Solubilization Behavior of Polyene Antibiotics in Nanomicellar System: Insights from Molecular Dynamics Simulation of the Amphotericin B and Nystatin Interactions with Polysorbate 80
Abstract
:1. Introduction
2. Results and Discussion
2.1. Simulation of P80 Micelle
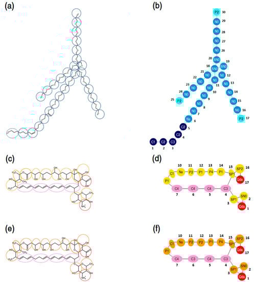
2.1.1. Simulation of Single P80 Molecule in Aqueous Medium
2.1.2. Formation and Characteristics of P80 Micelle
| Study Phase | Simulation | No. | Time (ns) | No. of Molecule(s) | Concentration (w%) | Ratio | |||||
|---|---|---|---|---|---|---|---|---|---|---|---|
| P80 | AmB | Nys | Water Particles | P80 | AmB | Nys | PA-to-P80 | ||||
| 1: Simulation of P80 | Single P80 molecule | 1 | 150 | 1 | - | - | 3500 | 0.5 | - | - | - |
| 2 | 600 | 60 | - | - | 9817 | 10 | - | - | - | ||
| 3 | 600 | 100 | - | - | 16,361 | 10 | - | - | - | ||
| 4 | 600 | 150 | - | - | 24,542 | 10 | - | - | - | ||
| 5 | 600 | 60 | - | - | 4363 | 20 | - | - | - | ||
| Multiple P80 molecules | 6 | 600 | 60 | - | - | 2545 | 30 | - | - | - | |
| 7 | 600 | 60 | - | - | 1636 | 40 | - | - | - | ||
| 8 | 600 | 200 | - | - | 32,723 | 10 | - | - | - | ||
| 9 | 600 | 200 | - | - | 14,544 | 20 | - | - | - | ||
| 10 | 600 | 200 | - | - | 8484 | 30 | - | - | - | ||
| 2: Simulation of PAs | Single AmB | 11 | 150 | - | 1 | 410 | 3 | - | |||
| Multiple AmB | 12 | 150 | - | 9 | 11024 | - | 1 | - | - | ||
| Single Nys | 13 | 150 | - | - | 1 | 410 | - | 3 | |||
| Multiple Nys | 14 | 150 | - | - | 9 | 11024 | - | - | 1 | - | |
| 3: Simulation of P80-PA systems | Single AmB and single P80 | 15 | 150 | 1 | 1 | - | 410 | 4.1 | 2.9 | - | 0.7 |
| Single AmB encapsulation | 16 | 150 | 60 | 1 | - | 9817 | 10 | 0.1 | - | 0.01 | |
| Multiple AmB encapsulation | 17 | 600 | 60 | 9 | - | 9817 | 10 | 1 | - | 0.1 | |
| 18 | 600 | 60 | 17 | - | 9600 | 10 | 2 | - | 0.2 | ||
| 19 | 600 | 60 | 26 | - | 9485 | 10 | 3 | - | 0.3 | ||
| 20 | 600 | 60 | 34 | - | 9382 | 10 | 4 | - | 0.4 | ||
| 21 | 600 | 60 | 43 | - | 9817 | 10 | 5 | - | 0.5 | ||
| 22 | 600 | 100 | 9 | - | 16,153 | 10 | 0.7 | - | 0.06 | ||
| 23 | 600 | 150 | 9 | - | 24,426 | 10 | 0.4 | - | 0.04 | ||
| 24 | 600 | 200 | 29 | - | 32,351 | 10 | 1 | - | 0.1 | ||
| 25 | 600 | 200 | 14 | - | 14,364 | 20 | 1 | - | 0.05 | ||
| 26 | 600 | 200 | 9 | - | 8368 | 30 | 1 | - | 0.03 | ||
| Single Nys and single P80 | 27 | 150 | 1 | - | 1 | 410 | 4.1 | - | 2.9 | 0.7 | |
| Single Nys encapsulation | 28 | 150 | 60 | - | 1 | 9817 | 10 | - | 0.1 | 0.01 | |
| Multiple Nys encapsulation | 29 | 600 | 60 | - | 9 | 9817 | 10 | - | 1 | 0.1 | |
| 30 | 600 | 60 | - | 17 | 9600 | 10 | - | 2 | 0.2 | ||
| 31 | 600 | 60 | - | 26 | 9485 | 10 | - | 3 | 0.3 | ||
| 32 | 600 | 60 | - | 34 | 9382 | 10 | - | 4 | 0.4 | ||
| 33 | 600 | 60 | - | 43 | 9817 | 10 | - | 5 | 0.5 | ||
| 34 | 600 | 100 | - | 9 | 16,153 | 10 | - | 0.7 | 0.06 | ||
| 35 | 600 | 150 | - | 9 | 24,426 | 10 | - | 0.4 | 0.04 | ||
| 36 | 600 | 200 | - | 29 | 32,351 | 10 | - | 1 | 0.1 | ||
| 37 | 600 | 200 | - | 14 | 14,364 | 20 | - | 1 | 0.5 | ||
| 38 | 600 | 200 | - | 9 | 8368 | 30 | - | 1 | 0.3 | ||


2.1.3. Effect of Surfactant Concentration on Micelle Size and Morphology
2.2. Simulation of AmB and Nys
2.2.1. Simulation of a Single PA Molecule in Water

2.2.2. Aggregation of PAs in the Aqueous Solution


2.3. Simulation of P80-PA Systems
2.3.1. Interaction of PAs with a Single P80 Molecule


2.3.2. Encapsulation of PAs into P80 Micelle




2.3.3. Structure of P80-PA nanomicelles


2.3.4. Micellar Solvation of PAs

2.3.5. Complementary Analysis of Properties of P80-PA Micellar Systems
2.4. Implications for Drug Toxicity and Formulation
3. Experimental Section
3.1. Study Design
3.2. Modeling of P80 and PAs
3.3. Simulation and Analysis

4. Conclusions
Supplementary Materials
Acknowledgments
Author Contributions
Conflicts of Interest
References
