Abstract
Metastatic cancers are the main cause of cancer-related death. In breast primary cancer, the five-year survival rate is close to 100%; however, for metastatic breast cancer, that rate drops to a mere 25%, due in part to the paucity of effective therapeutic options for treating metastases. Several in vitro and in vivo studies have indicated that consumption of natural polyphenols significantly reduces the risk of cancer metastasis. Therefore, this review summarizes the research findings involving the molecular mechanisms and metabolomics of natural polyphenols and how they may be blocking breast cancer metastasis. Most natural polyphenols are thought to impair breast cancer metastasis through downregulation of MMPs expression, interference with the VEGF signaling pathway, modulation of EMT regulator, inhibition of NF-κB and mTOR expression, and other related mechanisms. Intake of natural polyphenols has been shown to impact endogenous metabolites and complex biological metabolic pathways in vivo. Breast cancer metastasis is a complicated process in which each step is modulated by a complex network of signaling pathways. We hope that by detailing the reported interactions between breast cancer metastasis and natural polyphenols, more attention will be directed to these promising candidates as effective adjunct therapies against metastatic breast cancer in the clinic.
1. Introduction
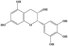
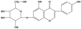
Catechins, generally known as tea polyphenols and comprising approximately 1/3 of the constituents of green tea), are one of the most attractive natural compounds because of their bioavailability [1]. Natural polyphenols show a very broad spectrum of biological activities, including antioxidant-related activity [2]. Catechins contain characteristic polyphenolic compounds, (−)-epigallocatechin-3-gallate (EGCG), (−)-epigallocatechin (EGC), (−)-epicatechin-3-gallate (ECG), and (−)-epicatechin (EC), shown in Figure 1 [1,3]. Other natural polyphenols such as kaempferol, quercetin, myricetin, and their glycosides (mono-, di-, and tri-) are also present in tea (Figure 1) [4], and tea also includes other natural polyphenols, such as baicalein, resveratrol, curcumin and so on. The analogues of catechins exhibit health benefits that protect against many life-threatening diseases, including cardiovascular diseases, chronic inflammation, and cancer [5], through regulation of various signaling pathways [6]. There is evidence that natural polyphenols can inhibit cancer cell proliferation and metastases, induce apoptosis, and exert chemopreventive activities [7,8].
Figure 1.
Structures of the major catechins and natural polyphenols.
Cancer metastases are the major cause of cancer mortality. Metastatic breast cancer is one of the deadliest types of cancers worldwide in women with a mortality rate greater than 2.1 per million cases annually [9]. We use published cancer statistics in the US in the SEER 18 areas from 2004 to 2010 as an example. Figure 2 shows the five-year relative survival rates of all malignant tumors have significantly improved, especially when focusing on distant metastases (all metastatic cancers had a 5 year survival rate of less than 40%). Although the survival rate of primary breast cancer is now close to 100%, it decreases to only 25% once distant metastasis has occurred (Figure 2a). The presence of metastases causes a sharp drop in survival rate among other cancers as well. Figure 2b shows the difference in five-year relative survival rates between regional and distant metastases (breast cancer and colon and rectum cancer are both approximately 60%). The highest increase in mortality due to distant metastasis occurs in breast cancer. Unfortunately, the only antimetastatic therapeutics in clinical practice, including anthracyclines, taxanes, and trastuzumab, have little efficacy, so it is imperative to find effective drugs for cancer metastasis (data from American Cancer Society, Inc., Surveillance Research, 2015 [10]).
Figure 2.
(a) Five-year Relative Survival Rates* (%) by Stage at Diagnosis, US, 2004–2010. Local: an invasive malignant tumor confined to primary organ. Regional: a malignant tumor that has extended into surrounding organs or tissues and regional lymph nodes. Distant: a malignant tumor that has spread to parts of the body remote from the primary cancer, or via the lymphatic system to distant lymph nodes; (b) The difference in relative survival rates between Regional and Distant metastases, and Value (%) = Regional–Distant. Rates* are adjusted for normal life expectancy and are based on cases diagnosed in the SEER 18 areas from 2004 to 2010, all followed through 2011, and the data are from the American Cancer Society, Inc., Surveillance Research, 2015.
Cancer metastasis is a very complicated process. Cancer cells can enter the circulatory system, becoming invasive and motile long before a tumor is found. Only a small proportion of cancer cells manage to permeate regional and distant organs, a fundamental step for eventual relapse. Therefore, a primary cancer might have already seeded regional and distant organs with thousands of cancer cells [11]. Various studies have explored the processes of cancer metastasis in animal models. The metastatic cascade begins with the dissemination of metastasis-competent cells from the primary tumor, intravasation into the blood circulation, active or passive migration toward the target organ, embedding into a capillary bed, attachment to the endothelium, and extravasation, which leads to infiltration into the underlying tissue, and expansion in the target microenvironment (Figure 3) [12]. Generally, for breast cancer metastasis, an invasive tumor often metastasizes to lung, liver, bone, and brain. Metastasis occurs less commonly in pleura, lymph node and spleen [13].
Figure 3.
Simplified summarizes of metastatic cascade of breast cancer and genes involving in the process of metastasis. Cancer-driven events in the metastatic cascade are delineated in time and space in a counter-clockwise beginning with the primary cancer, and then intravasation into the blood circulation, active or passive migration toward the target organ, embedding into a capillary bed, attachment to the endothelium, and extravasation, which leads to infiltration into the underlying tissue, and expansion in the target microenvironment. MMPs, matrix metalloproteinases; ZEB1, zinc finger E-box-binding homeobox 1; SLUG, zinc finger protein SNAI2; MTA3, metastasis-associated protein; MUC1: mucin 1, cell surface-associated; PSA, prostate-specific antigen; EMMPRIN: extracellular matrix metalloproteinase inducer; uPA: urokinase plasminogen activator; uPAR: urokinase plasminogen activator receptor; PAI: plasminogen activator inhibitor; RECK: reversion-inducing cysteine-rich protein with kazal motifs; PN-II: protease nexin-II; alpha1-AT: alpha 1-antitrypsin; EPCAM, epithelial cell adhesion molecule; CK19, Cytokeratin 19; CEA, carcinoembryonic antigen; SAA, serum amyloid A; LOX, protein-lysine 6-oxidase; RAC1, Ras-related C3 botulinum toxin substrate1; cdc42, cell division control protein 42 homolog; ST6GALNAC5, AGPTL4: promoting seeding; promoting colonization: OPN, CXCR4; COX-, CXCL12/CXCR4: proinflammatory molecules and chemokines/receptors; VCAM-1, TNC, OPN: adhesion and extracellular matrix molecules; SRC, NF-κB: intracellular signaling proteins. The data adapted from the study of Bos and Zhou [8,14].
Based on the complicated process of breast cancer metastasis, which involves multiple targets and organs, and the interventional effect of natural polyphenols in vivo, more scientific and advanced technologies, such as metabolomics, should be used to address this delicate process. Metabolomics, involving the comprehensive characterization of metabolism and metabolites in biological systems, is an emerging ‘omics’ science technology. Recent developments in metabolomics technologies are increasingly being utilized to discover molecular mechanisms of disease, customize drug treatments, identify novel drug targets and monitor therapeutic outcomes [15]. In this review, we discuss how natural polyphenols can modulate signaling pathways that are necessary for invasive behavior and metastasis of breast cancer in vitro and in vivo, and then, we briefly summarize the studies of tea catechin on endogenous metabolites using metabolomics technologies.
2. The Molecular Mechanism of Natural Polyphenols on Breast Cancer Metastasis In Vitro
Over the past two decades, it has been demonstrated that natural polyphenols are beneficial for both chemoprevention and chemosensitization [16]. Large numbers of studies have concentrated on the ability of natural polyphenols to inhibit cancer cell proliferation and related mechanisms. Increasingly, more and more research has illustrated that natural polyphenols can suppress cancer cell invasion and migration, revealing the therapeutic potential of natural polyphenols against cancer metastases [8]. The tumorigenesis and metastasis need the participation of many molecular pathways that are important in the treatment of every step of cancer progression. Some proteins and enzymes exert effects only on the metastasis ability, and many of these are correlated with metastatic colonization [17].
This review pays special attention to the increasing evidence that natural polyphenols can block migration and invasion of breast cancer cells through a series of molecular mechanisms, including the down-regulation of matrix metalloproteinases (MMPs) expression [18], the regulatory effects of epithelial-to-mesenchymal transition (EMT), the suppression of vascular endothelial growth factor (VEGF) signalling and cancer angiogenesis, the inhibition of nuclear factor-kappa B (NF-κB), and the mammalian targeting function of rapamycin (mTOR), as well as other signalling pathways. The results of those studies are summarized in Table 1.
Table 1.
Mechanisms of natural polyphenols interfering in breast cancer metastasis.
2.1. MMPs
MMPs are a family of the metzincin group of enzymes that share the conserved zinc-binding motif in their catalytic active site [19]. MMPs participate in crucial pathological processes such as cancer, cardiovascular disease and neurological disorders. MMPs play an important role in tissue reconstruction near proliferating cells of malignant neoplasms during cancer metastasis [20]. In particular, MMPs facilitate angiogenesis, cancer cell invasion and metastasis [21]. Large studies have investigated the prognostic value of MMPs in breast cancer metastasis [22,23,24].
2.1.1. MMPs Involving Tissue Inhibitor of Matrix Metalloproteinase
Significantly, low levels of tissue inhibitor of matrix metalloproteinase-3 (TIMP-3) protein expression in breast cancer has been reported to be correlated with an aggressive cancer phenotype [25]. EGCG and Green tea polyphenols (GTP) mediate epigenetic activation of TIMP-3 levels, resulting in suppression of invasiveness and gelatinolytic activity of MMP-2 and MMP-9 in MDA-MB-231 and MCF-7 breast cancer cells [26]. Oleuropein, the main polyphenol in olive oil, has anti-metastatic effects. Studies have found that TIMP-1, -3, and -4 were over-expressed in MDA-cells after incubation with oleuropein (200 μg/mL), while MMP-2 and MMP-9 genes were down-regulated [27]. Piceatannol, a polyphenol that is found in grapes, berries and red wine, exhibits anti-metastatic activities. Similar to EGCG and GTP, the anti-metastatic effect of piceatannol involved increased protein levels of TIMP-2, which decreases MMP-9 activity [28]. Japanese quince fruit juice is used as a food additive, and its polyphenol extract also decreased MMP-9 activity through the stimulation of TIMP-1 expression [29].
