Abstract
A novel series of diethyl {4-[(5-substituted-1,3-dioxo-1H-benzo[de]isoquinolin-2(3H)-yl)-methyl]-1H-1,2,3-triazol-1-yl}alkylphosphonates designed as analogues of amonafide was synthesized. All phosphonates were assessed for antiviral activity against a broad range of DNA and RNA viruses and several of them showed potency against varicella-zoster virus (VZV) [EC50 (50% effective concentration) = 27.6–91.5 μM]. Compound 16b exhibited the highest activity against a thymidine kinase-deficient (TK−) VZV strain (EC50 = 27.59 μM), while 16d was the most potent towards TK+ VZV (EC50 = 29.91 μM). Cytostatic properties of the compounds 14a–i–17a–i were studied on L1210, CEM, HeLa and HMEC-1 cell lines and most of them were slightly cytostatic for HeLa [IC50 (50% inhibitory concentration) = 29–130 µM] and L1210 cells [IC50 (50% inhibitory concentration) = 14–142 µM].
1. Introduction
Pharmacologically important natural as well as synthetic compounds having various heterocyclic systems including powerful pharmacophores such as triazoles and naphthalimides are of special interest. Numerous compounds of the 1,2,3-triazole family have shown a broad spectrum of biological activities, including antibacterial [1,2], antifungal [3,4,5,6], anticancer [7,8,9,10,11], antiviral [12,13,14,15,16] and antiallergic effects [17]. Furthermore, substituted 1,2,3-triazoles have also been used as agrochemicals, dyes, photostabilisers and corrosion inhibitors [18,19,20]. Various biological activities of substituted 1,2,3-triazoles are closely related to their chemical reactivity since they are able to form hydrogen bonds, could be protonated at the physiological pH and are resistant to oxidation and reduction as well as to enzymatic hydrolysis to name the most important features.
Naphthalimide derivatives such as mitonafide [21,22,23], amonafide [21,22,23,24,25], azonafide [26,27,28], DMP-840 [29] and elinafide (Lu-79553) [30,31] exhibit intercalating properties [21,22]. However, the clinical use of these compounds has been limited due to their low therapeutic indices as well as poor water-solubility [32]. In order to improve therapeutic properties of naphthalimides, many efforts have been undertaken towards synthesizing novel derivatives with higher activity and lower toxicity.
The concept of combining two pharmacophoric fragments of biologically active compounds into a single molecule is commonly applied aiming at improvement of activities and eventually to avoid serious side effects of the known candidates. Having this idea in mind several structural analogues of amonafide have been synthesized over the years (Figure 1).
Figure 1.
Examples of naphthalimides containing triazole units.
Qian and Li reported the synthesis of 6-(1,2,3-triazole)-1,8-naphthalimides 1 and proved their cytotoxic activity [33]. Furthermore, 5-substituted analogues 2 were also obtained and their cytotoxicity against MCF-7, HeLa and 7721 cells was evaluated [34]. Among all tested compounds 2, derivatives having a 2-(N,N-dimethylamino)ethyl group at the imide nitrogen and phenyl at C4 in the 1,2,3-triazole ring or alternatively lacking this substituent were found the most active (IC50 in the 0.258–0.725 μM range) with inhibition abilities higher than that of amonafide, used as a control. On the other hand, antifungal and antimicrobial properties of 1,2,4-triazole derivatives 3 were examined and several compounds exhibited even better activity against some tested strains than orbifloxacin, chloromycin and fluconazole used as reference drugs [35]. Among bis(1,2,3-triazole)-conjugates of naphthalimides 4, a derivative substituted with 3,4-dichlorophenyl groups exhibited better inhibitory activity toward Escherichia coli than norfloxacin and chloromycin with a minimum inhibitory concentration (MIC) value of 1 μg/mL [36].
These achievements prompted us to propose a new modification at the imide nitrogen of amonafide 14–17 by installation of N1-substituted 1,2,3-triazoles decorated at the end of the alkyl chain with phosphonoalkyl groups. We aimed to understand the influence of the phosphonate group on the biological activity of the designed amonafide analogues. On the other hand, compounds 14–17 resemble analogues of acyclic nucleotides in which the phosphate group is replaced with a phosphonate moiety and a naphthalimide fragment serves as a modified nucleobase. Thus, in principle compounds 14–17 may primarily act as intercalators (through a naphthalimide ring) but also by a phosphonate activation and termination of DNA/RNA synthesis.
2. Results and Discussion
2.1. Chemistry
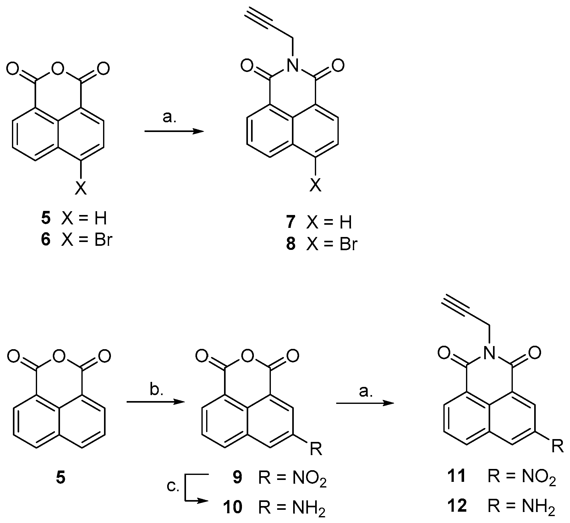
The synthetic strategy to the 1,2,3-triazole-containing naphthalimide derivatives 14a–i–17a–i is presented in Scheme 1 and Scheme 2. The syntheses of alkynes 7 [37,38,39] and 8 [40,41,42] have been previously described. For the purpose of this project both 7 and 8 were obtained following the known procedure described for 8 [41], although it appeared to be a new approach to the preparation of a compound 7. The alkynes 11 and 12 were synthesized from commercially available 1,8-naphthalimic anhydride 5 as shown in Scheme 1. The nitration of the anhydride 5 provided 9 [43] which was then reduced to give a compound 10 [44]. The subsequent propargylation of 9 and 10 afforded the alkynes 11 and 12, respectively. Azidophosphonates 13a–i [45,46,47,48,49,50] were previously obtained and fully characterized in our laboratory. The Cu(I)-catalyzed Hüisgen dipolar cycloaddition of N-propargyl derivatives 7–8/11–12 and the respective azidoalkylphosphonates 13a–i [45,46,47,48,49,50] allowed to construct naphthalimides 14a–i–17a–i having various phosphonoalkyl groups regioselectively installed at N-1 of the 1,2,3-triazole subunit (Scheme 2). The chromatographic purification or crystallization gave pure 14a–i–17a–i in good to excellent yields. Their structures and purities were established by 1H, 13C and 31P NMR and IR techniques as well as by elemental analyses.
Scheme 1.
Synthesis of the alkynes 7, 8, 11 and 12. Reagents and Conditions: a. propargylamine, EtOH, reflux (3 h for 7, 11 and 12; 20 h for 8); b. HNO3, H2SO4; c. SnCl2, HCl.
Scheme 2.
Synthesis of 1,2,3-triazoles derivatives 14a–i–17a–i.
2.2. Antiviral Activity and Cytostatic/Cytotoxic Evaluation
Phosphonates 14a–i–17a–i were evaluated for their antiviral activities against a wide variety of DNA and RNA viruses using the following cell-based assays: (a) human embryonic lung (HEL) cell cultures: herpes simplex virus-1 (KOS strain), herpes simplex virus-2 (G strain), vaccinia virus, vesicular stomatitis virus, thymidine kinase-deficient herpes simplex virus-1 (TK− KOS ACVr) and adenovirus-2, cytomegalovirus (AD-169 stain and Davis stains) and varicella-zoster virus (TK+ VZV stain and TK− VZV stain); (b) HeLa cell cultures: vesicular stomatitis virus, Coxsackie virus B4 and respiratory syncytial virus; (c) Vero cell cultures: para-influenza-3 virus, reovirus-1, Sindbis virus, Coxsackie virus B4, Punta Toro virus; (d) Crandell-Rees Feline Kidney (CRFK) cell cultures: feline corona virus (FIPV) and feline herpes virus (FHV) and (e) Madin Darby Canine Kidney (MDCK) cell cultures: influenza A virus H1N1 subtype, influenza A virus H3N2 subtype and influenza B virus. Ganciclovir, cidofovir, acyclovir, brivudin, (S)-9-(2,3-dihydroxypropyl)adenine [(S)-DHPA], Hippeastrum hybrid agglutinin (HHA), Urticadioica agglutinin (UDA), dextran sulfate (molecular weight 5000, DS-5000), ribavirin, oseltamivir carboxylate, amantadine and rimantadine were used as the reference compounds. The antiviral activity was expressed as the EC50: the compound concentration required to reduce virus-induced cytopathogenicity by 50% (other viruses).
Among the synthesized compounds, several phosphonates 14, 15 and 16 slightly inhibited the replication of both TK+ and TK− VZV strains with EC50 in the 27.6–91.5 μM range, however with lower potency than that of acyclovir and brivudine, used as reference drugs (Table 1).
Table 1.
The antiviral activity and cytotoxicity against varicella-zoster virus (VZV) in HEL cell cultures.
The cytotoxicity of the tested compounds toward the uninfected host cells was defined as the minimum cytotoxic concentration (MCC) that causes a microscopically detectable alteration of normal cell morphology. The 50% cytotoxic concentration (CC50), causing a 50% decrease in cell viability was determined using a colorimetric 3-(4,5-dimethylthiazol-2-yl)-5-(3-carboxymethoxy-phenyl)-2-(4-sulfophenyl)-2H-tetrazolium (MTS) assay system. None of the tested compounds affected cell morphology of HEL, HeLa, Vero, MDCK and CRFK cells at concentrations up to 100 μM.
The cytostatic activity of the tested compounds was defined as the 50% cytostatic inhibitory concentration (IC50) causing a 50% decrease in cell proliferation and was determined against murine leukaemia L1210, human lymphocyte CEM, human cervix carcinoma HeLa and human dermal microvascular endothelial HMEC-1 cells (Table 2).
Table 2.
The inhibitory effect of the tested compounds against the proliferation of murine leukemia (L1210), human T-lymphocyte (CEM) and human cervix carcinoma cells (HeLa).
Among all tested compounds 1,2,3-triazole-amonafide conjugates 15a–i having a bromine atom at C6 of the naphthalimide unit were the most cystostatic toward the tested tumor cell lines at concentrations as low as 14 μM being especially effective for L1210 (IC50 = 14–42 μM). Conjugates 16a–i containing the nitro group at C5 were slightly less active and showed moderate cytostatic effects toward HeLa cells (IC50 = 29–132 μM). The replacement of the nitro by an amino group at C5 of the naphthalimide skeleton resulted in the decrease or even loss of the inhibitory capacity of the respective analogues (15a–i vs. 17a–i). Similarly, negligible inhibitory properties against the proliferation of the tested cell lines were noticed for the series of naphthalimide phosphonates 14a–i (R = H).
The presence of the 1,2,3-triazole unit seems to be necessary for cytostatic activity of the tested compounds since naphthalimides devoid of this moiety appeared inactive (11 vs. 16a–i and 8 vs. 15a–i). However, it was found that a compound 7 moderately inhibited (IC50 = 48 μM) the proliferation of HeLa cells while naphthalimides 14a–i could be considered inactive (IC50 = 150–>250 μM). Among the 1,2,3-triazoles with phosphonate linkers [compounds 16 (nitro) and 15 (bromo)], the compounds with longer fragments are generally associated with the higher potency, e.g., 16c and 15c (trimethylene), 15d (tetramethylene) and 15h (CH2CH2OCH2CH2), the lowest activity being observed for 16e and 15e [CH(OH)CH2] as well as for 16i and 15i [CH2NHC(O)CH2] with shorter fragments.
3. Experimental Section
3.1. General Information
1H-NMR spectra were taken in CDCl3 or DMSO-d6 on the following spectrometers: Mercury-200 (Varian NMR INSTRUMENT, Palo Alto, CA, USA) and Avance III (600 MHz) (Bruker Instruments, Karlsruhe, Germany) with TMS as an internal standard; chemical shifts δ are given in ppm with respect to TMS and coupling constants J in Hz. 13C-NMR spectra were recorded for CDCl3 or DMSO-d6 solutions on a Bruker Avance III (600 MHz) spectrometer at 151 MHz. 31P-NMR spectra were taken in CDCl3 or DMSO-d6 on Varian Mercury-200 and Bruker Avance III at 81 and 243 MHz.
IR spectral data were measured on an Infinity MI-60 FT-IR spectrometer (ATI Instruments North America—Mattson, Medison, WI, USA). Melting points were determined on a Boetius apparatus and are uncorrected. Elemental analyses were performed by the Microanalytical Laboratory of the Faculty of Pharmacy (Medical University of Lodz) on a PE 2400 CHNS analyser (Perkin Elmer Corp., Norwalk, CT, USA).
The following adsorbents were used: column chromatography, silica gel 60 (70–230 mesh, Merck KGaA, Darmstadt, Germany); analytical TLC, Merck TLC plastic sheets silica gel 60 F254. TLC plates were developed in chloroform–methanol solvent systems. Visualization of spots was effected with iodine vapors. All solvents were purified by methods described in the literature.
All microwave irradiation experiments were carried out in a RM 800 microwave reactor (Plazmatronika, Wrocław, Poland).
3.2. Synthesis of 2-(Prop-2-yn-1-yl)-1H-benzo[de]isoquinoline-1,3(2H)-dione (7)
A suspension of a compound 5 (1.00 mmol), propargyl amine (1.05 mmol) in ethanol (15 mL) was stirred at 78 °C for 3 h. The reaction mixture was cooled to room temperature and filtered to give pure 7 as a white powder. Yield 90%; m.p. 239–240 °C; IR (KBr): ν = 3244, 3001, 2996, 1734, 1689, 1331, 780 cm−1; 1H-NMR (200 MHz, CDCl3): δ = 8.65 (dd, J = 7.3 Hz, J = 1.2 Hz, 2H, Haromat.), 8.24 (dd, J = 8.1 Hz, J = 1.2 Hz, 2H, Haromat.), 7.78 (dd, J = 8.1 Hz, J = 7.3 Hz, 2H, Haromat.), 4.97 (d, J = 2.5 Hz, 1H, HC≡CCH2), 2.20 (t, J = 2.5 Hz, 2H, HC≡CCH2).
