 1H-NMR (CDCl3): δ 8.46 (s, 1H, Py-H), 7.91 (d, J = 8.8 Hz, 1H, Py-H), 7.82 (s, 1H, CH=N), 7.46 (d, J = 7.6 Hz, 1H, Ar-H), 7.36 (d, J = 7.6 Hz, 2H, Ar-H and Py-H), 7.05–7.19 (m, 4H, ArH), 7.01 (d, J = 8.8 Hz, 1H, Ar-H), 6.71 (d, J = 8.0 Hz, 1H, Ar-H), 5.01 (s, 2H, CH2), 3.66 (s, 3H, N-CH3), 2.38 (s, 3H, CH3). 13C-NMR (CDCl3): δ 165.8, 152.8, 152.2, 147.1, 147.0, 145.6, 145.5, 145.4, 140.3, 136.7, 134.9, 131.0, 130.1, 128.0, 124.6, 122.8, 121.3, 115.6, 111.3, 100.2, 75.5, 34.2, 14.5. Anal. Calcd for C25H20ClF3N4O3: C 58.09; H 3.90; N 10.84. Found: C 58.22; H 3.78; N 10.65.
1,3-Dimethyl-5-(3-chlorophenoxy)-1H-pyrazole-4-carbaldehyde-O-[4-(5-trifluoromethylpyridin-2-yloxy)phenylmethyl]-oxime (8h). White oil, yield 55%. 1H-NMR (CDCl3): δ 8.46 (s, 1H, Py-H), 7.91 (d, J = 8.4 Hz, 1H, Py-H), 7.85 (s, 1H, CH=N), 7.36 (d, J = 7.6 Hz, 2H, Ar-H and Py-H), 7.23–7.27 (m, 1H, ArH), 7.01–7.13 (m, 4H, ArH), 6.93 (s, 1H, Ar-H), 6.80 (d, J = 8.4 Hz, 1H, Ar-H), 5.02 (s, 2H, CH2), 3.63 (s, 3H, N-CH3), 2.39 (s, 3H, CH3). 13C-NMR (CDCl3): δ 165.8, 157.2, 152.8, 147.1, 146.9, 145.5, 145.4, 140.4, 136.7, 135.5, 134.9, 130.8, 130.1, 125.1, 124.0, 121.3, 116.0, 113.6, 111.3, 100.4, 75.5, 34.3, 14.5. Anal. Calcd for C25H20ClF3N4O3: C 58.09; H 3.90; N 10.84. Found: C 58.18; H 3.81; N 10.72.
1,3-Dimethyl-5-(4-chlorophenoxy)-1H-pyrazole-4-carbaldehyde-O-[4-(5-trifluoromethylpyridin-2-yloxy)phenylmethyl]-oxime (8i). White solid, yield 58%, mp 67–69 °C. 1H-NMR (CDCl3): δ 8.46 (s, 1H, Py-H), 7.91 (d, J = 8.4 Hz, 1H, Py-H), 7.83 (s, 1H, CH=N), 7.35 (d, J = 8.0 Hz, 2H, Ar-H and Py-H), 7.29 (d, J = 8.4 Hz, 2H, Ar-H), 7.12 (d, J = 7.6 Hz, 2H, Ar-H), 7.03 (d, J = 8.4 Hz, 1H, Ar-H), 6.85 (d, J = 8.4 Hz, 2H, Ar-H), 5.02 (s, 2H, CH2), 3.62 (s, 3H, N-CH3), 2.38 (s, 3H, CH3). 13C-NMR (CDCl3): δ 165.8, 155.2, 152.8, 147.2, 147.0, 145.5, 145.4, 140.5, 136.7, 134.9, 130.0, 129.9, 128.7, 121.3, 119.2, 116.6, 111.4, 100.3, 75.5, 34.2, 14.5. Anal. Calcd for C25H20ClF3N4O3: C 58.09; H 3.90; N 10.84. Found: C 57.93; H 4.06; N 10.98.
1,3-Dimethyl-5-(2-bromophenoxy)-1H-pyrazole-4-carbaldehyde-O-[4-(5-trifluoromethylpyridin-2-yloxy)phenylmethyl]-oxime (8j). White oil, yield 47%. 1H-NMR (CDCl3): δ 8.46 (s, 1H, Py-H), 7.91 (d, J = 8.4 Hz, 1H, Py-H), 7.82 (s, 1H, CH=N), 7.64 (d, J = 8.0 Hz, 1H, Ar-H), 7.36 (d, J = 7.6 Hz, 2H, Ar-H and Py-H), 7.10–7.24 (m, 3H, ArH), 7.02 (d, J = 8.0 Hz, 2H, Ar-H), 6.68 (d, J = 8.0 Hz, 1H, Ar-H), 5.01 (s, 2H, CH2), 3.66 (s, 3H, N-CH3), 2.39 (s, 3H, CH3). 13C-NMR (CDCl3): δ 165.8, 153.1, 152.8, 147.2, 147.0, 145.5, 140.3, 136.7, 134.0, 130.1, 128.8, 125.0, 121.3, 115.4, 111.4, 111.3, 100.2, 75.5, 34.3, 14.5. Anal. Calcd for C25H20BrF3N4O3: C 53.49; H 3.59; N 9.98. Found: C 53.62; H 3.40; N 9.80.