- Schreier, S.; Malheiros, S.V.P.; de Paula, E. Surface active drugs: Self-association and interaction with membranes and surfactants. Physicochemical and biological aspects. Biochim. Biophys. Acta Biomembr. 2000, 1508, 210–234. [Google Scholar] [CrossRef]
- Kim, S.; Shi, Y.; Kim, J.Y.; Park, K.; Cheng, J.-X. Overcoming the barriers in micellar drug delivery: Loading efficiency, in vivo stability, and micelle–cell interaction. Expert. Opin. Drug Deliv. 2009, 7, 49–62. [Google Scholar] [CrossRef] [PubMed]
- Messina, P.; Besada-Porto, J.; Ruso, J. Self-assembly drugs: From micelles to nanomedicine. Curr. Top. Med. Chem. 2014, 14, 555–571. [Google Scholar] [CrossRef] [PubMed]
- Kagan, S.; Ickowicz, D.; Shmuel, M.; Altschuler, Y.; Sionov, E.; Pitusi, M.; Weiss, A.; Farber, S.; Domb, A.J.; Polacheck, I. Toxicity mechanisms of amphotericin B and its neutralization by conjugation with arabinogalactan. Antimicrob. Agents Chemother. 2012, 56, 5603–5611. [Google Scholar] [CrossRef] [PubMed]
- Kleinberg, M. What is the current and future status of conventional amphotericin B? Int. J. Antimicrob. Agents 2006, 2712–2716. [Google Scholar] [CrossRef] [PubMed]
- Sundar, S. Drug resistance in Indian visceral leishmaniasis. Trop. Med. Int. Health. 2001, 6, 849–854. [Google Scholar] [CrossRef] [PubMed]
- Sundar, S.; Arora, R.; Singh, S.P.; Boelaert, M.; Varghese, B. Household cost-of-illness of visceral leishmaniasis in Bihar, India. Trop. Med. Int. Health. 2010, 15, 50–54. [Google Scholar] [CrossRef] [PubMed]
- Chattopadhyay, A.; Jafurulla, M. A novel mechanism for an old drug: Amphotericin B in the treatment of visceral leishmaniasis. Biochem. Biophys. Res. Commun. 2011, 416, 7–12. [Google Scholar] [CrossRef] [PubMed]
- Hamill, R. Amphotericin B Formulations: A comparative review of efficacy and toxicity. Drugs 2013, 73, 919–934. [Google Scholar] [CrossRef] [PubMed]
- Hamilton-Miller, J.M. Chemistry and biology of the polyene macrolide antibiotics. Bacteriol. Rev. 1973, 37, 166–196. [Google Scholar] [PubMed]
- Semis, R.; Nili, S.S.; Munitz, A.; Zaslavsky, Z.; Polacheck, I.; Segal, E. Pharmacokinetics, tissue distribution and immunomodulatory effect of intralipid formulation of nystatin in mice. J. Antimicrob. Chemother. 2012, 67, 1716–1721. [Google Scholar] [CrossRef] [PubMed]
- Carrillo-Muñoz, A.J.; Quindós, G.; Tur, C.; Ruesga, M.T.; Miranda, Y.; Valle, O.d.; Cossum, P.A.; Wallace, T.L. In-vitro antifungal activity of liposomal nystatin in comparison with nystatin, amphotericin B cholesteryl sulphate, liposomal amphotericin B, amphotericin B lipid complex, amphotericin B desoxycholate, fluconazole and itraconazole. J. Antimicrob. Chemother. 1999, 44, 397–401. [Google Scholar] [CrossRef] [PubMed]
- Arikan, S.; Ostrosky-Zeichner, L.; Lozano-Chiu, M.; Paetznick, V.; Gordon, D.; Wallace, T.; Rex, J.H. In vitro activity of nystatin compared with those of liposomal nystatin, amphotericin B, and fluconazole against clinical candida isolates. J. Clin. Microbiol. 2002, 40, 1406–1412. [Google Scholar] [CrossRef] [PubMed]
- Johnson, E.M.; Ojwang, J.O.; Szekely, A.; Wallace, T.L.; Warnock, D.W. Comparison of in vitro antifungal activities of free and liposome-encapsulated nystatin with those of four amphotericin B formulations. Antimicrob. Agents Chemother. 1998, 42, 1412–1416. [Google Scholar] [PubMed]
- Larson, J.L.; Wallace, T.L.; Tyl, R.W.; Marr, M.C.; Myers, C.B.; Cossum, P.A. The reproductive and developmental toxicity of the antifungal drug Nyotran® (liposomal nystatin) in rats and rabbits. Toxicol. Sci. 2000, 53, 421–429. [Google Scholar] [CrossRef] [PubMed]
- Lemke, T.L.; Williams, D.A. Foye’s Principles of Medicinal Chemistry, 6th ed.; Wolters Kluwer Health: Philadelphia, PA, USA, 2012; p. 1115. [Google Scholar]
- Barwicz, J.; Christian, S.; Gruda, I. Effects of the aggregation state of amphotericin B on its toxicity to mice. Antimicrob. Agents Chemother. 1992, 36, 2310–2315. [Google Scholar] [CrossRef] [PubMed]
