Abstract
Herein, we report our preliminary results concerning the first promising asymmetric synthesis of highly functionalized 2-oxospiro-[indole-3,4′-(1′,4′-dihydropyridine)] via the reaction of an enamine with isatylidene malononitrile derivatives in the presence of a chiral base organocatalyst. The moderate, but promising, enantioselectivity observed (30%–58% ee (enantiomeric excess)) opens the door to a new area of research for the asymmetric construction of these appealing spirooxindole skeletons, whose enantioselective syntheses are still very limited.
1. Introduction
In the last few years, the development of new synthetic methods leading to spirooxindoles has aroused remarkable interest [1,2,3,4,5,6]. This structural motif can be found in natural and non-natural products, and its relevance is in part due to its challenging architecture, but also because many of these scaffolds exhibit interesting biological activity (Figure 1) [7,8,9,10,11,12]. Moreover, the potential of isatins to act both as an electrophile and as a nucleophile in many reactions and their easy availability have made them valuable building blocks in organic synthesis, attracting the attention of many scientists [13,14,15].
Figure 1.
Representative structures of biologically-active spirooxindoles.
Figure 1.
Representative structures of biologically-active spirooxindoles.

Moreover, 1,4-dihydropyridine derivatives are a significant class of heterocyclic compounds frequently found in natural products, and many of them also exhibit pharmacological properties [16,17,18,19,20]. As in other drugs, the role of the stereochemistry at C-4 can disclose both qualitative and quantitative differences in the biological activity. Thus, the control of the stereoselectivity in these chiral centers becomes an inspiring task of research, and therefore, there is growing interest for the development of enantioselective methods. Additionally, the generation of quaternary carbon centers is a very active and challenging area of investigation [21,22,23,24,25,26,27,28].
Thus, combining the interest and biological importance of spirooxindoles and 1,4-dihydropyridines and the search for new analogues with novel synergic properties, together with the increasing concern for sustainability, which makes essential the continuous search for new efficient catalytic procedures, encouraged us to explore a new route for the asymmetric synthesis of 2-oxospiro-[indole-3,4′-(1′,4′-dihydropyridine)] via asymmetric organocatalysis [29,30,31,32,33,34].
2. Results and Discussion
2.1. Hypothesis of Work
As part of our ongoing research program about the synthesis of new chiral isatin derivatives, we focused our attention on 2-oxospiro-[indole-3,4′-(1′,4′-dihydropyridine)], in particular on its racemic synthesis reported by Perumal [35] and Yan [36]. Both groups used the same multicomponent strategy employing Et3N under reflux of EtOH (Scheme 1a). However, it is remarkable that Dabiri and Bazgir’s group obtained pyrano-fused spirooxindoles [37], instead of dihydropyridine-fused spirooxindoles, under very similar conditions [38,39].
Scheme 1.
(a) Multicomponent synthesis of racemic 2-oxospiro-[indole-3,4′-(1′,4′-dihydropyridines)] and the mechanistic hypothesis in previous work; (b) enantioselective organocatalytic synthesis of enantioenriched 2-oxospiro-[indole-3,4′-(1′,4′-dihydropyridines)] 3 in our work.
Scheme 1.
(a) Multicomponent synthesis of racemic 2-oxospiro-[indole-3,4′-(1′,4′-dihydropyridines)] and the mechanistic hypothesis in previous work; (b) enantioselective organocatalytic synthesis of enantioenriched 2-oxospiro-[indole-3,4′-(1′,4′-dihydropyridines)] 3 in our work.

The authors invoked a mechanism wherein a basic medium, isatin and malononitrile, condenses to give an intermediate that reacts with the enamine formed from the acetylenedicarboxylate and the amine (Scheme 1a). Based on this previous work and our experience with Brønsted bases as organocatalysts [40,41,42], we envisioned that a chiral organic base could promote this appealing and controversial reaction, starting directly from the preformed intermediates, enamines 1 and isatylidene malononitriles 2, to give enantioenriched spirooxindoles 3 (Scheme 1b).
2.2. Synthesis of Starting Materials: Enamines 1 and Isatylidene Malononitriles 2
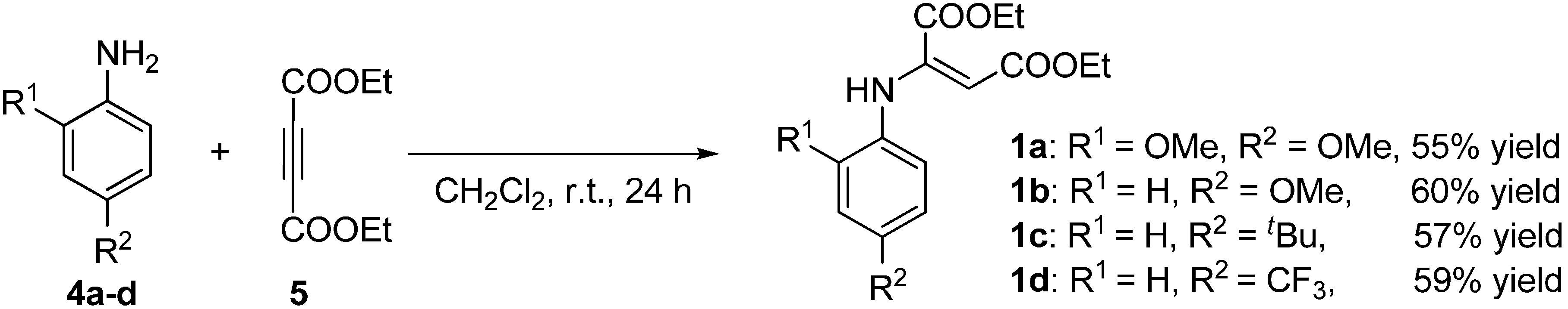
For this purpose, we firstly synthesized four different enamines 1a–d in one synthetic step, as described in Scheme 2 [43,44].
Scheme 2.
Preparation of the enamines 1a–d.
Scheme 2.
Preparation of the enamines 1a–d.

The synthesis of three differently-protected isatylidene malononitriles 2a–c was also accomplished (Scheme 3), since the protection of the isatins has been found to be important in the reactivity and enantioselectivity of different processes [13,14,15].
Scheme 3.
Synthesis of the N-protected 2-(2-oxoindolin-3-ylidene)malononitriles 2a–c.
Scheme 3.
Synthesis of the N-protected 2-(2-oxoindolin-3-ylidene)malononitriles 2a–c.

The syntheses are performed in two steps: first, with the protection of the isatin 6 and, then, a Knoevenagel condensation with malononitrile, affording very good yields for each step, after column chromatography.
2.3. Screening
To test the viability of our hypothesis, we studied the efficiency of different organocatalysts I–VIII (Figure 2) in a model reaction between enamine 1a and isatylidene malononitrile 2a (Table 1).
Figure 2.
Model organocatalysts tested (I–VIII).
Figure 2.
Model organocatalysts tested (I–VIII).

Table 1.
Screening of catalysts I–VIII for the synthesis of chiral spirooxindole 3aa.
| Entry | Cat. a (mol %) | 1a (mmol) | 2a (mmol) | MeCN (mL) | t (d) | yield (%) b | ee c (%) d |
|---|---|---|---|---|---|---|---|
| 1 | I (10) | 0.2 | 0.1 | 1 | 5 | 15 | Rac. e |
| 2 | II (30) | 0.12 | 0.06 | 0.3 | 5 | 3 | 4 |
| 3 | III (30) | 0.12 | 0.06 | 0.3 | 5 | 16 | Rac. e |
| 4 | IV (30) | 0.2 | 0.1 | 1 | 5 | 77 | 5 |
| 5 | V (30) | 0.2 | 0.1 | 1 | 5 | 35 | 5 |
| 6 | VI (30) | 0.2 | 0.1 | 1 | 5 | 38 | Rac. e |
| 7 | VII (30) | 0.2 | 0.1 | 1 | 5 | 30 | 42 |
| 8 | VIII (30) | 0.2 | 0.1 | 1 | 5 | n.r. f | n.d. g |
a Catalyst; b isolated yields after column chromatography; c enantiomeric excess; d determined by chiral HPLC analysis (Daicel Chiralpak IB, Hex:EtOAc 6:4, 1 mL·min−1); e racemic mixture; f no reaction observed; g not determined.
