Some Brief Notes on Theoretical and Experimental Investigations of Intramolecular Hydrogen Bonding
Abstract
:1. Introduction
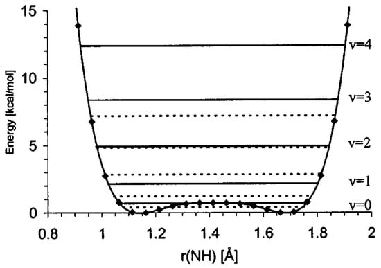
2. Study of Proton Transfer Process in Hydrogen Bridge by Quantum-Mechanical Methods
Ortho-Hydroxyaryl Schiff Bases 1
3. Spectroscopic Studies of Tautomeric Equilibrium in Intramolecular Hydrogen Bonds
3.1. Ortho-Hydroxyaryl Schiff Bases 1
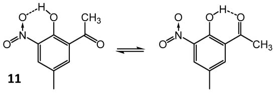
3.2. Ortho-Hydroxyaryl Aldehydes and Ketones 2
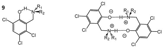
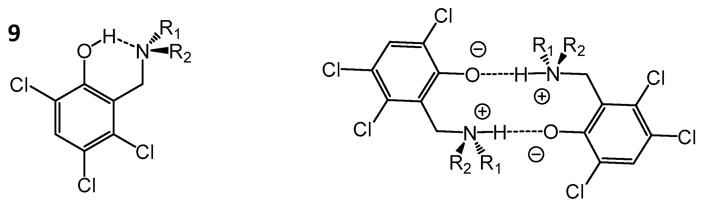
3.3. Ortho-Hydroxyaryl Mannich Bases 5
3.4. Dimethylaminonaphthalene (4)
4. Potential for Proton Transfer and Tautomeric Equilibrium
5. Proton Transfer Process and Aromaticity
Ortho-Hydroxyaryl Schiff Bases 1
6. Equilibrium between Different Intra-/Intra-Molecular Hydrogen Bonding and Intra-/Inter-Molecular Hydrogen Bonding
6.1. Ortho-Hydroxyaryl Aldehydes and Ketones 2
6.2. Ortho-Hydroxyaryl Amides (3)
7. Short Summary
Acknowledgments
Conflicts of Interest
References
- Cleland, W.W.; Kreevoy, M.M. Low-barrier hydrogen-bonds and enzymatic catalysis. Science 1994, 264, 1887–1890. [Google Scholar] [CrossRef] [PubMed]
- Hur, O.; Leja, C.; Dunn, M. Evidence of a low-barrier hydrogen bond in the tryptophan synthase catalytic mechanism. Biochemistry 1996, 35, 7378–7386. [Google Scholar] [CrossRef] [PubMed]
- Cleland, W.W.; Frey, P.A.; Gerlt, J.A. The low barrier hydrogen bond in enzymatic catalysis. J. Biol. Chem. 1998, 273, 25529–25532. [Google Scholar] [CrossRef] [PubMed]
- Przybylski, P.; Huczynski, A.; Pyta, K.; Brzeziński, B.; Bartl, F. Biological properties of Schiff bases and azo derivatives of phenols. Curr. Org. Chem. 2009, 13, 124–148. [Google Scholar] [CrossRef]
- Ritter, E.; Przybylski, P.; Brzeziński, B.; Bartl, F. Schiff bases in biological systems. Curr. Org. Chem. 2009, 13, 241–249. [Google Scholar] [CrossRef]
- Napier, I.; Ponka, P.; Richardson, D.R. Iron trafficking in the mitochondrion: Novel pathways revealed by disease. Blood 2005, 105, 1867–1874. [Google Scholar] [CrossRef] [PubMed]
- Gou, Y.; Wang, J.; Chen, S.; Zhang, Z.; Zhang, Y.; Zhang, W.; Yang, F. α−N−heterocyclic thiosemicarbazone Fe(III) complex: Characterization of its antitumor activity and identification of anticancer mechanism. Eur. J. Med. Chem. 2016, 123, 354–364. [Google Scholar] [CrossRef] [PubMed]
- Boese, A.D.; Martin, J.M.L.; Klopper, W. Basis Set Limit Coupled Cluster Study of H-Bonded Systems and Assessment of More Approximate Methods. J. Phys. Chem. A 2007, 111, 11122–11133. [Google Scholar] [CrossRef] [PubMed]
- Boese, A.D. Density Functional Theory and Hydrogen Bonds: Are We There Yet? ChemPhysChem 2015, 16, 978–985. [Google Scholar] [CrossRef] [PubMed]
- Tomasi, J.; Mennucci, B.; Cammi, R. Quantum mechanical continuum solvation models. Chem. Rev. 2005, 105, 2999–3093. [Google Scholar] [CrossRef] [PubMed]
- Filarowski, A.; Koll, A.; Hansen, P.E.; Kluba, M. Density functional theory study of intramolecular hydrogen bonding and proton transfer in o-hydroxyaryl ketimines. J. Phys. Chem. 2008, 112, 3478–3485. [Google Scholar] [CrossRef] [PubMed]
- Filarowski, A.; Majerz, I. AIM analysis of intramolecular hydrogen bonding in o-hydroxy aryl Schiff bases. J. Phys. Chem. 2008, 112, 3119–3126. [Google Scholar] [CrossRef] [PubMed]
- Panek, J.; Filarowski, A.; Jezierska-Mazzarello, A. Impact of proton transfer phenomena on the electronic structure of model Schiff bases: An AIM/NBO/ELF study. J. Chem. Phys. 2013, 139, 154312. [Google Scholar] [CrossRef] [PubMed]
- Martyniak, A.; Panek, J.J.; Jezierska-Mazzarello, A.; Filarowski, A. Triple hydrogen bonding in a circular arrangement: ab initio, DFT and first-principles MD studies of tris-hydroxyaryl enamines. J. Comput. Aided Mol. Des. 2012, 9, 1045–1053. [Google Scholar] [CrossRef] [PubMed]
- Martyniak, A.; Majerz, I.; Filarowski, A. Peculiarities of quasi-aromatic hydrogen bonding. RSC Adv. 2012, 2, 8135–8144. [Google Scholar] [CrossRef]