2.1.2. MMPs Involving Common Signaling Pathways
Previous studies have shown that AKT is one of the major pathways activated by MMP‑9 expression [74]. The inhibitory effect of EGCG and GTP on the invasion of MDA-MB-231 cells was associated with decreased AKT phosphorylation, and down-regulation of MMP-9 expression [33]. In addition, EGCG and EGC also inhibited heregulin-β1 (HRG)-induced migration and invasion of MCF-7 cells, owing to EGCG down-regulation of ErbB2/ErbB3/PI3K/Akt signaling, EGC exerted these effects through pathways involved in the inhibition of ErbB2/ErbB3 but not Akt [30]. These data suggest that EGCG and EGC reduce MMP‑9 expression through different signalling pathways. Kaempferol can inhibit cancer cell invasion by interrupting the PKCδ/MAPK/AP-1 cascade and subsequently down-regulating MMP-9 expression in MDA-MB-231 human breast carcinoma cells [35]. Baicalein is a natural polyphenols sourced from the root of Scutellaria baicalensis, widely used in Chinese herbal medicine. Recent studies have demonstrated that S. baicalensis alone, or in combination with other herbs, can inhibit cancer cell growth and induce apoptosis in breast carcinoma cell lines [75]. In MDA-MB-231 cells, treatment with baicalcin down-regulates the expression of MMP-2/9 through the MAPK signalling pathway [38]. Oroxylin A, one of the main bioactive natural polyphenols of S. radix., suppresses the invasive abilities of MDA-MB-435 cells by down-regulating the expression of MMP-2 and MMP-9, interfering with phosphorylation of extracellular regulated protein kinases 1/2 (ERK1/2) [37].
Resveratrol, a polyphenol naturally produced by many fruits, reduced growth factor heregulin-β1 (HRG-β1)-mediated MMP-9 expression, phosphorylation of ERK1/2 and invasion in MCF-7 breast cancer cells. These results suggest that the inhibitory effect of resveratrol on MMP-9 expression and invasion is in part associated with down-regulated mitogen-activated protein kinases, MAPK/ERK signaling [41]. Tang and colleagues confirmed that resveratrol significantly inhibited the migration and invasion of MDA-MB-435 ER-negative human breast cancer cells, insulin-like growth factor (IGF-1)-mediated MMP-2 expression, and PI-3K/Akt signaling pathway activation [40,42]. Connective tissue growth factor (CTGF), also known as CCN2, is a member of the CCN family [76]. Down-regulation of CTGF in lung adenocarcinomas [77] and colon cancers [78] is related to invasion and metastasis both in vitro and in vivo. Nelumbonucifera gaertn, known as lotus, is used as a medicinal herb in Eastern Asia [79]. Recently, researchers have explored the molecular mechanisms of N. nucifera leaf extract on metastasis in breast cancer from the perspective of CTGF. The results demonstrated that down-regulation of CTGF expression in MDA-MB-231 cells markedly attenuated PI3K-AKT-ERK activation, consequently reducing the expression of MMP-2 [64].
2.1.3. MMPs Involving NF-κB
The NF-κB family of transcription factors are key regulators of immune responses, inflammation, and cancer [80]. Sufficient research has demonstrated that NF-κB signaling pathways are closely related to cancer metastasis, suggesting that inhibition of NF-κB activity would disrupt the metastatic potential of mammary epithelial cells in a model system [81]. NF-κB regulates genes linked to cell motility, invasion and metastasis, including the genes encoding MMPs [82]. Curcumin, commonly used polyphenol species, is sourced from the turmeric plant (Curcuma longa). Pre-treatment with curcumin specifically blocked TPA-stimulated NF-κB and AP-1 activation, subsequently inhibiting TPA-induced MMP-9 expression in MCF-7 cells [47]. Previous reports have indicated that NF-κB activation can up-regulate MMP-9 [83]. Demethoxycurcumin (DMC) is a natural polyphenolic compound found in curcuma species [84]. Treatment with DMC inhibits expression of MMPs by mediating the DNA binding activity of NF-κB [52]. Dendrosomal curcumin can inhibit MMP-9 expression in breast tumor, the brain, the lung, the liver and the spleen through the suppression of NF-κB in an animal model of metastatic breast cancer [48,50].
Another active ingredient of green tea, EC, can down-regulate MMP-9 expression explaining the inhibitory effect of EC on invasion of cancer cells into embryonic stem cell-derived, vascularized tissues [34]. Murraya koenigii, a whitish moss, grows in dense cushion with long spongy leaves, in dampy soil or as epophytes. The methanolic extract remarkably inhibited the adhesion, migration and invasion of MCF-7 cells, partially through the inhibition of MMP-2 and MMP-9 activities [65].
2.2. Anti-Angiogenesis
Tumor angiogenesis is necessary for the metastatic process because cancer cells leaving primary sites utilize the route provided by newly formed blood vessels [85]. VEGF is a potent angiogenic factor and can be secreted by various types of cancer cells of breast, lung, gastrointestinal tract and others [86]. Previous research has stressed the major role played by VEGF in the proliferation and metastasis of endothelial cells and in neovascularization. Previous studies have shown that natural polyphenols can inhibit cancer metastasis by interfering with the VEGF signalling pathway.
Evening primrose flavanol preparation (EPFP) decreased MDA-MB-231 invasiveness by causing a reduction in VEGF expression at 100 μM gallic acid equivalents. Furthermore, the studies observed a pronounced inhibition of Ki-67 gene expression, the product of which is a universal marker of angiogenesis in breast cancer patients [87]. It was concluded that EPFP treatment reduced the expression levels of Bcl-2, VEGF and 2 transcription factors (c-Jun, c-Fos) via modulation of mRNA expression, which ultimately lead to inhibition of invasiveness by suppressing angiogenesis [69]. Phosphoinositide 3-kinase (PI3K)/Akt signaling is activated and phosphorylated during angiogenesis, which induces the expression of cancer growth related proteins and additional angiogenic factors [88]. Grape skin extract inhibits phosphorylation of Akt, PDK1, p38 and ERk1/2, which partly inhibited cancer angiogenesis and suppressed 4T1 cell proliferation and migration in vitro [68].
Selaginella tamariscina (Beauv.) Spring, which was first recorded in ‘Shen Nong Ben Cao Jing’ (a classical traditional Chinese medicine book) approximately 1700 years ago, and amentoflavone was found to be the main component of the total flavonoids [54]. Chen and his colleagues investigated whether amentoflavone induced anti-angiogenic and anti-metastatic effects through suppression of NF-κB activation, which is a family of transcription factors implicated in various aspects of the tumor biology such as cell proliferation, angiogenesis, metastasis and drug resistance in breast cancer [89]. Obtained results indicated that amentoflavone reduce NF-κB activation, expression and secretion of angiogenesis- and metastasis-related proteins, and cell invasion, so the conclusion is inhibition of NF-κB activation decreases expression and secretion of angiogenesis- and metastasis-related proteins [90]. The formation of blood vessels plays a vital role in the growth of vascular dependent tumor, especially for breast cancer, and angiogenesis plays an important role in its invasion and metastasis. Glabridin, is a polyphenolic flavonoid and is a main constituent in the hydrophobic fraction of licorice extract [91]. Mu and his team studied the underlying molecular mechanisms, and results showed that glabridin attenuated the angiogenic ability via inhibition of microRNA-520a (miR-520a)-mediated NF-κB/IL-6/STAT-3 signalling, the VEGF secretion, and the angiogenesis in MDA-MB-231 breast cancer cell line [55].
Tasquinimod is a small-molecule immunotherapy with demonstrated effects on the tumor microenvironment involving immunomodulation, anti-angiogenesis and inhibition of metastasis [92]. A target molecule of tasquinimod is the inflammatory protein S100A9 which has been shown to affect the accumulation and function of suppressive myeloid cell subsets in tumors. The MC38-C215 colon carcinoma tumors were studied and datas showed that tasquinimod affected tumor infiltrating myeloid cells, leading to a change in phenotype from pro-angiogenic which consistent with the effects of tumor vascularization and metastasis [92]. These results giving further insights to the anti-tumor mechanism of natural polyphenols from a perspective of anti-angiogenesis in breast cancer metastases.
2.3. NF-κB
NF-κB is a transcription factor involved in multicellular biological responses [93]. NF-κB signaling has been reported to be intimately involved in bone and liver metastasis [94]. NF-κB exists as an inactive complex with the inhibitory protein I-κB in the cytoplasm in normal resting cells [95], Upon activation, it enters the nucleus where it regulates the expression of diverse genes encoding cytokines, cell adhesion molecules, growth factors, and apoptotic-related proteins [96]. Combined dietary grape natural polyphenols up-regulated FOXO1 and NFKBIA (I-κBα), thus activating apoptosis and potentially inhibiting NF-κB activity [60]. Curcumin suppressed I-κB phosphorylation in MDA-MB-231 breast cancer cells and diminished NF-κB translocation to the nucleus as monitored by the p65 unit of NF-κB. The results also showed that a significant decrease of AP-1 binding upon treatment with curcumin, suggesting an association between NF-κB and the c-Jun/AP-1 pathway [50]. Continuing studies illustrated that curcumin reduced the metastasis of MDA-MB-231 cells by inhibiting NF-κB signaling pathway activation through indication of miR181b expression, miR181b down-regulates the pro-inflammatory cytokine CXCL1, causing subsequent loss of metastatic potential and disrupting the feedback loop between CXCL1/2 and NF-κB [49]. Butein, another natural polyphenol derived from the stembark of cashews and the heartwood of Dalbergia odorifera, down-regulates the expression of CXCR4 (a Gi protein-coupled receptor for the ligand CXCL12) in HER2-overexpressing breast cancer cells via transcriptional regulation as indicated by inhibition of NF-κB activation and down-regulation of mRNA expression [45].
2.4. EMT
EMT is a key step, that, through loss of intercellular contacts of epithelium-derived cancer cells, up-regulates components of the contractile cytoskeleton, generating a mesenchymal phenotype with highly invasive characteristics that emigrate the primary cancer [97]. Steroid hormones such as estrogen play crucial roles in breast cancer progression. Most responses are mediated through estrogen receptor alpha (ERα) and ERβ [98]. The presence of ERα is considered to be a good prognostic factor and correlates with a higher degree of cancer differentiation [98]. MMP-9 has been previously reported to promote the metastasis of cancer cells. Recent research has shown that high levels of MMP-9 were negatively correlated with ER [99]. EGCG treatment activated Forkhead box O transcription factor, FOXO3a, a major transcriptional regulator of ERα, inhibits the invasive phenotype through activation of ERα signaling in breast cancer cells. The fact that EGCG represses EMT [31], a critical feature of embryogenesis, has been recognized for several decades. Cancer cells lose expression of proteins that promote cell-cell contact such as γ-catenin and E-cadherin and acquire mesenchymal markers such as the zinc-finger transcription factor Snail, fibronectin, N-cadherin, and vimentin during EMT [100]. Curcumin is an antioxidant that exerts antiproliferative and apoptotic effects and has anti-invasive and anti-metastatic properties. The effect of curcumin (30 µM for 48 h) was evaluated on the expression of EMT-related genes. The results showed that curcumin decreased E-cadherin, N-cadherin, β-catenin, Slug, AXL, Twist1, vimentin and fibronectin protein expression, and all of these changes induced a decrease in migratory and invasive capabilities in a breast cancer cell line [51,101]. Health benefits of xanthohumol, a natural extract sourced from hops and beer [102], suppressed markers of EMT and of cell mobility such as paxillin, MCL2 and S100A4, and also attenuated cancer cell-mediated defects at the lymphendothelial barrier, inhibiting EMT-like effects [46]. The Korean annual weed, Artemisia annua L., has been used as a folk medicine for treatment of various diseases. Ko and his team investigated anti-metastatic effects of natural polyphenols from Korean A. annua L. (pKAL) on the highly metastatic MDA-MB-231 breast cancer cell line, focusing on cancer cell adhesion to the endothelial cell and epithelial-mesenchymal transition (EMT). These results suggest that pKAL exhibits anti-invasive effects through suppression of MMP-2 and MMP-9, two key molecules in proteolytic digestion of ECM. This is consistent with previous reports using quercetin or kaempferol [73,103].