3.3. Synthesis of 5-Nitro-2-(prop-2-yn-1-yl)-1H-benzo[de]isoquinoline-1,3(2H)-dione (11)
A suspension of compound 9 (1.00 mmol), propargyl amine (1.05 mmol) in ethanol (15 mL) was stirred at 78 °C for 4 h. The reaction mixture was cooled to room temperature then filtered to give 11 as an orange powder which was pure to be used in the next step without further purification. Yield 90%; m.p. = 213–214 °C; IR (KBr): ν = 3257, 3082, 3064, 2992, 1711, 1672, 1344, 789 cm−1; 1H-NMR (200 MHz, CDCl3): δ = 9.30 (d, J = 2.2 Hz, 1H, Haromat.), 9.11 (d, J = 2.2 Hz, 1H, Haromat.), 8.78 (dd, J = 7.3 Hz, J = 1.2 Hz, 1H, Haromat.), 8.40 (dd, J = 8.3 Hz, J = 1.2 Hz, 1H, Haromat.), 7.91 (dd, J = 8.3 Hz, J = 7.3 Hz, 1H, Haromat.), 4.97 (d, J = 2.5 Hz, 1H, HC≡CCH2), 2.20 (t, J = 2.5 Hz, 2H, HC≡CCH2); 13C-NMR (151 MHz, DMSO-d6): δ = 162.45, 161.99, 146.30, 137.18, 134.69, 131.38, 130.52, 129.99, 129.76, 124.03, 123.66, 122.61, 79.37, 73.81, 29.90. Anal. Calcd. for C15H8N2O4: C, 64.29; H, 2.88; N, 10.00. Found: C, 64.33; H, 3.02; N, 9.95.
3.4. Synthesis of 5-Amino-2-(prop-2-yn-1-yl)-1H-benzo[de]isoquinoline-1,3(2H)-dione (12)
A suspension of compound 10 (1.00 mmol), propargyl amine (1.05 mmol) in ethanol (15 mL) was stirred at 78 °C for 3 h. The reaction mixture was cooled to room temperature and filtered to give 12 as orange needles which were pure to be used in the next step without further purification. Yield 92%; m.p. ˃250 °C; IR (KBr): ν = 3406, 3373, 3209, 2999, 1730, 1693, 1445, 782 cm−1; 1H-NMR (200 MHz, DMSO-d6): δ = 8.11 (d, J = 7.2 Hz, 1H, Haromat.), 8.06 (d, J = 8.2 Hz, 1H, Haromat.), 7.99 (d, J = 2.2 Hz, 1H, Haromat.), 7.63 (dd, J = 8.2 Hz, J = 7.2 Hz, 1H, Haromat.), 7.31 (d, J = 2.2 Hz, 1H, Haromat.), 6.04 (s, 2H, NH2), 4.75 (d, J = 2.2 Hz, 1H, HC≡CCH2), 3.13 (t, J = 2.2 Hz, 2H, HC≡CCH2); 13C-NMR (151 MHz, DMSO-d6): δ = 163.48, 163.31, 148.42, 134.09, 132.41, 127.49, 126.20, 122.65, 122.38, 121.86, 120.97, 112.65, 80.00, 73.26, 29.47. Anal. Calcd. for C15H10N2O2: C, 71.99; H, 4.03; N, 11.19. Found: C, 71.74; H, 3.98; N, 10.96.
3.5. General Procedure for Copper(I)-Catalyzed Cycloaddition Reactions
To a solution of azidoalkylphosphonate 13a–i (1.00 mmol) in EtOH (1.0 mL) and H2O (1.0 mL), CuSO4 × 5H2O (0.10 mmol), sodium ascorbate (0.20 mmol) and the respective N-propargyl naphthalimides 7/8–11/12 (1.00 mmol) were added. The reaction mixture was microwave irradiated at 35–40 °C for 15 min. After removal of solvents the residue was suspended in chloroform (5 mL), filtered through a layer of Celite and concentrated in vacuo. Crude products were purified on silica gel columns with chloroform–methanol mixtures (100:1 or 50:1, v/v) or crystallized from the appropriate solvents to give the 1,2,3-triazoles 14a–i–17a–i.
Diethyl {4-[1,3-Dioxo-1H-benzo[de]isoquinolin-2(3H)-yl)methyl]-1H-1,2,3-triazol-1-yl}methylphosphonate (14a): Yield 81% (after crystallization from an ethyl acetate–hexane mixture). A white solid; m.p. 110–111 °C; IR (KBr): ν = 3446, 3245, 3234, 2983, 2931, 1700, 1659, 1236, 1023, 782, cm−1; 1H-NMR (200 MHz, CDCl3): δ = 8.54 (dd, J = 7.3 Hz, J = 1.2 Hz, 2H, Haromat.), 8.16 (dd, J = 8.1 Hz, J = 1.2 Hz, 2H, Haromat.), 7.86 (s, 1H, HC5′), 7.70 (dd, J = 8.1 Hz, J = 7.3 Hz, 2H, Haromat.), 5.49 (s, 2H, CH2), 4.71 (d, J = 13.0 Hz, 2H, PCH2), 4.15–4.00 (m, 4H, 2 × POCH2CH3), 1.24 (t, J = 7.0 Hz, 6H, 2 × POCH2CH3); 13C-NMR (151 MHz, CDCl3): δ = 163.81, 144.18, 134.14, 131.63, 131.46, 128.24, 126.92, 124.27, 122.51, 63.46 (d, J = 6.6 Hz, POC), 45.83 (d, J = 155.3 Hz, PC), 35.18, 16.24 (d, J = 5.7 Hz, POCC); 31P-NMR (81 MHz, CDCl3): δ = 16.57 ppm. Anal. Calcd. for C20H21N4O5P: C, 56.08; H, 4.94; N, 13.08. Found: C, 56.21; H, 4.76; N, 12.84.
Diethyl 2-{4-[(1,3-Dioxo-1H-benzo[de]isoquinolin-2(3H)-yl)methyl]-1H-1,2,3-triazol-1-yl}ethylphosphonate (14b): Yield 79% (after crystallization from an ethyl acetate–hexane mixture). A white solid; m.p. 63–64 °C; IR (KBr): ν = 3422, 3245, 2981, 2927, 1701, 1659, 1588, 1237, 1026, 780 cm−1; 1H-NMR (200 MHz, CDCl3): δ = 8.62 (dd, J = 7.3 Hz, J = 1.2 Hz, 2H, Haromat.), 8.22 (dd, J = 8.3 Hz, J = 1.2 Hz, 2H, Haromat.), 7.75 (dd, J = 8.3 Hz, J = 7.3 Hz, 2H, Haromat.), 7.69 (s, 1H, HC5′), 5.51 (s, 2H, CH2), 4.62–4.48 (m, 2H, PCH2CH2), 4.12–3.98 (m, 4H, 2 × POCH2CH3), 2.46–2.29 (m, 2H, PCH2), 1.26 (t, J = 7.0 Hz, 6H, 2 × POCH2CH3); 13C-NMR (151 MHz, CDCl3): δ = 163.85, 143.77, 134.78, 131.63, 131.49, 128.23, 126.95, 123.52, 122.51, 62.10 (d, J = 6.5 Hz, POC), 44.47 (PCC), 35.23, 27.29 (d, J = 143.0 Hz, PC), 16.32 (d, J = 5.9 Hz, POCC); 31P-NMR (81 MHz, CDCl3): δ = 26.30 ppm. Anal. Calcd. for C21H23N4O5P × 0.5H2O: C, 55.87; H, 5.36; N, 12.41. Found: C, 55.93; H, 5.15; N, 12.38.
Diethyl 3-{4-[(1,3-Dioxo-1H-benzo[de]isoquinolin-2(3H)-yl)methyl]-1H-1,2,3-triazol-1-yl}propylphosphonate (14c): Yield 78% (after crystallization from an ethyl acetate–hexane mixture). A white solid; m.p. 131–132 °C; IR (KBr): ν = 3440, 3143, 2984, 1703, 1662, 1590, 1236, 1050, 785, 755 cm−1; 1H-NMR (600 MHz, CDCl3): δ = 8.64 (d, J = 7.3 Hz, 2H, Haromat.), 8.22 (d, J = 8.3 Hz, 2H, Haromat.), 7.77 (dd, J = 8.3 Hz, J = 7.3 Hz, 2H, Haromat.), 7.69 (s, 1H, HC5′), 5.53 (s, 2H, CH2), 4.41 (t, J = 6.9 Hz, 2H, PCH2CH2CH2), 4.12–4.03 (m, 4H, 2 × POCH2CH3), 2.20 (dqu, J = 21.7 Hz, J = 6.9 Hz, 2H, PCH2CH2), 1.72 (dt, J = 18.6 Hz, J = 8.0 Hz, 2H, PCH2), 1.30 (t, J = 7.1 Hz, 6H, 2 × POCH2CH3); 13C-NMR (151 MHz, CDCl3): δ = 163.84, 143.52, 134.12, 131.64, 131.48, 128.25, 126.92, 123.40, 122.55, 61.74 (d, J = 6.5 Hz, POC), 50.02 (d, J = 15.5 Hz, PCCC), 35.25, 23.65 (d, J = 4.5 Hz, PCC), 22.66 (d, J = 143.5 Hz, PC), 16.39 (d, J = 6.2 Hz, POCC); 31P-NMR (243 MHz, CDCl3): δ = 29.99 ppm. Anal. Calcd. for C22H25N4O5P: C, 57.89; H, 5.52; N, 12.27. Found: C, 57.73; H, 5.23; N, 12.26.
Diethyl 4-{4-[(1,3-Dioxo-1H-benzo[de]isoquinolin-2(3H)-yl)methyl]-1H-1,2,3-triazol-1-yl}butylphosphonate (14d): Yield 85% (after crystallization from an ethyl acetate–hexane mixture). A white solid; m.p. 131–132 °C; IR (KBr): ν = 3399, 3142, 3073, 2982, 2875, 1702, 1663, 1626, 1590, 1236, 1031, 786 cm−1; 1H-NMR (200 MHz, CDCl3): δ = 8.61 (dd, J = 7.3 Hz, J = 1.0 Hz, 2H, Haromat.), 8.20 (d, J = 8.3 Hz, J = 1.0 Hz, 2H, Haromat.), 7.74 (dd, J = 8.3 Hz, J = 7.3 Hz, 2H, Haromat.), 7.63 (s, 1H, HC5′), 5.50 (s, 2H, CH2), 4.30 (t, J = 7.2 Hz, 2H, PCCCCH2), 4.13–3.95 (m, 4H, 2 × POCH2CH3), 2.00 (qu, J = 6.9 Hz, 2H, PCCCH2), 1.80–1.49 (m, 4H, PCCH2 and PCH2), 1.30 (t, J = 7.1 Hz, 6H, 2 × POCH2CH3); 13C-NMR (151 MHz, CDCl3): δ = 163.88, 143.73, 134.11, 131.63, 131.46, 128.25, 126.92, 123.13 122.56, 61.54 (d, J = 6.0 Hz, 2 × POC), 49.63, 35.27, 30.76 (d, J = 15.9 Hz, PCCC), 25.00 (d, J = 141.9 Hz, PC), 19.72 (d, J = 4.5 Hz, PCC), 16.41 (d, J = 6.0 Hz, POCC); 31P-NMR (81 MHz, CDCl3): δ = 31.78 ppm. Anal. Calcd. for C23H27N4O5P: C, 58.72; H, 5.78; N, 11.91. Found: C, 58.66; H, 5.64; N, 11.86.
Diethyl 2-{4-[(1,3-Dioxo-1H-benzo[de]isoquinolin-2(3H)-yl)methyl]-1H-1,2,3-triazol-1-yl}-1-hydroxyethylphosphonate (14e): Yield 80% (after crystallization from a methanol–diethyl ether mixture). A white solid; m.p. 186–188 °C; IR (KBr): ν = 3300, 3192, 2983, 1704, 1690, 1221, 1040, 1024, 787 cm−1; 1H-NMR (600 MHz, CDCl3): δ = 8.59 (dd, J = 7.3 Hz, J = 0.8 Hz, 2H, Haromat.), 8.19 (dd, J = 8.2 Hz, J = 0.8 Hz, 2H, Haromat.), 7.85 (s, 1H, HC5′), 7.75 (dd, J = 8.2 Hz, J = 7.3 Hz, 2H, Haromat.), 5.51 (AB, J = 14.5 Hz, 1H, CHaHb), 5.49 (AB, J = 14.5 Hz, 1H, CHaHb), 4.78 (ddd, J = 14.3 Hz, J = 6.2 Hz, J = 2.5 Hz, 1H, PCCHaHb), 4.38 (ddd, J = 14.3 Hz, J = 9.6 Hz, J = 5.5 Hz, 1H, PCCHaHb), 4.35 (dt, J = 9.6 Hz, J = 2.5 Hz, 1H, PCH), 4.22–4.11 (m, 4H, 2 × POCH2CH3), 1.35 (t, J = 7.0 Hz, 3H, POCH2CH3), 1.32 (t, J = 7.0 Hz, 3H, POCH2CH3); 13C-NMR (151 MHz, CDCl3): δ = 163.74, 143.38, 134.04, 131.50, 131.35, 128.07, 126.87, 124.98, 122.2, 67.19 (d, J = 164.6 Hz, PC), 63.58 and 63.24 (2 × d, J = 7.6 Hz, 2 × POC), 51.57 (d, J = 9.1 Hz, PCC), 35.20, 16.42 and 16.38 (2 × d, J = 6.0 Hz, 2 × POCC); 31P-NMR (243 MHz, CDCl3): δ = 19.89 ppm. Anal. Calcd. for C21H23N4O6P: C, 55.02; H, 5.06; N, 12.22. Found: C, 55.10; H, 4.88; N, 12.22.
Diethyl 3-{4-[(1,3-Dioxo-1H-benzo[de]isoquinolin-2(3H)-yl)methyl]-1H-1,2,3-triazol-1-yl}-2-hydroxypropylphosphonate (14f): Yield 90% (after crystallization from a methanol–diethyl ether mixture). A white solid; m.p. >260 °C; IR (KBr): ν = 3430, 3148, 2986, 2930, 1776, 1740, 1237, 1029, 755 cm−1; 1H-NMR (200 MHz, CDCl3): δ = 8.60 (dd, J = 7.9 Hz, J = 0.9 Hz, 2H, Haromat.), 8.20 (dd, J = 8.3 Hz, J = 0.9 Hz, 2H, Haromat.), 7.82 (s, 1H, HC5′), 7.73 (dd, J = 7.9 Hz, J = 8.3 Hz, 2H, Haromat.), 5.51 (s, 2H, CH2), 4.55–4.27 (m, 3H, PCCCH2, OH), 4.19–3.96 (m, 5H, PCCH, 2 × POCH2CH3), 2.06–1.67 (m, 2H, PCH2), 1.32 and 1.26 (t, J = 7.0 Hz, 3H, POCH2CH3); 13C-NMR (151 MHz, CDCl3): δ = 163.83, 143.63, 134.07, 131.59, 131.44, 128.21, 126.90, 124.85, 122.53, 65.62 (d, J = 3.0 Hz, PCC), 62.21 (d, J = 6.4 Hz, POC), 62.18 (d, J = 6.4 Hz, POC), 55.72 (d, J = 16.6 Hz, PCCC), 35.26, 30.59 (d, J = 139.8 Hz, PC), 16.30 (d, J = 6.0 Hz, 2 × POCC); 31P-NMR (81 MHz, CDCl3): δ = 29.28 ppm. Anal. Calcd. for C22H25N4O6P: C, 55.93; H, 5.33; N, 11.86. Found: C, 55.79; H, 5.14; N, 11.86.