As shown in Table 1, although the best reactivity was obtained with quinine (IV) (Entry 4), the most promising ee value was found with thiourea VII, known as Takemoto’s catalyst [45,46,47,48,49,50] (Entry 7). Interestingly, phosphoric acid VIII did not promote the reaction as expected, since the presence of a Brønsted base is believed to be crucial for the activation of this system, as previously reported [35,36] (Entry 8).
The influence of the substituents of the aromatic ring in the enamine component 1, over the reactivity and enantioselectivity of the process, was then considered in its reaction with benzyl-protected isatylidene malononitrile 2a (Scheme 4).
Scheme 4.
Effect of the substituents in the phenyl ring of the enamines 1a–d.
Scheme 4.
Effect of the substituents in the phenyl ring of the enamines 1a–d.

The results suggest a clear influence of the electronic effects of the enamine ring 1 in both the reactivity and the enantioselectivity of the process, although the pattern of correlation is not clear at this point. Thus, while better reactivity was afforded with enamine 1c (71% yield), the best enantioselectivity was reached with the dimethoxy substituted enamine 1a (42% ee). In addition, untreatable reaction crude was observed with enamine 1d.
Moreover, since the protecting group of the isatin scaffold can be relevant in the process, two additional protecting groups (allyl and ethyl) were tested in the reaction with enamine 1b (Scheme 5).
Scheme 5.
Influence of the protecting group on isatylidene malononitrile 2.
Scheme 5.
Influence of the protecting group on isatylidene malononitrile 2.

Although the enantioselectivity of the process was similar in the three cases, the reactivity was slightly higher with the firstly used, i.e., benzyl-protected isatylidene malononitrile 2a.
Interestingly, an X-ray diffraction structure of compound 3bb was obtained, and it is shown as evidence of the high complexity and functionalization of final target products (Figure 3) [51]. This structure is in agreement with the kind of molecules obtained by groups of Perumal and Yan through their multicomponent approaches [35,36].
Figure 3.
X-ray structure of adduct 3bb.
Figure 3.
X-ray structure of adduct 3bb.

Taking into account the above-mentioned results, summarized in Figure 4, we continued testing different key parameters, such as catalyst loading, concentration and solvent, with enamine 1a and isatylidene malononitrile 2a, which afford the best value of enantioselectivity in the final product (42% ee) using 30 mol % of catalyst VII (Table 2).
Figure 4.
Summary of the comparative studies of (a) differently-substituted enamine 1 and (b) differently protected isatylidene malononitrile 2.
Figure 4.
Summary of the comparative studies of (a) differently-substituted enamine 1 and (b) differently protected isatylidene malononitrile 2.

Table 2.
Additional screening of the reaction.
| Entry | VII (mol %) | Solvent (mL) | yield (%) a | ee (%) b |
|---|---|---|---|---|
| 1 | 30 | MeCN (1) | 30 | 42 |
| 2 | 20 | MeCN (1) | 25 | 23 |
| 3 | 10 | MeCN (1) | 29 | 11 |
| 4 | 30 | MeCN (0.5) | 55 | 46 |
| 5 | 30 | EtOH (0.5) | 12 | 14 |
| 6 | 30 | EtOAc (0.5) | 31 | 20 |
| 7 | 30 | THF (0.5) | 13 | 16 |
| 8 | 30 | Toluene (0.5) | 29 | 14 |
| 9 | 30 | CH2Cl2 (0.5) | 49 | 26 |
| 10 | 30 | CHCl3 (0.5) | 48 | 16 |
a Isolated yields after column chromatography; b determined by chiral HPLC analysis (Daicel Chiralpak IB, Hex:EtOAc 6:4, 1 mL·min−1).
We firstly analyzed the effect of the catalyst loading (Entries 1–3), and no improvement was found lowering the amount of catalyst to 20 and 10 mol %. Then, we concentrated the reaction medium, getting slightly improved results (Entry 4). The exploration of the solvents (Entries 4–10), which was performed at the latter concentration, showed MeCN to be the best solvent in this case (Entry 4). As a conclusion, the best reaction conditions of those explored in this work were found to be 30 mol % of catalyst VII and 0.5 mL of MeCN as the solvent (Entry 4).
2.4. Scope of the Reaction
With the aim of exploring the generality of this reaction, various isatylidene malononitrile derivatives 2aa′–ad′ were studied under the optimized reaction conditions [52] (Scheme 6).
Scheme 6.
Scope of the organocatalyzed synthesis of 2-oxospiro-[indole-3,4′-(1′,4′-dihydropyridines)] 3aaa′–aad′.
Scheme 6.
Scope of the organocatalyzed synthesis of 2-oxospiro-[indole-3,4′-(1′,4′-dihydropyridines)] 3aaa′–aad′.

The final adducts 3aaa′–aad′ were obtained with moderate to good yield (40%–82%) and with moderate enantioselectivity (30%–58% ee). The results suggest the dependence of the reactivity of the process with the electronic properties of the aromatic ring of the isatin, since derivative 2ab′ (40% yield), with two methyl groups in its structure, was less reactive than those bearing an electron-withdrawing group in their structures (2aa′, 2ac′ and 2ad′ (65%–82% yield)) or the one without substituent (2a (55% yield)). In contrast, the enantioselectivity of the process seems to be independent of the electronic environment in the isatin skeleton.
2.5. Mechanism of the Reaction
Based on the previous reported mechanism for the non-asymmetric version of this reaction [35,36] and our experimental results, we propose the tentative mechanism depicted in Scheme 7.
Scheme 7.
Plausible reaction mechanism. (A) Michael addition; (B) Intramolecular cyclization; (C) Tautomerization.
Scheme 7.
Plausible reaction mechanism. (A) Michael addition; (B) Intramolecular cyclization; (C) Tautomerization.

Initially, isatylidene malononitrile 2 would undergo a Michael addition with the enamine 1 in a concomitant coordination of both species with the catalyst VII (A). Then, an intramolecular nucleophilic addition of the NH to a nitrile group would close the piperidine ring in the intermediate (B). Final product 3 would be formed after a subsequent tautomerization of the intermediate (C) (Scheme 7). Although at this stage, we cannot ensure the bifunctional role for the catalyst in this system [53,54], the experimental results suggest that the presence of both moieties in the skeleton, thiourea and Brønsted base seems to be crucial for the success of this process. Additional studies are actually ongoing in our lab in order to shed light on the mechanism and with the aim of improving the enantiomeric excess values obtained so far.
3. Experimental Section
3.1. General Experimental Methods
Purification of reaction products was carried out by flash chromatography using silica gel (0.063–0.200 mm). Analytical thin layer chromatography was performed on 0.25 mm silica gel 60-F plates. 1H-NMR spectra were recorded at 300 and 400 MHz; 13C-APT-NMR spectra were recorded at 75 and 100 MHz; CDCl3 as the solvent. Chemical shifts were reported in the δ scale relative to residual CHCl3 (7.26 ppm) for 1H-NMR and to the central line of CDCl3 (77.0 ppm) for 13C-APT-NMR.
3.2. Materials
All commercially available solvents and reagents were used as received. Catalyst I, II and III were synthesized following our reported protocol [55], and the NMR spectra (1H-NMR and 13C-APT-NMR) for them are consistent with values previously reported in the literature: I [56], II [57] and III [56].
3.3. Synthesis and Physical, Analytical and Spectral data of Starting Materials (1 and 2) and the Final Compound (3)
3.3.1. Synthesis of E-Enamines 1a–d
To a mixture of diethyl 2-butynedioate 5 (5 mmol) in 40 mL of CH2Cl2, the appropriated aniline 4a–d (10 mmol) was added at room temperature. The reaction vessel was covered with foil in order to prevent the decomposition of 5. The reaction mixture was stirred 24 h at room temperature. Then, the solvent was evaporated under vacuum, and the reaction crude was purified by column chromatography (SiO2, Hex:EtOAc 85:15) (see Scheme 2).
