Next Article in Journal
Quantification of Polyfunctional Thiols in Wine by HS-SPME-GC-MS Following Extractive Alkylation
Previous Article in Journal
Protective Effect of Procyanidin B2 against CCl4-Induced Acute Liver Injury in Mice
 
 
Font Type:
Arial Georgia Verdana
Font Size:
Aa Aa Aa
Line Spacing:
Column Width:
Background:
Article

Synthesis and Evaluation of New Podophyllotoxin Derivatives with in Vitro Anticancer Activity

1
Institute of Medicinal Plant Development, Chinese Academy of Medical Sciences and Peking Union Medical College, Beijing 100193, China
2
Pharmacognosy Division, Medical College of Chinese People's Armed Police Force, Tianjin 300162, China
3
Tianjin Key Laboratory on Technologies Enabling Development of Clinical Therapeutics and Diagnostics, School of Pharmacy, Tianjin Medical University, Tianjin 300070, China
*
Author to whom correspondence should be addressed.
These authors contributed equally to this work.
Molecules 2015, 20(7), 12266-12279; https://doi.org/10.3390/molecules200712266
Submission received: 28 April 2015 / Revised: 28 June 2015 / Accepted: 29 June 2015 / Published: 6 July 2015
(This article belongs to the Section Medicinal Chemistry)

Abstract

:
A series of novel podophyllotoxin derivatives were designed and synthesized. The cytotoxic activities of these compounds were tested against three tumor cell lines (HeLa, K562, and K562/A02). Most of the derivatives (IC50 = 1–20 μM) were found to have stronger cell growth inhibitory activity than positive control etoposide. Among them, 4β-N-[(E)-(5-((4-(4-nitrophenyl)-piperazin-1-yl)methyl)furan-2-yl)prop-2-en-1-amine]-4-desoxy-podophyllotoxin (9l) demonstrated significant inhibitory activity against HeLa, K562, and K562/A02 cell lines with IC50 values of 7.93, 6.42, 6.89 μM, respectively.

Graphical Abstract

1. Introduction

Cancer is a major public health problem in the world. In 2008, 7.6 million people died of cancer (around 13% of all deaths), and this number is projected to increase with an estimated 13.1 million in 2030 [1].
Podophyllotoxin (PPT, a), the most abundant naturally occurring cyclolignan isolated mainly from Podophyllum peltatum and P. hexandrum, has important antineoplastic and antiviral properties [2]. However, its antimitotic activity is proved to be of the greatest interest to researchers [3]. Because of its toxic side effects, extensive structural modifications were performed since the 1950s. Podophyllotoxin derivatives possess antitumor activity, such as etoposide (VP-16, b) and teniposide (VM-26, c) (Figure 1) have been widely used as anticancer drugs for clinical chemotherapy [4]. However, their low water solubility, acquired drug-resistance and severe gastrointestinal disturbances have promoted the search for new derivatives of podophyllotoxin [5]. The structural modifications and mechanism of action of podophyllotoxin have been studied over the years and the C4 position is considered potentially the most modifiable position. Diverse analogs like GL-331 (d), NPF (e), TOP-53 (f), NK-611 (g) (Figure 1), which are presently under clinical trial have been developed [6,7,8].
Investigation of the structure-activity relationships of PPT indicates that the trans-lactone, the 4β-substituted moiety, and the 4′-demethyl moieties are essential for TOP-II inhibitory activity [9,10]. In recent years, our group and others have found that several analogs with N-substitutions at the C4 position show an improved antitumor activity compared with VP-16 [11,12,13,14,15,16,17,18,19,20,21,22,23]. In this study, furfuran amines of 4β-N-substituted podophyllotoxin derivatives were designed and synthesized. The antiproliferative activities of the synthesized compounds against human cervical cancer cell line (HeLa), chronic myeloid leukemia cell line (K562) and red leukemia multi-drug resistance cell line (K562/A02) were evaluated and a preliminary SAR study of these compounds is discussed.
Figure 1. Structures of podophyllotoxin (a); etoposide (b); teniposide (c); GL-331 (d); NPF (e); TOP-53 (f); NK-611 (g).
Figure 1. Structures of podophyllotoxin (a); etoposide (b); teniposide (c); GL-331 (d); NPF (e); TOP-53 (f); NK-611 (g).
Molecules 20 12266 g001

2. Results and Discussion

2.1. Chemistry

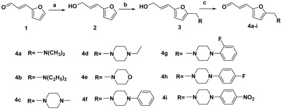
The synthesis of compounds 4ai is outlined in Scheme 1. Treatment of 1 with NaBH4 in dry methanol yielded compound 2. Compound 3 was prepared by means of a Mannich reaction of 2 with a secondary amine in the presence of glacial acetic acid and formaldehyde. Then, compound 3 was reacted with active manganese dioxide to give the intermediates 4ai.
Scheme 1. Synthesis of furan intermediates.
Scheme 1. Synthesis of furan intermediates.
Molecules 20 12266 g002
Reagents and conditions: (a) NaBH4, MeOH, 25 °C, 2 h; (b) CH3COOH/HCHO/amines, 50 °C, 4 h; (c) MnO2/CH2Cl2, 25 °C, 2 h.
The synthetic route (Scheme 2) to the target compounds 9an involved the intermediate 7, which was prepared from 5. In the presence of sodium azide, compound 6 was derived from 5 [24]. Then, compound 7 was derived from 6 through a reduction of azide. Next, 7 was combined with compounds 4ai, respectively, in the presence of absolute methanol and a catalytic amount of glacial acetic acid to provide the 8. Then, reduction of 8 gave compounds 9an, respectively. The structures of the intermediates 4ai, and 14 target compounds were identified by HRMS, 1H-NMR, and 13C-NMR spectral analysis.
In this paper, the C4-configuration of the novel podophyllotoxin derivatives was deduced from the reaction mechanism as well as evidences from NMR data. The nucleophilic substitution occurring at the C4 position was assumed to follow an SN1 mechanism [25]. It was presumed that C4-β-substitution was the main product due to the bulky C1-α-substituted aromatic ring. The configuration of the targeted compounds was identified as C4-β based on their small J3,4 values, because the J3,4 value is larger than 10 Hz in C4-α isomer [26].
Scheme 2. Synthesis of podophyllotoxin derivatives.
Scheme 2. Synthesis of podophyllotoxin derivatives.
Molecules 20 12266 g003
Reagents and conditions: (a) NaN3, CF3COOH, CH2Cl2, reflux, 4 h; (b) Pd/C, HCOONH4, EtOAc, reflux, 5 h; (c) CH3COOH, MeOH, 25 °C, 8 h; (d) NaBH4, MeOH, 0 °C, 4 h.