2.5. mTOR
mTOR, a central regulator of cell growth, proliferation, differentiation and metastasis, has been intensely studied for over a decade. Recent data has shown that the phosphoinositide 3-kinase (PI3-K)/Akt/mTOR pathway, and mTOR in particular, plays a critical role in the regulation of cancer metastasis [104]. Quercetin, one of the natural polyphenols, in combination with resveratrol and catechin (RQC), has been reported to inhibit the PI3K/Akt/mTOR signaling pathway and breast cancer progression in vitro and in vivo. The results showed that RQC reduces mTOR pathway activation and induces apoptosis via inhibition of Akt and activation of AMPK in breast cancer [59]. Of the RQC natural polyphenols, quercetin is the most effective inhibitor of the PI3K enzyme, with an IC50 ≈ 3.8 μM [105], compared with resveratrol that has an IC50 ≈ 25 μM [106]. Quercetin at 15 μM in vitro and 15 mg/kg in vivo, inhibits Akt/mTOR signalling, induces cell cycle arrest, and inhibits breast cancer growth and metastasis [36].
2.6. Others
Lee-Chang and his team found that cancer metastasis requires an additional player, a unique subset of TGFβ-producing regulatory B cells designated cancer-evoked regulatory B cells (tBregs) [46]. RSV inhibits the generation and function of tBregs by inactivating Stat3 phosphorylation and acetylation [43]. Enterolactone, an active polyphenol metabolite of lignan, inhibited migration and invasion of breast cancer cells via the inhibition of phosphorylation in the FAK/paxillin signaling pathway, which is associated with cell adhesion to the extracellular matrix or to surroundings [57]. Previous research has shown that biotransformation of blueberry juice by Serratia vaccinii increases its polyphenolic content and reduces lung metastasis of mammary carcinoma through influencing cellular signaling cascades of breast cancer stem cells, controlling PI3K/AKT, MAPK/ERK, and STAT3 pathways in mammary cancer stem cell inflammatory signaling [72].
3. The Molecular Mechanism of Natural Polyphenols on Breast Cancer Metastasis In Vivo
Human cancer xenografts constitute the major percentage of cancer biology models used for cancer drug discovery. These models overcome the disadvantages of in vitro models by containing a microenvironment in which the cancer cells can grow. Examination of molecular mechanisms in animal models treated with natural polyphenols has offered some promising results in terms of treating metastases (Table 1).
3.1. Natural Polyphenols Monomers
The administration of resveratrol (20 or 50 mg/mouse) to female BALB/c mice with 4T1-cancer reduced breast cancer growth efficiently inhibited lung metastasis. The mechanism of this process occurred through resveratrol-mediated inactivation of Stat3, which prevented the generation and function of tBregs, including expression of TGF-β [43]. Similarly, in female BALB/c mice that received inoculums of 4T1 cells, the macroscopic appearance of the lungs from untreated and treated mice clearly showed that treatment with resveratrol reduced the number of 4T1 colonies in the lungs. In addition, plasma MMP-9 activity was decreased in response to treatment with resveratrol in mice [40]. However, in another model of mouse breast cancer, hairless SCID and athymic nude female mice bearing MDA-MB-231 and metastatic variant of MDA-MB-435 breast cancers were orally gavaged with 0.5, 5, or 50 mg/kg body weight resveratrol for 35 days. The necropsy reports showed that resveratrol at low concentrations can promote mammary cancer growth and metastasis to lungs, livers, kidneys, and bones, primarily due to a significant induction of Rac activity and a trend in increased expression of the Rac downstream effector PAK1, as well as other cancer promoting molecules. In contrast to other studies, these findings strongly illuminate the importance of delineating resveratrol’s concentration-dependent effects [44]. Therefore, the data reported on administration of resveratrol in animal models of breast cancer metastasis are contradictory. Exposure to 20 mg/kg picetannol significantly reduced the number and volume of pulmonary cancer nodules and expression of MMP-9 in both lung and cancer in nude mice [28]. For this study, BJMC3879 cells were inoculated subcutaneously in female BALB/c mice, which were then given vaticanol C (Vat-C, a novel resveratrol tetramer) at either 100-ppm or 200-ppm in their diet for 8 weeks. The results demonstrated that the multiplicities of lymphatic and pulmonary metastasis were significantly lower in the 200-ppm Vat-C group, as were overall metastasis to any organ [56].
Curcumin has been widely used in Southeast Asian countries as spice or traditional medicine [107]. It has been previously reported that curcumin prevents the formation of hematogenous breast cancer metastases in immunodeficient mice in a highly significant manner. MDA-MB-231 cells were injected into the heart of mice that were then fed diets supplemented with 1% curcumin. The results showed that curcumin administration significantly prevented lung metastases. To explore the mechanism underlying the influence of curcumin on the expression of a series of miRNAs in metastatic breast cancer cells, MDA-MB-231miR181bt+ or MDA-MB-231MOCK cells were implanted in the left cardiac ventricle of CD-1 Foxn1nu female mice. The data demonstrated that over-expression of miR181b inhibits metastasis formation, particularly in the lung [49]. However, owing to poor solubility [108] and extensive fast rate of metabolism [109], the therapeutic efficacy of curcumin was limited. Therefore, curcumin loaded biodegradable self-assembled polymeric micelles (Cur-M) were prepared and investigated for their treatment effect on the subcutaneous 4T1 breast cancer model with Cur-M treatment (30 mg/kg) for ten days. These findings indicated Cur-M not only blocked implanted cancer growth but also impaired cancer metastasis [58]. Exposure to 80 mg/kg dendrosomal curcumin significantly decreased metastasis formation in the lung, the sternum and the liver of BALB/c mice injected subcutaneously with 4T1 cells. The results also reported suppression of NF-κB expression via down-regulation of VEGF, COX-2, and MMP-9 expression in the breast cancer as well as in brain, lung, liver and spleen tissues [48].
Likewise, mice subcutaneously injected with MCF-7 cells and exposed to oleuropein at 125 mg/kg demonstrated for the first time that oleuropein prevented both peripulmonary and parenchymal lung metastases [53]. Otherwise, female SCID mice with MDA-MB-231 cells were exposed to 15 or 45 mg/kg quercetin. The results show that quercetin treatment decreased metastasis [36].
3.2. Combined Natural Polyphenols and Other Antimetastatic Drugs
The effects of combining natural polyphenols with conventional drugs in animal models are necessary to evaluate their pharmacodynamic actions, and lay the foundation for preclinical study. Tea catechins in combination with anticancer drugs are being evaluated as a new cancer treatment strategy [110]. Combined administration of EGCG and curcumin (25 mg/kg & 200 mg/kg, respectively) in athymic female mice implanted with ERα-breast cancer cells showed reduced tumor volume with decreased VEGFR-1 expression [111]. Administration of EGCG and taxol in BALB/c mice injected with 4T1 mouse breast cancer cells dramatically decreased cancer growth and numbers of the lung metastases, however, there were no significant effects when mice were exposed to EGCG or taxol alone [112]. Another line of evidence for synergism between paclitaxel and natural polyphenols was presented by Kang and colleagues, who discovered that the combination of paclitaxel and curcumin decreased cancer cell proliferation, increased apoptosis, and decreased expression of MMP-9 in a breast cancer murine model using MDA-MB-231 cells. This study demonstrated the combined effects of the paclitaxel and natural polyphenols, illustrating that this two compounds combine to inhibiting cancer metastasis [113].
MDA-MB-231 cells were injected into hairless severe combined immunodeficiency (SCID) female mice to produce orthotopic primary cancers, and mice were orally gavaged with a combination of 5 mg/kg RQC and 200 mg/kg gefitinib, or treatments were given separately. The results demonstrated combined RQC and gefitinib was more efficient than either treatment alone at inhibiting mammary cancer growth and metastasis via inhibition of Akt signaling and mTOR. Activation of AMPK occurred even in the presence of gefitinib [59]. Similarly, the administration of RQC (5 mg/kg) to female nude mice with MDA-MB-435 cells reduced metastasis especially to liver and bone [60]. The results demonstrated that natural polyphenols generally increase conventional drug efficacy, making them attractive candidates for adjuvant therapy against metastatic cancer.
3.3. Natural Polyphenols Extracts
Camellia sinensis (0.6 g/kg) was effective in reducing tumor weight by 34.8% in female BALB/c mice compared to the control group that received water treatment (100%). In addition, C. sinensis treatment significantly decreased lung and liver metastasis by 54.5% and 72.6%, respectively [61]. MDA-MB-435/HAL cells were injected into female athymic nude mice, and various experimental designs were used to assess the anti-metastatic effect of the soy isoflavone genistein through postsurgical dietary intervention. The results demonstrated that the growth ability of previously seeded and potentially metastatic cells could be affected by dietary intervention following surgical resection and then the application of a diet enriched in genistein. This anti-metastatic action illustrates the potential of genistein as a postsurgical adjuvant therapy for ER–negative breast cancer, which has been supported by additional studies [39]. However, dietary enrichment in soy isoflavones has also been associated with increases in Ki-67 protein expression and metastatic lung cancer formation [63]. These studies illuminate the need for further delineating polyphenolic effects, especially in breast cancer, before these compounds can be tested in the clinic. Mice feda diet supplemented with Murraya koenigii (50 and 200 mg/kg) for 30 days were subsequently inoculated with different numbers of 4T1 cells in low and high-risk cancer groups. Murraya koenigii treatment continued until day 21 post-inoculation, and the reported data showed that M. koenigii reduced lung metastasis, and diminished the level of nitric oxide and inflammation-related cytokines and genes, including NF-κB, iCAM, c-MYC and iNOS [70]. The anti-metastatic effects of peach polyphenolics were investigated using a xenograft model with MDA-MB-435 breast cancer cells in vivo. Mice received peach phenolics (0.2- to 1.6-mg chlorogenic acid equivalent (CAE)/day) by oral gavage. The results showed that lung metastases were inhibited through inhibition of MMPs gene expression [66]. In addition, the specific phenolic compounds derived from peaches and plums have been demonstrated to suppress tumor growth and metastasis in xenograft models [114]. Using a xenograft model in which MDA-MB-435 was cultured with peach phenolics (1.6-mg CAE/day), which equates to the equivalent human intake of two to three peaches every day, peach phenolics were able to inhibit gene expression of MMP-2, MMP-13 and MMP-3 [66]. Artichokes decreased the proteolytic activity of MMP-2, which is involved in degrading the components of the ECM [67].
