Abstract
Carotenoids are important isoprenoid compounds whose oxidative degradation produces a plethora of smaller derivatives, called apocarotenoids, which possess a range of different chemical structures and biological activities. Among these natural products, compounds having less than 15 carbon atoms in their frameworks are often relevant flavours or fragrances and their manufacturing represents an important economic resource for chemical companies. The strict correlation between stereochemical structure and odour has made the stereospecific synthesis of the latter biological active compounds increasingly important. In this review, the recent advances on the synthesis of the most relevant carotenoid-derived flavours and fragrances are discussed. In particular, the new synthetic methods that have given new and innovative perspectives from a scientific standpoint and the preparative approaches that might possess industrial importance are described thoroughly.
1. Introduction
Carotenoids are an important subgroup of isoprenoid compounds, characterized by the presence of a conjugated tetraterpene (C40) framework and comprising over 600 chemical structures [1]. They are widely distributed in nature being synthesized [2] by many types of organisms ranging from archae and eubacteria to eukaryotes. The presence of up to 15 conjugated double bonds imparts the pigment character to many carotenoids [3]. These compounds play various important roles in living beings as the pigmentation is important for the life cycle of plants and animals and the ability of absorbing light can impart them the role of photoprotective agents, anti-oxidant compounds and light-harvesting molecules in photosynthetic organisms [1,2,3,4,5].
Carotenoids are vital to many organisms not only in their intact form, but also because they are precursors of a number of other bioactive derivatives which are usually formed by oxidative degradation [1,6,7,8,9]. These compounds are smaller than their precursors and are collectively named apocarotenoids or norisoprenoids, regardless of their specific way of formation.
It has been demonstrated that carotenoid degradation can occur either via merely chemical/physical mechanisms or through enzyme(s) catalyzed reactions. Actually, the action of light and of oxygen can effectively oxidize carotenoids to give a number of apocarotenoids, even having the same chemical structure of those obtained by enzyme-mediated oxidation. In addition, the bio-catalyzed degradation processes are in their turn carried out either by non-specific enzymes, including lipoxygenases and peroxidases, or by enzymes with regiospecific cleavage activities on specific double bonds of the carotenoids framework which are called carotenoid cleavage oxygenases (CCOs). This “family of enzymes” comprises both dioxygenases and monooxygenases and their mechanism of action as well as their structural characterization was elucidated only recently. Actually, the latter classes of oxidase differ from one another because of the mechanism of oxygen addition to the substrates. In the monoxygenases, only a single atom of dioxygen is incorporated into a substrate with the other being reduced to a water molecule. The dioxygenases catalyze the oxidation of a substrate without the reduction of one oxygen atom from dioxygen into a water molecule. However, the determination of the mechanism can be ambiguous because many chemical intermediates are usually involved in the reactions. This aspect is significant in carotenoid degradation where different enzyme and chemical intermediates can lead to the same compounds.
Overall, the cleavage products can act as hormones, signaling compounds, chromophores and flavours or fragrances. Actually, the inherent increase of the apocarotenoids’ volatility is often accompanied by the development of a new olfactory activity. This kind of process is quite common especially in vegetal species where the formation of volatiles is part of the life cycle of the plant. As a representative example, we can note that the degradation of carotenoids is responsible of the formation of a number of substances having less than 15 carbon atoms in their frameworks, which characterize the odors of different fruits and flowers during ripening and blossoming, respectively [1,2,3,4,5,6,7,8,9,10]. Among these natural products, the C13, C11, C10, and C9 derivatives are the most relevant ones. The combination of the great diversity of the carotenoids chemical structures with the different degradation pathways possible gives rise to a huge number of flavours and fragrances [11].
It is worth noting that the terminal moieties of the carotenoids framework can be either a linear chain or a substituted cyclohexene ring, as graphically described with structures 1 and 2, respectively (Figure 1). As a result, the oxidation of the compounds possessing a moiety of type 1 affords mainly linear C13 flavours as geranyl acetone 3 or pseudoionone 4, whereas the primary odour constituents derived from carotenoids of type 2 are cyclohexene derivatives such as ionone and damascone isomers 5 and 6, respectively.
The possibility of three different positions of the cyclohexene double bond, the presence of a stereogenic centre in position 6 (carotenoids numbering) and the eventual structural rearrangements, afford a large number of isomers. Also, the formation of bicyclic derivatives is a common degradation pathway. Concerning C11 derivatives, the example of dihydroactinidiolide 7 is representative of a number of bicyclic lactones identified from many natural sources and possessing high chemical stability. Conversely, the C10 aldehydes 8, 9 and 10 are very relevant flavours whose employment as flavour/fragrances is limited by their low stability and high reactivity. β-Cyclocitral 8 is formed by oxidation of β-carotene whereas the glucoside picrocrocin 9 is a degradation product of the carotenoid zeaxanthin glycoside. Compound 9 is an odourless apocarotenoid occurring in saffron, where through the action of the enzyme glycosidase, it liberates the aglycone which is then transformed into safranal 10. The latter aldehyde, beside a number of other C9 apocarotenoids such as the keto-derivatives 11 and 12, is responsible of the unique flavour of saffron [12].
Figure 1.
The oxidative cleavage of carotenoids having moiety of type 1 or 2 and some representative examples of the deriving flavours and fragrances.
Figure 1.
The oxidative cleavage of carotenoids having moiety of type 1 or 2 and some representative examples of the deriving flavours and fragrances.

The relative abundance and diffusion in nature of a given apocarotenoid in turn depend on the abundance of the parent carotenoids as well as on the chemical stability of the apocarotenoid itself. For instance, β-ionone, dihydroactinidiolide and ketoisophorone can be produced by the degradation of different widespread carotenoids and are quite stable compounds. Consequently, the aforementioned compounds are so widely distributed in plants and algae that have been detected in trace amount also in ocean water and have been considered among potential volatile markers for the determination of sea salt origin [13].
A number of other relevant apocarotenoids used as flavours or fragrances have been reported so far. Nevertheless, this review will focus on the synthetic approaches that have affected this field the most, limiting the discussion on the research that has been described in the last 20 years.
2. Preparation of “Natural” Carotenoid-Derived Flavours and Fragrances
The origin of flavours also affects their commercial value [14]. The legislations of different states have officially stated that “natural” flavour substances can only be prepared either by physical processes (extraction from natural sources) or by enzymatic or microbial processes, which involve precursors isolated from nature. Although US [15] and EU [16] regulatory requirements have distinct differences, this rough classification has created a dichotomy in the market because compounds labeled as “natural” become profitable products, whereas other flavours that occur in nature but are obtained through chemical methods are less appreciated by the consumer. From a chemical point of view, there is no difference between a compound synthesized in nature and the identical molecule produced in the laboratory, but still the price of a flavour sold as natural is often significantly higher than those prepared by chemical synthesis.
As mentioned above, a number of apocarotenoids are used as flavour ingredients but mostly occur in nature as trace components. Therefore, their extraction is not a viable process and the “natural” routes for their production, as the bioconversions of natural precursors using biocatalysis or the de novo synthesis (fermentation), would be of high industrial interest. On the contrary, some carotenoids are readily available by extraction from vegetable (lycopene, carotene) and can be suitable precursors for the preparation of natural apocarotenoids.
In the past, the incomplete knowledge of the mechanisms of enzyme-mediated carotenoids cleavage as well as the difficulties encountered in CCOs’ identification and their structural characterization hampered the developing of enzyme-mediated processes for the production of flavours from carotenoids. Only in recent years, the characterization of a number of carotenoid cleavage dioxygenases (CCDs) from plants allowed the direct preparation of specific flavours from their parent carotenoids. The first work in this field [17] reported the identification of a CCD from Arabidopsis thaliana, its overexpression in Escherichia coli and the use of the obtained recombinant protein for the cleavage of β-carotene, lutein, and zeaxanthin to produce the corresponding C13 ionone derivatives. Afterwards, a large number of CCDs were isolated from plants such as petunia [18], melon [19], maize [20], Rosa damascena [21], Osmanthus fragrans [22], carrot [23], grape [24], tomato [25] and saffron [26] and then were overexpressed in heterologous hosts. The obtained enzymes were able to cleave different carotenoids affording farnesylacetone, ionone isomers (mainly β and α isomer), pseudoionone, geranylacetone, citral, β-cyclocitral, 6-methyl-5-hepten-2-one and crocetin.
Very recently, a further important advance has been made through the development of a synthetic biology approach for β-ionone production from glucose [27]. The genes responsible for the β-carotene biosynthesis and for CCD production were expressed in Saccharomyces cerevisiae from a single polycistronic construct. As a result, glucose-grown cultures of the engineered strain were able to produce β-ionone and geranylacetone.
It is worth noting that the detailed study of carotenoid cleavage enzymes has furnished a powerful tool for the biotechnological production of many flavours and fragrances. Already now, it is possible to engineer a new metabolic pathway in a heterologous host, in order to obtain a given metabolite. Of course, this approach is far from being straightforward and usually the development of an industrial process based on these kinds of biotransformations is a demanding process that takes a long time and much effort. Therefore, it is no surprise that the above described research limited the study on the scientific aspects and completely neglected the preparative issues. A few exceptions are noteworthy. For example, fungi [28] or fungal peroxidases from Marasmius scorodonius in combination with hydrogen peroxide [29] were used for the synthesis of volatile apocarotenoids starting from different carotenoids. In addition, a new preparative process for the synthesis of natural β-ionone from β-carotene has been developed [30]. Accordingly, recombinant CCDs and oxygen are able to oxidize β-carotene without the employment of any additional cofactors. The produced β-ionone was separated from the reactor by means of organophilic pervaporation.
3. New Synthetic Approaches to the Most Relevant Classes of Apocarotenoids Odorants
As described above, although apocarotenoids have common biosynthetic origin, they possess chemical structures very different from each other. As a consequence, the synthetic issues related to the latter flavours and fragrances as well as the recent advances that have been studied to overcome the same are strictly linked to their specific chemical frameworks. Furthermore, it is important to note that flavours and fragrances are often a complex mixture of isomers, and each one might possess a specific sensory property. It is known that the isomeric composition (regio- and/or stereoisomeric) of an odorous compound greatly affects its olfactory properties either in terms of quality of its perceived odour or in terms of its odour threshold [31]. Consequently, only one regio/stereoisomer, or a balanced combination of them, might be used in aroma, fragrances or cosmetic formulations. Moreover, the preparation of enantioenriched compounds needs of asymmetric synthesis or the use of optical active starting materials, greatly increasing both the complexity of the synthetic approaches and the production cost.
3.1. Synthesis of Ionone and Damascone Isomers
Ionones are relevant examples of flavour/fragrance widely used in industry whose isomeric forms show different odour properties. A comprehensive olfactory evaluation of all the isomers of ionone [32] revealed that (S)-γ-ionone 15 is the most powerful and pleasant isomer being about 150 time as powerful as (R)-enantiomer and having a very natural violet tonality (Figure 2). In addition, remarkable differences among the odour properties of the ionone, dihydroionone and dehydroionone isomers were reported. Pseudoionone 4 is an inexpensive industrial product and its cyclization afford either α-, or β-ionone depending on the kind of acid used to catalyze the reaction [11]. In addition, the less available γ-ionone can be prepared starting from α-isomer by means of photochemical isomerization of the cyclohexene double bond [33]. Hence, racemic ionone isomers have become quite affordable commodities. Conversely, the enantioselective synthesis of the ionone framework is especially demanding and only few approaches have preparative significance. Therefore, the resolution of racemic α-ionone was the first studied process to prepare enantioenriched ionone isomers. The classical optical resolution of α-ionone by fractional crystallization of its menthylhydrazone derivative [34] turned out to be an underperforming process and new approaches, based on enzymatic resolution, have been developed [35].
Figure 2.
Odor descriptions and detection thresholds of ionone isomers.
Figure 2.
Odor descriptions and detection thresholds of ionone isomers.