- Barwicz, J.; Tancrède, P. The effect of aggregation state of amphotericin-B on its interactions with cholesterol- or ergosterol-containing phosphatidylcholine monolayers. Chem. Phys. Lipids. 1997, 85, 145–155. [Google Scholar] [CrossRef]
- Espada, R.; Valdespina, S.; Alfonso, C.; Rivas, G.; Ballesteros, M.P.; Torrado, J.J. Effect of aggregation state on the toxicity of different amphotericin B preparations. Int. J. Pharm. 2008, 361, 64–69. [Google Scholar] [CrossRef] [PubMed]
- Legrand, P.; Romero, E.A.; Cohen, B.E.; Bolard, J. Effects of aggregation and solvent on the toxicity of amphotericin B to human erythrocytes. Antimicrob. Agents Chemother. 1992, 36, 2518–2522. [Google Scholar] [CrossRef] [PubMed]
- Wasko, P.; Luchowski, R.; Tutaj, K.; Grudzinski, W.; Adamkiewicz, P.; Gruszecki, W.I. Toward Understanding of Toxic Side Effects of a polyene antibiotic amphotericin B: Fluorescence spectroscopy reveals widespread formation of the specific supramolecular structures of the drug. Mol. Pharm. 2012, 9, 1511–1520. [Google Scholar] [CrossRef] [PubMed]
- Gruszecki, W.I.; Gagoś, M.; Hereć, M. Dimers of polyene antibiotic amphotericin B detected by means of fluorescence spectroscopy: Molecular organization in solution and in lipid membranes. J. Photochem. Photobiol. B Biol. 2003, 69, 49–57. [Google Scholar] [CrossRef]
- Barwicz, J.; Gruszecki, W.I.; Gruda, I. Spontaneous organization of amphotericin B in aqueous medium. J. Colloid. Interface Sci. 1993, 158, 71–76. [Google Scholar] [CrossRef]
- Gruszecki, W.I.; Gagoś, M.; Hereć, M.; Kernen, P. Organization of antibiotic amphotericin B in model lipid membranes. A mini review. Cell. Mol. Biol. Lett. 2003, 8, 161–170. [Google Scholar] [PubMed]
- Coutinho, A.; Prieto, M. Self-association of the polyene antibiotic nystatin in dipalmitoylphosphatidylcholine vesicles: A time-resolved fluorescence study. Biophys. J. 1995, 69, 2541–2557. [Google Scholar] [CrossRef]
- Bolard, J.; Legrand, P.; Heitz, F.; Cybulska, B. One-sided action of amphotericin B on cholesterol-containing membranes is determined by its self-association in the medium. Biochemistry 1991, 30, 5707–5715. [Google Scholar] [CrossRef] [PubMed]
- Croy, S.R.; Kwon, G.S. Polysorbate 80 and Cremophor EL micelles deaggregate and solubilize nystatin at the core-corona interface. Int. J. Pharm. 2005, 94, 2345–2354. [Google Scholar] [CrossRef] [PubMed]
- Brajtburg, J.; Bolard, J. Carrier effects on biological activity of amphotericin B. Clin. Microbiol. Rev. 1996, 9, 512–531. [Google Scholar] [PubMed]
- Croy, S.R.; Kwon, G.S. The effects of Pluronic block copolymers on the aggregation state of nystatin. J. Control. Release 2004, 95, 161–171. [Google Scholar] [CrossRef] [PubMed]
- Narang, A.S.; Delmarre, D.; Gao, D. Stable drug encapsulation in micelles and microemulsions. Int. J. Pharm. 2007, 345, 9–25. [Google Scholar] [CrossRef] [PubMed]
- Strickley, R. Solubilizing excipients in oral and injectable formulations. Pharm. Res. 2004, 21, 201–230. [Google Scholar] [CrossRef] [PubMed]
- Williams, H.D.; Trevaskis, N.L.; Charman, S.A.; Shanker, R.M.; Charman, W.N.; Pouton, C.W.; Porter, C.J.H. Strategies to address low drug solubility in discovery and development. Pharmacol. Rev. 2013, 65, 315–499. [Google Scholar] [CrossRef] [PubMed]
- Esposito, E.; Bortolotti, F.; Menegatti, E.; Cortesi, R. Amphiphilic association systems for Amphotericin B delivery. Int. J. Pharm. 2003, 260, 249–260. [Google Scholar] [CrossRef]
- Pham, T.T.H.; Loiseau, P.M.; Barratt, G. Strategies for the design of orally bioavailable antileishmanial treatments. Int. J. Pharm. 2013, 454, 539–552. [Google Scholar] [CrossRef] [PubMed]
- Lasic, D. Mixed micelles in drug delivery. Nature 1992, 355, 279–280. [Google Scholar] [CrossRef] [PubMed]
- El-Ridy, M.S.; Abdelbary, A.; Essam, T.; Abd EL-Salam, R.M.; Aly Kassem, A.A. Niosomes as a potential drug delivery system for increasing the efficacy and safety of nystatin. Drug Dev. Ind. Pharm. 2011, 37, 1491–1508. [Google Scholar] [CrossRef] [PubMed]