- Jański, J.; Koll, A. Solvent and Substitution Influence on the Character of Tautomers Resulting from Proton Transfer Reaction in Some Phenol Derivatives. Struct. Chem. 2004, 15, 353–361. [Google Scholar] [CrossRef]
- Mata, I.; Alkorta, I.; Espinosa, E.; Molins, E. Relationships between interaction energy, intermolecular distance and electron density properties in hydrogen bonded complexes under external electric fields. Chem. Phys. Lett. 2011, 507, 185–189. [Google Scholar] [CrossRef]
- Vener, M.V.; Manaev, A.V.; Egorova, A.N.; Tsirelson, V.G. QTAIM study of strong H-bonds with the O–H center dot center dot center dot A fragment (A=O, N) in three-dimensional periodical crystals. J. Phys. Chem. A 2007, 111, 1155–1162. [Google Scholar] [CrossRef] [PubMed]
- Grabowski, S.J.; Sokalski, W.A.; Leszczynski, J. The possible covalent nature of N–H center dot center dot center dot O hydrogen bonds in formamide dimer and related systems: An ab initio study. J. Phys. Chem. A 2006, 110, 4772–4779. [Google Scholar] [CrossRef] [PubMed]
- Grabowski, S.J.; Leszczyński, J. Hydrogen Bonding—New Insights; Grabowski, S.J., Ed.; Springer: Berlin, Germany, 2006. [Google Scholar]
- Grabowski, S.J.; Sokalski, W.A.; Dyguta, E.; Leszczynski, J. Quantitative classification of covalent and noncovalent H-bonds. J. Phys. Chem. B 2006, 110, 6444–6446. [Google Scholar] [CrossRef] [PubMed]
- Basilevsky, M.V.; Vener, M.V. Theoretical investigations of proton and hydrogen atom transfer in the condensed phase. Russ. Chem. Rev. 2003, 72, 3–39. [Google Scholar] [CrossRef]
- Rybarczyk-Pirek, A.J.; Grabowski, S.J.; Małecka, M.; Nawrot-Mordanka, J. Crystal and molecular structures of new chromone derivatives as empirical evidence of intramolecular proton transfer reaction; ab initio studies on intramolecular H-bonds in enaminones. J. Phys. Chem. 2002, 106, 11956–11962. [Google Scholar] [CrossRef]
- Musin, R.N.; Mariam, Y.H. An integrated approach to the study of intramolecular hydrogen bonds in malonaldehyde enol derivatives and naphthazarin: Trend in energetic versus geometrical consequences. J. Phys. Org. Chem. 2006, 19, 425–444. [Google Scholar] [CrossRef]
- Weinhold, F.; Klein, R.A. What is a hydrogen bond? Mutually consistent theoretical and experimental criteria for characterizing H-bonding interactions. Mol. Phys. 2012, 110, 565–579. [Google Scholar] [CrossRef]
- Arunan, E.; Desiraju, G.R.; Klein, R.A.; Sadlej, J.; Scheiner, S.; Alkorta, I.; Clary, D.C.; Crabtree, R.H.; Dannenberg, J.J.; Hobza, P.; et al. Definition of the hydrogen bond (IUPAC Recommendations 2011). Pure Appl. Chem. 2011, 83, 1637–1641. [Google Scholar] [CrossRef]
- Badger, R.M.; Bauer, S.H. Spectroscopic Studies of the Hydrogen Bond. II. The Shift of the OH Vibrational Frequency in the Formation of the Hydrogen Bond. J. Chem. Phys. 1937, 5, 839–851. [Google Scholar] [CrossRef]
- Szafran, M. Recent aspects of the proton transfer reaction in H-bonded complexes. J. Mol. Struct. 1996, 381, 39–64. [Google Scholar] [CrossRef]
- Drago, R.S.; Epley, T.D. Enthalpies of hydrogen bonding and changes in hydroxy frequency shifts for a series of adducts with substituted phenols. J. Am. Chem. Soc. 1969, 91, 2883–2890. [Google Scholar] [CrossRef]
- Hadži, D.; Bratos, S. Vibrational spectroscopy of the hydrogen bond. In The Hydrogen Bond. Recent Developments in Theory and Experiments; Schuster, P., Zundel, G., Sandorfy, C., Eds.; North-Holland: Amsterdam, The Netherlands, 1976. [Google Scholar]
- Iogansen, A.V. Direct proportionality of the hydrogen bonding energy and the intensification of the stretching v(XH) vibration in infrared spectra. Spectrochim. Acta A 1999, 55, 1585–1612. [Google Scholar] [CrossRef]
- Banerjee, P.; Mukhopadhyay, D.P.; Chakraborty, T. On the origin of donor O–H bond weakening in phenol-water complexes. J. Chem. Phys. 2015, 143, 204306. [Google Scholar] [CrossRef] [PubMed]
