Oxidation of Disulfides to Thiolsulfinates with Hydrogen Peroxide and a Cyclic Seleninate Ester Catalyst
Abstract
:1. Introduction


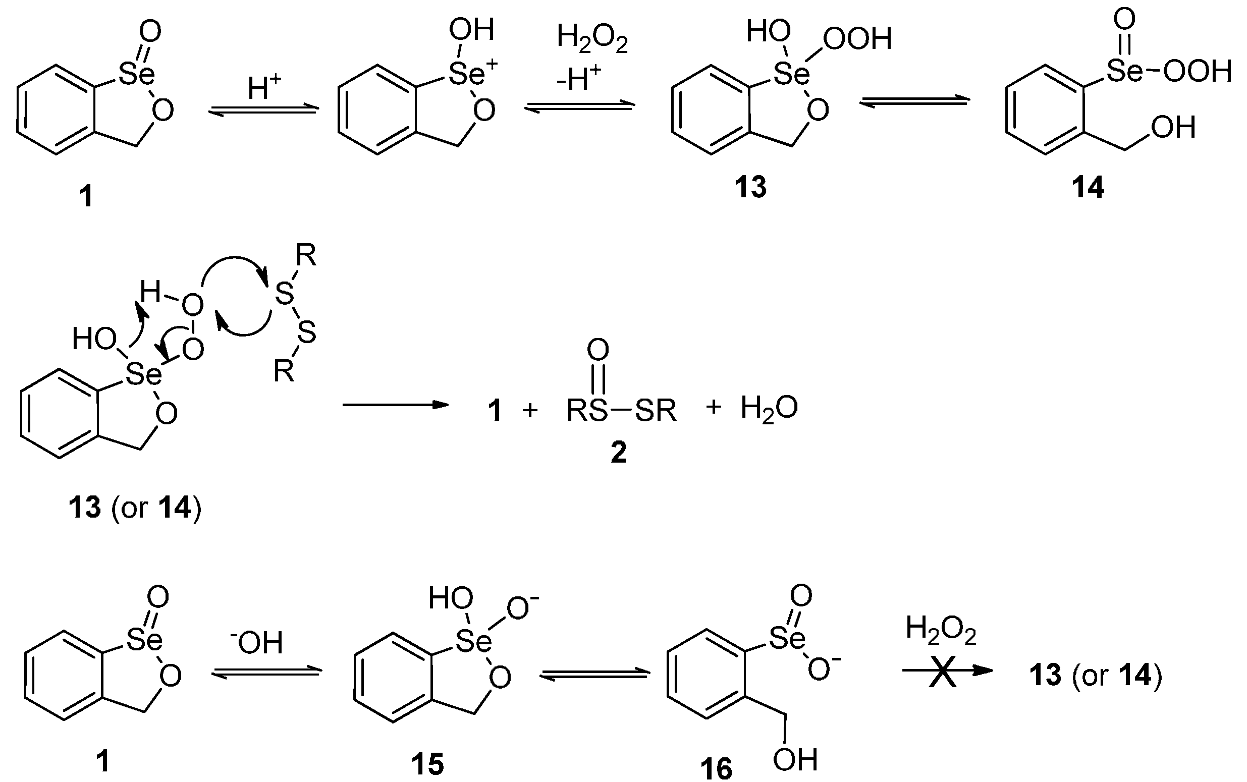
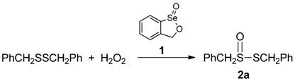
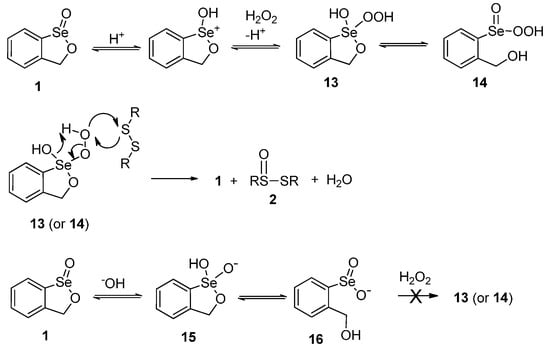
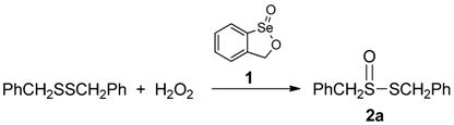
2. Results and Discussion
| Entry | Solvent | Catalyst 1, mol % (+ Additive) | Time (h) | Ratio of 2a:SM b | Yield c, % |
|---|---|---|---|---|---|
| 1 | CHCl3 | 10 | 4.25 | 43:57 | 15 |
| 2 | MeCN | 10 | 1.0 | 85:15 | 46 |
| 3 | EtOAc–MeOH (70:30) | 10 | 3.0 | 85:15 | 57 |
| 4 | CH2Cl2 | 10 | 2.0 | 85:15 | 53 |
| 5 | CH2Cl2 | 5 | 4.5 | 62:38 | 35 |
| 6 | CH2Cl2 | 1 | 29 | 13:87 | 8 |
| 7 | CH2Cl2–MeOH (95:5) | 10 | 3.0 | 92:8 | 64 |
| 8 | CH2Cl2–MeOH (95:5) | 10 (+ 20 mol % TFA) | 1.25 | d | 66 |
| 9 | CH2Cl2–MeOH (95:5) | 10 (+ 20 mol % Cs2CO3) | 6.0 | 0:100 | 0 |
| 10 | CH2Cl2–MeOH (95:5) | 0 | 24 | 0:100 | 0 |
| Entry | R | Time (h) | 2:3:SM b | Thiolsulfinate | Yield, % c |
|---|---|---|---|---|---|
| 1 | PhCH2 | 3 | 92:trace:8 | 2a | 64 |
| 2 | Ph | 4 | nd d | 2b | 23 |
| 3 | 4-F-Ph | 3 | 48:trace:52 e | 2c | 38 |
| 4 | 4-MeO-Ph | 4 | 59:35:6 | 2d | 90 f |
| 5 | 4-Me-Ph | 5 | 92:trace:8 | 2e | 55 |
| 6 | t-Bu | 2.5 | 84:2:14 | 2f | 41 |
| 7 | n-Pentyl | 3 | 93:trace:7 | 2g | 54 |
| 8 | iso-Bu | 3 | 88:8:4 | 2h | 56 |
| 9 | Allyl | 3 | nd | 2i | 31 |
| 10 | MeOCH2CH2 | 6 | 80:0:20 | 2j | 59 |
| 11 | PhC(=O)OCH2CH2 | 6 | 92:0:8 | 2k | 50 |
| 12 | HOCH2CH2 | 4 | NR | 2l | NR |
| Entry | R | Time (h) | 4:5:6:SM b | Thiolsulfinates c | Yield, % d |
|---|---|---|---|---|---|
| 1 | 4-MeO-Ph | 3 | 33:33:33:0 | 4a + 5a | 43 |
| 2 | t-Bu | 4 | 67:12:0:21 | 4b + 5b | 63 |
| 3 | n-C6H13 | 3.5 | 68:8:8:16 | 4c e | 47 |



3. Experimental Section
3.1. General Information
3.2. Typical Procedure: Preparation S-Benzyl Phenylmethanesulfinothioate (2a)
3.3. S-Phenyl Benzenesulfinothioate (2b)
3.4. S-4-Fluorophenyl 4-Fluorobenzenesulfinothioate (2c)
3.5. S-4-Methoxyphenyl 4-Methoxybenzenesulfinothioate (2d)
3.6. S-p-Tolyl 4-Methylbenzenesulfinothioate (2e)
3.7. S-tert-Butyl 2-Methylpropane-2-sulfinothioate (2f)
3.8. S-n-Pentyl Pentane-1-sulfinothioate (2g)
3.9. S-Isobutyl 2-Methylpropane-1-sulfinothioate (2h)
3.10. S-Allyl Prop-2-ene-1-sulfinothioate allicin (2i)
3.11. S-2-Methoxyethyl 2-Methoxyethanesulfinothioate (2j)
3.12. S-2-Benzoyloxyethyl 2-Benzoylethanesulfinothioate (2k)