In summary, an increasing amount of research has been dedicated to identifying potential mechanisms underlying the suppression of breast cancer metastasis by natural polyphenols. Proposed molecular mechanisms include down-regulation of MMPs expression, modulation of EMT regulators, interfering with VEGF signaling, inhibition of NF-κB and mTOR expression, and other possible mechanisms (as shown in Figure 4). In addition, many researchers have described the biological phenomenon of metastasis and its mechanism of action. The complexity of natural polyphenol extract is well known, so further exploring the effects of natural polyphenol metabolism in the context of cancer is the foundation of continued molecular mechanism studies.
Figure 4.
Model for the molecular metchanisms of natural polyphenols effects on metastasis. (A) General schematic representation of signalling pathway that regulate MMP-2 and MMP-9 expression, VEGF gene and NF-κB; (B) The proteins that promote cell-cell contact and mesenchymal markers during EMT.
4. Metabolomics
Metabolomics is a powerful technology in pharmaceutical and clinical research that describes the similarities and differences between biological samples by profiling and comparing the metabolite panel in an organism, resulting in the development of personalized methods for patient monitoring, treatment response evaluation, and disease diagnosis [115]. Natural polyphenols are transformed into a variety of diverse metabolites in the body [116], some of which are still unidentified [117]. Metabolomics provides an effective method to simultaneously detect hundreds of natural polyphenols or their metabolites in a global way. Metabolomics results have been utilized for analyzing the molecular mechanism of diseases, such as malignant tumors [118], and to classify food and plant species [119] in recent decades. High-throughput analytical methods such as NMR spectroscopy, liquid chromatography-quadrupole time-of-flight (LC-QTOF) [120] or MS allow simultaneous analysis of hundreds of metabolites forming the metabolome from urine or plasma [121]. Table 2 showes the modifications of endogenous metabolites derived from natural polyphenols intake.
Table 2.
Catechin intake resulting in endogenous metabolite modifications.
4.1. Natural Polyphenols
Previous studies have used various metabolomic approaches to explore the changes in metabolic profiles induced by hyperlipidemic diets. A relatively high urine excretion of deoxycytidine nucleosides has been closely linked to a higher risk for immune deficiency syndrome and cancer [127]. An improvement of deoxycytidine excretion in urine achieved with high-fat diets might result from an increase in DNA breakdown or a higher production of deoxycytidine by enteric bacteria [128]. Peroxisomal or chronic liver dysfunction disorders [129] result in high urinary content of pipecolinic acid [130]. Similarly, the origin of the variations in the urinary excretion of dihydroxyquinoline and nicotinic acid observed following high-fat diets. After catechin supplementation, the excretion of the compounds mentioned above returned to the level observed in rats fed with the low-fat diet [120]. Inspection of the principal component (PC) loadings followed by subsequent examinition of the corresponding urinary 1H-NMR spectra enabled identification of the endogenous metabolites induced from exposure to EC, and the levels were perturbed. The spectral descriptors most affected by EC dosing were found to correspond to a reduction in the urinary concentrations of 2-oxoglutarate, citrate, dimethylamine, creatinine, and taurine [122]. This metabolite could be impacting the effects of dietary natural polyphenols on liver and kidney function and could reflect a shift in energy metabolism from carbohydrate metabolism to lipid or amino acid metabolism [131].
4.2. Polyphenolic Extracts
Natural polyphenols constitute 10%–12% of the dry weight of green and black tea leaves and black and green tea consumption have different effects on human metabolism. The consumption of green tea indicated that green tea polyphenols may be affecting oxidative energy metabolism or biosynthetic pathways. Black tea increased levels of ketone body β-hydroxybutyrate in urinary excretion, suggesting impacts on fatty acid oxidation and liver ketogenesis [123]. It has been shown that green tea can protect against the advancement of a series of chronic diseases [132]. In particular, studies have focused a great deal on the prevention of cancer [133] and cancer metastasis [134]. The pharmacokinetics and bioavailability of green tea extract (GTE) catechins following a single bolus dose intake may induce significant acute impacts on multiple endogenous metabolites. This differs from the metabolite changes observed after one-week of continued supplementation. Long-term GTE supplementation is necessary to achieve regulation of various enzymes and proteins at certain sites in the body, leading to systemic shifts in levels of the endogenous metabolites, while acute metabolic effects may suffer from different mechanisms, while acute metabolic events may be occurring by distinct mechanisms. The acute effects on the phosphatidylcholines and cholesterylesters may point to changes in lipid metabolism. Other changes, for instance in sertonine, sphingosines and salicylic acid may be correlated with vascular function [124].
Pu-erh tea, a fermented tea including large quantities of polyphenolic constituents [135], has been shown to exert preventive and anti-metastatic effects on oral cancer and on buccal mucosa cancer [136]. Valuable and complementary information on Pu-erh tea degradation was provided by the combined UPLC-QTOFMS and GC-TOFMS based metabolomics technology. One of the tea metabolites, caffeines, was positively correlated with its biodegradated metabolites paraxanthine, paraxanthine, Theophylline was positively corrected with valine, tyrosine, ornithine, and 2-methylguanosine, whereas theophylline was positively corrected with 2-methylguanosine but negatively corrected with aminomalonic acid and urea [125]. Understanding the metabolic characteristics of Pu-erh tea may accelerate the development of its pharmacological properties in preclinical studies.
Using a metabolomics technology to explore the metabolic effect of polyphenol-rich red wine and grape juice (MIX) consumption in humans, gas chromatographymass spectrometry (GC-MS) was used for focused profiling of urinary phenolic acids, while 1H-NMR spectroscopy was used for global metabolite analysis. After a 4-week intake of the MIX, hippuric acid, an index of gut microbiota-mediated degradation of dietary natural polyphenols, increased significantly in urine samples. Noticeablely, 3-methoxy-4-hydroxymandelic acid, phenylacetylglutamine and 4-hydroxymandelic acid production results from the modulation of endogenous biological pathways, not metabolites of dietary natural polyphenols [126]. Overall, MIX polyphenols seem to have a slight effect on endogenous metabolism, most obviously in several amino acid derivatives containing bacterial metabolites of tryptophan and tyrosine. These results demonstrate that short-term intake of MIX or their metabolites leads to altered microbial amino acid metabolism and microbial protein fermentation [137].
5. Conclusions and Future Perspectives
Natural polyphenols plays a significant role in the prevention of breast cancer. Many studies have shown the capabilities of natural polyphenols to suppress breast cancer cell migration and invasion and to inhibit metastasis formation both in vitro and in vivo. More and more research is devoted to studying the potential mechanisms of breast cancer metastasis from the cascades of breast cancer metastasis. These molecular and cellular mechanisms include down-regulation of MMPs expression, interference with the VEGF signaling, modulation of EMT regulators, inhibition of NF-κB and mTOR expression, and other creditabe mechanisms.
Breast cancer distant metastases rank first among causes of cancer-related deaths, and the incidence of brain metastases continues to increase with current estimates in the U.S. [138]. Unfortunately, clinical trials aimed at treating brain metastases using traditional breast cancer drugs have produced little success [139,140], likely due in part to the blood-brain barrier (BBB) and the blood-cancer barrier (BTB), which establish a protective environment for metastatic growth, preventing the absorption of chemotherapy drugs. Thus, more work should be done to explore the effect of natural polyphenols on breast cancer brain metastasis, looking at the advantages of molecular diversity, which can increase CNS penetration. Of course, natural polyphenols are unlikely to be anticancer agents when used individually; however, their use as an adjuvant to chemtherapy drugs may help impede the progression of breast cancer metastasis.
Acknowledgments
This work was supported by the China National Science Foundation (81173139), the Major Research Plan of NSFC (21233003) and Asia-Pacific Cancer Research Foundation.
Conflicts of Interest
The authors declare no conflict of interest.