1,3-Dimethyl-5-(3-bromophenoxy)-1H-pyrazole-4-carbaldehyde-O-[4-(5-trifluoromethylpyridin-2-yloxy)phenylmethyl]-oxime (8k). White oil, yield 50%. 1H-NMR (CDCl3): δ 8.46 (s, 1H, Py-H), 7.91 (d, J = 8.4 Hz, 1H, Py-H), 7.85 (s, 1H, CH=N), 7.36 (d, J = 8.0 Hz, 2H, Ar-H and Py-H), 7.26 (d, J = 7.6 Hz, 1H, Ar-H), 7.09–7.21 (m, 4H, ArH), 7.02 (d, J = 8.4 Hz, 1H, Ar-H), 6.85 (d, J = 8.0 Hz, 1H, Ar-H), 5.02 (s, 2H, CH2), 3.63 (s, 3H, N-CH3), 2.39 (s, 3H, CH3). 13C-NMR (CDCl3): δ 165.8, 157.2, 152.8, 147.1, 146.8, 145.5, 145.4, 140.4, 136.7, 134.9, 131.1, 130.0, 126.9, 125.0, 123.2, 121.3, 118.9, 114.0, 111.3, 100.4, 75.5, 34.3, 14.5. Anal. Calcd for C25H20BrF3N4O3: C 53.49; H 3.59; N 9.98. Found: C 53.38; H 3.72; N 10.13.
1,3-Dimethyl-5-(4-bromophenoxy)-1H-pyrazole-4-carbaldehyde-O-[4-(5-trifluoromethylpyridin-2-yloxy)phenylmethyl]-oxime (8l). White solid, yield 53%, mp, 68–70 °C. 1H-NMR (CDCl3): δ 8.46 (s, 1H, Py-H), 7.92 (d, J = 8.8 Hz, 1H, Py-H), 7.84 (s, 1H, CH=N), 7.43 (d, J = 7.2 Hz, 2H, Ar-H), 7.35 (d, J = 7.2 Hz, 2H, Ar-H and Py-H), 7.12 (d, J = 7.2 Hz, 2H, Ar-H), 7.03 (d, J = 8.8 Hz, 1H, Ar-H), 6.80 (d, J = 7.2 Hz, 2H, Ar-H), 5.02 (s, 2H, CH2), 3.63 (s, 3H, N-CH3), 2.38 (s, 3H, CH3). 13C-NMR (CDCl3): δ 165.8, 155.8, 152.8, 147.1, 145.5, 145.4, 140.4, 136.7, 136.6, 134.9, 132.9, 130.1, 121.3, 117.1, 116.1, 111.4, 109.2, 100.3, 75.5, 34.2, 14.5. Anal. Calcd for C25H20BrF3N4O3: C 53.49; H 3.59; N 9.98. Found: C 53.32; H 3.76; N 10.09.
1,3-Dimethyl-5-(4-iodophenoxy)-1H-pyrazole-4-carbaldehyde-O-[4-(5-trifluoromethylpyridin-2-yloxy)phenylmethyl]-oxime (8m). White solid, yield 55%, mp 59–60 °C. 1H-NMR (CDCl3): δ 8.46 (s, 1H, Py-H), 7.91 (d, J = 8.8 Hz, 1H, Py-H), 7.83 (s, 1H, CH=N), 7.61 (d, J = 7.2 Hz, 2H, Ar-H), 7.35 (d, J = 7.6 Hz, 2H, Ar-H and Py-H), 7.12 (d, J = 6.8 Hz, 2H, Ar-H), 7.03 (d, J = 8.4 Hz, 1H, Ar-H), 6.69 (d, J = 7.2 Hz, 2H, Ar-H), 5.01 (s, 2H, CH2), 3.61 (s, 3H, N-CH3), 2.38 (s, 3H, CH3). 13C-NMR (CDCl3): δ 165.8, 156.6, 152.8, 147.0, 146.9, 145.5, 145.4, 140.4, 138.8, 136.7, 134.9, 130.1, 125.1, 121.3, 117.6, 111.4, 100.3, 86.4, 75.5, 34.2, 14.5. Anal. Calcd for C25H20F3IN4O3: C 49.36; H 3.31; N 9.21. Found: C 49.51; H 3.16; N 9.03.