- Racles, C.; Mares, M.; Sacarescu, L. A polysiloxane surfactant dissolves a poorly soluble drug (nystatin) in water. Colloids. Surf. A. Physicochem. Eng. Asp. 2014, 443, 233–239. [Google Scholar] [CrossRef]
- Li, Y.; Hou, T. Computational simulation of drug delivery at molecular level. Curr. Med. Chem. 2010, 17, 4482–4491. [Google Scholar] [CrossRef] [PubMed]
- Huynh, L.; Neale, C.; Pomès, R.; Allen, C. Computational approaches to the rational design of nanoemulsions, polymeric micelles, and dendrimers for drug delivery. Nanomedicine 2012, 8, 20–36. [Google Scholar] [CrossRef] [PubMed]
- Wang, S.; Zhou, Y.; Tan, J.; Xu, J.; Yang, J.; Liu, Y. Computational modeling of magnetic nanoparticle targeting to stent surface under high gradient field. Comput. Mech. 2014, 53, 403–412. [Google Scholar] [CrossRef] [PubMed]
- Haddish-Berhane, N.; Rickus, J.L.; Haghighi, K. The role of multiscale computational approaches for rational design of conventional and nanoparticle oral drug delivery systems. Int. J. Nanomed. 2007, 2, 315–331. [Google Scholar]
- Ahmad, S.; Johnston, B.F.; Mackay, S.P.; Schatzlein, A.G.; Gellert, P.; Sengupta, D.; Uchegbu, I.F. In silico modelling of drug–polymer interactions for pharmaceutical formulations. Interface Focus 2010, 7, S423–S433. [Google Scholar] [CrossRef] [PubMed]
- Abedi Karjiban, R.; Basri, M.; Abdul Rahman, M.B.; Salleh, A.B. Molecular dynamics simulation of palmitate ester self-assembly with diclofenac. Int. J. Mol. Sci. 2012, 13, 9572–9583. [Google Scholar] [CrossRef] [PubMed]
- Prakash, P.; Sayyed-Ahmad, A.; Zhou, Y.; Volk, D.E.; Gorenstein, D.G.; Dial, E.; Lichtenberger, L.M.; Gorfe, A.A. Aggregation behavior of ibuprofen, cholic acid and dodecylphosphocholine micelles. Biochim. Biophys. Acta Biomembr. 2012, 1818, 3040–3047. [Google Scholar] [CrossRef] [PubMed]
- Luo, Z.; Jiang, J. pH-sensitive drug loading/releasing in amphiphilic copolymer PAE–PEG: Integrating molecular dynamics and dissipative particle dynamics simulations. J. Control. Release 2012, 162, 185–193. [Google Scholar] [CrossRef] [PubMed]
- Wang, X.-Y.; Zhang, L.; Wei, X.-H.; Wang, Q. Molecular dynamics of paclitaxel encapsulated by salicylic acid-grafted chitosan oligosaccharide aggregates. Biomaterials 2013, 34, 1843–1851. [Google Scholar] [CrossRef] [PubMed]
- Benson, S.P.; Pleiss, J. Molecular dynamics simulations of self-emulsifying drug-delivery systems (SEDDS): Influence of excipients on droplet nanostructure and drug localization. Langmuir 2014, 30, 8471–8480. [Google Scholar] [CrossRef] [PubMed]
- Mazerski, J.; Borowski, E. Molecular dynamics of amphotericin B I. Single molecule in vacuum and water. Biophys. Chem. 1995, 54, 49–60. [Google Scholar] [CrossRef]
- Mazerski, J.; Borowski, E. Molecular dynamics of amphotericin B. II. Dimer in water. Biophys. Chem. 1996, 57, 205–217. [Google Scholar] [CrossRef]
- Czub, J.; Neumann, A.; Borowski, E.; Baginski, M. Influence of a lipid bilayer on the conformational behavior of amphotericin B derivatives—A molecular dynamics study. Biophys. Chem. 2009, 141, 105–116. [Google Scholar] [CrossRef] [PubMed]
- Baginski, M.; Resat, H.; McCammon, J.A. Molecular properties of amphotericin b membrane channel: A molecular dynamics simulation. Mol. Pharmacol. 1997, 52, 560–570. [Google Scholar] [PubMed]
- Silberstein, A. Conformational analysis of amphotericin B—cholesterol channel complex. J. Membr. Biol. 1998, 162, 117–126. [Google Scholar] [CrossRef]
- Czub, J.; Baginski, M. Modulation of amphotericin B membrane interaction by cholesterol and ergosterola molecular dynamics study. J. Phys. Chem. B 2006, 110, 16743–16753. [Google Scholar] [CrossRef] [PubMed]
- Sternal, K.; Czub, J.; Baginski, M. Molecular aspects of the interaction between amphotericin B and a phospholipid bilayer: Molecular dynamics studies. J. Mol. Model. 2004, 10, 223–232. [Google Scholar] [PubMed]