3.13. S-Phenyl 4-Methoxybenzenesulfinothioate (4a) and S-4-Methoxyphenyl Benzenesulfino-thioate (5a)
3.14. S-Phenyl 2-Methylpropane-2-sulfinothioate (4b) [24] and S-tert-Butyl Benzenesulfinothioate (5b)
3.15. S-Phenyl Hexane-1-sulfinothioate (4c)
3.16. S-Hexyl Benzenesulfinothioate (5d) and S-Hexyl Benzenesulfonothioate (6d)
3.17. Oxidation of (±)-Lipoic Acid (7)
3.18. Oxidation of (L)-N,N′-Dibenzoylcystine Dimethyl Ester (12)
4. Conclusions
Supplementary Materials
Acknowledgments
Author Contributions
Conflicts of Interest
References
- Rotruck, J.T.; Pope, A.L.; Ganther, H.E.; Swanson, A.B.; Hafeman, D.G.; Hoekstra, W.G. Selenium: Biochemical role as a component of glutathione peroxidase. Science 1973, 179, 588–590. [Google Scholar] [CrossRef] [PubMed]
- Ganther, H.E. Selenoproteins. Chem. Scr. 1975, 8A, 79–84. [Google Scholar]
- Epp, O.; Ladenstein, R.; Wendel, A. The refined structure of the selenoenzyme glutathione peroxidase at 0.2 nm resolution. Eur. J. Biochem. 1983, 133, 51–69. [Google Scholar] [CrossRef] [PubMed]
- Day, B.J. Catalase and glutathione peroxidase mimics. Biochem. Pharmacol. 2009, 77, 285–296. [Google Scholar] [CrossRef] [PubMed]
- Bhabak, K.P.; Mugesh, G. Functional mimics of glutathione peroxidase: Bioinspired synthetic antioxidants. Acc. Chem. Res. 2010, 43, 1408–1419. [Google Scholar] [CrossRef] [PubMed]
- Mugesh, G.; Singh, H.B. Synthetic organoselenium compounds as antioxidants: Glutathione peroxidase activity. Chem. Soc. Rev. 2000, 29, 347–357. [Google Scholar] [CrossRef]
- Mugesh, G.; du Mont, W.W.; Sies, H. Chemistry of biologically important synthetic organoselenium compounds. Chem. Rev. 2001, 101, 2125–2179. [Google Scholar] [CrossRef] [PubMed]
- Carroll, L.; Davies, M.J.; Pattison, D.I. Reaction of low-molecular-mass organoselenium compounds (and their sulphur analogues) with inflammation-associated oxidants. Free Radic. Res. 2015, 49, 750–767. [Google Scholar] [CrossRef] [PubMed]
- Orian, L.; Toppo, S. Organochalcogen peroxidase mimetics as potential drugs: A long story of a promise still unfulfilled. Free Radic. Biol. Med. 2014, 66, 65–74. [Google Scholar] [CrossRef] [PubMed]
- Back, T.G.; Moussa, Z. Remarkable activity of a novel cyclic seleninate ester as a glutathione peroxidase mimetic and its facile in situ generation from allyl 3-hydroxypropyl selenide. J. Am. Chem. Soc. 2002, 124, 12104–12105. [Google Scholar] [CrossRef] [PubMed]