2.2. Biological Results and Discussion

Cytotoxicities of all target derivatives were evaluated against three human cancer cell lines by the MTT assay. These three cell lines are: HeLa, K562 and K562/A02. The results are summarized in Table 1.
As shown in Table 1, most of compounds exhibited potent antiproliferative activity against all three cell lines with IC50 = 1–20 μM. Among them, compounds 9a, 9e, 9i and 9k were more cytotoxic towards HeLa cells than the positive control, VP-16. Compound 9i is the strongest antiproliferative activity against HeLa cells (IC50 = 0.19 μM). Compound 9e showed stronger potency against K562 tumor cells than VP-16, whereas Compounds 9a, 9f, 9g, 9i, 9k, 9l and 9m displayed moderate cytotoxicities in K562 cell lines. Cancer multidrug resistance (MDR) is a common cause of treatment failure in cancer patients. Interestingly, the podophyllotoxin derivatives of 9g, 9j, 9k, 9l and 9m showed higher activity toward drug-resistant K562/A02 cells (IC50 = 6.89–43.84 μM) than VP-16, indicating a great potential of those derivatives to possess anti-multidrug resistance.
We also deduced the preliminary structure-activity relationships of these compounds. First, the 4′-OH derivatives were more cytotoxic than the corresponding 4′-OMe analogs. This observation is in accord with previously reported activities of closely related structures [11,27]. Second, the introduction of a benzene group (compare 9j and 9f, 9l and 9f, 9m and 9f) such as fluorine substituent at the 4-position of phenyl ring (9j), nitro substituent at the 4-position of phenyl ring (9l), unsubstituted phenyl ring (9m), resulted in a considerably higher increase in cytotoxicity in the MDR cell line, K562/A02, than etoposide. Compound 9l showed outstanding cytotoxicity towards K562/A02. Our previous results indicate that these derivatives were inhibitors of the expression of MDR-1 in K562/A02 cells [11], having crucial research significance. It was suggested that compound 9l may overcome MDR by reducing the expression of MDR-1.
Table 1. Cytotoxicities of podophyllotoxin derivatives against Hela, K562 and K562/A02.
Table 1. Cytotoxicities of podophyllotoxin derivatives against Hela, K562 and K562/A02.
CompoundIC50 (μM) a,bRF
HeLaK562K562/A02
9a2.61 ± 0.144.19 ± 0.34118.95 ± 3.2128.38
9b15.32 ± 0.8839.31 ± 1.23159.95 ± 2.144.06
9c8.32 ± 0.7612.46 ± 0.9791.97 ± 1.237.38
9d25.31 ± 1.5518.72 ± 0.79>1000>100
9e3.22 ± 0.781.00 ± 0.1278.66 ± 1.3178.66
9f22.56 ± 0.886.22 ± 0.5585.75 ± 2.4513.78
9g25.78 ± 1.023.33 ± 0.4343.94 ± 0.9813.19
9h>100>100>1000>100
9i0.19 ± 0.018.66 ± 0.6763.79 ± 0.987.36
9j10.23 ± 0.7514.88 ± 0.9928.29 ± 0.791.90
9k0.52 ± 0.015.57 ± 0.3435.32 ± 1.296.34
9l7.93 ± 0.596.42 ± 0.546.89 ± 0.431.07
9m7.52 ± 0.675.67 ± 0.4910.31 ± 0.861.81
9nNENENENE
VP-168.27 ± 0.994.39 ± 1.21226.7 ± 4.8951.64
a The value is the average of three replicates; b IC50: concentration that causes a 50% reduction of cell growth. NE: not evaluated. RF: resistance factor was calculated from the ratio of the growth inhibition constant (IC50) of the resistant cell sub-line to that of the parental cell line. VP-16: etoposide—the clinical use of anticancer drugs.

3. Experimental Section

3.1. Chemistry

Melting points were determined on an electric X-4 digital visual melting point apparatus. The 1H-NMR and 13C-NMR spectra were obtained using a Bruker ARX instrument (300 MHz, 400 MHz and 600 MHz). Chemical shifts are reported in ppm downfield from internal TMS as standard. HRMS were obtained on Agilent 6210 TOP-MS and are reported as m/z. Unless otherwise noted, all common reagents and solvents were obtained from commercial suppliers without further purification.