- Ishikawa, R.; Kojima, C.; Ono, A.; Kainosho, M. Developing model systems for the NMR study of substituent effects on the N-H center dot center dot center dot N hydrogen bond in duplex DNA. Magn. Res. Chem. 2001, 39, S159–S165. [Google Scholar] [CrossRef]
- Libowitzky, E. Correlation of O–H Stretching Frequencies and O–H···O Hydrogen Bond Lengths in Minerals. Monatsh. Chem. 1999, 130, 1047–1059. [Google Scholar]
- Lautié, A.; Froment, F.; Novak, A. Relationship Between NH Stretching Frequencies and N···O Distances of Crystals Containing NH···O Hydrogen Bonds. Spectrosc. Lett. 1976, 9, 289–299. [Google Scholar] [CrossRef]
- Limbach, H.-H.; Tolstoy, P.M.; Perez-Hernandez, N.; Guo, J.; Shenderovich, I.G.; Denisov, G.S. OHO Hydrogen Bond Geometries and NMR Chemical Shifts: From Equilibrium Structures to Geometric H/D Isotope Effects, with Applications for Water, Protonated Water, and Compressed Ice. Israel J. Chem. 2009, 49, 199–216. [Google Scholar] [CrossRef]
- Grzegorzek, J.; Filarowski, A.; Mielke, Z. The photoinduced isomerization and its implication in the photo-dynamical processes in two simple Schiff bases isolated in solid argon. Phys. Chem. Chem. Phys. 2011, 13, 16596–16605. [Google Scholar] [CrossRef] [PubMed]
- Majerz, I.; Pawlukojć, A.; Sobczyk, L.; Dziembowska, T.; Grech, E.; Szady-Chełmieniecka, A. The infrared, Raman and inelastic neutron scattering studies on 5-nitro-N-salicylideneethylamine. J. Mol. Struct. 2000, 552, 243–247. [Google Scholar] [CrossRef]
- Filarowski, A.; Koll, A.; Lipkowski, P.; Pawlukojć, A. Inelastic neutron scattering and vibrational spectra of 2-(N-methyl-α-iminoethyl)-phenol and 2-(N-methyliminoethyl)-phenol. Experimental and theoretical approach. J. Mol. Struct. 2008, 880, 97–108. [Google Scholar] [CrossRef]
- Filarowski, A.; Koll, A. Integrated intensity of νs(OH) absorption bands in bent hydrogen bonds in ortho-dialkylaminomethyl phenols. Vib. Spectrosc. 1996, 12, 15–24. [Google Scholar] [CrossRef]
- Berkesi, O.; Körtvélyesi, T.; Hetényi, C.; Németh, T.; Pálinkó, I. Hydrogen bonding interactions of benzylidene type Schiff bases studied by vibrational spectroscopic and computational methods. Phys. Chem. Chem. Phys. 2003, 5, 2009–2014. [Google Scholar] [CrossRef]
- Król-Starzomska, I.; Filarowski, A.; Rospenk, M.; Koll, A.; Melikova, S.M. Proton transfer equilibria in Schiff bases with steric repulsion. J. Phys. Chem. A 2004, 108, 2131–2138. [Google Scholar] [CrossRef]
- Majerz, I.; Dziembowska, T.; Ambroziak, K. Analysis of the vibrational spectra of trans-N,N′-bis-R-salicylidene-1′,2′-cyclohexanediamine. J. Mol. Struct. 2007, 828, 166–173. [Google Scholar] [CrossRef]
- Filarowski, A.; Koll, A.; Sobczyk, L. Vibrational spectra of o-hydroxyphenyl Schiff bases and related compounds. Curr. Org. Chem. 2009, 13, 287–298. [Google Scholar] [CrossRef]
- Kurkovskaya, L.N.; Nurmukhamedov, R.N.; Shigorin, D.N. Proof of the bipolar structure of the NH-tautomer of H-chelate rings of the aromatic series by 1H and 13C-NMR. J. Struct. Chem. 1980, 21, 612–620. [Google Scholar] [CrossRef]
- Sharif, S.; Denisov, G.S.; Toney, M.D.; Limbach, H.H. NMR studies of solvent-assisted proton transfer in a biologically relevant Schiff base: Towards a distinction of geometric and equilibrium H–bond isotope effects. J. Am. Chem. Soc. 2006, 128, 3375–3387. [Google Scholar] [CrossRef] [PubMed]
- Filarowski, A.; Koll, A.; Rospenk, M.; Król-Starzomska, I.; Hansen, P.E. Tautomerism of sterically hindered Schiff bases. Deuterium isotope effects on 13C chemical shifts. J. Phys. Chem. A 2005, 109, 4464–4473. [Google Scholar] [CrossRef] [PubMed]
- Koeppe, B.; Tolstoy, P.M.; Limbach, H.H. Reaction Pathways of Proton Transfer in Hydrogen bonded Phenol-Carboxylate Complexes explored by UVNMR. J. Am. Chem. Soc. 2011, 133, 7897–7908. [Google Scholar] [CrossRef] [PubMed]
- Koeppe, B.; Guo, J.; Tolstoy, P.M.; Denisov, G.S.; Limbach, H.H. Solvent and H/D Isotope Effects on the Proton Transfer Pathways in Heteroconjugated Hydrogen-Bonded Phenol-Carboxylic Acid Anions Observed by Combined UV–vis and NMR Spectroscopy. J. Am. Chem. Soc. 2013, 135, 7553–7566. [Google Scholar] [CrossRef] [PubMed]