1,3-Dimethyl-5-phenoxy-1H-pyrazole-4-carbaldehyde-O-[4-(5-trifluoromethylpyridin-2-yloxy)phenylmethyl]-oxime (8n). White solid, yield 56%, mp 45–46 °C. 1H-NMR (CDCl3): δ 8.46 (s, 1H, Py-H), 7.91 (d, J = 8.4 Hz, 1H, Py-H), 7.84 (s, 1H, CH=N), 7.34–7.39 (m, 4H, ArH and Py-H), 7.01–7.12 (m, 4H, ArH), 6.92 (d, J = 7.6 Hz, 2H, Ar-H), 5.03 (s, 2H, CH2), 3.63 (s, 3H, N-CH3), 2.40 (s, 3H, CH3). 13C-NMR (CDCl3): δ 165.8, 156.8, 152.8, 147.8, 146.9, 145.5, 145.4, 140.8, 136.7, 135.0, 130.1, 130.0, 125.1, 123.7, 121.3, 115.3, 111.3, 100.3, 75.5, 34.2, 14.8. Anal. Calcd for C25H21F3N4O3: C 62.24; H 4.39; N 11.61. Found: C 62.41; H 4.23; N 11.42.
1,3-Dimethyl-5-(2-methoxyphenoxy)-1H-pyrazole-4-carbaldehyde-O-[4-(5-trifluoromethylpyridin-2-yloxy)phenylmethyl]-oxime (8o). White solid, yield 52%, mp 55–57 °C. 1H-NMR (CDCl3): δ 8.45 (s, 1H, Py-H), 7.90 (d, J = 8.8 Hz, 1H, Py-H), 7.80 (s, 1H, CH=N), 7.38 (d, J = 8.0 Hz, 2H, Ar-H and Py-H), 7.00–7.12 (m, 5H, ArH), 6.71–6.88 (m, 2H, ArH), 5.03 (s, 2H, CH2), 3.91 (s, 3H, OCH3), 3.65 (s, 3H, N-CH3), 2.38 (s, 3H, CH3). 13C-NMR (CDCl3): δ 165.8, 152.7, 149.0, 148.5, 146.8, 145.8, 145.5, 145.4, 140.9, 136.7, 136.6, 135.1, 130.1, 124.6, 121.3, 121.0, 115.9, 112.8, 111.3, 99.6, 75.4, 56.1, 34.2, 14.9. Anal. Calcd for C26H23F3N4O4: C 60.93; H 4.52; N 10.93. Found: C 60.78; H 4.71; N 11.06.
1,3-Dimethyl-5-(4-methoxyphenoxy)-1H-pyrazole-4-carbaldehyde-O-[4-(5-trifluoromethylpyridin-2-yloxy)phenylmethyl]-oxime (8p). White solid, yield 63%, mp 76–78 °C. 1H-NMR (CDCl3): δ 8.45 (s, 1H, Py-H), 7.90 (d, J = 8.8 Hz, 1H, Py-H), 7.82 (s, 1H, CH=N), 7.39 (d, J = 8.4 Hz, 2H, Ar-H and Py-H), 7.11 (d, J = 8.4 Hz, 2H, Ar-H), 7.01 (d, J = 8.4 Hz, 1H, Ar-H), 6.85 (s, 4H, Ar-H), 5.04 (s, 2H, CH2), 3.77 (s, 3H, OCH3), 3.62 (s, 3H, N-CH3), 2.38 (s, 3H, CH3). 13C-NMR (CDCl3): δ 165.8, 155.8, 152.8, 150.7, 148.5, 146.9, 145.5, 145.4, 140.9, 136.7, 136.6, 135.0, 130.1, 121.3, 116.4, 114.9, 111.3, 99.9, 75.4, 55.7, 34.2, 14.8. Anal. Calcd for C26H23F3N4O4: C 60.93; H 4.52; N 10.93. Found: C 61.04; H 4.35; N 10.78.