3.1.1. General Procedure for the Synthesis of Compounds 4ai

Compounds (4ai) were synthesized by means of a Mannich reaction. (E)-3-(furan-2-yl) acrylaldehyde (1.0 mmol) and NaBH4 (2.0 mmol) in dry MeOH (15 mL) were added to a 50 mL dried round-bottom flask. The mixture was reacted at room temperature for 2 h. Then the solvent was evaporated to give the intermediate 2. A mixture of 2 (1.0 mmol) and the corresponding secondary amine (1.5 mmol) in glacial acetic acid (20 mL) containing formaldehyde (1.5 mmol) was stirred at 50 °C for 4 h. After completion of the reaction was monitored by thin layer chromatography (TLC), the solvent was removed and the residue was added water (15 mL) before neutralization with saturated aqueous NaOH and extraction with ethyl acetate (3 × 30 mL). The combined organic layer was washed with water followed by brine, dried over Na2SO4, filtered, and concentrated to give compound 3. To a stirred solution of compound 3 (1.0 mmol) in dry CH2Cl2 (20 mL) was added active manganese dioxide (10.0 mmol) at room temperature, and the reaction mixture was stirred for 2 h, After the reaction was completed, the mixture was filtered and concentrated to provide a yellow oil and purified by column chromatography on silica gel using petroleum ether-ethyl acetate to afford the yellow solids 4ai [11].
(E)-3-(5-((Dimethylamino)methyl)furan-2-yl)acrylaldehyde (4a). Yield: 82%; Colorless oil; 1H-NMR (400 MHz, CDCl3) δ 9.55 (dd, J = 7.9, 1.9 Hz, 1H), 7.13 (dd, J = 15.7, 1.8 Hz, 1H), 6.68 (t, J = 2.5 Hz, 1H), 6.52 (ddd, J = 15.7, 7.9, 1.8 Hz, 1H), 6.32 (t, J = 2.5 Hz, 1H), 3.48 (s, 2H), 2.25 (s, 6H). 13C-NMR (100 MHz, CDCl3) δ 192.7, 156.9, 150.2, 137.7, 125.5, 117.6, 111.7, 55.9, 45.15. HR-ESI-MS m/z: 180.1141 for [M + H]+ (calcd. 180.1025 for C10H14NO2).
(E)-3-(5-((Diethylamino)methyl)furan-2-yl)acrylaldehyde (4b). Yield: 80%; Colorless oil; 1H-NMR (400 MHz, CDCl3) δ 9.49 (d, J = 8.0 Hz, 1H), 7.08 (d, J = 15.6 Hz, 1H), 6.63 (d, J = 3.3 Hz, 1H), 6.43 (dd, J = 15.6, 8.0 Hz, 1H), 6.25 (d, J = 3.3 Hz, 1H), 3.61 (s, 2H), 2.45 (q, J = 7.2 Hz, 4H), 0.99 (t, J = 7.2 Hz, 6H). 13C-NMR (100 MHz, CDCl3) δ 192.6, 157.5, 149.8, 137.7, 125.1, 117.7, 111.5, 48.8, 47.1, 12.0. HR-ESI-MS m/z: 208.1340 for [M + H]+ (calcd. 208.1338 for C12H18NO2).
(E)-3-(5-((4-Methylpiperazin-1-yl)methyl)furan-2-yl)acrylaldehyde (4c). Yield: 78%; Colorless oil; 1H-NMR (400 MHz, CDCl3) δ 9.51 (d, J = 7.9 Hz, 1H), 7.09 (d, J = 15.7 Hz, 1H), 6.64 (d, J = 3.4 Hz, 1H), 6.47 (dd, J = 15.6, 7.9 Hz, 1H), 6.29 (d, J = 3.4 Hz, 1H), 3.53 (s, 2H), 2.48 (s, 4H), 2.39 (s, 4H), 2.20 (s, 3H). 13C-NMR (100 MHz, CDCl3) δ 192.7, 156.1, 150.1, 137.7, 125.5, 117.6, 112.0, 54.9, 54.7, 52.6, 45.9. HR-ESI-MS m/z: 235.1448 for [M + H]+ (calcd. 235.1447 for C13H19N2O2).
(E)-3-(5-((4-Ethylpiperazin-1-yl)methyl)furan-2-yl)acrylaldehyde (4d). Yield: 79%; Colorless oil; 1H-NMR (400 MHz, CDCl3) δ 9.42 (d, J = 7.9 Hz, 1H), 7.02 (d, J = 15.6 Hz, 1H), 6.57 (d, J = 3.4 Hz, 1H), 6.38 (dd, J = 15.6, 7.9 Hz, 1H), 6.21 (d, J = 3.4 Hz, 1H), 3.45 (s, 2H), 2.51–2.38 (m, 4H), 2.34 (s, 4H), 2.28–2.21 (m, 2H), 0.90 (t, J = 7.2 Hz, 3H). 13C-NMR (100 MHz, CDCl3) δ 192.4, 155.9, 149.9, 137.5, 125.2, 117.4, 111.8, 54.5, 52.4, 52.4, 51.9, 11.7. HR-ESI-MS m/z: 249.1607 for [M + H]+ (calcd. 249.1603 for C14H21N2O2).
(E)-3-(5-(Morpholinomethyl)furan-2-yl)acrylaldehyde (4e). Yield: 76%; Colorless oil; 1H-NMR (400 MHz, CDCl3) δ 9.47 (d, J = 7.9 Hz, 1H), 7.08 (d, J = 15.6 Hz, 1H), 6.63 (d, J = 3.4 Hz, 1H), 6.43 (dd, J = 15.6, 7.9 Hz, 1H), 6.27 (d, J = 3.4 Hz, 1H), 3.62–3.57 (m, 4H), 3.47 (s, 2H), 2.40 (t, J = 4.7 Hz, 4H). 13C-NMR (100 MHz, CDCl3) δ 192.5, 155.7, 150.1, 137.5, 125.4, 117.5, 111.9, 66.6, 55.0, 53.1. HR-ESI-MS m/z: 222.1129 for [M + H]+ (calcd. 222.1130 for C12H16NO3).
(E)-3-(5-((4-Phenylpiperazin-1-yl)methyl)furan-2-yl)acrylaldehyde (4f). Yield: 80%; Colorless oil; 1H-NMR (400 MHz, CDCl3) δ 9.62 (d, J = 7.9 Hz, 1H), 7.28 (dd, J = 8.8, 7.3 Hz, 2H), 7.20 (d, J = 15.7 Hz, 1H), 6.97–6.92 (m, 2H), 6.88 (tt, J = 7.3, 1.1 Hz, 1H), 6.76 (d, J = 3.4 Hz, 1H), 6.60 (dd, J = 15.7, 7.9 Hz, 1H), 6.43 (d, J = 3.4 Hz, 1H), 3.69 (s, 2H), 3.26–3.22 (m, 4H), 2.74–2.69 (m, 4H). 13C-NMR (100 MHz, CDCl3) δ 192.8, 156.1, 151.2, 150.3, 137.8, 129.1, 125.6, 119.8, 117.7, 116.1, 112.1, 54.9, 52.8, 49.1. HR-ESI-MS m/z: 297.1604 for [M + H]+ (calcd. 297.1603 for C18H21N2O2).
(E)-3-(5-((4-(2-Fluorophenyl)piperazin-1-yl)methyl)furan-2-yl)acrylaldehyde (4g). Yield: 72%; Colorless oil; 1H-NMR (400 MHz, CDCl3) δ 9.60 (d, J = 7.9 Hz, 1H), 7.18 (d, J = 15.6 Hz, 1H), 7.07–6.98 (m, 2H), 6.97–6.90 (m, 2H), 6.73 (d, J = 3.4 Hz, 1H), 6.58 (dd, J = 15.6, 7.9 Hz, 1H), 6.40 (d, J = 3.4 Hz, 1H), 3.68 (s, 2H), 3.15–3.11(m, 4H), 2.73–2.67 (m, 4H). 13C-NMR (100 MHz, CDCl3) δ 192.9, 150.4, 137.9, 125.8, 124.6, 122.6, 119.0, 117.7, 116.3, 116.1, 112.3, 77.4, 77.1, 76.8, 55.0, 53.0, 50.5. HR-ESI-MS m/z: 315.1508 for [M + H]+ (calcd. 315.1509 for C18H20FN2O2).
(E)-3-(5-((4-(4-Fluorophenyl)piperazin-1-yl)methyl)furan-2-yl)acrylaldehyde (4h). Yield: 74%; Colorless oil; 1H-NMR (400 MHz, CDCl3) δ 9.60 (d, J = 7.9 Hz, 1H), 7.18 (d, J = 15.7 Hz, 1H), 6.97–6.92 (m, 2H), 6.90–6.84 (m, 2H), 6.73 (d, J = 3.4 Hz, 1H), 6.57 (dd, J = 15.7, 7.9 Hz, 1H), 6.39 (d, J = 3.4 Hz, 1H), 3.67 (s, 2H), 3.16–3.11 (m, 4H), 2.71–2.66 (m, 4H). 13C-NMR (100 MHz, CDCl3) δ 192.9, 156.1, 150.4, 147.9, 137.8, 125.7, 118.0, 117.7, 115.7, 115.5, 112.2, 54.9, 52.9, 50.2. HR-ESI-MS m/z: 315.1511 for [M + H]+ (calcd. 315.1509 for C18H20FN2O2).
(E)-3-(5-((4-(4-Nitrophenyl)piperazin-1-yl)methyl)furan-2-yl)acrylaldehyde (4i). Yield: 75%; Yellow oil; 1H-NMR (400 MHz, CDCl3) δ 9.50 (d, J = 7.9 Hz, 1H), 7.96 (d, J = 9.6 Hz, 2H), 7.11 (d, J = 15.6 Hz, 1H), 6.70 (d, J = 9.6 Hz, 2H), 6.68 (d, J = 3.3 Hz, 1H), 6.45 (dd, J = 15.6, 7.9 Hz, 1H), 6.33 (d, J = 3.3 Hz, 1H), 3.58 (s, 2H), 3.38–3.30 (m, 4H), 2.60–2.55 (m, 4H). 13C-NMR (100 MHz, CDCl3) δ 192.5, 155.4, 154.5, 150.1, 138.0, 137.6, 125.6, 125.3, 117.6, 112.4, 112.1, 54.4, 52.0, 46.7. HR-ESI-MS m/z: 342.1457 for [M + H]+ (calcd. 342.1454 for C18H20N3O4).