Accordingly, it was found out that lipase PS catalyses the acetylation of ionol isomers having (9R) absolute configuration with very high enantioselectivity [36,37] (Figure 3). NaBH4 reduction of racemic α-ionone 13 or γ-ionone 15 afforded a diastereoisomeric mixture of ionol isomers which were transformed into the corresponding p-nitrobenzoate esters. The fractional crystallization of these compounds gave diastereoisomerically pure derivatives 16 and 17. The alkaline hydrolysis of the latter esters provided the corresponding racemic ionol isomers that were acetylated using vinyl acetate and lipase PS as catalyst. The obtained enantiopure acetate (+)-18 and (+)-20 were hydrolyzed using NaOH in methanol and the resulting ionol isomers were then converted into (R) enantiomer of α-ionone and γ-ionone, respectively by means of MnO2 oxidation. Moreover, the unreacted ionols (−)-19 and (+)-21 provided the (S) enantiomer of the same ionone isomers.
Figure 3.
Lipase-mediated enantioselective synthesis of ionone isomers.
Figure 3.
Lipase-mediated enantioselective synthesis of ionone isomers.

More recently, researchers from Takasago International [38] have developed a process based on the lipase-mediated hydrolysis of enolacetate 22, in turn prepared from racemic α-ionone. The hydrolysis of the latter ester using lipase from Candida antarctica afforded enantioenriched (S)-ionone and the (R)-enantiomer of the enol acetate 22. Although the process can be easily performed on a preparative scale, the enantioselectivity of the key step appear to be modest and the whole process should be repeated twice to obtain α-ionone in high enantiomeric purity.
In order to set out a versatile procedure for the preparation of enantioenriched γ-ionone derivatives, the enantio- and diastereoselective lipase-mediated acetylation of 4-hydroxy-γ-ionone 24 (Figure 4) was successfully exploited [39,40]. The latter ionone derivative is easily preparable through base-mediated transposition of epoxy-α-ionone 23, in turn obtained by diastereoselective epoxidation of α-ionone. Lipase PS catalyzed the acetylation of (4R,6S)-4-hydroxy-γ-ionone with complete diastereoselectivity and high enantioselectivity. The obtained acetate (+)-25 was transformed into the (S)-3,4-dehydro-γ-ionone 26 by palladium-catalyzed elimination of the acetate functional group. In the same way, the regioselective reduction of the latter allyl ester using triethylammonium formate and (Ph3P)2PdCl2 catalyst provided a reliable synthetic path either to (S)-γ-ionone 15 or (S)-7,8-dihydro-γ-ionone 27. It is worth noting that the latter compound is a relevant fragrance component of ambergris absolute and both enantioenriched acetate 25 and ketone (S)-27 have been used as chiral building blocks for the synthesis of a number of natural products [41,42,43,44].
Epoxy-α-ionone as well as 4-hydroxy-β-ionone and 4-hydroxy-β-damascone occur in nature in enantioenriched form. Although these compounds are not olfactory active compounds in their own right, it is thought they are precursors of other flavours.
Figure 4.
Lipase-mediated resolution of 4-hydroxy-γ-ionone: Enantioselective synthesis of γ-ionone derivatives.
Figure 4.
Lipase-mediated resolution of 4-hydroxy-γ-ionone: Enantioselective synthesis of γ-ionone derivatives.

The reduction of epoxy-α-ionone 23 with NaBH4 gives a mixture of the racemic epoxy-ionols 28 and 29 that can be separated through chromatography. Each one of the diastereoisomeric alcohols was resolved using lipase PS-mediated acetylation [45]. The obtained enantioenriched acetates (−)-30 and (+)-31 that can be easily transformed in the corresponding epoxy-α-ionone enantiomers (Figure 5). Similarly, racemic 4-hydroxy-β-ionone and 4-hydroxy-β-damascone were resolved through pig pancreatic lipase catalyzed trans-esterification to afford enantioenriched acetate (R)-34, (R)-35 [46] and alcohol (S)-32, (S)-33, respectively.
Figure 5.
Lipase-mediated resolution of epoxy-ionone, 4-hydroxy-ionone and 4-hydroxy-damascone isomers.
Figure 5.
Lipase-mediated resolution of epoxy-ionone, 4-hydroxy-ionone and 4-hydroxy-damascone isomers.

Due to the steric crowding around the position 7 of damascone framework (Figure 1 and Figure 6), the esterification or the hydrolysis of the hydroxyl/ester functional groups linked to C(7) is not catalyzed by the most common hydrolytic enzymes. As a consequence, the reported enantioselective syntheses of damascone isomers were not based on the enzyme-mediated resolution approaches.
Figure 6.
Odor descriptions and detection thresholds of damascone isomers.
Figure 6.
Odor descriptions and detection thresholds of damascone isomers.

A significant exception, involving the resolution of 7,9-dihydroxy derivatives, has been recently reported [47]. Accordingly, epoxidation of the conjugated double bond of racemic α-ionone (Figure 7) using hydrogen peroxide in presence of NaOH afforded ketone 39 with complete regio- and diastereoselectivity. The regioselective reductive opening of the epoxide ring using aluminum amalgam followed by the diastereoselective reduction of the ketone functional group gave diastereoisomerically pure diol 40. The latter racemic compound was resolved according to the lipase PS-mediated acetylation process described for ionone isomers. In fact, the hydroxyl group in position 7 of the ionone framework did not react and only 9-acetyl derivative was formed. Afterward, the enantiopure hydroxyl-acetate (−)-41 was oxidized using Dess-Martin periodinane and the following reaction with DBU allowed the elimination of the acetate functional group affording (S)-α-damascone 36. Similarly, enantioenriched diol (+)-40 was chemically transformed into hydroxy-acetate (+)-41 which was converted into (R)-α-damascone as described above. It is worth noting that diol 40 was also transformed into diol 42 by photochemical isomerization. The application of the above described process allowed the transformation of racemic 42 into enantioenriched (S)- and (R)-γ-damascone 38.
Figure 7.
Lipase-mediated enantioselective synthesis of α- and γ-damascone enantiomers.
Figure 7.
Lipase-mediated enantioselective synthesis of α- and γ-damascone enantiomers.