- Pylaeva, S.; Allolio, C.; Koeppe, B.; Denisov, G.S.; Limbach, H.H.; Sebastiani, D.; Tolstoy, P.M. Proton transfer in a short hydrogen bonded complex caused by solvation shell fluctuations: An ab initio MD and NMR/UV study of an (OHO)-bonded system. Phys. Chem. Chem. Phys. 2015, 17, 4634–4644. [Google Scholar] [CrossRef] [PubMed]
- Golubev, N.S.; Smirnov, S.N.; Tolstoy, P.M.; Sharif, S.; Toney, M.D.; Denisov, G.S.; Limbach, H.H. Observation by NMR of the tautomerism of an intramolecular OHOHN-charge relay chain in a model Schiff base. J. Mol. Struct. 2007, 844–845, 319–327. [Google Scholar] [CrossRef]
- Limbach, H.H.; Chan-Huot, M.; Sharif, S.; Tolstoy, P.M.; Shenderovich, I.G.; Denisov, G.S.; Toney, M.D. Critical hydrogen bonds and protonation states of pyridoxal 5′-phosphate revealed by NMR. Biochim. Biophys. Acta Proteins Proteom. 2011, 1814, 1426–1437. [Google Scholar] [CrossRef] [PubMed]
- Chan-Huot, M.; Sharif, S.; Tolstoy, P.M.; Toney, M.D.; Limbach, H.H. NMR studies of the Stability, Protonation States and Tautomerism of 13C and 15N Labeled Aldimines of the Coenzyme Pyridoxal 5’-phosphate in Water. Biochemistry 2010, 49, 10818–10830. [Google Scholar] [CrossRef] [PubMed]
- Chan-Huot, M.; Niether, C.; Sharif, S.; Tolstoy, P.M.; Toney, M.D.; Limbach, H.H. NMR Studies of the Protonation States of Pyridoxal 5’-phosphate in Water. J. Mol. Struct. 2010, 976, 282–289. [Google Scholar] [CrossRef]
- Sharif, S.; Denisov, G.S.; Toney, M.D.; Limbach, H.H. NMR studies of coupled low- and high-barrier hydrogen bonds in pyridoxal-5′-phosphate model systems in polar solution. J. Am. Chem. Soc. 2007, 129, 6313–6327. [Google Scholar] [CrossRef] [PubMed]
- Sharif, S.; Powell, D.R.; Schagen, D.; Steiner, T.M.; Toney, M.D.; Fogle, E.; Limbach, H.H. X-ray crystallographic structures of enamine and amine Schiff bases of pyridoxal and its 1:1 hydrogen bonded complexes with benzoic acid derivatives: Evidence for coupled inter- and intramolecular proton transfer. Acta Crystallogr. B 2008, 62, 480–487. [Google Scholar] [CrossRef] [PubMed]
- Sharif, S.; Schagen, D.; Toney, M.D.; Limbach, H.H. Coupling of functional hydrogen bonds in pyridoxal-5′-phosphate-enzyme model systems observed by solid state NMR spectroscopy. J. Am. Chem. Soc. 2007, 129, 4440–4455. [Google Scholar] [CrossRef] [PubMed]
- Sharif, S.; Fogle, E.; Toney, M.D.; Denisov, G.S.; Shenderovich, I.G.; Tolstoy, P.M.; Chan-Huot, M.; Buntkowsky, G.; Limbach, H.H. NMR localization of protons in critical enzyme hydrogen bonds. J. Am. Chem. Soc. 2007, 129, 9558–9559. [Google Scholar] [CrossRef] [PubMed]
- Chan-Huot, M.; Dos, A.; Zander, R.; Sharif, S.; Tolstoy, P.M.; Compton, S.; Fogle, E.; Toney, M.D.; Shenderovich, I.G.; Denisov, G.S.; et al. NMR studies of protonation and hydrogen bond states of internal aldimines of pyridoxal 5’-phosphate acid-base in alanine racemase, aspartate aminotransferase and poly-l-lysine. J. Am. Chem. Soc. 2013, 135, 18160–18175. [Google Scholar] [CrossRef] [PubMed]
- Hansen, P.E.; Bolvig, S. Deuterium Isotope Effects on 13C Chemical Shifts of o-Hydroxyacyl Aromatics. Intramolecular Hydrogen Bonding. Magn. Res. Chem. 1997, 35, 520–528. [Google Scholar] [CrossRef]
- Filarowski, A.; Koll, A.; Kochel, A.; Kalenik, J.; Hansen, P.E. The intramolecular hydrogen bond in ortho-hydroxy acetophenones. J. Mol. Struct. 2004, 700, 67–72. [Google Scholar] [CrossRef]
- Filarowski, A.; Kochel, A.; Hansen, P.E.; Urbanowicz, A.; Szymborska, K. The role of ring substituents on hydrogen bonding of 5-cyano-2-hydroxyacetophenone and 2-hydroxy-4-methoxy-5-nitroacetophenone in the ground and excited states. J. Mol. Struct. 2007, 844, 77–82. [Google Scholar] [CrossRef]
- Han, K.-L.; Zhao, G.-J. (Eds.) Hydrogen Bonding and Transfer in the Excited State; John Wiley & Sons, Ltd.: Chichester, UK, 2011.