1,3-Dimethyl-5-(4-methylphenoxy)-1H-pyrazole-4-carbaldehyde-O-[4-(5-trifluoromethylpyridin-2-yloxy)phenylmethyl]-oxime (8q). White solid, yield 61%, mp 52–53 °C. 1H-NMR (CDCl3): δ 8.46 (s, 1H, Py-H), 7.90 (d, J = 8.4 Hz, 1H, Py-H), 7.84 (s, 1H, CH=N), 7.39 (d, J = 7.6 Hz, 2H, Ar-H and Py-H), 7.12 (d, J = 7.2 Hz, 4H, Ar-H), 7.01 (d, J = 8.4 Hz, 1H, Ar-H), 6.81 (d, J = 7.6 Hz, 2H, Ar-H), 5.05 (s, 2H, CH2), 3.61 (s, 3H, N-CH3), 2.40 (s, 3H, CH3), 2.32 (s, 3H, CH3). 13C-NMR (CDCl3): δ 165.8, 154.8, 152.8, 148.1, 146.8, 145.5, 145.4, 140.9, 136.7, 136.6, 135.1, 133.1, 130.4, 130.1, 121.3, 115.1, 111.3, 100.1, 75.4, 34.2, 20.5, 14.9. Anal. Calcd for C26H23F3N4O3: C 62.90; H 4.67; N 11.28. Found: C 62.73; H 4.81; N 11.42.
1,3-Dimethyl-5-(4-tert-butylphenoxy)-1H-pyrazole-4-carbaldehyde-O-[4-(5-trifluoromethylpyridin-2-yloxy)phenylmethyl]-oxime (8r). White oil, yield 57%. 1H-NMR (CDCl3): δ 8.46 (s, 1H, Py-H), 7.91 (d, J = 8.8 Hz, 1H, Py-H), 7.85 (s, 1H, CH=N), 7.41 (d, J = 8.0 Hz, 2H, Ar-H and Py-H), 7.12 (d, J = 8.4 Hz, 2H, Ar-H), 7.02 (d, J = 8.8 Hz, 1H, Ar-H), 6.84 (d, J = 8.4 Hz, 2H, Ar-H), 5.05 (s, 2H, CH2), 3.62 (s, 3H, N-CH3), 2.41 (s, 3H, CH3), 1.32 (s, 9H, t-C4H9). 13C-NMR (CDCl3): δ 165.8, 154.6, 152.8, 148.1, 146.8, 145.5, 145.4, 141.0, 136.7, 136.6, 135.0, 130.1, 126.8, 121.3, 100.2, 75.4, 34.3, 34.2, 31.4, 14.9. Anal. Calcd for C29H29F3N4O3: C 64.67; H 5.43; N 10.40. Found: C 64.52; H 5.61; N 10.58.
1,3-Dimethyl-5-(4-trifluoromethoxyphenoxy)-1H-pyrazole-4-carbaldehyde-O-[4-(5-trifluoromethylpyridin-2-yloxy)phenylmethyl]-oxime (8s). White solid, yield 52%, mp 75–77 °C. 1H-NMR (CDCl3): δ 8.45 (s, 1H, Py-H), 7.91 (d, J = 8.4 Hz, 1H, Py-H), 7.85 (s, 1H, CH=N), 7.36 (d, J = 8.0 Hz, 2H, Ar-H and Py-H), 7.19 (d, J = 8.4 Hz, 2H, Ar-H), 7.11 (d, J = 8.0 Hz, 2H, Ar-H), 7.02 (d, J = 8.4 Hz, 1H, Ar-H), 6.92 (d, J = 8.8 Hz, 2H, Ar-H), 5.00 (s, 2H, CH2), 3.64 (s, 3H, N-CH3), 2.39 (s, 3H, CH3). 13C-NMR (CDCl3): δ 154.9, 152.8, 147.1, 145.5, 140.4, 136.7, 134.8, 130.0, 122.8, 121.3, 116.4, 111.4, 100.3, 75.5, 34.2, 14.5. Anal. Calcd for C26H20F6N4O4: C 55.13; H 3.56; N 9.89. Found: C 55.01; H 3.71; N 10.03.
1,3-Dimethyl-5-(2,3-difluorophenoxy)-1H-pyrazole-4-carbaldehyde-O-[4-(5-trifluoromethylpyridin-2-yloxy)phenylmethyl]-oxime (8t). White solid, yield 44%, mp 61–62 °C. 1H-NMR (CDCl3): δ 8.45 (s, 1H, Py-H), 7.91 (d, J = 8.8 Hz, 1H, Py-H), 7.85 (s, 1H, CH=N), 7.36 (d, J = 8.0 Hz, 2H, Ar-H and Py-H), 7.11 (d, J = 8.0 Hz, 2H, Ar-H), 7.02 (d, J = 8.4 Hz, 1H, Ar-H), 6.93–6.97 (m, 2H, ArH), 6.54 (d, J = 8.4 Hz, 1H, Ar-H), 5.00 (s, 2H, CH2), 3.68 (s, 3H, N-CH3), 2.36 (s, 3H, CH3). 13C-NMR (CDCl3): δ 165.8, 152.8, 147.1, 146.7, 145.5, 145.4, 140.1, 136.7, 136.6, 134.9, 129.9, 123.5, 123.4, 121.3, 112.3, 112.1, 111.6, 111.5, 111.3, 100.0, 75.5, 34.2, 14.3. Anal. Calcd for C25H19F5N4O3: C 57.92; H 3.69; N 10.81. Found: C 57.76; H 3.83; N 10.96.
