Abstract
Cinnamic acid sugar ester derivatives (CASEDs) are a class of natural product with one or several phenylacrylic moieties linked with the non-anomeric carbon of a glycosyl skeleton part through ester bonds. Their notable anti-depressant and brains protective activities have made them a topic of great interest over the past several decades. In particular the compound 3′,6-disinapoylsucrose, the index component of Yuanzhi (a well-known Traditional Chinese Medicine or TCM), presents antidepressant effects at a molecular level, and has become a hotspot of research on new lead drug compounds. Several other similar cinnamic acid sugar ester derivatives are reported in traditional medicine as compounds to calm the nerves and display anti-depression and neuroprotective activity. Interestingly, more than one third of CASEDs are distributed in the family Polygalaceae. This overview discusses the isolation of cinnamic acid sugar ester derivatives from plants, together with a systematic discussion of their distribution, chemical structures and properties and pharmacological activities, with the hope of providing references for natural product researchers and draw attention to these interesting compounds.
1. Introduction
As a class of natural products, cinnamic acid sugar ester derivatives (CASEDs) have become a research focus owing to their structural diversity, together with distinctive and remarkable pharmacodynamic actions, such as anti-depression, anti-cancer, anti-oxidant, anti-inflammatory and anti-viral activities [1,2,3,4,5]. They have one or more phenylacrylic (Ph-CH=CH-CO-) moieties or their derivatives linked to the non-anomeric carbon skeletons of the glycosyl part through ester linkage-bonds. The phenylacrylic group, also named cinnamic acid part, may usually contain hydroxyl or methoxy substituted groups (Figure 1). The aglycone group is the core structure, and includes monosaccharides, disaccharides, trisaccharides, tetrasaccharides, pentasaccharides, hexsaccharides and heptasaccharides. There are one or several -OH groups on the non-anomeric carbon skeleton, connected with the cinnamic acid moiety.
Figure 1.
Substituent groups.
Since 1968 [6], more than 330 CASEDs have been found in the medicinal plants of the families Polygalaceae, Scrophulariaceae, Liliaceae, Oleaceae, Bignoniaceae, Polygonaceae, Orobanchaceae, Rosaceae, Lamiaceae, Labiatae, Gesneriaceae, Rubiaceae, Cruciferae, Plantaginaceae, Verbenaceae, Magnoliaceae, Amaranthaceae, Smilacaeae, Sterculiaceae, Hymenophyllaceae and Asclepiadaceae (Table 1). Interestingly, more than one third of CASEDs are distributed in the family Polygalaceae, which is used for tranquilizing the mind and promoting intelligence as in Traditional Chinese Medicine (TCM) [1]. Yuanzhi, the dried root of Polygala tenuifolia, a representative plant from the Polygalaceae, is a well-known TCM used for its sedative, psychotic, cognitive and depressant effects. It is used in the clinic for tranquilizing and reinforcing the mind, and is commonly applied to physical and mental illness.
Table 1.
The Family Distribution of CASEDs.
The oligosaccharide cinnamic acid esters are regarded as the predominant active antidepressant ingredients. 3′,6-Disinapoylsucrose (DISS, 73), as the index component of Yuanzhi, has been studied to the level of the molecular mechanism of its antidepressant effects, representing a hotspot of research on new drug precursor compounds [7]. There are also other multiple reports [8,9] on the antidepressant effects of sibiricose A5 (28) and tenuifoliside A (51). There are additionally several active compounds from Scrophulariae Radix, Rehmannia Radix, Smilacis China Rhizoma, which according to common wisdom, calm the nerves with anti-depression and neuroprotective activity (Table 2).
Table 2.
The Principal Compounds of CASEDs Distributed in TCMs.
Up to now, there is no relevant literature that analyzes all those CASED compounds systematically. Therefore, this paper is aimed at systematically clarifying the distribution, chemical structures and pharmacological activities of CASEDs, in the hope of drawing more researchers’ attention to these interesting substances.
2. Chemical Constituents
Cinnamic acid sugar ester derivatives (CASEDs) are an important type of natural product. Structurally, they have a glycosyl linked with the phenylacrylic group using ester bonds. The glycosyl part maybe contain one, or several sugar units, which are attached via an -OH group to another -OH by condensation reactions. So far, glucopyrannosyl, rhamnopyranosyl, fructofuranosyl, arabinopyranosyl, galactopyranosyl, apiofuranosyl, xylopyranosyl, lyxopyranosyl, allopyranosyl, fucopyranosyl and lactopyranosyl moieties have been reported to occur in CASEDs. The glycosyl portion usually has an anomeric carbon of one sugar connected to the C-2, C-3 and C-4 of the other glycosyl group. Here, the non-anomeric carbon of the glycosyl part connected (Table 3).
Table 3.
Cinnamic Acid Sugar Ester Derivatives.
Up to now, there has been no detailed research on the extraction procedures for these chemical constituents. Generally, the crude extracts wer prepared with different concentrations of methanol, ethanol or acetone-water solution by the impregnation method, refluxing extraction or decoction method [10,11,12,13,14,15,16,17,18,19,20,21,22,23,24,25,26,27,28,29,30,31,32,33,34,35,36,37,38,39,40,41,42,43,44,45,46,47,48,49,50,51,52,53,54,55,56,57,58,59,60,61,62,63,64,65,66,67,68,69,70,71,72,73,74,75,76,77,78,79,80,81,82,83,84,85,86,87,88,89,90,91,92,93,94,95,96,97,98,99,100,101,102,103,104,105,106,107,108,109,110,111]. Then the extracts were evaporated in a rotary evaporator to yield a syrupy residue. This residue was suspended in H2O and extracted successively with petroleum ether, CHCl3, EtOAc and H2O-satd n-BuOH [10,14,15,22]. The different extracts were then fractionated on different chromatographic columns with different mobile phases. Thereinto, silica gel CC was the most commonly used positive phase chromatographic column and eluted with petroleum ether, petroleum ether–EtOAc CHCl3–EtOAc, CHCl3–MeOH, CHCl3–MeOH–H2O with various ratios [10,11,22,30]. Mitsubishi Diaion HP-20, Diaion HP20SS, Chromatorex ODS, different types of macroporous resin and MCI columns were the reverse phase chromatography columns, which were used widely, eluted with a step-gradient of MeOH–H2O or EtOH–H2O (10%–100%), respectively. Sephadex LH-20 was also commonly used [19,31]. Some oligosachariches were isolated by preparative HPLC (Develosil Lep-ODS) [11]. Preparative TLC and recycle semi-preparative HPLC were often used to further purify samples [15].