Beside the described resolution-based processes, different asymmetric synthesis of ionone and damascone isomers have been reported (Figure 8, Figure 9 and Figure 10).
Figure 8.
Asymmetric syntheses of ionone and damascone isomers.
Figure 8.
Asymmetric syntheses of ionone and damascone isomers.

During the late 80s, it was discovered that the enantioselective protonation of enolates of type 43 and 44 (Figure 8) with ephedrine derivatives such as the compound (−)-45 affords enantioenriched ketones of type 46 and 47, respectively. The process was successfully exploited for the preparation of both enantioforms of α- and γ-damascone [48,49,50]. For example, enolates of type 43 and 44 having the allyl group as substituent were protonated using (−)-45 as a proton source and the resulting β,γ-unsaturated ketones 46 and 47 were isomerized using Al2O3 to give (S)-α- and (R)-γ-damascone, respectively, in high enantiomeric purity. As the conversion of the damascone isomers in the corresponding ionone isomers is possible, an indirect enantioselective preparation of the latter compounds was also assured [51]. More recently, (R)-α-ionone 13 was prepared starting from enantiopure allylic phosphate 48 [52]. The stereocenter in position 6 of the ionone framework was built up through a copper-catalyzed, highly stereoselective SN2ʹ allylic substitution of the phosphate ester with a mixed diorganozinc derivative. The obtained ester 49 was then transformed into enantiopure ketone 13 by a number of functional groups interconversion comprising of the substitution of the iodo atom with the methyl group, the formation of the 7,8-(E) double bond and the stepwise transformation of the ethyl ester group into the methylketone group.
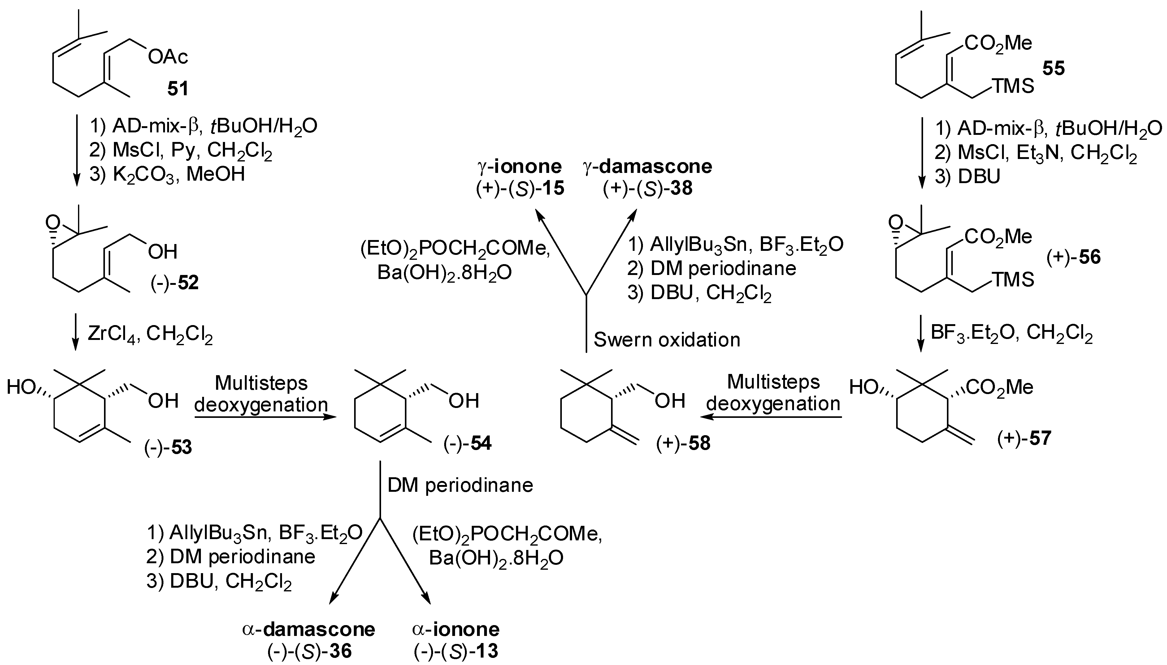
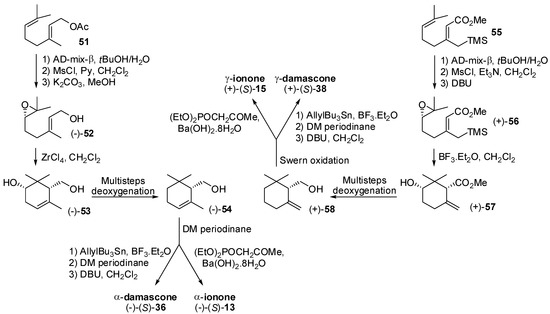
Conversely, the asymmetric synthesis of the cyclohexene moiety of the ionone and damascone isomers were accomplished through the stereoselective cyclization of enantioenriched epoxy-derivatives of type 52 and 56 (Figure 9), which were in turn synthesized by means of Sharpless asymmetric dihydroxylation as the key step. The ZrCl4-promoted cyclization of enantiopure geraniol epoxide (−)-52 gave diol (−)-53 which was used to prepare α-cyclogeraniol (−)-54. The latter alcohol was oxidized and the obtained aldehyde was used for the synthesis of (S)-α-ionone and (S)-α-damascone [53].
Figure 9.
Asymmetric syntheses of ionone and damascone isomers.
Figure 9.
Asymmetric syntheses of ionone and damascone isomers.

Similarly, the BF3-catalyzed cyclization of epoxyallylsilane (+)-56 gave hydroxy-ester (+)-57 [54] that possess the exomethylenic double bond necessary for the synthesis of γ-ionone/damascone isomers. Accordingly, (+)-57 was transformed into γ-cyclogeraniol (+)-58 which was used for the synthesis of (S)-γ-ionone 15 and (S)-γ-damascone 38. Furthermore, enantiopure alcohol (−)-54 was used as building block for a new stereoselective synthesis of (S)-α-ionone 13 based on the Re-catalyzed Meyer-Schuster rearrangement [55] of the propargylic alcohol 59 (Figure 10).
Figure 10.
Asymmetric synthesis of (S)-α-ionone through Meyer-Schuster rearrangement.
Figure 10.
Asymmetric synthesis of (S)-α-ionone through Meyer-Schuster rearrangement.

As a final point, it is worth noting that a new synthetic entry to racemic α-damascone, γ-damascone and β-damascenone has been described [56]. Accordingly, γ-pyronene 60 and δ-pyronene 61, were regioselectively epoxidized to give epoxides 62 and 63, respectively (Figure 11). The sequential treatment with allyl magnesium bromide, oxidation of the resulting carbinols and base-catalyzed isomerization gave α-damascone and γ-damascone, respectively. The treatment of epoxide 62 with LiBr in presence of CuBr afforded aldehyde 64 that was transformed into C13 derivative 65 through stepwise substitution of the bromine atom with the thiophenyl group and addition of allylmagnesium bromide to the aldehyde group. The obtained secondary alcohol was then transformed into β-damascenone 66 by a number of functional groups interconversion comprising of the oxidation of hydroxy and thiophenyl groups and elimination of the resulting phenylsulfonyl group.
Figure 11.
The synthesis of racemic α- and γ-damascone isomers and of β-damascenone starting from γ- and δ-pyronene.
Figure 11.
The synthesis of racemic α- and γ-damascone isomers and of β-damascenone starting from γ- and δ-pyronene.

3.2. Synthesis of Other Relevant C13 Apocarotenoids
Although ionone and damascone isomers have pivotal relevance in flavour and fragrance field, different synthetic approaches to other C13 apocarotenoids are worth mentioning. For example, megastigmatrienone and megastigmadienone isomers are constituents of the aroma of different fruits as well as they are present in rums and tobacco. Two regioselective syntheses of megastigma-4-one [57] and of megastigma-3-one [58] isomers have been developed (Figure 12). The reaction of γ-pyronene 60 with phenylsulfenyl chloride gave derivative 67. The substitution of the chloride atom with a hydroxy group and the oxidation of the thiophenyl group to the corresponding phenylsulfonyl group gave derivative 68 that was alkylated with allyl bromide followed by elimination of the phenylsulfonyl group. Finally, the oxidation of the obtained trienic alcohol afforded megastigma-5,7,9-trien-4-one 69.
Conversely, copper catalyzed addition of allyl magnesium chloride to compound 70 gave megastigma-5,9-dien-4-ol which was oxidized to the corresponding megastigma-5,9-dien-4-one 71 whose monosubstituted double bond can be isomerized using RhCl3 as catalyst to afford megastigma-5,8-dien-4-one 72.
A general approach to the megastigma-3-one isomers synthesis has been achieved using conjugate dehydrobromination of allylic bromide of type 75 as the key step. Accordingly, treatment of oxophorone monoethylene ketal with a suitable C4 organo-lithium derivative gave carbinol 74 that was converted into bromide 75 by reaction with PBr3 and pyridine. The dehydrobromination of 75 with DBU followed by acid hydrolysis of the ketal functional group and DBU-catalyzed isomerization of the double bond(s) afforded megastigma-4,6,8-trien-3-one 76 and megastigma-4,7,9-trien-3-one 77.
Figure 12.
The regioselective synthesis of megastigma-4-one 69 and 72 and of megastigma-3-one isomers 76 and 77.
Figure 12.
The regioselective synthesis of megastigma-4-one 69 and 72 and of megastigma-3-one isomers 76 and 77.