Diethyl 2-{4-[(1,3-Dioxo-1H-benzo[de]isoquinolin-2(3H)-yl)methyl]-1H-1,2,3-triazol-1-yl}ethoxy-methylphosphonate (14g): Yield 82% (after crystallization from a methanol–diethyl ether mixture). A white solid; m.p. 154–155 °C; IR (KBr): ν = 3319, 3148, 3068, 3988, 2980, 2908, 1704, 1662, 1590, 1237, 1029, 784, 756 cm−1; 1H-NMR (200 MHz, CDCl3): δ = 8.60 (dd, J = 7.3 Hz, J = 1.0 Hz, 2H, Haromat.), 8.19 (dd, J = 8.3 Hz, J = 1.0 Hz, 2H, Haromat.), 7.77 (s, 1H, HC5′), 7.74 (dd, J = 8.3 Hz, J = 7.3 Hz, 2H, Haromat.), 5.50 (s, 2H, CH2), 4.50 (t, J = 4.9 Hz, 2H, PCH2OCH2CH2), 4.15–4.00 (m, 4H, 2 × POCH2CH3) 3.95 (t, J = 4.9 Hz, 2H, PCOCH2CH2), 3.74 (d, J = 8.2 Hz, 2H, PCH2O), 1.28 (t, J = 7.1 Hz, 6H, 2 × POCH2CH3); 13C-NMR (151 MHz, CDCl3): δ = 163.82, 143.76, 134.09, 131.63, 131.43, 128.24, 126.92, 123.90, 122.57, 71.35 (d, J = 10.1 Hz, PCOC), 65.36 (d, J = 166.3 Hz, PC), 62.40 (d, J = 6.5 Hz, POC), 50.02, 35.25, 16.42 (d, J = 6.0 Hz, 2 × POCC); 31P-NMR (81 MHz, CDCl3): δ = 21.16 ppm. Anal. Calcd. for C22H25N4O6P: C, 55.93; H, 5.33; N, 11.86. Found: C, 55.90; H, 5.28; N, 11.84.
Diethyl 2-(2-{4-[(1,3-Dioxo-1H-benzo[de]isoquinolin-2(3H)-yl)methyl]-1H-1,2,3-triazol-1-yl}ethoxy)ethylphosphonate (14h): Yield 79% (after crystallization from a methanol–diethyl ether mixture). A white solid; m.p. 156–158 °C; IR (KBr): ν = 3352, 3144, 2985, 2932, 2906, 1703, 1662, 1237, 1028, 785, 754 cm−1; 1H-NMR (200 MHz, CDCl3): δ = 8.60 (dd, J = 7.2 Hz, J = 0.9 Hz, 2H, Haromat.), 8.22 (dd, J = 7.9 Hz, J = 0.9 Hz, 2H, Haromat.), 7.78 (s, 1H, HC5′), 7.74 (dd, J = 7.9 Hz, J = 7.2 Hz, 1H, Haromat.), 5.59 (s, 2H, CH2), 4.47 (t, J = 5.3 Hz, 2H, PCH2CH2OCH2CH2), 4.11–3.97 (m, 4H, 2 × POCH2CH3), 3.77 (t, J = 5.3 Hz, 2H, PCCOCH2CH2), 3.64 (dt, J = 11.8 Hz, J = 7.6 Hz, 2H, PCH2CH2O), 2.03 (dt, J = 18.7 Hz, J = 7.6 Hz, 2H, PCH2CH2O), 1.28 (t, J = 7.1 Hz, 6H, 2 × POCH2CH3); 13C-NMR (151 MHz, CDCl3): δ = 163.86, 143.56, 134.07, 131.63, 131.44, 128.25, 126.92, 124.28, 122.60, 68.90, 65.23 (PCCO), 61.65 (d, J = 6.0 Hz, POC), 50.06, 35.27, 26.33 (d, J = 138.9 Hz, PC), 16.39 (d, J = 6.1 Hz, POCC); 31P-NMR (81 MHz, CDCl3): δ = 28.75 ppm. Anal. Calcd. for C23H27N4O6P: C, 56.79; H, 5.59; N, 11.52. Found: C, 56.72; H, 5.42; N, 11.70.
Diethyl 2-{4-[(1,3-Dioxo-1H-benzo[de]isoquinolin-2(3H)-yl)methyl]-1H-1,2,3-triazol-1-yl}acetamido-methylphosphonate (14i): Yield 91% (after column chromatography with chloroform–methanol mixtures (100:1 or 50:1, v/v)). A white powder; m.p. 170–171 °C; IR (KBr): ν = 3355, 2974, 2930, 1660, 1626, 1237, 1050, 782 cm−1; 1H-NMR (200 MHz, CDCl3): δ = 8.51 (dd, J = 7.3 Hz, J = 1.1 Hz, 2H, Haromat.), 8.12 (dd, J = 8.2 Hz, J = 1.1 Hz, 2H, Haromat.), 7.80 (s, 1H, HC5′), 7.66 (dd, J = 8.2 Hz, J = 7.3 Hz, 2H, Haromat.), 7.49 (t, J = 5.9 Hz, 1H, NHCO), 5.44 (s, 2H, CH2), 5.01 (s, 2H), 4.06–3.92 (m, 4H, 2 × POCH2CH3), 3.62 (dd, J = 12.2 Hz, J = 5.9 Hz, 2H, PCH2NH), 1.17 (t, J = 7.1 Hz, 6H, 2 × POCH2CH3); 13C-NMR (151 MHz, CDCl3): δ = 165.24 (d, J = 5.5 Hz, C=O), 163.82, 144.09, 134.15, 131.60, 131.48, 128.20, 126.93, 124.93, 122.47, 62.84 (d, J = 6.5 Hz, POC), 52.56, 35.17, 34.97 (d, J = 156.5 Hz, PC), 16.28 (d, J = 5.6 Hz, POCC); 31P-NMR (81 MHz, CDCl3): δ = 22.21 ppm. Anal. Calcd. for C22H24N5O6P: C, 54.43; H, 4.98; N, 14.43. Found: C, 54.38; H, 4.82; N, 14.35.
Diethyl {4-[(6-Bromo-1,3-dioxo-1H-benzo[de]isoquinolin-2(3H)-yl)methyl]-1H-1,2,3-triazol-1-yl}methylphosphonate (15a): Yield 82% (after column chromatography with chloroform–methanol mixtures (100:1 and 50:1, v/v)). A white powder; m.p. 158–159 °C; IR (KBr): ν = 3334, 3052, 3008, 2989, 2967, 1711, 1670, 1222, 1032, 757 cm−1; 1H-NMR (600 MHz, CDCl3): δ = 8.67 (d, J = 7.8 Hz, 1H, Haromat.), 8.59 (d, J = 8.5 Hz, 1H, Haromat.), 8.46 (d, J = 7.8 Hz, 1H, Haromat.), 8.05 (d, J = 7.8 Hz, 1H, Haromat.), 7.88 (s, 1H, HC5′), 7.86 (dd, J = 8.5 Hz, J = 7.8 Hz, 1H, Haromat.), 5.53 (s, 2H, CH2), 4.74 (d, J = 13.0 Hz, 2H, PCH2), 4.15–4.00 (m, 4H, 2 × POCH2CH3), 1.29 (t, J = 7.0 Hz, 6H, 2 × POCH2CH3); 13C-NMR (151 MHz, CDCl3): δ = 163.24, 163.21, 143.87, 133.49, 132.28, 131.46, 131.13, 130.68, 130.52, 129.07, 128.08, 124.30, 122.94, 122.07, 63.45 (d, J = 6.4 Hz, POC), 45.63 (d, J = 156.4 Hz, PC), 35.26, 16.25 (d, J = 6.8 Hz, POCC); 31P-NMR (243 MHz, CDCl3): δ = 16.65 ppm. Anal. Calcd. for C20H20BrN4O5P: C, 47.35; H, 3.97; N, 11.04. Found: C, 47.31; H, 3.73; N, 10.99.
Diethyl 2-{4-(6-Bromo-1,3-dioxo-1H-benzo[de]isoquinolin-2(3H)-yl)methyl)-1H-1,2,3-triazol-1-yl}ethylphosphonate (15b): Yield 80% (after crystallization from ethyl acetate). A white solid; m.p. 132–134 °C; IR (KBr): ν = 3400, 3352, 3308, 2985, 2932, 1703, 1666, 1232, 1026, 779, 750 cm−1; 1H-NMR (200 MHz, CDCl3): δ = 8.61 (dd, J = 7.3 Hz, J = 1.2 Hz, 1H, Haromat.), 8.50 (dd, J = 7.3 Hz, J = 1.2 Hz, 1H, Haromat.), 8.37 (d, J = 8.3 Hz, 1H, Haromat.), 7.98 (d, J = 7.9 Hz, 1H, Haromat.), 7.78 (dd, J = 8.3 Hz, J = 7.3 Hz, 1H, Haromat.), 7.64 (s, 1H, HC5′), 5.48 (s, 2H, CH2), 4.57–4.43 (m, 2H, PCH2CH2), 4.07–3.93 (m, 4H, 2 × POCH2CH3), 2.41–2.29 (m, 2H, PCH2), 1.21 (t, J = 7.1 Hz, 6H, 2 × POCH2CH3); 13C-NMR (151 MHz, CDCl3): δ = 163.15, 163.14, 143.43, 133.42, 132.22, 131.38, 131.09, 130.58, 130.48, 128.94, 128.06, 123.58, 122.85, 121.98, 62.09 (d, J = 6.5 Hz, POC), 44.48 (PCC), 35.28, 27.26 (d, J = 141.0 Hz, PC), 16.32 (d, J = 5.8 Hz, POCC); 31P-NMR (243 MHz, CDCl3): δ = 26.28 ppm. Anal. Calcd. for C21H22BrN4O5P: C, 48.38; H, 4.25; N, 10.75. Found: C, 48.07; H, 4.10; N, 10.62.
Diethyl 3-{4-[(6-Bromo-1,3-dioxo-1H-benzo[de]isoquinolin-2(3H)-yl)methyl]-1H-1,2,3-triazol-1-yl}propylphosphonate (15c): Yield 76% (after crystallization from an ethyl acetate–hexane mixture). A white solid; m.p. 118–120 °C; IR (KBr): ν = 3404, 2990, 2942, 2829, 1705, 1666, 1590, 1234, 1047, 1029, 752 cm−1; 1H-NMR (200 MHz, CDCl3): δ = 8.68 (dd, J = 7.3 Hz, J = 1.2 Hz, 1H, Haromat.), 8.56 (dd, J = 8.3 Hz, J = 1.2 Hz, 1H, Haromat.), 8.42 (d, J = 7.9 Hz, 1H, Haromat.), 8.04 (d, J = 7.9 Hz, 1H, Haromat.), 7.84 (dd, J = 8.3 Hz, J = 7.3 Hz, 1H, Haromat.), 7.67 (s, 1H, HC5′), 5.49 (s, 2H, CH2), 4.40 (t, J = 7.0 Hz, 2H, PCH2CH2CH2), 4.15–3.96 (m, 4H, 2 × POCH2CH3), 2.18 (dqu, J = 21.0 Hz, J = 7.0 Hz, 2H, PCH2CH2), 1.72 (dt, J = 18.9 Hz, J = 8.0 Hz, 2H, PCH2), 1.28 (t, J = 7.1 Hz, 6H, 2 × POCH2CH3); 13C-NMR (151 MHz, CDCl3): δ = 163.29, 163.26, 143.50, 133.49, 132.31, 131.47, 131.12, 130.68, 130.51, 129.09, 128.08, 123.48, 122.97, 122.10, 61.76 (d, J = 6.5 Hz, POC), 50.02 (d, J = 15.1 Hz, PCCC), 35.32, 23.64 (d, J = 4.5 Hz, PCC), 22.66 (d, J = 143.5 Hz, PC), 16.40 (d, J = 5.7 Hz, POCC); 31P-NMR (243 MHz, CDCl3): δ = 30.85 ppm. Anal. Calcd. for C22H24BrN4O5P: C, 49.36; H, 4.52; N, 10.47. Found: C, 49.25; H, 4.44; N, 10.45.
Diethyl 4-{4-[(6-Bromo-1,3-dioxo-1H-benzo[de]isoquinolin-2(3H)-yl)methyl]-1H-1,2,3-triazol-1-yl}butylphosphonate (15d): Yield 88% (after crystallization from an ethyl acetate–hexane mixture). A white solid; m.p. 110–112 °C; IR (KBr): ν = 3357, 2982, 2938, 2909, 2875, 1794, 1703, 1024, 962 cm−1; 1H-NMR (200 MHz, CDCl3): δ = 8.67 (dd, J = 7.3 Hz, J = 1.2 Hz, 1H, Haromat.), 8.57 (d, J = 8.3 Hz, J = 1.2 Hz, 1H, Haromat.), 8.42 (d, J = 7.9 Hz, 1H, Haromat.), 8.04 (d, J = 7.9 Hz, 1H, Haromat.), 7.84 (dd, J = 8.3 Hz, J = 7.3 Hz, 1H, Haromat.), 7.63 (s, 1H, HC5′), 5.48 (s, 2H, CH2), 4.31 (t, J = 7.2 Hz, 2H, PCCCCH2), 4.12–3.97 (m, 4H, 2 × POCH2CH3), 2.12–1.90 (m, 2H, PCCCH2), 1.84–1.49 (m, 4H, PCCH2 and PCH2), 1.30 (t, J = 7.2 Hz, 6H, 2 × POCH2CH3); 13C-NMR (151 MHz, CDCl3): δ = 163.25, 163.22, 143.41, 133.43, 132.26, 131.43, 131.09, 130.65, 130.50, 129.05, 128.06, 123.17, 122.96, 122.08, 61.54 (d, J = 7.6 Hz, 2 × POC), 49.64, 35.33, 30.74 (d, J = 13.6 Hz, PCCC), 24.95 (d, J = 143.5 Hz, PC), 19.71 (d, J = 4.5 Hz, PCC), 16.40 (d, J = 6.0 Hz, POCC); 31P-NMR (81 MHz, CDCl3): δ = 31.77 ppm. Anal. Calcd. for C23H26BrN4O5P: C, 50.29; H, 4.77; N, 10.20. Found: C, 50.11; H, 4.62; N, 10.00.