Diethyl 2-(2,4-Dimethoxyphenylamino)fumarate (1a): Following the general procedure, compound 1a was obtained as a yellow oil in a 55% yield. 1H-NMR (400 MHz, CDCl3) δ 1.06 (t, 3H, J = 7.1 Hz), 1.21 (t, 3H, J = 7.1 Hz), 3.69 (s, 3H), 3.72 (s, 3H), 4.07 (q, 2H, J = 7.1 Hz), 4.11 (q, 2H, J = 7.1 Hz), 5.22 (s, 1H), 6.30 (dd, 1H, J = 8.6 Hz, J = 2.6 Hz), 6.38 (d, 1H, J = 2.6 Hz), 6.70 (d, 1H, J = 8.7 Hz), 9.41 (s, 1H). 13C-APT-NMR (100 MHz, CDCl3) δ 13.8 (1C), 14.4 (1C), 55.5 (1C), 55.5 (1C), 59.7 (1C), 61.7 (1C), 91.0 (1C), 98.2 (1C), 103.8 (1C), 122.3 (1C), 122.9 (1C), 149.2 (1C), 152.5 (1C), 157.6 (1C), 164.2 (1C), 169.8 (1C).
Diethyl 2-(4-Methoxyphenylamino)fumarate (1b): Following the general procedure, Compound 1b was obtained as a yellow oil in a 60% yield [58].
Diethyl 2-(4-tert-Butylphenylamino)fumarate (1c): Following the general procedure, compound 1c was obtained as a yellow oil in a 57% yield. 1H-NMR (400 MHz, CDCl3) δ 0.97 (t, 3H, J = 7.1 Hz), 1.20 (t, 3H, J = 7.1 Hz), 1.20 (s, 9H), 4.06 (q, 2H, J = 7.1 Hz), 4.10 (q, 2H, J = 7.1 Hz), 5.24 (s, 1H), 6.77 (dt, 2H, J = 8.4 Hz, J = 1.8 Hz), 7.20 (dt, 2H, J = 8.6 Hz, J = 2.0 Hz), 9.57 (s, 1H). 13C-APT-NMR (100 MHz, CDCl3) δ 13.6 (1C), 14.4 (1C), 31.4 (3C), 34.3 (1C), 59.8 (1C), 61.9 (1C), 92.8 (1C), 120.9 (2C), 125.9 (2C), 137.8 (1C), 147.3 (1C), 148.9 (1C), 164.4 (1C), 169.6 (1C).
Diethyl 2-(4-(Trifluoromethyl)phenylamino)fumarate (1d): Following the general procedure, compound 1d was obtained as a yellow oil in a 59% yield. 1H-NMR (400 MHz, CDCl3) δ 1.16 (t, 3H, J = 7.1 Hz), 1.31 (t, 3H, J = 7.1 Hz), 4.21 (q, 4H, J = 7.1 Hz), 5.54 (s, 1H), 6.94 (d, 2H, J = 8.4 Hz), 7.52 (d, 2H, J = 8.4 Hz), 9.72 (s, 1H). 13C-APT-NMR (100 MHz, CDCl3) δ 13.7 (1C), 14.3 (1C), 60.3 (1C), 62.4 (1C), 97.0 (1C), 120.0 (2C), 126.3 (q, 2C, J = 3.79 Hz), 143.5 (1C), 146.8 (1C), 163.9 (1C), 169.2 (1C).
3.3.2. Synthesis of Isatylidene Malononitriles 2a–c and 2aa′–ad′
Protection of Isatin (6)
To a mixture of the protecting reagent RBr (0.2 mmol) and K2CO3 (0.138 g) in MeCN (10 mL), isatin (6) was added (0.147 g) at room temperature. After that, the reaction mixture was stirred 24 h at reflux. Then, the solvent was evaporated under vacuum, and the reaction crude was purified by column chromatography (SiO2, Hex:EtOAc 8:2), giving rise to the corresponding product 7 (see Scheme 3 and Scheme 8).
Scheme 8.
Synthesis of isatylidene malononitriles 2aa′–ad′, starting from isatins 6a′–d′.
Scheme 8.
Synthesis of isatylidene malononitriles 2aa′–ad′, starting from isatins 6a′–d′.

Knoevenagel Condensation
To a mixture of 7 (1 mmol) in EtOH (10 mL), malononitrile (66 mg) was added. After that, the mixture was heated 24 h at reflux. Then, the solvent was evaporated under vacuum, and the reaction crude was purified by column chromatography (SiO2, Hex:EtOAc 8:2), giving rise to the corresponding product 2 (see Scheme 3 and Scheme 8).
The NMR spectra are consistent with the values previously published for 2a [59], 2b [60] and 2c [61].
2-(1-Allyl-2-oxoindolin-3-ylidene)malononitrile (2b): Following the general procedure starting from isatin (6), compound 2b was obtained as a black solid in a 77% overall yield. 1H-NMR (400 MHz, CDCl3) δ 4.38 (dt, 2H, J = 5.5 Hz, J = 1.6 Hz), 5.29–5.31 (m, 1H), 5.33–5.34 (m, 1H), 5.83 (ddt, 1H, J = 17.3 Hz, J = 10.1 Hz, J = 5.5 Hz), 6.86–6.90 (m, 1H), 7.16 (dt, 1H, J = 7.8 Hz, J = 0.9 Hz), 7.56 (dt, 1H, J = 7.8 Hz, J = 1.2 Hz), 8.15 (d, 1H, J = 7.9 Hz).
2-(1-Benzyl-5-bromo-2-oxoindolin-3-ylidene)malononitrile (2aa′): Following the general procedure starting from isatin 6a′, compound 2aa′ was obtained as a black solid in a 74% yield. 1H-NMR (400 MHz, CDCl3) δ 4.91 (s, 2H), 6.68 (d, 2H, J = 8.5 Hz), 7.27–7.38 (m, 5H), 7.57 (dd, 1H, J = 8.5 Hz, J = 1.9 Hz), 8.21 (d, 1H, J = 1.8 Hz). 13C-APT-NMR (100 MHz, CDCl3) 44.3 (1C), 84.3 (1C), 110.2 (1C), 111.8 (1C), 112.1 (1C), 116.5 (1C), 119.6 (1C), 127.4 (2C), 128.5 (1C), 129.2 (3C), 133.6 (1C), 140.0 (1C), 144.9 (1C), 147.9 (1C), 162.0 (1C).
2-(1-Benzyl-5,7-dimethyl-2-oxoindolin-3-ylidene)malononitrile (2ab′): Following the general procedure starting from isatin 6b′, compound 2ab′ was obtained as a black solid in a 55% yield. 1H-NMR (400 MHz, CDCl3) δ 2.22 (s, 3H), 2.29 (s, 3H), 5.16 (s, 2H), 7.05 (br s, 1H), 7.15 (d, 2H, J = 6.8 Hz), 7.26–7.38 (m, 3H), 7.86 (br s, 1H). 13C-APT-NMR (100 MHz, CDCl3) δ 18.5 (1C), 20.6 (1C), 45.3 (1C), 81.8 (1C), 111.0 (1C), 112.6 (1C), 119.2 (1C), 121.4 (1C), 125.2 (1C), 125.6 (2C), 127.8 (1C), 129.1 (2C), 133.8 (1C), 136.0 (1C), 142.3 (1C), 142.7 (1C), 148.8 (1C), 163.9 (1C).
