Mentha suaveolens Ehrh. (Lamiaceae) Essential Oil and Its Main Constituent Piperitenone Oxide: Biological Activities and Chemistry †
Abstract
:1. Introduction

2. Mentha: Species, Taxonomy, Occurrence and Uses

3. Mentha Essential Oils
4. Mentha suaveolens Ehrh.: Taxonomic Characterization, Distribution and Uses
5. Essential Oil Composition of MS
| Chemical Structure | Chemical Name | MW | CAS Number |
|---|---|---|---|
![]() | piperitenone | 150.22 | 491-09-8 |
![]() | piperitenone oxide | 166.22 | 35178-55-3 |
![]() | piperitone oxide | 168.23 | 5286-38-4 |
![]() | pulegone | 152.23 | 15923-80-6 |
![]() | carvone | 150.22 | 6485-40-1 |
| N | Identified Compound | Kovàts Index KI | Area% | |
|---|---|---|---|---|
| Azrou | M’rirt | |||
| 1 | α-Pinene | 939 | 0.36 | 0.36 |
| 2 | Camphene | 954 | - | 0.03 |
| 3 | β-Pinene | 979 | 0.65 | 0.65 |
| 4 | meta-Mentha-1(7),8-diene | 1000 | 0.18 | 0.02 |
| 5 | α-Terpinene | 1017 | 0.07 | - |
| 6 | p-Cymene | 1024 | 0.13 | - |
| 7 | Limonene | 1029 | 1.85 | 0.56 |
| 8 | γ-Terpinene | 1059 | 0.13 | - |
| 9 | cis-Sabinene hydrate | 1070 | 0.53 | 0.06 |
| 10 | trans-Sabinene hydrate | 1098 | 0.06 | - |
| 11 | 1-Octen-3-yl-acetate | 1112 | 0.13 | 0.16 |
| 12 | Dehydrosabinaketone | 1120 | 0.05 | - |
| 13 | 4-Acetyl-1-methylcyclohexene | 1137 | 0.08 | - |
| 14 | Nopinone | 1140 | 0.05 | 0.05 |
| 15 | Borneol | 1169 | 0.27 | 0.29 |
| 16 | Terpinen-4-ol | 1177 | 0.71 | 0.52 |
| 17 | p-Cymen-8-ol | 1182 | 0.12 | - |
| 18 | α-Terpineol | 1188 | 0.25 | 0.34 |
| 19 | Coahuilensol methylether | 1221 | 0.14 | - |
| 20 | Pulegone | 1237 | 2.34 | 0.47 |
| 21 | cis-Carvone oxide | 1263 | 0.44 | 0.19 |
| 22 | Geranial | 1267 | - | 0.2 |
| 23 | Perillaaldehyde | 1271 | 0.17 | 0.04 |
| 24 | Isobornylacetate | 1285 | - | 0.1 |
| 25 | 3'-Methoxyacetophenonone | 1298 | - | 0.14 |
| 26 | Piperitenone | 1343 | 1.17 | 10.14 |
| 27 | Piperitenone oxide | 1368 | 74.69 | 81.67 |
| 28 | Daucene | 1381 | 0.11 | - |
| 29 | β-Elemene | 1390 | 0.16 | - |
| 30 | 4a-α,7-β,7a-α-Nepetalactone | 1392 | 1.81 | 0.42 |
| 31 | Longifolene | 1407 | 0.27 | - |
| 32 | β-Caryophyllene | 1419 | 1.68 | 0.91 |
| 33 | cis-Muurola-3,5-diene | 1450 | 0.09 | - |
| 34 | Spirolepechinene | 1451 | 0.16 | 0.09 |
| 35 | Khusimene | 1455 | 0.68 | - |
| 36 | cis-cadina-1(6),4-diene | 1463 | 0.81 | 0.29 |
| 37 | γ-Muurolene | 1479 | 5.53 | 0.5 |
| 38 | γ-Amorphene | 1495 | 0.30 | 0.04 |
| 39 | Aciphyllene | 1501 | 0.10 | - |
| 40 | γ-Cadinene | 1513 | 0.11 | 0.1 |
| 41 | trans-Calamenene | 1522 | 0.77 | - |
| 42 | α-Cadinene | 1538 | 0.09 | 0.05 |
| 43 | Spathulenol | 1578 | 0.60 | 0.25 |
| 44 | Caryophyllene oxide | 1582 | 0.26 | 0.21 |
| 45 | Globulol | 1590 | 0.23 | 0.06 |