Diethyl 2-{4-[(6-Bromo-1,3-dioxo-1H-benzo[de]isoquinolin-2(3H)-yl)methyl]-1H-1,2,3-triazol-1-yl}-1-hydroxyethylphosphonate (15e): Yield 80% (after crystallization from an ethyl acetate–hexane mixture). A white solid; m.p. 198–200 °C; IR (KBr): ν = 3261, 2987, 2933, 2909, 1704, 1665, 1234, 1046, 1023, 753 cm−1; 1H-NMR (200 MHz, CDCl3): δ = 8.50 (dd, J = 7.3 Hz, J = 1.1 Hz, 1H, Haromat.), 8.44 (d, J = 8.3 Hz, J = 1.1 Hz, 1H, Haromat.), 8.26 (d, J = 7.9 Hz, 1H, Haromat.), 7.94 (d, J = 7.9 Hz, 1H, Haromat.), 7.88 (s, 1H, HC5′), 7.75 (dd, J = 8.3 Hz, J = 7.3 Hz, 1H, Haromat.), 5.41 (s, 2H, CH2), 4.79 (ddd, J = 11.3 Hz, J = 6.3 Hz, J = 2.3 Hz, 1H, PCCHaHb), 4.46 (dt, J = 9.9 Hz, J = 2.3 Hz, 1H, PCH), 4.38 (ddd, J = 11.3 Hz, J = 9.9 Hz, J = 5.0 Hz, 1H, PCCHaHb), 4.21–4.06 (m, 4H, 2 × POCH2CH3), 1.31 (t, J = 6.9 Hz, 3H, POCH2CH3), 1.29 (t, J = 6.9 Hz, 3H, POCH2CH3); 13C-NMR (151 MHz, CDCl3): δ = 163.09, 163.00, 143.05, 133.36, 132.15, 131.31, 131.07, 130.45, 128.78, 128.02, 126.87, 125.10, 122.73, 121.87, 67.20 (d, J = 164.6 Hz, PC), 63.40 (d, J = 7.6 Hz, POC), 63.25 (d, J = 7.6 Hz, POC), 51.64 (d, J = 9.1 Hz, PCC), 35.27, 16.44 (d, J = 6.0 Hz, POCC), 16.40 (d, J = 6.0 Hz, POCC); 31P-NMR (81 MHz, CDCl3): δ = 20.91 ppm. Anal. Calcd. for C21H22BrN4O6P: C, 46.94; H, 4.13; N, 10.43. Found: C, 47.07; H, 3.91; N, 10.48.
Diethyl 3-{4-[(6-Bromo-1,3-dioxo-1H-benzo[de]isoquinolin-2(3H)-yl)methyl]-1H-1,2,3-triazol-1-yl}-2-hydroxypropylphosphonate (15f): Yield 85% (after crystallization from a methanol–diethyl ether mixture). A white solid; m.p. 152–153 °C; IR (KBr): ν = 3330, 3155, 2986, 2909, 1704, 1664, 1234, 1027, 752 cm−1; 1H-NMR (200 MHz, CDCl3): δ = 8.54 (dd, J = 7.5 Hz, J = 1.0 Hz, 1H, Haromat.), 8.48 (d, J = 8.5 Hz, J = 1.0 Hz, 1H, Haromat.), 8.29 (d, J = 7.9 Hz, 1H, Haromat.), 7.96 (d, J = 7.9 Hz, 1H, Haromat.), 7.90 (s, 1H, HC5′), 7.65 (dd, J = 8.5 Hz, J = 7.5 Hz, 1H, Haromat.), 5.49 (s, 2H, CH2), 4.52–4.17 (m, 3H, PCCCH2, OH), 4.16–3.95 (m, 5H, PCCH, 2 × POCH2CH3), 2.10–1.60 (m, 2H, PCH2), 1.33 and 1.29 (t, J = 7.0 Hz, 3H, POCH2CH3); 13C-NMR (151 MHz, CDCl3): δ = 163.30, 163.28, 143.33, 133.47, 132.31, 131.47, 131.12, 130.64, 130.50, 129.05, 128.07, 124.95, 122.94, 122.07, 65.61 (d, J = 4.4 Hz, PCC), 62.30 (d, J = 6.0 Hz, POC), 62.20 (d, J = 6.0 Hz, POC), 55.75 (d, J = 17.6 Hz, PCCC), 35.34, 30.59 (d, J = 141.8 Hz, PC), 16.30 (d, J = 6.0 Hz, 2 × POCC); 31P-NMR (81 MHz, CDCl3): δ = 29.21 ppm. Anal. Calcd. for C22H24BrN4O6P: C, 47.93; H, 4.39; N, 10.16. Found: C, 47.94; H, 4.50; N, 10.16.
Diethyl 2-{4-[(6-Bromo-1,3-dioxo-1H-benzo[de]isoquinolin-2(3H)-yl)methyl]-1H-1,2,3-triazol-1-yl}ethoxy-methylphosphonate (15g): Yield 90% (after crystallization from an ethyl acetate–hexane mixture). A white solid; m.p. 127–128 °C; IR (KBr): ν = 3441, 3148, 3087, 2985, 2935, 2908, 1704, 1665, 1234, 1027, 751 cm−1; 1H-NMR (200 MHz, CDCl3): δ = 8.51 (dd, J = 7.3 Hz, J = 1.2 Hz, 1H, Haromat.), 8.47 (d, J = 8.3 Hz, J = 1.2 Hz, 1H, Haromat.), 8.45 (d, J = 7.9 Hz, 1H, Haromat.), 7.99 (d, J = 7.9 Hz, 1H, Haromat.), 7.74 (dd, J = 8.3 Hz, J = 7.3 Hz, 1H, Haromat.), 7.70 (s, 1H, HC5′), 5.49 (s, 2H, CH2), 4.49 (t, J = 5.1 Hz, 2H, PCH2OCH2CH2), 4.18–3.98 (m, 4H, 2 × POCH2CH3), 3.94 (t, J = 5.1 Hz, 2H, PCOCH2CH2), 3.70 (d, J = 8.1 Hz, 2H, PCH2O), 1.30 (t, J = 7.2 Hz, 6H, 2 × POCH2CH3); 13C-NMR (151 MHz, CDCl3): δ = 163.25, 163.23, 143.32, 133.44, 132.26, 131.43, 131.19, 130.67, 130.45, 129.08, 128.08, 124.21, 123.00, 122.13, 71.32 (d, J = 9.1 Hz, PCOC), 65.16 (d, J = 166.1 Hz, PC), 62.47 (d, J = 6.3 Hz, POC), 50.03, 35.32, 16.44 (d, J = 5.4 Hz, 2 × POCC); 31P-NMR (81 MHz, CDCl3): δ = 21.17 ppm. Anal. Calcd. for C22H24BrN4O6P: C, 47.93; H, 4.39; N, 10.16. Found: C, 48.07; H, 4.10; N, 9.97.
Diethyl 2-(2-{4-[(6-Bromo-1,3-dioxo-1H-benzo[de]isoquinolin-2(3H)-yl)methyl]-1H-1,2,3-triazol-1-yl}ethoxy)ethylphosphonate (15h): Yield 86% (after crystallization from an ethyl acetate–hexane mixture). A white solid; m.p. 92–93 °C; IR (KBr): ν = 3145, 3086, 2984, 2930, 2907, 2876, 1704, 1666, 1234, 1047, 751 cm−1; 1H-NMR (200 MHz, CDCl3): δ = 8.72 (dd, J = 7.3 Hz, J = 1.0 Hz, 1H, Haromat.), 8.55 (d, J = 8.3 Hz, J = 1.0 Hz, 1H, Haromat.), 8.49 (d, J = 7.9 Hz, 1H, Haromat.), 8.10 (d, J = 7.9 Hz, 1H, Haromat.), 7.84 (dd, J = 8.3 Hz, J = 7.3 Hz, 1H, Haromat.), 7.76 (s, 1H, HC5′), 5.52 (s, 2H, CH2), 4.49 (t, J = 5.3 Hz, 2H, PCH2CH2OCH2CH2), 4.18–3.95 (m, 4H, 2 × POCH2CH3), 3.79 (t, J = 5.3 Hz, 2H, PCCOCH2CH2), 3.56 (dt, J = 12.0 Hz, J = 7.5 Hz, 2H, PCH2CH2O), 2.03 (dt, J = 18.4 Hz, J = 7.5 Hz, 2H, PCH2CH2O), 1.25 (t, J = 6.9 Hz, 6H, 2 × POCH2CH3); 13C-NMR (151 MHz, CDCl3): δ = 163.27, 163.25, 143.28, 133.40, 132.26, 131.43, 131.11, 130.66, 130.42, 129.09, 128.07, 124.31, 123.03, 122.16, 68.97, 65.24 (PCCO), 61.63 (d, J = 5.7 Hz, POC), 50.08, 35.36, 26.10 (d, J = 140.1 Hz, PC), 16.40 (d, J = 6.0 Hz, POCC); 31P-NMR (81 MHz, CDCl3): δ = 28.76 ppm. Anal. Calcd. for C23H26BrN4O6P: C, 48.86; H, 4.64; N, 9.91. Found: C, 48.83; H, 4.56; N, 10.10.
Diethyl 2-{4-[(6-Bromo-1,3-dioxo-1H-benzo[de]isoquinolin-2(3H)-yl)methyl]-1H-1,2,3-triazol-1-yl}acetamido-methylphosphonate (15i): Yield 88% (after column chromatography with chloroform–methanol mixtures (100:1 or 50:1, v/v)). A white solid; m.p. 173–174 °C; IR (KBr): ν = 3240, 3148, 3071, 2987, 2932, 1703, 1665, 1234, 1025, 752 cm−1; 1H-NMR (200 MHz, CDCl3): δ = 8.52 (dd, J = 7.3 Hz, J = 0.8 Hz, 1H, Haromat.), 8.42 (d, J = 8.3 Hz, J = 0.8 Hz, 1H, Haromat.), 8.39 (d, J = 7.9 Hz, 1H, Haromat.), 8.00 (d, J = 7.9 Hz, 1H, Haromat.), 7.84 (s, 1H, HC5′), 7.80 (dd, J = 8.3 Hz, J = 7.3 Hz, 1H, Haromat.), 7.40 (brt, J = 5.9 Hz, 1H, NHCO), 5.56 (s, 2H, CH2), 5.01 (s, 2H), 4.16–3.98 (m, 4H, 2 × POCH2CH3), 3.62 (dd, J = 12.4 Hz, J = 6.0 Hz, 2H, PCH2NH), 1.12 (t, J = 7.2 Hz, 6H, 2 × POCH2CH3); 13C-NMR (151 MHz, CDCl3): δ = 165.26 (d, J = 5.5 Hz, C=O), 163.25, 163.24, 143.76, 133.49, 132.29, 131.45, 131.12, 130.62, 130.54, 128.99, 128.07, 125.02, 122.85, 121.98, 62.87 (d, J = 6.6 Hz, POC), 52.57, 35.25, 35.00 (d, J = 155.4 Hz, PC), 16.30 (d, J = 5.4 Hz, POCC); 31P-NMR (81 MHz, CDCl3): δ = 22.29 ppm. Anal. Calcd. for C22H23BrN5O6P: C, 46.82; H, 4.11; N, 12.41. Found: C, 46.62; H, 3.90; N, 12.11.
Diethyl {4-[(5-Nitro-1,3-dioxo-1H-benzo[de]isoquinolin-2(3H)-yl)methyl]-1H-1,2,3-triazol-1-yl}methylphosphonate (16a): Yield 71% (after crystallization from an ethyl acetate–hexane mixture). A white solid; m.p. 147–148 °C; IR (KBr): ν = 3335, 2988, 2939, 1698, 1711, 1670, 1244, 1110, 790, 757 cm−1; 1H-NMR (200 MHz, CDCl3): δ = 9.24 (d, J = 2.2 Hz, 1H, Haromat.), 9.07 (d, J = 2.2 Hz, 1H, Haromat.), 8.73 (dd, J = 7.4 Hz, J = 1.2 Hz, 1H, Haromat.), 8.36 (dd, J = 8.4 Hz, J = 1.2 Hz, 1H, Haromat.), 7.88 (dd, J = 8.4 Hz, J = 7.4 Hz, 1H, Haromat.), 7.84 ( s, 1H, HC5′), 5.47 (s, 2H, CH2), 4.66 (d, J = 13.1 Hz, 2H, PCH2), 4.13–3.98 (m, 4H, 2 × POCH2CH3), 1.22 (2 × t, J = 7.0 Hz, 6H, 2 × POCH2CH3); 13C-NMR (151 MHz, CDCl3): δ = 162.70, 162.17, 146.36, 143.43, 135.78, 134.68, 131.05, 130.23, 129.12, 129.11, 124.52, 124.39, 124.35, 123.04, 63.50 (d, J = 6.6 Hz, POC), 45.36 (d, J = 155.6 Hz, PC), 35.47, 16.27 (d, J = 5.6 Hz, POCC); 31P-NMR (81 MHz, CDCl3): δ = 16.50 ppm. Anal. Calcd. for C20H20N5O7P: C, 50.74; H, 4.26; N, 14.79. Found: C, 50.73; H, 3.99; N, 14.93.
Diethyl 2-{4-[(5-Nitro-1,3-dioxo-1H-benzo[de]isoquinolin-2(3H)-yl)methyl]-1H-1,2,3-triazol-1-yl}ethylphosphonate (16b): Yield 88% (after crystallization from an ethyl acetate–hexane mixture). White needles; m.p. 170–171 °C; IR (KBr): ν = 3284, 3142, 3079, 2934, 2910, 1713, 1667, 1244, 790, 703 cm−1; 1H-NMR (200 MHz, CDCl3): δ = 9.26 (d, J = 2.2 Hz, 1H, Haromat.), 9.08 (d, J = 2.2 Hz, 1H, Haromat.), 8.74 (dd, J = 7.3 Hz, J = 1.1 Hz, 1H, Haromat.), 8.38 (dd, J = 8.3 Hz, J = 1.1 Hz, 1H, Haromat.), 7.89 (dd, J = 8.3 Hz, J = 7.3 Hz, 1H, Haromat.), 7.68 (s, 1H, HC5′), 5.46 (s, 2H, CH2), 4.58–4.45 (m, 2H, PCH2CH2), 4.09–3.94 (m, 4H, 2 × POCH2CH3), 2.42‒2.24 (m, 2H, PCH2), 1.23 (t, J = 7.1 Hz, 6H, 2 × POCH2CH3); 13C-NMR (151 MHz, CDCl3): δ = 162.74, 162.23, 146.40, 143.04, 135.77, 134.72, 131.06, 130.25, 129.13, 129.13, 124.54, 124.46, 123.61, 123.07, 62.14 (d, J = 6.0 Hz, POC), 44.55 (PCC), 35.50, 27.30 (d, J = 140.4 Hz, PC), 16.34 (d, J = 5.7 Hz, POCC); 31P-NMR (81 MHz, CDCl3): δ = 26.23 ppm. Anal. Calcd. for C21H22N4O7P: C, 51.75; H, 4.55; N, 14.37. Found: C, 51.54; H, 4.43; N, 14.17.