Compounds having the general theaspirane framework 78 (Figure 13) represent a further relevant class of carotenoid-derived flavours and fragrances. Theaspirane is in its own right an appreciate flavour ingredient and occurs in a minute amount in various essential oils such as raspberry oil and passionfruit oil. Other derivatives such as vitispirane are present in fruit and one isomer of the 3-oxo-theaspirane, namely cis-theaspirone 86 is a key flavour of the black tea.
Figure 13.
Syntheses of odorants having the generic theaspirane framework: Racemic theaspirone and theaspirane isomers.
Figure 13.
Syntheses of odorants having the generic theaspirane framework: Racemic theaspirone and theaspirane isomers.

Racemic theaspirones isomers were prepared from 2,2-dimethylcyclopentanone [59]. The reaction sequence began with 1,2-addition of the lithium derivative of 2-methyl-2,3-dihydrofuran 79 to this ketone and immediate acid-catalyzed ring expansion of the resulting carbinols 80 to give a separable pair of spiro ethers 81 and 82. Individual conversion of these diastereoisomers to unsaturated ketones 83 and 84, respectively, is followed by tandem condensation with the methyllithium-lithium bromide complex and oxidation with pyridinium chlorochromate to afford theaspirones 85 and 86, respectively.
Furthermore, it is important to note that the construction of the spiroether framework by acid-catalyzed cyclization has been subjected of a number of studies. In particular, it was discovered that the ion-exchange resin amberlyst-15 catalyses the oxaspirocyclisation of racemic diol of type 87 affording theaspirane isomers 88 and 89 in almost quantitative yield [60].
The 8,9-dehydrotheaspirone 93 (Figure 14) was identified in different natural source such as tobacco, nectarines, Riesling wine and honey. The diastereoisomerically pure diol 91 was prepared starting from β-ionone and then submitted to the lipase PS-mediated acetylation [61]. The fractional crystallization of the obtained acetate (+)-92 allows increasing efficiently its enantiomeric purity. The conjugated double bond of the resulting enantiopure compound 92 was regioselectively hydrogenated using Ni-Raney to give an intermediate bicyclic hemiketal whose dehydratation, followed by transformation of the acetate functional group into the ketone functional group, afforded enantiopure dehydrotheaspirone (+)-93.
Figure 14.
Enantioselective syntheses of odorants having the generic theaspirane framework through the resolution approach: 7,8-Dehydrotheaspirone and theaspirane isomers.
Figure 14.
Enantioselective syntheses of odorants having the generic theaspirane framework through the resolution approach: 7,8-Dehydrotheaspirone and theaspirane isomers.

Similarly, racemic alcohol 94 was prepared from β-ionone and then was resolved by means of NOVOZYME 435-mediated esterification [62] using vinyl propionate as acyl donor. The obtained enantiopure propionate (R)-95 was hydrolyzed and the resulting alcohol (R)-94 was cyclised by heating in toluene in presence of catalytic PTSA to give (R)-theaspirane 96. It is worth noting that compound 96 consisted of an equimolar mixture of enantiopure diastereoisomers possessing strong fruity flavour whereas the theaspirane isomers mixture (S)-97 obtainable starting from the unreacted alcohol, namely (S)-94, had camphor-like, woody-like odour.
Further relevant apocarotenoid characterized by a bicyclic ethers structure are those possessing the generic edulan framework 98 (Figure 15). Edulan and 6,7-dihydroedulane isomers exhibits intense rose-like aromas and are important trace components of the flavour of the purple passionfruit (Passiflora edulis) whereas 3,4-dihydro-3-oxo-edulan isomers possess tobacco-like odour and were found in tobacco, passionfruit, oak wood and Chardonnay juice.
As described for theaspiranes, the reported stereoselective syntheses of edulans are based on two steps: the stereocontrolled formation of at least one of the two stereocenter placed next to the oxygen atom (usually the secondary one) and the formation of the pyran ring by cyclization. Accordingly, a work dedicated to the assignation of the absolute configuration to these compounds [63] described the preparation of the edulan isomers through the alkylation of cyclohexanone 99 with the chiral building blocks (R)- and (S)-100, in turn obtained from (R) and (S)-3-hydroxybutyric acid methyl ester. After elimination reaction, the obtained C13 derivatives (R)- and (S)-101 were transformed into the diols (R)- and (S)-102 which were cyclised using boron trifluoride etherate to afford edulans (R)- and (S)-103, each one made up of two enantiopure diastereoisomers.
Figure 15.
Enantioselective synthesis of odorants having the generic edulan framework: Edulan and 6,7-dihydroedulan isomers.
Figure 15.
Enantioselective synthesis of odorants having the generic edulan framework: Edulan and 6,7-dihydroedulan isomers.

Similarly, the alkylation of cyclohexanone 99 with iodide (S)-104 provided the C13 derivative (S)-105 which was transformed into diol (S)-106. In principle, the cyclization of the latter compound could afford up to four diastereoisomers but only 6,7-dihydroedulan isomers (S)-107 and (S)-108 were obtained, most likely because of the preferred formation of the tetrahydropyranyl ether with cis ring junction.
An analogous synthetic approach has been developed in order to study the chiral composition of natural 3,4-dihydro-3-oxo-edulan isomers [64] (Figure 16). For that reason, racemic 3-oxo-retro-ionol 110 was prepared by reduction of the 3-oxo-retro-ionone 109, which were in turn obtained starting from racemic α-ionone. Alcohol 110 was then transformed in the corresponding (R)-2-phenylpropionate derivative and the resulting diastereoisomeric esters were separated through preparative HPLC and then were hydrolyzed using PLE to give enantiopure alcohols (S)-110 and (R)-110. The latter compounds were subjected to simultaneous distillation/extraction treatment (SDE) at pH 1 and afforded 3,4-dihydro-3-oxo-edulan (S)-111 and (R)-111, respectively, each one made up of two enantiopure diastereoisomers.
Figure 16.
Enantioselective synthesis of odorants having the generic edulan framework through the resolution approach: 3,4-Dihydro-3-oxo-edulan isomers.
Figure 16.
Enantioselective synthesis of odorants having the generic edulan framework through the resolution approach: 3,4-Dihydro-3-oxo-edulan isomers.