- Back, T.G.; Moussa, Z. Diselenides and allyl selenides as glutathione peroxidase mimetics. Remarkable activity of cyclic seleninates produced in situ by the oxidation of allyl ω-hydroxyalkyl selenides. J. Am. Chem. Soc. 2003, 125, 13455–13460. [Google Scholar] [CrossRef] [PubMed]
- Back, T.G.; Kuzma, D.; Parvez, M. Aromatic derivatives and tellurium analogs of cyclic seleninate esters and spirodioxyselenuranes that act as glutathione peroxidase mimetics. J. Org. Chem. 2005, 70, 9230–9236. [Google Scholar] [CrossRef] [PubMed]
- Press, D.J.; Mercier, E.A.; Kuzma, D.; Back, T.G. Substituent effects upon the catalytic activity of aromatic cyclic seleninate esters and spirodioxyselenuranes that act as glutathione peroxidase mimetics. J. Org. Chem. 2008, 73, 4252–4255. [Google Scholar] [CrossRef] [PubMed]
- McNeil, N.M.R.; Matz, M.C.; Back, T.G. A fluxional cyclic seleninate ester: NMR and computational studies, glutathione peroxidase-like behavior and an unexpected rearrangement. J. Org. Chem. 2013, 78, 10369–10382. [Google Scholar] [CrossRef] [PubMed]
- Tripathi, S.K.; Patel, U.; Roy, D.; Sunoj, R.B.; Singh, H.B.; Wolmershäuser, G.; Butcher, R.J. o-Hydroxylmethylphenylchalcogens: Synthesis, intarmolecular nonbonded chalcogen…OH interactions and glutathionr peroxidase-like activity. J. Org. Chem. 2005, 70, 9237–9247. [Google Scholar] [CrossRef] [PubMed]
- Tripathi, S.K.; Sharma, S.; Singh, H.B.; Butcher, R.J. 2-Phenoxyethanol derived diselenide and related compounds; synthesis of a seven-membered seleninate ester. Org. Biomol. Chem. 2011, 9, 581–587. [Google Scholar] [CrossRef] [PubMed]
- Singh, V.P.; Singh, H.B.; Butcher, R.J. Synthesis of cyclic selenenate/seleninate esters stabilized by ortho-nitro coordination: Their glutathionr peroxidase-like activity. Chem. Asian J. 2011, 6, 1431–1442. [Google Scholar] [CrossRef] [PubMed]
- Press, D.J.; McNeil, N.M.R.; Hambrook, M.; Back, T.G. Effects of methoxy substituents on the glutathione peroxidase-like activity of cyclic seleninate esters. J. Org. Chem. 2014, 79, 9394–9401. [Google Scholar] [CrossRef] [PubMed]
- Mercier, E.A.; Smith, C.D.; Parvez, M.; Back, T.G. Cyclic Seleninate esters as catalysts for the oxidation of sulfides to sulfoxides, epoxidation of alkenes and conversion of enamines to α-Hydroxyketones. J. Org. Chem. 2012, 77, 3508–3517. [Google Scholar] [CrossRef] [PubMed]
- Block, E. Garlic and Other Alliums: The Lore and the Science; Royal Society of Chemistry: Cambridge, UK, 2010. [Google Scholar]