Diethyl 3-{4-[(5-Nitro-1,3-dioxo-1H-benzo[de]isoquinolin-2(3H)-yl)methyl]-1H-1,2,3-triazol-1-yl}propylphosphonate (16c): Yield 80% (after crystallization from ethyl acetate). A white solid; m.p. 113–114 °C; IR (KBr): ν = 3404, 3084, 2982, 2943, 1712, 1671, 1597, 1244, 1112, 1029, 791, 758 cm−1; 1H-NMR (200 MHz, CDCl3): δ = 9.32 (d, J = 2.1 Hz, 1H, Haromat.), 9.13 (d, J = 2.1 Hz, 1H, Haromat.), 8.80 (dd, J = 7.3 Hz, J = 1.1 Hz, 1H, Haromat.), 8.43 (dd, J = 8.3 Hz, J = 1.1 Hz, 1H, Haromat.), 7.94 (dd, J = 8.3 Hz, J = 7.3 Hz, 1H, Haromat.), 7.71 (s, 1H, HC5′), 5.52 (s, 2H, CH2), 4.41 (t, J = 7.0 Hz, 2H, PCH2CH2CH2), 4.15–3.97 (m, 4H, 2 × POCH2CH3), 2.30–2.08 (m, 2H, PCH2CH2), ), 1.80–1.60 (m, 2H, PCH2), 1.29 (t, J = 7.0 Hz, 6H, 2 × POCH2CH3); 13C-NMR (151 MHz, CDCl3): δ = 162.76, 162.25, 146.37, 143.06, 135.77, 134.74, 131.07, 130.26, 129.11, 129.11, 124.56, 124.43, 123.39, 123.08, 61.79 (d, J = 6.0 Hz, POC), 50.00 (d, J = 15.1 Hz, PCCC), 35.50, 23.64 (d, J = 4.4 Hz, PCC), 22.46 (d, J = 143.5 Hz, PC), 16.40 (d, J = 5.4 Hz, POCC); 31P-NMR (81 MHz, CDCl3): δ = 30.84 ppm. Anal. Calcd. for C22H24N5O7P: C, 52.70; H, 4.82; N, 13.97. Found: C, 52.75; H, 4.93; N, 14.01.
Diethyl 4-{4-[(5-Nitro-1,3-dioxo-1H-benzo[de]isoquinolin-2(3H)-yl)methyl]-1H-1,2,3-triazol-1-yl}butylphosphonate (16d): Yield 82% (after crystallization from ethyl an acetate–hexane mixture). White needles; m.p. 150–151 °C; IR (KBr): ν = 3369, 3145, 3082, 2987, 1711, 1670, 1243, 1027, 791, 754 cm−1; 1H-NMR (200 MHz, CDCl3): δ = 9.31 (d, J = 2.1 Hz, 1H, Haromat.), 9.13 (d, J = 2.1 Hz, 1H, Haromat.), 8.79 (dd, J = 7.4 Hz, J = 1.1 Hz, 1H, Haromat.), 8.42 (dd, J = 8.3 Hz, J = 1.1 Hz, 1H, Haromat.), 7.94 (dd, J = 8.3 Hz, J = 7.4 Hz, 1H, Haromat.), 7.67 (s, 1H, HC5′), 5.52 (s, 2H, CH2), 4.30 (t, J = 7.1 Hz, 2H, PCCCCH2), 4.13–3.95 (m, 4H, 2 × POCH2CH3), 2.07–1.92 (m, 2H, PCCCH2), 1.82–1.53 (m, 4H, PCCH2 and PCH2), 1.28 (t, J = 7.1 Hz, 6H, 2 × POCH2CH3); 13C-NMR (151 MHz, CDCl3): δ = 162.75, 162.25, 146.38, 142.99, 135.73, 134.72, 131.06, 130.27, 129.11, 129.09, 124.59, 124.44, 123.28, 123.11, 61.59 (d, J = 6.6 Hz, 2 × POC), 49.71, 35.52, 30.76 (d, J = 15.8 Hz, PCCC), 25.00 (d, J = 141.9 Hz, PC), 19.72 (d, J = 4.9 Hz, PCC), 16.41 (d, J = 6.0 Hz, POCC); 31P-NMR (81 MHz, CDCl3): δ = 31.73 ppm. Anal. Calcd. for C23H26N5O7P: C, 53.59; H, 5.08; N, 13.59. Found: C, 53.56; H, 4.92; N, 13.55.
Diethyl 2-{4-[(5-Nitro-1,3-dioxo-1H-benzo[de]isoquinolin-2(3H)-yl)methyl]-1H-1,2,3-triazol-1-yl}-1-hydroxyethylphosphonate (16e): Yield 83% (after crystallization from an ethyl acetate–hexane mixture). A white solid; m.p. 212–213 °C; IR (KBr): ν = 3302, 3130, 2973, 1710, 1694, 1228, 1027, 789 cm−1; 1H-NMR (200 MHz, CDCl3): δ = 9.30 (d, J = 2.2 Hz, 1H, Haromat.), 9.13 (d, J = 2.2 Hz, 1H, Haromat.), 8.79 (dd, J = 7.3 Hz, J = 1.2 Hz, 1H, Haromat.), 8.42 (dd, J = 8.3 Hz, J = 1.2 Hz, 1H, Haromat.), 7.94 (dd, J = 8.3 Hz, J = 7.3 Hz, 1H, Haromat.), 7.85 (s, 1H, HC5′), 5.52 (AB, J = 14.2 Hz, 1H, CHaHb), 5.49 (AB, J = 14.2 Hz, 1H, CHaHb), 4.76 (ddd, J = 13.8 Hz, J = 6.8 Hz, J = 2.6 Hz, 1H, PCCHaHb), 4.52–4.27 (m, 2H, PCCHaHb, PCH), 4.26–4.08 (m, 4H, 2 × POCH2CH3), 1.34 (t, J = 7.0 Hz, 3H, POCH2CH3), 1.32 (t, J = 7.0 Hz, 3H, POCH2CH3); 13C-NMR (151 MHz, CDCl3): δ = 162.74, 162.21, 146.38, 142.78, 135.73, 134.70, 131.04, 130.23, 129.12, 129.08, 124.98, 124.55, 124.41, 123.08, 67.15 (d, J = 164.6 Hz, PC), 63.46 (d, J = 6.6 Hz, POC), 63.24 (d, J = 6.6 Hz, POC), 51.55 (d, J = 9.1 Hz, PCC), 35.51, 16.44 (d, J = 6.0 Hz, POCC), 16.40 (d, J = 6.0 Hz, POCC); 31P-NMR (81 MHz, CDCl3): δ = 20.63 ppm. Anal. Calcd. for C21H22N5O8P: C, 50.10; H, 4.40; N, 13.91. Found: C, 55.02; H, 4.14; N, 13.86.
Diethyl 3-{4-[(5-Nitro-1,3-dioxo-1H-benzo[de]isoquinolin-2(3H)-yl)methyl]-1H-1,2,3-triazol-1-yl}-2-hydroxypropylphosphonate (16f): Yield 86% (after crystallization from an ethyl acetate–hexane mixture). A white solid; m.p. 176–177 °C; IR (KBr): ν = 3279, 3135, 3080, 2986, 2931, 2830, 1709, 1667, 1232, 1033, 799, 755 cm−1; 1H-NMR (200 MHz, CDCl3): δ = 9.31 (d, J = 2.2 Hz, 1H, Haromat.), 9.13 (d, J = 2.2 Hz, 1H, Haromat.), 8.79 (dd, J = 7.4 Hz, J = 1.2 Hz, 1H, Haromat.), 8.43 (dd, J = 8.2 Hz, J = 1.2 Hz, 1H, Haromat.), 7.94 (dd, J = 8.2 Hz, J = 7.4 Hz, 1H, Haromat.), 7.86 (s, 1H, HC5′), 5.53 (s, 2H, CH2), 4.56–4.31 (m, 3H, PCCCH2, OH), 4.18–4.00 (m, 5H, PCCH, 2 × POCH2CH3), 2.06–1.74 (m, 2H, PCH2), 1.31 and 1.30 (t, J = 7.0 Hz, 3H, POCH2CH3); 13C-NMR (151 MHz, CDCl3): δ = 162.75, 162.22, 146.39, 142.92, 135.70, 134.70, 131.06, 130.27, 129.09, 129.06, 124.96, 124.60, 124.44, 123.12, 65.59 (d, J = 3.0 Hz, PCC), 62.32 (d, J = 6.4 Hz, POC), 62.26 (d, J = 6.4 Hz, POC), 55.75 (d, J = 16.6 Hz, PCCC), 35.55, 30.56 (d, J = 140.4 Hz, PC), 16.36 (d, J = 6.0 Hz, POCC), 16.32 (d, J = 6.0 Hz, POCC); 31P-NMR (81 MHz, CDCl3): δ = 29.28 ppm. Anal. Calcd. for C22H24N5O8P: C, 51.07; H, 4.68; N, 13.53. Found: C, 51.18; H, 4.43; N, 13.77.
Diethyl 2-{4-[(5-Nitro-1,3-dioxo-1H-benzo[de]isoquinolin-2(3H)-yl)methyl]-1H-1,2,3-triazol-1-yl}ethoxy-methylphosphonate (16g): Yield 82% (after crystallization from an ethyl acetate–hexane mixture). A yellow powder; m.p. 89–90 °C; IR (KBr): ν = 3397, 3019, 1712, 1672, 1215, 1048, 757 cm−1; 1H-NMR (200 MHz, CDCl3): δ = 9.30 (d, J = 2.2 Hz, 1H, Haromat.), 9.12 (d, J = 2.2 Hz, 1H, Haromat.), 8.78 (dd, J = 7.3 Hz, J = 1.2 Hz, 1H, Haromat.), 8.44 (dd, J = 8.3 Hz, J = 1.2 Hz, 1H, Haromat.), 7.94 (dd, J = 8.3 Hz, J = 7.3 Hz, 1H, Haromat.), 7.82 (s, 1H, HC5′), 5.51 (s, 2H, CH2), 4.52 (t, J = 4.8 Hz, 2H, PCH2OCH2CH2), 4.18–4.04 (m, 4H, 2 × POCH2CH3) 3.95 (t, J = 4.8 Hz, 2H, PCOCH2CH2), 3.75 (d, J = 8.2 Hz, 2H, PCH2O), 1.31 (t, J = 7.1 Hz, 6H, 2 × POCH2CH3); 13C-NMR (151 MHz, CDCl3): δ = 162.72, 162.21, 146.36, 142.92, 135.72, 134.67, 131.04, 130.26, 129.10, 129.07, 124.60, 124.37, 124.31, 123.11, 71.32 (d, J = 10.6 Hz, PCOC), 65.34 (d, J = 166.1 Hz, PC), 62.50 (d, J = 6.5 Hz, POC), 50.04, 35.52, 16.46 (d, J = 6.0 Hz, 2 × POCC); 31P-NMR (81 MHz, CDCl3): δ = 21.15 ppm. Anal. Calcd. for C22H24N5O8P: C, 51.07; H, 4.68; N, 13.53. Found: C, 51.10; H, 4.39; N, 13.62.
Diethyl 2-(2-{4-[(5-Nitro-1,3-dioxo-1H-benzo[de]isoquinolin-2(3H)-yl)methyl]-1H-1,2,3-triazol-1-yl}ethoxy)ethylphosphonate (16h): Yield 89%; (after column chromatography with chloroform–methanol mixtures (100:1 or 50:1, v/v)). A yellow oil; IR (film): ν = 3363, 3018, 2992, 1711, 1670, 1216, 1053, 755 cm−1; 1H-NMR (200 MHz, CDCl3): δ = 9.30 (d, J = 2.2 Hz, 1H, Haromat.), 9.12 (d, J = 2.2 Hz, 1H, Haromat.), 8.78 (dd, J = 7.3 Hz, J = 1.2 Hz, 1H, Haromat.), 8.42 (dd, J = 8.3 Hz, J = 1.2 Hz, 1H, Haromat.), 7.93 (dd, J = 8.3 Hz, J = 7.3 Hz, 1H, Haromat.), 7.82 (s, 1H, HC5′), 5.52 (s, 2H, CH2), 4.48 (t, J = 5.3 Hz, 2H, PCH2CH2OCH2CH2), 4.12–3.98 (m, 4H, 2 × POCH2CH3), 3.78 (t, J = 5.3 Hz, 2H, PCCOCH2CH2), 3.66 (dt, J = 12.1 Hz, J = 7.6 Hz, 2H, PCH2CH2O), 2.05 (dt, J = 18.9 Hz, J = 7.6 Hz, 2H, PCH2CH2O), 1.29 (t, J = 7.1 Hz, 6H, 2 × POCH2CH3); 13C-NMR (151 MHz, CDCl3): δ = 162.76, 162.25, 146.40, 142.86, 135.67, 134.68, 131.06, 130.29, 129.10, 129.03, 124.65, 124.40, 124.37, 123.17, 68.96, 65.25 (PCCO), 61.68 (d, J = 6.0 Hz, POC), 50.13, 35.57, 26.87 (d, J = 140.4 Hz, PC), 16.41 (d, J = 6.1 Hz, POCC); 31P-NMR (81 MHz, CDCl3): δ = 28.70 ppm. Anal. Calcd. for C23H26N5O8P: C, 51.98; H, 4.93; N, 13.18. Found: C, 51.70; H, 4.67; N, 13.15.