References
- Sang, S.; Lambert, J.D.; Ho, C.T.; Yang, C.S. The chemistry and biotransformation of tea constituents. Pharmacol. Res. 2011, 64, 87–99. [Google Scholar] [CrossRef] [PubMed]
- Manach, C.; Scalbert, A.; Morand, C.; Rémésy, C.; Jiménez, L. Polyphenols: Food sources and bioavailability. Am. J. Clin. Nutr. 2004, 79, 727–747. [Google Scholar] [PubMed]
- Lall, R.K.; Syed, D.N.; Adhami, V.M.; Khan, M.I.; Mukhtar, H. Dietary polyphenols in prevention and treatment of prostate cancer. Int. J. Mol. Sci. 2015, 16, 3350–3376. [Google Scholar] [CrossRef] [PubMed]
- Harbowy, M.E.; Balentine, D.A.; Dr., Davies, A.P.; Dr., Cai, Y. Critical reviews in plant sciences. Tea Chem. 1997, 16, 415–480. [Google Scholar]
- Chacko, S.M.; Thambi, P.T.; Kuttan, R.; Nishigaki, I. Beneficial effects of green tea: A literature review. Chin. Med. 2010, 5, 13. [Google Scholar] [CrossRef] [PubMed]
- Carocho, M.; Ferreira, I.C. A review on antioxidants, prooxidants and related controversy: Natural and synthetic compounds, screening and analysis methodologies and future perspectives. Food Chem. Toxicol. 2013, 51, 15–25. [Google Scholar] [CrossRef] [PubMed]
- Link, A.; Balaguer, F.; Goel, A. Cancer chemoprevention by dietary polyphenols: Promising role for epigenetics. Biochem. Pharmacol. 2010, 80, 1771–1792. [Google Scholar] [CrossRef] [PubMed]
- Zhou, Q.; Bennett, L.L.; Zhou, S. Multifaceted ability of naturally occurring polyphenols against metastatic cancer. Clin. Exp. Pharmacol. Physiol. 2016, 43, 394–409. [Google Scholar] [CrossRef] [PubMed]
- Tevaarwerk, A.J.; Gray, R.J.; Schneider, B.P.; Smith, M.L.; Wagner, L.I.; Fetting, J.H.; Davidson, N.; Goldstein, L.J.; Miller, K.D.; Sparano, J.A. Survival in patients with metastatic recurrent breast cancer after adjuvant chemotherapy. Cancer 2013, 119, 1140–1148. [Google Scholar] [CrossRef] [PubMed]
- American Cancer Society. Cancer Facts and Figures 2015; American Cancer Society: Atlanta, GA, USA, 2015. [Google Scholar]
- Massagué, J.; Obenauf, A.C. Metastatic colonization by circulating tumour cells. Nature 2016, 529, 298–306. [Google Scholar] [CrossRef] [PubMed]
- Kodack, D.; Askoxylakis, V.; Ferraro, G.; Dai, F.; Jain, R. Emerging strategies for treating brain metastases from breast cancer. Cancer Cell 2015, 27, 163–175. [Google Scholar] [CrossRef] [PubMed]
- Hess, K.R.; Varadhachary, G.R.; Taylor, S.H.; Wei, W.; Raber, M.N.; Lenzi, R.; Abbruzzese, J.L. Metastatic patterns in adenocarcinoma? Cancer 2006, 106, 1624–1633. [Google Scholar] [CrossRef] [PubMed]
- Bos, P.D.; Zhang, H.F.; Nadal, C.; Shu, W.; Gomis, R.R.; Nguyen, D.X.; Minn, A.J.; Vijver, M.J.V.D.; Gerald, W.L.; Foekens, J.A. Genes that mediate breast cancer metastasis to the brain. Nature 2009, 459, 1005–1009. [Google Scholar] [CrossRef] [PubMed]
- Wishart, D.S. Emerging applications of metabolomics in drug discovery and precision medicine. Nat. Rev. Drug Discov. 2016, 15, 484. [Google Scholar] [CrossRef] [PubMed]
- Delmas, D.; Xiao, J.B. Natural polyphenols properties: Chemopreventive and chemosensitizing activities. Anticancer Agents Med. Chem. 2012, 12, 835. [Google Scholar] [CrossRef] [PubMed]
- Steeg, P.S.; Theodorescu, D. Metastasis: A therapeutic target for cancer. Nat. Clin. Pract. Oncol. 2008, 5, 206–219. [Google Scholar] [CrossRef] [PubMed]
- Jiang, Y.L.; Liu, Z.P. Natural products as anti-invasive and anti-metastatic agents. Curr. Med. Chem. 2011, 18, 808–829. [Google Scholar] [CrossRef] [PubMed]
- Loffek, S.; Schilling, O.; Franzke, C.W. Biological role of matrix metalloproteinases: A critical balance. Eur. Respir. J. 2011, 38, 191–208. [Google Scholar] [CrossRef] [PubMed]
- Zitka, O.; Kukacka, J.; Krizkova, S.; Huska, D.; Adam, V.; Masarik, M.; Prusa, R.; Kizek, R. Matrix metalloproteinases. Curr. Med. Chem. 2010, 17, 3751–3768. [Google Scholar] [CrossRef] [PubMed]
- Gialeli, C.; Theocharis, A.D.; Karamanos, N.K. Roles of matrix metalloproteinases in cancer progression and their pharmacological targeting. FEBS J. 2011, 278, 16–27. [Google Scholar] [CrossRef] [PubMed]
- Ling, H.; Yang, H.; Tan, S.H.; Chui, W.K.; Chew, E.H. 6-Shogaol, an active constituent of ginger, inhibits breast cancer cell invasion by reducing matrix metalloproteinase-9 expression via blockade of nuclear factor-kappa b activation. Br. J. Pharmacol. 2010, 161, 1763–1777. [Google Scholar] [CrossRef] [PubMed]
- Ibaragi, S.; Shimo, T.; Iwamoto, M.; Hassan, N.M.M.; Kodama, S.; Isowa, S.; Sasaki, A. Parathyroid hormone-related peptide regulates matrix metalloproteinase-13 gene expression in bone metastatic breast cancer cells. Anticancer Res. 2012, 30, 5029–5036. [Google Scholar]
- Bahar, M.; Khaghani, S.; Pasalar, P.; Paknejad, M.; Khorramizadeh, M.R.; Mirmiranpour, H.; Nejad, S.G. Exogenous coenzyme q10 modulates MMP-2 activity in MCF-7 cell line as a breast cancer cellular model. Nutr. J. 2010, 9, 2131–2132. [Google Scholar] [CrossRef] [PubMed]
- Mylona, E.; Magkou, C.; Giannopoulou, I.; Agrogiannis, G.; Markaki, S.; Keramopoulos, A.; Nakopoulou, L. Expression of tissue inhibitor of matrix metalloproteinases (TIMP)-3 protein in invasive breast carcinoma: Relation to tumor phenotype and clinical outcome. Breast Cancer Res. 2006, 8, 1–8. [Google Scholar] [CrossRef] [PubMed]
- Deb, G.; Thakur, V.S.; Limaye, A.M.; Gupta, S. Epigenetic induction of tissue inhibitor of matrix metalloproteinase-3 by green tea polyphenols in breast cancer cells. Mol. Carcinog. 2015, 54, 485–499. [Google Scholar] [CrossRef] [PubMed]
- Hassan, Z.K.; Elamin, M.H.; Daghestani, M.H.; Omer, S.A.; Al-Olayan, E.M.; Elobeid, M.A.; Virk, P.; Mohammed, O.B. Oleuropein induces anti-metastatic effects in breast cancer. Asian Pac. J. Cancer Prev. 2012, 13, 4555–4559. [Google Scholar] [CrossRef] [PubMed]
- Song, H.; Jung, J.I.; Cho, H.J.; Her, S.; Kwon, S.H.; Yu, R.; Kang, Y.H.; Lee, K.W.; Park, J.H. Inhibition of tumor progression by oral piceatannol in mouse 4T1 mammary cancer is associated with decreased angiogenesis and macrophage infiltration. J. Nutr. Biochem. 2015, 26, 1368–1378. [Google Scholar] [CrossRef] [PubMed]
- Lewandowska, U.; Szewczyk, K.; Owczarek, K.; Hrabec, Z.; Podsedek, A.; Koziolkiewicz, M.; Hrabec, E. Flavanols from japanese quince (Chaenomeles japonica) fruit inhibit human prostate and breast cancer cell line invasiveness and cause favorable changes in Bax/Bcl-2 mRNA ratio. Nutr. Cancer 2013, 65, 273–285. [Google Scholar] [CrossRef] [PubMed]
- Kushima, Y.; Iida, K.; Nagaoka, Y.; Kawaratani, Y.; Shirahama, T.; Sakaguchi, M.; Baba, K.; Hara, Y.; Uesato, S. Inhibitory effect of (−)-epigallocatechin and (−)-epigallocatechin gallate against heregulin beta 1-induced migration/invasion of the MCF-7 breast carcinoma cell line. Biol. Pharm. Bull. 2009, 32, 899–904. [Google Scholar] [CrossRef] [PubMed]
- Belguise, K.; Guo, S.; Sonenshein, G.E. Activation of FOXO3a by the green tea polyphenol epigallocatechin-3-gallate induces estrogen receptor alpha expression reversing invasive phenotype of breast cancer cells. Cancer Res. 2007, 67, 5763–5770. [Google Scholar] [CrossRef] [PubMed]
- Mineva, N.D.; Paulson, K.E.; Naber, S.P.; Yee, A.S.; Sonenshein, G.E. Epigallocatechin-3-gallate inhibits stem-like inflammatory breast cancer cells. PLoS ONE 2013, 8, e73464. [Google Scholar] [CrossRef] [PubMed]
- Thangapazham, R.L.; Passi, N.; Maheshwari, R.K. Green tea polyphenol and epigallocatechin gallate induce apoptosis and inhibit invasion in human breast cancer cells. Cancer Biol. Ther. 2014, 6, 1938–1943. [Google Scholar] [CrossRef]
- Gunther, S.; Ruhe, C.; Derikito, M.G.; Bose, G.; Sauer, H.; Wartenberg, M. Polyphenols prevent cell shedding from mouse mammary cancer spheroids and inhibit cancer cell invasion in confrontation cultures derived from embryonic stem cells. Cancer Lett. 2007, 250, 25–35. [Google Scholar] [CrossRef] [PubMed]
- Li, C.; Zhao, Y.; Yang, D.; Yu, Y.; Guo, H.; Zhao, Z.; Zhang, B.; Yin, X. Inhibitory effects of kaempferol on the invasion of human breast carcinoma cells by downregulating the expression and activity of matrix metalloproteinase-9. Biochem. Cell. Biol. 2015, 93, 16–27. [Google Scholar] [CrossRef] [PubMed]
- Rivera Rivera, A.; Castillo-Pichardo, L.; Gerena, Y.; Dharmawardhane, S. Anti-breast cancer potential of quercetin via the Akt/AMPK/mammalian target of rapamycin (mTOR) signaling cascade. PLoS ONE 2016, 11, e0157251. [Google Scholar] [CrossRef] [PubMed]
- Sun, Y.; Lu, N.; Ling, Y.; Gao, Y.; Chen, Y.; Wang, L.; Hu, R.; Qi, Q.; Liu, W.; Yang, Y.; et al. Oroxylin a suppresses invasion through down-regulating the expression of matrix metalloproteinase-2/9 in MDA-MB-435 human breast cancer cells. Eur. J. Pharmacol. 2009, 603, 22–28. [Google Scholar] [CrossRef] [PubMed]