2.1. Monosaccharide Esters
The 27 monosaccharide [16,18,20,21,22,23,24,25,26,27,28,29,30,31,32,33,34,35] esters 1–10, 21–27 represent the simplest structures found among CASEDs (Figure 1, Figure 2, Figure 3, Figure 4 and Figure 5). The main structural moiety of these compounds (Figure 2 and Figure 5), is a β-d-glucose ester, or an α-l-rhamnose ester in compounds 11–15 (Figure 3). Compounds 16–20 exist as anomeric mixtures in solution and the phenylacrylic group is often attached at the C-6 position of the glycosyl moiety. Coincidentally, compounds 11–15 possess the same p-methoxy- cinnamoyl group attached to the rhamnose unit though an ester bond in the monosaccharide ester. Compounds 2, 4 and 20 are phenylpropanol esters linked with glucose as the important part. Compounds 1 and 3 contain two different phenylpropanols attached to one glucose molecule. Ningposide D (14) [16] is also an anomeric mixture of rhamnose esters and the anomeric ration α/β is 3:1, here it was drawn as the α-l-rhamnose ester. Isolated from the underground parts of Globularia orientali, globularitol (21) has a carbohydrate chain moiety, formed by a glucitol group. It has the ability to efficiently scavenge free radicals [32]. Grayanin (22) has a mandelonitrile unit connected at the C-1 position in the glucose. This compound is a unique cyanogenic glycoside among CASEDs [20]. The benzeneacetonitrile group of grayanin may be originated from phenylalanine from the biosynthetic pathway viewpoint. Up to now, paederol A (25) and B (26), are the only two reported CASEDs with acyclic sugars. By the way, paederol A and B did not exhibit obviously cytotoxicity in the Lu1 (lung cancer), LNCaP (prostate cancer) and MCF-7 (breast cancer) [34]. Kaempferol 3-O-β-d-(6-O-p-E-coumaroyl)-glucopyranoside (27) is the only flavonoid of CASEDs, which possess inhibitory activity towards a drug-metabolizing enzyme, CYP3A4 [35].
Figure 2.
Structures of compounds 1–10.
Figure 3.
Structures of compounds 11–15.
Figure 4.
Structures of compounds 16–20.
Figure 5.
Structures of compounds 21–27.
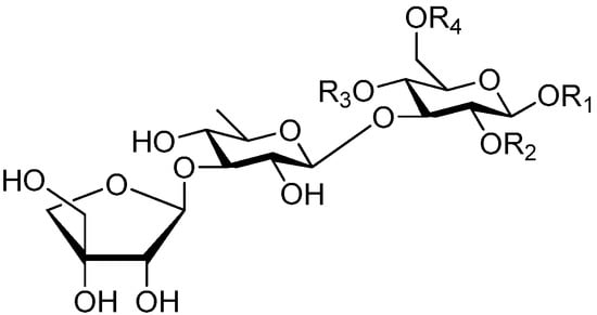
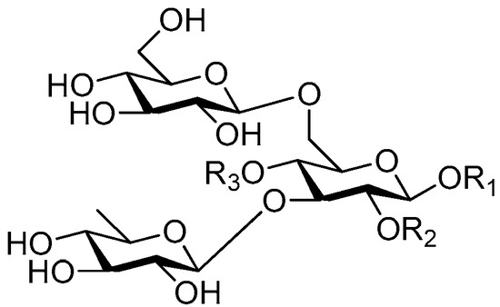
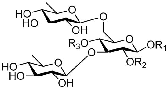
2.2. Disaccharide Esters
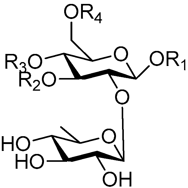
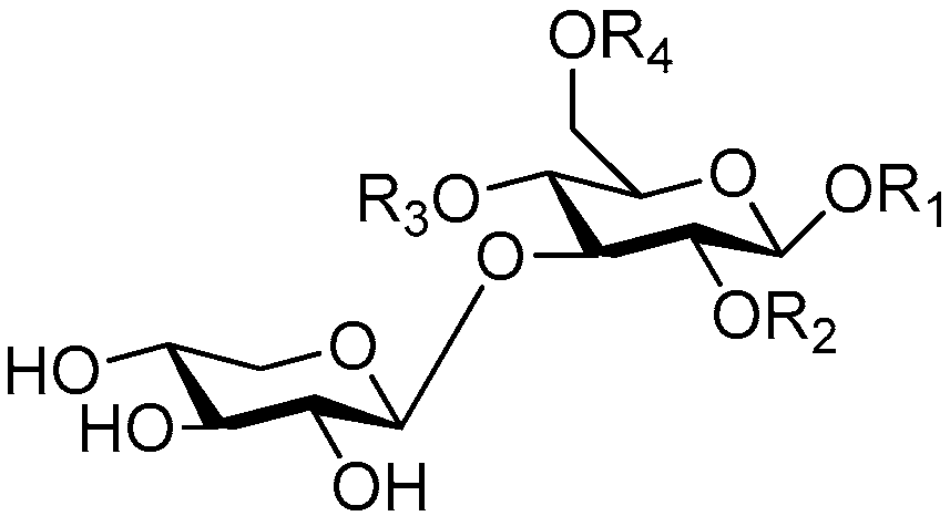
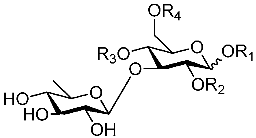
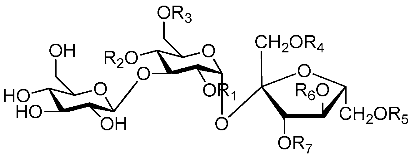
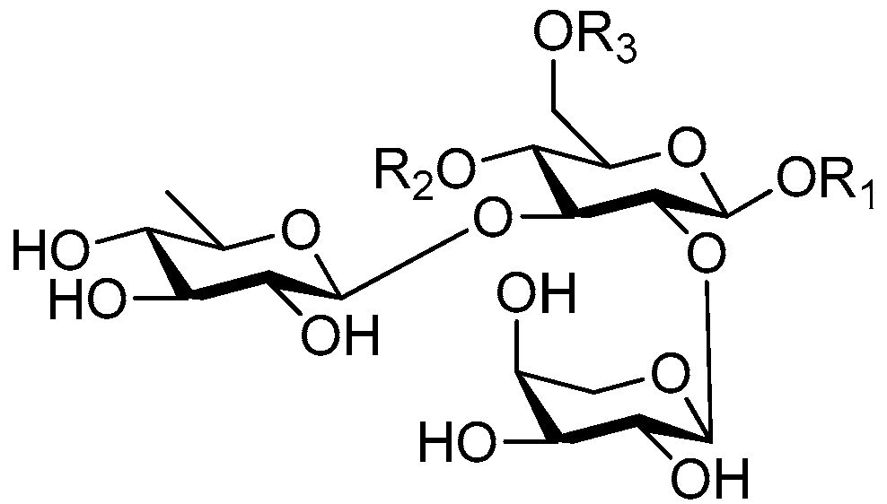
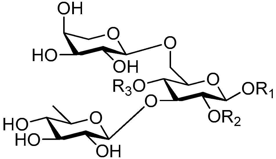
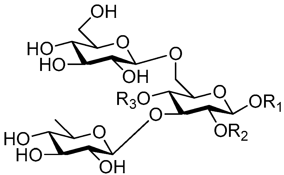
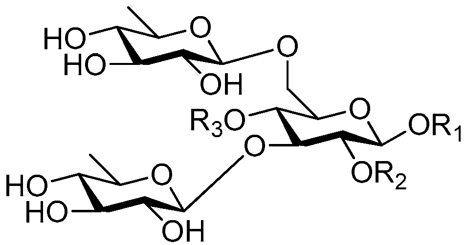
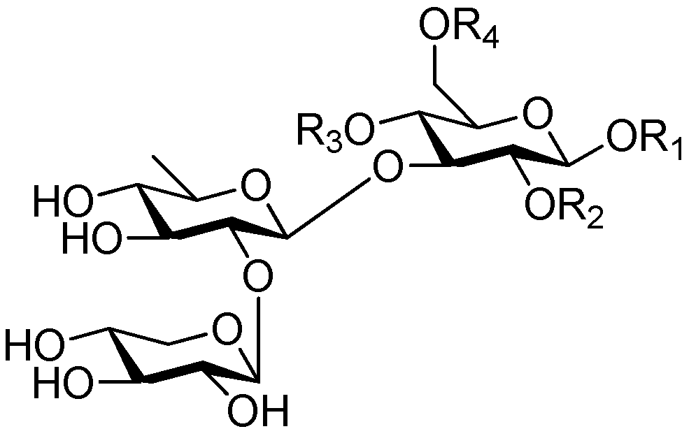
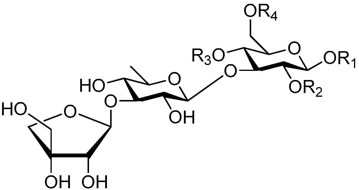
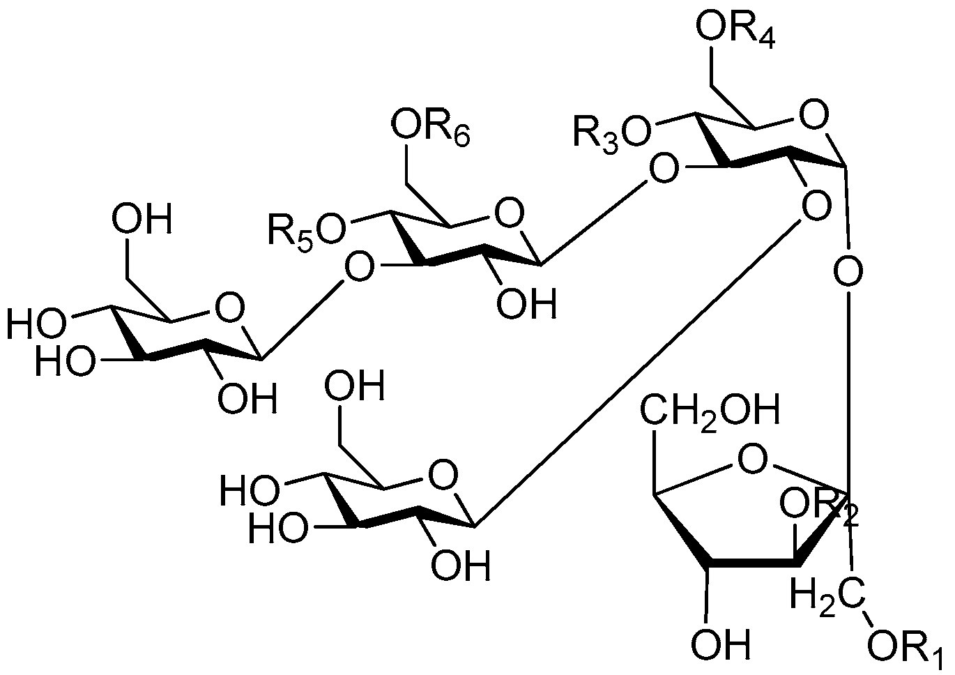
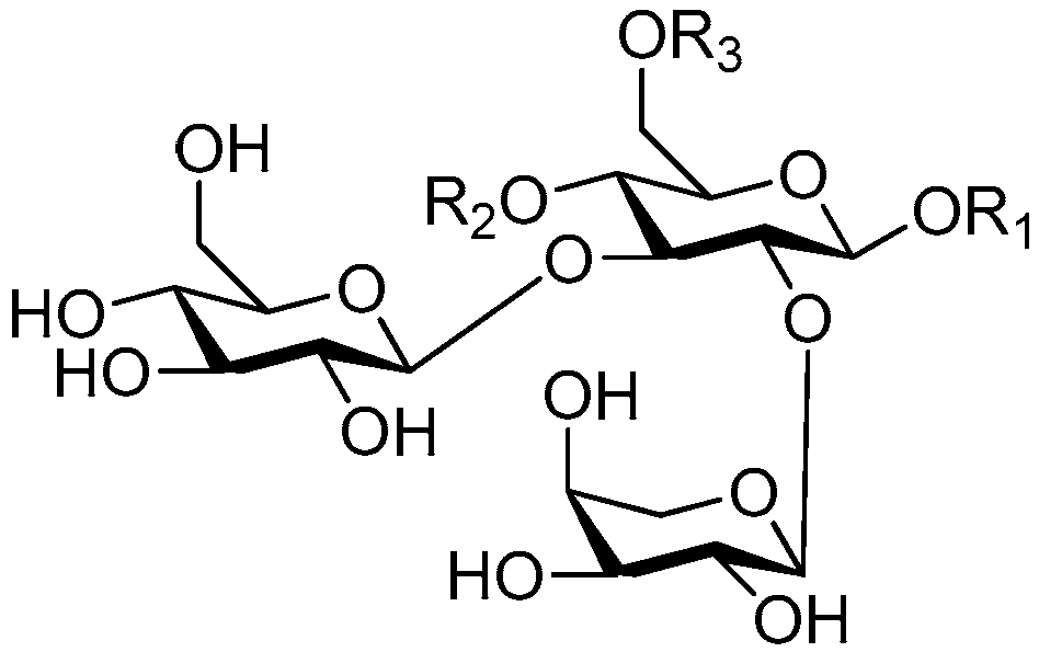
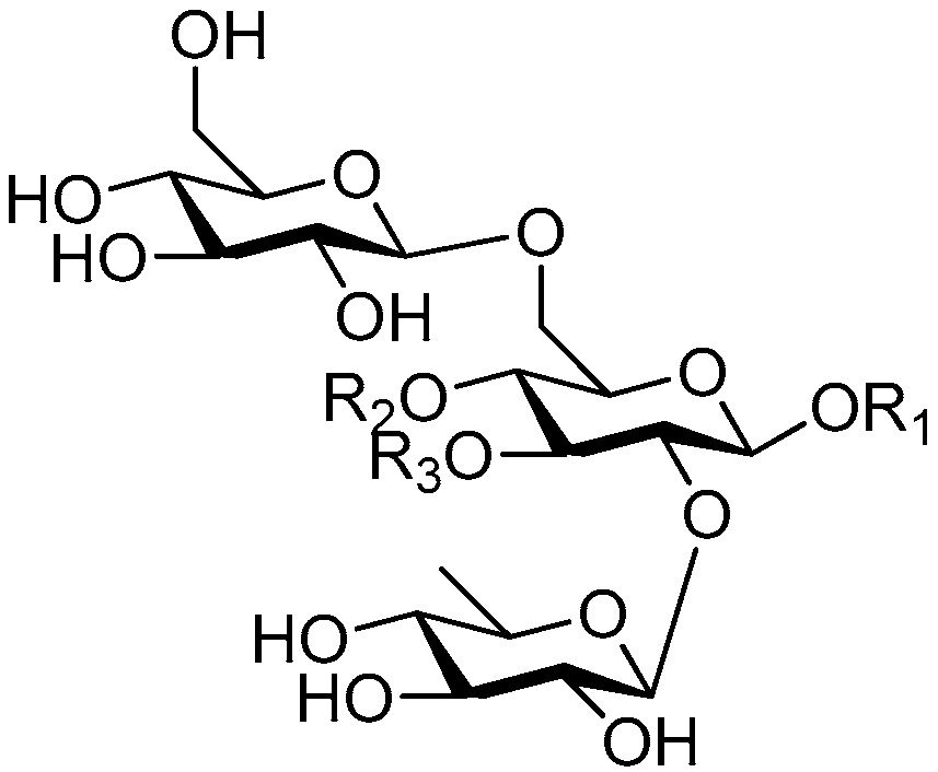
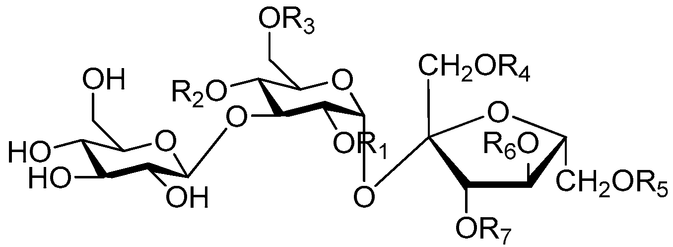
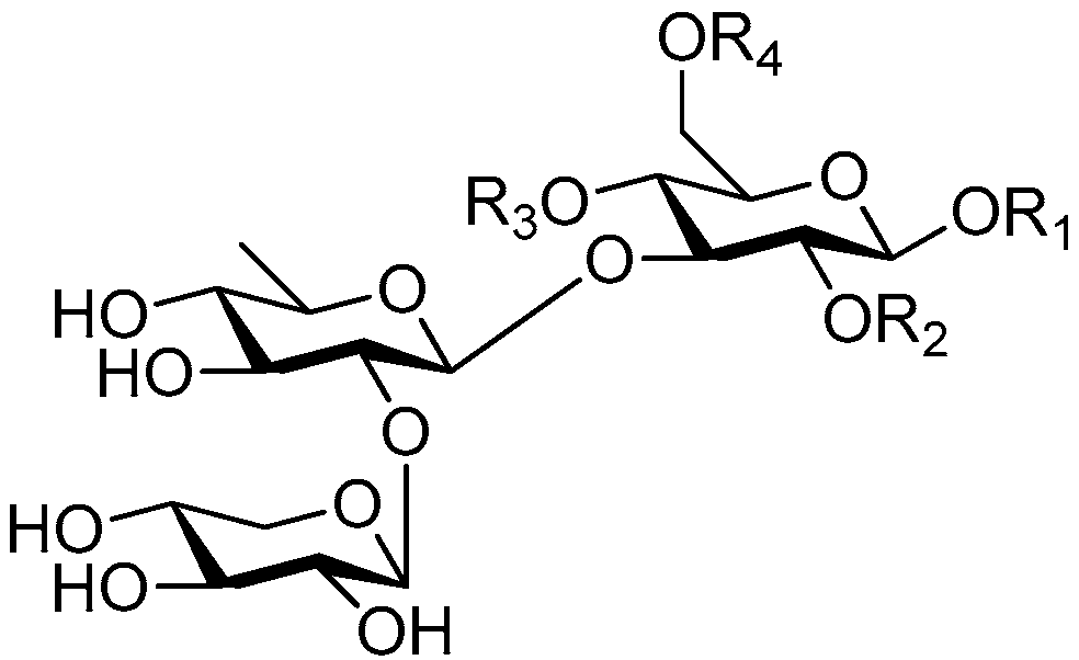
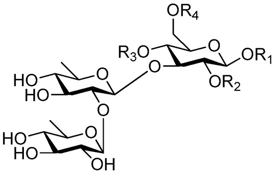
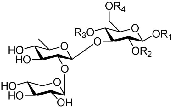
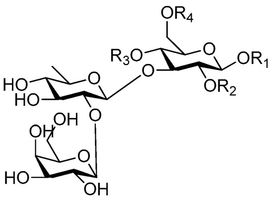
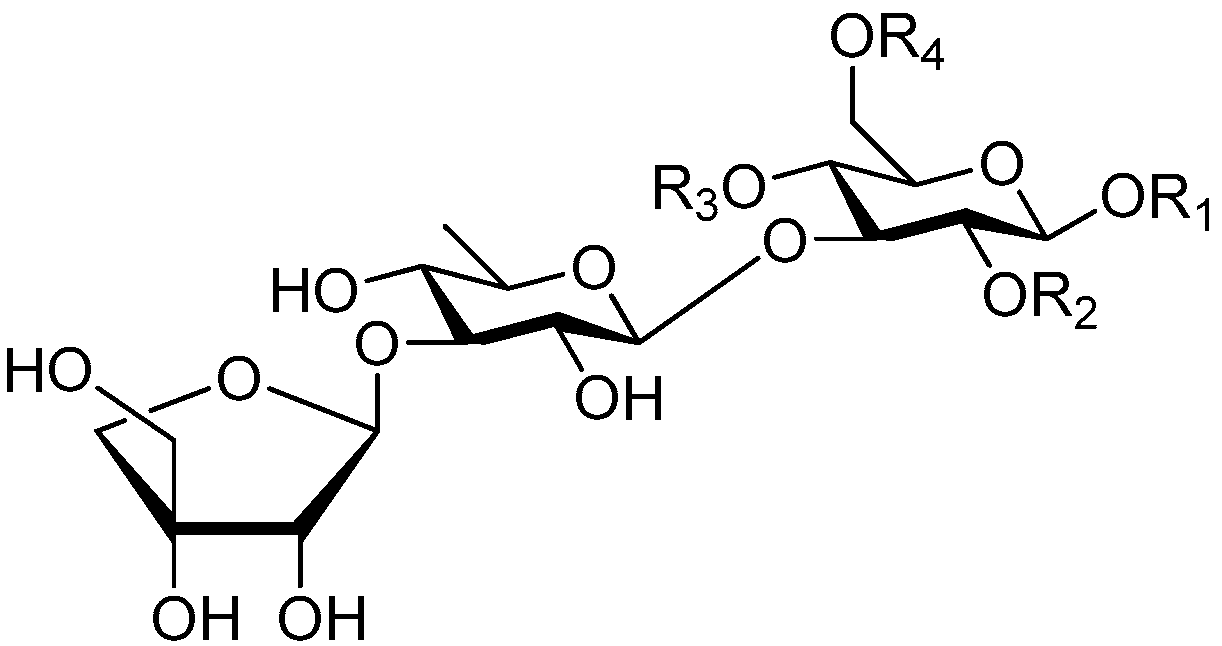
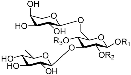
Disaccharide esters 28–162 (Figure 6, Figure 7, Figure 8, Figure 9, Figure 10, Figure 11, Figure 12, Figure 13, Figure 14, Figure 15 and Figure 16) [4,5,10,13,15,17,19,24,25,29,36,37,38,39,40,41,42,43,44,45,46,47,48,49,50,51,52,53,54,55,56,57,58,59,60,61,62,63,64,65,66,67,68,69,70,71,72,73,74,75,76,77,78,79,80,81,82,83,84,85,86,87,88,89,90,91] constitute the largest group among CASEDs. Their glycosyl parts include glycosyl groups, with glucopyrannosyl, rhamnopyranosyl, fructofuranosyl, and arabinopyranosyl ones being the most important and sucrose units as found in compounds 28–120, 162 are more rare,. Among them, the glycosyl unit in 28–120 has the anomeric carbon on α-d-glucose linked to a β-d-fructose. The ester bond is often formed at the C-6 position of α-d-glucose and C-3 position of β-d-fructose. The compounds 122–140 are composed of α-l-rhamnose and β-d-glucose, with a connection between the C-1 location of α-l-rhamnose and C-3 position of β-d-glucose. The cinnamic acid unit is mainly connected to the C-4 position of β-d-glucose, and less often in the C-6 location. The glycosyl moieties of compounds 145–147 are similar to those of 122–140, and the configuration of the hydroxyl attached to the anomeric carbon of glucose could not be determined. The aglycone part of compounds 150–155 is two β-d-glucoses joined by C-1 and C-6, and the functional group is attached to the C-2 position of the parent nucleus.
Figure 6.
Structures of compounds 28–120.
Figure 7.
Structure of compound 121.
Figure 8.
Structures of compounds 122–140.
Figure 9.
Structure of compound 141.
Figure 10.
Structures of compounds 142–143.
Figure 11.
Structure of compound 144.
Figure 12.
Structures of compounds 145–147.
Figure 13.
Structure of compound 148.
Figure 14.
Structure of compound 149.
Figure 15.
Structures of compounds 150–155.
Figure 16.
Structures of compounds 156–162.
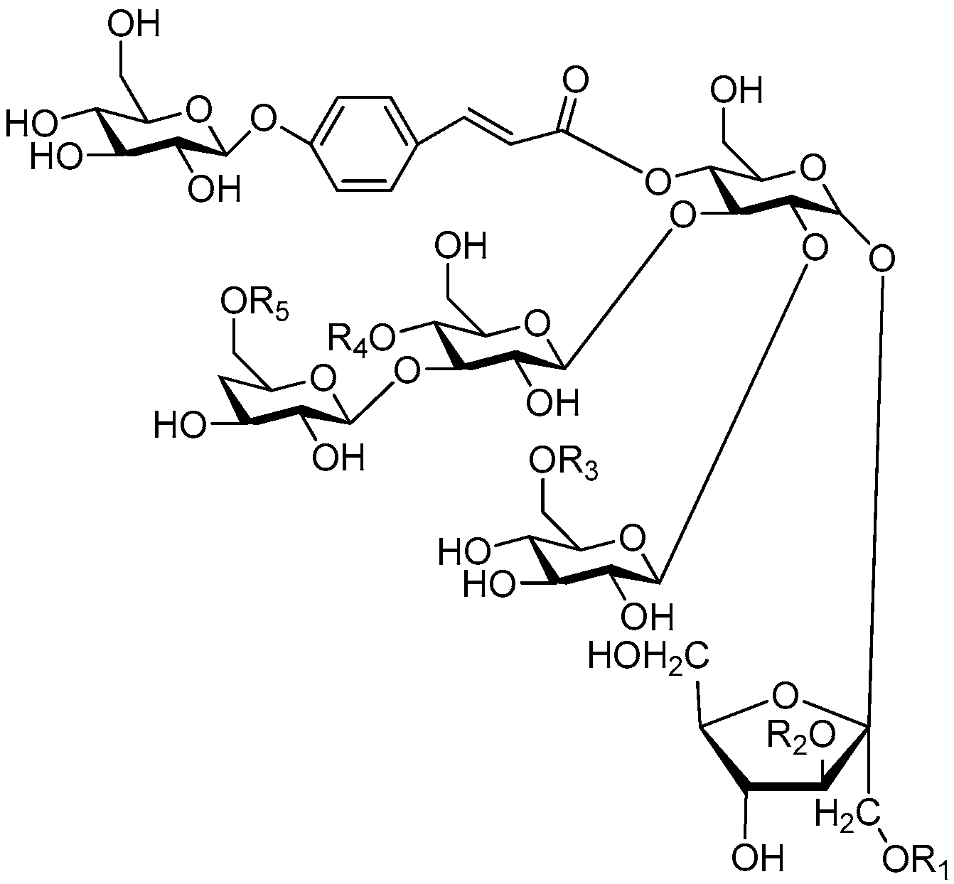
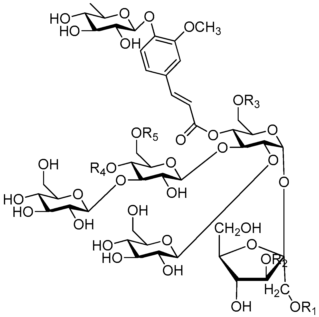
Sibiricose A5 (28), tenuifoliside A (51) and DISS (73) from the root of Polygala sibirica (Yuanzhi) [13], have the same core sucrose unit and the ester is always connected at the C-6 position of α-d-glucose and C-3 position of β-d-fructose. These compounds have anti-depression properties. In 1968, verbascoside (=acteoside 131) was the first CASED isolated from the medical plant Syringa vulgaris (Oleaceae) [3]. So far, it has been reported in nine families. Magnoloside A (121) from medicinal plants of the Magnoliaceae family is unique among the phenylpropanoids in rarely occurring alone as the core glycosyl [62]. In addition, crenatoside (157) has a novel annular framework which attaches the C-1 and C-2 of the glucose to a hexatomic oxygen ring [91]. Glomeratose E (162) possesses a (E,E)-β,β′-bis-sinapoyl group between the α-d-glucose and β-d-fructose [38].