| 46 | Ledol | 1602 | - | 0.23 |
| 47 | 1,10-di-epi-Cubenol | 1619 | 0.43 | 0.25 |
| 48 | 10-epi-α-Cadinol | 1640 | 0.28 | 0.04 |
| 49 | Torreyol | 1646 | 0.05 | - |
| 50 | α-Cadinol | 1654 | 0.35 | 0.09 |
| 51 | Germacra-4(15),5,10(14)trien-1-α-ol | 1686 | 0.07 | - |
| 52 | Shyobunol | 1689 | 0.10 | - |
6. Antimicrobial Activity of MS
7. Antioxidant Properties of EOMS
8. Insecticidal Activity of EOMS
9. Additional Bioactivities of EOMS
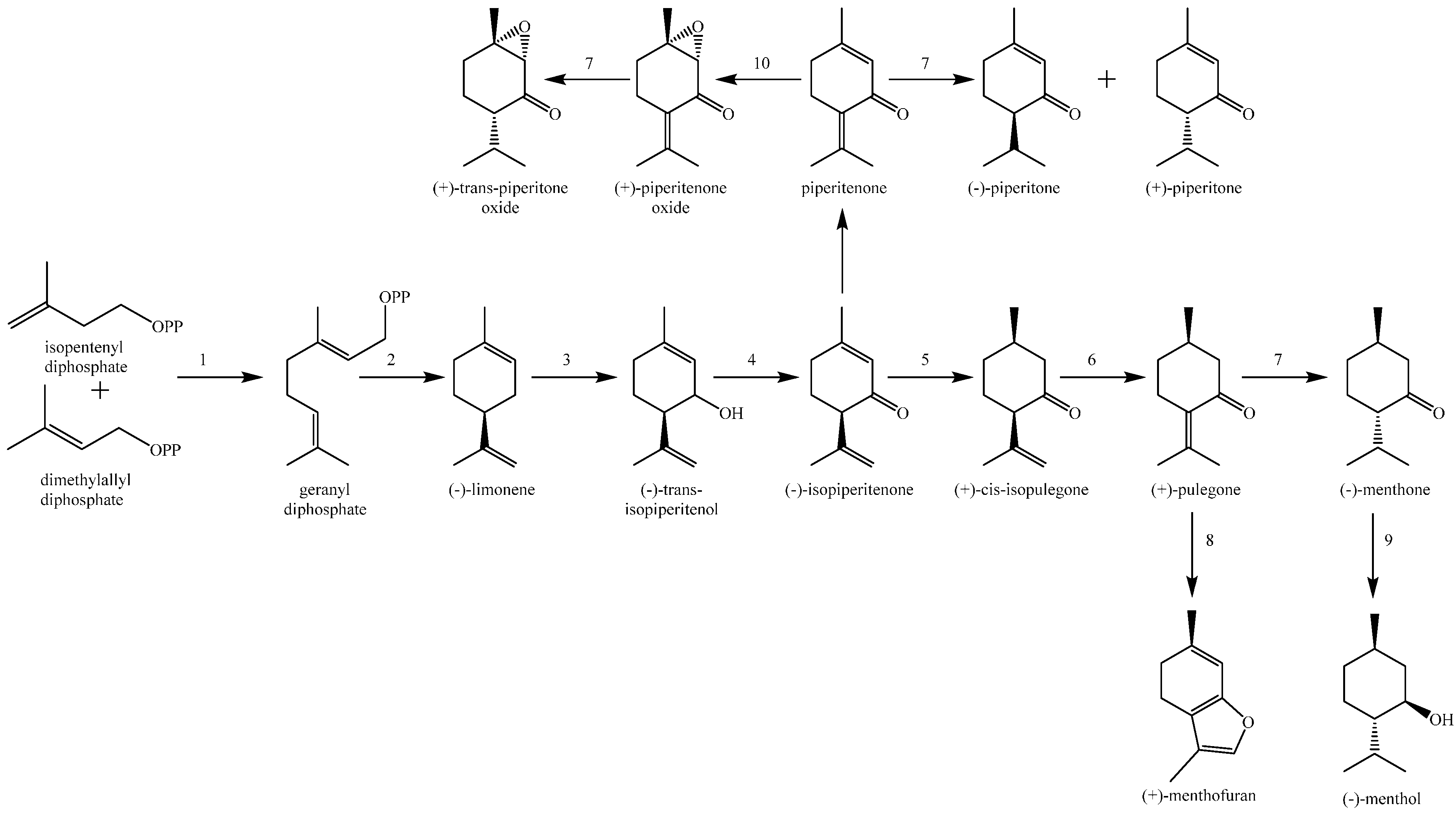
10. Piperitenone Oxide—the Main EOMS Chemical Components

11. Alternative Sources of PO


12. Bioactivities of PO
13. Conclusions and Future Perspectives
Acknowledgments
Author Contributions
Conflicts of Interest
References
- Bakkali, F.; Averbeck, S.; Averbeck, D.; Idaomar, M. Biological effects of essential oils—A review. Food Chem. Toxicol. 2008, 46, 446–475. [Google Scholar] [CrossRef] [PubMed]
- Nascimento, G.; Locatelli, J.; Freitas, P.; Silva, G. Antibacterial activity of plant extracts and phytochemicals on antibioticresistant bacteria. Braz. J. Microbiol. 2000, 31, 247–256. [Google Scholar]
- Valgas, C.; de Souza, S.; Smania, E.; Smania, A. Screening methods to determine antibacterial activity of natural products. Braz. J. Microbiol. 2007, 38, 369–380. [Google Scholar] [CrossRef]
- Prabuseenivasan, S.; Jayakumar, M.; Ignacimuthu, S. In vitro antibacterial activity of some plant essential oils. BMC Complement. Altern. Med. 2006, 6, 39. [Google Scholar] [CrossRef] [PubMed]
- Mint—The Genus Mentha Medicinal and Aromatic Plants—Industrial Profiles; Lawrence, B.M. (Ed.) CRC Press: Boca Raton, FL, USA, 2007; pp. 1–547.
- Elansary, H.O.; Ashmawy, N.A. Essential oils of mint between benefits and hazards. J. Essent. Oil Bear. Plants 2013, 16, 429–438. [Google Scholar] [CrossRef]
- Kumar, P.; Mishra, S.; Malik, A.; Satya, S. Insecticidal properties of Mentha species: A review. Ind. Crops. Prod. 2011, 34, 802–817. [Google Scholar] [CrossRef]
- Tutin, T.G.; Heywood, V.H.; Burges, N.A.; Moore, D.M.; Valentine, D.H.; Walters, S.M.; Webb, D.A. Flora Europaea; Cambridge University Press: Cambridge, UK, 1968; pp. 707–709. [Google Scholar]
- Šarić-Kundalić, B.; Fialová, S.; Dobeš, C.; Ölzant, S.; Tekel’ová, D.; Grančai, D.; Reznicek, G.; Saukel, J. Multivariate numerical taxonomy of Mentha species, hybrids, varieties and cultivars. Sci. Pharm. 2009, 77, 851–876. [Google Scholar] [CrossRef]
- El-Kashoury, E.A.; El-Askary, H.I.; Kandi, Z.A.; Ezzat, S.M.; Salem, M.A.; Sleem, A.A. Chemical and biological study of Mentha suaveolens Ehrh. cultivated in Egypt. J. Med. Plants Res. 2014, 8, 747–755. [Google Scholar] [CrossRef]
- Pignatti, S. Flora d’Italia 2; Edagricole: Bologna, Italy, 1982; pp. 494–499. [Google Scholar]