- Wang, L.; Ling, Y.; Chen, Y.; Li, C.L.; Feng, F.; You, Q.D.; Lu, N.; Guo, Q.L. Flavonoid baicalein suppresses adhesion, migration and invasion of MDA-MB-231 human breast cancer cells. Cancer Lett. 2010, 297, 42–48. [Google Scholar] [CrossRef] [PubMed]
- Vantyghem, S.A.; Wilson, S.M.; Postenka, C.O.; Al-Katib, W.; Tuck, A.B.; Chambers, A.F. Dietary genistein reduces metastasis in a postsurgical orthotopic breast cancer model. Cancer Res. 2005, 65, 3396–3403. [Google Scholar] [PubMed]
- Lee, H.S.; Ha, A.W.; Kim, W.K. Effect of resveratrol on the metastasis of 4T1 mouse breast cancer cells in vitro and in vivo. Nutr. Res. Pract. 2012, 6, 294–300. [Google Scholar] [CrossRef] [PubMed]
- Tang, F.Y.; Chiang, E.P.; Sun, Y.C. Resveratrol inhibits heregulin-β1-mediated matrix metalloproteinase-9 expression and cell invasion in human breast cancer cells. J. Nutr. Biochem. 2008, 19, 287–294. [Google Scholar] [CrossRef] [PubMed]
- Tang, F.Y.; Su, Y.C.; Chen, N.C.; Hsieh, H.S.; Chen, K.S. Resveratrol inhibits migration and invasion of human breast-cancer cells. Mol. Nutr. Food Res. 2008, 52, 683–691. [Google Scholar] [CrossRef] [PubMed]
- Lee-Chang, C.; Bodogai, M.; Martin-Montalvo, A.; Wejksza, K.; Sanghvi, M.; Moaddel, R.; de Cabo, R.; Biragyn, A. Inhibition of breast cancer metastasis by resveratrol-mediated inactivation of tumor-evoked regulatory b cells. J. Immunol. 2013, 191, 4141–4151. [Google Scholar] [CrossRef] [PubMed]
- Castillo-Pichardo, L.; Cubano, L.A.; Dharmawardhane, S. Dietary grape polyphenol resveratrol increases mammary tumor growth and metastasis in immunocompromised mice. BMC Complement. Altern. Med. 2013, 13, 1–10. [Google Scholar] [CrossRef] [PubMed]
- Chua, A.W.; Hay, H.S.; Rajendran, P.; Shanmugam, M.K.; Li, F.; Bist, P.; Koay, E.S.; Lim, L.H.; Kumar, A.P.; Sethi, G. Butein downregulates chemokine receptor CXCR4 expression and function through suppression of NF-κb activation in breast and pancreatic tumor cells. Biochem. Pharmacol. 2010, 80, 1553–1562. [Google Scholar] [CrossRef] [PubMed]
- Viola, K.; Kopf, S.; Rarova, L.; Jarukamjorn, K.; Kretschy, N.; Teichmann, M.; Vonach, C.; Atanasov, A.G.; Giessrigl, B.; Huttary, N.; et al. Xanthohumol attenuates tumour cell-mediated breaching of the lymphendothelial barrier and prevents intravasation and metastasis. Arch. Toxicol. 2013, 87, 1301–1312. [Google Scholar] [CrossRef] [PubMed]
- Kim, J.M.; Noh, E.M.; Kwon, K.B.; Kim, J.S.; You, Y.O.; Hwang, J.K.; Hwang, B.M.; Kim, B.S.; Lee, S.H.; Lee, S.J.; et al. Curcumin suppresses the TPA-induced invasion through inhibition of PKCα-dependent MMP-expression in MCF-7 human breast cancer cells. Phytomedicine 2012, 19, 1085–1092. [Google Scholar] [CrossRef] [PubMed]
- Farhangi, B.; Alizadeh, A.M.; Khodayari, H.; Khodayari, S.; Dehghan, M.J.; Khori, V.; Heidarzadeh, A.; Khaniki, M.; Sadeghiezadeh, M.; Najafi, F. Protective effects of dendrosomal curcumin on an animal metastatic breast tumor. Eur. J. Pharmacol. 2015, 758, 188–196. [Google Scholar] [CrossRef] [PubMed]
- Kronski, E.; Fiori, M.E.; Barbieri, O.; Astigiano, S.; Mirisola, V.; Killian, P.H.; Bruno, A.; Pagani, A.; Rovera, F.; Pfeffer, U.; et al. miR181b is induced by the chemopreventive polyphenol curcumin and inhibits breast cancer metastasis via down-regulation of the inflammatory cytokines CXCL1 and -2. Mol. Oncol. 2014, 8, 581–595. [Google Scholar] [CrossRef] [PubMed]
- Bachmeier, B.; Nerlich, A.G.; Iancu, C.M.; Cilli, M.; Schleicher, E.; Vené, R.; Dell'Eva, R.; Jochum, M.; Albini, A.; Pfeffer, U. The chemopreventive polyphenol curcumin prevents hematogenous breast cancer metastases in immunodeficient mice. Cell. Physiol. Biochem. 2007, 19, 137–152. [Google Scholar] [CrossRef] [PubMed]
- Gallardo, M.; Calaf, G.M. Curcumin inhibits invasive capabilities through epithelial mesenchymal transition in breast cancer cell lines. Int. J. Oncol. 2016, 49, 1019–1027. [Google Scholar] [CrossRef] [PubMed]
- Yodkeeree, S.; Ampasavate, C.; Sung, B.; Aggarwal, B.B.; Limtrakul, P. Demethoxycurcumin suppresses migration and invasion of MDA-MB-231 human breast cancer cell line. Eur. J. Pharmacol. 2009, 627, 8–15. [Google Scholar] [CrossRef] [PubMed]
- Sepporta, M.V.; Fuccelli, R.; Rosignoli, P.; Ricci, G.; Servili, M.; Morozzi, G.; Fabiani, R. Oleuropein inhibits tumour growth and metastases dissemination in ovariectomised nude mice with MCF-7 human breast tumour xenografts. J. Funct. Foods 2014, 8, 269–273. [Google Scholar] [CrossRef]
- Zheng, X.; Ke, Y.; Feng, A.; Yuan, P.; Zhou, J.; Yu, Y.; Wang, X.; Feng, W. The mechanism by which amentoflavone improves insulin resistance in HepG2 cells. Molecules 2016, 21. [Google Scholar] [CrossRef] [PubMed]
- Mu, J.; Ning, S.; Wang, X.; Si, L.; Jiang, F.; Li, Y.; Li, Z. The repressive effect of miR-520a on NF-κB/IL-6/STAT-3 signal involved in the glabridin-induced anti-angiogenesis in human breast cancer cells. RSC Adv. 2015, 5, 34257–34264. [Google Scholar] [CrossRef]
- Shibata, M.A.; Akao, Y.; Shibata, E.; Nozawa, Y.; Ito, T.; Mishima, S.; Morimoto, J.; Otsuki, Y. Vaticanol C, a novel resveratrol tetramer, reduces lymph node and lung metastases of mouse mammary carcinoma carrying p53 mutation. Cancer Chemother. Pharmacol. 2007, 60, 681–691. [Google Scholar] [CrossRef] [PubMed]
- Xiong, X.Y.; Hu, X.J.; Li, Y.; Liu, C.M. Inhibitory effects of enterolactone on growth and metastasis in human breast cancer. Nutr. Cancer 2015, 67, 1324–1332. [Google Scholar] [CrossRef] [PubMed]
- Liu, L.; Sun, L.; Wu, Q.; Guo, W.; Li, L.; Chen, Y.; Li, Y.; Gong, C.; Qian, Z.; Wei, Y. Curcumin loaded polymeric micelles inhibit breast tumor growth and spontaneous pulmonary metastasis. Int. J. Pharm. 2013, 443, 175–182. [Google Scholar] [CrossRef] [PubMed]
- Castillo-Pichardo, L.; Dharmawardhane, S.F. Grape polyphenols inhibit Akt/mammalian target of rapamycin signaling and potentiate the effects of gefitinib in breast cancer. Nutr. Cancer 2012, 64, 1058–1069. [Google Scholar] [CrossRef] [PubMed]
- Castillo-Pichardo, L.; Martinez-Montemayor, M.M.; Martinez, J.E.; Wall, K.M.; Cubano, L.A.; Dharmawardhane, S. Inhibition of mammary tumor growth and metastases to bone and liver by dietary grape polyphenols. Clin. Exp. Metastasis 2009, 26, 505–516. [Google Scholar] [CrossRef] [PubMed]
- Luo, K.W.; Ko, C.H.; Yue, G.G.; Lee, J.K.; Li, K.K.; Lee, M.; Li, G.; Fung, K.P.; Leung, P.C.; Lau, C.B. Green tea (Camellia sinensis) extract inhibits both the metastasis and osteolytic components of mammary cancer 4T1 lesions in mice. J. Nutr. Biochem. 2014, 25, 395–403. [Google Scholar] [CrossRef] [PubMed]
- Baliga, M.S.; Meleth, S.; Kadiyar, S.K. Growth inhibitory and antimetastatic effect of green tea polyphenols on metastasis-specific mouse mammary carcinoma 4T1 cells in vitro and in vivo systems. Clin. Cancer Res. 2005, 11, 1918–1927. [Google Scholar] [CrossRef] [PubMed]
- Yang, X.; Belosay, A.; Hartman, J.A.; Song, H.; Zhang, Y.; Wang, W.; Doerge, D.R.; Helferich, W.G. Dietary soy isoflavones increase metastasis to lungs in an experimental model of breast cancer with bone micro-tumors. Clin. Exp. Metastasis 2015, 32, 323–333. [Google Scholar] [CrossRef] [PubMed]
- Chang, C.H.; Ou, T.T.; Yang, M.Y.; Huang, C.C.; Wang, C.J. Nelumbo nucifera gaertn leaves extract inhibits the angiogenesis and metastasis of breast cancer cells by downregulation connective tissue growth factor (CTGF) mediated PI3K/AKT/ERK signaling. J. Ethnopharmacol. 2016, 188, 111–122. [Google Scholar] [CrossRef] [PubMed]
- Manoj, G.S.; Kumar, T.R.S.; Varghese, S.; Murugan, K. Effect of methanolic and water extract of Leucobryum bowringii Mitt. On growth, migration and invasion of MCF 7 human breast cancer cells in vitro. Ind. J. Exp. Biol. 2012, 50, 602–611. [Google Scholar]
- Noratto, G.; Porter, W.; Byrne, D.; Cisneros-Zevallos, L. Polyphenolics from peach (Prunus persica var. Rich lady) inhibit tumor growth and metastasis of MDA-MB-435 breast cancer cells in vivo. J. Nutr. Biochem. 2014, 25, 796–800. [Google Scholar] [CrossRef] [PubMed]
- Mileo, A.M.; di Venere, D.; Linsalata, V.; Fraioli, R.; Miccadei, S. Artichoke polyphenols induce apoptosis and decrease the invasive potential of the human breast cancer cell line MDA-MB231. J. Cell Physiol. 2012, 227, 3301–3309. [Google Scholar] [CrossRef] [PubMed]
- Sun, T.; Chen, Q.Y.; Wu, L.J.; Yao, X.M.; Sun, X.J. Antitumor and antimetastatic activities of grape skin polyphenols in a murine model of breast cancer. Food Chem. Toxicol. 2012, 50, 3462–3467. [Google Scholar] [CrossRef] [PubMed]
- Lewandowska, U.; Szewczyk, K.; Owczarek, K.; Hrabec, Z.; Podsedek, A.; Sosnowska, D.; Hrabec, E. Procyanidins from evening primrose (Oenothera paradoxa) defatted seeds inhibit invasiveness of breast cancer cells and modulate the expression of selected genes involved in angiogenesis, metastasis, and apoptosis. Nutr. Cancer 2013, 65, 1219–1231. [Google Scholar] [CrossRef] [PubMed]