- Cavallito, C.J.; Bailey, J.H. Allicin, the Antibacterial Principle of Allium satioum. I. Isolation, Physical Properties and Antibacterial Action. J. Am. Chem. Soc. 1944, 66, 1950–1951. [Google Scholar] [CrossRef]
- Small, L.D.; Bailey, J.H.; Cavallito, C.J. Alkyl thiolsulfinates. J. Am. Chem. Soc. 1947, 69, 1710–1713. [Google Scholar] [CrossRef] [PubMed]
- Borlinghaus, J.; Albrecht, F.; Gruhlke, M.C.H.; Nwachukwu, I.D.; Slusarenko, A.J. Allicin: Chemistry and Biological Properties. Molecules 2014, 19, 12591–12618. [Google Scholar] [CrossRef] [PubMed]
- Kyung, K.H. Antimicrobial properties of allium species. Curr. Opin. Biotechnol. 2012, 23, 142–147. [Google Scholar] [CrossRef] [PubMed]
- Jacob, C. A scent therapy: Pharmacological implications of natural products containing redox-active sulfur atoms. Nat. Prod. Rep. 2006, 23, 851–863. [Google Scholar] [CrossRef] [PubMed]
- Waag, T.; Gelhaus, C.; Rath, J.; Stich, A.; Leippe, M.; Schirmeister, T. Allicin and derivates are cysteine protease inhibitors with antiparasitic activity. Bioorg. Med. Chem. Lett. 2010, 20, 5541–5543. [Google Scholar] [CrossRef] [PubMed]
- Block, E. The Organosulfur Chemistry of the Genus Allium—Implications for the Organic Chemistry of Sulfur. Angew. Chem. Int. Ed. 1992, 31, 1135–1178. [Google Scholar] [CrossRef]
- Lynett, P.T.; Butts, K.; Vaidya, V.; Garrett, G.E.; Pratt, D.A. The mechanism of radical-trapping antioxidant activity of plant-derived thiolsulfinates. Org. Biomol. Chem. 2011, 9, 3320–3330. [Google Scholar] [CrossRef] [PubMed]
- Okada, Y.; Tanaka, K.; Sato, E.; Okajima, H. Antioxidant activity of the new thiosulfinate derivative, S-benzyl phenylmethanethiosulfinate, from Petiveria alliacea L. Org. Biomol. Chem. 2008, 6, 1097–1102. [Google Scholar] [CrossRef] [PubMed]
- Oae, S.; Takata, T.; Kim, Y.H. Oxidation of unsymmetrical disulfide and thiosulfinic S-esters with peroxy acids. Search for formation of α-disulfoxide as an intermediate in the electrophilic oxidation of thiosulfinic S-ester. Bull. Chem. Soc. Jpn. 1982, 55, 2484–2494. [Google Scholar] [CrossRef]
- Block, E.; O’Connor, J. The chemistry of alkyl thiolsulfinate esters. VI. Preparation and spectral studies. J. Am. Chem. Soc. 1974, 96, 3921–3929. [Google Scholar] [CrossRef]
- Stellenboom, N.; Hunter, R.; Caira, M.R.; Bourne, S.A.; Cele, K.; Qwebani, T.; le Roex, T. Synthesis and inclusion of S-aryl alkylthiosulfinates as stable allicin mimics. ARKIVOC 2007, 9, 53–63. [Google Scholar] [CrossRef]