- Baginski, M.; Resat, H.; Borowski, E. Comparative molecular dynamics simulations of amphotericin B-cholesterol/ergosterol membrane channels. Biochim. Biophys. Acta Biomembr. 2002, 1567, 63–78. [Google Scholar] [CrossRef]
- Baran, M.; Mazerski, J. Molecular modelling of amphotericin B–ergosterol primary complex in water. Biophys. Chem. 2002, 95, 125–133. [Google Scholar] [CrossRef]
- Anachi, R.B.; Bansal, M.; Easwaran, K.R.K.; Namboodri, K.; Gaber, B.P. Molecular modeling studies on amphotericin B and its complex with phospholipid. J. Biomol. Struct. Dyn. 1995, 12, 957–970. [Google Scholar] [CrossRef] [PubMed]
- Neumann, A.; Czub, J.; Baginski, M. On the possibility of the amphotericin B-Sterol complex formation in cholesterol- and ergosterol-containing lipid bilayers: A molecular dynamics study. J. Phys. Chem. B 2009, 113, 15875–15885. [Google Scholar] [CrossRef] [PubMed]
- Neumann, A.; Baginski, M.; Winczewski, S.; Czub, J. The effect of sterols on amphotericin B self-aggregation in a lipid bilayer as revealed by free energy simulations. Biophys. J. 2013, 104, 1485–1494. [Google Scholar] [CrossRef] [PubMed]
- Czub, J.; Borowski, E.; Baginski, M. Interactions of amphotericin B derivatives with lipid membranes—A molecular dynamics study. Biochim. Biophys. Acta Biomembr. 2007, 1768, 2616–2626. [Google Scholar] [CrossRef] [PubMed]
- Baran, M.; Borowski, E.; Mazerski, J. Molecular modeling of amphotericin B-ergosterol primary complex in water II. Biophys. Chem. 2009, 141, 162–168. [Google Scholar] [CrossRef] [PubMed]
- Resat, H.; Sungur, F.; Baginski, M.; Borowski, E.; Aviyente, V. Conformational properties of amphotericin B amide derivatives—impact on selective toxicity. J. Comput. Aided Mol. 2000, 14, 689–703. [Google Scholar]
- Loverde, S.M.; Klein, M.L.; Discher, D.E. Nanoparticle shape improves delivery: Rational coarse grain molecular dynamics (rCG-MD) of taxol in worm-like PEG-PCL micelles. Adv. Mater. 2012, 24, 3823–3830. [Google Scholar] [CrossRef] [PubMed]
- Borowski, E.; Zieliński, J.; Ziminski, T.; Falkowski, L.; Kołodziejczyk, P.; Golik, J.; Jereczek, E.; Adlercreutz, H. Chemical studies with amphotericin B III. The complete structure of the antibiotic. Tetrahedron Lett. 1970, 11, 3909–3914. [Google Scholar] [CrossRef]
- Iman, M.; Huang, Z.; Szoka, F.C., Jr.; Jaafari, M.R. Characterization of the colloidal properties, in vitro antifungal activity, antileishmanial activity and toxicity in mice of a distigmasterylhemisuccinoyl-glycero-phosphocholine liposome-intercalated amphotericin B. Int. J. Pharm. 2011, 408, 163–172. [Google Scholar] [CrossRef] [PubMed]
- Silva, A.E.; Barratt, G.; Chéron, M.; Egito, E.S.T. Development of oil-in-water microemulsions for the oral delivery of amphotericin B. Int. J. Pharm. 2013, 454, 641–648. [Google Scholar] [CrossRef] [PubMed]
- Hussain, A.; Samad, A.; Nazish, I.; Ahmed, F.J. Nanocarrier-based topical drug delivery for an antifungal drug. Drug Dev. Ind. Pharm. 2014, 40, 527–541. [Google Scholar] [CrossRef] [PubMed]
- Hussain, A.; Samad, A.; Singh, S.K.; Ahsan, M.N.; Haque, M.W.; Faruk, A.; Ahmed, F.J. Nanoemulsion gel-based topical delivery of an antifungal drug: In vitro activity and in vivo evaluation. Drug Deliv. 2015, 1–16. [Google Scholar]
- Wasan, E.K.; Bartlett, K.; Gershkovich, P.; Sivak, O.; Banno, B.; Wong, Z.; Gagnon, J.; Gates, B.; Leon, C.G.; Wasan, K.M. Development and characterization of oral lipid-based Amphotericin B formulations with enhanced drug solubility, stability and antifungal activity in rats infected with Aspergillus fumigatus or Candida albicans. Int. J. Pharm. 2009, 372, 76–84. [Google Scholar] [CrossRef] [PubMed]
- Bhattacharyya, A.; Bajpai, M. Oral bioavailability and stability study of a self-emulsifying drug delivery system (SEDDS) of amphotericin B. Curr. Drug Deliv. 2013, 10, 542–547. [Google Scholar] [CrossRef] [PubMed]