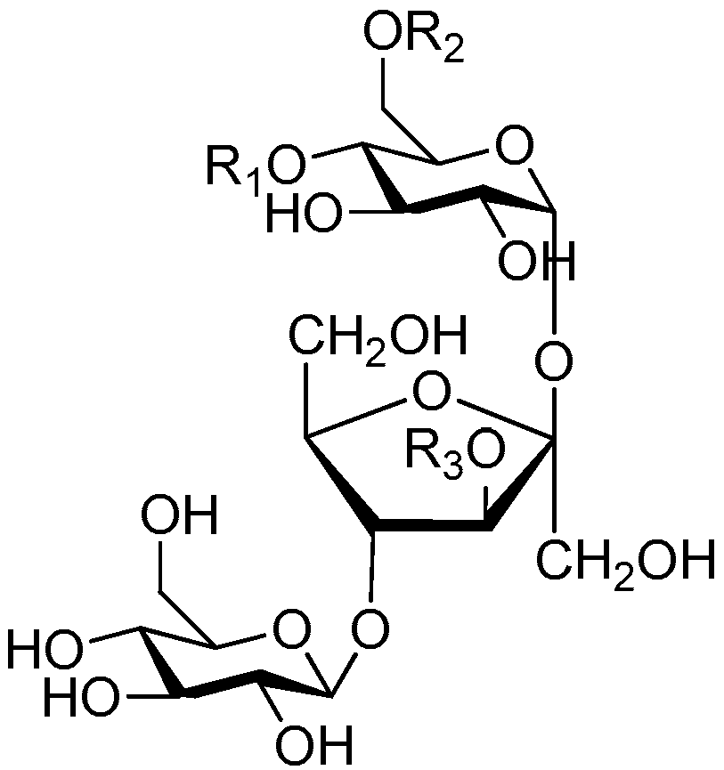
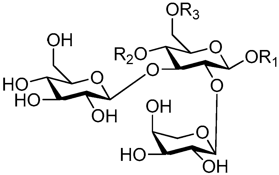
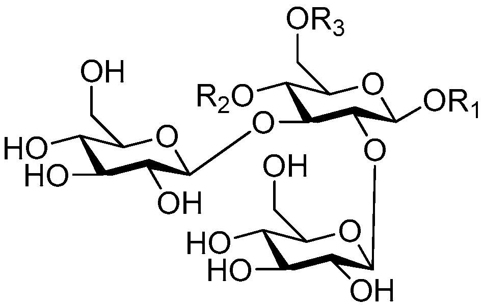
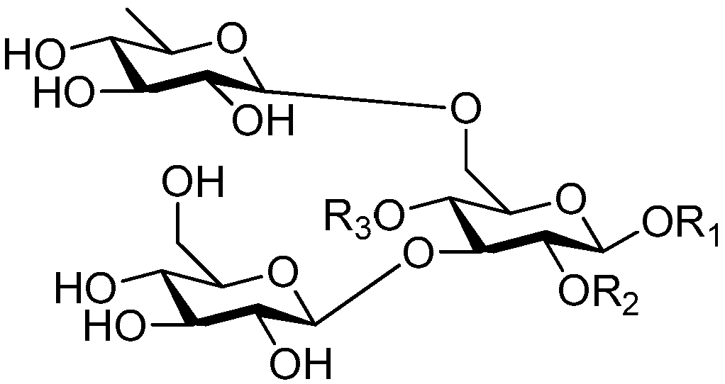
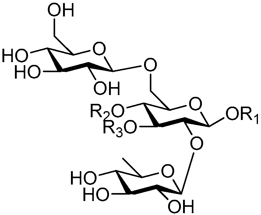
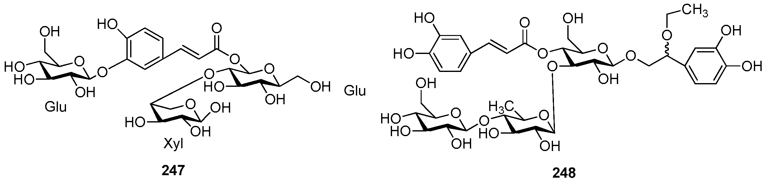
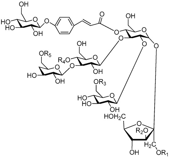
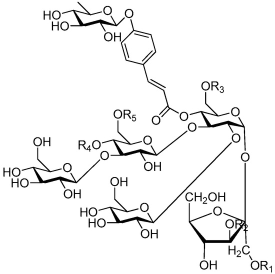
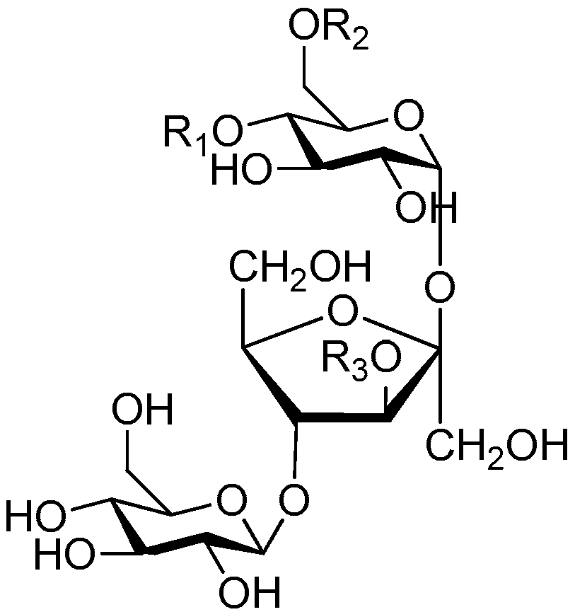
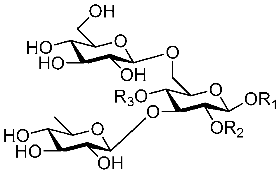
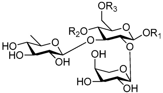
2.3. Trisaccharide Esters
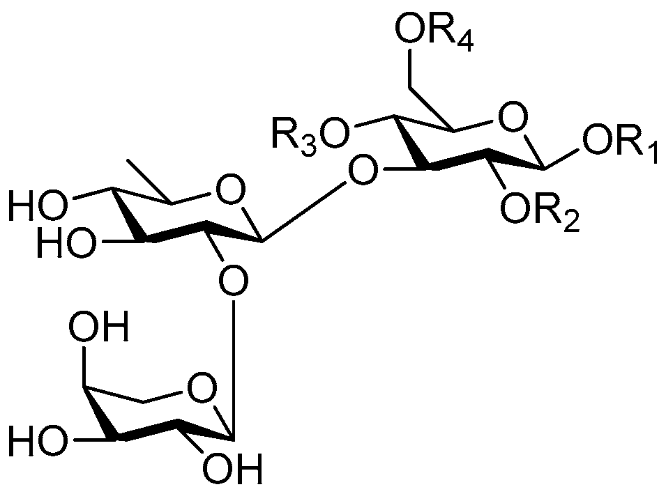
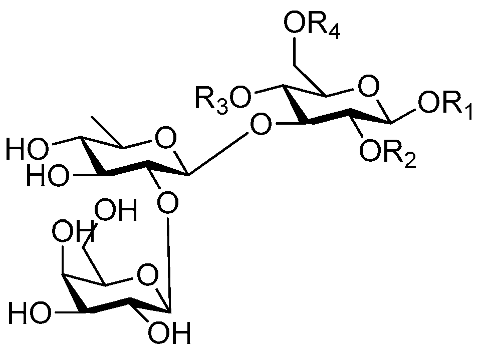
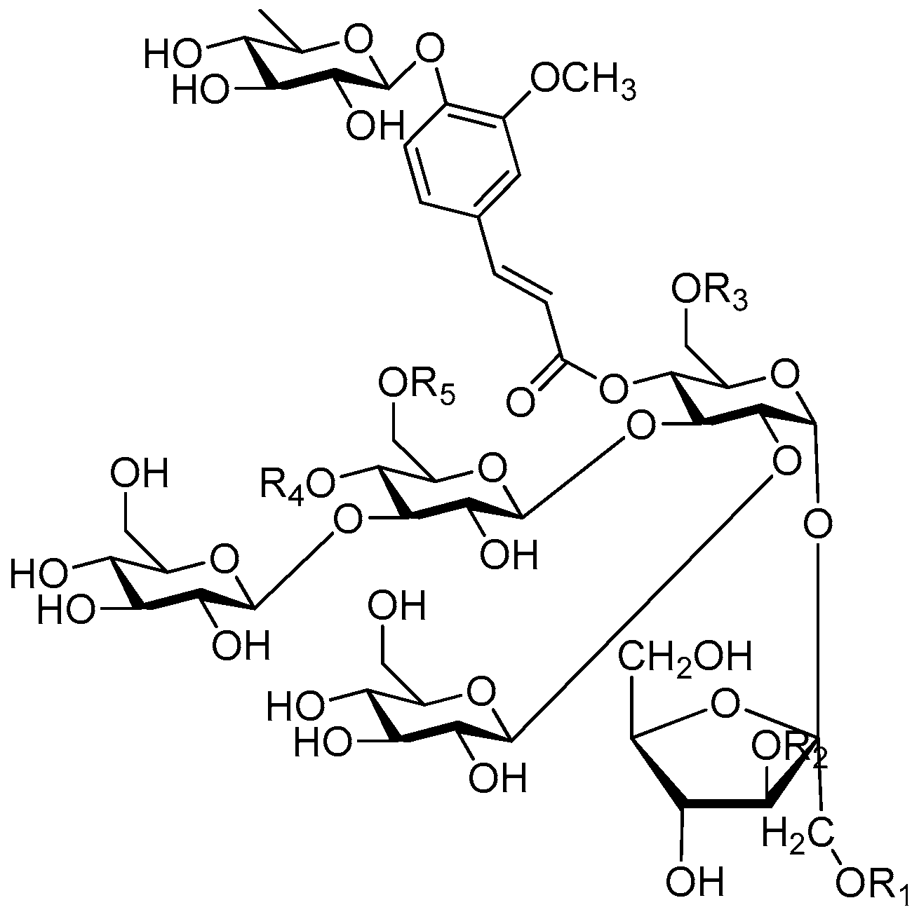
Ninety three compounds 163–254 [5,19,21,24,37,46,51,55,63,64,65,66,67,75,78,79,80,81,82,83,84,85,86,93,94,95,96,97,98,99,100,101,102,103,104] represent the trisaccharide ester category. They are mainly obtained from the Scrophulariaccae plant family. The most common glycosyl moieties are sucrose, with glucose as core unit (compounds 163–174, 175, Figure 17, Figure 18, Figure 19 and Figure 20 and Figure 21), di-apiose combined with glucose (176–178, Figure 22 and Figure 23), glucose as the kernel glycosyl (179–246, 247–248, Figure 24, Figure 25, Figure 26, Figure 27, Figure 28, Figure 29, Figure 30, Figure 31, Figure 32, Figure 33, Figure 34, Figure 35, Figure 36, Figure 37, Figure 38, Figure 39, Figure 40, Figure 41, Figure 42, Figure 43, Figure 44, Figure 45, Figure 46, Figure 47, Figure 48, Figure 49, Figure 50, Figure 51 and Figure 52 and Figure 53), and rhamnose as the central part with its terminal carbon combined with glucose and the C-3 connected with xylose (249–254, Figure 54). The phenylpropanoid groups usually esterify the C-3 and C-4 positions of fructose, C-3, C-4 and C-6 of glucose and C-4 of rhamnose. Tricornoses E (165) and F (166) from the Polygalaceae family possess two different phenylpropanoids attached to one fructose molecule [37]. Lilongiside (173), reiniose D (174) and hydrangeifolin II (253) differ from other trisaccharide esters in that their three sugar cores are not combined as a whole chain [21,46,55]. The aglycone groups of lilongiside and reiniose D are sucrose with glucose, rhamnose. Hydrangeifolin II is composed of caffeoyl glycoside with a diglycosyl unit esterified with an ester linkage. This compound has a weak DPPH free radical scavenging activity. Teucrioside (229) from the Labiatae family is the only CASED that has a lyxose moiety, rarely occuring in higher plants [101]. The anomeric carbon configuration of glucose unit in ligupurpuroside F (234) is not determined [24]. Rossicaside F (254) exists as epimers at the β-C of the phenethyl alcohol moiety (R,S-β-OEt) [98].
Figure 17.
Structures of compounds 163–166.
Figure 18.
Structures of compounds 167–168.
Figure 19.
Structures of compounds 169–172.
Figure 20.
Structures of compounds 173–174.
Figure 21.
Structure of compound 175.
Figure 22.
Structures of compounds 176–177.
Figure 23.
Structure of compound 178.
Figure 24.
Structures of compounds 179–182.
Figure 25.
Structures of compounds 183–187.
Figure 26.
Structures of compounds 188–192.
Figure 27.
Structure of compound 193.
Figure 28.
Structures of compounds 194–195.
Figure 29.
Structure of compound 196.
Figure 30.
Structures of compounds 197–201.
Figure 31.
Structures of compounds 202–205.
Figure 32.
Structures of compounds 206–207.
Figure 33.
Structures of compounds 208–213.
Figure 34.
Structures of compounds 214–216.
Figure 35.
Structures of compounds 217–218.
Figure 36.
Structure of compound 219.
Figure 37.
Structure of compound 220.
Figure 38.
Structures of compounds 221–223.
Figure 39.
Structure of compound 224.
Figure 40.
Structures of compounds 225–227.
Figure 41.
Structure of compound 228.
Figure 42.
Structure of compound 229.
Figure 43.
Structure of compound 230.
Figure 44.
Structures of compounds 231–232.
Figure 45.
Structures of compounds 233–234.
Figure 46.
Structures of compounds 235–238.
Figure 47.
Structures of compounds 239–240.
Figure 48.
Structures of compounds 241–242.
Figure 49.
Structure of compound 243.
Figure 50.
Structure of compound 244.
Figure 51.
Structure of compound 245.
Figure 52.
Structure of compound 246.
Figure 53.
Structures of compounds 247–248.
Figure 54.
Structures of compounds 249–254.
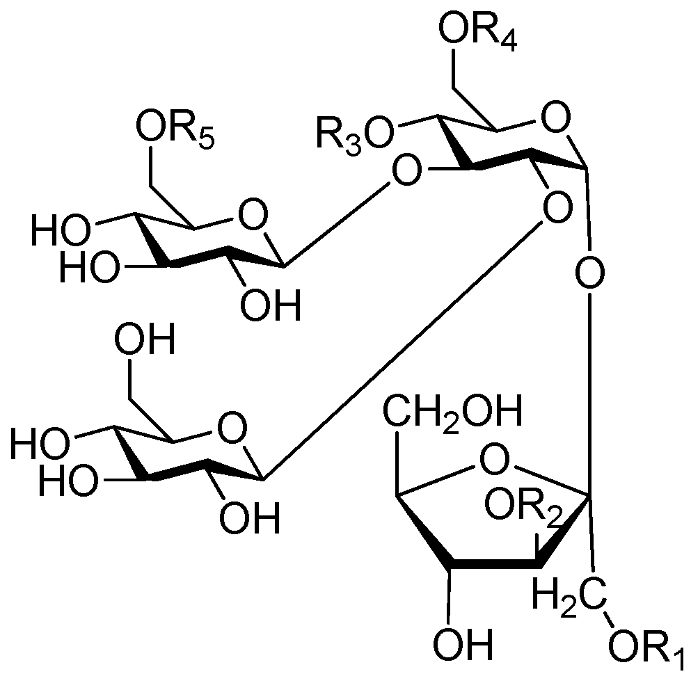
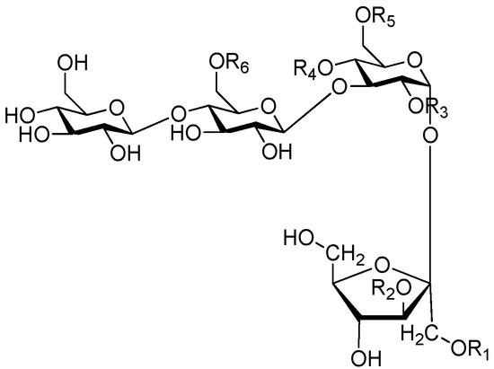
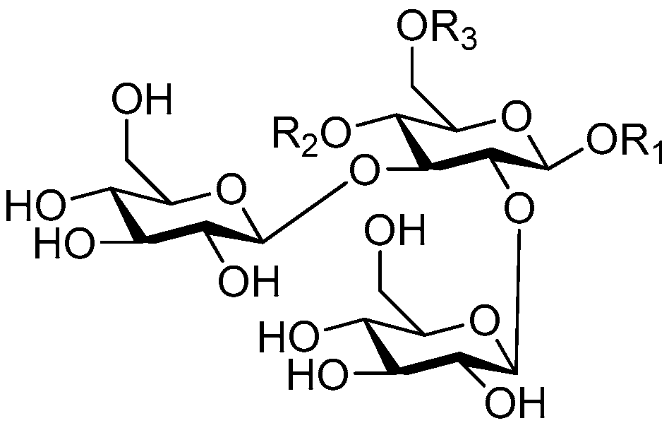
2.4. Tetrasaccharide Esters
Of all the tetrasaccharide esters 255–279 (Figure 55, Figure 56, Figure 57, Figure 58, Figure 59 and Figure 60) [37,38,46,62,92,93,105,106,107], 23 are found in Polygalaceae plants Most of the phenylacrylic moieties are coumaroyl, feruloyl and sinapoyl groups. According to the core glycosyl type, these compounds can be classified into four groups, including the combination of fructose with three glucoses (255–274, Figure 55, Figure 56 and Figure 57), rhamnose, fructose with two glucoses (277–278, Figure 60), the other tetrasaccharide esters (275, 276, 279, Figure 58, Figure 59 and Figure 60). Senegoses F–I (261, 272–274) [105], whose absolute configurations were established by spectroscopic and chemical means, were purified from Polygala senega var. latifolia ToRR. et GRAY(Polygalaceae). Polygalasaponin XLII (275) which was obtained from the roots of Polygalaglomerata Lour belongs to the oleanane-type saponins, [107]. Its fucose C-4 position attaches to a 3,4-dimethoxycinnamoyl by an ester bond. The structures of fallaxose A (277) and fallaxose B (278), found in the roots of Polygala fallax, are similar, except for the acetyl group and the glucose location. Both are esterified with ferulic acid [92].