2-(1-Benzyl-5-chloro-2-oxoindolin-3-ylidene)malononitrile (2ac′): Following the general procedure starting from isatin 6c′ [62,63], compound 2ac′ was obtained as a black solid in a 57% yield. 1H-NMR (300 MHz, CDCl3) δ 4.91 (s, 2H), 6.72 (d, 1H, J = 8.5 Hz), 7.27–7.39 (m, 5H), 7.42 (dd, 1H, J = 8.5 Hz, J = 2.1 Hz), 8.08 (d, 1H, J = 2.0 Hz). 13C-APT-NMR (75 MHz, CDCl3) δ 44.3 (1C), 84.3 (1C), 110.2 (1C), 111.7 (1C), 111.8 (1C), 119.2 (1C), 126.4 (1C), 127.4 (2C), 128.5 (1C), 129.2 (2C), 129.6 (1C), 133.7 (1C), 137.1 (1C), 144.5 (1C), 148.1 (1C), 162.2 (1C).
2-(1-Benzyl-5-nitro-2-oxoindolin-3-ylidene)malononitrile (2ad′): Following the general procedure starting from isatin 6d′ [64,65], compound 2ad′ was obtained as a red solid in a 46% yield. 1H-NMR (400 MHz, CDCl3) δ 5.00 (s, 2H), 6.94 (d, 1H, J = 8.8 Hz), 7.29–7.41 (m, 5H), 8.40 (dd, 1H, J = 8.8 Hz, J = 2.2 Hz), 8.99 (d, 1H, J = 2.1 Hz). 13C-APT-NMR (100 MHz, CDCl3) δ 44.8 (1C), 86.4 (1C), 109.8 (1C), 110.5 (1C), 111.3 (1C), 118.2 (1C), 122.0 (1C), 127.5 (2C), 128.9 (1C), 129.4 (2C), 132.5 (1C), 133.0 (1C), 144.0 (1C), 146.8 (1C), 150.1 (1C), 162.5 (1C).
3.3.3. General Procedure for the Synthesis of Spirooxindoles 3
To a mixture of catalyst VII (30 mol %, 12.4 mg) and enamine 1a (0.2 mmol, 65 mg), in MeCN (0.5 mL), the isatin derivative 2 (0.1 mmol) was added. The reaction mixture was stirred 5 days at the indicated temperature. Then, the solvent was evaporated under vacuum, and the reaction crude was purified by column chromatography (SiO2, Hex:EtOAc 85:15), giving rise to the corresponding final adduct 3 (see Figure 4, Table 2 (Entry 4), and Scheme 6).
Diethyl 2′-Amino-1-benzyl-3′-cyano-1′-(2,4-dimethoxyphenyl)-2-oxo-1′H-spiro[indoline-3,4′-pyridine]-5′,6′-dicarboxylate (3aa): Following the general procedure (at room temperature), compound 3aa was obtained as a brown solid in a 55% yield. The ee of the product was determined to be 46% by HPLC using a Daicel Chiralpak IB column (n-hexane:EtOAc 60:40, flow rate 1 mL·min−1, λ = 251 nm): τmajor = 27.9 min; τminor = 16.3 min. 1H-NMR (400 MHz, CDCl3) δ 0.73 (t, 3H, J = 7.1 Hz), 1.03 (t, 3H, J = 7.1 Hz), 3.62–3.74 (m, 1H), 3.84 (s, 3H), 3.84–3.93 (m, 3H), 3.96 (s, 3H), 4.28 (s, 2H), 4.79 (d, 1H, J = 15.7 Hz), 5.16 (d, 1H, J = 15.7 Hz), 6.50–6.55 (m, 2H), 6.67 (d, 1H, J = 7.7 Hz), 7.00–7.07 (m, 1H), 7.15 (dt, 1H, J = 7.7 Hz, J = 1.2 Hz), 7.22–7.36 (m, 4H), 7.39 (dd, 1H, J = 7.3 Hz, J = 1.1 Hz), 7.48–7.50 (m, 2H). 13C-APT-NMR (75 MHz, CDCl3) δ 13.4 (1C), 13.6 (1C), 44.6 (1C), 55.7 (1C), 56.3 (1C), 60.7 (1C), 61.8 (1C), 62.3 (1C), 99.7 (1C), 103.6 (1C), 104.7 (1C), 109.0 (1C), 116.4 (1C), 118.5 (1C), 123.0 (1C), 124.3 (1C), 127.5 (1C), 127.7 (2C), 128.6 (2C), 128.7 (1C), 132.2 (1C), 135.3 (1C), 135.7 (2C), 142.0 (1C), 144.6 (1C), 151.5 (1C), 158.3 (1C), 162.4 (1C), 162.7 (1C), 164.0 (1C), 178.0 (1C).
Diethyl 2′-Amino-1-benzyl-3′-cyano-1′-(4-methoxyphenyl)-2-oxo-1′H-spiro[indoline-3,4′-pyridine]-5′,6′-dicarboxylate (3ba): Following the general procedure (at room temperature), compound 3ba was obtained as a brown solid in a 65% yield. The ee of the product was determined to be 30% by HPLC using a Daicel Chiralpak IC column (n-hexane:EtOAc 60:40, flow rate 1 mL·min−1, λ = 254 nm): τmajor = 6.7 min; τminor = 10.9 min. 1H-NMR (400 MHz, CDCl3) δ 0.64 (t, 3H, J = 7.1 Hz), 1.00 (t, 3H, J = 7.1 Hz), 3.57–3.65 (m, 1H), 3.85 (s, 3H), 3.87–3.92 (m, 3H), 4.28 (s, 2H), 4.83 (d, 1H, J = 15.7 Hz), 5.11 (d, 1H, J = 15.7 Hz), 6.70 (d, 1H, J = 7.7 Hz), 6.96–6.98 (m, 2H), 7.05 (dt, 1H, J = 7.6 Hz, J = 0.8 Hz), 7.17 (dt, 1H, J = 7.7 Hz, J = 1.3 Hz), 7.26 (tt, 1H, J = 7.3 Hz, J = 1.2 Hz), 7.31–7.40 (m, 5H), 7.47–7.49 (m, 2H). 13C-APT-NMR (75MHz, CDCl3) δ 13.3 (1C), 13.5 (1C), 44.5 (1C), 55.6 (1C), 60.7 (1C), 62.0 (1C), 62.2 (1C), 103.7 (1C), 109.0 (1C), 114.9 (2C), 118.2 (1C), 123.1 (1C), 124.1 (1C), 127.1 (1C), 127.5 (1C), 127.7 (2C), 128.7 (2C), 128.9 (1C), 131.7 (2C), 135.0 (1C), 135.7 (2C), 142.3 (1C), 144.1 (1C), 151.2 (1C), 160.9 (1C), 162.4 (1C), 164.0 (1C), 177.8 (1C).
Diethyl 2′-Amino-1-benzyl-1′-(4-tert-butylphenyl)-3′-cyano-2-oxo-1′H-spiro[indoline-3,4′-pyridine]-5′,6′-dicarboxylate (3ca): Following the general procedure (at room temperature), compound 3ca was obtained as a brown solid in a 71% yield. The ee of the product was determined to be 26% by HPLC using a Daicel Chiralpak IA column (n-hexane:EtOAc 70:30, flow rate 1 mL·min−1, λ = 254 nm): τmajor = 10.6 min; τminor = 18.2 min. 1H-NMR (400 MHz, CDCl3) δ 0.64 (t, 3H, J = 7.1 Hz), 0.85 (t, 3H, J = 7.1 Hz), 1.34 (s, 9H), 3.61 (dq, 1H, J = 10.8 Hz, J = 7.1 Hz), 3.82–3.92 (m, 3H), 4.27 (s, 2H), 4.84 (d, 1H, J = 15.7 Hz), 5.11 (d, 1H, J = 15.7 Hz), 6.71 (d, 1H, J = 7.7 Hz), 7.06 (dt, 1H, J = 7.4 Hz, J = 0.8 Hz), 7.17 (dt, 1H, J = 7.7 Hz, J = 1.3 Hz), 7.26 (tt, 1H, J = 7.3 Hz, J = 1.2 Hz), 7.32–7.41 (m, 5H), 7.47–7.52 (m, 4H). 13C-APT-NMR (100 MHz, CDCl3) δ 13.3 (2C), 31.2 (3C), 35.0 (1C), 44.6 (1C), 60.7 (1C), 61.9 (1C), 62.3 (1C), 103.7 (1C), 109.0 (1C), 118.3 (1C), 123.1 (1C), 124.1 (1C), 126.8 (2C), 127.6 (1C), 127.7 (2C), 128.7 (2C), 128.9 (1C), 130.0 (2C), 132.1 (1C), 135.0 (1C), 135.7 (2C), 142.3 (1C), 143.9 (1C), 151.0 (1C), 154.2 (1C), 162.4 (1C), 164.0 (1C), 177.8 (1C).