Diethyl 2-{4-[(5-Nitro-1,3-dioxo-1H-benzo[de]isoquinolin-2(3H)-yl)methyl]-1H-1,2,3-triazol-1-yl}acetamido-methylphosphonate (16i): Yield 91%. A white powder; m.p. 217–219 °C; IR (KBr): ν = 3287, 3075, 2986, 2854, 1709, 1687, 1229, 1031, 758 cm−1; 1H-NMR (200 MHz, DMSO-d6): δ = 9.51 (d, J = 2.2 Hz, 1H, Haromat.), 9.00 (d, J = 2.2 Hz, 1H, Haromat.), 8.82 (dd, J = 7.5 Hz, J = 0.6 Hz, 1H, Haromat.), 8.72 (dd, J = 8.2 Hz, J = 0.6 Hz, 1H, Haromat.), 8.70 (brt, J = 2.8 Hz, 1H, NH), 8.09 (dd, J = 8.2 Hz, J = 7.5 Hz, 1H, Haromat.), 8.03 (s, 1H, HC5′), 5.36 (s, 2H, CH2), 5.10 (s, 2H), 4.19–3.97 (m, 4H, 2 × POCH2CH3), 3.59 (dd, J = 11.8 Hz, J = 6.0 Hz, 2H, PCH2NH), 1.19 (t, J = 7.1 Hz, 6H, 2 × POCH2CH3); 13C-NMR (151 MHz, DMSO-d6): δ = 165.93 (d, J = 5.2 Hz, C=O), 162.97, 162.51, 146.36, 142.85, 137.00, 134.60, 131.39, 130.37, 130.04, 129.76, 125.41, 124.35, 123.57, 122.91, 62.30 (d, J = 6.5 Hz, POC), 51.87, 35.97, 34.65 (d, J = 155.5 Hz, PC), 16.65 (d, J = 5.6 Hz, POCC); 31P-NMR (81 MHz, DMSO-d6): δ = 22.27 ppm. Anal. Calcd. for C22H23N6O8P: C, 49.82; H, 4.37; N, 15.84. Found: C, 49.88; H, 4.07; N, 15.64.
Diethyl {4-[(5-Amino-1,3-dioxo-1H-benzo[de]isoquinolin-2(3H)-yl)methyl]-1H-1,2,3-triazol-1-yl}methylphosphonate (17a): Yield 75% (after column chromatography with chloroform–methanol mixtures (100:1 and 50:1, v/v)). A yellow oil; IR (film): ν = 3430, 3352, 3234, 2983, 2932, 1698, 1660, 1623, 1236, 1020, 784, 748 cm−1; 1H-NMR (600 MHz, DMSO-d6): δ = 8.10 (d, J = 7.2 Hz, 1H, Haromat.), 8.07 (d, J = 8.2 Hz, 1H, Haromat.), 8.00 (d, J = 2.2 Hz, 1H, Haromat.), 7.95 ( s, 1H, HC5′), 7.64 (dd, J = 8.2 Hz, J = 7.2 Hz, 1H, Haromat.), 7.32 (d, J = 2.2 Hz, 1H, Haromat.), 6.01 (s, 2H, NH2), 5.30 (s, 2H, CH2), 5.01 (d, J = 12.9 Hz, 2H, PCH2), 4.05–3.98 (m, 4H, 2 × POCH2CH3), 1.19 (t, J = 7.0 Hz, 6H, 2 × POCH2CH3); 13C-NMR (151 MHz, DMSO-d6): δ = 164.00, 163.82, 148.41, 143.74, 134.10, 132.23, 127.46, 126.08, 124.85, 122.91, 122.35, 122.11, 121.11, 112.45, 63.02 (d, J = 6.3 Hz, POC), 45.10 (d, J = 150.3 Hz, PC), 35.51, 16.47 (d, J = 5.8 Hz, POCC); 31P-NMR (243 MHz, DMSO-d6): δ = 17.22 ppm. Anal. Calcd. for C20H22N5O5P: C, 54.18; H, 5.00; N, 15.80. Found: C, 54.36; H, 4.83; N, 15.84.
Diethyl 2-{4-[(5-Amino-1,3-dioxo-1H-benzo[de]isoquinolin-2(3H)-yl)methyl]-1H-1,2,3-triazol-1-yl}ethylphosphonate (17b): Yield 75% (after column chromatography with chloroform–methanol mixtures (100:1 and 50:1, v/v)). A yellow oil; IR (film): ν = 3443, 3356, 3233, 3147, 3063, 2986, 1698, 1661, 1626, 1220, 1027, 784, 752 cm−1; 1H-NMR (200 MHz, CDCl3): δ = 8.26 (dd, J = 7.2 Hz, J = 1.1 Hz, 1H, Haromat.), 7.98 (d, J = 2.4 Hz, 1H, Haromat.), 7.86 (dd, J = 8.3 Hz, J = 1.1 Hz, 1H, Haromat.), 7.70 (s, 1H, HC5′), 7.54 (dd, J = 8.3 Hz, J = 7.2 Hz, 1H, Haromat.), 7.22 (d, J = 2.4 Hz, 1H, Haromat.), 5.46 (s, 2H, CH2), 4.62–4.49 (m, 2H, PCH2CH2), 4.30 (s, 2H, NH2), 4.12–3.97 (m, 4H, 2 × POCH2CH3), 2.47–2.30 (m, 2H, PCH2), 1.26 (t, J = 7.2 Hz, 6H, 2 × POCH2CH3); 13C-NMR (151 MHz, CDCl3): δ = 164.13, 163.84, 145.81, 143.92, 133.37, 131.85, 127.25, 126.92, 123.70, 123.02, 122.26, 122.19, 122.02, 113.90, 62.12 (d, J = 6.4 Hz, POC), 44.49 (PCC), 35.15, 27.23 (d, J = 141.4 Hz, PC), 16.32 (d, J = 5.7 Hz, POCC); 31P-NMR (81 MHz, CDCl3): δ = 26.33 ppm. Anal. Calcd. for C21H24N5O5P: C, 55.14; H, 5.29; N, 15.31. Found: C, 55.36; H, 5.06; N, 15.25.
Diethyl 3-{4-[(5-Amino-1,3-dioxo-1H-benzo[de]isoquinolin-2(3H)-yl)methyl]-1H-1,2,3-triazol-1-yl}propylphosphonate (17c): Yield 79% (after column chromatography with chloroform–methanol mixtures (100:1 and 50:1, v/v)). A white powder; m.p. 180–182 °C; IR (KBr): ν = 3451, 3343, 3235, 3148, 3067, 2986, 1700, 1652, 1619, 1222, 1029, 794, 759 cm−1; 1H-NMR (600 MHz, CDCl3): δ = 8.28 (dd, J = 7.3 Hz, J = 0.8 Hz, 1H, Haromat.), 8.00 (d, J = 2.3 Hz, 1H, Haromat.), 7.87 (dd, J = 8.2 Hz, J = 0.8 Hz, 1H, Haromat.), 7.70 (s, 1H, HC5′), 7.56 (dd, J = 8.2 Hz, J = 7.3 Hz, 1H, Haromat.), 7.23 (d, J = 2.3 Hz, 1H, Haromat.), 5.49 (s, 2H, CH2), 4.42 (t, J = 6.9 Hz, 2H, PCH2CH2CH2), 4.33 (s, 2H, NH2), 4.11–4.04 (m, 4H, 2 × POCH2CH3), 2.21 (dqu, J = 18.6 Hz, J = 6.9 Hz, 2H, PCH2CH2), 1.73 (dt, J = 18.6 Hz, J = 7.7 Hz, 2H, PCH2), 1.30 (t, J = 7.1 Hz, 6H, 2 × POCH2CH3); 13C-NMR (151 MHz, CDCl3): δ = 164.01, 163.83, 148.37, 143.72, 134.07, 132.14, 127.43, 126.05, 123.71, 122.96, 122.33, 122.16, 122.15, 112.40, 61.52 (d, J = 6.7 Hz, POC), 49.77 (d, J = 15.2 Hz, PCCC), 35.68, 23.83 (d, J = 3.5 Hz, PCC), 22.32 (d, J = 143.2 Hz, PC), 16.65 (d, J = 5.5 Hz, POCC); 31P-NMR (243 MHz, CDCl3): δ = 30.01 ppm. Anal. Calcd. for C22H26N5O5P: C, 56.05; H, 5.56; N, 14.86. Found: C, 55.80; H, 5.41; N, 14.60.
Diethyl 4-{4-[(5-Amino-1,3-dioxo-1H-benzo[de]isoquinolin-2(3H)-yl)methyl]-1H-1,2,3-triazol-1-yl}butylphosphonate (17d): Yield 70% (after column chromatography with chloroform–methanol mixtures (100:1 and 50:1, v/v)). A yellow powder; m.p. 218–220 °C; IR (KBr): ν = 3451, 3343, 3235, 3148, 3067, 2986, 1700, 1652, 1619, 1222, 1029, 794, 759 cm−1; 1H-NMR (600 MHz, CDCl3): δ = 8.28 (dd, J = 7.3 Hz, J = 0.8 Hz, 1H, Haromat.), 8.00 (d, J = 2.3 Hz, 1H, Haromat.), 7.87 (dd, J = 8.2 Hz, J = 0.8 Hz, 1H, Haromat.), 7.70 (s, 1H, HC5′), 7.56 (dd, J = 8.2 Hz, J = 7.3 Hz, 1H, Haromat.), 7.23 (d, J = 2.3 Hz, 1H, Haromat.), 5.49 (s, 2H, CH2), 4.42 (t, J = 6.9 Hz, 2H, PCCCCH2),4.33 (s, 2H, NH2), 4.20–4.00 (m, 4H, 2 × POCH2CH3), 2.02 (qu, J = 6.9 Hz, 2H, PCCCH2), 1.80–1.60 (m, 4H, PCCH2 and PCH2), 1.30 (t, J = 7.0 Hz, 6H, 2 × POCH2CH3); 13C-NMR (151 MHz, DMSO-d6): δ = 163.99, 163.81, 148.39, 143.61, 134.08, 132.15, 127.42, 126.04, 123.55, 122.97, 122.34, 122.17, 121.14, 112.38, 61.26 (d, J = 6.0 Hz, 2 × POC), 49.16, 35.67, 30.64 (d, J = 16.0 Hz, PCCC), 24.28 (d, J = 138.9 Hz, PC), 19.62 (d, J = 4.7 Hz, PCC), 16.69 (d, J = 5.7 Hz, POCC); 31P-NMR (243 MHz, CDCl3): δ = 30.91 ppm. Anal. Calcd. for C23H28N5O5P: C, 56.90; H, 5.81; N, 14.43. Found: C, 56.95; H, 5.75; N, 14.69.
Diethyl 2-{4-[(5-Amino-1,3-dioxo-1H-benzo[de]isoquinolin-2(3H)-yl)methyl]-1H-1,2,3-triazol-1-yl}-1-hydroxyethylphosphonate (17e): Yield 80% (after crystallization from a methanol–diethyl ether mixture). A white powder; m.p. 170–172 °C; IR (KBr): ν = 3420, 3330, 3233, 3154, 2982, 1700, 1650, 1620, 1228, 1049, 1016, 797, 757 cm−1; 1H-NMR (600 MHz, DMSO-d6): δ = 8.10 (d, J = 7.3 Hz, 1H, Haromat.), 8.05 (d, J = 8.2 Hz, 1H, Haromat.), 8.00 (s, 1H, HC5′), 7.99 (d, J = 2.3 Hz, 1H, Haromat.), 7.63 (dd, J = 8.2 Hz, J = 7.3 Hz, 1H, Haromat.), 7.30 (d, J = 2.3 Hz, 1H, Haromat.), 6.00 (s, 2H, NH2), 5.28 (s, 2H, CH2), 4.52 (dt, J = 14.2 Hz, J = 3.7 Hz, 1H, PCCHaHb), 4.38 (ddd, J = 14.2 Hz, J = 10.1 Hz, J = 7.0 Hz, 1H, PCCHaHb), 4.23–4.18 (m, 1H, PCH), 4.07–4.00 (m, 4H, 2 × POCH2CH3), 1.21 (t, J = 7.0 Hz, 6H, 2 × POCH2CH3); 13C-NMR (151 MHz, DMSO-d6): δ = 163.35, 163.30, 143.25, 137.05, 134.17, 131.67, 129.82, 127.07, 126.51, 123.20, 122.98, 122.19, 122.04, 121.04, 120.83, 120.51, 67.57 (d, J = 168.4 Hz, PC), 63.36 (d, J = 6.8 Hz, POC), 63.24 (d, J = 6.8 Hz, POC), 52.46 (d, J = 11.7 Hz, PCC), 34.41, 16.60 (d, J = 4.7 Hz, 2 × POCC); 31P-NMR (243 MHz, DMSO-d6): δ = 25.85 ppm. Anal. Calcd. for C21H24N5O6P: C, 53.28; H, 5.11; N, 14.79. Found: C, 53.55; H, 5.35; N, 14.59.
Diethyl 3-{4-[(5-Amino-1,3-dioxo-1H-benzo[de]isoquinolin-2(3H)-yl)methyl]-1H-1,2,3-triazol-1-yl}-2-hydroxypropylphosphonate (17f): Yield 75%. (after crystallization from a methanol–diethyl ether mixture). An orange powder; m.p. 222–224 °C; IR (KBr): ν = 3437, 3333, 3234, 3140, 3068, 3034, 2922, 1653, 1616, 1223, 1049, 778, 744 cm−1; 1H-NMR (600 MHz, DMSO-d6): δ = 8.10 (d, J = 6.9 Hz, 1H, Haromat.), 8.06 (d, J = 8.1 Hz, 1H, Haromat.), 8.00 (d, J = 2.2 Hz, 1H, Haromat.), 7.93 (s, 1H, HC5′), 7.63 (dd, J = 8.1 Hz, J = 6.9 Hz, 1H, Haromat.), 7.31 (t, J = 2.2 Hz, 1H, Haromat.), 6.00 (brs, 2H, NH2), 5.35 (brs, 1H, OH), 5.29 (s, 2H, CH2), 4.45 (dd, J = 13.8 Hz, J = 3.6 Hz, 1H, PCCCHaHb), 4.26 (dd, J = 13.8 Hz, J = 7.7 Hz, 1H, PCCCHaHb), 4.15–4.09 (m, 1H, PCCH), 4.02–3.93 (m, 4H, 2 × POCH2CH3), 1.97 (ddd, J = 18.0 Hz, J = 15.4 Hz, J = 5.3 Hz, 1H, PCHaHb), 1.88 (ddd, J = 18.0 Hz, J = 15.4 Hz, J = 7.1 Hz, 1H, PCHaHb), 1.21 (t, J = 7.0 Hz, 3H, POCH2CH3), 1.20 (t, J = 7.0 Hz, 3H, POCH2CH3); 13C-NMR (151 MHz, DMSO-d6): δ = 164.02, 163.84, 148.39, 143.29, 134.09, 132.16, 127.45, 126.05, 124.65, 122.98,122.34, 122.18, 121.14, 112.39, 65.45 (d, J = 1.8 Hz, PCC), 61.62 (d, J = 6.4 Hz, POC), 61.42 (d, J = 6.4 Hz, POC), 55.92 (d, J = 13.0 Hz, PCCC), 35.62, 31.47 (d, J = 137.0 Hz, PC), 16.66 (d, J = 5.9 Hz, 2 × POCC); 31P-NMR (243 MHz, DMSO-d6): δ = 27.89 ppm. Anal. Calcd. for C22H26N5O6P: C, 54.21; H, 5.38; N, 14.37. Found: C, 53.92; H, 5.29; N, 14.15.