- Izmest’ev, E.S.; Sudarikov, D.V.; Rubtsova, S.A.; Kuchin, A.V. Synthesis of several optically active menthane disulfides and thiosulfinates. Chem. Nat. Compd. 2011, 47, 46–50. [Google Scholar] [CrossRef]
- Clennan, E.L.; Wang, D.; Zhang, H.; Clifton, C.H. Photooxidations of sulfenic acid derivatives 2. A remarkable solvent effect on the reactions of singlet oxygen with disulfides. Tetrahedron Lett. 1994, 35, 4723–4726. [Google Scholar] [CrossRef]
- Colonna, S.; Pironti, V.; Drabowicz, J.; Brebion, F.; Fensterbank, L.; Malacria, M. Enantioselective synthesis of thiosulfinates and of acyclic alkylidenemethylene sulfide sulfoxides. Eur. J. Org. Chem. 2005, 1727–1730. [Google Scholar] [CrossRef]
- Ma, Y.; Wang, X.; Wang, Y.; Feng, Y.; Zang, Y. An economic approach to chiral thiosulfinates by enantioselective oxidation with hydroperoxide. Synth. Commun. 2004, 34, 501–507. [Google Scholar] [CrossRef]
- Liu, G.; Cogan, D.A.; Ellman, J.A. Catalytic asymmetric synthesis of tert-butanesulfinamide. Application to the asymmetric synthesis of amines. J. Am. Chem. Soc. 1997, 119, 9913–9914. [Google Scholar] [CrossRef]
- Arterburn, J.B.; Perry, M.C.; Nelson, S.L.; Dible, B.R.; Holguin, M.S. Rhenium-catalyzed oxidation of thiols and disulfides with sulfoxides. J. Am. Chem. Soc. 1997, 119, 9309–9310. [Google Scholar] [CrossRef]
- Jeyakumar, K.; Chand, D.K. Selective oxidation of sulfides to sulfoxides and sulfones at room temperature using H2O2 and a Mo(VI) salt as catalyst. Tetrahedron Lett. 2006, 47, 4573–4576. [Google Scholar] [CrossRef]
- Hayashi, S.; Furukawa, M.; Yamamoto, J.; Hamamura, K. Studies on antitumor substances. VI. Chemical behaviors of thiosulfonates, disulfonyl sulfides, and related compounds. Chem. Pharm. Bull. 1967, 15, 1310–1314. [Google Scholar] [CrossRef] [PubMed]
- Allen, P., Jr.; Brook, J.W. Preparation of alkyl thiolsulfinates, thiolsulfonates and α-disulfones. J. Org. Chem. 1962, 27, 1019–20. [Google Scholar] [CrossRef]
- Foye, W.O.; Speranza, J.P. N-Acyl derivatives of bis-(4-aminophenyl) disulfide and its thiolsulfinate. J. Pharm. Sci. 1970, 59, 259–261. [Google Scholar] [CrossRef] [PubMed]
- Harpp, D.N.; Aida, T.; Chan, T.H. A General high-yield preparation of thiosulfinate esters using organotin precursors. Tetrahedron Lett. 1983, 24, 5173–5176. [Google Scholar] [CrossRef]