Diethyl 1-Allyl-2′-amino-3′-cyano-1′-(4-methoxyphenyl)-2-oxo-1′H-spiro[indoline-3,4′-pyridine]-5′,6′-dicarboxylate (3bb): Following the general procedure (at room temperature), compound 3bb was obtained as a brown solid in a 61% yield. The ee of the product was determined to be 30% by HPLC using a Daicel Chiralpak IC column (n-hexane:EtOAc 60:40, flow rate 1 mL·min−1, λ = 254 nm): τmajor = 7.8 min; τminor = 13.7 min. 1H-NMR (400 MHz, CDCl3) δ 0.79 (t, 3H, J = 7.1 Hz), 0.99 (t, 3H, J = 7.1 Hz), 3.73–3.81 (m, 1H), 3.85 (s, 3H), 3.86–3.93 (m, 3H), 4.21 (s, 2H), 4.22–4.27 (m, 1H), 4.53–4.61 (m, 1H), 5.25–5.29 (m, 1H), 5.42–5.48 (m, 1H), 5.86–5.96 (m, 1H), 6.86 (d, 1H, J = 6.8 Hz), 6.95–6.99 (m, 2H), 7.09 (dt, 1H, J = 7.5 Hz, J = 0.9 Hz), 7.26 (dt, 1H, J = 7.7 Hz, J = 1.3 Hz), 7.34–7.41 (m, 3H). 13C-APT-NMR (75 MHz, CDCl3) δ 13.4 (1C), 13.5 (1C), 42.9 (1C), 49.4 (1C), 55.7 (1C), 60.8 (1C), 62.0 (1C), 103.5 (1C), 108.9 (2C), 114.9 (1C), 117.9 (1C), 118.1 (1C), 123.1 (1C), 124.0 (1C), 127.0 (1C), 128.9 (1C), 131.3 (1C), 131.7 (2C), 134.9 (1C), 142.2 (1C), 144.0 (1C), 151.1 (1C), 160.9 (1C), 162.4 (1C), 163.9 (1C), 177.4 (1C).
Diethyl 2′-Amino-3′-cyano-1-ethyl-1′-(4-methoxyphenyl)-2-oxo-1′H-spiro[indoline-3,4′-pyridine]-5′,6′-dicarboxylate (3bc): Following the general procedure (at room temperature), compound 3bc was obtained as a brown solid in a 49% yield. The ee of the product was determined to be 32% by HPLC using a Daicel Chiralpak IC column (n-hexane:EtOAc 60:40, flow rate 1 mL·min−1, λ = 254 nm): τmajor = 9.9 min; τminor = 16.5 min. 1H-NMR (400 MHz, CDCl3) δ 0.76 (t, 3H, J = 7.1 Hz), 0.98 (t, 3H, J = 7.1 Hz), 1.33 (t, 3H, J = 7.2 Hz), 3.68–3.78 (m, 2H), 3.83 (s, 3H), 3.84–3.95 (m, 4H), 4.24 (s, 2H), 6.84 (d, 1H, J = 7.8 Hz), 6.94–6.97 (m, 2H), 7.06 (t, 1H, J = 7.5 Hz), 7.25–7.29 (m, 1H), 7.32–7.38 (m, 3H). 13C-RMN (100 MHz, CDCl3) δ 12.5 (1C), 13.4 (1C), 13.5 (1C), 35.1 (1C), 55.6 (1C), 60.7 (1C), 62.0 (1C), 64.7 (1C), 108.1 (1C), 114.9 (2C), 118.0 (1C), 123.0 (1C), 124.1 (1C), 127.1 (1C), 129.0 (1C), 131.7 (2C), 135.3 (1C), 142.1 (1C), 144.1 (1C), 151.0 (1C), 160.9 (1C), 162.5 (1C), 164.0 (1C), 177.2 (1C).
Diethyl 2′-Amino-1-benzyl-5-bromo-3′-cyano-1′-(2,4-dimethoxyphenyl)-2-oxo-1′H-spiro[indoline-3,4′-pyridine]-5′,6′-dicarboxylate (3aaa′): Following the general procedure (at 15 °C), compound 3aaa′ was obtained as a brown solid in an 82% yield. The ee of the product was determined to be 48% by HPLC using a Daicel Chiralpak IB column (n-hexane:EtOAc 60:40, flow rate 1 mL·min−1, λ = 256.4 nm): τmajor = 41.7 min; τminor = 15.9 min. 1H-NMR (300 MHz, CDCl3) δ 0.66 (t, 3H, J = 7.1 Hz), 0.96 (t, 3H, J = 7.2 Hz), 3.49–3.66 (m, 1H), 3.77 (s, 3H), 3.77–3.85 (m, 3H), 3.89 (s, 3H), 4.21 (br s, 2H), 4.71 (d, 1H, J = 15.7 Hz), 5.10 (d, 1H, J = 15.7 Hz), 6.44 (t, 1H, J = 9.8 Hz), 6.45 (t, 1H, J = 9.8 Hz), 6.60 (d, 1H, J = 7.8 Hz), 6.94–7.00 (m, 1H), 7.08 (dt, 1H, J = 7.7 Hz, J = 1.3 Hz), 7.18–7.34 (m, 4H), 7.42 (br d, 2H, J = 7.4 Hz). 13C-RMN (75 MHz, CDCl3) δ 13.4 (1C), 13.6 (1C), 44.6 (1C), 55.7 (1C), 55.7 (1C), 60.7 (1C), 61.8 (1C), 62.3 (1C), 99.6 (1C), 103.5 (1C), 104.7 (1C), 109.0 (1C), 116.3 (1C), 118.5 (1C), 123.0 (1C), 124.3 (1C), 127.7 (2C), 128.7 (2C), 128.7 (1C), 132.2 (1C), 135.3 (1C), 135.7 (1C), 141.9 (1C), 144.7 (1C), 151.5 (1C), 158.3 (1C), 162.4 (1C), 162.7 (1C), 164.0 (1C), 178.0 (1C).
Diethyl 2′-Amino-1-benzyl-3′-cyano-1′-(2,4-dimethoxyphenyl)-5,7-dimethyl-2-oxo-1′H-spiro[indoline-3,4′-pyridine]-5′,6′-dicarboxylate (3aab′): Following the general procedure (at 15 °C), compound 3aab′ was obtained as a brown solid in a 40% yield. The ee of the product was determined to be 30% by HPLC using a Daicel Chiralpak IB column (n-hexane:EtOAc 60:40, flow rate 1 mL·min−1, λ = 257 nm): τmajor = 43.9 min; τminor = 22.4 min. 1H-NMR (400 MHz, CDCl3) δ 0.91 (t, 3H, J = 7.1 Hz), 1.03 (t, 3H, J = 7.2 Hz), 2.20 (s, 3H), 2.29 (s, 3H), 3.84–4.01 (m, 4H), 3.84 (s, 3H), 3.97 (s, 3H), 4.26 (br s, 2H), 5.04 (d, 1H, J = 16.8 Hz), 5.35 (d, 1H, J = 16.9 Hz), 6.48–6.55 (m, 2H), 6.75 (s, 1H), 7.090 (s, 1H), 7.21–7.42 (m, 6H). 13C-RMN (100 MHz, CDCl3) δ 13.6 (1C), 13.6 (1C), 18.6 (1C), 21.0 (1C), 45.9 (1C), 55.7 (1C), 56.2 (1C), 60.8 (1C), 61.8 (1C), 66.8 (1C), 99.7 (1C), 104.7 (1C), 116.5 (1C), 118.9 (1C), 119.0 (1C), 123.4 (1C), 126.3 (1C), 127.0 (2C), 128.7 (2C), 132.2 (1C), 132.3 (1C), 133.3 (1C), 136.3 (1C), 138.0 (1C), 144.3 (1C), 151.4 (1C), 158.3 (1C), 162.6 (1C), 162.7 (1C), 164.2 (1C), 179.2 (1C).