3.1.2. General Procedure for the Synthesis of Compounds 9an

To a stirred solution of 5 (10 mmol) in dry CH2Cl2 (50 mL), NaN3 (40 mmol) in dry CH2Cl2 (10 mL) was added carefully. CF3COOH (10 mL) was added into the solution dropwise at 0 °C. After stirring for 1 h at room temperature, the mixture was refluxed for 4 h. Saturated aqueous NaHCO3 was added to adjust the pH value to 7. The organic phase was separated and dried with anhydrous Na2SO4 and concentrated. The residue was crystallized from CH2Cl2/acetic ether (1:1) to give a 6. To a solution of 6 (10 mmol) in ethyl acetate (50 mL), 10% Pd/C (1.00 g) and HCOONH4 (40 mmol) were added. The mixture was refluxed for 5 h and filtered. The filtrate was washed with saturated brine three times and concentrated to give white compound 7 [11].
A mixture of the appropriate intermediate 4ai (1.5 mmol), 7 (1.0 mmol), and glacial acetic acid (60 μL) was stirred in dry MeOH (15 mL) for 8 h at room temperature. Then NaBH4 (4 mmol) was added and the mixture was stirred for 4 h at 0 °C. The reaction mixture was neutralized with 1 M HCl, and extracted with CH2Cl2 (3 × 30 mL). The combined organic fractions were evaporated. The residue was separated by column chromatography on silica gel with petroleum ether-acetic ether to afford compounds 9an (see the supplementary information).
4β-N-[(E)-(5-((Dimethylamino)methyl)furan-2-yl)prop-2-en-1-amine]-4′-demethyl-4-desoxy-podophyllotoxin (9a). Yield: 77%; white powder solid; mp: 229–230 °C; [ α ] D 25 −52° (c 0.1, CH3CN); 1H-NMR (300 MHz, CDCl3) δ 6.76 (s, 1H), 6.46 (s, 1H), 6.37 (d, J = 15.9 Hz, 1H), 6.27 (s, 2H), 6.26–6.20 (m, 2H), 6.18 (d, J = 3.4 Hz, 1H), 5.95 (d, J = 1.3 Hz, 1H), 5.93 (d, J = 1.3 Hz, 1H), 4.53 (d, J = 5.2 Hz, 1H), 4.34–4.23 (m, 2H), 3.91 (d, J = 3.9 Hz, 1H), 3.76 (s, 6H), 3.55 (s, 2H), 3.43–3.35 (m, 2H), 3.30 (dd, J = 13.8, 5.2 Hz, 1H), 2.83–2.70 (m, 1H), 2.34 (s, 6H). 13C-NMR (150 MHz, CDCl3) δ 175.4, 147.7, 147.3, 146.3, 133.9, 132.5, 131.7, 131.1, 120.0, 110.2, 108.5, 108.3, 107.9, 101.3, 68.5, 56.5, 56.4, 55.6, 52.1, 43.5, 41.4, 38.6, 29.7. HR-ESI-MS m/z: 563.2339 for [M + H]+ (calcd. 563.2393 for C31H34N2O8).
4β-N-[(E)-(5-((Dimethylamino)methyl)furan-2-yl)prop-2-en-1-amine]-4-desoxy-podophyllotoxin (9b). Yield: 72%; white powder solid; mp: 230–231 °C; [ α ] D 25 −53° (c 0.1, CH3CN); 1H-NMR (300 MHz, CDCl3) δ 6.77 (s, 1H), 6.46 (s, 1H), 6.36 (d, J = 15.9 Hz, 1H), 6.26 (s, 2H), 6.23–6.14 (m, 3H), 5.95 (d, J = 1.4 Hz, 1H), 5.93 (d, J = 1.4 Hz, 1H), 4.53 (d, J = 5.2 Hz, 1H), 4.31 (dd, J = 9.1, 3.3 Hz, 2H), 3.92 (d, J = 3.9 Hz, 1H), 3.79 (s, 3H), 3.73 (s, 6H), 3.50 (s, 2H), 3.43–3.34 (m, 2H), 3.34–3.27 (m, 1H), 2.81–2.72 (m, 1H), 2.30 (s, 6H). 13C-NMR (150 MHz, CDCl3) δ 175.4, 152.4, 147.7, 147.3, 137.1, 135.6, 132.5, 131.5, 126.5, 120.2, 110.2, 108.4, 108.4, 108.3, 101.4, 68.6, 60.7, 56.2, 55.6, 52.2, 44.3, 43.7, 41.3, 38.7. HR-ESI-MS m/z: 577.2515 for [M + H]+ (calcd. 577.2550 for C32H36N2O8).
4β-N-[(E)-(5-((Diethylamino)methyl)furan-2-yl)prop-2-en-1-amine]-4′-demethyl-4-desoxy-podophyllotoxin (9c). Yield: 70%; white powder solid; mp: 233–235 °C; [ α ] D 25 −50° (c 0.1, CH3CN); 1H-NMR (600 MHz, CDCl3) δ 6.80 (s, 1H), 6.50 (s, 1H), 6.39 (d, J = 15.8 Hz, 1H), 6.31 (s, 2H), 6.20 (s, 2H), 6.20–6.16 (m, 1H,), 5.98 (s, 1H,), 5.96 (s, 1H), 4.55 (d, J = 5.2 Hz, 1H), 4.35–4.29 (m, 2H), 3.94 (d, J = 3.9 Hz, 1H), 3.79 (s, 6H), 3.73 (s, 2H), 3.52 (dd, J = 14.4, 7.0 Hz, 1H), 3.43 (dd, J = 14.4, 7.0 Hz, 1H), 3.33 (dd, J = 13.8, 5.2 Hz, 1H), 2.84–2.76 (m, 1H), 2.59 (q, J = 7.1 Hz, 4H), 1.14 (t, J = 7.1 Hz, 6H). 13C-NMR (150 MHz, CDCl3) δ 175.5, 151.7, 147.7, 147.3, 146.3, 133.9, 132.6, 131.7, 131.1, 125.7, 120.6, 110.2, 108.4, 108.4, 107.9, 101.3, 68.6, 56.4, 55.5, 52.2, 48.5, 46.9, 43.5, 41.4, 38.6, 11.9. HR-ESI-MS m/z: 591.2719 for [M + H]+ (calcd. 591.2706 for C33H38N2O8).
4β-N-[(E)-(5-((Diethylamino)methyl)furan-2-yl)prop-2-en-1-amine]-4-desoxy-podophyllotoxin (9d). Yield: 68%; white powder solid; mp: 236–237 °C; [ α ] D 25 −59° (c 0.1, CH3CN); 1H-NMR (300 MHz, CDCl3) δ 6.76 (s, 1H), 6.46 (s, 1H), 6.39–6.32 (m, 1H), 6.26 (s, 2H), 6.16 (s, 2H), 6.16–6.09 (m, 1H), 5.95 (d, J = 1.4 Hz, 1H), 5.93 (d, J = 1.4 Hz, 1H), 4.53 (d, J = 5.2 Hz, 1H), 4.31 (dd, J = 9.0, 2.0 Hz, 2H), 3.92 (d, J = 3.9 Hz, 1H), 3.79 (s, 3H), 3.73 (s, 6H), 3.69 (s, 2H), 3.55–3.45 (m, 1H), 3.44–3.37 (m, 1H), 3.36–3.26 (m, 1H), 2.82–2.72 (m, 1H), 2.57 (q, J = 7.1 Hz, 4H), 1.11 (t, J = 7.1 Hz, 6H). 13C-NMR (150 MHz, CDCl3) δ 175.4, 152.4, 147.6, 147.3, 137.0, 135.6, 132.5, 131.5, 125.9, 120.4, 110.1, 108.4, 108.4, 108.2, 101.3, 77.2, 77.0, 76.8, 68.5, 60.7, 56.2, 55.5, 52.2, 46.8, 43.7, 41.3, 38.6, 11.6. HR-ESI-MS m/z: 605.2869 for [M + H]+ (calcd. 605.2863 for C34H40N2O8).