1,3-Dimethyl-5-(2,4-dichlorophenoxy)-1H-pyrazole-4-carbaldehyde-O-[4-(5-trifluoromethylpyridin-2-yloxy)phenylmethyl]-oxime (8u). White solid, yield 52%, mp 109–111 °C. 1H-NMR (CDCl3): δ 8.45 (s, 1H, Py-H), 7.90 (d, J = 8.4 Hz, 1H, Py-H), 7.82 (s, 1H, CH=N), 7.46 (s, 1H, Ar-H), 7.33 (d, J = 8.4 Hz, 2H, Ar-H and Py-H), 7.00–7.12 (m, 4H, ArH), 6.63 (d, J = 8.8 Hz, 2H, Ar-H), 4.98 (s, 2H, CH2), 3.65 (s, 3H, N-CH3), 2.36 (s, 3H, CH3). 13C-NMR (CDCl3): δ 165.8, 152.8, 150.9, 147.1, 146.5, 145.5, 145.4, 140.1, 136.7, 134.9, 130.5, 130.0, 129.0, 127.9, 125.1, 123.6, 122.4, 121.3, 116.3, 111.4, 100.1, 75.5, 34.2, 14.2. Anal. Calcd for C25H19Cl2F3N4O3: C 54.46; H 3.47; N 10.16. Found: C 54.62; H 3.29; N 10.02.
1,3-Dimethyl-5-(2,3-dimethylphenoxy)-1H-pyrazole-4-carbaldehyde-O-[4-(5-trifluoromethylpyridin-2-yloxy)phenylmethyl]-oxime (8v). White oil, yield 49%. 1H-NMR (CDCl3): δ 8.46 (s, 1H, Py-H), 7.91 (d, J = 8.0 Hz, 1H, Py-H), 7.77 (s, 1H, CH=N), 7.38 (d, J = 8.0 Hz, 2H, Ar-H and Py-H), 7.12 (d, J = 8.0 Hz, 2H, Ar-H), 6.93–7.03 (m, 3H, ArH), 6.42 (d, J = 8.0 Hz, 1H, Ar-H), 5.04 (s, 2H, CH2), 3.62 (s, 3H, N-CH3), 2.41 (s, 3H, CH3), 2.35 (s, 3H, CH3), 2.32 (s, 3H, CH3). 13C-NMR (CDCl3): δ 165.8, 154.9, 152.8, 148.6, 146.9, 145.5, 141.0, 139.0, 136.7, 136.6, 135.1, 130.1, 126.2, 125.2, 121.3, 111.3, 111.2, 99.8, 75.4, 34.1, 20.0, 14.9, 11.8. Anal. Calcd for C27H25F3N4O3: C 63.52; H 4.94; N 10.97. Found: C 63.36; H 5.09; N 11.05.
1,3-Dimethyl-5-(2,4-dimethylphenoxy)-1H-pyrazole-4-carbaldehyde-O-[4-(5-trifluoromethylpyridin-2-yloxy)phenylmethyl]-oxime (8w). White oil, yield 53%. 1H-NMR (CDCl3): δ 8.46 (s, 1H, Py-H), 7.91 (d, J = 8.4 Hz, 1H, Py-H), 7.76 (s, 1H, CH=N), 7.38 (d, J = 8.0 Hz, 2H, Ar-H and Py-H), 7.11 (d, J = 7.6 Hz, 2H, Ar-H), 6.88–7.05 (m, 3H, ArH), 6.45 (d, J = 8.4 Hz, 1H, Ar-H), 5.04 (s, 2H, CH2), 3.62 (s, 3H, N-CH3), 2.40 (s, 3H, CH3), 2.36 (s, 3H, CH3), 2.29 (s, 3H, CH3). 13C-NMR (CDCl3): δ 165.8, 152.9, 152.7, 148.6, 146.9, 145.5, 141.0, 136.7, 135.1, 133.0, 132.2, 130.1, 127.5, 126.2, 125.1, 122.4, 121.7, 121.3, 113.4, 99.7, 75.4, 34.1, 20.5, 16.0, 14.9. Anal. Calcd for C27H25F3N4O3: C 63.52; H 4.94; N 10.97. Found: C 63.69; H 4.78; N 10.82.