Figure 55.
Structures of compounds 255–260.
Figure 56.
Structure of compound 261.
Figure 57.
Structures of compounds 262–274.
Figure 58.
Structure of compound 275.
Figure 59.
Structure of compound 276.
Figure 60.
Structures of compounds 277–279.
2.5. Other Sugar Esters
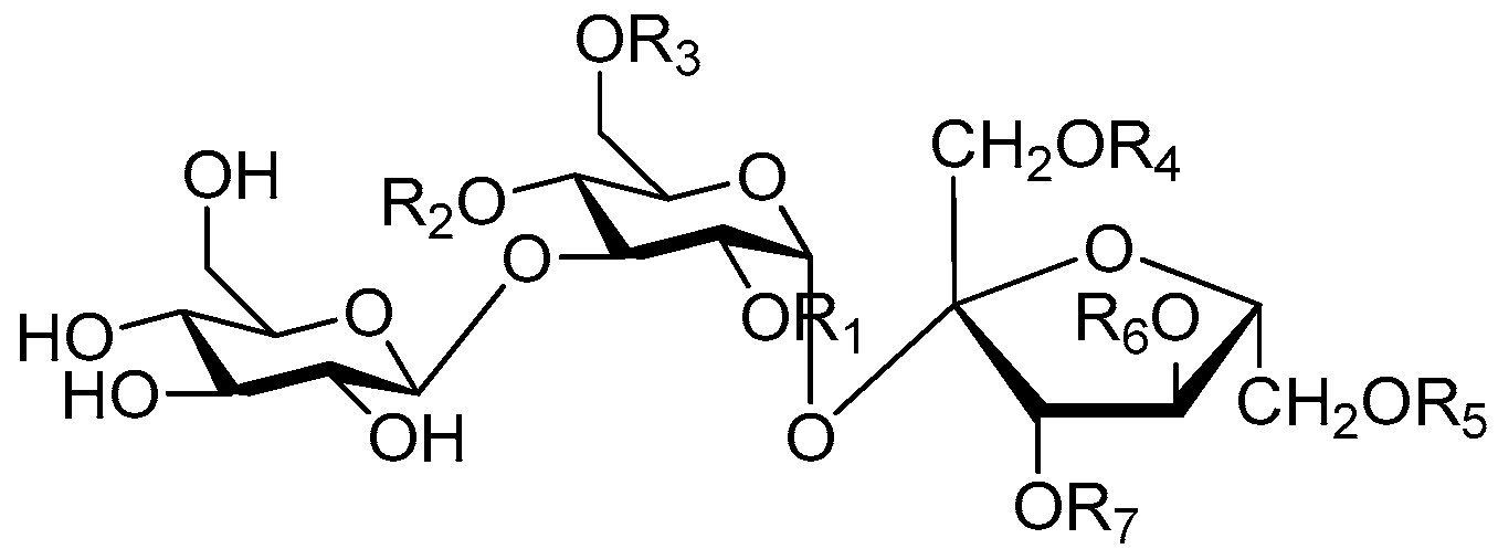
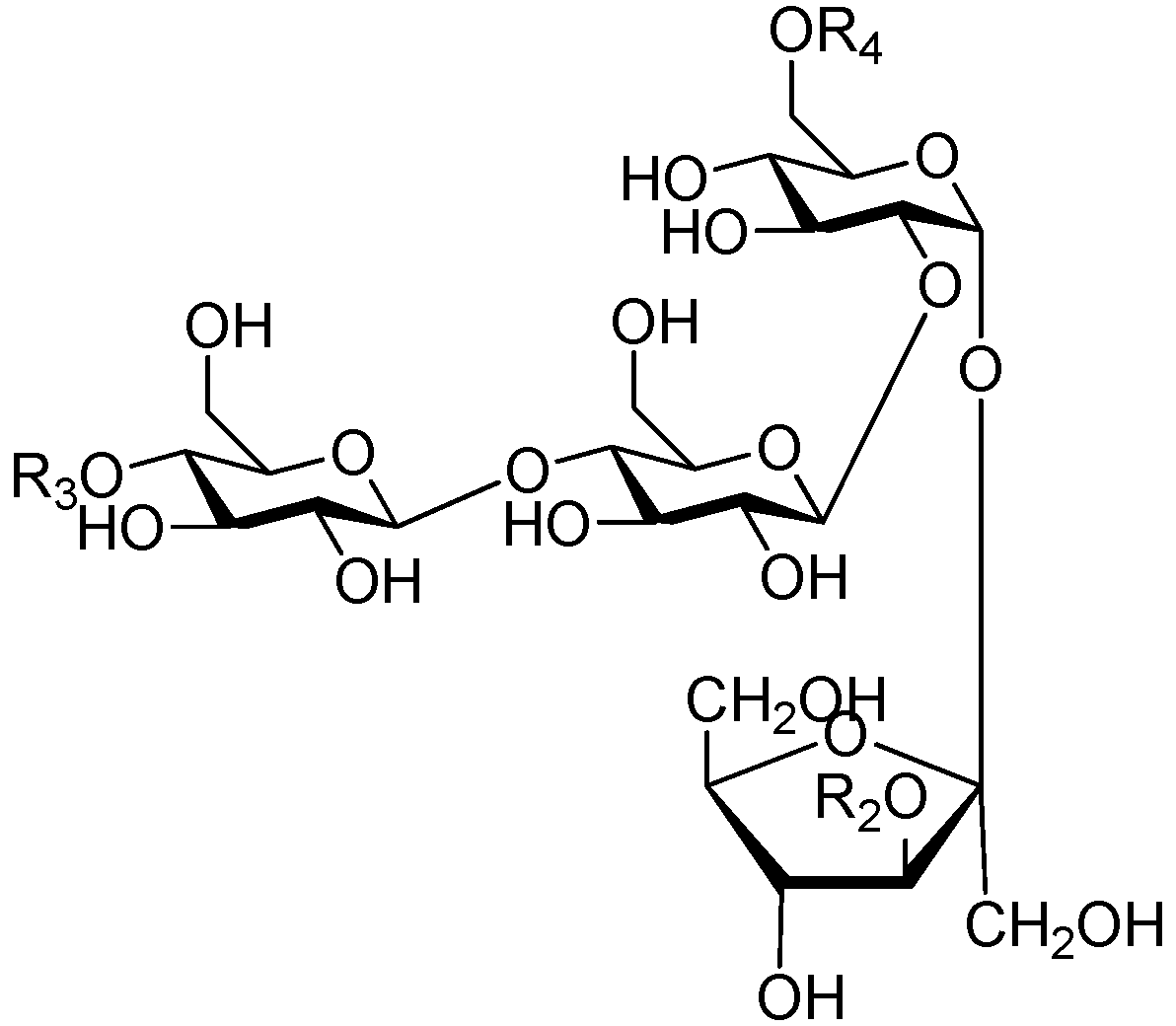
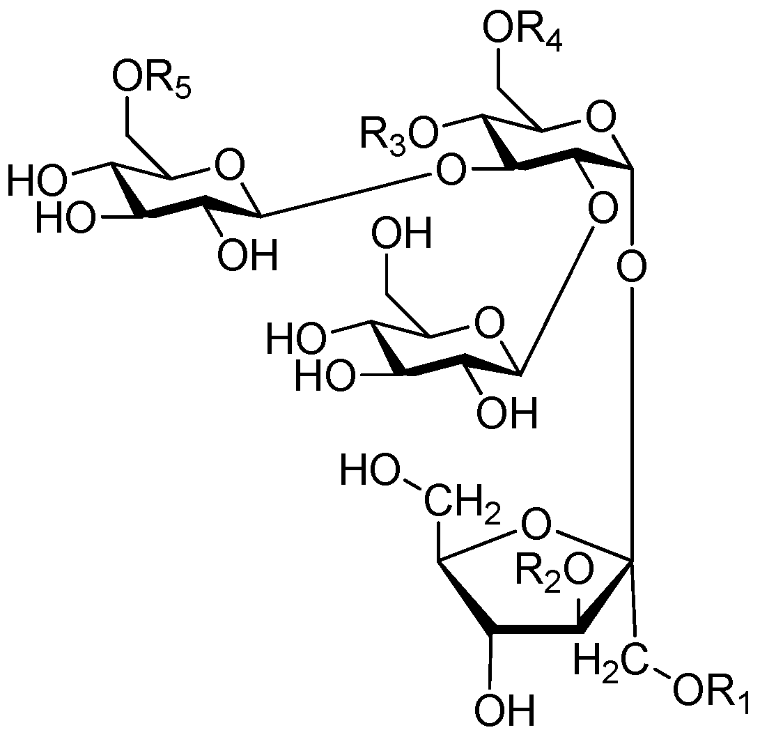
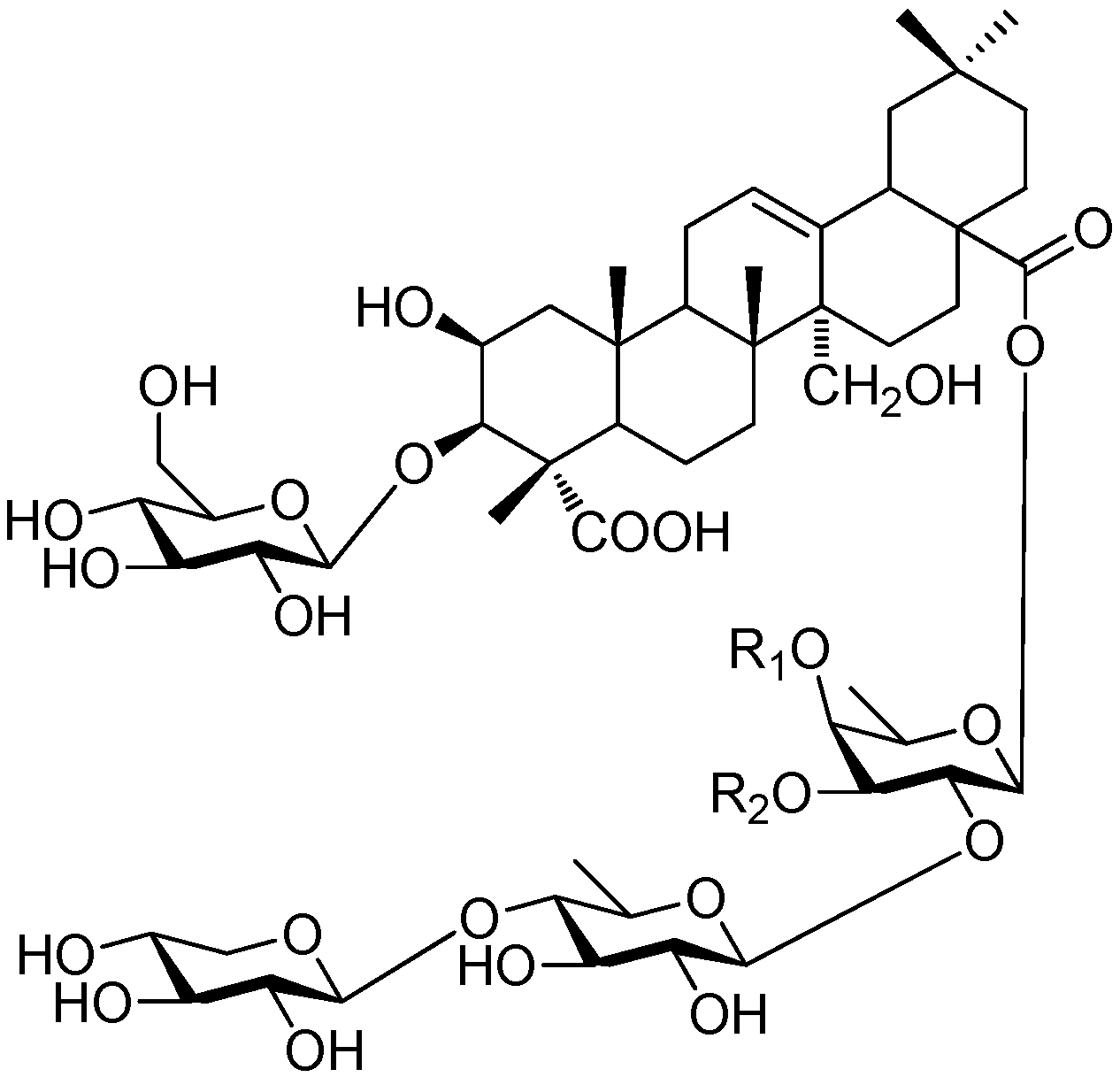
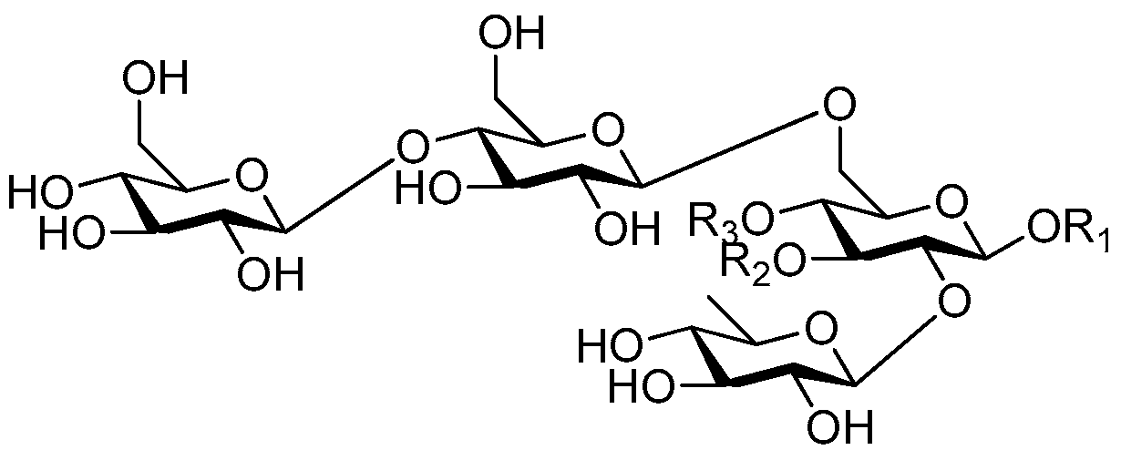
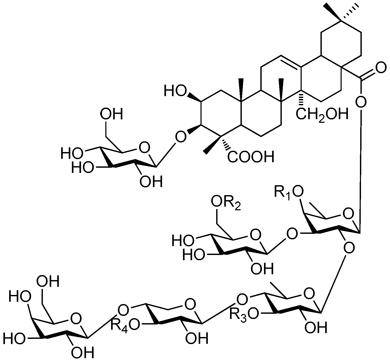
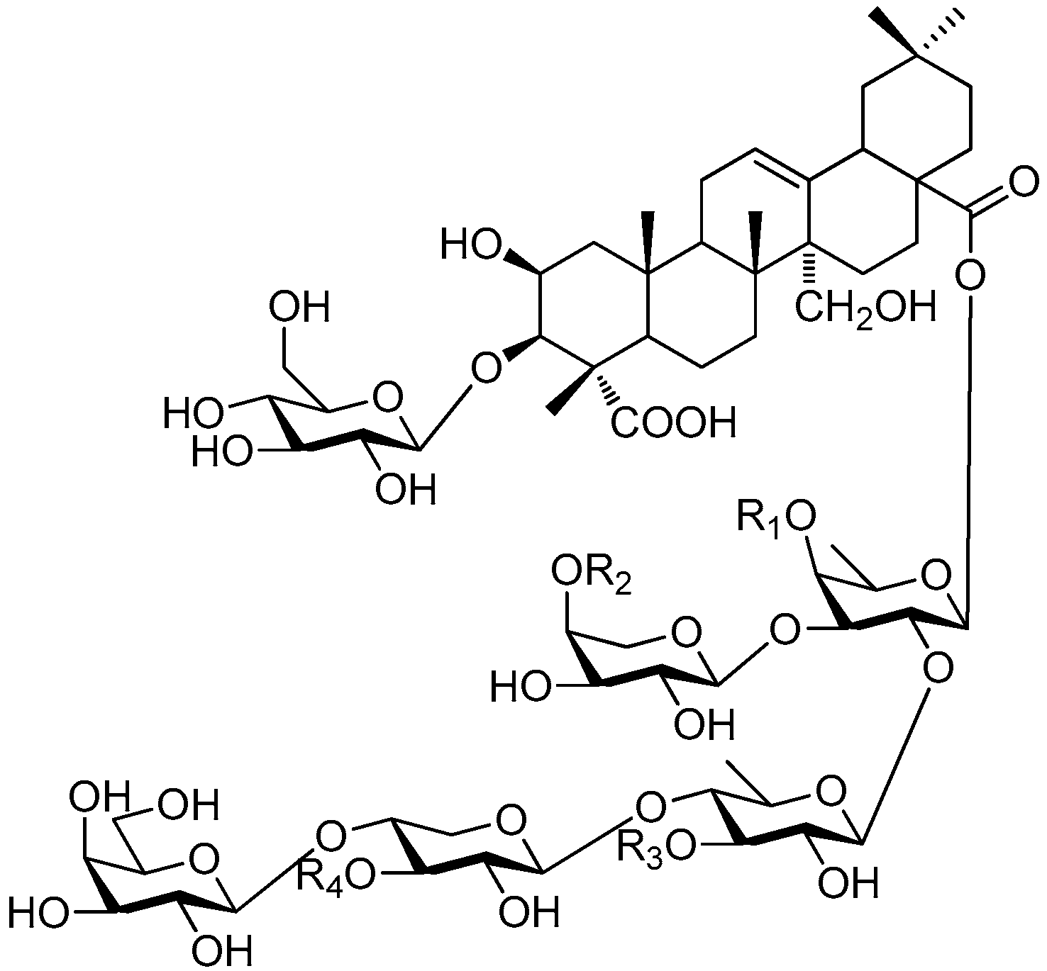
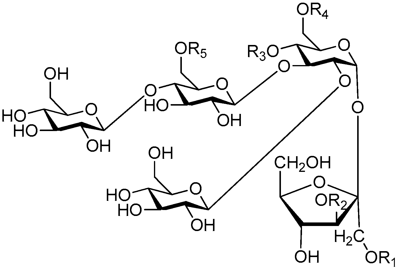
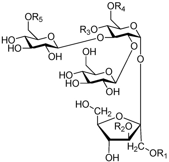
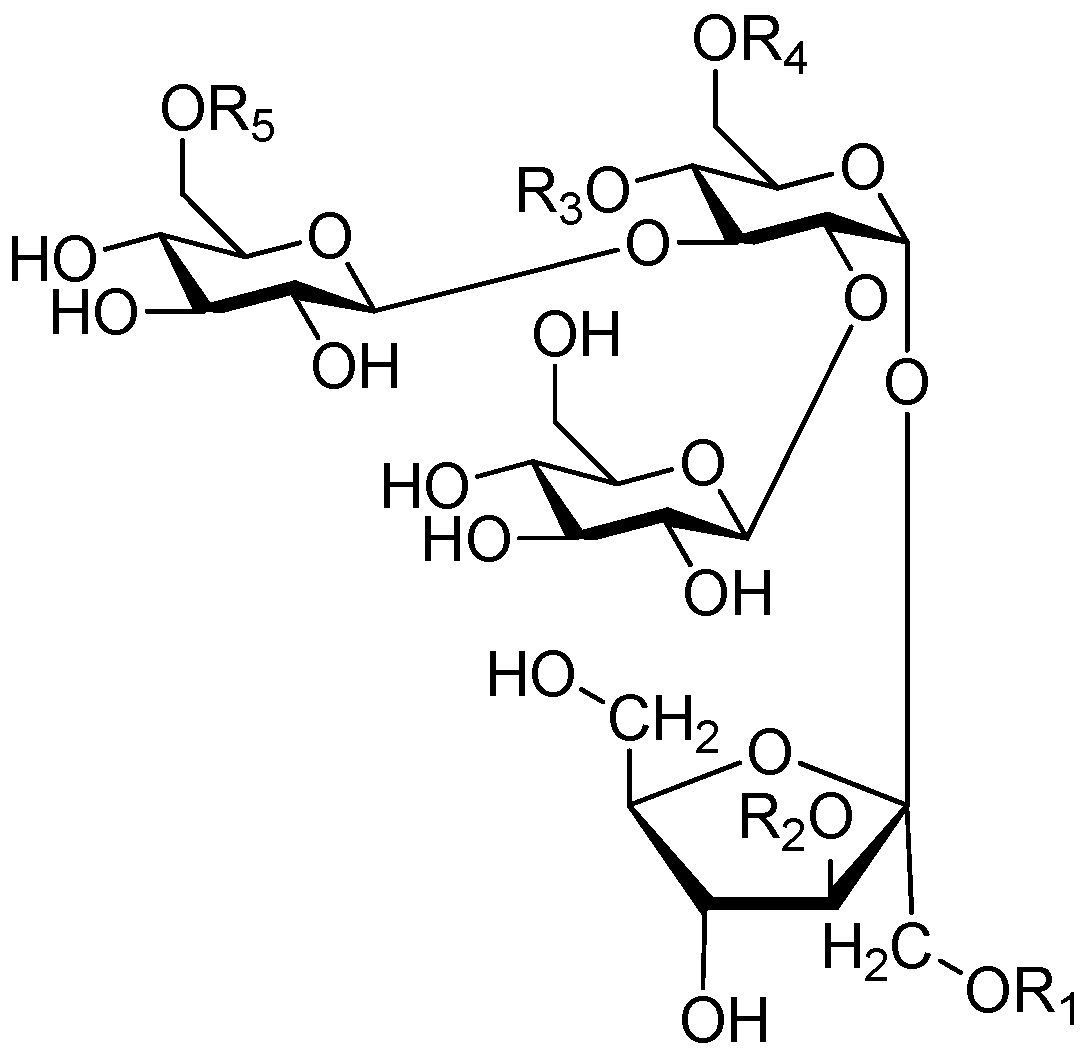
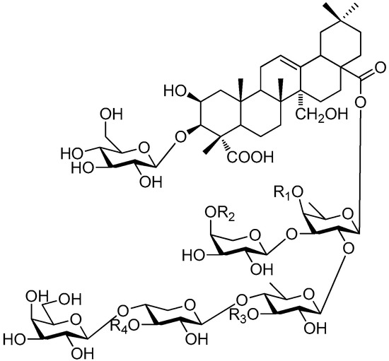
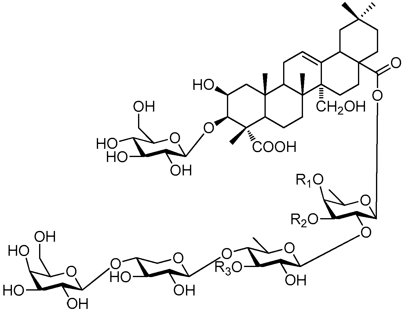
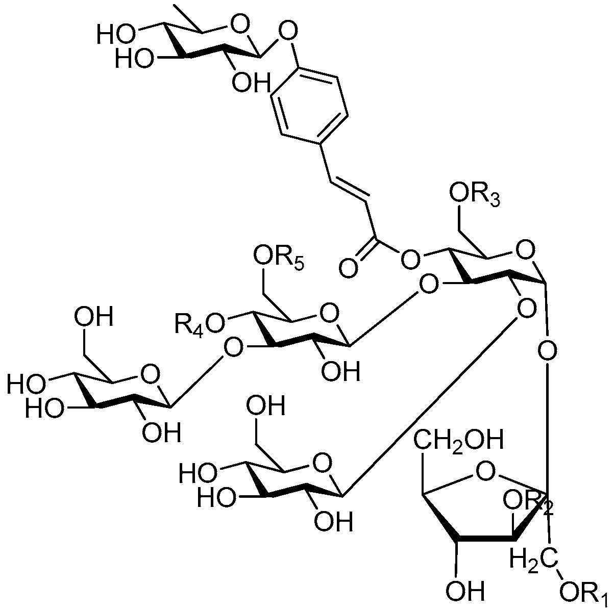
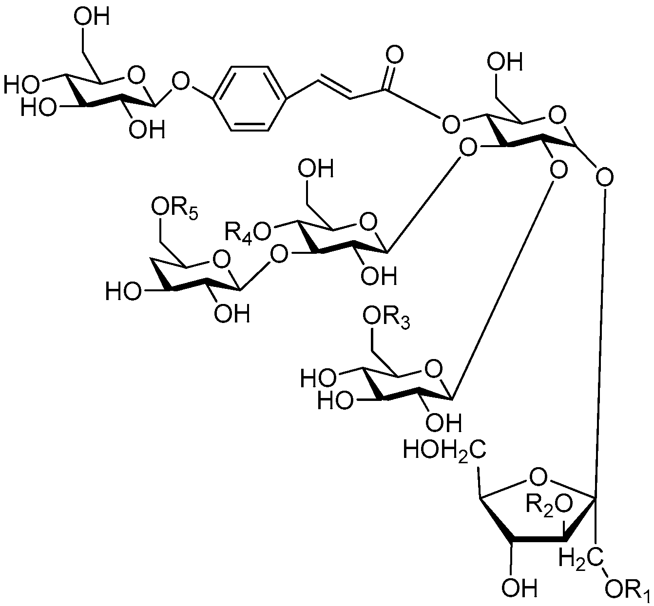
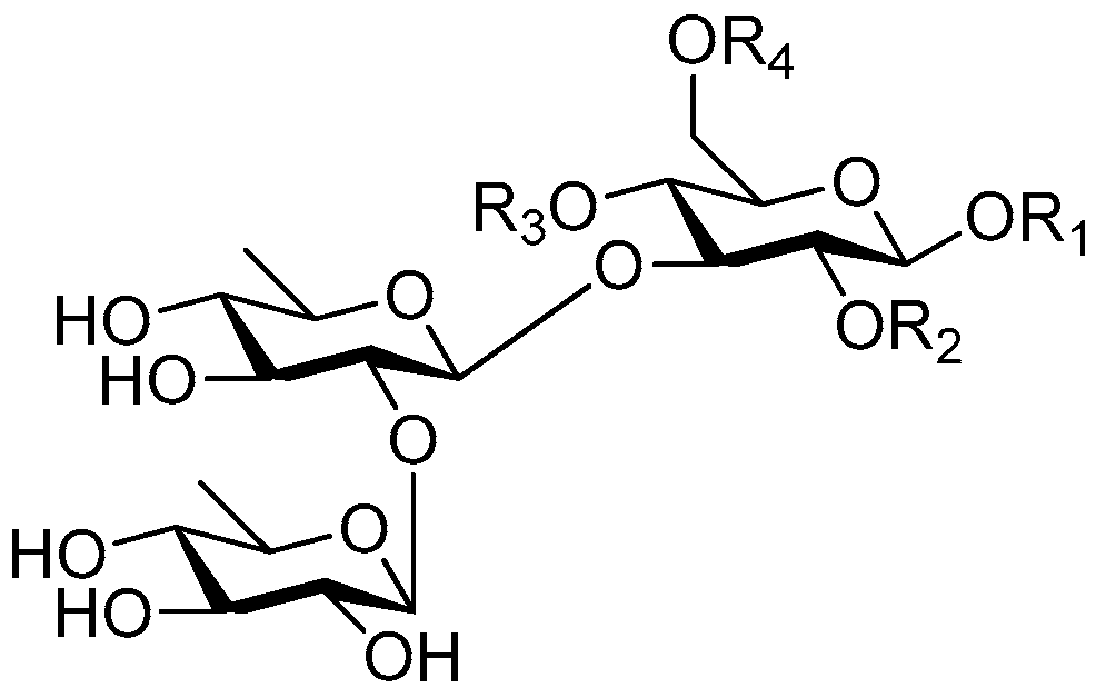
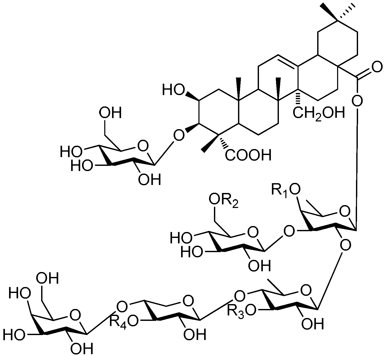
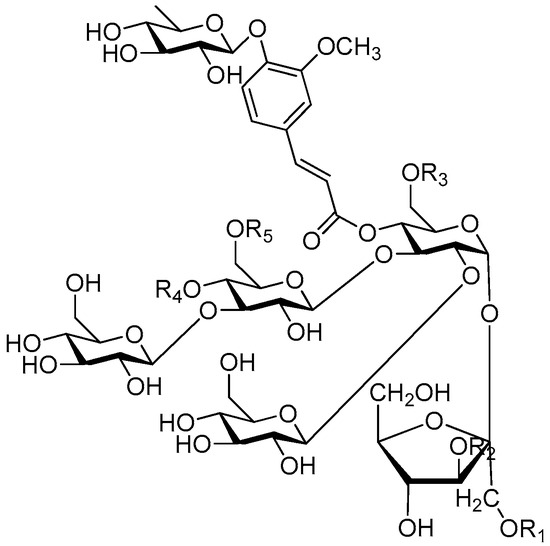
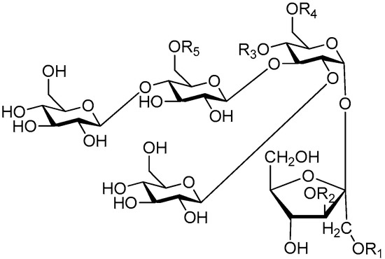
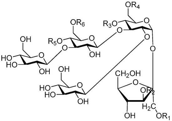
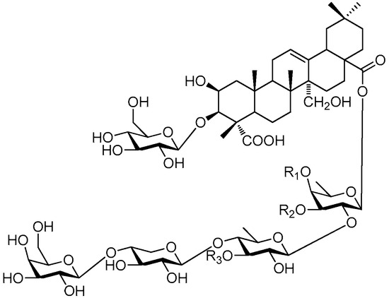
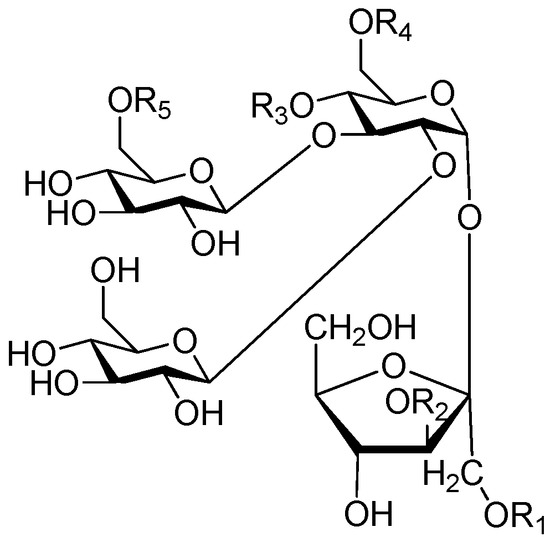
To our knowledge, pentasaccharide esters 280–320 (Figure 61, Figure 62, Figure 63 and Figure 64) [11,12,46,92,93,107,108,109,110], hexsaccharide esters 321–333 (Figure 65, Figure 66, Figure 67, Figure 68, Figure 69, Figure 70 and Figure 71) [11,12,56,107,109,110], heptasaccharide esters 334 (Figure 72) [56] were all found in the Polygalaceae family and most of them form a series of similar type compounds. That is to say, CASEDs with higher carbon numbers are rarely found in plants outside the Polygalaceae. The phenylacrylic groups usually locate at C-1 of fructose, C-4 of glucose, as well as C-4 of fucose. Most glycosyl moieties of pentasaccharide esters are four