- Wu, K.-C.; Cheng, Y.-M.; Lin, Y.-S.; Yeh, Y.-S.; Pu, S.-C.; Hu, Y.-H.; Yu, J.-K.; Che, P.-T. Competitive intramolecular hydrogen bonding formation and excited-state proton transfer reaction in 1-[(diethylamino)-methyl]-2-hydroxy-3-naphthaldehyde. Chem. Phys. Lett. 2004, 384, 203–209. [Google Scholar] [CrossRef]
- Daengngern, R.; Prommin, C.; Rungrotmongkol, T.; Promarak, V.; Wolschann, P.; Kungwan, N. Theoretical investigation of 2-(iminomethyl)phenol in the gas phase as a prototype of ultrafast excited-state intramolecular proton transfer. Chem. Phys. Lett. 2016, 657, 113–118. [Google Scholar] [CrossRef]
- Jezierska, A.; Panek, J.; Filarowski, A. Molecular properties investigation of a substituted aromatic Mannich base: Dynamic and static models. J. Chem. Inf. Model. 2007, 47, 818–831. [Google Scholar] [CrossRef] [PubMed]
- Filarowski, A.; Szemik-Hojniak, A.; Głowiak, T.; Koll, A. Anomalous strengthening of the intramolecular hydrogen bond by steric repulsion. J. Mol. Struct. 1997, 404, 67–74. [Google Scholar] [CrossRef]
- Marx, D.; Hutter, J. Ab Initio Molecular Dynamics: Basic Theory and Advanced Methods; Cambridge University Press: Cambridge, UK, 2009. [Google Scholar]
- Jezierska-Mazzarello, A.; Panek, J.J.; Vuilleumier, R.; Koll, A.; Ciccotti, G. Direct observation of the substitution effects on the hydrogen bridge dynamics in selected Schiff bases—A comparative molecular dynamics study. J. Chem. Phys. 2011, 134, 034308-1/10. [Google Scholar] [CrossRef] [PubMed]
- Durlak, P.; Berski, S.; Latajka, Z. Car-Parrinello and path integral molecular dynamics study of the hydrogen bond in the acetic acid dimer in the gas phase. J. Mol. Model. 2011, 17, 2995–3004. [Google Scholar] [CrossRef] [PubMed]
- Denisov, G.S.; Gindin, V.A.; Golubev, N.S.; Koltsov, A.I.; Smirnov, S.N.; Rospenk, M.; Koll, A.; Sobczyk, L. Pyramidal nitrogen inversion hindered by a strong intramolecular hydrogen bond in 2-diethylaminomethyl phenols. Magn. Reson. Chem. 1993, 31, 1034–1037. [Google Scholar] [CrossRef]
- Sitkowski, J.; Stefaniak, L.; Rospenk, M.; Sobczyk, L.; Webb, G.A. Multinuclear, variable-temperature NMR study of hydrogen bonding in two ortho-Mannich bases. J. Phys. Org. Chem. 1995, 8, 463–467. [Google Scholar] [CrossRef]
- Rospenk, M.; Sobczyk, L. 1H-NMR studies of proton transfer in ortho-Mannich bases. Magn. Reson. Chem. 1989, 27, 445–450. [Google Scholar] [CrossRef]
- Rospenk, M.; Sobczyk, L.; Schah-Mohammedi, P.; Limbach, H.H.; Golubev, N.S.; Melikova, S.M. Dimerization and solvent assisted proton dislocation in the low-barrier hydrogen bond of a Mannich base. A low-temperature NMR study. Magn. Reson. Chem. 2001, 39, S81–S90. [Google Scholar] [CrossRef]
- Rospenk, M.; Koll, A.; Sobczyk, L. Proton transfer and secondary deuterium isotope effect in the 13C-NMR spectra of ortho-aminomethyl phenols. Chem. Phys. Lett. 1996, 261, 283–288. [Google Scholar] [CrossRef]
- Degtyarev, A.V.; Ryabtsova, O.V.; Pozharskii, A.F.; Ozeryanskii, V.A.; Starikova, Z.A.; Sobczyk, L.; Filarowski, A. 2,7-Disubstituted proton sponges as borderline systems for investigating barrier–free intramolecular hydrogen bonds. Protonated 2,7-bis(dimethylsilyl)- and 2,7-di(hydroxymethyl)-1,8-bis(dimethylamino)naphthalenes. Tetrahedron 2008, 64, 6209–6214. [Google Scholar] [CrossRef]
- Pozharskii, A.F.; Degtyarev, A.V.; Ryabtsova, O.V.; Ozeryanskii, V.A.; Kletskii, M.E.; Starikova, Z.A.; Sobczyk, L.; Filarowski, A. 2-alpha-hydroxyalkyl- and 2,7-di(alpha-hydroxyalkyl)-1,8-bis(dimethylamino)naphthalenes: Stabilization of nonconventional in/out conformers of “proton sponges” via N···H–O intramolecular hydrogen bonding. A remarkable kind of tandem nitrogen inversion. J. Org. Chem. 2007, 72, 3006–3019. [Google Scholar] [CrossRef] [PubMed]
- Ozeryanskii, V.A.; Pozharskii, A.F.; Bienko, A.J.; Sawka-Dobrowolska, W.; Sobczyk, L. [NHN]+ Hydrogen Bonding in Protonated 1,8-Bis(dimethylamino)-2,7-dimethoxynaphthalene. X-ray Diffraction, Infrared, and Theoretical ab Initio and DFT Studies. J. Phys. Chem. A 2005, 109, 1637–1642. [Google Scholar] [CrossRef] [PubMed]
- Bieńko, A.J.; Latajka, Z.; Sawka-Dobrowolska, W.; Sobczyk, L.; Ozeryanskii, V.A.; Pozharskii, A.F.; Grech, E.; Nowicka-Scheibe, J. Low barrier hydrogen bond in protonated proton sponge. X-ray diffraction, infrared, and theoretical ab initio and density functional theory studies. J. Chem. Phys. 2003, 119, 4313–4319. [Google Scholar] [CrossRef]