4β-N-[(E)-(5-((4-Methylpiperazin-1-yl)methyl)furan-2-yl)prop-2-en-1-amine]-4′-demethyl-4-desoxy-podophyllotoxin (9e). Yield: 71%; white powder solid; mp: 238–239 °C; [ α ] D 25 −61° (c 0.1, CH3CN); 1H-NMR (300 MHz, CDCl3) δ 6.76 (s, 1H), 6.46 (s, 1H), 6.40–6.31 (m, 2H), 6.27 (s, 2H), 6.24–6.13 (m, 2H), 5.94 (dd, J = 6.9, 1.3 Hz, 2H), 4.52 (d, J = 5.2 Hz, 1H), 4.34–4.26 (m, 2H), 3.91 (d, J = 4.0 Hz, 1H), 3.76 (s, 6H), 3.58 (s, 2H), 3.51 (dd, J = 14.7, 7.2 Hz, 1H), 3.38 (dd, J = 14.7, 7.2 Hz, 1H), 3.30 (dd, J = 13.8, 5.1 Hz, 1H), 2.85–2.77 (m, 1H), 2.78–2.52 (m, 8H), 2.42 (s, 3H). 13C-NMR (150 MHz, CDCl3) δ 175.5, 152.0, 151.1, 147.7, 147.2, 146.3, 133.9, 132.6, 131.7, 131.1, 126.0, 120.5, 110.7, 110.2, 108.4, 108.4, 107.9, 101.3, 68.6, 56.4, 55.5, 54.8, 54.7, 52.2, 45.7, 43.5, 41.4, 38.6, 29.7. HR-ESI-MS m/z: 618.2823 for [M + H]+ (calcd. 618.2815 for C34H39N3O8).
4β-N-[(E)-(5-((4-methylpiperazin-1-yl)methyl)furan-2-yl)prop-2-en-1-amine]-4-desoxy-podophyllotoxin (9f). Yield: 74%; white powder solid; mp: 239–241 °C; [ α ] D 25 −63° (c 0.1, CH3CN); 1H-NMR (300 MHz, CDCl3) δ 6.76 (s, 1H), 6.47 (s, 1H), 6.35 (d, J = 15.9 Hz, 1H), 6.26 (s, 2H), 6.22–6.11 (m, 3H), 5.96–5.94 (m, 1H), 5.94–5.92 (m, 1H), 4.53 (d, J = 5.2 Hz, 1H), 4.36–4.25 (m, 2H), 3.91 (d, J = 3.9 Hz, 1H), 3.79 (s, 3H), 3.73 (s, 6H), 3.57 (s, 2H), 3.50 (dd, J = 14.6, 7.0 Hz, 1H), 3.44–3.35 (m, 1H), 3.32 (dd, J = 13.8, 5.3 Hz, 1H), 2.86–2.73 (m, 1H), 2.68–2.42 (m, 8H), 2.31 (s, 3H). 13C-NMR (150 MHz, CDCl3) δ 175.4, 152.4, 152.0, 147.7, 147.3, 137.0, 135.6, 132.6, 131.5, 126.0, 120.5, 110.8, 110.2,108.4, 108.4, 108.2, 101.3, 68.6, 60.7, 56.2, 55.5, 54.7, 54.6, 52.2, 43.7, 41.3, 38.7, 31.9. HR-ESI-MS m/z: 632.2982 for [M + H]+ (calcd. 632.2972 for C35H41N3O8).
4β-N-[(E)-(5-((4-Ethylpiperazin-1-yl)methyl)furan-2-yl)prop-2-en-1-amine]-4′-demethyl-4-desoxy-podophyllotoxin (9g). Yield: 78%; white powder solid; mp: 241–243 °C; [ α ] D 25 −64° (c 0.1, CH3CN); 1H-NMR (300 MHz, CDCl3) δ 6.76 (s, 1H), 6.46 (s, 1H), 6.34 (d, J = 15.7 Hz, 1H), 6.26 (s, 2H), 6.22–6.09 (m, 3H), 5.93 (dd, J = 5.7, 1.4 Hz, 2H), 4.51 (d, J = 5.2 Hz, 1H), 4.32–4.23 (m, 2H), 3.91 (d, J = 3.9 Hz, 1H), 3.73 (s, 6H), 3.56 (s, 2H), 3.47 (dd, J = 14.7, 5.7 Hz, 1H), 3.37 (dd, J = 14.6, 5.7 Hz, 1H), 3.29 (dd, J = 13.8, 5.2 Hz, 1H), 2.85–2.71 (m, 1H), 2.70–2.45 (m, 8H), 2.49–2.40 (m, 2H), 1.08 (t, J = 7.2 Hz, 3H). 13C-NMR (150 MHz, CDCl3) δ 175.5, 152.0, 147.7, 147.2, 146.3, 133.9, 132.6, 131.7, 131.1, 126.0, 120.5, 110.8, 110.2, 108.4, 108.4, 107.9, 101.3, 68.6, 56.4, 55.5, 54.6, 52.4, 52.2, 52.2, 43.5, 41.4, 38.6. 11.5. HR-ESI-MS m/z: 632.2979 for [M + H]+ (calcd. 632.2972 for C35H41N3O8).
4β-N-[(E)-(5-((4-Ethylpiperazin-1-yl)methyl)furan-2-yl)prop-2-en-1-amine]-4-desoxy-podophyllotoxin (9h). Yield: 76%; white powder solid; mp: 243–244 °C; [ α ] D 25 −65° (c 0.1, CH3CN); 1H-NMR (300 MHz, CDCl3) δ 6.77 (s, 1H), 6.46 (s, 1H), 6.35 (d, J = 15.8 Hz, 1H), 6.26 (s, 2H), 6.21–6.12 (m, 3H), 5.95 (d, J = 1.4 Hz, 1H), 5.93 (d, J = 1.4 Hz, 1H), 4.53 (d, J = 5.2 Hz, 1H), 4.35–4.27 (m, 2H), 3.91 (d, J = 3.9 Hz, 1H), 3.79 (s, 3H), 3.73 (s, 6H), 3.57 (s, 2H), 3.50 (dd, J = 14.4, 7.1 Hz, 1H), 3.44–3.36 (m, 1H,), 3.35–3.27 (m, 1H), 2.82–2.74 (m, 1H), 2.70–2.45 (m, 8H), 2.43 (q, J = 7.2 Hz, 2H,), 1.08 (t, J = 7.2 Hz, 3H). 13C-NMR (150 MHz, CDCl3) δ 175.4, 152.4, 151.9, 151.2, 147.6, 147.3, 137.0, 135.6, 132.6, 131.5, 125.9, 120.5, 110.7, 110.2, 108.4, 108.4, 108.2, 101.3, 77.2, 76.9, 76.7, 68.6, 60.7, 56.2, 55.5, 54.6, 52.5, 52.2, 52.1, 43.7, 41.3, 38.6, 11.6. HR-ESI-MS m/z: 646.3172 for [M + H]+ (calcd. 646.3128 for C36H43N3O8).
4β-N-[(E)-(5-((4-(4-Fluorophenyl)piperazin-1-yl)methyl)furan-2-yl)prop-2-en-1-amine]-4′-demethyl-4-desoxy-podophyllotoxin (9i). Yield: 74%; white powder solid; mp: 250–251 °C; [ α ] D 25 −21° (c 0.1, CH3CN); 1H-NMR (600 MHz, CDCl3) δ 6.96–6.92 (m, 2H), 6.88–6.84 (m, 2H), 6.77 (s, 1H), 6.47 (s, 1H), 6.38 (d, J = 15.8 Hz, 1H), 6.28 (s, 2H), 6.27–6.24 (m, 1H), 6.23–6.18 (m, 2H), 5.93 (d, J = 1.4 Hz, 1H), 5.91 (d, J = 1.4 Hz, 1H), 4.53 (d, J = 5.2 Hz, 1H), 4.34–4.26 (m, 2H), 3.91 (d, J = 3.9 Hz, 1H), 3.76 (s, 6H), 3.68–3.60 (m, 2H), 3.51 (dd, J = 14.5, 7.1 Hz, 1H), 3.43–3.37 (m, 1H), 3.30 (dd, J = 13.8, 5.2 Hz, 1H), 3.21–3.09 (m, 4H), 2.81–2.75 (m, 1H), 2.73–2.64 (m, 4H). 13C-NMR (150 MHz, CDCl3) δ 175.4, 147.6, 147.2, 146.3, 133.9, 132.5, 131.7, 131.1, 120.4, 117.9, 115.5, 115.4, 110.2, 108.4, 108.3, 107.9, 101.3, 77.1, 76.9, 76.7, 68.5, 56.4, 55.5, 52.5, 52.2, 50.0, 43.5, 41.4, 38.6. HR-ESI-MS m/z: 698.2896 for [M + H]+ (calcd. 698.2878 for C39H40FN3O8).