3.3. Synthesis of Relevant Apocarotenoids Having a C11 Chemical Framework
Even though the family of the C13 apocarotenoids comprises a large number of structurally different components, many of which are especially sought after for their flavour and fragrance properties, further smaller carotenoid-derived compounds have drawn both the industrial and academic interest.
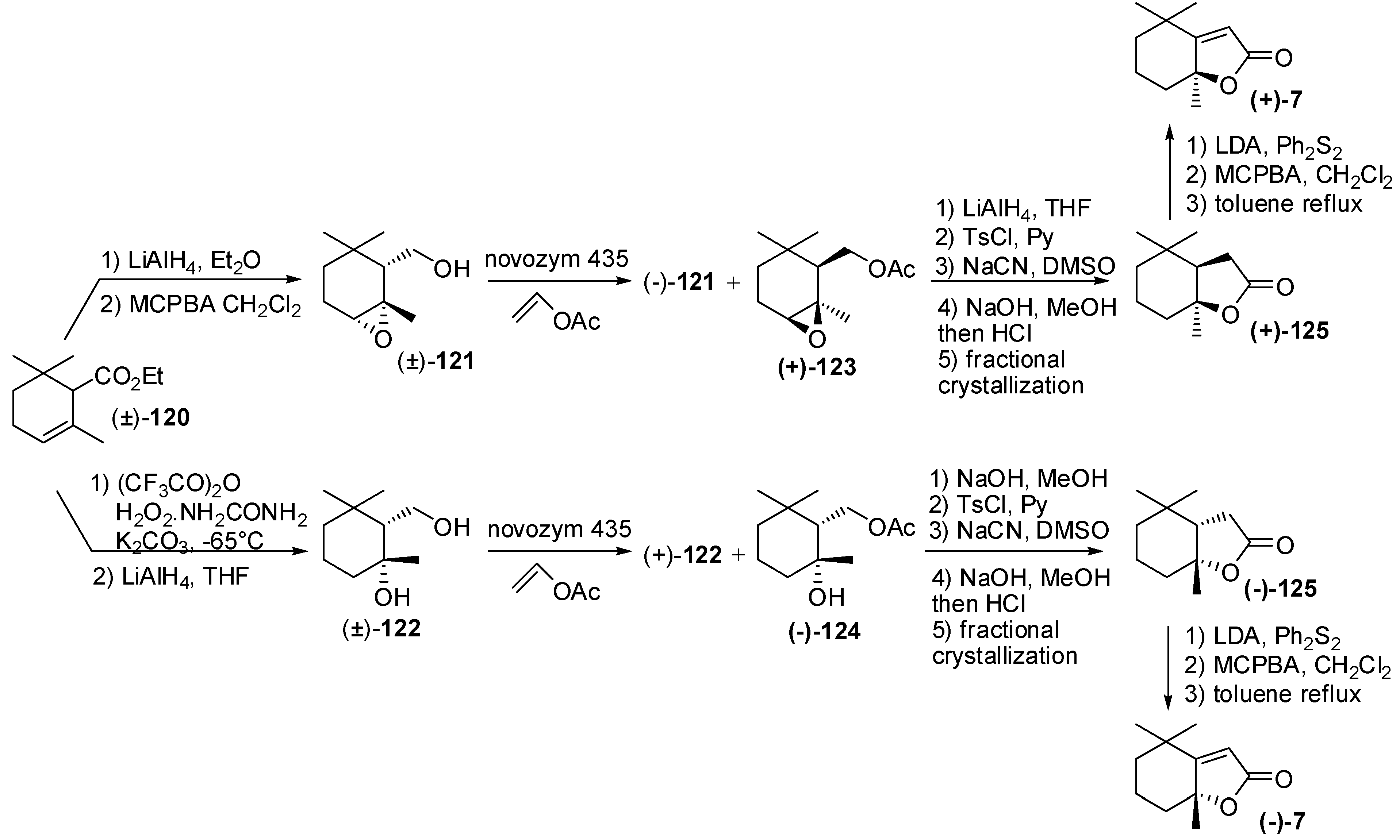
Among these compounds, the bicyclic C11 lactones possessing the general actinidiolide framework 112 (Figure 17) are widespread in nature and comprise, together with compounds 112, the dihydroactinidiolide 7 and the corresponding tetrahydro derivatives 125 (Figure 18), a number of further hydroxylated derivatives. Although actinidiolide 112 has been isolated only from the essential oil of Actinidia polygama, the structurally related dihydroactinidiolide and cis-tetrahydroactinidiolide have been recognized as flavour components in many natural sources. More specifically, these compounds were identified in a number of vegetal or in their derivatives such as tea, tobacco, wine, apricot, algae, melon and even cactaceae. Due to their biological properties and to their intriguing chemical structure, these lactones were synthesized mainly in order to furnish their comprehensive chemical characterization as well as to prove the effectiveness of the new proposed synthetic methods.
Recently, different preparative approaches have been reported. The reaction of 1,3,3-trimethylcyclohexene 113 with α-chloro-α-phenylseleno ethyl acetate 114 afforded lactone 115 [65]. The latter compound was oxidized to the corresponding selenoxide which eliminated swiftly to afford racemic dihydroactinidiolide 7. This lactone was also efficiently prepared by oxidative cyclization of the alkynyl oxirane 116 using the combination of pyridine oxide and Cu(NCMe)4NTf2 catalyst [66]. Another effective method was based on the selective 1,2-addition of the cerium enolate of ethyl acetate to 2,6,6-trimethylcyclohexenone 117 [67]. The ester group of the obtained adduct 118 was hydrolyzed and the resulting acid was converted into lactone 119 by means of iodolactonization reaction. Reduction of the iodide functional group followed by elimination of the tertiary hydroxyl group gave dihydroactinidiolide 7 whereas elimination of both functional groups afforded actinidiolide 112.
Figure 17.
Syntheses of odorants having the generic actinidiolide framework: Racemic actinidiolide and dihydroactinidiolide.
Figure 17.
Syntheses of odorants having the generic actinidiolide framework: Racemic actinidiolide and dihydroactinidiolide.

Figure 18.
Enantioselective synthesis of odorants having the generic actinidiolide framework through the resolution approach: Tetrahydroactinidiolide and dihydroactinidiolide.
Figure 18.
Enantioselective synthesis of odorants having the generic actinidiolide framework through the resolution approach: Tetrahydroactinidiolide and dihydroactinidiolide.

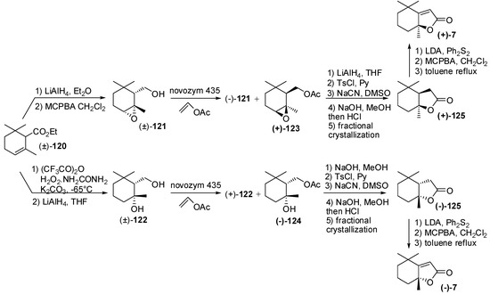
These lactones were also prepared in enantioenriched form either by enzyme mediated resolution or by asymmetric synthesis (Figure 18). cis-α-Epoxy-cyclogeraniol 121 and cis-5-hydroxy-cyclogeraniol 122 were synthesized diastereoselectively starting from easy available α-cyclogeraniate 120 [68] and the following NOVOZYM 435 catalyzed acetylation provide enantioenriched esters (+)-123 and (−)-124, respectively. The latter acetates were transformed into tetrahydroactinidiolide enantiomers (+)-125 and (−)-125, whose optical purity were efficiently increased by fractional crystallization. The obtained enantiopure lactones were converted into the corresponding dihydroactinidiolide enantiomers through a well-known two step process consisting of alkylation with diphenyldiselenide and oxidative elimination of the obtained α-phenylselenyl derivatives. Since both tetrahydroactinidiolide and dihydroactinidiolide are natural flavours that might be used in foods and beverage, a further selenium-free procedure for the transformation of tetrahydroactinidiolide into dihydroactinidiolide was described.
Accordingly, the use of diphenyldisulfide instead of diphenyldiselenide followed by MCPBA oxidation and thermal elimination of the obtained sulfone proved to be an efficient and reliable method for the transformation of tetrahydroactinidiolide into dihydroactinidiolide.
Lastly, two new asymmetric approaches to actinidiolide derivatives have been developed (Figure 19). The chiral copper(II)-bisoxazoline complex (S)-128 was used to catalyse the Diels-Alder reaction of 2,6,6-trimethyl-1,3-cyclohexadiene 126 with ethyl glyoxylate 127 [69]. The obtained enantiopure bicyclic derivative (+)-129 was transformed into lactone (−)-130 through the hydrolysis of the ethyl ester followed by acid-catalyzed rearrangement. The latter compound was subjected to either elimination reaction of the hydroxyl functional group or to double bond hydrogenation followed by elimination of the hydroxyl group, to give actinidiolide (−)-112 or dihydroactinidiolide (−)-7, respectively. Furthermore, the (R)-benzyl-BINOL SnCl4 complex 132 catalyzed the enantioselective cyclization of homogeranic acid 131 to give (+)-tetrahydroactinidiolide 125 in good enantiomeric purity [70].
Figure 19.
Asymmetric syntheses of odorants having the generic actinidiolide framework: Actinidiolide, dihydroactinidiolide and tetrahydroactinidiolide.
Figure 19.
Asymmetric syntheses of odorants having the generic actinidiolide framework: Actinidiolide, dihydroactinidiolide and tetrahydroactinidiolide.

3.4. Synthesis of Odour Active Apocarotenoids Having Less Common Chemical Frameworks
As mentioned in the introduction, the carotenoids breakdown could involve complex structural rearrangements as well as extensive fragmentation even to give very small derivatives. As a result, some apocarotenoids having less common skeletons were identified in nature and then were synthesized to evaluate their olfactory properties.
For example, the so-called Riesling acetal 136 (Figure 20) was identified in Riesling wine and quince brandy. A recent synthesis of the racemic form of this compound was accomplished by means of catalytic hydrogenation of peroxide 134 as the key step [71]. The latter compound is easily available by photochemical reaction of 4-keto-β-ionone with oxygen and its reduction with hydrogen in presence of Pt(0) catalyst gave ketal derivative 135. Finally, the transformation of the ketone functional group of 135 into the corresponding to sylhydrazone derivative followed by Bamford-Stevens reaction afforded Riesling acetal 136.
Otherwise, the photochemical reaction of 3,4-dehydro-β-ionone 90 with oxygen and the reduction of the formed bicyclic peroxide using thiourea give racemic diol 137 as a single diastereoisomer. The secondary alcohol group of the latter compound was transformed into the corresponding (−)-MTPA ester and the obtained enantiopure diastereoisomers were separated by preparative HPLC [72]. The regioselective hydrogenation of the conjugated double bond of the latter esters give the corresponding intermediate bicyclic hemiketals whose thermal treatment by simultaneous distillation/extraction treatment at pH 3 afforded (+)- and (−)-Riesling acetal isomers that differed distinctly in their odour properties.
Figure 20.
Odorants having less common chemical framework: Synthesis of Riesling acetal in racemic and enantioenriched form.
Figure 20.
Odorants having less common chemical framework: Synthesis of Riesling acetal in racemic and enantioenriched form.