Diethyl 2′-Amino-1-benzyl-5-chloro-3′-cyano-1′-(2,4-dimethoxyphenyl)-2-oxo-1′H-spiro[indoline-3,4′-pyridine]-5′,6′-dicarboxylate (3aac′): Following the general procedure (at 15 °C), compound 3aac′ was obtained as a red solid in a 71% yield. The ee of the product was determined to be 30% by HPLC using a Daicel Chiralpak IB column (n-hexane:iPrOH = 70:30, flow rate 1 mL·min−1, λ = 244.1 nm): τmajor = 42.5 min; τminor = 22.9 min. 1H-NMR (300 MHz, CDCl3) δ 0.87 (t, 3H, J = 7.1 Hz), 1.03 (t, 3H, J = 7.1 Hz), 3.77–3.96 (m, 4H), 3.84 (s, 3H), 3.99 (s, 3H), 4.33 (br s, 2H), 4.73 (d, 1H, J = 15.8 Hz), 5.18 (d, 1H, J = 15.8 Hz), 6.49–6.59 (m, 3H), 7.09–7.12 (m, 1H), 7.24–7.47 (m, 7H). 13C-RMN (75 MHz, CDCl3) δ 13.6 (1C), 13.6 (1C), 44.7 (1C), 55.7 (1C), 55.7 (1C), 60.8 (1C), 60.9 (1C), 61.9 (1C), 99.5 (1C), 102.7 (1C), 104.6 (1C), 110.0 (1C), 115.8 (1C), 118.3 (1C), 124.9 (1C), 127.6 (2C), 128.1 (1C), 128.6 (1C), 128.7 (2C), 132.1 (1C), 135.2 (1C), 137.0 (1C), 140.2 (1C), 144.9 (1C), 151.5 (1C), 158.4 (1C), 162.2 (1C), 162.8 (1C), 163.7 (1C), 177.6 (1C).
Diethyl 2′-Amino-1-benzyl-3′-cyano-1′-(2,4-dimethoxyphenyl)-5-nitro-2-oxo-1′H-spiro[indoline-3,4′-pyridine]-5′,6′-dicarboxylate (3aad′): Following the general procedure (at 15 °C), compound 3aad′ was obtained as a red solid in a 65% yield. The ee of the product was determined to be 58% by HPLC using a Daicel Chiralpak IB column (n-hexane:EtOAc 70:30, flow rate 1 mL·min−1, λ = 262.6 nm): τmajor = 62.9 min; τminor = 35.6 min. 1H-NMR (300 MHz, CDCl3) δ 0.85 (t, 3H, J = 7.1 Hz), 0.96 (t, 3H, J = 7.2 Hz), 3.75–3.94 (m, 4H), 3.78 (s, 3H), 4.03 (s, 3H), 4.30 (br s, 2H), 4.77 (d, 1H, J = 15.8 Hz), 5.16 (d, 1H, J = 15.8 Hz), 6.49–6.52 (m, 3H), 6.66 (d, 1H, J = 8.7 Hz), 7.17–7.42 (m, 6H), 8.06 (dd, 1H, J = 2.3 Hz, J = 8.6 Hz), 8.22 (d, 1H, J = 2.3 Hz). 13C-APT-RMN (75 MHz, CDCl3) δ 13.6 (1C), 13.6 (1C), 45.9 (1C), 55.7 (1C), 56.4 (1C), 61.2 (1C), 62.0 (1C), 63.1 (1C), 99.6 (1C), 102.1 (1C), 104.7 (1C), 108.7 (1C), 115.4 (1C), 118.0 (1C), 120.2 (1C), 126.0 (1C), 127.6 (2C), 127.6 (1C), 128.9 (2C), 132.0 (1C), 134.6 (1C), 136.3 (1C), 143.8 (1C), 145.3 (1C), 147.4 (1C), 151.6 (1C), 158.6 (1C), 161.9 (1C), 163.0 (1C), 163.6 (1C), 178.3 (1C).
4. Conclusions
In summary, we have developed an organocatalytic approach for the chiral formation of 2-oxospiro-[indole-3,4′-(1′,4′-dihydropyridine)] derivatives under mild conditions and operational simplicity. Final adducts were reached with promising results of enantioselectivity for the first time. Further mechanistic studies are required in order to understand and to prove the role of the used catalyst in this process. Moreover, additional studies with the aim of improving the enantioselectivity of the method are actively on-going in our laboratory.
Acknowledgments
We thank the Ministry of Economy and Competitivity (MINECO, Project CTQ2013-44367-C2-1-P); the University of Zaragoza (JIUZ-2014-CIE-07) and the Government of Aragon (Research Group E-104) for financial support of our research.
Author Contributions
F.A.-L., S.M. and R.H. performed the experiments. E.M.-L. and R.P.H. designed the experiments and wrote the paper. All authors took part in data analysis and discussion. All authors read and approved the final manuscript.
Conflicts of Interest
The authors declare no conflict of interest.
References and Notes
- Trost, B.M.; Brennan, M.K. Asymmetric syntheses of oxindole and indole spirocyclic alkaloid natural products. Synthesis 2009, 3003–3025. [Google Scholar] [CrossRef]
- Singh, G.S.; Desta, Z.Y. Isatins as privileged molecules in design and synthesis of spiro-fused cyclic frameworks. Chem. Rev. 2012, 112, 6104–6155. [Google Scholar] [CrossRef] [PubMed]
- Hong, L.; Wang, R. Recent advances in asymmetric organocatalytic construction of 3,3′-spirocyclic oxindoles. Adv. Synth. Catal. 2013, 355, 1023–1052. [Google Scholar] [CrossRef]
- Galliford, C.V.; Scheidt, K.A. Pyrrolidinyl-spirooxindole natural products as inspirations for the development of potential therapeutic agents. Angew. Chem. Int. Ed. 2007, 46, 8748–8758. [Google Scholar] [CrossRef] [PubMed]
- Cheng, D.; Ishihara, Y.; Tan, B.; Barbas, C.F., III. Organocatalytic asymmetric assembly reactions: Synthesis of spirooxindoles via organocascade strategies. ACS Catal. 2014, 4, 743–762. [Google Scholar] [CrossRef]
- Ball-Jones, N.R.; Badillo, J.J.; Franz, A.K. Strategies for the enantioselective synthesis of spirooxindoles. Org. Biomol. Chem. 2012, 10, 5165–5181. [Google Scholar] [CrossRef] [PubMed]
- Rottmann, M.; McNamara, C.; Yeung, B.K.S.; Lee, M.C.S.; Zou, B.; Russell, B.; Seitz, P.; Plouffe, D.M.; Dharia, N.V.; Tan, J.; et al. Spiroindolones, a potent compound class for the treatment of malaria. Science 2010, 329, 1175–1180. [Google Scholar] [CrossRef] [PubMed]
- Edmondson, S.; Danishefsky, S.J.; Sepp-Lorenzino, L.; Rosen, N. Total synthesis of spirotryprostatin A, leading to the discovery of some biologically promising analogues. J. Am. Chem. Soc. 1999, 121, 2147–2155. [Google Scholar] [CrossRef]
- Ding, K.; Lu, Y.; Nikolovska-Coleska, Z.; Qiu, S.; Ding, Y.; Gao, W.; Stuckey, J.; Krajewski, K.; Roller, P.P.; Tomita, Y.; et al. Structure-based design of potent non-peptide MDM2 inhibitors. J. Am. Chem. Soc. 2005, 127, 10130–10131. [Google Scholar] [CrossRef] [PubMed]
- Ding, K.; Lu, Y.; Nikolovska-Coleska, Z.; Wang, G.; Qiu, S.; Shangary, S.; Gao, W.; Qin, D.; Stuckey, J.; Krajewski, K.; et al. Structure-based design of spiro-oxindoles as potent, specific small-molecule inhibitors of the MDM2–p53 interaction. J. Med. Chem. 2006, 49, 3432–3435. [Google Scholar] [CrossRef] [PubMed]
- Antonchick, A.P.; Gerding-Reimers, C.; Catarinella, M.; Schürmann, M.; Preut, H.; Ziegler, S.; Rauh, D.; Waldmann, H. Highly enantioselective synthesis and cellular evaluation of spirooxindoles inspired by natural products. Nat. Chem. 2010, 2, 735–740. [Google Scholar] [CrossRef] [PubMed]