4β-N-[(E)-(5-((4-(4-Fluorophenyl)piperazin-1-yl)methyl)furan-2-yl)prop-2-en-1-amine]-4-desoxy-podophyllotoxin (9j). Yield: 73%; white powder solid; mp: 252–253 °C; [ α ] D 25 −31° (c 0.1, CH3CN); 1H-NMR (600 MHz, CDCl3) δ 6.97–6.92 (m, 2H), 6.88–6.83 (m, 2H), 6.77 (s, 1H), 6.47 (s, 1H), 6.38 (d, J = 15.9 Hz, 1H), 6.27 (s, 2H), 6.26–6.22 (m, 1H), 6.22–6.17 (m, 1H), 6.20 (d, J = 3.2 Hz, 1H), 5.92 (d, J = 1.4 Hz, 1H), 5.91 (d, J = 1.4 Hz, 1H), 4.53 (d, J = 5.2 Hz, 1H), 4.34–4.27 (m, 2H), 3.92 (d, J = 3.9 Hz, 1H), 3.79 (s, 3H), 3.73 (s, 6H), 3.66 (s, 2H), 3.53–3.48 (m, 1H), 3.39 (dd, J = 14.4, 5.7 Hz, 1H), 3.32 (dd, J = 13.8, 5.2 Hz, 1H), 3.16 (t, J = 4.9 Hz, 4H), 2.82–2.76 (m, 1H), 2.74–2.68 (m, 4H). 13C-NMR (150 MHz, CDCl3) δ 175.3, 152.4, 147.7, 147.3, 135.6, 132.5, 131.5, 120.4, 117.9, 117.8, 115.5, 115.4, 111.1, 110.2, 108.4, 108.4, 108.2, 101.3, 68.5, 60.7, 56.2, 55.5, 52.5, 52.2, 49.9, 43.7, 41.3, 38.6. HR-ESI-MS m/z: 712.3019 for [M + H]+ (calcd. 712.3034 for C40H42FN3O8).
4β-N-[(E)-(5-((4-(4-Nitrophenyl)piperazin-1-yl)methyl)furan-2-yl)prop-2-en-1-amine]-4′-demethyl-4-desoxy-podophyllotoxin (9k). Yield: 64%; yellow powder solid; mp: 254–255 °C; [ α ] D 25 −32° (c 0.1, CH3CN); 1H-NMR (600 MHz, CDCl3) δ 8.09 (d, J = 9.4 Hz, 2H), 6.79 (d, J = 9.4 Hz, 2H), 6.77 (s, 1H), 6.47 (s, 1H), 6.38 (d, J = 15.9 Hz, 1H), 6.27 (s, 2H), 6.22 (d, J = 3.2 Hz, 1H), 6.21–6.16 (m, 2H), 5.94 (d, J = 1.4 Hz, 1H), 5.92 (d, J = 1.4 Hz, 1H), 4.52 (d, J = 5.2 Hz, 1H), 4.31–4.26 (m, 2H), 3.91 (d, J = 3.9 Hz, 1H), 3.76 (s, 6H,), 3.62 (s, 2H), 3.53 (dd, J = 14.4, 5.6 Hz, 1H), 3.44 (t, J = 5.1 Hz, 4H), 3.38 (dd, J = 14.4, 5.6 Hz, 1H), 3.30 (dd, J = 13.8, 5.2 Hz, 1H), 2.81–2.74 (m, 1H), 2.65 (t, J = 5.1 Hz, 4H). 13C-NMR (150 MHz, CDCl3) δ 175.4, 154.7, 152.1, 150.7, 147.6, 147.2, 146.3, 138.4, 133.9, 132.5, 131.7, 131.1, 126.2, 125.9, 120.3, 112.6, 110.9, 110.2, 108.4, 108.3, 107.9, 101.3, 68.5, 56.4, 55.6, 54.7, 52.2, 52.0, 46.9, 43.5, 41.4, 38.6. HR-ESI-MS m/z: 725.2831 for [M + H]+ (calcd. 725.2823 for C39H40N4O10).
4β-N-[(E)-(5-((4-(4-Nitrophenyl)piperazin-1-yl)methyl)furan-2-yl)prop-2-en-1-amine]-4-desoxy-podophyllotoxin (9l). Yield: 62%; yellow powder solid; mp: 256–257 °C; [ α ] D 25 −35° (c 0.1, CH3CN); 1H-NMR (600 MHz, CDCl3) δ 8.08 (d, J = 9.4 Hz, 2H), 6.78 (d, J = 9.4 Hz, 2H), 6.77 (s, 1H), 6.46 (s, 1H), 6.37 (d, J = 16.0 Hz, 1H), 6.26 (s, 2H), 6.21 (d, J = 3.3 Hz, 1H), 6.20–6.16 (m, 2H), 5.92 (d, J = 1.4 Hz, 1H), 5.91 (d, J = 1.4 Hz, 1H), 4.52 (d, J = 5.2 Hz, 1H), 4.33–4.26 (m, 2H), 3.91 (d, J = 3.9 Hz, 1H), 3.77 (s, 3H), 3.72 (s, 6H), 3.61 (s, 2H), 3.55–3.49 (m, 1H), 3.45–3.41 (m, 4H), 3.40–3.35 (m, 1H), 3.31 (dd, J = 13.8, 5.3 Hz, 1H), 2.82–2.74 (m, 1H), 2.64 (t, J = 5.2 Hz, 4H). 13C-NMR (150 MHz, CDCl3) δ 175.4, 154.7, 152.4, 152.1, 150.7, 147.6, 147.3, 138.3, 135.6 132.5, 131.5, 126.2, 125.8, 120.3, 112.5, 110.9, 110.2, 108.4, 108.2, 101.3, 77.2, 77.0, 76.8, 68.6, 60.7, 56.2, 55.6, 54.6, 52.2, 52.0, 46.9, 43.7, 41.3, 38.6. HR-ESI-MS m/z: 739.2992 for [M + H]+ (calcd. 739.2979 for C40H42N4O10).
4β-N-[(E)-(5-((4-Phenylpiperazin-1-yl)methyl)furan-2-yl)prop-2-en-1-amine]-4-desoxy-podophyllotoxin (9m). Yield: 71%; white powder solid; mp: 248–249 °C; [ α ] D 25 −33° (c 0.1, CH3CN); 1H-NMR (600 MHz, CDCl3) δ 7.28–7.21 (m, 2H), 6.91 (d, J = 7.5 Hz, 2H), 6.85 (t, J = 7.5 Hz, 1H), 6.44 (s, 1H), 6.37 (s, 1H), 6.25 (s, 2H), 6.24 (s, 1H), 6.24–6.18 (m, 2H), 6.21 (d, J = 3.0 Hz, 1H), 5.87 (s, 2H), 4.52 (d, J = 5.2 Hz, 1H), 4.32–4.23 (m, 2H), 3.92 (d, J = 4.0 Hz, 1H), 3.90 (d, J = 15.1 Hz, 1H), 3.79 (s, 3H), 3.72 (s, 6H), 3.67–3.62 (m, 2H), 3.62 (d, J = 15.1 Hz, 1H), 3.32 (dd, J = 13.8, 5.3 Hz, 1H), 3.27–3.20 (m, 4H), 2.80–2.73 (m, 1H), 2.72–2.64 (m, 4H). 13C-NMR (150 MHz, CDCl3) δ 175.4, 154.8, 152.4, 147.7, 147.3, 137.0, 135.6, 132.5, 131.5, 124.4, 118.9, 116.1, 116.0, 110.2, 108.4, 108.2, 101.3, 77.1, 76.9, 76.7, 68.5, 60.7, 56.2, 55.4, 52.5, 52.2, 43.7, 41.3, 38.7. HR-ESI-MS m/z: 694.3128 for [M + H]+ (calcd. 694.3128 for C40H44N3O8).
4β-N-[(E)-(5-((4-(2-Fluorophenyl)piperazin-1-yl)methyl)furan-2-yl)prop-2-en-1-amine]-4-desoxy-podophyllotoxin (9n). Yield: 69%; white powder solid; mp: 250–251 °C; [ α ] D 25 −34° (c 0.1, CH3CN); 1H-NMR (600 MHz, CDCl3) δ 7.07–6.98 (m, 2H), 6.97–6.90 (m, 2H), 6.77 (s, 1H), 6.47 (s, 1H), 6.38 (d, J = 15.9 Hz, 1H), 6.27 (s, 2H), 6.24 (s, 1H), 6.24–6.21 (m, 1H), 6.20 (d, J = 3.6 Hz, 1H), 5.92 (s, 1H), 5.92 (s, 1H), 4.54 (d, J = 5.3 Hz, 1H), 4.35–4.28 (m, 2H), 3.92 (d, J = 3.9 Hz, 1H), 3.79 (s, 3H), 3.73 (s, 6H), 3.71–3.65 (m, 2H) 3.52–3.46 (m, 1H), 3.44–3.38 (m, 1H), 3.32 (dd, J = 13.8, 5.3 Hz, 1H), 3.20–3.09 (m, 4H), 2.82–2.76 (m, 1H), 2.78–2.68 (m, 4H). 13C-NMR (150 MHz, CDCl3) δ 175.4, 154.8, 152.4, 147.7, 147.3, 137.0, 135.6, 132.5, 131.5, 124.4, 118.9, 116.1, 116.0, 110.2, 108.4, 108.2, 101.3, 77.1, 76.9, 76.7, 68.5, 60.7, 56.2, 55.4, 52.5, 52.2, 43.7, 41.3, 38.7. HR-ESI-MS m/z: 712.3027 for [M + H]+ (calcd. 712.3034 for C40H42FN3O8).