- Yeap, S.K.; Abu, N.; Mohamad, N.E.; Beh, B.K.; Ho, W.Y.; Ebrahimi, S.; Yusof, H.M.; Ky, H.; Tan, S.W.; Alitheen, N.B. Chemopreventive and immunomodulatory effects of Murraya koenigii aqueous extract on 4T1 breast cancer cell-challenged mice. BMC Complement. Altern. Med. 2015, 15, 306. [Google Scholar] [CrossRef] [PubMed]
- Mantena, S.K.; Baliga, M.S.; Katiyar, S.K. Grape seed proanthocyanidins induce apoptosis and inhibit metastasis of highly metastatic breast carcinoma cells. Carcinogenesis 2006, 27, 1682–1691. [Google Scholar] [CrossRef] [PubMed]
- Vuong, T.; Mallet, J.F.; Ouzounova, M.; Rahbar, S.; Hernandez-Vargas, H.; Herceg, Z.; Matar, C. Role of a polyphenol-enriched preparation on chemoprevention of mammary carcinoma through cancer stem cells and inflammatory pathways modulation. J. Transl. Med. 2016, 14, 13. [Google Scholar] [CrossRef] [PubMed]
- Ko, Y.S.; Lee, W.S.; Panchanathan, R.; Joo, Y.N.; Choi, Y.H.; Kim, G.S.; Jung, J.M.; Ryu, C.H.; Shin, S.C.; Kim, H.J. Polyphenols from artemisia annua l inhibit adhesion and emt of highly metastatic breast cancer cells MDA-MB-231. Phytother. Res. 2016, 30, 1180–1188. [Google Scholar] [CrossRef] [PubMed]
- Dihlmann, S.; Kloor, M.; Fallsehr, C.; Doeberitz, M.V.K. Regulation of AKT1 expression by β-catenin/Tcf/Lef signaling in colorectal cancer cells. Carcinogenesis 2005, 26, 1503–1512. [Google Scholar] [CrossRef] [PubMed]
- So, F.V.; Guthrie, N.; Chambers, A.F.; Carroll, K.K. Inhibition of proliferation of estrogen receptor-positive MCF-7 human breast cancer cells by flavonoids in the presence and absence of excess estrogen. Cancer Lett. 1997, 112, 127–133. [Google Scholar] [CrossRef]
- Bork, P. The modular architecture of a new family of growth regulators related to connective tissue growth factor. FEBS Lett. 1993, 327, 125–130. [Google Scholar] [CrossRef]
- Chang, C.C.; Shih, J.Y.; Jeng, Y.M.; Su, J.L.; Lin, B.Z.; Chen, S.T.; Chau, Y.P.; Yang, P.C.; Kuo, M.L. Connective tissue growth factor and its role in lung adenocarcinoma invasion and metastasis. J. Natl. Cancer Inst. 2004, 96, 364–375. [Google Scholar] [CrossRef] [PubMed]
- Lin, B.R. Connective tissue growth factor inhibits metastasis and acts as an independent prognostic marker in colorectal cancer. Gastroenterology 2005, 128, 9–23. [Google Scholar] [CrossRef] [PubMed]
- Lin, M.C.; Kao, S.H.; Chung, P.J.; Chan, K.C.; Yang, M.Y.; Wang, C.J. Improvement for high fat diet-induced hepatic injuries and oxidative stress by flavonoid-enriched extract from nelumbo nucifera leaf. J. Agric. Food Chem. 2009, 57, 5825–5932. [Google Scholar] [CrossRef] [PubMed]
- O’Dea, E.; Hoffmann, A. NF-κb signaling. Wiley Interdiscip. Rev. Syst. Bio. Med. 2009, 1, 107–115. [Google Scholar] [CrossRef] [PubMed]
- Huber, M.A.; Azoitei, N.; Baumann, B.; Grünert, S.; Sommer, A.; Pehamberger, H.; Kraut, N.; Beug, H.; Wirth, T.; Huber, M.A.; et al. NF-κb is essential for epithelial-mesenchymal transition and metastasis in a model of breast cancer progression. J. Clin. Investig. 2004, 114, 569–584. [Google Scholar] [CrossRef] [PubMed]
- Zunling, L.; Yanxia, G.; Hanming, J.; Tingguo, Z.; Changzhu, J.; Young, C.Y.; Huiqing, Y. Differential regulation of MMPS by E2F1, Sp1 and NF-κb controls the small cell lung cancer invasive phenotype. BMC Cancer 2014, 14, 276. [Google Scholar]
- Aggarwal, B.B. Nuclear factor-κB: The enemy within. Cancer Cell 2004, 6, 203–208. [Google Scholar] [CrossRef] [PubMed]
- Zhang, J.S.; Guan, J.; Yang, F.Q.; Liu, H.G.; Cheng, X.J.; Li, S.P. Qualitative and quantitative analysis of four species of curcuma rhizomes using twice development thin layer chromatography. J. Pharm. Biomed. Anal. 2008, 48, 1024–1028. [Google Scholar] [CrossRef] [PubMed]
- Fidler, I.J. Angiogenesis and cancer metastasis. Cancer J. 2000, 6 (Suppl. S2), 388–390. [Google Scholar]
- Song, M.Q.; Ramaswamy, S.; Ramachandran, S.; Flowers, L.C.; Horowitz, I.R.; Rock, J.A.; Parthasarathy, S. Angiogenic role for glycodelin in tumorigenesis. Proc. Natl. Acad. Sci. USA 2001, 98, 9265–9270. [Google Scholar] [CrossRef] [PubMed]
- Viale, G.; Regan, M.M.; Mastropasqua, M.G.; Maffini, F.; Maiorano, E.; Colleoni, M.; Price, K.N.; Golouh, R.; Perin, T.; Brown, R.W.; et al. Predictive value of tumor Ki-67 expression in two randomized trials of adjuvant chemoendocrine therapy for node-negative breast cancer. J. Natl. Cancer Inst. 2008, 100, 207–212. [Google Scholar] [CrossRef] [PubMed]
- Park, E.H.; Park, J.Y.; Yoo, H.S.; Yoo, J.E.; Lee, H.L. Assessment of the anti-metastatic properties of sanguiin H-6 in huvecs and MDA-MB-231 human breast cancer cells. Bioorg. Med. Chem. Lett. 2016, 26, 3291–3294. [Google Scholar] [CrossRef] [PubMed]
- Li, F.; Zhang, J.; Arfuso, F.; Chinnathambi, A.; Zayed, M.E.; Alharbi, S.A.; Kumar, A.P.; Ahn, K.S.; Sethi, G. NF-κb in cancer therapy. Arch. Toxicol. 2015, 89, 711–731. [Google Scholar] [CrossRef] [PubMed]
- Chen, J.H.; Chen, W.L.; Liu, Y.C. Amentoflavone induces anti-angiogenic and anti-metastatic effects through suppression of NF-κb activation in MCF-7 cells. Anticancer Res. 2015, 35, 6685–6693. [Google Scholar] [PubMed]
- Pandey, P.; Singh, S.; Tewari, N.; Srinivas, K.V.N.S.; Shukla, A.; Gupta, N.; Vasudev, P.G.; Khan, F.; Pal, A.; Bhakuni, R.S. Hairy root mediated functional derivatization of artemisinin and their bioactivity analysis. J. Mol. Catal. B Enzym. 2015, 113, 95–103. [Google Scholar] [CrossRef]
- Shen, L.; Sundstedt, A.; Ciesielski, M.; Miles, K.M.; Celander, M.; Adelaiye, R.; Orillion, A.; Ciamporcero, E.; Ramakrishnan, S.; Ellis, L. Tasquinimod modulates suppressive myeloid cells and enhances cancer immunotherapies in murine models. Cancer Immunol. Res. 2015, 3, 136–148. [Google Scholar] [CrossRef] [PubMed]
- Sen, R.; Baltimore, D. Inducibility of κ immunoglobulin enhancer-binding protein NF-κb by a posttranslational mechanism. Cell 1987, 47, 921–928. [Google Scholar] [CrossRef]
- Cicek, M.; Oursler, M.J. Breast cancer bone metastasis and current small therapeutics. Cancer Metastasis Rev. 2006, 25, 635–644. [Google Scholar] [CrossRef] [PubMed]
- Karin, M.; Cao, Y.; Greten, F.R.; Li, Z.W. NF-κb in cancer: From innocent bystander to major culprit. Nat. Rev. Cancer 2002, 2, 301–310. [Google Scholar] [CrossRef] [PubMed]
- Ghosh, S.; Karin, M. Missing pieces in the NF-κb puzzle. Cell 2002, 109, S81–96. [Google Scholar] [CrossRef]
- Dhamija, S.; Diederichs, S. From junk to master regulators of invasion: lncRNA functions in migration, EMT and metastasis. Int. J. Cancer 2015, 139, 269–280. [Google Scholar] [CrossRef] [PubMed]
- Couse, J.; Korach, K. Estrogen receptor null mice: What have we learned and where will they lead us? Endocr. Rev. 1999, 20, 358–417. [Google Scholar] [CrossRef] [PubMed]
- Wu, X.; Sun, L.; Xiao, W.; Peng, S.; Li, Z.; Zhang, C.; Yan, W.; Peng, G.; Rong, M. Breast cancer invasion and metastasis by mPRα through the PI3K/Akt signaling pathway. Pathol. Oncol. Res. 2016, 22, 1–6. [Google Scholar] [CrossRef] [PubMed]
- Tashiro, E.; Henmi, S.; Odake, H.; Ino, S.; Imoto, M. Involvement of the MEK/ERK pathway in egf-induced e-cadherin down-regulation. Biochem. Biophys. Res. Commun. 2016, 477, 801–806. [Google Scholar] [CrossRef] [PubMed]
- Gallardo, M.; Calaf, G.M. Curcumin and epithelial-mesenchymal transition in breast cancer cells transformed by low doses of radiation and estrogen. Int. J. Oncol. 2016, 48, 2534–2542. [Google Scholar] [CrossRef] [PubMed]
- Magalhães, P.J.; Carvalho, D.O.; Cruz, J.M.; Guido, L.F.; Barros, A.A. Fundamentals and health benefits of xanthohumol, a natural product derived from hops and beer. Nat. Prod. Commun. 2009, 4, 591–610. [Google Scholar] [PubMed]
- Lindstedt, S.; Hansson, J.; Hlebowicz, J. The effect of negative wound pressure therapy on haemodynamics in a laparostomy wound model. Int. Wound J. 2013, 10, 285–290. [Google Scholar] [CrossRef] [PubMed]
- Zhou, H.; Huang, S. Mtor signaling in cancer cell motility and tumor metastasis. Crit. Rev. Eukaryot. Gene Expr. 2010, 20, 1–16. [Google Scholar] [CrossRef] [PubMed]
- Walker, E.H.; Pacold, M.E.; Perisic, O.; Stephens, L.; Hawkins, P.T.; Wymann, M.P.; Williams, R.L. Structural determinants of phosphoinositide 3-kinase inhibition by wortmannin, LY294002, quercetin, myricetin, and staurosporine. Mol. Cell 2000, 6, 909–919. [Google Scholar] [CrossRef]
- Weixel, K.M.; Marciszyn, A.; Alzamora, R.; Li, H.; Fischer, O.; Edinger, R.S.; Hallows, K.R.; Johnson, J.P. Resveratrol inhibits the epithelial sodium channel via phopshoinositides and AMP-activated protein kinase in kidney collecting duct cells. PLoS ONE 1932, 8, e78019. [Google Scholar] [CrossRef] [PubMed]
- Jagetia, G.C.; Aggarwal, B.B. “Spicing up” Of the immune system by curcumin. J. Clin. Immunol. 2007, 27, 19–35. [Google Scholar] [CrossRef] [PubMed]