Diethyl 2-{4-[(5-Amino-1,3-dioxo-1H-benzo[de]isoquinolin-2(3H)-yl)methyl]-1H-1,2,3-triazol-1-yl}ethoxy-methylphosphonate (17g): Yield 77% (after column chromatography with chloroform–methanol mixtures (100:1 or 50:1, v/v)). A yellow powder; m.p. 221–223 °C; IR (KBr): ν = 3438, 3339, 3233, 3145, 2980, 2890, 1701, 1651, 1620, 1222, 1048, 1024, 791, 743 cm−1; 1H-NMR (600 MHz, DMSO-d6): δ = 8.10 (d, J = 7.2 Hz, 1H, Haromat.), 8.05 (d, J = 8.2 Hz, 1H, Haromat.), 8.00 (d, J = 2.2 Hz, 1H, Haromat.), 7.96 (s, 1H, HC5′), 7.63 (dd, J = 8.2 Hz, J = 7.2 Hz, 1H, Haromat.), 7.31 (t, J = 2.2 Hz, 1H, Haromat.), 6.00 (brs, 2H, NH2), 5.29 (s, 2H, CH2), 4.50 (t, J = 5.0 Hz, 2H, PCH2OCH2CH2), 3.92–3.88 (m, 6H, 2 × POCH2CH3, PCOCH2CH2), 3.80 (d, J = 8.3 Hz, 2H, PCH2O), 1.12 (t, J = 7.1 Hz, 6H, 2 × POCH2CH3); 13C-NMR (151 MHz, DMSO-d6): δ = 164.04, 163.80, 148.40, 143.56, 134.09, 132.17, 127.44, 126.06, 123.97, 122.97, 122.35, 122.17, 121.15, 112.40, 71.00 (d, J = 11.6 Hz, PCOC), 64.31 (d, J = 163.1 Hz, PC), 62.16 (d, J = 6.3 Hz, POC), 49.47, 35.63, 16.63 (d, J = 5.3 Hz, 2 × POCC); 31P-NMR (243 MHz, DMSO-d6): δ = 20.69 ppm. Anal. Calcd. for C22H26N5O6P: C, 54.21; H, 5.38; N, 14.37. Found: C, 54.38; H, 5.46; N, 14.54.
Diethyl 2-(2-{4-[(5-Amino-1,3-dioxo-1H-benzo[de]isoquinolin-2(3H)-yl)methyl]-1H-1,2,3-triazol-1-yl}ethoxy)ethylphosphonate (17h): Yield 77% (after column chromatography with chloroform–methanol mixtures (100:1 or 50:1, v/v)). An orange powder; m.p. 180–183 °C; IR (KBr): ν = 3434, 3353, 3230, 2981, 2927, 1698, 1659, 1623, 1222, 1025, 787, 748 cm−1; 1H-NMR (600 MHz, CDCl3): δ = 8.33 (d, J = 7.2 Hz, 1H, Haromat.), 8.06 (d, J = 2.2 Hz, 1H, Haromat.), 7.82 (d, J = 8.2 Hz, 1H, Haromat.), 7.78 (s, 1H, HC5′), 7.54 (dd, J = 8.2 Hz, J = 7.2 Hz,1H, Haromat.), 7.18 (d, J = 2.2 Hz, 1H, Haromat.), 6.00 (brs, 2H, NH2), 5.49 (s, 2H, CH2), 4.59 (t, J = 5.1 Hz, 2H, PCH2CH2OCH2CH2), 4.19–4.02 (m, 4H, 2 × POCH2CH3), 3.78 (t, J = 5.1 Hz, 2H, PCCOCH2CH2), 3.65 (dt, J = 15.4 Hz, J = 6.9 Hz, 2H, PCH2CH2O), 2.16 (dt, J = 18.6 Hz, J = 6.9 Hz, 2H, PCH2CH2O), 1.35 (t, J = 7.1 Hz, 6H, 2 × POCH2CH3); 13C-NMR (151 MHz, DMSO-d6): δ = 164.02, 163.84, 148.38, 143.56, 134.08, 132.13, 127.41, 126.03, 124.00, 123.00, 122.33, 122.20, 121.16, 112.37, 68.69, 64.73(PCCO), 61.36 (d, J = 6.4 Hz, POC), 49.71, 35.68, 26.28 (d, J = 137.2 Hz, PC), 16.64 (d, J = 5.6 Hz, POCC); 31P-NMR (243 MHz, CDCl3): δ = 27.84 ppm. Anal. Calcd. for C23H28N5O6P: C, 55.09; H, 5.63; N, 13.97. Found: C, 55.12; H, 5.36; N, 13.70.
Diethyl 2-{4-[(5-Amino-1,3-dioxo-1H-benzo[de]isoquinolin-2(3H)-yl)methyl]-1H-1,2,3-triazol-1-yl}acetamido-methylphosphonate (17i): Yield 96%. A yellow powder; m.p. 222–224 °C; IR (KBr): ν = 3447, 3374, 3225, 3146, 2991, 2927, 1695, 1649, 1619, 1223, 1021, 779, 744 cm−1; 1H-NMR (600 MHz, DMSO-d6): δ = 8.73 (t, J = 5.5 Hz, 1H, NHCO), 8.10 (d, J = 7.2 Hz, 1H, Haromat.), 8.05 (d, J = 8.1 Hz, 1H, Haromat.), 8.00 (d, J = 2.2 Hz, 1H, Haromat.), 7.95 (s, 1H, HC5′), 7.63 (dd, J = 8.1 Hz, J = 7.2 Hz, 1H, Haromat.), 7.31 (t, J = 2.2 Hz, 1H, Haromat.), 6.00 (brs, 2H, NH2), 5.30 (s, 2H, CH2), 5.09 (s, 2H), 4.02–3.97 (m, 4H, 2 × POCH2CH3), 3.60 (dd, J = 11.8 Hz, J = 5.9 Hz, 2H, PCH2NH), 1.19 (t, J = 6.9 Hz, 6H, 2 × POCH2CH3); 13C-NMR (151 MHz, DMSO-d6): δ = 165.97 (d, J = 4.5 Hz, C=O), 164.00, 163.82, 148.39, 143.40, 134.08, 132.19, 127.45, 126.08, 125.18, 122.93, 122.35, 122.13, 121.12, 112.43, 62.32 (d, J = 6.2 Hz, POC), 51.83, 35.58, 34.62 (d, J = 155.2 Hz, PC), 16.64 (d, J = 5.7 Hz, POCC); 31P-NMR (121.5 MHz, DMSO-d6): δ = 22.29 ppm. Anal. Calcd. for C22H25N6O6P: C, 52.80; H, 5.04; N, 16.79. Found: C, 52.71; H, 4.86; N, 16.53.
3.6. Antiviral Activity Assays
The compounds were evaluated against the following viruses: herpes simplex virus type 1 (HSV-1) strain KOS, thymidine kinase-deficient (TK−) HSV-1 KOS strain resistant to ACV (ACVr), herpes simplex virus type 2 (HSV-2) strains Lyons and G, varicella-zoster virus (VZV) strain Oka, TK− VZV strain 07−1, human cytomegalovirus (HCMV) strains AD-169 and Davis, vaccinia virus Lederle strain, respiratory syncytial virus (RSV) strain Long, vesicular stomatitis virus (VSV), Coxsackie B4, Parainfluenza 3, Influenza virus A (subtypes H1N1, H3N2), influenza virus B, Reovirus-1, Sindbis, Reovirus-1, Punta Toro, human immunodeficiency virus type 1 strain IIIB and human immunodeficiency virus type 2 strain ROD. The antiviral, other than anti-HIV, assays were based on inhibition of virus-induced cytopathicity or plaque formation in human embryonic lung (HEL) fibroblasts, African green monkey cells (Vero), human epithelial cells (HeLa) or Madin-Darby canine kidney cells (MDCK). Confluent cell cultures in microtiter 96-well plates were inoculated with 100 CCID50 of virus (1 CCID50 being the virus dose to infect 50% of the cell cultures) or with 20 plaque forming units (PFU) (VZV) in the presence of varying concentrations of the test compounds. Viral cytopathicity or plaque formation was recorded as soon as it reached completion in the control virus-infected cell cultures that were not treated with the test compounds. Antiviral activity was expressed as the EC50 or compound concentration required to reduce virus-induced cytopathogenicity or viral plaque formation by 50%.
3.7. Cytostatic Activity Assays
All assays were performed in 96-well microtiter plates. To each well were added (5–7.5) × 104 tumor cells and a given amount of the test compound. The cells were allowed to proliferate for 48 h (murine leukemia L1210 cells) or 72 h (human lymphocytic CEM and human cervix carcinoma HeLa cells) at 37 °C in a humidified CO2-controlled atmosphere. At the end of the incubation period, the cells were counted in a Coulter counter. The IC50 (50% inhibitory concentration) was defined as the concentration of the compound that inhibited cell proliferation by 50%.
4. Conclusions
A novel series of diethyl {4-[(5-substituted-1,3-dioxo-1H-benzo[de]isoquinolin-2(3H)-yl)-methyl]-1H-1,2,3-triazol-1-yl}alkylphosphonates has been synthesized in good to excellent yields via Cu(I)-catalyzed Hüisgen dipolar cycloaddition of N-propargyl naphthalimides 7/8 and 11/12 with the respective azidoalkylphosphonates 13a–i under microwave irradiation.
The synthesized phosphonates 14a–i–17a–i were evaluated against a variety of DNA and RNA viruses and several of them appeared slightly active against VZV (EC50 = 27.6–91.5 μM). Among them, the compound 16b, which showed no potency toward the TK+ VZV strain, was found the most active against the TK− VZV strain (EC50 = 27.59 μM), with EC50 values comparable to reference drugs. On the other hand, compound 16d exhibited the highest activity against TK+ VZV (EC50 = 29.91 μM), athough lower than that of reference compounds.
Cytostatic properties of compounds 14a–i–17a–i were studied on L1210, CEM, HeLa and HMEC-1 cell lines and most of them were only slightly cytostatic for HeLa (IC50 = 29–130 µM) and L1210 cells (IC50 = 14–142 µM). Among all tested compounds 14a–i–17a–i derivatives substituted with a bromine atom at C6 (15b and 15d) were the most active. Based on a preliminary SAR analysis it was established that the presence of the 1,2,3-triazole unit is essential for the cytostatic activity. Furthermore, compounds with longer linkers [(CH2)3, (CH2)4 and CH2CH2OCH2CH2)] showed the higher cytostatic potency than those having shorter fragments [CH(OH)CH2 and CH2NHC(O)CH2].
Acknowledgments
The authors wish to express their gratitude to Małgorzata Pluskota, Leentje Persoons, Lies Van Den Heurck, Ellen De Waegenaere and Lizette van Berckelaer for excellent technical assistance. The synthetic part of this work was supported by the Medical University of Lodz internal fund (503/3-014-1/503-01). The virological part of this work was supported by the KU Leuven (GOA 15/19 TBA).
Author Contributions
Research group from Medical University of Lodz (Iwona E. Głowacka, Rafał Gulej, Piotr Grzonkowski and Dorota G. Piotrowska) conceived the research project, participated in all steps of the research, interpreted the results, discussed the experimental data and prepared the manuscript. Research group from KU Leuven (Graciela Andrei, Dominique Schols and Robert Snoeck) conducted the biological assays and provided the experimental procedures and results. All authors read, commented and approved the manuscript.
Conflicts of Interest
The authors declare no conflict of interest.