- Marrink, S.J.; Risselada, H.J.; Yefimov, S.; Tieleman, D.P.; de Vries, A.H. The MARTINI force field: Coarse grained model for biomolecular simulations. J. Phys. Chem. B 2007, 111, 7812–7824. [Google Scholar] [CrossRef] [PubMed]
- López, C.A.; Rzepiela, A.J.; de Vries, A.H.; Dijkhuizen, L.; Hünenberger, P.H.; Marrink, S.J. Martini coarse-grained force field: Extension to carbohydrates. J. Chem. Theory. Comput. 2009, 5, 3195–3210. [Google Scholar] [CrossRef] [PubMed]
- Risselada, H.J.; Marc, F.; Xavier, P.; Siewert, J.M. The MARTINI force field. In Coarse-Graining of Condensed Phase and Biomolecular Systems; Voth, G.A., Ed.; CRC Press: Boca Raton, FL, USA, 2008; pp. 5–19. [Google Scholar]
- Kumari, H.; Kline, S.R.; Atwood, J.L. Aqueous solubilization of hydrophobic supramolecular metal-organic nanocapsules. Chem. Sci. 2014, 5, 2554–2559. [Google Scholar] [CrossRef]
- Amani, A.; York, P.; de Waard, H.; Anwar, J. Molecular dynamics simulation of a polysorbate 80 micelle in water. Soft Matter 2011, 7, 2900–2908. [Google Scholar] [CrossRef]
- Chen, S.H. Small angle neutron scattering studies of the structure and interaction in micellar and microemulsion systems. Annu. Rev. Phys. Chem. 1986, 37, 351–399. [Google Scholar] [CrossRef]
- Tang, X.; Huston, K.J.; Larson, R.G. Molecular Dynamics simulations of structure–property relationships of tween 80 surfactants in water and at interfaces. J. Phys. Chem. B 2014, 118, 12907–12918. [Google Scholar] [CrossRef] [PubMed]
- Verbrugghe, M.; Cocquyt, E.; Saveyn, P.; Sabatino, P.; Sinnaeve, D.; Martins, J.C.; Van der Meeren, P. Quantification of hydrophilic ethoxylates in polysorbate surfactants using diffusion NMR spectroscopy. J. Pharm. Biomed. Anal. 2010, 51, 583–589. [Google Scholar] [CrossRef] [PubMed]
- Velinova, M.; Sengupta, D.; Tadjer, A.V.; Marrink, S.-J. Sphere-to-rod transitions of nonionic surfactant micelles in aqueous solution modeled by molecular dynamics simulations. Langmuir 2011, 27, 14071–14077. [Google Scholar] [CrossRef] [PubMed]
- Al-Anber, Z.A.; Bonet i Avalos, J.; Floriano, M.A.; Mackie, A.D. Sphere-to-rod transitions of micelles in model nonionic surfactant solutions. J. Chem. Phys. 2003, 118, 3816–3826. [Google Scholar] [CrossRef]
- Rosen, M.J. Surfactants and Interfacial Phenomena, 2nd ed.; Wiley-Interscience: New York, NY, USA, 1989; pp. 108–143. [Google Scholar]
- Christian, D.A.; Cai, S.; Garbuzenko, O.B.; Harada, T.; Zajac, A.L.; Minko, T.; Discher, D.E. Flexible filaments for in vivo imaging and delivery: Persistent circulation of filomicelles opens the dosage window for sustained tumor shrinkage. Mol. Pharm. 2009, 6, 1343–1352. [Google Scholar] [CrossRef] [PubMed]
- Shinoda, W.; DeVane, R.; Klein, M.L. Coarse-grained molecular modeling of non-ionic surfactant self-assembly. Soft Matter 2008, 4, 2454–2462. [Google Scholar] [CrossRef]
- Chandler, D. Interfaces and the driving force of hydrophobic assembly. Nature 2005, 437, 640–647. [Google Scholar] [CrossRef] [PubMed]
- Stephenson, B.C.; Goldsipe, A.; Blankschtein, D. Molecular dynamics simulation and thermodynamic modeling of the self-assembly of the triterpenoids asiatic acid and madecassic acid in aqueous solution. J. Phys. Chem. B 2008, 112, 2357–2371. [Google Scholar] [CrossRef] [PubMed]
- Attwood, D.; Florence, A.T. Surfactant Systems: Their Chemistry, Pharmacy and Biology, 1st ed.; Chapman and Hall: Orange, CA, USA, 1983; pp. 229–381. [Google Scholar]
- Mahato, R.I.; Narang, A.S. Pharmaceutical Dosage Forms and Drug Delivery, 2nd ed.; CRC Press: Boca Raton, FL, USA, 2011; pp. 179–195. [Google Scholar]
- Han, K.; Miah, J.; Shanmugam, S.; Yong, C.; Choi, H.-G.; Kim, J.; Yoo, B. Mixed micellar nanoparticle of amphotericin b and poly styrene-block-poly ethylene oxide reduces nephrotoxicity but retains antifungal activity. Arch. Pharm. Res. 2007, 30, 1344–1349. [Google Scholar] [PubMed]
- Espuelas, M.S.; Legrand, P.; Cheron, M.; Barratt, G.; Puisieux, F.; Devissaguet, J.P.; Irache, J.M. Interaction of amphotericin B with polymeric colloids: A spectroscopic study. Colloids. Surf. B Biointerfaces 1998, 11, 141–151. [Google Scholar] [CrossRef]