- Hajlaoui, H.; Snoussi, M.; Jannet, H.B.; Mighri, Z.; Bakhro, A. Comparison of chemical composition and antimicrobial activities of Mentha longifolia L. ssp. Longifolia essential oil from two Tunisian localities (Gabes and Sidi Bouzid). Ann. Microbiol. 2008, 58, 513–520. [Google Scholar]
- Işcan, G.; Ki̇ri̇mer, N.; Kürkcüoglu, K.; Hüsnü, C.; Başer, K.; Demi̇rci̇, F. Antimicrobial screening of Mentha piperita essential oil. J. Agric. Food Chem. 2002, 50, 3943–3946. [Google Scholar] [CrossRef] [PubMed]
- Moreno, L.; Bello, R.; Primo-Yúfera, E.; Esplugues, J. Pharmacological properties of the methanol extract from Mentha suaveolens Ehrh. Phytother. Res. 2002, 16, 10–13. [Google Scholar] [CrossRef]
- Hajlaoui, H.; Trabelsi, N.; Noumi, E.; Snoussi, M.; Fallah, H.; Ksouri, R.; Bakhrouf, A. Biological activities of the essential oils and methanol extract of tow cultivated mint species (Mentha longifolia and Mentha pulegium) used in the Tunisian folkloric medicine. World J. Microbiol. Biotechnol. 2009, 25, 2227–2238. [Google Scholar] [CrossRef]
- Ceker, S.; Agar, G.; Alpsoy, L.; Nardemir, G.; Kizil, H.E.; Mete, E. Protective role of Mentha longifolia L. ssp. longifolia against Aflatoxin B1. J. Essent. Oil Bear. Plants 2013, 16, 600–607. [Google Scholar] [CrossRef]
- Naghibi, F.; Mosaddegh, M.; Motamed, S.M.; Ghorbani, A. Labiatae family in folk medicine in Iran: From ethnobotany to pharmacology. Iran. J. Pharm. Res. 2005, 2, 63–79. [Google Scholar]
- Ahmad, N.; Faza, H.; Ahmad, I.; Abbasi, B.H. Free radical scavenging (DPPH) potential in nine Mentha species. Toxicol. Ind. Health 2012, 28, 83–89. [Google Scholar] [CrossRef] [PubMed]
- Iqbal, T.; Hussain, A.I.; Chatha, S.A.S.; Naqvi, S.A.R.; Bokhari, T.H. Antioxidant activity and volatile and phenolic profiles of essential oil and different extracts of wild mint (Mentha longifolia) from the Pakistani flora. J. Anal. Methods Chem. 2013. [Google Scholar] [CrossRef]
- Aziz, E.E.; Craker, L.E. Essential oil constituents of peppermint, pennyroyal and apple mint grown in a desert agrosystem. J. Herbs Spices Med. Plants 2010, 15, 361–367. [Google Scholar] [CrossRef]
- Clark, G.S. An Aroma Chemical Profile: Menthol. Perfumer Flavorist 1998, 23, 33–46. [Google Scholar]
- El-Kashoury, E.; El-Askary, H.I.; Kandil, Z.A.; Salem, M.A. Botanical and genetic characterization of Mentha suaveolens Ehrh cultivated in Egypt. Pharacogn. J. 2013, 5, 228–237. [Google Scholar] [CrossRef]
- Oumzil, H.; Ghoulami, S.; Rhajaoui, M.; Ilidrissi, A.; Fkih-Tetouani, S.; Faid, M.; Benjouad, A. Antibacterial and antifungal activity of essential oils of Mentha suaveolens. Phytother. Res. 2002, 16, 727–731. [Google Scholar] [CrossRef] [PubMed]