References
- Nagarajan, S.; Shanmugavelan, P.; Sathishkumar, M.; Selvi, R.; Ponnuswamy, A.; Harikrishnan, H.; Shanmugaiah, V. An eco-friendly water mediated synthesis of 1,2,3-triazolyl-2-aminopyrimidine hybrids as highly potent anti-bacterial agents. Chin. Chem. Lett. 2014, 25, 419–422. [Google Scholar] [CrossRef]
- Sumangala, V.; Poojary, B.; Chidananda, N.; Fernandes, J.; Kumari, N.S. Synthesis and antimicrobial activity of 1,2,3-triazoles containing quinoline moiety. Arch. Pharm. Res. 2010, 33, 1911–1918. [Google Scholar] [CrossRef] [PubMed]
- Jiang, Y.; Ren, B.; Lv, X.; Zhang, W.; Li, W.; Xu, G. Design, synthesis and antifungal activity of novel paeonol derivatives linked with 1,2,3-triazole moiety by the click reaction. J. Chem. Res. 2015, 39, 191–250. [Google Scholar]
- Pertino, M.W.; Theoduloz, C.; Butassi, E.; Zacchino, S.; Schmeda-Hirschmann, G. Synthesis, antiproliferative and antifungal activities of 1,2,3-triazole-substituted carnosic acid and carnosol derivatives. Molecules 2015, 20, 8666–8686. [Google Scholar] [CrossRef] [PubMed]
- Dai, Z.-C.; Chen, Y.-F.; Zhang, M.; Li, S.-K.; Yang, T.-T.; Shen, L.; Wang, J.-X.; Qian, S.-S.; Zhu, H.-L.; Ye, Y.-H. Synthesis and antifungal activity of 1,2,3-triazole phenylhydrazone derivatives. Org. Biomol. Chem. 2015, 13, 477–486. [Google Scholar] [CrossRef] [PubMed]
- Aher, N.G.; Pore, V.S.; Mishra, N.N.; Kumar, A.; Shukla, P.K.; Sharma, A.; Bhat, M.K. Synthesis and antifungal activity of 1,2,3-triazole containing fluconazole analogues. Bioorg. Med. Chem. Lett. 2009, 19, 759–763. [Google Scholar] [CrossRef] [PubMed]
- Zhao, L.; Mao, L.; Hong, G.; Yang, X.; Liu, T. Design, synthesis and anticancer activity of matrine–1H-1,2,3-triazole–chalcone conjugates. Bioorg. Med. Chem. Lett. 2015, 25, 2540–2544. [Google Scholar] [CrossRef] [PubMed]
- Penthala, N.R.; Madhukuri, L.; Thakkar, S.; Madadi, N.R.; Lamture, G.; Eoff, R.L.; Crooks, P.A. Synthesis and anti-cancer screening of novel heterocyclic-(2H)-1,2,3-triazoles as potential anti-cancer agents. Med. Chem. Commun. 2015, 6, 1535–1543. [Google Scholar] [CrossRef] [PubMed]
- Bathula, S.P.; Valda, R. Bioactivity of 1,4-disubstituted 1,2,3-triazoles as cytotoxic agents against the various human cell lines. Asian J. Pharm. Clin. Res. 2011, 4, 66–67. [Google Scholar]
- Ashwinia, N.; Gargb, M.; Mohana, C.D.; Fuchsc, J.E.; Rangappad, S.; Anushae, S.; Swaroopa, T.R.; Rakesha, K.S.; Kanojiab, D.; Madanb, V.; et al. Synthesis of 1,2-benzisoxazole tethered 1,2,3-triazoles that exhibit anticancer activity in acute myeloid leukemia cell lines by inhibiting histone deacetylases, and inducing p21 and tubulin acetylation. Bioorg. Med. Chem. 2015, 23, 6157–6165. [Google Scholar] [CrossRef] [PubMed]
- Pokhodylo, N.; Shyyka, O.; Matiychuk, V. Synthesis of 1,2,3-triazole derivatives and evaluation of their anticancer activity. Sci. Pharm. 2013, 81, 663–676. [Google Scholar] [CrossRef] [PubMed]
- Ferreira, M.L.G.; Pinheiro, L.C.S.; Santos-Filho, O.A.; Peçanha, M.D.S.; Sacramento, C.Q.; Machado, V.; Ferreira, V.F.; Souza, T.M.L.; Boechat, N. Design, synthesis, and antiviral activity of new 1H-1,2,3-triazole nucleoside ribavirin analogs. Med. Chem. Res. 2014, 23, 1501–1511. [Google Scholar] [CrossRef]
- Zhou, L.; Amer, A.; Korn, M.; Burda, R.; Balzarini, J.; De Clercq, E.; Kern, E.R.; Torrence, P.F. Synthesis and antiviral activities of 1,2,3-triazole functionalized thymidines: 1,3-Dipolar cycloaddition for efficient regioselective diversity generation. Antivir. Chem. Chemother. 2005, 16, 375–383. [Google Scholar] [CrossRef] [PubMed]
- Jordão, A.K.; Ferreira, V.F.; Souza, T.M.L.; de Souza Faria, G.G.; Machado, V.; Abrantes, J.L.; de Souza, M.C.B.V.; Cunha, A.C. Synthesis and anti-HSV-1 activity of new 1,2,3-triazole derivatives. Bioorg. Med. Chem. 2011, 19, 1860–1865. [Google Scholar] [CrossRef] [PubMed]
- He, Y.-W.; Dong, C.-Z.; Zhao, J.-Y.; Ma, L.-L.; Li, Y.-H.; Aisa, H.A. 1,2,3-Triazole-containing derivatives of rupestonic acid: Click-chemical synthesis and antiviral activities against influenza viruses. Eur. J. Med. Chem. 2014, 76, 245–255. [Google Scholar] [CrossRef] [PubMed]
- Krajczyk, A.; Kulinska, K.; Kulinski, T.; Hurst, B.L.; Day, C.W.; Smee, D.F.; Ostrowski, T.; Januszczyk, P.; Zeidler, J. Antivirally active ribavirin analogues—4,5-disubstituted 1,2,3-triazole nucleosides: Biological evaluation against certain respiratory viruses and computational modeling. Antivir. Chem. Chemother. 2014, 23, 161–171. [Google Scholar] [CrossRef] [PubMed]
- Buckle, D.R.; Rockell, C.J.M.; Smith, H.; Spicer, B.A. Studies on 1,2,3-triazoles. 13. (Piperazinylalkoxy)-[1]benzopyrano[2,3-d]-1,2,3-triazol-9(1H)-ones with combined H1-antihistamine and mast cell stabilizing properties. J. Med. Chem. 1986, 29, 2262–2267. [Google Scholar] [CrossRef] [PubMed]
- Fan, W.-Q.; Katritzky, A.R. Comprehensive Heterocyclic Chemistry II; Katritzky, A.R., Rees, C.W., Scriven, E.F.V., Eds.; Elsevier Science: Oxford, UK, 1996; Volume 4, pp. 1–126. [Google Scholar]
- Chen, X.B.; Shi, D.Q. Synthesis and biological activity of novel phosphonate derivatives containing of pyridyl and 1,2,3-triazole rings. Phosphorus Sulfur Silicon Relat. Elem. 2008, 183, 1134–1144. [Google Scholar] [CrossRef]
- Cox, J.M.; Hawkes, T.R.; Bellini, P.; Ellis, R.M.; Barrett, R.; Swanborough, J.J.; Russell, S.E.; Walker, P.A.; Barnes, N.J.; Knee, A.J.; et al. The design and synthesis of inhibitors of imidazoleglycerol phosphonate dehydratase as potential herbicides. Pestic. Sci. 1997, 50, 297–311. [Google Scholar] [CrossRef]
- Kamal, A.; Bolla, N.R.; Srikantha, P.S.; Srivastava, A.K. Naphthalimide derivatives with therapeutic characteristics: A patent review. Expert Opin. Ther. Pat. 2013, 23, 299–317. [Google Scholar] [CrossRef] [PubMed]
- Braña, M.F.; Cacho, M.; Gradillas, A.; de Pascual-Teresa, B.; Ramos, A. Intercalators as anticancer drugs. Curr. Pharm. Des. 2001, 7, 1745–1780. [Google Scholar]
- Johnson, C.A.; Hudson, G.A.; Hardebeck, L.K.; Jolley, E.A.; Ren, Y.; Lewis, M.; Znosko, B.M. Effect of intercalator substituent and nucleotide sequence on the stability of DNA- and RNA-naphthalimide complexes. Bioorg. Med. Chem. 2015, 23, 3586–3591. [Google Scholar] [CrossRef] [PubMed]
- Asbury, R.; Blessing, J.A.; Podczaski, E.; Ball, H. A phase II trial of amonafide in patients with mixed mesodermal tumors of the uterus: A gynecologic oncology group study. Am. J. Clin. Oncol. 1998, 21, 306–307. [Google Scholar] [CrossRef] [PubMed]
- Costanza, M.E.; Berry, D.; Henderson, I.C.; Ratain, M.J.; Wu, K.; Shapiro, C.; Duggan, D.; Kalra, J.; Berkowitz, I.; Lyss, A.P. Amonafide: An active agent in the treatment of previously untreated advanced breast cancer—A cancer and leukemia group B study (CALGB 8642). Clin. Cancer Res. 1995, 1, 699–704. [Google Scholar] [PubMed]
- Tarasova, N.I.; Dyba, M.; Michejda, C.J. Azonafide Derived Tumor and Cancer Targeting Compounds. U.S. Patent US8008316 B2, 30 August 2011. [Google Scholar]
- Dorr, R.T.; Liddil, J.D.; Sami, S.M.; Remers, W.; Hersh, E.M.; Alberts, D.S. Preclinical antitumor activity of the azonafide series of anthracene-based DNA intercalators. Anti-Cancer Drugs 2001, 12, 213–220. [Google Scholar] [CrossRef] [PubMed]
- Ingrassia, L.; Lefranc, F.; Kiss, R.; Mijatovic, T. Naphthalimides and azonafides as promising anti-cancer agents. Curr. Med. Chem. 2009, 16, 1192–1213. [Google Scholar] [CrossRef] [PubMed]
- Nitiss, J.L.; Zhou, J.; Rose, A.; Hsiung, Y.; Gale, K.C.; Osheroff, N. The bis(naphthalimide) DMP-840 causes cytotoxicity by its action against eukaryotic topoisomerase II. Biochemistry 1998, 37, 3078–3085. [Google Scholar] [CrossRef] [PubMed]
- Brana, M.F.; Castellano, J.M.; Moran, M.; Perez de Vega, M.J.; Perron, D.; Conlon, D.; Bousquet, P.F.; Romerdahl, C.A.; Robinson, S.P. Bis-naphthalimides 3: Synthesis and antitumor activity of N,N′-bis[2-(1,8-naphthalimido)-ethyl] alkanediamines. Anticancer Drug Des. 1996, 11, 297–309. [Google Scholar] [PubMed]
- Brana, M.F.; Castellano, J.M.; Moran, M.; Perez de Vega, M.J.; Romerdahl, C.R.; Qian, X.D.; Bousquet, P.; Emling, F.; Schlick, E.; Keilhauer, G. Bis-naphthalimides: A new class of antitumor agents. Anticancer Drug Des. 1993, 8, 257–268. [Google Scholar] [PubMed]
- Tian, Z.-Y.; Li, J.-H.; Li, Q.; Zang, F.-L.; Zhao, Z.-H.; Wang, C.-J. Study on the synthesis, biological activity and spectroscopy of naphthalimide-diamine conjugates. Molecules 2014, 19, 7646–7668. [Google Scholar] [CrossRef] [PubMed]
- Li, X.; Lin, Y.; Wang, Q.; Yuan, Y.; Zhang, H.; Qian, X. The novel anti-tumor agents of 4-triazol-1,8-naphthalimides: Synthesis, cytotoxicity, DNA intercalation and photocleavage. Eur. J. Med. Chem. 2011, 46, 1274–1279. [Google Scholar] [CrossRef] [PubMed]
- Li, X.; Lin, Y.; Yuan, Y.; Liu, K.; Qian, X. Novel efficient anticancer agents and DNA-intercalators of 1,2,3-triazol-1,8-naphthalimides: Design, synthesis, and biological activity. Tetrahedron 2011, 67, 2299–2304. [Google Scholar] [CrossRef]
- Zhang, Y.-Y.; Zhou, C.-H. Synthesis and activities of naphthalimide azoles as a new type of antibacterial and antifungal agents. Bioorg. Med. Chem. Lett. 2011, 21, 4349–4352. [Google Scholar] [CrossRef] [PubMed]
- Lv, J.-S.; Peng, X.-M.; Kishore, B.; Zhou, C.-H. 1,2,3-Triazole-derived naphthalimides as a novel type of potential antimicrobial agents: Synthesis, antimicrobial activity, interaction with calf thymus DNA and human serum albumin. Bioorg. Med. Chem. Lett. 2014, 24, 308–313. [Google Scholar] [CrossRef] [PubMed]
- Walser, A.; Flynn, T.; Mason, C.; Crowley, H.; Maresca, C.; Yaremko, B.; O’Donnell, M. Triazolobenzo- and triazolothienodiazepines as potent antagonists of platelet activating factor. J. Med. Chem. 1991, 34, 1209–1221. [Google Scholar] [CrossRef] [PubMed]
- Walser, A. Triazolo(4,3-a)(1,4)benzodiazepines and Hieno(3,2-F)(1,2,4)triazolo(4,3-a)(1,4)diazepine Compounds chich Have Useful Activity as Platelet Activating Factor (PAF) Antagonists. U.S. Patent 4,959,361, 25 September 1990. [Google Scholar]
- Balci, A.; Arslan, M.; Rifati Nixha, A.; Bilen, C.; Ergun, A.; Gençer, N. Synthesis and evaluation of N-heteroarylsubstituted triazolosulfonamides as carbonic anhydrase inhibitors. J. Enzym. Inhib. Med. Chem. 2015, 30, 377–382. [Google Scholar] [CrossRef] [PubMed]
- Haelters, J.P.; Berchel, M.; Couthon-Gouves, H.; Jaf-Fres, P.A. Modular Construction of Lipophospholipids. Patent WO 2012/004419, 12 January 2012. [Google Scholar]
- Berchel, M.; Haelters, J.-P.; Couthon-Gourvès, H.; Deschamps, L.; Midoux, P.; Lehn, P.; Jaffrès, P.-A. Modular construction of fluorescent lipophosphoramidates by click chemistry. Eur. J. Org. Chem. 2011, 31, 6294–6303. [Google Scholar] [CrossRef]
- Jin, Z.; Zhang, X.-B.; Xie, D.-X.; Gong, Y.-J.; Zhang, J.; Chen, X.; Shen, G.-L.; Yu, R.-Q. Clicking fluoroionophores onto mesoporous silicas: A universal strategy toward efficient fluorescent surface sensors for metal ions. Anal. Chem. 2010, 82, 6343–6346. [Google Scholar] [CrossRef] [PubMed]
- Ares, J.J.; Kador, P.F.; Miller, D.D. Synthesis and biological evaluation of irreversible inhibitors of aldose reductase. J. Med. Chem. 1998, 29, 2384–2389. [Google Scholar] [CrossRef]
- Amegadzie, A.K.; Carey, M.E.; Domagala, J.M.; Edmonton, L.H.; Micetich, R.G.; Park, S.; Sanchez, J.P.; Singh, R.; Stier, M.A.; Vaisburg, A. Isoquinolones. U.S. Patent US 6,362,181 B1, 26 March 2002. [Google Scholar]
- Głowacka, I.E.; Balzarini, J.; Wróblewski, A.E. Design, synthesis, antiviral, and cytotoxic evaluation of novel phosphonylated 1,2,3-triazoles as acyclic nucleotide analogues. Nucleosides Nucleotides Nucleic Acids 2012, 31, 293–318. [Google Scholar] [CrossRef] [PubMed]
- Bankowska, E.; Balzarini, J.; Głowacka, I.E.; Wróblewski, A.E. Design, synthesis, antiviral and cytotoxic evaluation of novel acyclic phosphonate nucleotide analogues with a 5,6-dihydro-1H-[1,2,3]triazolo[4,5-d]pyridazine-4,7-dione system. Monatsh. Chem. 2013, 145, 663–673. [Google Scholar] [CrossRef] [PubMed]
- Głowacka, I.E.; Balzarini, J.; Wróblewski, A.E. The synthesis, antiviral, cytostatic and cytotoxic evaluation of a new series of acyclonucleotide analogues with a 1,2,3-triazole linker. Eur. J. Med. Chem. 2013, 70, 703–722. [Google Scholar] [CrossRef] [PubMed]
- Głowacka, I.E.; Balzarini, J.; Wróblewski, A.E. Synthesis and biological evaluation of novel 1,2,3-triazolonucleotides. Arch. Pharm. Chem. Life Sci. 2013, 346, 278–291. [Google Scholar] [CrossRef] [PubMed]
- Głowacka, I.E.; Balzarini, J.; Wróblewski, A.E. Synthesis of a new series of phosphonylated 1,2,3-triazoles as acyclic analogs of ribavirin. Arch. Pharm. Chem. Life Sci. 2013, 346, 677–687. [Google Scholar] [CrossRef] [PubMed]
- Głowacka, I.E.; Balzarini, J.; Wróblewski, A.E. Novel acyclic phosphonylated 1,2,3-triazolonucleosides with an acetamidomethyl linker—Synthesis and biological activity. Arch. Pharm. Chem. Life Sci. 2014, 347, 506–514. [Google Scholar] [CrossRef] [PubMed]
- Sample Availability: Samples of the compounds are not available from the authors.
© 2016 by the authors. Licensee MDPI, Basel, Switzerland. This article is an open access article distributed under the terms and conditions of the Creative Commons Attribution (CC-BY) license ( http://creativecommons.org/licenses/by/4.0/).