3.2. Biological Tests
3.2.1. Bioassay Methods
All bioassays were performed on representative test organisms reared in the laboratory. The bioassay was repeated in triplicate at 25 ± 1 °C. Assessments were made on a dead/alive basis, and mortality rates were corrected using Abbott’s formula. For comparative purposes, the controls Fenpyroximate, Pyridalyl and Imidacloprid were evaluated under the same conditions.
3.2.2. Acaricidal Activity against Tetranychus cinnabarinus
The acaricidal activities against Tetranychus cinnabarinus of the designed compounds were evaluated using the reported procedure [27]. Sieva bean plants with primary leaves expanded to 10 cm were selected and cut back to one plant per pot. A small piece was cut from a leaf taken from the main colony and placed on each leaf of the test plants. This was done about 2 h before treatment to allow the mites to move over to the test plant and to lay eggs. The size of the piece was varied to obtain about 60–100 mites per leaf. At the time of the treatment, the piece of leaf used to transfer the mites was removed and discarded. The mite-infested plants were dipped in the test formulation for 3 s with agitation and set in the hood to dry. Plants were kept for 48 h before the numbers of live and dead adults were counted. Each experiment for one compound was triplicated.
3.2.3. Insecticidal Activity against Plutella xylostella
The insecticidal activities of the title compounds against Plutella xylostella were evaluated using the leaf disk assay [28]. First, a solution of each test sample in N,N-dimethylformamide at a concentration of 200 μg/mL was prepared and then diluted to the required concentration with water. Cabbage leaves were dipped into the obtained solutions for 2–3 s. After air-drying, the soaked leaves were put into a 10-cm-long tube, inoculated with second Plutella xylostella larva. Covered with gauze and then kept in a room for normal cultivation. Mortality was assessed 48 h after treatment. Each experiment for one compound was triplicated.
3.2.4. Insecticidal Activity against Aphis craccivora
Insecticidal activities of the target compounds were tested against Aphis craccivora by foliar application [29]. About 60 aphids were transferred to the shoot with 3–5 fresh leaves of horsebean. The shoot with aphids was cut and dipped into a required solution from 200 μg/mL to 100 μg/mL of the tested compound for 2 s. After removing extra solutions on the leaf, the aphids were raised in the shoot at 25 °C and 85% relative humidity for 48 h. Each experiment for one compound was triplicated.
4. Conclusions
In summary, 23 pyrazole oxime compounds bearing a 5-trifluoromethyl pyridyl subunit were synthesized. A preliminary evaluation of the acaricidal and insecticidal activities of the designed compounds was conducted. Most of them exhibited obvious acaricidal activity against T. cinnabarinus at a concentration of 200 μg/mL, and some derivatives such as compounds 8e, 8f, 8l, 8m, 8n, 8p, and 8q still possessed excellent acaricidal activity against T. cinnabarinus under the concentration of 10 μg/mL. Additionally, some compounds showed potent insecticidal activities against P. xylostella and A. craccivora at a concentration of 200 μg/mL. Notably, compounds 8e and 8l were more active against P. xylostella than other compounds, even when the concentration was decreased to 50 μg/mL. Among these compounds, compounds 8e, 8i, and 8n showed broad spectrum biological activities; they displayed potential insecticidal activity against P. xylostella and A. craccivora and beyond satisfactory acaricidal activity against T. cinnabarinus. Further investigations on the structural optimization and bioactivities of these pyrazole oximes are currently in progress.
Acknowledgments
This work was funded by the National Natural Science Foundation of China (Nos. 21202089, 21372135), the Research Foundation of the Six People Peak of Jiangsu Province (No. 2013-SWYY-013), the Natural Science Foundation of Jiangsu Province (No. BK20140425), the Technology Project Fund of Nantong City (Nos. CP12013002, AS2014011, MS22015020).
Author Contributions
H.H. designed the research; H.D., J.C., H.L., B.D., Y.F. performed the research and analyzed the data; Y.S. wrote the paper. All authors read and approved the final manuscript.
Conflicts of Interest
The authors declare no conflict of interest.