- Sun, Q.; Radosz, M.; Shen, Y. Challenges in design of translational nanocarriers. J. Control. Release 2012, 164156–164169. [Google Scholar] [CrossRef] [PubMed]
- Amiji, M.M. Nanotechnology for Cancer Therapy; CRC Press: Boca Raton, FL, USA, 2006; pp. 315–356. [Google Scholar]
- Cai, K.; He, X.; Song, Z.; Yin, Q.; Zhang, Y.; Uckun, F.M.; Jiang, C.; Cheng, J. Dimeric drug polymeric nanoparticles with exceptionally high drug loading and quantitative loading efficiency. J. Am. Chem. Soc. 2015, 137, 3458–3461. [Google Scholar] [CrossRef] [PubMed]
- Choucair, A.; Eisenberg, A. Interfacial solubilization of model amphiphilic molecules in block copolymer micelles. J. Am. Chem. Soc. 2003, 125, 11993–12000. [Google Scholar] [CrossRef] [PubMed]
- Guo, X.D.; Qian, Y.; Zhang, C.Y.; Nie, S.Y.; Zhang, L.J. Can drug molecules diffuse into the core of micelles? Soft Matter 2012, 8, 9989–9995. [Google Scholar] [CrossRef]
- Lavasanifar, A.; Samuel, J.; Kwon, G.S. Poly(ethylene oxide)-block-poly(l-amino acid) micelles for drug delivery. Adv. Drug Deliv. Rev. 2002, 54, 169–190. [Google Scholar] [CrossRef]
- Xiang, T.-X.; Anderson, B.D. Liposomal drug transport: A molecular perspective from molecular dynamics simulations in lipid bilayers. Adv. Drug Deliv. Rev. 2006, 58, 1357–1378. [Google Scholar] [CrossRef] [PubMed]
- Teng, Y.; Morrison, M.E.; Munk, P.; Webber, S.E.; Procházka, K. Release Kinetics studies of aromatic molecules into water from block polymer micelles. Macromolecules 1998, 31, 3578–3587. [Google Scholar] [CrossRef]
- Bromberg, L.; Magner, E. Release of hydrophobic compounds from micellar solutions of hydrophobically modified polyelectrolytes. Langmuir 1999, 15, 6792–6798. [Google Scholar] [CrossRef]
- Wang, J.; Mongayt, D.; Torchilin, V.P. Polymeric micelles for delivery of poorly soluble drugs: Preparation and anticancer activity in vitro of paclitaxel incorporated into mixed micelles based on poly(ethylene glycol)-lipid conjugate and positively charged lipids. J. Drug Target 2005, 13, 73–80. [Google Scholar] [CrossRef] [PubMed]
- Khalid, M.; Simard, P.; Hoarau, D.; Dragomir, A.; Leroux, J.-C. Long circulating poly(ethylene glycol)-decorated lipid nanocapsules deliver docetaxel to solid tumors. Pharm. Res. 2006, 23, 752–758. [Google Scholar] [CrossRef] [PubMed]
- Mitragotri, S.; Burke, P.A.; Langer, R. Overcoming the challenges in administering biopharmaceuticals: Formulation and delivery strategies. Nat. Rev. Drug Discov. 2014, 13, 655–672. [Google Scholar] [CrossRef] [PubMed]
- Mashayekhi, R.; Mobedi, H.; Najafi, J.; Enayati, M. In-vitro/In-vivo comparison of leuprolide acetate release from an in-situ forming plga system. Daru 2013, 21, 57. [Google Scholar] [CrossRef] [PubMed]
- Vakil, R.; S. Kwon, G. Effect of cholesterol on the release of Amphotericin B from PEG-phospholipid micelles. Mol. Pharm. 2008, 5, 98–104. [Google Scholar] [CrossRef] [PubMed]
- Yang, Z.L.; Li, X.R.; Yang, K.W.; Liu, Y. Amphotericin B-loaded poly(ethylene glycol)–poly(lactide) micelles: Preparation, freeze-drying, and in vitro release. J. Biomed. Mater. Res. A 2008, 85A, 539–546. [Google Scholar] [CrossRef] [PubMed]
- Kumar, V.; Gupta, P.K.; Pawar, V.K.; Verma, A.; Khatik, R.; Tripathi, P.; Shukla, P.; Yadav, B.; Parmar, J.; Dixit, R.; et al. In-Vitro and In-Vivo Studies on Novel Chitosan-g-pluronic F-127 copolymer based nanocarrier of Amphotericin B for improved antifungal activity. J. Biomater. Tissue Eng. 2014, 4, 210–216. [Google Scholar] [CrossRef]
- Jee, J.-P.; McCoy, A.; Mecozzi, S. Encapsulation and release of Amphotericin B from an ABC triblock fluorous copolymer. Pharm. Res. 2012, 29, 69–82. [Google Scholar] [CrossRef] [PubMed]
- Gadelle, F.; Koros, W.J.; Schechter, R.S. Solubilization of aromatic solutes in block copolymers. Macromolecules 1995, 28, 4883–4892. [Google Scholar] [CrossRef]