glucoses and a fructose with different locations and sequence. Tenuifolioses A and B (285, 288), obtained from Polygala tenuifolia Willd, showed neuroprotective activity. Tenuifolioses A and B have the same glycosyl core, with β-d-glucoses connected at the C-1 and C-4 position and the first glucose combined with another glucose at C-2 and β-d-fructose at C-1 [12]. Compounds 280–294 with this same sugar core serve to remind researchers of the need for more studies on these compounds to find more precursor compounds of anti-depression drugs. The tenuifoliose A–E (284–288), senegose A–E (301–305), J–O (295–300) type of oligosaccharide multi-esters are esterified with coumaric and ferulic acids [108,111]. Compounds 306–307, 311 [93] are pentasaccharide esters having the same glycosyl connection sequence as that of reiniose G (265) and have a p-coumaroyl residue at C-6 of glucose [38]. Compounds 308–310, 312–316 are also pentasaccharide esters, but with a feruloyl residue at C-6 of glucose. Compounds 319–320 and 325–330 are CASEDs belonging to the oleanane-type saponins and found in the root parts of Polygala glomerata Lour [107], which have the same parent nuclei as polygalasaponin XLII (275). To our knowledge, only one heptasaccharide ester (polygalasaponin XXXII, 334) was reported, and it is also an oleanane-type saponin, with hippocampus-dependent learning and memory enhancing activity. Polygalasaponin XXXII [56], as the representative of oleanane-type saponins in CASEDs, has also captured attention of researchers to do more investigation on the other compounds of the class (317–320, 325–332) in order to identify compounds with the same activity or with more sugars that might improve the improve hippocampus-dependent learning and memory enhancing activity of polygalasaponin XXXII.