- Safavy, A.; Raisch, K.P.; Mantena, S.; Sanford, L.L.; Sham, S.W.; Krishna, N.R.; Bonner, J.A. Design and development of water-soluble curcumin conjugates as potential anticancer agents. J. Med. Chem. 2007, 50, 6284–6288. [Google Scholar] [CrossRef] [PubMed]
- Anand, P.; Kunnumakkara, A.B.; Newman, R.A.; Aggarwal, B.B. Bioavailability of curcumin: Problems and promises. Mol. Pharm. 2007, 4, 807–818. [Google Scholar] [CrossRef] [PubMed]
- Shang, W.; Lu, W.; Han, M.; Qiao, J. The interactions of anticancer agents with tea catechins: Current evidence from preclinical studies. Anticancer Agents Med. Chem. 2014, 14, 1343–1350. [Google Scholar] [CrossRef] [PubMed]
- Somers-Edgar, T.J.; Scandlyn, M.J.; Stuart, E.C.; Nedelec, M.J.L.; Valentine, S.P.; Rosengren, R.J. The combination of epigallocatechin gallate and curcumin suppresses erα-breast cancer cell growth in vitro and in vivo. Int. J. Cancer 2008, 122, 1966–1971. [Google Scholar] [CrossRef] [PubMed]
- Luo, T.; Wang, J.; Yin, Y.; Hua, H.; Jing, J.; Sun, X.; Li, M.; Zhang, Y.; Jiang, Y. (−)-epigallocatechin gallate sensitizes breast cancer cells to paclitaxel in a murine model of breast carcinoma. Breast Cancer Res. 2010, 12, 1–10. [Google Scholar] [CrossRef] [PubMed]
- Kang, H.J.; Lee, S.H.; Price, J.E.; Kim, L.S. Curcumin suppresses the paclitaxel-induced nuclear factor-κb in breast cancer cells and potentiates the growth inhibitory effect of paclitaxel in a breast cancer nude mice model. Breast J. 2009, 15, 223–229. [Google Scholar] [CrossRef] [PubMed]
- Tomás-Barberán, F.A.; Gil, M.I.; Cremin, P.; Waterhouse, A.L.; Hess-Pierce, B.; Kader, A.A. HPLC-DAD-ESIMS analysis of phenolic compounds in nectarines, peaches, and plums. J. Agric. Food Chem. 2001, 49, 4748–4760. [Google Scholar] [CrossRef] [PubMed]
- Puchades-Carrasco, L.; Pineda-Lucena, A. Metabolomics in pharmaceutical research and development. Curr. Opin. Biotechnol. 2015, 35, 73–77. [Google Scholar] [CrossRef] [PubMed]
- Spencer, J.; Abd, E.M.M.; Minihane, A. Metabolism of dietary phytochemicals: A review of the metabolic forms identified in humans. Curr. Top. Nutraceutical. Res. 2006, 4, 187–203. [Google Scholar]
- Felgines, C.; Texier, O.; Besson, C.; Lyan, B. Strawberry pelargonidin glycosides are excreted in urine as intact glycosides and glucuronidated pelargonidin derivatives in rats. Br. J. Nutr. 2007, 98, 1126–1131. [Google Scholar] [CrossRef] [PubMed]
- Denkert, C.; Budczies, J.; Kind, T.; Weichert, W.; Tablack, P.; Sehouli, J.; Niesporek, S.; Konsgen, D.; Dietel, M.; Fiehn, O. Mass spectrometry-based metabolic profiling reveals different metabolite patterns in invasive ovarian carcinomas and ovarian borderline tumors. Cancer Res. 2006, 66, 10795–10804. [Google Scholar] [CrossRef] [PubMed]
- Yi, L.; Dong, N.; Shao, L.; Yi, Z.; Yi, Z. Chemical features of pericarpium citri reticulatae and pericarpium citri reticulatae viride revealed by GC-MS metabolomics analysis. Food Chem. 2014, 186, 192–199. [Google Scholar] [CrossRef] [PubMed]
- Fardet, A.; Llorach, R.; Martin, J.F.; Besson, C.; Lyan, B.; Pujosguillot, E.; Scalbert, A. A liquid chromatography-quadrupole time-of-flight (LC-QTOF)-based metabolomic approach reveals new metabolic effects of catechin in rats fed high-fat diets. J. Proteome Res. 2008, 7, 2388–2398. [Google Scholar] [CrossRef] [PubMed]
- Kusano, M.; Yang, Z.G.; Okazaki, Y.; Nakabayashi, R.; Fukushima, A.; Saito, K. Using metabolomic approaches to explore chemical diversity in rice. Mol. Plant 2015, 8, 58–67. [Google Scholar] [CrossRef] [PubMed]
- Solanky, K.S.; Bailey, N.J.; Holmes, E.; Lindon, J.C.; Davis, A.L.; Mulder, T.P.; Van Duynhoven, J.P.; Nicholson, J.K. NMR-based metabonomic studies on the biochemical effects of epicatechin in the rat. J. Agric. Food Chem. 2003, 51, 4139–4145. [Google Scholar] [CrossRef] [PubMed]
- Van Dorsten, F.A.; Daykin, C.A.; Mulder, T.P.; van Duynhoven, J.P. Metabonomics approach to determine metabolic differences between green tea and black tea consumption. J. Agri. Food Chem. 2006, 54, 6929–6938. [Google Scholar] [CrossRef] [PubMed]
- Hodgson, A.B.; Randell, R.K.; Mahabir-Jagessar-T, K.; Lotito, S.; Mulder, T.; Mela, D.J.; Jeukendrup, A.E.; Jacobs, D.M. Acute effects of green tea extract intake on exogenous and endogenous metabolites in human plasma. J. Agri. Food Chem. 2014, 62, 1198–1208. [Google Scholar] [CrossRef] [PubMed]
- Xie, G.; Zhao, A.; Zhao, L.; Chen, T.; Chen, H.; Qi, X.; Zheng, X.; Ni, Y.; Cheng, Y.; Lan, K. Metabolic fate of tea polyphenols in humans. J. Proteome. Res. 2012, 11, 3449–3457. [Google Scholar] [CrossRef] [PubMed]
- Van Dorsten, F.A.; Grün, C.H.; van Velzen, E.J.J.; Jacobs, D.M.; Draijer, R.; van Duynhoven, J.P.M. The metabolic fate of red wine and grape juice polyphenols in humans assessed by metabolomics. Mol. Nutr. Food Res. 2010, 54, 897–908. [Google Scholar] [CrossRef] [PubMed]
- Dudley, E.; Lemiere, F.; Dongen, W.V.; Langridge, J.I.; El-Sharkawi, S.; Games, D.E.; Esmans, E.L.; Newton, R.P. Analysis of urinary nucleosides. III. Identification of 5′-Deoxycytidine in urine of a patient with head and neck cancer. Rapid Commun. Mass Spectrom. 2003, 17, 1132–1136. [Google Scholar] [CrossRef] [PubMed]
- Schram, K.H. Urinary nucleosides &dagger. Mass Spectrom. 1998, 17, 131–251. [Google Scholar]
- Fenyves, D.; Pomier-Layrargues, G.; Willems, B.; Côté, J. Intrahepatic pressure measurement: Not an accurate reflection of portal vein pressure. Hepatology 1988, 8, 211–216. [Google Scholar] [CrossRef] [PubMed]
- Peduto, A.; Baumgartner, M.R.; Verhoeven, N.M.; Rabier, D.; Spada, M.; Nassogne, M.C.; Poll-The, B.T.T.; Bonetti, G.; Jakobs, C.; Saudubray, J.M. Hyperpipecolic acidaemia: A diagnostic tool for peroxisomal disorders. Mol. Genet. Metab. 2004, 82, 224–230. [Google Scholar] [CrossRef] [PubMed]
- Bollard, M.E.; Holmes, E.; Lindon, J.C.; Mitchell, S.C.; Branstetter, D.; Zhang, W.; Nicholson, J.K. Investigations into biochemical changes due to diurnal variation and estrus cycle in female rats using high-resolution 1 h NMR spectroscopy of urine and pattern recognition. Anal. Biochem. 2001, 295, 194–202. [Google Scholar] [CrossRef] [PubMed]
- Thielecke, F.; Boschmann, M. The potential role of green tea catechins in the prevention of the metabolic syndrome—A review. Chemlnform 2009, 70, 11–24. [Google Scholar] [CrossRef] [PubMed]
- Fujiki, H.; Sueoka, E.; Watanabe, T.; Suganuma, M. Synergistic enhancement of anticancer effects on numerous human cancer cell lines treated with the combination of egcg, other green tea catechins, and anticancer compounds. J. Cancer Res. Clin. Oncol. 2015, 141, 1511–1522. [Google Scholar] [CrossRef] [PubMed]
- Zapf, M.A.C.; Kothari, A.N.; Weber, C.E.; Arffa, M.L.; Wai, P.Y.; Driver, J.; Gupta, G.N.; Kuo, P.C.; Mi, Z.Y. Green tea component epigallocatechin-3-gallate decreases expression of osteopontin via a decrease in mrna half-life in cell lines of metastatic hepatocellular carcinoma. Surgery 2015, 158, 1039–1047. [Google Scholar] [CrossRef] [PubMed]
- Wang, D.; Xiao, R.; Hu, X.; Xu, K.; Hou, Y.; Zhong, Y.; Meng, J.; Fan, B.; Liu, L. Comparative safety evaluation of Chinese Pu-erh green tea extract and Pu-erh black tea extract in wistar rats. J. Agric. Food Chem. 2010, 58, 1350–1358. [Google Scholar] [CrossRef] [PubMed]
- Zhao, X.; Qian, Y.; Zhou, Y.L.; Wang, R.; Wang, Q.; Li, G.J. Pu-erh tea has in vitro anticancer activity in TCA8113 cells and preventive effects on buccal mucosa cancer in U14 cells injected mice in vivo. Nutr. Cancer 2014, 66, 1059–1069. [Google Scholar] [CrossRef] [PubMed]
- Jacobs, D.M.; Fuhrmann, J.C.; van Dorsten, F.A.; Rein, D.; Peters, S.; van Velzen, E.J.; Hollebrands, B.; Draijer, R.; van, D.J.; Garczarek, U. Impact of short-term intake of red wine and grape polyphenol extract on the human metabolome. J. Agric. Food Chem. 2012, 60, 3078–3085. [Google Scholar] [CrossRef] [PubMed]
- Johnson, R.H. Incidence of breast cancer with distant involvement among women in the United States, 1976–2009. JAMA 2013, 309, 1229. [Google Scholar] [CrossRef] [PubMed]
- Lin, N.U.; Carey, L.A.; Liu, M.C.; Younger, J.; Come, S.E.; Ewend, M.; Harris, G.J.; Bullitt, E.; Ad, V.D.A.; Henson, J.W. Phase II trial of lapatinib for brain metastases in patients with human epidermal growth factor receptor 2-positive breast cancer. J. Clin. Oncol. 2008, 26, 1993–1999. [Google Scholar] [CrossRef] [PubMed]
- Ekenel, M.; Hormigo, A.M.; Peak, S.; Deangelis, L.M.; Abrey, L.E. Capecitabine therapy of central nervous system metastases from breast cancer. J. Neurooncol. 2007, 85, 223–227. [Google Scholar] [CrossRef] [PubMed]
© 2016 by the authors. Licensee MDPI, Basel, Switzerland. This article is an open access article distributed under the terms and conditions of the Creative Commons Attribution (CC-BY) license ( http://creativecommons.org/licenses/by/4.0/).




