- Podo, F.; Ray, A.; Nemethy, G. Structure and hydration of nonionic detergent micelles. High resolution nuclear magnetic resonance study. J. Am. Chem. Soc. 1973, 95, 6164–6171. [Google Scholar] [CrossRef]
- Dill, K.A.; Flory, P.J. Molecular organization in micelles and vesicles. Proc. Natl. Acad. Sci. USA 1981, 78, 676–680. [Google Scholar] [CrossRef] [PubMed]
- Yu, B.G.; Okano, T.; Kataoka, K.; Kwon, G. Polymeric micelles for drug delivery: Solubilization and haemolytic activity of amphotericin B. J. Control. Release 1998, 53, 131–136. [Google Scholar] [CrossRef]
- Vandermeulen, G.; Rouxhet, L.; Arien, A.; Brewster, M.E.; Préat, V. Encapsulation of amphotericin B in poly(ethylene glycol)-block-poly(ε-caprolactone-co-trimethylenecarbonate) polymeric micelles. Int. J. Pharm. 2006, 309, 234–240. [Google Scholar] [CrossRef] [PubMed]
- Adams, M.; Kwon, G.S. Spectroscopic investigation of the aggregation state of amphotericin B during loading, freeze-drying, and reconstitution of polymeric micelles. J. Pharm. Pharm. Sci. 2004, 7, 1–6. [Google Scholar] [PubMed]
- Lavasanifar, A.; Samuel, J.; Sattari, S.; Kwon, G. Block Copolymer micelles for the encapsulation and delivery of amphotericin B. Pharm. Res. 2002, 19, 418–422. [Google Scholar] [CrossRef] [PubMed]
- Adams, M.L.; Kwon, G.S. Relative aggregation state and hemolytic activity of amphotericin B encapsulated by poly(ethylene oxide)-block–poly(N-hexyl-l-aspartamide)-acyl conjugate micelles: Effects of acyl chain length. J. Control. Release 2003, 87, 23–32. [Google Scholar] [CrossRef]
- Hezaveh, S. Study the Interaction Mechanisms of Block Copolymers with Biological Interfaces. Ph.D. Thesis, The Jacobs University, Bremen, Germany, 2012. [Google Scholar]
- Tancrède, P.; Barwicz, J.; Jutras, S.; Gruda, I. The effect of surfactants on the aggregation state of amphotericin B. Biochim. Biophys. Acta 1990, 1030, 289–295. [Google Scholar] [CrossRef]
- Berendsen, H.J.C.; van der Spoel, D.; van Drunen, R. GROMACS: A message-passing parallel molecular dynamics implementation. Comput. Phys. Commun. 1995, 91, 43–56. [Google Scholar] [CrossRef]
- Humphrey, W.; Dalke, A.; Schulten, K. VMD: Visual molecular dynamics. J. Mol. Graph. 1996, 14, 33–38. [Google Scholar] [CrossRef]
- Sample Availability: Not Applicable.
© 2015 by the authors. Licensee MDPI, Basel, Switzerland. This article is an open access article distributed under the terms and conditions of the Creative Commons by Attribution (CC-BY) license ( http://creativecommons.org/licenses/by/4.0/).
Share and Cite
Mobasheri, M.; Attar, H.; Rezayat Sorkhabadi, S.M.; Khamesipour, A.; Jaafari, M.R. Solubilization Behavior of Polyene Antibiotics in Nanomicellar System: Insights from Molecular Dynamics Simulation of the Amphotericin B and Nystatin Interactions with Polysorbate 80. Molecules 2016, 21, 6. https://doi.org/10.3390/molecules21010006
Mobasheri M, Attar H, Rezayat Sorkhabadi SM, Khamesipour A, Jaafari MR. Solubilization Behavior of Polyene Antibiotics in Nanomicellar System: Insights from Molecular Dynamics Simulation of the Amphotericin B and Nystatin Interactions with Polysorbate 80. Molecules. 2016; 21(1):6. https://doi.org/10.3390/molecules21010006
Chicago/Turabian StyleMobasheri, Meysam, Hossein Attar, Seyed Mehdi Rezayat Sorkhabadi, Ali Khamesipour, and Mahmoud Reza Jaafari. 2016. "Solubilization Behavior of Polyene Antibiotics in Nanomicellar System: Insights from Molecular Dynamics Simulation of the Amphotericin B and Nystatin Interactions with Polysorbate 80" Molecules 21, no. 1: 6. https://doi.org/10.3390/molecules21010006
APA StyleMobasheri, M., Attar, H., Rezayat Sorkhabadi, S. M., Khamesipour, A., & Jaafari, M. R. (2016). Solubilization Behavior of Polyene Antibiotics in Nanomicellar System: Insights from Molecular Dynamics Simulation of the Amphotericin B and Nystatin Interactions with Polysorbate 80. Molecules, 21(1), 6. https://doi.org/10.3390/molecules21010006