References
- Lümmen, P. Complex I inhibitors as insecticides and acaricides. BBA Bioenerg. 1998, 1364, 287–296. [Google Scholar] [CrossRef]
- Gatehouse, J.A. Biotechnological prospects for engineering insect-resistant plants. Plant Physiol. 2008, 146, 881–887. [Google Scholar] [CrossRef] [PubMed]
- Miller, T. Control of pink bollworm. Pestic. Outlook 2001, 12, 68–70. [Google Scholar] [CrossRef]
- Lamberth, C. Pyrazole chemistry in crop protection. Heterocycles 2007, 71, 1467–1502. [Google Scholar] [CrossRef]
- Swanson, M.B.; Ivancic, W.A.; Saxena, A.M.; Allton, J.D.; O’Brien, G.K.; Suzuki, T.; Nishizawa, H.; Nokata, M. Direct photolysis of Fenpyroximate in a buffered aqueous solution under a xenon lamp. J. Agric. Food Chem. 1995, 43, 513–518. [Google Scholar] [CrossRef]
- Fustero, S.; Roman, R.; Sanz-Cervera, J.F.; Simon-Fuentes, A.; Cunat, A.C.; Villanova, S.; Murguia, M. Improved regioselectivity in pyrazole formation through the use of fluorinated alcohols as solvents: Synthesis and biological activity of fluorinated Tebufenpyrad analogs. J. Org. Chem. 2008, 73, 3523–3529. [Google Scholar] [CrossRef] [PubMed]
- Fustero, S.; Roman, R.; Sanz-Cervera, J.F.; Simon-Fuentes, A.; Bueno, J.; Villanova, S. Synthesis of new fluorinated Tebufenpyrad analogs with acaricidal activity through regioselective pyrazole formation. J. Org. Chem. 2008, 73, 8545–8552. [Google Scholar] [CrossRef] [PubMed]
- Motoba, K.; Nishizawa, H.; Suzuki, T.; Hamaguchi, H.; Uchida, M.; Funayama, S. Species-specific detoxification metabolism of Fenpyroximate, a potent acaricide. Pestic. Biochem. Physiol. 2000, 67, 73–84. [Google Scholar] [CrossRef]
- Kim, Y.J.; Lee, S.H.; Lee, S.W.; Ahn, Y.J. Fenpyroximate resistance in Tetranychus urticae (Acari: Tetranychidae): Cross-resistance and biochemical resistance mechanisms. Pest Manag. Sci. 2004, 60, 1001–1006. [Google Scholar] [CrossRef] [PubMed]
- Chen, L.; Ou, X.M.; Mao, C.H.; Shang, J.; Huang, R.Q.; Bi, F.C.; Wang, Q.M. Synthesis and bioassay evaluation of 1-(4-substituteddidene-aminooxymethyl)-phenyl-3-(2,6-difluorobenzoyl)ureas. Bioorg. Med. Chem. 2007, 15, 3678–3683. [Google Scholar] [CrossRef] [PubMed]
- Dai, H.; Xiao, Y.S.; Li, Z.; Xu, X.Y.; Qian, X.H. The thiazoylmethoxy modification on pyrazole oximes: Synthesis and insecticidal biological evaluation beyond acaricidal activity. Chin. Chem. Lett. 2014, 25, 1014–1016. [Google Scholar] [CrossRef]
- Yang, Y.Z.; Lin, D.Y.; Fu, C.R.; Zou, X.M. Synthesis and biological evaluation of novel pyrazole oxime ether derivatives containing chlorothiazole group and pyrimidine rings. Chin. J. Org. Chem. 2015, 35, 100–108. [Google Scholar] [CrossRef]
- Dai, H.; Li, Y.Q.; Du, D.; Qin, X.; Zhang, X.; Yu, H.B.; Fang, J.X. Synthesis and biological activities of novel pyrazole oxime derivatives containing a 2-chloro-5-thiazolyl moiety. J. Agric. Food Chem. 2008, 56, 10805–10810. [Google Scholar] [CrossRef] [PubMed]
- Dai, H.; Shi, L.; Zhang, H.; Li, Y.; Fang, J.; Shi, Y. Synthesis and bioactivities of novel 1-phenyl-3-methyl-5-aryloxy-1H-pyrazole-4-carbaldehyde-O-(2-chloropyridin-5-yl)methyl oximes. Chin. J. Org. Chem. 2012, 32, 1060–1066. [Google Scholar] [CrossRef]
- Kiriyama, K.; Kagabu, S.; Nishimura, K. Insecticidal activities of the enantiomers of asymmetric 1-(6-chloro-3-pyridyl)ethyl-2-nitroiminoimidazolidine against American cockroach, cucurbit leaf beetle, green rice leafhopper and green peach aphid following injection, dipping and spraying. J. Pestic. Sci. 2004, 29, 43–45. [Google Scholar] [CrossRef]
- Kagabu, S.; Murase, Y.; Imai, R.; Ito, N.; Nishimura, K. Effect of substituents at the 5-position of the pyridine ring of imidacloprid on insecticidal activity against Periplaneta americana. Pest Manag. Sci. 2007, 63, 75–83. [Google Scholar] [CrossRef] [PubMed]