- Karousou, R.; Balta, M.; Hanlidou, E.; Kokkini, S. “Mints”, smells and traditional uses in Thessaloniki (Greece) and other Mediterranean countries. J. Ethnopharmacol. 2007, 109, 248–257. [Google Scholar] [CrossRef] [PubMed]
- Angiolella, L.; Vavala, E.; Sivric, S.; Diodata, D.A.F.; Ragno, R. In vitro activity of Mentha suaveolens essential oil against Cryptococcus neoformans and dermatophytes. Int. J. Essent. Oil Ther. 2010, 4, 35–36. [Google Scholar]
- Zaidi, F.; Voirin, B.; Jay, M.; Viricel, M.R. Free flavonoid aglycones from leaves of Mentha pulegium and Mentha suaveoles (Labiateae). Phytochemistry 1998, 48, 991–994. [Google Scholar] [CrossRef]
- Bello, R.; Calatayud, S.; Beltrán, B.; Primo-Yúfera, E.; Esplugues, J. Cardiovascular effects of the methanol and dichloromethanol extracts from Mentha suaveolens Ehrh. Phytother. Res. 2001, 15, 447–448. [Google Scholar] [CrossRef] [PubMed]
- Ferreira, A.; Proença, C.; Serralheiro, M.L.M.; Araújo, M.E.M. The in vitro screening for acetylcholinesterase inhibition and antioxidant activity of medicinal plants from Portugal. J. Ethnopharmacol. 2006, 108, 31–37. [Google Scholar] [CrossRef] [PubMed]
- López, V.; Martín, S.; Gómez-Serranillos, M.P.; Carretero, M.E.; Jäger, A.K.; Calvo, M.I. Neuroprotective and neurochemical properties of mint extracts. Phytother. Res. 2010, 24, 869–874. [Google Scholar] [PubMed]
- Pietrella, D.; Angiolella, L.; Vavala, E.; Rachini, A.; Mondello, F.; Ragno, R.; Bistoni, F.; Vecchiarelli, A. Beneficial effect of Mentha suaveolens essential oil in the treatment of vaginal candidiasis assessed by real-time monitoring of infection. BMC Complement Altern. Med. 2011, 11, 18. [Google Scholar] [CrossRef] [PubMed]
- Stringaro, A.; Vavala, E.; Colone, M.; Pepi, F.; Mignogna, G.; Garzoli, S.; Cecchetti, S.; Ragno, R.; Angiolella, L. Effects of Mentha suaveolens essential oil alone or in combination with other drugs in Candida albicans. Evid.-Based Complement. Altern. Med. 2014, 2014, 125904:1–125904:9. [Google Scholar] [CrossRef]
- Civitelli, L.; Panella, S.; Marcocci, M.E.; de Petris, A.; Garzoli, S.; Pepi, F.; Vavala, E.; Ragno, R.; Nencioni, L.; Palamara, A.T.; et al. In vitro inhibition of herpes simplex virus type 1 replication by Mentha suaveolens essential oil and its main component piperitenone oxide. Phytomedicine 2014, 21, 857–865. [Google Scholar] [CrossRef] [PubMed]
- Lorenzo, D.; Paz, D.; Dellacassa, E.; Davies, P.; Vila, R.; Cañigueral, S. Essential oils of Mentha pulegium and Mentha rotundifolia from Uruguay. Braz. Arch. Biol. Technol. 2002, 45, 519–524. [Google Scholar] [CrossRef]