Figure 61.
Structures of compounds 280–294.
Figure 62.
Structures of compounds 295–305.
Figure 63.
Structures of compounds 306–316.
Figure 64.
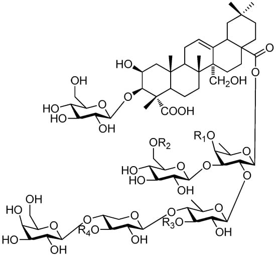
Structures of compounds 317–320.
Figure 65.
Structures of compounds 321–322.
Figure 66.
Structures of compounds 323–324.
Figure 67.
Structures of compounds 325–328.
Figure 68.
Structure of compound 329.
Figure 69.
Structure of compound 330.
Figure 70.
Structures of compounds 331–332.
Figure 71.
Structure of compound 333.
Figure 72.
Structure of compound 334.
3. Biological Activities
To date, approximately 334 CASEDs have been isolated from various medicinal plants and their structures characterized. However, the biological activities, mechanism of action and structure-activity-relationships (SAR) of many CASEDs have rarely been explored up to now. Hence, an overview of the pharmacological activities of the CASED may serve as valuable indication to further probe into their full therapeutic potentials.
3.1. Anti-Depression Activity and Neuroprotective Activity
Depression, one of the major mental disorders, is accompanied by symptoms such as emotional slump, reduced physical activities, feelings of helplessness and pessimism and even suicide attempts. At present there are three main points of view regarding the pathogenesis of depression, including the biogenic amine theory, the nerve nutrition theory and the cytokines theory.
Sibiricose A5 (28), tenuifoliside A (51), 3′,6-disinapoylsucrose (DISS, 73), tenuifoliside B (52), buergerisides A1 (13), B1 (12), B2 (15) and C1 (11), tenuifolioses A (285) and B (288) show obvious antidepressant activity [10,12,13,18]. Sibiricose A5 (28) and tenuifoliside A (51), extracted from Chinese herbal medicine Polygala tenuifolia Willd, were found to dramatically protect PC12 cells damaged by glutamate [9]. Tenuifolioses A (285) and B (288) showed neuroprotective activity against glutamate and serum deficiency at a concentration of 1 × 10−5 mol·L−1 [12]. Liu et al. [1] discovered that DISS and tenuifoliside A (TEA, 51), isolated from Radix Polygalae, showed protective effects on SH-SY5Y against Cort-induced injury. A study by Ikeya et al. [112] showed that tenuifoliside B (52) improved the scopolamine-induced impairment of passive avoidance response by promoting the cholinergic system. Buergerisides A1 (13), B1 (12), B2 (15) and C1 (11) from the roots of Scrophularia buergeriana exhibit protective activity on primary cultures of rat cortical cells after exposure to excitotoxin, glutamate according to an investigation by Kim et al. [18].
Further findings demonstrate that a possible mechanism of the antidepressant action of DISS maybe be related with hippocampal neuroplasticity and neuroproliferation. DISS possesess potent and rapid antidepressant activity, which are mediated via brain MAO-A and MAO-B activity and upregulated serum cortisol levels induced by CMS [113]. In neuronal cells, DISS-mediated regulation of BDNF gene expression is associated with CREB-mediated transcription of BDNF upstream activation of ERK1/2 and CaMKII to cause neuroprotective and antidepressant effects [114]. Dong et al. [8] discovered that the neurotrophic mechanism of TEA (b24) in C6 cells correlates with TrkB/BDNF/ERK and TrkB/BDNF/PI3K.
3.2. Anticancer Activity
Belonging to the family of serine/threonine protein kinases that are activated by Ca2+, Protein Kinase C (PKC) is involved in signal transduction, and cellular proliferation and differentiation. It also plays an important role in cell cycle control, tumor genesis, antitumor drug resistance and apoptosis. PKC has been proved to be related with the activation of HIV-1 gene expression, tumor promotion, and the inhibition of apoptosis in leukemia cells. Therefore, it makes a lot of sense to find chemical compounds from natural plants to inhibit the activity of PKC [50,54].
Takasaki et al. found that vanicoside A (102) and vanicoside B (67) from Polygonum pensylvanirum inhibited PKC activity with IC50 values of 44 μg/mL and 31 μg/mL, respectively [54]. After this preliminary work, LaVerne et al. [50] continued the isolation work on this plant in order to obtain possible homologues via HPLC-MS and isolated vanicosides C-F (104, 57, 113, 91). Regretfully, LaVeme did not to do much research on the pharmacological activity of the vanicosides. Notably, acteoside (=verbascoside, 131) from Lantana camara also shows PKC inhibitory activity in the rat brain with an IC50 of 25 μM [29]. With the widest distribution in the plant kingdom, acteoside has been widely applied to treat diseases such as cancer, inflammation, or immune disorders.
In the virus family, the Epstein-Barr virus (EBV) is a type of herpes virus causing cancer. EBV has been considered one of the causes of many kinds of malignant tumors such as nasopharyngeal carcinoma. EBV infection mainly occurs human oropharyngeal epithelial cells and B lymphocytes. Lapathoside A (63), lapathoside D (31), vanicoside B (67) and hydropiperoside (37) exhibit remarkable inhibitory effects on the EBV, which is early antigen induced by tumor-promoters, so it makes sense to focus on these four compounds as worthy anti-tumor-promoters for cancer chemoprevention [2,39].
Meanwhile, Takasaki et al. [39] reported that lapathoside A (63) and vanicoside B (67) inhibited two-stage carcinogenesis induced by 12-O-tetradecanoylphorbol-13-acetate (TPA). Moreover, vanicoside B exhibits remarkable inhibitory effects, which are initiated with a NO (nitric oxide) donor and NOR-1((±)-(E)-methyl-2-[(E)-hydroxyimino]-5-nitro-6-methoxy-3-hexenamide).
Smilaside D (40), smilaside E (47) and smilaside F (99) displayed cytotoxicity against human colon tumor (DLD-1) cells (ED50 = 2.7, 4.5, 5.0 μg/mL), and smilaside A (79) showed weak cytotoxicity against DLD-1 cells (ED50 = 11.6 μg/mL). Furthermore, smilaside A (79), smilaside B (107), smilaside D, smilaside E and smilaside F displayed weak cytotoxicity (ED50 = 5.1–13.0 μg/mL) on three to six human tumor cell lines, consisting of human cervical carcinoma (Hela), human oral epithelium carcinoma (KB), DLD-1, human medulloblastoma (Med) cells, human lung carcinoma (A-549) and human breast adenocarcinoma (MCF-7) [14].
3.3. Antioxidant Activity
Plenty of CASEDs were found to possess antioxidant activities, mainly related to their substituted acid groups. The antioxidant properties of these compounds were tested by 2,2-diphenyl-1-picrylhydrazyl (DPPH) radical scavenging assays. Probably thanks to the presence of the 3,4-dihydroxy (catechol) moiety in the structure, compound 2 showed significant antioxidant activities, compared to caffeic acid [21]. Compound 21 from Globularia orientalis also exhibited antioxidant potential, indicating that it could efficiently scavenge free radicals [32].
Zhang et al. [15] found that smilasides G–L (38, 106, 46, 41, 105, 42) showed moderate scavenging activities against DPPH radicals and smilasides J–L (41, 105, 42) exhibited stronger antioxidant activity, which was quite similar to that in positive control ((±)-α-tocopherol). These results support the idea that the substituted feruloyl group plays a key role in the antioxidant activity of phenylpropanoid sugar esters. Heterosmilaside (95), helonioside B (45) and compound 98 showed strong antioxidant DPPH radical scavenging activity with IC50 values of 12.7, 9.1 and 8.7 µg/mL, respectively [46]. Compounds 28, 32 and 44 exhibited higher activity on scavenging the DPPH radical, compared to l-cysteine at the concentration of 0.02 mM, and the antioxidant activity of compound 32 was almost as same as that of α-tocopherol [36]. Compound 62 and verbascoside showed antioxidant potential pointing out their ability to efficiently scavenge free radicals. 6-O-Sinapoyl sucrose (75) showed weak activity in the DPPH test, but in the superoxide scavenging test, its antioxidative activity increased slightly, hence, a sucrose moiety esterified by sinapic acid seems to regulate the antioxidative activity [115]. Lapathoside D (31) showed DPPH radical scavenging activity with an IC50 of 0.088 mM [3]. Kiem et al. [53] found that vanicoside A (102), hydropiperoside B (103) and vanicoside E (113) exhibited significant DPPH radical scavenging properties, with IC50 values of 23.4, 26.7 and 49.0 µg/mL, respectively. However, compounds 66, 67 and 113 were inactive, probably due to the non-existence of acetyl groups in their molecules compared with 102, 103 and 113. Wang et al. discovered that diboside A (58) and lapathoside A (63) only showed low activities in the DPPH test [51].
Ehrenoside (183), verpectoside A (185), B (193) and C (194) were isolated from the aerial parts of Veronica pectinata var. glandulosa. They revealed potent radical scavenging activity against DPPH radical. Ehrenoside and verpectoside B were more active than 3-tert-butyl-4-hydroxyanisole (BHA) and had comparable activity to all dl-α-tocopherol [104]. Hamerski et al. reported that the antioxidant activity of compound 2 (IC50 values 15.0 μM) was comparable to that of the positive control caffeic acid, while compound 253 possess only weak activity [21].
In the study of Wang et al. [116], compound 59 possessed modest activity, with an IC50 of 20.1 µM in the DPPH radical scavenging test and in the metmyoglobin assay it had antioxidative activity comparable with Trolox (3.70 Trolox equivalents). Quiquesetinerviusides A-E (86, 87, 115, 85 and 114) exhibited low DPPH scavenging activity, but considerable·OH radical scavenging activity (IC50 8.4 ± 1.1, 6.8 ± 1.0, 7.4 ± 1.0, 5.5 ± 0.9, 3.6 ± 0.8 µM, respectively) [4]. Hosoya et al. [89] used ESR to evaluate the effect on superoxide anion radicals (O2−) of compounds 154, 150, 155, 153 and they exhibited IC50 values of 28.5, 84.5, 8.4, 17.1 µM, respectively, using ascorbic acid (IC50 value 140 µM) as a positive control.
3.4. Antiinflammatory Activity
Antiinflammatory activity referes to the removal of inflammation or swelling. Acteoside (131), angoroside A (196) and angoroside C (200) revealed a considerable effect in the TXB2-release assay. Angoroside A (196), angoroside D (199), acteoside (131) and isoacteoside (128) significantly inhibited LPS-induced PGE2, NO and TNF-α in a concentration-dependent manner. In LPS-stimulated macrophages, angoroside C (200) only had activity on NO [63,70]. Acteoside (131) had strong in vitro and in vivo anti-inflammatory effects, whilst isoacteoside (128) was found to have modest activity. Pretreatment with 1–50 μM CASED (compounds 131, 157, 220) concentration-dependently diminished phorbol-12-myristate-13-acetate (PMA) and N-formyl-methionyl-leucyl-phenylalanine (fMLP)-induced reactive oxygen species (ROS) production with IC50 values of approximately 6.8–23.9 and 3.0–8.8 μM, respectively [117]. The anti-inflammatory activities of quiquesetinerviusides D (85) and E (114) were evaluated in RAW 264.7 cells. Both of them exhibited strong activities against LPS-stimulated NO production. And the outcome showed inhibition of quiquesetinerviuside D and E (IC50 9.5, 9.2 µM) compared with a positive control, quercetin (IC50 34.5 µM). In vitro cyclooxygenase (COX) catalyzed prostaglandin biosynthesis inhibition assay, compounds 131,205, 218 and these compounds exhibited stronger inhibitory potencies on Cox-2 than Cox-1 (131,205, 218 IC50 on Cox-2 at 0.69, 0.49 and 0.61 mM, respectively).
3.5. Antiviral Activity
Niruriside (109) has particular inhibitory activity with an IC50 value of 3.3 μM, against the binding of regulation of virion expression (REV) protein to responsive element (RRE) RNA [60]. Kernan et al. [69] reported that verbacteoside (131), isoverbascoside (128), luteoside A (188) and luteoside B (189) exhibited antiviral activity (EC50) in an in vitro assay against respiratory syncytial virus (RSV), which was resembled or better than that of ribavirin, a drug used to cure RSV contagion in humans. Furthermore, these compounds also showed better activity against RSV than ribavirin. Verbascoside (131) exhibited antiviral activity against vesivular stomatitis virus (VSV), but was inactive against herpes simplex type I (HSV-1). The non-toxic confining cellular viability concentration for the activity was 53.6% at 500 μg/mL [118].
3.6. Other Activities
Compounds 138,131, 159, 158 isolated from Paulownia tomentosa stems were texted for in vitro cytotoxity against Streptococcus pyogenes (A308 and A77), Staphylococcus aureus (SG511, 285 and 503), Streptococcus faecium MD8b, etc. All the compounds exhibited remarkable antibacterial activity. Compound 159 showed a minimal inhibitory concentration (MIC) value of 150 μg/mL against Staphylococcus and Streptococcus species [76]. A mixture of poliumoside (216) and lamalboside (227) revealed moderate antibacterial activity. Compounds 130, 205 and 218 also possess antimicrobial activity [119]. Vanicoside A (102) and B (67) showed β-glucosidase inhibitory activity, with IC50 values of 59.8 and 48.3 μg/mL (59.9 and 50.5 μM), respectively [120]. The activity of forsythoside B (205) and alyssonoside (206) against free radical-induced impairment of endothelium-dependent relaxation in isolated rat aorta was investigated. Both provided partial protection at 10−4 M concentration against the electrolysis-induced inhibition acetylcholine response [121]. Senegin II (319) was tested for hypoglycemic activity in normal and KK-Ay mice. Under similar conditions, senegin II not only reduced the level of blood glucose in normal mice 4 h after intraperitoneal administration, but also significantly lowered the blood glucose level of KK-Ay mice [122]. Tenuifolioses B (288), and C (284) potentiated basal synaptic transmission in the dentate gyrus of anesthetized rats [12]. The only septsaccharide ester, polygalasaponin XXXII (334), could improve hippocampus-dependent learning and memory. The result suggests that it may be through the enhancement of synaptic transmission, activation of the MAP kinase cascade and improvement of BDNF level [56].
The rhizome extracts of Smilax glabra Rox B., which is called tufuling in Traditional Chinese Medicine, show many kinds of pharmacological activities like hypoglyceaemic, immuno- modulatory, free-radical scavenging and antioxidant enzyme fortifying activities. Compounds 32, 90, 100, 101, 108, 111, 112 were purified from the S. glabra which should impulse scientistc to perform more research on these compounds [40].
4. Conclusions
Because of the wide range of distribution, diverse structures and significant pharmacological activities of the CASEDs, more natural product researchers are paying great attention to these compounds. However, most studies on the CASED since 1977 are still isolated and report simple pharmacological activities. More in-depth research on the pharmacological mechanisms of action should be performed. Full exploitation on the broad array of biological activities of CASEDs awaits more researchers to devote themselves to this field.
Acknowledgments
The authors gratefully acknowledge the financial support of the National Natural Science Foundation of China grant No. 81573692), National Natural Science Foundation of China grant No. 8157140862), the Beijing Nova Program (grant No. 2011070), the Self-selected Topic of Beijing University of Chinese Medicine (grant No. 2015-JYB-JSMS024), the Beijing Nova Program (No. Z121102002512045).
Author Contributions
Y.T. and W.L. drafted and revised the manuscript; Y.L., Y.W., Y.Z., X.C., S.B., T.H., F.L., Y.S. and Y.G. made suggestions and played an important role in preparing this paper, and G.S approved the final version.
Conflicts of Interest
The authors declare no conflict ofinterest.