- Calvey, E.M.; Matusik, J.E.; White, K.D.; DeOrazio, R.; Sha, D.; Block, E. Allium chemistry: Supercritical fluid extraction and LC-APCI-MS of thiosulfinates and related compounds from homogenates of garlic, onion, and ramp. Identification in garlic and ramp and synthesis of 1-propanesulfinothioic acid S-allyl ester. J. Agric. Food Chem. 1997, 45, 4406–4413. [Google Scholar] [CrossRef]
- Drabowicz, J.; Kwiatkowska, M.; Kielbasinski, P. The first effective procedure for the direct esterification and thiolysis of sulfinic acids. Synthesis 2008, 3563–3564. [Google Scholar] [CrossRef]
- Drabowicz, J.; Mikołajczyk, M. The first stereoselective synthesis of optically active thiosulfinates. Tetrahedron Lett. 1985, 26, 5703–5706. [Google Scholar] [CrossRef]
- Freeman, F.; Angeletakis, C.N. Formation of elusive vic -disulfoxides and OS -sulfenyl sulfinates during the m-chloroperoxybenzoic acid (MCPBA) oxidation of alkyl aryl disulfides and their regioisomeric sulfinothioic acid S-esters’. J. Org. Chem. 1985, 50, 793–798. [Google Scholar] [CrossRef]
- Freeman, F.; Angeletakis, C.N. Formation of α-disulfoxides, sulfinic anhydrides, and sulfines during the m-chloroperoxybenzoic acid oxidation of symmetrical S-alkyl alkanethiosulfinates. J. Am. Chem. Soc. 1983, 105, 4039–4049. [Google Scholar] [CrossRef]
- Chau, M.M.; Kice, J.L. A search for an α-disulfoxide as an intermediate in the oxidation of an aryl thiolsulfinate. J. Am. Chem. Soc. 1976, 98, 7711–7716. [Google Scholar] [CrossRef]
- Evans, B.J.; Doi, J.T.; Musker, W.K. 19F-NMR study of p-fluorobenzenethiol and disulfide with periodate and other selected oxidizing agents. J. Org. Chem. 1999, 55, 2337–2344. [Google Scholar] [CrossRef]
- Freeman, F.; Angeletakis, C.N. Intermediates in the peroxy acid oxidation of phenyl phenylmethanethiosulfinate. J. Org. Chem. 1981, 46, 3991–3996. [Google Scholar] [CrossRef]
- Harpp, D.N.; Ash, D.K.; Back, T.G.; Gleason, J.G.; Orwig, B.A.; VanHorn, W.F.; Snyder, J.P. A new synthesis of unsymmetrical disulfides. Tetrahedron Lett. 1970, 11, 3551–3554. [Google Scholar] [CrossRef]
- Wagner, C.D.; Smith, R.H.; Peters, E.D. Determination of organic peroxides. Anal. Chem. 1947, 19, 976–979. [Google Scholar] [CrossRef]
- Duddeck, H. Selenium-77 nuclear magnetic resonance spectroscopy. Prog. Nucl. Magn. Reson. Spectrosc. 1995, 27, 1–323. [Google Scholar] [CrossRef]
- Reich, H.J. University of Wisconsin. Available online: http://www.chem.wisc.edu/areas/reich/handouts/nmr/f-data.htm (accessed on 09 June 2015).