- Shangary, S.; Qin, D.; McEachern, D.; Liu, M.; Miller, R.S.; Qiu, S.; Nikolovska-Coleska, Z.; Ding, K.; Wang, G.; Chen, J.; et al. Temporal activation of p53 by a specific MDM2 inhibitor is selectively toxic to tumors and leads to complete tumor growth inhibition. Proc. Natl. Acad. Sci. USA 2008, 105, 3933–3938. [Google Scholar]
- Da Silva, J.F.M.; Garden, S.J.; Pinto, A.C. The chemistry of isatins: A review from 1975 to 1999. J. Braz. Chem. Soc. 2001, 12, 273–324. [Google Scholar] [CrossRef]
- Zhou, F.; Liu, Y.-L.; Zhou, J. Catalytic asymmetric synthesis of oxindoles bearing a tetrasubstituted stereocenter at the C-3 position. Adv. Synth. Catal. 2010, 352, 1381–1407. [Google Scholar] [CrossRef]
- Mohammadi, S.; Heiran, R.; Herrera, R.P.; Marqués-López, E. Isatin as a strategic motif for asymmetric catalysis. ChemCatChem 2013, 5, 2131–2148. [Google Scholar] [CrossRef]
- Eisner, U.; Kuthan, J. The chemistry of dihydropyridines. Chem. Rev. 1972, 72, 1–42. [Google Scholar] [CrossRef]
- Stout, D.M.; Meyers, A.I. Recent advances in the chemistry of dihydropyridines. Chem. Rev. 1982, 82, 223–243. [Google Scholar] [CrossRef]
- Sausins, A.; Duburs, G. Synthesis of 1,4-dihydropyridines by cyclocondensation reactions. Heterocycles 1988, 27, 269–289. [Google Scholar] [CrossRef]
- Reddy, G.M.; Shiradkar, M.; Chkravarthy, A.K. Chemical and pharmacological significance of 1,4-dihydropyridines. Curr. Org. Chem. 2007, 11, 847–852. [Google Scholar] [CrossRef]
- Wan, J.-P.; Liu, Y. Recent advances in new multicomponent synthesis of structurally diversified 1,4-dihydropyridines. RSC Adv. 2012, 2, 9763–9777. [Google Scholar] [CrossRef]
- Corey, E.J.; Guzman-Perez, A. The catalytic enantioselective construction of molecules with quaternary carbon stereocenters. Angew. Chem. Int. Ed. 1998, 37, 388–401. [Google Scholar] [CrossRef]
- Christoffers, J.; Mann, A. Enantioselective construction of quaternary stereocenters. Angew. Chem. Int. Ed. 2001, 40, 4591–4597. [Google Scholar] [CrossRef]
- Denissova, I.; Barriault, L. Stereoselective formation of quaternary carbon centers and related functions. Tetrahedron 2003, 59, 10105–10146. [Google Scholar] [CrossRef]
- Christoffers, J.; Baro, A. Stereoselective construction of quaternary stereocenters. Adv. Synth. Catal. 2005, 347, 1473–1482. [Google Scholar] [CrossRef]
- Bella, M.; Gasperi, T. Organocatalytic formation of quaternary stereocenters. Synthesis 2009, 1583–1614. [Google Scholar] [CrossRef]
- Hawner, C.; Alexakis, A. Metal-catalyzed asymmetric conjugate addition reaction: Formation of quaternary stereocenters. Chem. Commun. 2010, 46, 7295–7306. [Google Scholar] [CrossRef] [PubMed]
- Shimizu, M. Construction of asymmetric quaternary carbon centers with high enantioselectivity. Angew. Chem. Int. Ed. 2011, 50, 5998–6000. [Google Scholar] [CrossRef] [PubMed]
- Quasdorf, K.W.; Overman, L.E. Catalytic enantioselective synthesis of quaternary carbon stereocentres. Nature 2014, 516, 181–191. [Google Scholar] [CrossRef] [PubMed]
- Berkessel, A.; Gröger, H. Asymmetric Organocatalysis; Wiley-VCH Verlag GmbH: Weinheim, Germany, 2005. [Google Scholar]
- Dalko, P.I. (Ed.) Enantioselective Organocatalysis; Wiley-VCH Verlag GmbH: Weinheim, Germany, 2007.
- Dalko, P.I. (Ed.) Comprehensive Enantioselective Organocatalysis; Wiley-VCH Verlag GmbH: Weinheim, Germany, 2013.
- Herrera, R.P. (Ed.) Fundamentals in Organocatalysis. Past, Present and Future. Curr. Org. Chem. 2011, 15. Available online: http://www.ingentaconnect.com/content/ben/coc/2011/00000015/00000013 (accessed on 27 August 2015). [CrossRef]
- Zhang, L.-J.; Wu, Q.; Sun, J.; Yan, C.-G. Synthesis of functionalized spiro[indoline-3,4′-pyridines] and spiro[indoline-3,4′-pyridinones] via one-pot four-component reactions. Beilstein J. Org. Chem. 2013, 9, 846–851. [Google Scholar] [CrossRef] [PubMed]
- Wang, C.; Jiang, Y.-H.; Yan, C.-G. One-pot four-component reaction for convenient synthesis of functionalized 1-benzamidospiro[indoline-3,4′-pyridines]. Beilstein J. Org. Chem. 2014, 10, 2671–2676. [Google Scholar] [CrossRef] [PubMed]
- Kiruthika, S.E.; Lakshmi, N.V.; Banu, B.R.; Perumal, P.T. A facile strategy for the one pot multicomponent synthesis of spiro dihydropyridines from amines and activated alkynes. Tetrahedron Lett. 2011, 52, 6508–6511. [Google Scholar] [CrossRef]
- Sun, J.; Wu, Q.; Zhang, L.; Yan, C. Efficient synthesis of the functionalized spiro[indoline-3,4′-pyridine] via four-component reaction. Chin. J. Chem. 2012, 30, 1548–1554. [Google Scholar] [CrossRef]
- Tisseh, Z.N.; Ahmadi, F.; Dabiri, M.; Khavasi, H.R.; Bazgir, A. A novel organocatalytic multi-component reaction: An efficient synthesis of polysubstituted pyrano-fused spirooxindoles. Tetrahedron Lett. 2012, 53, 3603–3606. [Google Scholar] [CrossRef]
- Chen, W.-B.; Wu, Z.-J.; Pei, Q.-L.; Cun, L.-F.; Zhang, X.-M.; Yuan, W.-C. Highly enantioselective construction of spiro[4H-pyran-3,3′-oxindoles] through a domino Knoevenagel/Michael/cyclization sequence catalyzed by cupreine. Org. Lett. 2010, 12, 3132–3135. [Google Scholar] [CrossRef] [PubMed]
- Macaev, F.; Sucman, N.; Shepeli, F.; Zveaghintseva, M.; Pogrebnoi, V. Facile and convenient one-pot process for the synthesis of spirooxindole derivatives in high optical purity using (−)-(S)-Brevicolline as an organocatalyst. Symmetry 2011, 3, 165–170. [Google Scholar] [CrossRef]
- Bernardi, L.; Fini, F.; Herrera, R.P.; Ricci, A.; Sgarzani, V. Enantioselective aza-Henry reaction using Cinchona organocatalysts. Tetrahedron 2006, 62, 375–380. [Google Scholar] [CrossRef]
- Pettersen, D.; Marcolini, M.; Bernardi, L.; Fini, F.; Herrera, R.P.; Sgarzani, V.; Ricci, A. Direct access to enantiomerically enriched α-amino phosphonic acid derivatives by organocatalytic asymmetric hydrophosphonylation of imines. J. Org. Chem. 2006, 71, 6269–6272. [Google Scholar] [CrossRef] [PubMed]
- Ricci, A.; Pettersen, D.; Bernardi, L.; Fini, F.; Fochi, M.; Herrera, R.P.; Sgarzani, V. Organocatalytic enantioselective decarboxilative addition of malonic half thioesters to imines. Adv. Synth. Catal. 2007, 349, 1037–1040. [Google Scholar] [CrossRef]
- The configuration E for the synthesized enamines was determined by H2D-NOESY.