- El Arch, M.; Satrani, B.; Farah, A.; Bennani, L.; Boriky, D.; Fechtal, M.; Blaghen, M.; Talbi, M. Composition chimique et activités antimicrobienne et insecticide de l’huile essentielle de Mentha rotundifolia du Maroc. Acta Bot. Gallica 2003, 150, 267–274. [Google Scholar] [CrossRef]
- Brada, M.; Bezzina, M.; Marlier, M.; Carlier, A. Variabilité de la composition chimique des huiles essentielles de Mentha rotundifolia du nord de l’Algérie. Biotechnol. Agron. Soc. Environ. 2007, 11, 3–7. [Google Scholar]
- Abbaszadeh, B.; Valadabadi, S.A.; Farahani, H.A.; Darvishi, H.H. Studying of essential oil varations in leaves of Mentha species. Afr. J. Plant Sci. 2009, 3, 217–221. [Google Scholar]
- Sutour, S.; Bradesi, P.; Casanova, J.; Tomi, F. Composition and chemical variability of Mentha suaveolens ssp. suaveolens and M. suaveolens ssp. insularis from Corsica. Chem. Biodivers. 2010, 7, 1002–1008. [Google Scholar]
- Zekri, N.; Sabri, H.; Khannouchi, S.; El Belghiti, M.A.; Zair, T. Phytochemical study and fumigant toxicity of Mentha suaveolens Ehrh essential oil from Morocco against adults of S. oryzae (L.). Aust. J. Basic Appl. Sci. 2013, 7, 599–606. [Google Scholar]
- El Moussaoui, N.; Sanchez, G.; Khay, E.O.; Idaomar, M.; Ibn Mansour, A.; Abrini, J.; Aznar, R. Antibacterial and antiviral activities of essential oils of northern Moroccan plants. Br. Biotechnol. J. 2013, 3, 318–331. [Google Scholar] [CrossRef]
- Benayad, N.; Ebrahim, W.; Hakiki, A.; Mosaddak, M. Chemical characterization and insecticidal evaluation of the essential oil of Mentha suaveolens Ehrh. and Mentha pulegium L. growing in Morocco. Food Ind. 2012, 13, 27–32. [Google Scholar]
- Velasco-Negueruela, A.; Perez-Alonso, M.J. Essential oils of Calamintha nepeta (L.) Savi and Mentha aff suaveolens Ehrh. grown in Córdoba, Argentina. J. Essent. Oil Res. 1996, 8, 81–84. [Google Scholar] [CrossRef]
- Kasrati, A.; Jamalia, C.A.; Bekkouchea, K.; Lahcenb, H.; Markouka, M.; Wohlmuthc, H.; Leachc, D.; Abbada, A. Essential oil composition and antimicrobial activity of wild and cultivated mint timija (Mentha suaveolens subsp. timija (Briq.) Harley), an endemic and threatened medicinal species in Morocco. Nat. Prod. Res. 2013, 27, 1119–1122. [Google Scholar]
- El-Kashoury, E.A.; El-Askary, H.I.; Kandil, Z.A.; Salem, M.A.; Sleem, A.A. Chemical composition and biological activities of the essential oil of Mentha suaveolens Ehrh. Z. Naturforsch. 2012, 67c, 571–579. [Google Scholar] [CrossRef]
- Petretto, G.L.; Fancello, F.; Zara, S.; Foddai, M.; Mangia, N.P.; Sanna, M.L.; Omer, E.A.; Menghini, L.; Chessa, M.; Pintore, G. Antimicrobial activity against beneficial microorganisms and chemical composition of essential oil of Mentha suaveolens ssp. insularis grown in Sardinia. J. Food Sci. 2014, 79, 369–377. [Google Scholar]