References
- Liu, P.; Hu, Y.; Guo, D.H.; Wang, D.X.; Tu, H.H.; Ma, L.; Xie, T.T.; Kong, L.Y. Potential antidepressant properties of Radix polygalae (Yuan Zhi). Phytomedicine 2010, 17, 794–799. [Google Scholar] [CrossRef] [PubMed]
- Takasaki, M.; Konoshima, T.; Kuroki, S.; Tokuda, H.; Nishino, H. Cancer chemopreventive activity of phenylpropanoid esters of sucrose, vanicoside B and lapathoside A, from Polygonum lapathifolium. Cancer Lett. 2001, 173, 133–138. [Google Scholar] [CrossRef]
- Fan, P.; Terrier, L.; Hay, A.E.; Marston, A.; Hostettmann, K. Antioxidant and enzyme inhibition activities and chemical profiles of Polygonum sachalinensis F. Schmidt ex Maxim (Polygonaceae). Fitoterapia 2010, 81, 124–131. [Google Scholar] [CrossRef] [PubMed]
- Chang, C.L.; Zhang, L.J.; Chen, R.Y.; Kuo, L.M.Y.; Huang, J.P.; Huang, H.C.; Lee, K.H.; Wu, Y.C.; Kuo, Y.H. Antioxidant and Anti-inflammatory Phenylpropanoid Derivatives from Calamus quiquesetiner vius. J. Nat. Prod. 2010, 73, 1482–1488. [Google Scholar] [CrossRef] [PubMed]
- Kernan, M.R.; Amarquaye, A.; Chen, J.L.; Chan, J.; Sesin, D.F.; Parkinson, N.; Ye, Z.J.; Barrett, M.; Bales, C.; Stoddart, C.A.; et al. Antiviral phenylpropanoidglycosides from the medicinal plant Markhamia lutea. J. Nat. Prod. 1998, 61, 564–570. [Google Scholar] [CrossRef] [PubMed]
- Birkhofer, L.; Kaiser, C.; Thomas, U. Sugar esters. IV. Acteoside and neoacteoside sugar esters from Syringis vulgaris. Z. Naturforsch. B 1968, 23, 1051–1058. [Google Scholar]
- Hu, Y.; Liao, H.B.; Guo, D.H.; Liu, P.; Wang, Y.Y.; Rahman, K. Antidepressant-like effects of 3, 6′-disinapoyl sucrose on hippocampal neuronal plasticity and neurotrophic signal pathway in chronically mild stressed rats. Neurochem. Int. 2010, 56, 461–465. [Google Scholar] [CrossRef] [PubMed]
- Dong, X.Z.; Huang, C.L.; Yu, B.Y.; Hu, Y.; Mu, L.H.; Liu, P. Effect of Tenuifoliside A isolated from Polygala tenuifolia on the ERK and PI3K pathways in C6 glioma cells. Phytomedicine 2014, 21, 1178–1188. [Google Scholar] [CrossRef] [PubMed]
- Tu, H.H.; Liu, P.; Ma, L.; Liao, H.B.; Xie, T.T.; Mu, L.H.; Liu, Y.M. Study on antidepressant components of sucrose ester from Polygala tenuifolia. Chin. J. Chin. Mater. Med. 2008, 33, 1278–1280. [Google Scholar]
- Ikeya, Y.; Sugama, K.; Okada, M.; Mitsuhashi, H. Four new phenolic glycosides from Polygala tenuifolia. Chem. Pharm. Bull. 1991, 39, 2600–2605. [Google Scholar] [CrossRef]
- Miyase, T.; Iwata, Y.; Ueno, A. Tenuifolioses G-P, Oligosaccharide Multi-Esters from the Roots of Polygala tenuifolia WILLD. Chem. Pharm. Bull. 1992, 40, 2741–2748. [Google Scholar] [CrossRef]
- Miyase, T.; Iwata, Y.; Ueno, A. Tenuifolioses A-F, Oligosaccharide Multi-Esters from the Roots of Polygala tenuifolia WILLD. Chem. Pharm. Bull. 1991, 39, 3082–3084. [Google Scholar] [CrossRef]
- Miyase, T.; Noguchi, H.; Chen, X.M. Sucrose esters and xanthone C-glycosides from the roots of Polygala sibirica. J. Nat. Prod. 1999, 62, 993–996. [Google Scholar] [CrossRef] [PubMed]
- Kuo, Y.H.; Hsu, Y.W.; Liaw, C.C.; Lee, J.K.; Huang, H.; Kuo, L.M.Y. Cytotoxic Phenylpropanoid Glycosides from the Stems of Smilax china. J. Nat. Prod. 2005, 68, 1475–1478. [Google Scholar] [CrossRef] [PubMed]
- Zhang, L.; Liao, C.C.; Huang, H.C.; Shen, Y.C.; Yang, L.M.; Kuo, Y.H. Antioxidant phenylpropanoid glycosides from Smilax bracteata. Phytochemistry 2008, 69, 1398–1404. [Google Scholar] [CrossRef] [PubMed]
- Nguyen, A.T.; Fontaine, J.; Malonne, H.; Claeys, M.; Luhmer, M.; Duez, P. A sugar ester and an iridoid glycoside from Scrophularia ningpoensis. Phytochemistry 2005, 66, 1186–1191. [Google Scholar] [CrossRef] [PubMed]
- Chen, B.; Wang, N.L.; Huang, J.H.; Yao, X. Iridoid and phenylpropanoid glycosides from Scrophularia ningpoensis Hemsl. Asian J. Tradit. Med. 2007, 2, 118–123. [Google Scholar]
- Kim, S.R.; Kim, Y.C. Neuroprotective phenylpropanoid esters of rhamnose isolated from roots of Scrophularia buergeriana. Phytochemistry 2000, 54, 503–509. [Google Scholar] [CrossRef]
- Sasaki, H.; Nishimura, H.; Mitsuhashi, H. Hydroxycinnamic acid esters of phenethylalcohol glycosides from Rehmannia glutinosa var. Purpurea. Phytochemistry 1989, 28, 875–879. [Google Scholar] [CrossRef]
- Shimomura, H.; Sashida, Y.; Adachi, T. Phenylpropanoidglucose esters from Prunus buergeriana. Phytochemistry 1988, 27, 641–644. [Google Scholar] [CrossRef]
- Hamerski, L.; Bomm, M.D.; Silva, D.H.S.; Young, M.C.M.; Furlan, M.; Eberlin, M.N.; Castro-Gamboa, I.; Jose Cavalheiro, A.; da Silva Bolzani, V. Phenylpropanoid glucosides from leaves of Coussarea hydrangeifolia (Rubiaceae). Phytochemistry 2005, 66, 1927–1932. [Google Scholar] [CrossRef] [PubMed]
- Sugiyama, M.; Kikuchi, M. Studies on the constituents of Osmanthus species. VI. Structures of phenylpropanoid glycosides from the leaves of Osmanthus asiaticus Nakai. Chem. Pharm. Bull. 1990, 38, 2953–2955. [Google Scholar] [CrossRef]
- Xia, P.F.; Feng, Z.M.; Yang, Y.N.; Zhang, P.C. Two flavonoid glycosides and a phenylpropanoid glucose ester from the leaves of Sterculia foetida. J. Asian Nat. Prod. Res. 2009, 11, 766–771. [Google Scholar] [CrossRef] [PubMed]
- She, G.M.; Wang, D.; Zeng, S.F.; Yang, C.R.; Zhang, Y.J. New Phenylethanoid Glycosides and Sugar Esters from Ku-Ding-Cha, a Herbal Tea Produced from Ligustrum purpurascens. J. Food Sci. 2008, 73, C476–C481. [Google Scholar] [CrossRef] [PubMed]
- Nicoletti, M.; Galeffi, C.; Messana, I.; Marini-Bettolo, G.B.; Garbarino, J.A.; Gambaro, V. Phenylpropanoid glycosides from Calceolaria hypericina. Phytochemistry 1988, 27, 639–641. [Google Scholar] [CrossRef]
- Wang, X.; Li, L.; Bai, Z.; Peng, Y.; Xiao, P.; Liu, Y. Five new phenylpropanoid glycosides from Paraboea glutinosa (Gesneriaceae). J. Nat. Med. 2011, 65, 301–306. [Google Scholar] [CrossRef] [PubMed]
- Hiroshi, W.; Yasufumi, S.; Nobutoshi, T.; Cambie, R.C.; Braggins, J.E. Chemical and chemotaxonomical studies of ferns. LXXXVII. Constituents of Trichomanes reniforme. Chem. Pharm. Bull. 1995, 43, 461–465. [Google Scholar]
- Taoubi, K.; Fauvel, M.T.; Gleye, J.; Moulis, C.; Fouraste, I. Phenylpropanoid glycosides from Lantana camara and Lippia multiflora. Planta Med. 1997, 63, 192–193. [Google Scholar] [CrossRef] [PubMed]
- Abdallah, O.M.; Kamel, M.S.; Mohamed, M.H. Phenylpropanoid glycosides of Prunus ssiori. Phytochemistry 1994, 37, 1689–1692. [Google Scholar] [CrossRef]
- Lou, H.; Li, X.; Zhu, T.; Li, W. Sinapic acid esters and a phenolic glycoside from Cynanchumhancockianum. Phytochemistry 1993, 32, 1283–1286. [Google Scholar] [CrossRef]
- Hussein, S.A.M.; Ayoub, N.A.; Nawwar, M.A.M. Caffeoyl sugar esters and an ellagitannin from Rubus sanctus. Phytochemistry 2003, 63, 905–911. [Google Scholar] [CrossRef]
- Calisa, I.; Kirmizibekmeza, H.; Tasdemira, D.; Sticherb, O.; Irelandc, C.M. Sugar esters from Globularia orientalis. Z. Naturforsch. 2002, 57c, 591–596. [Google Scholar]
- Kim, I.H.; Kaneko, N.; Uchiyama, N.; Lee, J.E.; Takeya, K.; Kawahara, N.; Goda, Y. Two phenylpropanoid glycosides from Neopicrorhiza scrophulariiflora. Chem. Pharm. Bull. 2006, 54, 275–277. [Google Scholar] [CrossRef] [PubMed]
- Chin, Y.W.; Yoon, K.D.; Ahn, M.J.; Kim, J. Two new phenylpropanoid glycosides from the aerial parts of Paederia scandens. Notes 2010, 31, 1071. [Google Scholar] [CrossRef]
- Wang, P.; Li, S.; Ownby, S.; Zhang, Z.; Yuan, W.; Zhang, W.; Scott Beasley, R. Ecdysteroids and a sucrose phenylpropanoid ester from Froelichia floridana. Phytochemistry 2009, 70, 430–436. [Google Scholar] [CrossRef] [PubMed]
- Ono, M.; Takamura, C.; Sugita, F.; Masuoka, C.; Yoshimitsu, H.; Ikeda, T.; Nohara, T. Two new steroid glycosides and a new sesquiterpenoid glycoside from the underground parts of Trillium amtschaticum. Chem. Pharm. Bull. 2007, 55, 551–556. [Google Scholar] [CrossRef] [PubMed]
- Li, J.; Jiang, Y.; Tu, P.F. Tricornoses A-L, Oligosaccharide Multi-esters from the Roots of Polygalat ricornis. J. Nat. Prod. 2005, 68, 739–744. [Google Scholar] [CrossRef] [PubMed]
- Zhang, D.; Miyase, T.; Kuroyanagi, M.; Umehara, K.; Noguchi, H. Oligosaccharide polyesters from roots of Polygala glomerata. Phytochemistry 1998, 47, 45–52. [Google Scholar] [CrossRef]
- Takasaki, M.; Kuroki, S.; Kozuka, M.; Konoshima, T. New phenylpropanoid esters of sucrose from Polygonum lapathifolium. J. Nat. Prod. 2001, 64, 1305–1308. [Google Scholar] [CrossRef] [PubMed]
- Chen, T.; Li, J.X.; Xu, Q. Phenylpropanoid glycosides from Smilax glabra. Phytochemistry 2000, 53, 1051–1055. [Google Scholar] [CrossRef]
- Wang, Y.; Gao, W.Y.; Zhang, T.J.; Guo, Y.Q. A novel phenylpropanoid glycosides and a new derivation of phenolic glycoside from Paris Polyphylla var. yunnanensis. Chin. Chem. Lett. 2007, 18, 548–550. [Google Scholar] [CrossRef]
- Hamburger, M.; Hostettmann, K. Hydroxycinnamic acid esters from Polygala chamaebuxus. Phytochemistry 1985, 24, 1793–1797. [Google Scholar] [CrossRef]
- Fukuyama, Y.; Sato, T.; Miura, I.; Asakawa, Y.; Takemoto, T. Hydropiperoside, a novel coumaryl glycoside from the root of Polygonum hydropiper. Phytochemistry 1983, 22, 549–552. [Google Scholar] [CrossRef]
- Sun, X.; Zimmermann, M.L.; Campagne, J.M.; Sneden, A.T. New sucrose phenylpropanoid esters from Polygonum perfoliatum. J. Nat. Prod. 2000, 63, 1094–1097. [Google Scholar] [CrossRef] [PubMed]
- Nhiem, N.X.; VanKiem, P.; Van Minh, C.; Ban, N.K.; Cuong, N.X.; Tai, B.H.; Kim, Y.H. Phenylpropanoid glycosides from Heterosmilax erythrantha and their antioxidant activity. Arch. Pharm. Res. 2009, 32, 1373–1377. [Google Scholar] [CrossRef] [PubMed]
- Saitoh, H.; Miyase, T.; Ueno, A. Reinioses A-J, oligosaccharide multi-esters from the roots of Polygala reinii Fr. et Sav. Chem. Pharm. Bull. 1994, 42, 1879–1885. [Google Scholar] [CrossRef] [PubMed]
- Chang, H.T.; Tu, P.F. New Oligosaccharide Esters and Xanthone C-Glucosides from Polygala telephioides. Helv. Chim. Acta 2007, 90, 944–950. [Google Scholar] [CrossRef]
- Lepore, L.; Malafronte, N.; Condero, F.B.; Gualtieri, M.J.; Abdo, S.; Piaz, F.D.; De Tommasi, N. Isolation and structural characterization of glycosides from an anti-angiogenic extract of Monnina obtusifolia H.B.K. Fitoterapia 2011, 82, 178–183. [Google Scholar] [CrossRef] [PubMed]
- Brown, L.V.L.; Larson, S.R.; Sneden, A.T. Vanicosides C-F, new phenylpropanoid glycosides from Polygonum pensylvanicum. J. Nat. Prod. 1998, 61, 762–766. [Google Scholar] [CrossRef] [PubMed]
- Wang, K.J.; Zhang, Y.J.; Yang, C.R. Antioxidant phenolic constituents from Fagopyrum dibotrys. J. Ethnopharmacol. 2005, 99, 259–264. [Google Scholar] [CrossRef] [PubMed]
- Kobayashi, W.; Miyase, T.; Suzuki, S.; Noguchi, H.; Chen, X.M. Oligosaccharide Esters from the Roots of Polygala arillata. J. Nat. Prod. 2000, 63, 1066–1069. [Google Scholar] [CrossRef] [PubMed]
- Van Kiem, P.; Nhiem, N.X.; Cuong, N.X.; Hoa, T.Q.; Huong, H.T.; van Minh, C.; Kim, Y.H. New phenylpropanoid esters of sucrose from Polygonum hydropiper and their antioxidant activity. Arch. Pharm. Res. 2008, 31, 1477–1482. [Google Scholar] [CrossRef] [PubMed]
- Zimmermann, M.L.; Sneden, A.T. Vanicosides A and B, protein kinase C inhibitors from Polygonum pensylvanicum. J. Nat. Prod. 1994, 57, 236–242. [Google Scholar] [CrossRef] [PubMed]
- Shimomura, H.; Sashida, Y.; Mimaki, Y. Bitter phenylpropanoid glycosides from Lilium speciosum var. rubrum. Phytochemistry 1986, 25, 2897–2899. [Google Scholar] [CrossRef]
- Shoyama, Y.; Hatano, K.; Nishioka, I.; Yamagishi, T. Phenolic glycosides from Lilium longiflorum. Phytochemistry 1987, 26, 2965–2968. [Google Scholar] [CrossRef]
- Zhang, D.; Miyase, T.; Kuroyanagi, M.; Umehara, K.; Ueno, A. Five new triterpene saponins, polygalasaponins XXVIII-XXXII from the root of Polygala japonica Houtt. Chem. Pharm. Bull. 1996, 44, 810–815. [Google Scholar] [CrossRef] [PubMed]
- De Tommasi, N.; Piacente, S.; De Simone, F.; Pizza, C. New sucrose derivatives from the bark of Securidaca longipedunculata. J. Nat. Prod. 1993, 56, 134–137. [Google Scholar] [CrossRef] [PubMed]
- Yoshinari, K.; Sashida, Y.; Mimaki, Y.; Shimomura, H. New polyacylated sucrose derivatives from the bark of Prunus padus. Chem. Pharm. Bull. 1990, 38, 415–417. [Google Scholar] [CrossRef]
- Bashir, A.; Hamburger, M.; Msonthi, J.D.; Hostettmann, K. Sinapoic acid esters from Polygala virgata. Phytochemistry 1993, 32, 741–745. [Google Scholar] [CrossRef]
- Qian-Cutrone, J.; Huang, S.; Trimble, J.; Li, H.; Lin, P.F.; Alam, M.; Klohr, S.E.; Kadow, K.F. Niruriside, a new HIV REV/RRE binding inhibitor from Phyllanthus niruri. J. Nat. Prod. 1996, 59, 196–199. [Google Scholar] [CrossRef] [PubMed]
- Yan, L.; Gao, W.; Zhang, Y.; Wang, Y. A new phenylpropanoid glycosides from Paris polyphylla var. yunnanensis. Fitoterapia 2008, 79, 306–307. [Google Scholar] [CrossRef] [PubMed]
- Takashi, H.; Yoshiyasu, F.; Toshihide, Y.; Kazuyuki, N. Structures of magnolosides B and C, novel phenylpropanoid glycosides with allopyranose as core the sugar unit. Chem. Pharm. Bull. 1988, 36, 1245–1248. [Google Scholar]