- Majerz, I.; Olovsson, I. Proton transfer in the intramolecular NHN+ bonds in proton sponges with different hydrogen bridge flexibility. Phys. Chem. Chem. Phys. 2009, 11, 1297–1302. [Google Scholar] [CrossRef] [PubMed]
- Perrin, C.L.; Nielson, J.B. “Strong” hydrogen bonds in chemistry and biology. Ann. Rev. Phys. Chem. 1997, 48, 511–544. [Google Scholar] [CrossRef] [PubMed]
- Pozharskii, A.; Ozeryanskii, V.A. Proton sponges. In The Chemistry of Anilines; Rappoport, Z., Ed.; John Wiley & Sons, Ltd.: Chichester, UK, 2007. [Google Scholar]
- Growiak, T.; Majerz, I.; Malarski, Z.; Sobczyk, L.; Pozharskii, A.F.; Ozeryanskii, V.A.; Grech, V.A. Structure and IR spectroscopic behaviour of 2,7-dichloro-1,8-bis(dimethylamino)naphthalene and its protonated form. J. Phys. Org. Chem. 1999, 12, 895–900. [Google Scholar]
- Pietrzak, M.; Try, A.; Andrioletti, B.; Sessler, J.; Anzenbacher, P.; Limbach, H.H. The largest 15N···15N coupling constant across an NHN-hydrogen bond. Angew. Chem. Int. Ed. 2008, 47, 1123–1126. [Google Scholar] [CrossRef] [PubMed]
- Pietrzak, M.; Wehling, J.; Limbach, H.H.; Golubev, N.S.; López, C.; Claramunt, R.M.; Elguero, J. 13C detected Scalar Nitrogen—Nitrogen Couplings across the Intramolecular Symmetric NHN-Hydrogen Bond of Proton Sponge. J. Am. Chem. Soc. 2001, 123, 4338–4339. [Google Scholar] [CrossRef] [PubMed]
- Pietrzak, M.; Wehling, J.P.; Kong, S.; Tolstoy, P.M.; Shenderovich, I.G.; López, C.; Claramunt, R.M.; Elguero, J.; Denisov, G.S.; Limbach, H.H. Symmetrization of Cationic Hydrogen Bridges of Protonated Sponges Induced by Solvent and Counteranion Interactions as Revealed by NMR Spectroscopy. Chem. Eur. J. 2010, 16, 1679–1690. [Google Scholar] [CrossRef] [PubMed]
- López, C.; Lorente, P.; Claramunt, R.M.; Marín, J.; Foces-Foces, C.; Llamas-Saiz, A.L.; Elguero, J.; Limbach, H.H. Localization of Hydrogen Bond Deuterons in Proton Sponges by Dipolar Solid State 15N-NMR Spectroscopy. Special Issue on Hydrogen Transfer: Experiment and Theory. Ber. Bunsenges. Phys. 1998, 102, 414–418. [Google Scholar] [CrossRef]
- Lesnichin, S.B.; Tolstoy, P.M.; Limbach, H.H.; Shenderovich, I.G. Counteranion-dependent intra- vs. intermolecular hydrogen bonding and proton transfer of 2,2′-bipyridinium in CDF3/CDF2Cl observed by low-temperature NMR. Phys. Chem. Chem. Phys. 2010, 12, 10373–10379. [Google Scholar] [CrossRef] [PubMed]
- Gurinov, A.A.; Lesnichin, S.B.; Limbach, H.H.; Shenderovich, I.G. How short is the strongest hydrogen bond in the proton-bound homodimers of pyridine derivatives? J. Phys. Chem. A 2014, 118, 10804–10812. [Google Scholar] [CrossRef] [PubMed]
- Filarowski, A.; Koll, A.; Sobczyk, L. Intramolecular Hydrogen Bonding in o-hydroxy Aryl Schiff Bases. Curr. Org. Chem. 2009, 13, 172–193. [Google Scholar] [CrossRef]
- Pająk, A.; Maes, G.; De Borggraeve, W.M.; Boens, N.; Filarowski, A. Matrix-Isolation FT-IR and Theoretical investigation of the competitive hydrogen bonding in 5-methyl-3-nitro-2-hydroxyacetophenone. J. Mol. Struct. 2008, 880, 86–96. [Google Scholar] [CrossRef]
- Markle, T.F.; Tenderholt, A.F.; Mayer, J.M. Probing Quantum and Dynamic Effects in Concerted Proton–Electron Transfer Reactions of Phenol–Base Compounds. J. Phys. Chem. B 2012, 116, 571–584. [Google Scholar] [CrossRef] [PubMed]
- Jezierska, A.; Panek, J.; Koll, A.; Mavri, J. Car-Parrinello simulation of an O–H stretching envelope and potential of mean force of an intramolecular hydrogen bonded system: Application to a Mannich base in solid state and in vacuum. J. Chem. Phys. 2007, 126, 205101. [Google Scholar] [CrossRef] [PubMed]
- Majewska, P.; Pająk, J.; Rospenk, M.; Filarowski, A. The intra- versus intermolecular hydrogen bonding equilibrium in 2-hydroxy-N,N-diethylbenzamide. J. Phys. Org. Chem. 2008, 22, 130–137. [Google Scholar] [CrossRef]
- Gilli, G.; Gilli, P. The Nature of the Hydrogen Bond. Outline of a Comprehensive Hydrogen Bond Theory; Oxford University Press: Oxford, UK, 2009. [Google Scholar]
- Lutskii, A.E.; Marchenko, T.N. Vodorodnaya Svyaz’ (Hydrogen Bond); Sokolov, N.D., Ed.; Nauka: Moscow, Russia, 1981. [Google Scholar]
- Krygowski, T.M.; Zachara-Horeglad, J.E. Resonance-assisted hydrogen bonding in terms of substituent effect. Tetrahedron 2009, 65, 2010–2014. [Google Scholar] [CrossRef]