3.2. Evaluation of the Biological Activity

The antiproliferative activity of compounds 9an was evaluated with human cervical cancer cell line (HeLa), chronic myeloid leukemia cell line (K562) and leukemia multi-drug resistance cell line (K562/A02) by the MTT method in vitro, with etoposide (VP-16) as positive control. The three tumor cell lines were cultured in RPMI-1640 containing 10% FBS, 2 mmol∙L−1 glutamine, 100 U∙mL−1 penicillin, and 100 µg∙mL−1 streptomycin at 37 °C in a humidified atmosphere with 5% CO2. The cells were seeded at a density of 5 × 103 cells/well in 96-well plates and allowed to attach for 24 h. The thiazolyl blue tetrazolium bromide (MTT) assay was performed to quantify cell viability following treatment with the synthetic compounds or reference compound etoposide (VP-16) [28]. After 48 h, 20 μL MTT (5 mg∙mL−1) solution was added for 4 h at 37 °C. Then, the supernatant was discarded and dimethylsulfoxide (150 μL) was added to dissolve the formazan product. The intensity was measured at a wavelength of 490 nm.

4. Conclusions

In summary, a new series of podophyllotoxin derivatives were prepared. Most of compounds showed potent antiproliferative activity against all three cancer cell lines. Compounds 9g, 9j, 9k, 9l and 9m exhibited more potent activity against the MDR cell line (K562/A02) as compared with VP-16. Among them, 4β-N-[(E)-(5-((4-(4-nitrophenyl)piperazin-1-yl)methyl)furan-2-yl)prop2-en-1-amine]-4-desoxy-podophyllotoxin (9l), was the most promising compound against the tested cell lines. The initial SARs showed that variations in the substituents on the phenyl ring had a significant impact on the cytotoxicity.

Supplementary Materials

Supplementary materials can be accessed at: https://www.mdpi.com/1420-3049/20/07/12266/s1.

Acknowledgments

This work has been financially supported by National S & T Major Special Project on Major New Drug Innovation (2011ZX09307-002-01 and 2013ZX09508104), PUMC Youth Fund (33320140074), the Fundamental Research Funds for the Central Universities and Program for Innovative Research Team in IMPLAD (IT1305).

Author Contributions

Conceived of and designed the experiments: H.C.; Z.-M.Z. Performed the experiments: W.-H.C.; H.S.; Z.-H.Z.; L.-M.Z. Bioactive screening: C.N. Wrote the paper: W.-H.C.; Z.-M.Z. All authors read and approved the final manuscript.

Conflicts of Interest

The authors declare no conflict of interest.