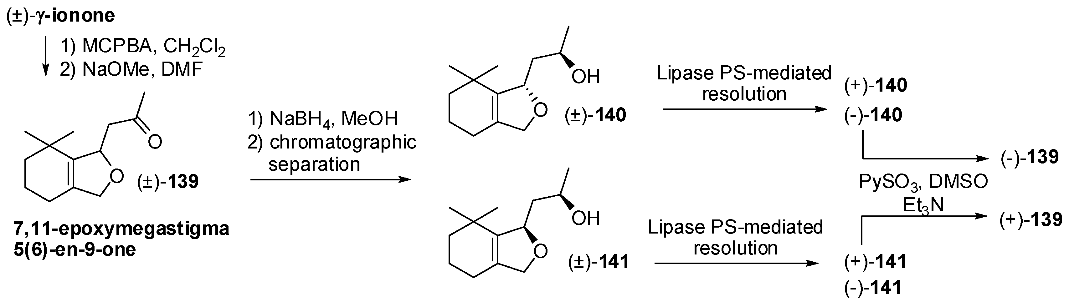
7,11-Epoxymegastigma-5(6)-en-9-one 139 is a further less common apocarotenoid that was found in passionfruit and in the scent of different orchid flowers where occurs together with diastereoisomerically alcohols 140 and 141 (Figure 21). The epoxidation of racemic γ-ionone with MCPBA followed by treatment with NaOMe afforded bicyclic ketone 139. The latter compound was reduced using NaBH4 in methanol to give alcohols 140 and 141 that were separated by chromatography and were submitted to enzyme-mediated resolution process using lipase PS as catalyst [73]. The obtained enantioenriched alcohols were also oxidized to provide ketone 139 enantiomers, allowing the olfactory evaluation of its enantiomeric forms as well as of those of the diastereoisomeric alcohols 140 and 141.
Figure 21.
Odorants having less common chemical framework: Enantioselective synthesis of 7,11-epoxymegastigma-5(6)-en-9-one and 7,11-epoxymegastigma-5(6)-en-9-ol isomers.
Figure 21.
Odorants having less common chemical framework: Enantioselective synthesis of 7,11-epoxymegastigma-5(6)-en-9-one and 7,11-epoxymegastigma-5(6)-en-9-ol isomers.

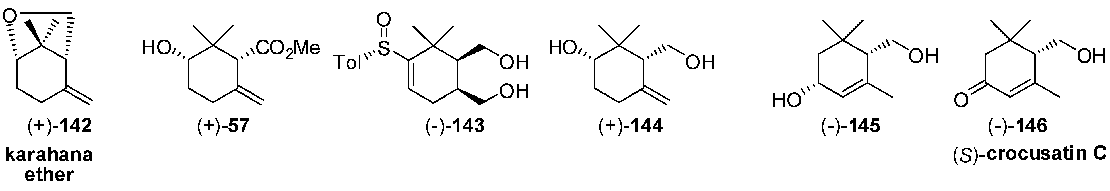
Lastly, we report the case of karahana ether (+)-142 (Figure 22) that is a volatile C10 compound, possible deriving by carotenoids degradation, which was isolated from Japanese hops and possesses a pleasant camphor-like odor. Both the enantiomeric forms of this compound were prepared either starting from enantiopure hydroxy-ester (+)-57 [54], sulfoxide (−)-143 [74] or diol (+)-144 [75], which were in turn obtained by stereoselective cyclization of an epoxyallylsilane, by stereoselective Diels-Alder reaction of an enantiopure sulfinyl diene with maleic anhydride or by lipase PS mediated resolution of the racemic diol 144, respectively. Interestingly, also the isomeric racemic diol 145 was resolved using the same lipase and the enantiopure (3R,6S) diol (−)-145 was oxidized to give (S)-crocusatin C (−)-146 [75], which is an aroma component of saffron (Crocus sativus).
Figure 22.
Odorants having less common chemical framework: Enantioselective synthesis of karahana ether and crocusatin C.
Figure 22.
Odorants having less common chemical framework: Enantioselective synthesis of karahana ether and crocusatin C.