- Sanz, P.; Mó, O.; Yanez, M.; Elguero, J. The effects of C by N replacement on the hydrogen bonding of malonaldehyde: N-formylformimidic acid, N-(hydroxymethyl)formamide and related compounds. Phys. Chem. Chem. Phys. 2009, 11, 762–769. [Google Scholar] [CrossRef] [PubMed]
- Palusiak, M.; Simon, S.; Sola, M. Interplay between intramolecular resonance-assisted hydrogen bonding and aromaticity in o-hydroxyaryl aldehydes. J. Org. Chem. 2006, 110, 5241–5248. [Google Scholar] [CrossRef] [PubMed]
- Filarowski, A.; Kochel, A.; Kluba, M.; Kamounah, F. Structural and aromatic aspects of tautomeric equilibrium in hydroxy aryl Schiff bases. J. Phys. Org. Chem. 2008, 21, 939–944. [Google Scholar] [CrossRef]
- Kluba, M.; Lipkowski, P.; Filarowski, A. Theoretical investigation of tautomeric equilibrium in ortho-hydroxy phenyl Schiff bases. Chem. Phys. Lett. 2008, 463, 426–430. [Google Scholar] [CrossRef]
- Albayrak, C.; Sevincek, R.; Petek, H.; Aygun, M. Aromaticity balance, π-electron cooperativity and H-bonding properties in tautomerism of salicylideneaniline: The quantum theory of atoms in molecules (QTAIM) approach. J. Mol. Model. 2011, 17, 1295–1309. [Google Scholar]
- Houjou, H.; Motoyama, T.; Banno, S.; Yoshikawa, I.; Araki, K. Experimental and Theoretical Studies on Constitutional Isomers of 2,6-Dihydroxynaphthalene Carbaldehydes. Effects of Resonance-Assisted Hydrogen Bonding on the Electronic Absorption Spectra. J. Org. Chem. 2009, 74, 520–529. [Google Scholar] [CrossRef] [PubMed]
- Krygowski, T.M.; Cyranski, M.K. Structural aspects of aromaticity. Chem. Rev. 2001, 101, 1385–1419. [Google Scholar] [CrossRef] [PubMed]
- Zubatyuk, R.I.; Shishkin, O.V.; Gorb, L.; Leszczynski, J. Homonuclear versus Heteronuclear Resonance-Assisted Hydrogen Bonds: Tautomerism, Aromaticity, and Intramolecular Hydrogen Bonding in Heterocyclic Systems with Different Exocyclic Proton Donor/Acceptor. J. Phys. Chem. A 2009, 113, 2943–2952. [Google Scholar] [CrossRef] [PubMed]
- Zubatyuk, R.I.; Volovenko, Y.M.; Shishkin, O.V.; Gorb, L.; Leszczyński, J. Aromaticity-Controlled Tautomerism and Resonance-Assisted Hydrogen Bonding in Heterocyclic Enaminone–Iminoenol Systems. J. Org. Chem. 2007, 72, 725–735. [Google Scholar] [CrossRef] [PubMed]
- Wu, J.I.; Jackson, J.E.; Schleyer, P.v.R. Reciprocal Hydrogen Bonding-Aromaticity Relationships. J. Am. Chem. Soc. 2014, 136, 13526–13529. [Google Scholar] [CrossRef] [PubMed]
- Sobczyk, L.; Grabowski, S.; Krygowski, T.M. Interrelation between H-Bond and Pi-Electron Delocalization. Chem. Rev. 2005, 105, 3513–3545. [Google Scholar] [CrossRef] [PubMed]
- Sucharda-Sobczyk, A.; Sobczyk, L. Tautomerism of 6-nitro derivatives of ortho Mannich-bases. J. Chem. Res. 1985, 6, 208–209. [Google Scholar]
- Konopacka, A.; Filarowski, A.; Pawelka, Z. Solvent influence on the transformation of intramolecular hydrogen bonds in 2-hydroxy-5-methyl-3-nitroacetophenone. J. Solut. Chem. 2005, 34, 929–945. [Google Scholar] [CrossRef]
- Kozlecki, T.; Tolstoy, P.M.; Kwocz, A.; Vovk, M.A.; Kochel, A.; Polowczyk, I.; Tretyakov, P.Y.; Filarowski, A. Conformational state of β-hydroxynaphthylamides: Barriers for the rotation of the amide group around CN bond and dynamics of the morpholine ring. Spectrochim. Acta A 2015, 149, 254–262. [Google Scholar] [CrossRef] [PubMed]
- Pertlik, F. Crystal structures and hydrogen bonding schemes in four benzamide derivatives (2-hydroxy-benzamide, 2-hydroxy-thiobenzamide, 2-hydroxy-N,N-dimethyl-benzamide, and 2-Hydroxy-N,N-dimethyl-thiobenzamide). Monatsh. Chem. 1990, 12, 129–139. [Google Scholar] [CrossRef]
- Johnstone, R.D.L.; Lennie, L.R.; Parker, S.F.; Parsons, S.; Pidcock, E.; Richardson, P.R.; Warren, J.E.; Wood, P.A. High-pressure polymorphism in salicylamide. CrystEngComm 2010, 12, 1065–1078. [Google Scholar] [CrossRef]
- Kawski, P.; Kochel, A.; Perevozkina, M.G.; Filarowski, A. The intramolecular hydrogen bond in 2-hydroxy-benzamides. J. Mol. Struct. 2006, 790, 65–73. [Google Scholar] [CrossRef]
- Mahmudov, K.T.; Pombeiro, A.J.L. Resonance-Assisted Hydrogen Bonding as a Driving Force in Synthesis and a Synthon in the Design of Materials. Chem. Eur. J. 2016, 22, 16356–16398. [Google Scholar] [CrossRef] [PubMed]
- Hynes, J.T.; Klinman, J.P.; Limbach, H.H.; Schowen, R.L. (Eds.) Hydrogen-Transfer Reactions; Wiley-VCH Verlag GmbH & Co. KGaA: Weinheim, Germany, 2007.