References

  1. Wang, K.; Li, Y.; Zhang, L.J.; Chen, X.G.; Feng, Z.Q. Synthesis and in vitro cytotoxiactivities of sorafenib derivatives. Chin. Chem. Lett. 2014, 25, 702–704. [Google Scholar] [CrossRef]
  2. Imbert, T.F. Discovery of podophyllotoxins. Biochimie 1998, 80, 207–222. [Google Scholar] [CrossRef]
  3. Gordaliza, M.; Garcia, P.A.; Del Corral, J.M.; Castro, M.A.; Gómez-Zurita, M.A. Podophyllotoxin: Distribution, sources, applications and new cytotoxic derivatives. Toxicon 2004, 44, 441–459. [Google Scholar] [CrossRef] [PubMed]
  4. Hande, K.R. Etoposide: Four decades of development of a topoisomerase II inhibitor. Eur. J. Cancer 1998, 34, 1514–1521. [Google Scholar] [CrossRef]
  5. Mukherjee, A.K.; Basu, S.; Sarkar, N.; Ghosh, A.C. Advances in cancer therapy with plant based natural products. Curr. Med. Chem. 2001, 8, 1467–1486. [Google Scholar] [CrossRef] [PubMed]
  6. Xu, H.; Zhang, X.; Tian, X.; Lu, M.; Wang, Y.G. Synthesis and insecticidal activity of novel 4β-halogenated benzoylamino podophyllotoxins against Pieris rapae LINNAEUS. Chem. Pharm. Bull. 2002, 50, 399–402. [Google Scholar] [CrossRef] [PubMed]
  7. Cui, Y.J.; Tian, X. Synthesis and anticancer activity of new derivatives of podophyllotoxin. Curr. Sci. 1999, 130, 1383–1386. [Google Scholar]
  8. Chen, S.W.; Tian, X.; Tu, Y.Q. Synthesis and cytotoxic activity of novel derivatives of 4′-demethylepipodophyllotoxin. Bioorg. Med. Chem. Lett. 2004, 14, 5063–5066. [Google Scholar] [CrossRef] [PubMed]
  9. Liu, Y.Q.; Tian, J.; Qian, K.; Zhao, X.B.; Morris-Natschke, S.L.; Liu, Y.; Nan, X.; Tian, X.; Lee, K.H. Recent progress on C-4-modified podophyllotoxin analogs as potent antitumor agents. Med. Res. Rev. 2015, 35, 1–62. [Google Scholar] [CrossRef] [PubMed]
  10. Jordan, A.; Hadfield, J.A.; Lawrence, N.J.; McGown, A.T. Tubulin as a target for anticancer drugs: Agents which interact with the mitotic spindle. Med. Res. Rev. 1998, 18, 259–296. [Google Scholar] [CrossRef]
  11. Cheng, W.H.; Cao, B.; Shang, H.; Niu, C.; Zhang, L.M.; Zhang, Z.H.; Tian, D.L.; Zhang, S.; Chen, H.; Zou, Z.M. Synthesis and evaluation of novel podophyllotoxin derivatives as potential antitumor agents. Eur. J. Med. Chem. 2014, 85, 498–507. [Google Scholar] [CrossRef] [PubMed]
  12. Zi, C.T.; Liu, Z.H.; Li, G.T.; Li, Y.; Zhou, J.; Ding, Z.T.; Hu, J.M.; Jiang, Z.H. Design, synthesis, and cytotoxicity of perbutyrylated glycosides of 4β-triazolopodophyllotoxin derivatives. Molecules 2015, 20, 3255–3280. [Google Scholar] [CrossRef] [PubMed]
  13. Zhang, Z.J.; Tian, J.; Wang, L.T.; Wang, M.J.; Nan, X.; Yang, L.; Liu, Y.Q.; Morris-Natschke, S.L.; Lee, K.H. Design, synthesis and cytotoxic activity of novel sulfonylurea derivatives of podophyllotoxin. Bioorg. Med. Chem. 2014, 22, 204–210. [Google Scholar] [CrossRef] [PubMed]
  14. Ren, J.; Wu, L.; Xin, W.Q.; Chen, X.; Hu, K. Synthesis and biological evaluation of novel 4β-(1,3,4-oxadiazole-2-amino)-podophyllotoxin derivatives. Bioorg. Med. Chem. Lett. 2012, 22, 4778–4782. [Google Scholar] [CrossRef] [PubMed]
  15. Shareef, M.A.; Duscharla, D.; Ramasatyaveni, G.; Dhoke, N.R.; Das, A.; Ummanni, R.; Srivastava, A.K. Investigation of podophyllotoxin esters as potential anticancer agents: Synthesis, biological studies and tubulin inhibition properties. Eur. J. Med. Chem. 2015, 89, 128–137. [Google Scholar] [CrossRef] [PubMed]
  16. Kamal, A.; Kumar, B.A.; Suresh, P.; Agrawal, S.K.; Chashoo, G.; Singh, S.K.; Saxena, A.K. Synthesis of 4β-N-polyaromatic substituted podophyllotoxins: DNA topoisomerase inhibition, anticancer and apoptosis-inducing activities. Bioorg. Med. Chem. 2010, 18, 8493–8500. [Google Scholar] [CrossRef] [PubMed]
  17. Kamal, A.; Suresh, P.; Ramaiah, M.J.; Mallareddy, A.; Imthiajali, S.; Pushpavalli, S.N.; Lavanya, A.; Pal-Bhadra, M. Synthesis and biological evaluation of 4β-sulphonamido and 4β-[(4′-sulphonamido) benzamide] podophyllotoxins as DNA topoisomerase-IIα and apoptosis inducing agents. Bioorg. Med. Chem. 2012, 20, 2054–2066. [Google Scholar] [CrossRef] [PubMed]
  18. Zilla, M.K.; Nayak, D.; Vishwakarma, R.A.; Sharma, P.R.; Goswami, A.; Ali, A. A convergent synthesis of alkyne-azide cycloaddition derivatives of 4-α,β-2-propyne podophyllotoxin depicting potent cytotoxic activity. Eur. J. Med. Chem. 2014, 77, 47–55. [Google Scholar] [CrossRef] [PubMed]
  19. Liu, J.F.; Sang, C.Y.; Xu, X.H.; Zhang, L.L.; Yang, X.; Hui, L.; Zhang, J.B.; Chen, S.W. Synthesis and cytotoxic activity on human cancer cells of carbamate derivatives of 4β-(1,2,3-triazol-1-yl)podophyllotoxin. Eur. J. Med. Chem. 2013, 64, 621–628. [Google Scholar] [CrossRef] [PubMed]
  20. Zhao, Y.; Ge, C.W.; Wu, Z.H.; Wang, C.N.; Fang, J.H.; Zhu, L. Synthesis and evaluation of aroylthiourea derivatives of 4-β-amino-4′-O-demethyl-4-desoxypodophyllotoxin as novel topoisomerase II inhibitors. Eur. J. Med. Chem. 2011, 46, 901–906. [Google Scholar] [CrossRef] [PubMed]
  21. Zhao, M.; Feng, M.; Bai, S.F.; Zhang, Y.; Bi, W.C.; Chen, H. Synthesis and antitumor activity of novel podophyllotoxin derivatives. Chin. Chem. Lett. 2009, 20, 901–904. [Google Scholar] [CrossRef]
  22. Ai, T.; Shi, S.Y.; Chen, L.T.; Li, L.; Cao, B.; Gao, Y.; Chen, H.; Zhou, J. Synthesis and anti-tumor activity evaluation of novel podophyllotoxin derivatives. Chin. Chem. Lett. 2013, 24, 37–40. [Google Scholar] [CrossRef]
  23. Chen, H.; Zuo, S.; Wang, X.C.; Tang, X.W.; Zhao, M.; Lu, Y.L.; Chen, L.T.; Liu, J.; Liu, Y.F.; Liu, D.L.; et al. Synthesis of 4β-triazole-podophyllotoxin derivatives by azide-alkyne cycloaddition and biological evaluation as potential antitumor agents. Eur. J. Med. Chem. 2011, 46, 4709–4714. [Google Scholar] [CrossRef] [PubMed]
  24. Kamal, A.; Laxman, N.; Ramesh, G. Facile and efficient one-pot synthesis of 4β-arylaminopodophyllotoxins: Synthesis of DNA topoisomerase II inhibitors (NPF and W-68). Bioorg. Med. Chem. Lett. 2000, 10, 2059–2062. [Google Scholar] [CrossRef]
  25. Xi, W.L.; Cai, Q.; Tang, Y.B.; Sun, H.; Xiao, Z.Y. Design and synthesis of novel cytotoxic podophyllotoxin. Chin. Chem. Lett. 2010, 21, 1153–1156. [Google Scholar] [CrossRef]
  26. Lee, K.H.; Imakura, Y.; Haruna, M.; Beers, S.A.; Thurston, L.S.; Dai, H.J.; Chen, C.H.; Liu, S.Y.; Cheng, Y.C. Antitumor agents, 107. New cytotoxic 4-alkylamino analogues of 4′-demethyl-epipodophyllotoxin as inhibitors of human DNA topoisomerase II. J. Nat. Prod. 1989, 52, 606–613. [Google Scholar] [CrossRef] [PubMed]
  27. You, Y. Podophyllotoxin derivatives: Current synthetic approaches for new anticancer agents. Curr. Pharm. Des. 2005, 11, 1695–1717. [Google Scholar] [CrossRef] [PubMed]
  28. Jin, J.M.; Zhang, Y.J.; Yang, C.R. Spirostanol and furostanol glycosides from the fresh tubers of polianthes tuberose. J. Nat. Prod. 2004, 67, 5–9. [Google Scholar] [CrossRef] [PubMed]
  • Sample Availability: Samples of the compounds 4ai and 9an are available from the authors.

Share and Cite

MDPI and ACS Style

Cheng, W.-H.; Shang, H.; Niu, C.; Zhang, Z.-H.; Zhang, L.-M.; Chen, H.; Zou, Z.-M. Synthesis and Evaluation of New Podophyllotoxin Derivatives with in Vitro Anticancer Activity. Molecules 2015, 20, 12266-12279. https://doi.org/10.3390/molecules200712266

AMA Style

Cheng W-H, Shang H, Niu C, Zhang Z-H, Zhang L-M, Chen H, Zou Z-M. Synthesis and Evaluation of New Podophyllotoxin Derivatives with in Vitro Anticancer Activity. Molecules. 2015; 20(7):12266-12279. https://doi.org/10.3390/molecules200712266

Chicago/Turabian Style

Cheng, Wei-Hua, Hai Shang, Cong Niu, Zhong-Heng Zhang, Li-Ming Zhang, Hong Chen, and Zhong-Mei Zou. 2015. "Synthesis and Evaluation of New Podophyllotoxin Derivatives with in Vitro Anticancer Activity" Molecules 20, no. 7: 12266-12279. https://doi.org/10.3390/molecules200712266

APA Style

Cheng, W.-H., Shang, H., Niu, C., Zhang, Z.-H., Zhang, L.-M., Chen, H., & Zou, Z.-M. (2015). Synthesis and Evaluation of New Podophyllotoxin Derivatives with in Vitro Anticancer Activity. Molecules, 20(7), 12266-12279. https://doi.org/10.3390/molecules200712266

Article Metrics

Back to TopTop