4. Conclusions
This review provides the reader with an overview of the synthetic methods finalized to the study and preparation of carotenoid-derived flavours and fragrances that appeared in the academic and patent literature in the last 20 years. Although a number of heterogeneous chemical structures and synthetic approaches have been presented, a common point can be identified: the growing interest in the preparation and characterization of the odorants in their isomerically pure form. This general trend has already permitted the identification of the chemical compounds that could give the best performance in the preparation of new flavour and fragrance formulations or that could help a better performing of natural flavour reconstruction. Of course, this research is far from being completed and most likely this process will continue in the next years. Due to the interdisciplinary character of this field, the synthetic studies should be supported by the sensorial analysis provided by expert evaluators whereas the production of flavours and fragrances should take advantage of the new tools offered by biocatalysis and of modern methods of asymmetric synthesis.
Conflicts of Interest
The author declares no conflict of interest.
References
- Walter, M.H.; Strack, D. Carotenoids and their cleavage products: Biosynthesis and functions. Nat. Prod. Rep. 2011, 28, 663–692. [Google Scholar] [CrossRef] [PubMed]
- Moise, A.R.; Al-Babili, S.; Wurtzel, E.T. Mechanistic aspects of carotenoid biosynthesis. Chem. Rev. 2014, 114, 164–193. [Google Scholar] [CrossRef] [PubMed]
- Khoo, H.E.; Prasad, K.N.; Kong, K.W.; Jiang, Y.; Ismail, A. Carotenoids and their isomers: Color pigments in fruits and vegetables. Molecules 2011, 16, 1710–1738. [Google Scholar] [CrossRef] [PubMed]
- Walter, M.; Floss, D.; Strack, D. Apocarotenoids: Hormones, mycorrhizal metabolites and aroma volatiles. Planta 2010, 232, 1–17. [Google Scholar] [CrossRef] [PubMed]
- Cazzonelli, C.I. Carotenoids in nature: Insights from plants and beyond. Funct. Plant Biol. 2011, 38, 833–847. [Google Scholar] [CrossRef]
- Sui, X.; Kiser, P.D.; Lintig, J.V.; Palczewski, K. Structural basis of carotenoid cleavage: From bacteria to mammals. Arch. Biochem. Biophys. 2013, 539, 203–213. [Google Scholar] [CrossRef] [PubMed]
- Harrison, P.J.; Bugg, T.D.H. Enzymology of the carotenoid cleavage dioxygenases: Reaction mechanisms, inhibition and biochemical roles. Arch. Biochem. Biophys. 2014, 544, 105–111. [Google Scholar] [CrossRef] [PubMed]
- Burton, G.W.; Daroszewski, J.; Nickerson, J.G.; Johnston, J.B.; Mogg, T.J.; Nikiforov, G.B. β-Carotene autoxidation: Oxygen copolymerization, non-vitamin A products, and immunological activity. Can. J. Chem. 2014, 92, 305–316. [Google Scholar] [CrossRef]
- Carail, M.; Caris-Veyrat, C. Carotenoid oxidation products: From villain to saviour? Pure Appl. Chem. 2006, 78, 1493–1503. [Google Scholar] [CrossRef]
- Mendes-Pinto, M.M. Carotenoid breakdown products the—norisoprenoids—in wine aroma. Arch. Biochem. Biophys. 2009, 483, 236–245. [Google Scholar] [CrossRef] [PubMed]
- Surburg, H.; Panten, J. Common fragrance and flavor materials: Preparation, Properties and Uses, 5th ed.; WILEY-VCH: Weinheim, Germany, 2006. [Google Scholar]
- D’Auria, M.; Mauriello, G.; Rana, G.L. Volatile organic compounds from saffron. Flavour Frag. J. 2004, 19, 17–23. [Google Scholar] [CrossRef]
- Silva, I.; Coimbra, M.A.; Barros, A.S.; Marriott, P.J.; Rocha, S.M. Can volatile organic compounds be markers of sea salt? Food Chem. 2015, 169, 102–113. [Google Scholar] [CrossRef] [PubMed]
- Serra, S.; Fuganti, C.; Brenna, E. Biocatalytic preparation of natural flavours and fragrances. Trends Biotechnol. 2005, 23, 193–198. [Google Scholar] [CrossRef] [PubMed]
- US Code of Federal Regulations; Food and Drug Administration: Washington, WA, USA, 1985.
- The European Commission. Regulation (EU) No 872/2012. 1 October 2012. [Google Scholar]
- Schwartz, S.H.; Qin, X.Q.; Zeevaart, J.A.D. Characterization of a novel carotenoid cleavage dioxygenase from plants. J. Biol. Chem. 2001, 276, 25208–25211. [Google Scholar] [CrossRef] [PubMed]
- Simkin, A.J.; Underwood, B.A.; Auldridge, M.; Loucas, H.M.; Shibuya, K.; Schmelz, E.; Clark, D.G.; Klee, H.J. Circadian regulation of the PhCCD1 carotenoid cleavage dioxygenase controls emission of β-ionone, a fragrance volatile of petunia flowers. Plant Physiol. 2004, 136, 3504–3514. [Google Scholar] [CrossRef] [PubMed]
- Ibdah, M.; Azulay, Y.; Portnoy, V.; Wasserman, B.; Bar, E.; Meir, A.; Burger, Y.; Hirschberg, J.; Schaffer, A.A.; Katzir, N.; et al. Functional characterization of CmCCD1, a carotenoid cleavage dioxygenase from melon. Phytochemistry 2006, 67, 1579–1589. [Google Scholar] [CrossRef] [PubMed]
- Vogel, J.T.; Tan, B.C.; Mc Carty, D.R.; Klee, H.J. The carotenoid cleavage dioxygenase 1 enzyme has broad substrate specificity, cleaving multiple carotenoids at two different bond positions. J. Biol. Chem. 2008, 283, 11364–11373. [Google Scholar] [CrossRef] [PubMed]
- Huang, F.C.; Horváth, G.; Molnár, P.; Turcsi, E.; Deli, J.; Schrader, J.; Sandmann, G.; Schmidt, H.; Schwab, W. Substrate promiscuity of RdCCD1, a carotenoid cleavage oxygenase from Rosa damascena. Phytochemistry 2009, 70, 457–464. [Google Scholar] [CrossRef] [PubMed]
- Baldermann, S.; Kato, M.; Kurosawa, M.; Kurobayashi, Y.; Fujita, A.; Fleischmann, P.; Watanabe, N. Functional characterization of a carotenoid cleavage dioxygenase 1 and its relation to the carotenoid accumulation and volatile emission during the floral development of Osmanthus fragrans Lour. J. Exp. Bot. 2010, 61, 2967–2977. [Google Scholar] [CrossRef] [PubMed]
- Yahyaa, M.; Bar, E.; Dubey, N.K.; Meir, A.; Davidovich-Rikanati, R.; Hirschberg, J.; Aly, R.; Tholl, D.; Simon, P.W.; Tadmor, Y.; et al. Formation of norisoprenoid flavor compounds in carrot (Daucus carota L.) roots: Characterization of a cyclic-specific carotenoid cleavage dioxygenase 1 gene. J. Agric. Food Chem. 2013, 61, 12244–12252. [Google Scholar] [CrossRef] [PubMed]
- Lashbrooke, J.; Young, P.; Dockrall, S.; Vasanth, K.; Vivier, M. Functional characterisation of three members of the Vitis vinifera L. Carotenoid cleavage dioxygenase gene family. BMC Plant Biol. 2013, 13. [Google Scholar] [CrossRef] [PubMed]
- Ilg, A.; Bruno, M.; Beyer, P.; Al-Babili, S. Tomato carotenoid cleavage dioxygenases 1A and 1B: Relaxed double bond specificity leads to a plenitude of dialdehydes, mono-apocarotenoids and isoprenoid volatiles. FEBS Open Biol. 2014, 4, 584–593. [Google Scholar] [CrossRef] [PubMed]
- Frusciante, S.; Diretto, G.; Bruno, M.; Ferrante, P.; Pietrella, M.; Prado-Cabrero, A.; Rubio-Moraga, A.; Beyer, P.; Gomez-Gomez, L.; Al-Babili, S.; et al. Novel carotenoid cleavage dioxygenase catalyzes the first dedicated step in saffron crocin biosynthesis. Proc. Natl. Acad. Sci. USA 2014, 111, 12246–12251. [Google Scholar] [CrossRef] [PubMed]
- Beekwilder, J.; van Rossum, H.M.; Koopman, F.; Sonntag, F.; Buchhaupt, M.; Schrader, J.; Hall, R.D.; Bosch, D.; Pronk, J.T.; van Maris, A.J.A.; et al. Polycistronic expression of a β-carotene biosynthetic pathway in Saccharomyces cerevisiae coupled to β-ionone production. J. Biotechnol. 2014, 192, 383–392. [Google Scholar] [CrossRef] [PubMed]
- Zorn, H.; Langhoff, S.; Scheibner, M.; Berger, R.G. Cleavage of β,β-carotene to flavor compounds by fungi. Appl. Microbiol. Biotechnol. 2003, 62, 331–336. [Google Scholar] [CrossRef] [PubMed]
- Zelena, K.; Hardebusch, B.; Hülsdau, B.; Berger, R.G.; Zorn, H. Generation of norisoprenoid flavors from carotenoids by fungal peroxidases. J. Agric. Food Chem. 2009, 57, 9951–9955. [Google Scholar] [CrossRef] [PubMed]
- Nacke, C.; Hüttmann, S.; Etschmann, M.W.; Schrader, J. Enzymatic production and in situ separation of natural β-ionone from β-carotene. J. Ind. Microbiol. Biotechnol. 2012, 39, 1771–1778. [Google Scholar] [CrossRef] [PubMed]
- Brenna, E.; Fuganti, C.; Serra, S. Enantioselective perception of chiral odorants. Tetrahedron Asymmetry 2003, 14, 1–42. [Google Scholar] [CrossRef]
- Brenna, E.; Fuganti, C.; Serra, S.; Kraft, P. Optically active ionones and derivatives: Preparation and olfactory properties. Eur. J. Org. Chem. 2002, 967–978. [Google Scholar] [CrossRef]
- Serra, S.; Fuganti, C.; Brenna, E. Two easy photochemical methods for the conversion of commercial ionone alpha into regioisomerically enriched γ-ionone and γ-dihydroionone. Flavour Frag. J. 2007, 22, 505–511. [Google Scholar] [CrossRef]
- Sobotka, H.; Bloch, E.; Cahnmann, H.; Feldbau, E.; Rosen, E. Studies on ionone. II. Optical resolution of dl-α-ionone. J. Am. Chem. Soc. 1943, 65, 2061–2062. [Google Scholar] [CrossRef]
- Brenna, E.; Fuganti, C.; Gatti, F.G.; Serra, S. Biocatalytic methods for the synthesis of enantioenriched odor active compounds. Chem. Rev. 2011, 111, 4036–4072. [Google Scholar] [CrossRef] [PubMed]
- Brenna, E.; Fuganti, C.; Grasselli, P.; Redaelli, M.; Serra, S. Enzyme-mediated synthesis of (R)- and (S)-α-ionone. J. Chem. Soc. Perkin Trans. 1 1998, 4129–4134. [Google Scholar] [CrossRef]