- Kagabu, S. Discovery of imidacloprid and further developments from strategic molecular designs. J. Agric. Food Chem. 2010, 58, 2887–2896. [Google Scholar] [CrossRef] [PubMed]
- Lu, S.Y.; Shao, X.S.; Li, Z.; Xu, Z.P.; Zhao, S.S.; Wu, Y.L.; Xu, X.Y. Design, synthesis, and particular biological behaviors of chain-open nitromethylene neonicotinoids with cis configuration. J. Agric. Food Chem. 2012, 60, 322–330. [Google Scholar] [CrossRef] [PubMed]
- Ye, Z.J.; Shi, L.N.; Shao, X.S.; Xu, X.Y.; Xu, Z.P.; Li, Z. Pyrrole- and dihydropyrrole-fused neonicotinoids: Design, synthesis, and insecticidal evaluation. J. Agric. Food Chem. 2013, 61, 312–319. [Google Scholar] [CrossRef] [PubMed]
- Lu, S.Y.; Zhuang, Y.Y.; Wu, N.B.; Feng, Y.; Cheng, J.G.; Li, Z.; Chen, J.; Yuan, J.; Xu, X.Y. Synthesis and biological evaluation of nitromethylene neonicotinoids based on the enhanced conjugation. J. Agric. Food Chem. 2013, 61, 10858–10863. [Google Scholar] [CrossRef] [PubMed]
- Xu, R.B.; Xia, R.; Luo, M.; Xu, X.Y.; Cheng, J.G.; Shao, X.S.; Li, Z. Design, synthesis, crystal structures, and insecticidal activities of eight-membered azabridge neonicotinoid analogues. J. Agric. Food Chem. 2014, 62, 381–390. [Google Scholar] [CrossRef] [PubMed]
- Smart, B.E. Fluorine substituent effects (on bioactivity). J. Fluor. Chem. 2001, 109, 3–11. [Google Scholar] [CrossRef]
- Begue, J.P.; Bonnet-Delpon, D.; Crousse, B.; Legros, J. The chemistry of trifluoromethyl imines and related acetals derived from fluoral. Chem. Soc. Rev. 2005, 34, 562–572. [Google Scholar] [CrossRef] [PubMed]
- Babcock, J.M.; Gerwick, C.B.; Huang, J.X.; Loso, M.R.; Nakamura, G.; Nolting, S.P.; Rogers, R.B.; Sparks, T.C.; Thomas, J.; Watson, G.B.; et al. Biological characterization of Sulfoxaflor, a novel insecticide. Pest Manag. Sci. 2011, 67, 328–334. [Google Scholar] [CrossRef] [PubMed]
- Sakamoto, N.; Saito, S.; Hirose, T.; Suzuki, M.; Matsuo, S.; Izumi, K.; Nagatomi, T.; Ikegami, H.; Umeda, K.; Tsushima, K.; et al. The discovery of pyridalyl: A novel insecticidal agent for controlling lepidopterous pests. Pest Manag. Sci. 2004, 60, 25–34. [Google Scholar] [CrossRef] [PubMed]
- Park, M.S.; Park, H.J.; Park, K.H.; Lee, K.I. Introduction of N-containing heterocycles into pyrazole by nucleophilic aromatic substitution. Synth. Commun. 2004, 34, 1541–1550. [Google Scholar] [CrossRef]
- Song, H.J.; Liu, Y.X.; Xiong, L.X.; Li, Y.Q.; Yang, N.; Wang, Q.M. Design, synthesis, and insecticidal evaluation of new pyrazole derivatives containing imine, oxime ether, and dihydroisoxazoline groups based on the inhibitor binding pocket of respiratory complex I. J. Agric. Food Chem. 2013, 61, 8730–8736. [Google Scholar] [CrossRef] [PubMed]
- Sun, J.L.; Zhou, Y.M. Design, synthesis, and insecticidal activity of some novel diacylhydrazine and acylhydrazone derivatives. Molecules 2015, 20, 5625–5637. [Google Scholar] [CrossRef] [PubMed]
- Shao, X.S.; Fu, H.; Xu, X.Y.; Xu, X.L.; Liu, Z.W.; Li, Z.; Qian, X.H. Divalent and oxabridged neonicotinoids constructed by dialdehydes and nitromethylene analogues of imidacloprid: Design, synthesis, crystal structure, and insecticidal activities. J. Agric. Food Chem. 2010, 58, 2696–2702. [Google Scholar] [CrossRef] [PubMed]
- Sample Availability: Samples of the compounds 8a–8w are available from the authors.
© 2016 by the authors. Licensee MDPI, Basel, Switzerland. This article is an open access article distributed under the terms and conditions of the Creative Commons by Attribution (CC-BY) license ( http://creativecommons.org/licenses/by/4.0/).