- Lynden-Bell, R.M.; Morris, S.C.; Barrow, J.D.; Finney, J.L.; Harper, C.L., Jr. (Eds.) Water and Life. The Unique Properties of H2O; CRC Press, Taylor & Francis Group: Boca Raton, FL, USA, 2010.
- Maréchal, Y. The Hydrogen Bond and the Water Molecule: The Physics and Chemistry of Water, Aqueous and Bio Media; Elsevier: Amsterdam, Oxford, UK, 2007. [Google Scholar]
- Kirov, M.V. Hydrogen-bond-reversal symmetry and its violation in ice nanotubes. Acta Cryst. A 2016, 72, 395–405. [Google Scholar] [CrossRef] [PubMed]
- Grabowski, S.J. What is the covalency of hydrogen bonding? Chem. Rev. 2011, 111, 2597–2625. [Google Scholar] [CrossRef] [PubMed]
- Limbach, H.H.; Denisov, G.S.; Shenderovich, I.G.; Tolstoy, P.M. Proton Tautomerism in Systems of Increasing Complexity: Examples from Organic Molecules to Enzymes. In Tautomerism: Concepts and Applications in Science and Technology; Antonov, L., Ed.; Wiley-VCH Verlag GmbH & Co. KGaA: Weinheim, Germany, 2016. [Google Scholar]
- Warncke, G.; Fels, S.; Brendler, E.; Böhme, U. Tautomerism in N-(2-hydroxy-1-naphthylidene)amino acids and the search for an answer to the difficult question about where the proton belongs. J. Mol. Struct. 2016, 1117, 37–48. [Google Scholar] [CrossRef]
- Scheiner, S. Hydrogen Bonding: A Theoretical Perspective; Oxford University Press: New York, NY, USA, 1997. [Google Scholar]
- Dubonosov, A.D.; Bren, V.A.; Minkin, V.I. Enolimine–Ketoenamine Tautomerism for Chemosensing. In Tautomerism: Concepts and Applications in Science and Technology; Antonov, L., Ed.; Wiley-VCH Verlag GmbH & Co. KGaA: Weinheim, Germany, 2016. [Google Scholar]
- Sheikhshoaie, I.; Fabian, W.M.F. Theoretical Insights into Material Properties of Schiff Bases and Related Azo Compounds. Curr. Org. Chem. 2009, 13, 149–171. [Google Scholar] [CrossRef]
- Scheiner, S. The Pnicogen Bond: Its Relation to Hydrogen, Halogen, and Other Noncovalent Bonds. Acc. Chem. Res. 2013, 46, 280–288. [Google Scholar] [CrossRef] [PubMed]
- Tan, J.; Namuangruk, S.; Kong, W.; Kungwan, N.; Guo, J.; Wang, C. Manipulation of Amorphous-to-Crystalline Transformation: Towards the Construction of Covalent Organic Framework Hybrid Microspheres with NIR Photothermal Conversion Ability. Angew. Chem. Int. Ed. 2016, 128, 14185–14190. [Google Scholar] [CrossRef]

















© 2016 by the authors. Licensee MDPI, Basel, Switzerland. This article is an open access article distributed under the terms and conditions of the Creative Commons Attribution (CC-BY) license ( http://creativecommons.org/licenses/by/4.0/).
Share and Cite
Sobczyk, L.; Chudoba, D.; Tolstoy, P.M.; Filarowski, A. Some Brief Notes on Theoretical and Experimental Investigations of Intramolecular Hydrogen Bonding. Molecules 2016, 21, 1657. https://doi.org/10.3390/molecules21121657
Sobczyk L, Chudoba D, Tolstoy PM, Filarowski A. Some Brief Notes on Theoretical and Experimental Investigations of Intramolecular Hydrogen Bonding. Molecules. 2016; 21(12):1657. https://doi.org/10.3390/molecules21121657
Chicago/Turabian StyleSobczyk, Lucjan, Dorota Chudoba, Peter M. Tolstoy, and Aleksander Filarowski. 2016. "Some Brief Notes on Theoretical and Experimental Investigations of Intramolecular Hydrogen Bonding" Molecules 21, no. 12: 1657. https://doi.org/10.3390/molecules21121657
APA StyleSobczyk, L., Chudoba, D., Tolstoy, P. M., & Filarowski, A. (2016). Some Brief Notes on Theoretical and Experimental Investigations of Intramolecular Hydrogen Bonding. Molecules, 21(12), 1657. https://doi.org/10.3390/molecules21121657