- Miyase, T.; Mimatsu, A. Acylated Iridoid and Phenylethanoid Glycosides from the Aerial Parts of Scrophularia nodosa. J. Nat. Prod. 1999, 62, 1079–1084. [Google Scholar] [CrossRef] [PubMed]
- Kobayashi, H.; Karasawa, H.; Miyase, T.; Fukushima, S. Studies on the contituents of Cistanchis Herba. IV. Isolation and structures of two new phenylpropanoid glycosides, cistanosides C and D. Chem. Pharm. Bull. 1984, 32, 3880–3885. [Google Scholar] [CrossRef]
- Benkrief, R.; Ranarivelo, Y.; Skaltsounis, A.L.; Tillequin, F.; Koch, M.; Pusset, J.; Sévenet, T. Monoterpene alkaloids, iridoids and phenylpropanoid glycosides from Osmanthusaustrocaledonica. Phytochemistry 1998, 47, 825–832. [Google Scholar] [CrossRef]
- Su, B.N.; Ma, L.P.; Jia, Z.J. Iridoid and Phenylpropanoid Glycosides from Pedicularis artselaeri. J. Planta Med. 1998, 64, 720–723. [Google Scholar] [CrossRef] [PubMed]
- Liu, Z.M.; Jia, Z.G. Phenylpropanoid and iridoid glycosides from Pedicularis striata. Phytochemistry 1991, 30, 1341–1344. [Google Scholar] [PubMed]
- Kanchanapoom, T.; Kasai, R.; Yamasaki, K. Phenolic glycosides from Markhamia stipulata. Phytochemistry 2002, 59, 557–563. [Google Scholar] [CrossRef]
- Kanchanapoom, T.; Kasai, R.; Yamasaki, K. Lignan and phenylpropanoid glycosides from Fernandoa adenophylla. Phytochemistry 2001, 57, 1245–1248. [Google Scholar] [CrossRef]
- De Santos Galindez, J.; Diaz-Lanza, A.M.; Fernández Matellano, L.; Rumbero Sánchez, A. A new phenylpropanoid glycoside isolated from Scrophularia scorodonia L. Magn. Reson. Chem. 2000, 38, 688–691. [Google Scholar] [CrossRef]
- Skrzypek, Z.; Wysokinska, H.; Swia̧tek, L.; Wróblewski, A.E. Phenylpropanoid Glycosides from Penstemon serrulatus. J. Nat. Prod. 1999, 62, 127–129. [Google Scholar] [CrossRef] [PubMed]
- Ho, J.C.; Chen, C.M.; Li, Z.Q.; Row, L.C. Phenylpropanoid glycosides from the parasitic plant, Aeginetia indica. J. Chin. Chem. Soc. 2004, 51, 1073–1076. [Google Scholar] [CrossRef]
- Jia, Z.J.; Liu, Z.M.; Wang, C.Z. Phenylpropanoid and iridoid glycosides from Pedicularis lasiophrys. Phytochemistry 1992, 31, 263–266. [Google Scholar] [PubMed]
- Nonaka, G.; Nishioka, I. Bitter phenylpropanoid glycosides from Conandron ramoidioides. Phytochemistry 1977, 16, 1265–1267. [Google Scholar] [CrossRef]
- Çaliş, İ.; Taşdemir, D.; Wright, A.D.; Sticher, O. Lagotoside: A new phenylpropanoid glycoside from Lagotis stolonifera. Helv. Chim. Acta 1991, 74, 1273–1276. [Google Scholar] [CrossRef]
- Kang, K.H.; Jang, S.K.; Kim, B.K.; Park, M.K. Antibacterial phenylpropanoid glycosides from Paulownia tomentosa Steud. Arch. Pharm. Res. 1994, 17, 470–475. [Google Scholar] [CrossRef] [PubMed]
- Jia, Z.J.; Gao, J.J. Phenylpropanoid glycosides from Pedicularis striata pallssp. Arachnoidea. Phytochemistry 1993, 34, 1188–1190. [Google Scholar]
- Jia, Z.J.; Liu, Z.M.; Wang, C.Z. Phenylpropanoid and iridoid glycosides from Pedicularis spicata. Phytochemistry 1991, 30, 3745–3747. [Google Scholar] [PubMed]
- Jia, Z.J.; Liu, Z.M. Phenylpropanoid and iridoid glycosides from Pedicularis longiflora. Phytochemistry 1992, 31, 3125–3127. [Google Scholar]
- Ersoz, T.; SaracogluA, İ.; Harput, Ü.Ş.; Çalis, İ.; Donmez, A.A. Iridoid and phenylpropanoid glycosides from Phlomis grandiflora var. fimbrilligera and Phlomis fruticosa. Turk. J. Chem. 2002, 26, 171–178. [Google Scholar]
- Kobayashi, H.; Karasawa, H.; Miyase, T.; Fukushima, S. Studies on the constituents of Cistanchis herba. III. Isolation and structures of new phenylpropanoid glycosides, cistanosides A and B. Chem. Pharm. Bull. 1984, 32, 3009–3014. [Google Scholar] [CrossRef]
- He, Z.D.; Yang, C.R. Brandioside, a phenylpropanoid glycoside from Brandisia hancei. Phytochemistry 1991, 30, 701–702. [Google Scholar] [PubMed]
- Çaliş, İ. Two phenylpropanoid glycosides from Leonurus glaucescens. Phytochemistry 1992, 31, 357–359. [Google Scholar] [CrossRef]
- Sticher, O.; Rüedi, P. Phlinosides A, B and C, three phenylpropanoid glycosides from Phlomis linearis. Phytochemistry 1990, 29, 1253–1257. [Google Scholar]
- Kobayashi, H.; Karasawa, H.; Miyase, T.; Fukushima, S. Studies on the constituents of Cistanchis Herba. V. Isolation and structures of two new phenylpropanoid glycosides, cistanosides E and F. Chem. Pharm. Bull. 1985, 33, 1452–1457. [Google Scholar] [CrossRef]
- Yi, J.H.; Zhang, G.L.; Li, B.G.; Chen, Y.Z. Phenylpropanoid glycosides from Lamiophlomis rotata. Phytochemistry 1999, 51, 825–828. [Google Scholar] [CrossRef]
- Calis, I.; Lahloub, M.F.; Rogenmoser, E.; Sticher, O. Isomartynoside, a phenylpropanoid glycoside from Galeopsis pubescens. Phytochemistry 1984, 23, 2313–2315. [Google Scholar] [CrossRef]
- Jimenez, C.; Villaverde, M.C.; Riguera, R.; Castedo, L.; Stermitz, F.R. Five phenylpropanoid glycosides from Mussatia. Phytochemistry 1988, 27, 2947–2951. [Google Scholar] [CrossRef]
- Hosoya, T.; Yun, Y.S.; Kunugi, A. Antioxidant phenylpropanoid glycosides from the leaves of Wasabia japonica. Phytochemistry 2008, 69, 827–832. [Google Scholar] [CrossRef] [PubMed]
- Nahrstedt, A.; Rockenbach, J.; Wray, V. Phenylpropanoid glycosides, a furanone glucoside and geniposidic acid from members of the rubiaceae. Phytochemistry 1995, 39, 375–378. [Google Scholar] [CrossRef]
- Afifi, M.S.; Lahloub, M.F.; El-Khayaat, S.A.; Anklin, C.G.; Rüegger, H.; Sticher, O. Crenatoside: A Novel Phenylpropanoid Glycoside from Orobanche crenata. Planta Med. 1993, 59, 359–362. [Google Scholar] [CrossRef] [PubMed]
- Zhang, D.; Miyase, T.; Kuroyanagi, M.; Umehara, K.; Noguchi, H. Oligosaccharide polyesters from roots of Polygala fallax. Phytochemistry 1997, 45, 733–741. [Google Scholar] [CrossRef]
- Kobayashi, S.; Miyase, T.; Noguchi, H. Polyphenolic Glycosides and Oligosaccharide Multiesters from the Roots of Polygala dalmaisiana. J. Nat. Prod. 2002, 65, 319–328. [Google Scholar] [CrossRef] [PubMed]
- Liu, Y.; Seligmann, O.; Wagner, H.; Bauer, R. Paucifloside, A New Phenylpropanoid Glycoside from Lysionotus pauciflorus. Nat. Prod. Lett. 1995, 7, 23–28. [Google Scholar] [CrossRef]
- Saracoglu, I.; Harput, U.S.; Inoue, M.; Ogihara, Y. New phenylethanoid glycosides from Veronica pectinata var. glandulosa and their free radical scavenging activities. Chem. Pharm. Bull. 2002, 50, 665–668. [Google Scholar] [PubMed]
- Rønsted, N.; Bello, M.A.; Jensen, S.R. Aragoside and iridoid glucosides from Aragoa cundinamarcensis. Phytochemistry 2003, 64, 529–533. [Google Scholar] [CrossRef]
- Thuan, N.D.; Thuong, P.T.; Na, M.K.; Bae, K.; Lee, J.P.; Lee, J.H.; Seo, H.W.; Min, B.S.; Kim, J.C.; Bae, K.H. A phenylpropanoid glycoside with antioxidant activity from Picria tel-ferae. Arch. Pharm. Res. 2007, 30, 1062–1066. [Google Scholar] [CrossRef] [PubMed]
- Shyr, M.H.; Tsai, T.H.; Lin, L.C. Rossicasins A, B and rosicaside F, three new phenylpropanoid glycosides from Boschniakia rossica. Chem. Pharm. Bull. 2006, 54, 252–254. [Google Scholar] [CrossRef] [PubMed]
- Boros, C.A.; Marshall, D.R.; Caterino, C.R.; Stermitz, F.R. Iridoid and phenylpropanoid glycosides from Orthocarpus spp. Alkaloid content as a consequence of parasitism on Lupinus. J. Nat. Prod. 1991, 54, 506–513. [Google Scholar] [CrossRef]
- Budzianowski, J.; Skrzypczak, L. Phenylpropanoid esters from Lamium album flowers. Phytochemistry 1995, 38, 997–1001. [Google Scholar] [CrossRef]
- Gross, G.A.; Lahloub, M.F.; Anklin, C.; Schulten, H.R.; Sticher, O. Teucrioside, a phenylpropanoid glycoside from Teucrium chamaedrys. Phytochemistry 1988, 27, 1459–1463. [Google Scholar] [CrossRef]
- Çalis, İ.; Başaran, A.A.; Saracog̈lu, İ.; Sticher, O. Phlinosides D and E, phenylpropanoid glycosides, and iridoids from Phlomis linearis. Phytochemistry 1991, 30, 3073–3075. [Google Scholar] [CrossRef]
- Yang, H.; Hou, A.J.; Mei, S.X.; Peng, L.Y.; Sun, H.D. A new phenylpropanoid glycoside: Serratumoside A from Clerodendrum serratum. Chin. Chem. Lett. 2000, 11, 323–326. [Google Scholar]
- Jiménez, C.; Villaverde, M.C.; Riguera, R.; Castedo, L.; Stermitz, F. Phenylpropanoid glycosides from Mussatia hyacinthina. J. Nat. Prod. 1989, 52, 408–410. [Google Scholar] [CrossRef]
- Saitoh, H.; Miyase, T.; Ueno, A. Senegoses F-I, Oligosaccharide Multi-Esters from the Roots of Polygala senega var latifolia Torr. Et Gray. Chem. Pharm. Bull. 1993, 41, 2125–2128. [Google Scholar] [CrossRef] [PubMed]
- Çalış, I.; Kırmızıbekmez, H. Glycosides from Phlomis lunariifolia. Phytochemistry 2004, 65, 2619–2625. [Google Scholar] [CrossRef] [PubMed]
- Saitoh, H.; Miyase, T.; Ueno, A.; Atarashi, K.; Saiki, Y. Senegoses J-O, oligosaccharide multi-esters from the roots of Polygala senega L. Chem. Pharm. Bull. 1994, 42, 641–645. [Google Scholar] [CrossRef] [PubMed]
- Saitoh, H.; Miyase, T.; Ueno, A. Senegoses A-E, Oligosaccharide Multi-Esters from Polygala senega var. latifolia Torr.et Gray. Chem. Pharm. Bull. 1993, 41, 1127–1131. [Google Scholar] [CrossRef] [PubMed]
- Yoshikawa, M.; Murakami, T.; Ueno, T.; Kadoya, M.; Matsuda, H.; Yamahara, J.; Murakami, N. Bioactive Saponins and Glycosides. I. Senegae Radix. (1): E-Senegasaponins a and b and Z-Senegasaponins a and b. Their Inhibitory Effect on Alcohol Absorption and Hypoglycemic Activity. Chem. Pharm. Bull. 1995, 43, 2115–2122. [Google Scholar] [CrossRef] [PubMed]
- Fu, J.; Zuo, L.; Yang, J.; Chen, R.; Zhang, D. Oligosaccharide polyester and triterpenoid saponins from the roots of Polygala japonica. Phytochemistry 2008, 69, 1617–1624. [Google Scholar] [CrossRef] [PubMed]
- Zhang, D.; Miyase, T.; Kuroyanagi, M.; Umehara, K.; Noguchi, H. Polygalasaponins XLII–XLVI from roots of Polygala glomerata. Phytochemistry 1998, 47, 459–466. [Google Scholar] [CrossRef]
- Ikeya, Y.; Takeda, S.; Tunakawa, M.; Karakida, H.; Toda, K.; Yamaguchi, T.; Aburada, M. Cognitive Improving and Cerebral Protective Effects of Acylated Oligosaccharides in Polygala tenuifolia. Biol. Pharm. Bull. 2004, 27, 1081–1085. [Google Scholar] [CrossRef] [PubMed]
- Hu, Y.; Liu, M.; Liu, P.; Gao, D.H.; Wei, R.B.; Rahman, K. Possible mechanism of the antidepressant effect of 3,6′-disinapoyl sucrose from Polygala tenuifolia Willd. J. Pharm. Parmacol. 2011, 63, 869–874. [Google Scholar] [CrossRef] [PubMed]
- Hu, Y.; Liu, M.Y.; Liu, P.; Dong, X.Z.; Boran, A.D.W. Neuroprotective Effects of 3,6′-Disinapoyl Sucrose Through Increased BDNF Levels and CREB Phosphorylation via the CaMKII and ERK1/2 Pathway. J. Mol. Neurosci. 2014, 53, 600–607. [Google Scholar] [CrossRef] [PubMed]
- Fabre, N.; Urizzi, P.; Souchard, J.P.; Fréchard, A.; Claparols, C.; Fourasté, I.; Moulis, C. An antioxidant sinapic acid ester isolated from Iberis amara. Fitoterapia 2000, 71, 425–428. [Google Scholar] [CrossRef]
- Wang, M.; Shao, Y.; Li, J.; Zhu, N.; Rangarajan, M.; LaVoie, E.J.; Ho, C.T. Antioxidative phenolic glycosides from sage (Salvia officinalis). J. Nat. Prod. 1999, 62, 454–456. [Google Scholar] [CrossRef] [PubMed]
- Lin, L.C.; Wang, Y.W.; Hou, Y.C.; Chang, S.; Liou, K.T.; Chou, Y.C.; Wang, W.Y.; Shen, Y.C. The inhibitory effect of phenylpropanoid glycosides and iridoid glucosides on free radical production and β2 integrin expression in human leucocytes. J. Pharm. Parmacol. 2006, 58, 129–135. [Google Scholar] [CrossRef] [PubMed]
- Bermejo, P.; Abad, M.J.; Díaz, A.M.; Fernández, L.; De Santos, J.; Sanchez, S.; Villaescusa, L.; Carrasco, L.; Irurzun, A. Antiviral Activity of Seven Iridoids, Three Saikosaponins and One Phenylpropanoid Glycoside Extracted from Bupleurumrigidum and Scrophularia scorodonia. Planta Med. 2002, 68, 106–110. [Google Scholar] [CrossRef] [PubMed]
- Sahpaz, S.; Garbacki, N.; Tits, M.; Bailleul, F. Isolation and pharmacological activity of phenylpropanoid esters from Marrubium vulgare. J. Ethnopharmacol. 2002, 79, 389–392. [Google Scholar] [CrossRef]
- Kawai, Y.; Kumagai, H.; Kurihara, H.; Yamazaki, K.; Sawano, R.; Inoue, N. β-Glucosidase inhibitory activities of phenylpropanoid glycosides, vanicoside A and B from Polygonum sachalinense rhizome. Fitoterapia 2006, 77, 456–459. [Google Scholar] [CrossRef] [PubMed]
- Ismailoglu, U.B.; Saracoglu, I.; Harput, U.S.; Sahin-Erdemli, I. Effects of phenylpropanoid and iridoid glycosides on free radical-induced impairment of endothelium-dependent relaxation in rat aortic rings. J. Ethnopharmacol. 2002, 79, 193–197. [Google Scholar] [CrossRef]
- Kako, M.; Miura, T.; Nishiyama, Y.; Ichimaru, M.; Moriyasu, M.; Kato, A. Hypoglycemic activity of some triterpenoid glycosides. J. Nat. Prod. 1997, 60, 604–605. [Google Scholar] [CrossRef] [PubMed]
- Sample Availability: Samples of the compounds not avalible are available from the authors.
© 2016 by the authors. Licensee MDPI, Basel, Switzerland. This article is an open access article distributed under the terms and conditions of the Creative Commons Attribution (CC-BY) license ( http://creativecommons.org/licenses/by/4.0/).







































