- Thorwirth, R.; Stolle, A. Solvent-free synthesis of enamines from alkyl esters of propiolic or but-2-yne dicarboxylic acid in a ball mill. Synlett 2011, 2200–2202. [Google Scholar] [CrossRef]
- Okino, T.; Hoashi, Y.; Takemoto, Y. Enantioselective Michael reaction of malonates to nitroolefins catalyzed by bifunctional organocatalysts. J. Am. Chem. Soc. 2003, 125, 12672–12673. [Google Scholar] [CrossRef] [PubMed]
- Hoashi, Y.; Yabuta, T.; Takemoto, Y. Bifunctional thiourea-catalyzed enantioselective double Michael reaction of γ,δ-unsaturated β-ketoester to nitroalkene: Asymmetric synthesis of (−)-epibatidine. Tetrahedron Lett. 2004, 45, 9185–9188. [Google Scholar] [CrossRef]
- Okino, T.; Nakamura, S.; Furukawa, T.; Takemoto, Y. Enantioselective aza-Henry reaction catalyzed by a bifunctional organocatalyst. Org. Lett. 2004, 6, 625–627. [Google Scholar] [CrossRef] [PubMed]
- Okino, T.; Hoashi, Y.; Furukawa, T.; Xu, X.; Takemoto, Y. Enantio- and diastereoselective Michael reaction of 1,3-dicarbonyl compounds to nitroolefins catalyzed by a bifunctional thiourea. J. Am. Chem. Soc. 2005, 127, 119–125. [Google Scholar] [CrossRef] [PubMed]
- Hoashi, Y.; Okino, T.; Takemoto, Y. Enantioselective Michael addition to α,β-unsaturated imides catalyzed by a bifunctional organocatalyst. Angew. Chem. Int. Ed. 2005, 44, 4032–4035. [Google Scholar] [CrossRef] [PubMed]
- Inokuma, T.; Hoashi, Y.; Takemoto, Y. Thiourea-catalyzed asymmetric Michael addition of activated methylene compounds to α,β-unsaturated imides: Dual activation of imide by intra- and intermolecular hydrogen bonding. J. Am. Chem. Soc. 2006, 128, 9413–9419. [Google Scholar] [CrossRef] [PubMed]
- CCDC-1411522 (3bb) Contains the Supplementary Crystallographic Data for This Paper. These Data can be Obtained Free of Charge via http://www.ccdc.cam.ac.uk/conts/retrieving.html (or from the CCDC, 12 Union Road, Cambridge CB2 1EZ, UK; Fax: +44 1223 336033; E-mail: deposit@ccdc.cam.ac.uk).
- Due to variations in the temperature registered at “room temperature”, it is worth to mention that the scope of the reaction was finally developed stabilizing the temperature at 15 °C in order to maintain fixed the temperature during the complete reaction time.
- Miyabe, H.; Takemoto, Y. Discovery and application of asymmetric reaction by multi-functional thioureas. Bull. Chem. Soc. Jpn. 2008, 81, 785–795. [Google Scholar] [CrossRef]
- Connon, S.J. Asymmetric catalysis with bifunctional cinchona alkaloid-based urea and thiourea organocatalysts. Chem. Commun. 2008, 2499–2510. [Google Scholar] [CrossRef] [PubMed]
- Alegre-Requena, J.V.; Marqués-López, E.; Herrera, R.P. One-pot synthesis of unsymmetrical squaramides. RSC Adv. 2015, 5, 33450–33462. [Google Scholar] [CrossRef]
- Yang, W.; Du, D.-M. Highly enantioselective Michael addition of nitroalkanes to chalcones using chiral squaramides as hydrogen bonding organocatalysts. Org. Lett. 2010, 12, 5450–5453. [Google Scholar] [CrossRef] [PubMed]
- Konishi, H.; Lam, T.Y.; Malerich, J.P.; Rawal, V.H. Enantioselective α-amination of 1,3-dicarbonyl compounds using squaramide derivatives as hydrogen bonding catalysts. Org. Lett. 2010, 12, 2028–2031. [Google Scholar] [CrossRef] [PubMed]
- Choudhary, G.; Peddinti, R.K. Introduction of a clean and promising protocol for the synthesis of β-amino-acrylates and 1,4-benzoheterocycles: An emerging innovation. Green Chem. 2011, 13, 3290–3299. [Google Scholar] [CrossRef]
- Redkin, R.Gr.; Shemchuk, L.A.; Chernykh, V.P.; Shishkinb, O.V.; Shishkina, S.V. Synthesis and molecular structure of spirocyclic 2-oxindole derivatives of 2-amino-4H-pyran condensed with the pyrazolic nucleus. Tetrahedron 2007, 63, 11444–11447. [Google Scholar] [CrossRef]
- Deng, H.-P.; Wei, Y.; Shi, M. Highly regio- and diastereoselective construction of spirocyclopenteneoxindoles through phosphine-catalyzed [3 + 2] annulation of Morita-Baylis-Hillman carbonates with isatylidene malononitriles. Org. Lett. 2011, 13, 3348–3351. [Google Scholar] [CrossRef] [PubMed]
- Demchuk, D.V.; Elinson, M.N.; Nikishin, G.I. “On water” Knoevenagel condensation of isatins with malononitrile. Mendeleev Commun. 2011, 21, 224–225. [Google Scholar] [CrossRef]
- Isatin 6c′ was synthetized following a previously reported protocol, see: Kathik, K.; Priyanka, K.B.; Manjula, S.; Sammaiah, G. Synthesis and evaluation of new bis-isatin derivatives for antioxidant activity. Int. J. Pharm. Pharm. Sci. 2013, 5, 224–227. [Google Scholar]
- The NMR spectra of isatin 6c′ are consistent with those reported in the literature, see: Mendonça, G.F.; Magalhães, R.R.; de Mattos, M.C.S.; Esteves, P.M. Trichloroisocyanuric acid in H2SO4: An efficient superelectrophilic reagent for chlorination of isatin and benzene derivatives. J. Braz. Chem. Soc. 2005, 16, 695–698. [Google Scholar]
- Isatin 6d′ was synthetized following a previously reported protocol, see: Sonawane, R.P.; Tripathi, R.R. The chemistry and synthesis of 1H-indole-2,3-dione (isatin) and its derivatives. Int. Lett. Chem. Phys. Astron. 2013, 7, 30–36. [Google Scholar]
- The NMR spectra of isatin 6d′ are consistent with those reported in the literature, see: Siddiqui, N.; Alam, M.S.; Stables, J.P. Synthesis and anticonvulsant properties of 1-(amino-N-arylmethanethio)-3-(1-substituted benzyl-2, 3-dioxoindolin-5-yl) urea derivatives. Eur. J. Med. Chem. 2011, 46, 2236–2242. [Google Scholar]
- Sample Availability: Not available.
© 2015 by the authors. Licensee MDPI, Basel, Switzerland. This article is an open access article distributed under the terms and conditions of the Creative Commons Attribution license ( http://creativecommons.org/licenses/by/4.0/).