- Fuganti, C.; Serra, S.; Zenoni, A. Synthesis and olfactory evaluation of (+)- and (−)-γ-ionone. Helv. Chim. Acta 2000, 83, 2761–2768. [Google Scholar] [CrossRef]
- Yamamoto, T.; Yagi, K.; Ishida, K. Method for Producing Optically Active Alpha-Ionone. US Patent 2009/0216039 A1, 27 August 2009. [Google Scholar]
- Serra, S.; Fuganti, C.; Brenna, E. Synthesis, olfactory evaluation, and determination of the absolute configuration of the 3,4-didehydroionone stereoisomers. Helv. Chim. Acta 2006, 89, 1110–1122. [Google Scholar] [CrossRef]
- Serra, S. An expedient preparation of enantio-enriched ambergris odorants starting from commercial ionone alpha. Flavour Frag. J. 2013, 28, 46–52. [Google Scholar] [CrossRef]
- Serra, S.; Lissoni, V. First enantioselective synthesis of marine diterpene ambliol-A. Eur. J. Org. Chem. 2015, 2226–2234. [Google Scholar] [CrossRef]
- Serra, S.; Cominetti, A.A.; Lissoni, V. A general synthetic approach to hydroquinone meroterpenoids: Stereoselective synthesis of (+)-(S)-metachromin V and alliodorol. Nat. Prod. Commun. 2014, 9, 303–308. [Google Scholar] [PubMed]
- Serra, S.; Cominetti, A.A.; Lissoni, V. Use of (S)-trans-γ-monocyclofarnesol as a useful chiral building block for the stereoselective synthesis of diterpenic natural products. Nat. Prod. Commun. 2014, 9, 329–335. [Google Scholar] [PubMed]
- Serra, S. A practical, enantiospecific synthesis of (S)-trans-γ-monocyclofarnesol. Nat. Prod. Commun. 2012, 7, 1569–1572. [Google Scholar] [PubMed]
- Aleu, J.; Brenna, E.; Fuganti, C.; Serra, S. Lipase-mediated synthesis of the enantiomeric forms of 4,5-epoxy-4,5-dihydro-α-ionone and 5,6-epoxy-5,6-dihydro-β-ionone. A new direct access to enantiopure (R)- and (S)-α-ionone. J. Chem. Soc. Perkin Trans. 1 1999, 271–278. [Google Scholar] [CrossRef]
- More, G.P.; Bhat, S.V. Facile lipase catalysed syntheses of (S)-(+)-4-hydroxy-β-ionone and (S)-(+)-4-hydroxy-β-damascone: Chiral flavorants and synthons. Tetrahedron Lett. 2013, 54, 4148–4149. [Google Scholar] [CrossRef]
- Serra, S.; Fuganti, C. Synthesis of the enantiomeric forms of α- and γ-damascone starting from commercial racemic α-ionone. Tetrahedron Asymmetry 2006, 17, 1573–1580. [Google Scholar] [CrossRef]
- Fehr, C.; Galindo, J. Synthesis of (R)-(+)- and (S)-(−)-α-damascone by tandem grignard reaction-enantioselective protonation: Evidence for the intermediacy of a chiral complex. J. Am. Chem. Soc. 1988, 110, 6909–6911. [Google Scholar] [CrossRef]
- Fehr, C.; Galindo, J. Catalytic enantioselective protonation of enolates. Angew. Chem. Int. Edit. 1994, 33, 1888–1889. [Google Scholar] [CrossRef]
- Fehr, C.; Galindo, J. Syntheses of the enantiomers of γ-cyclogeranic acid, γ-cyclocitral, and γ-damascone: Enantioselective protonation of enolates. Helv. Chim. Acta 1995, 78, 539–552. [Google Scholar] [CrossRef]
- Fehr, C.; Guntern, O. Efficient synthesis of enantiomerically pure α-ionone from (R)- and (S)-α-damascone. Helv. Chim. Acta 1992, 75, 1023–1028. [Google Scholar] [CrossRef]
- Soorukram, D.; Knochel, P. Enantioselective synthesis of α-ionone derivatives using an anti SN2′ substitution of functionalized zinc organometallics. Org. Lett. 2004, 6, 2409–2411. [Google Scholar] [CrossRef] [PubMed]
- Bovolenta, M.; Castronovo, F.; Vadalà, A.; Zanoni, G.; Vidari, G. A simple and efficient highly enantioselective synthesis of α-ionone and α-damascone. J. Org. Chem. 2004, 69, 8959–8962. [Google Scholar] [CrossRef] [PubMed]
- Beszant, S.; Giannini, E.; Zanoni, G.; Vidari, G. Enantioselective synthesis of both enantiomers of γ-ionone, γ-damascone, karahana lactone and karahana ether. Tetrahedron Asymmetry 2002, 13, 1245–1255. [Google Scholar] [CrossRef]
- Stefanoni, M.; Luparia, M.; Porta, A.; Zanoni, G.; Vidari, G. A simple and versatile Re-catalyzed Meyer—Schuster rearrangement of propargylic alcohols to α,β-unsaturated carbonyl compounds. Chem. Eur. J. 2009, 15, 3940–3944. [Google Scholar] [CrossRef] [PubMed]
- Boulin, B.; Taran, M.; Miguel, B.A.S.; Delmond, B. New preparation methods for α-damascone, γ-damascone, and β-damascenone using pyronenes. Synth. Commun. 2007, 37, 2579–2591. [Google Scholar] [CrossRef]
- Boulin, B.; Arreguy-San Miguel, B.; Delmond, B. Nouvelles voies d'accès aux theaspiranes, mégastigma-5,7,9-trién-4-one et mégastigma-5,8-dién-4-one à partir du γ-pyronène. Tetrahedron 2000, 56, 3927–3932. [Google Scholar] [CrossRef]
- Ito, N.; Etoh, T.; Hagiwara, H.; Kato, M. Novel synthesis of degradation products of carotenoids, megastigmatrienone analogues and blumenol-A. J. Chem. Soc. Perkin Trans. 1 1997, 1571–1580. [Google Scholar] [CrossRef]
- Paquette, L.A.; Lanter, J.C.; Wang, H.-L. Concise synthesis of cis- and trans-theaspirones via oxonium ion-initiated pinacol ring expansion. J. Org. Chem. 1996, 61, 1119–1121. [Google Scholar] [CrossRef]
- Young, J.J.; Jung, L.J.; Cheng, K.M. Amberlyst-15-catalyzed intramolecular SN2′ oxaspirocyclization of secondary allylic alcohols. Application to the total synthesis of spirocyclic ethers theaspirane and theaspirone. Tetrahedron Lett. 2000, 41, 3415–3418. [Google Scholar] [CrossRef]
- Serra, S.; Barakat, A.; Fuganti, C. Chemoenzymatic resolution of cis- and trans-3,6-dihydroxy-α-ionone. Synthesis of the enantiomeric forms of dehydrovomifoliol and 8,9-dehydrotheaspirone. Tetrahedron Asymmetry 2007, 18, 2573–2580. [Google Scholar] [CrossRef]
- Harada, M.; Matsuda, H.; Ishida, K.; Yamazaki, Y. Process for Producing Optically Active Theaspirane. US Patent 2009/0270516 A1, 29 October 2009. [Google Scholar]
- Honda, T.; Yamauchi, A.; Tsubuki, M.; Matsumoto, T. Chiral syntheses of edulans I, II and dihydroedulans I, II and absolute configurations of edulans I, II. Tetrahedron: Asymmetry 1997, 8, 837–839. [Google Scholar] [CrossRef]
- Schmidt, G.; Neugebauer, W.; Winterhalter, P.; Schreier, P. Synthesis and enantiodifferentiation of isomeric 2,3,5,6,8,8a-hexahydro-2,5,5,8a-tetramethyl-7H-1-benzopyran-7-ones (3,4-dihydro-3-oxoedulans). J. Agr. Food Chem. 1995, 43, 1898–1902. [Google Scholar] [CrossRef]
- Dabdoub, M.J.; Silveira, C.C.; Lenardão, E.J.; Guerrero, P.G.; Viana, L.H.; Kawasoko, C.Y.; Baroni, A.C.M. Total synthesis of (±)-dihydroactinidiolide using selenium-stabilized carbenium ion. Tetrahedron Lett. 2009, 50, 5569–5571. [Google Scholar] [CrossRef]
- Gronnier, C.; Kramer, S.; Odabachian, Y.; Gagosz, F. Cu(I)-catalyzed oxidative cyclization of alkynyl oxiranes and oxetanes. J. Am. Chem. Soc. 2011, 134, 828–831. [Google Scholar] [CrossRef] [PubMed]
- Eidman, K.F.; MacDougall, B.S. Synthesis of loliolide, actinidiolide, dihydroactinidiolide, and aeginetolide via cerium enolate chemistry. J. Org. Chem. 2006, 71, 9513–9516. [Google Scholar] [CrossRef] [PubMed]
- Serra, S.; Piccioni, O. A new chemo-enzymatic approach to the stereoselective synthesis of the flavors tetrahydroactinidiolide and dihydroactinidiolide. Tetrahedron Asymmetry 2015, 26, 584–592. [Google Scholar] [CrossRef]
- Yao, S.; Johannsen, M.; Hazell, R.G.; Jørgensen, K.A. Total synthesis of (R)-dihydroactinidiolide and (R)-actinidiolide using asymmetric catalytic hetero-Diels-Alder methodology. J. Org. Chem. 1998, 63, 118–121. [Google Scholar] [CrossRef] [PubMed]
- Upar, K.B.; Mishra, S.J.; Nalawade, S.P.; Singh, S.A.; Khandare, R.P.; Bhat, S.V. Efficient enantioselective synthesis of (+)-sclareolide and (+)-tetrahydroactinidiolide: Chiral LBA-induced biomimetic cyclization. Tetrahedron Asymmetry 2009, 20, 1637–1640. [Google Scholar] [CrossRef]
- Riveira, M.N.J.; La-Venia, A.; Mischne, M.P. New strategy for the construction of epoxy-bridged tetrahydropyran frameworks from trioxane precursors: Application to a concise synthesis of a Riesling acetal. J. Org. Chem. 2008, 73, 8678–8681. [Google Scholar] [CrossRef] [PubMed]
- Dollmann, B.; Full, G.; Schreier, P.; Winterhalter, P.; Güntert, M.; Sommer, H. Synthesis and enantiodifferentiation of riesling acetals. Phytochem. Anal. 1995, 6, 106–111. [Google Scholar] [CrossRef]
- Brenna, E.; Fuganti, C.; Serra, S. Synthesis and olfactory evaluation of the enantiomerically enriched forms of 7,11-epoxymegastigma-5(6)-en-9-one and 7,11-epoxymegastigma-5(6)-en-9-ols isomers, identified in Passiflora edulis. Tetrahedron Asymmetry 2005, 16, 1699–1704. [Google Scholar] [CrossRef]
- Gosselin, P.; Bonfand, E.; Maignan, C. Application of the stereoselective Diels-Alder reaction of enantiopure 2-sulfinyl dienes: Synthesis of (−)-(1S,5R)-karahana ether. J. Org. Chem. 1996, 61, 9049–9052. [Google Scholar] [CrossRef] [PubMed]
- Serra, S.; Gatti, F.G.; Fuganti, C. Lipase-mediated resolution of the hydroxy-cyclogeraniol isomers: Application to the synthesis of the enantiomers of karahana lactone, karahana ether, crocusatin C and γ-cyclogeraniol. Tetrahedron Asymmetry 2009, 20, 1319–1329. [Google Scholar] [CrossRef]
© 2015 by the authors. Licensee MDPI, Basel, Switzerland. This article is an open access article distributed under the terms and conditions of the Creative Commons Attribution license ( http://creativecommons.org/licenses/by/4.0/).