- Kice, J.L.; Venier, C.G.; Heasley, L. Mechanisms of reactions of thiolsulfinates (Sulfenic Anhydrides). I. The thiolsulfinate-sulfinic acid reaction. J. Am. Chem. Soc. 1967, 89, 3557–3565. [Google Scholar] [CrossRef]
- Li, C.; Cook, C.M.; Ragauskas, A.J. Brightness Reversion of Mechanical Pulps XI: Photostabilization of High-Yield Pulps by Thiosulfinates. J. Wood Chem. Technol. 1999, 19, 27–41. [Google Scholar] [CrossRef]
- Freeman, F.; Angeletakis, C.N. Carbon-13 nuclear magnetic resonance study of the conformations of disulfides and their oxide derivatives. J. Org. Chem. 1982, 47, 4194–4200. [Google Scholar] [CrossRef]
- Kondo, K.; Negishi, A.; Tsuchihashi, G. The acid-catalyzed ring opening reaction of episulfoxide. Tetrahedron Lett. 1969, 10, 3173–3174. [Google Scholar] [CrossRef]
- Bauer, R.; Breu, W.; Wagner, H.; Weigand, W. Enantiomeric separation of racemic thiosulfinate esters by high-performance liquid chromatogtraphy. J. Chromatogr. 1991, 541, 464–468. [Google Scholar] [CrossRef]
- Backer, H.J.; Kloosterziel, H. Thiolsulfinic esters. Recl. Trav. Chim. Pays-Bas Et Belg. 1954, 73, 129–39. [Google Scholar] [CrossRef]
- Müller, A.; Knaack, M.; Olbrich, A. NMR Spectroscopic characterization of isomeric S-oxides derived from α-lipoic acid. Magn. Reson. Chem. 1997, 35, 111–114. [Google Scholar] [CrossRef]
- Sample Availability: Not available.
© 2015 by the authors. Licensee MDPI, Basel, Switzerland. This article is an open access article distributed under the terms and conditions of the Creative Commons Attribution license ( http://creativecommons.org/licenses/by/4.0/).
Share and Cite
McNeil, N.M.R.; McDonnell, C.; Hambrook, M.; Back, T.G. Oxidation of Disulfides to Thiolsulfinates with Hydrogen Peroxide and a Cyclic Seleninate Ester Catalyst. Molecules 2015, 20, 10748-10762. https://doi.org/10.3390/molecules200610748
McNeil NMR, McDonnell C, Hambrook M, Back TG. Oxidation of Disulfides to Thiolsulfinates with Hydrogen Peroxide and a Cyclic Seleninate Ester Catalyst. Molecules. 2015; 20(6):10748-10762. https://doi.org/10.3390/molecules200610748
Chicago/Turabian StyleMcNeil, Nicole M. R., Ciara McDonnell, Miranda Hambrook, and Thomas G. Back. 2015. "Oxidation of Disulfides to Thiolsulfinates with Hydrogen Peroxide and a Cyclic Seleninate Ester Catalyst" Molecules 20, no. 6: 10748-10762. https://doi.org/10.3390/molecules200610748
APA StyleMcNeil, N. M. R., McDonnell, C., Hambrook, M., & Back, T. G. (2015). Oxidation of Disulfides to Thiolsulfinates with Hydrogen Peroxide and a Cyclic Seleninate Ester Catalyst. Molecules, 20(6), 10748-10762. https://doi.org/10.3390/molecules200610748