- Pavela, R.; Kaffková, K.; Kumšta, M. Chemical composition and larvicidal activity of essential oils from different Mentha L. and Pulegium species against Culex quinquefasciatus say (Diptera: Culicidae). Plant Prot. Sci. 2014, 50, 1–36. [Google Scholar]
- Avato, P.; Sgarra, G.; Casadoro, G. Chemical composition of the essential oils of Mentha species cultivated in Italy. Sci. Pharm. 1995, 63, 223–230. [Google Scholar]
- Garzoli, S.; Pirolli, A.; Vavala, E.; Di Sotto, A.; Sartorelli, G.; Božović, M.; Angiolella, L.; Mazzanti, G.; Pepi, F.; Ragno, R. Multidisciplinary approach to determine the optimal time and period to extract the essential oil from Mentha suaveolens Ehrh. Molecules 2015. submitted. [Google Scholar]
- Hammer, K.A.; Carson, C.F.; Riley, T.V. Antimicrobial activity of essential oils and other plant extracts. J. Appl. Microbiol. 1999, 86, 985–990. [Google Scholar] [CrossRef] [PubMed]
- Simić, D.; Vuković-Gačić, B.; Knežević-Vukčević, J.; Đarmati, Z.; Jankov, R.M. New assay system for detecting bioantimutagens in plant extracts. Arch. Biol. Sci. 1994, 46, 81–85. [Google Scholar]
- Burt, S. Essential oils: Their antibacterial properties and potential application in foods—A review. Int. J. Food Microbiol. 2004, 94, 223–253. [Google Scholar] [CrossRef] [PubMed]
- Nedorostova, L.; Kloucek, P.; Kokoska, L.; Stolcova, M.; Pulkrabek, J. Antimicrobial properties of selected essential oils in vapour phase against foodborne bacteria. Food Control 2009, 20, 157–160. [Google Scholar] [CrossRef]
- Gulluce, M.; Sahin, F.; Sokmen, M.; Ozer, H.; Daferera, D.; Sokmen, A. Antimicrobial and antioxidant properties of the essential oils and methanol extract from Mentha longifolia L. ssp. Longifolia. Food Chem. 2007, 103, 1449–1456. [Google Scholar] [CrossRef]
- Mahboubi, M.; Haghi, G. Antimicrobial activity and chemical composition of Mentha pulegium L. essential oil. J. Etnopharmacol. 2008, 119, 325–327. [Google Scholar] [CrossRef]
- Arman, M.; Yousefzadi, M.; Khademi, S.Z. Antimicrobial activity and composition of the essential oil from Mentha mozaffarianii. J. Essent. Oil Bear. Plants 2011, 14, 131–135. [Google Scholar] [CrossRef]
- Flamini, G.; Cioni, P.L.; Puleio, R.; Morelli, I.; Panizzi, L. Antimicrobial activity of the essential oil of Calamintha nepeta and its constituent pulegone against bacteria and fungi. Phytother. Res. 1999, 13, 349–351. [Google Scholar] [CrossRef] [PubMed]
- Vavala, E.; Passariello, C.; Pepi, F.; Colone, M.; Garzoli, S.; Ragno, R.; Pirolli, P.; Stringaro, A.; Angiolella, L. Antimicrobial activity of essential oils against Pseudomonas syringae pathovar actinidiae (PSA) agent of canker kiwifruit. Nat. Prod. Res. 2015. accepted. [Google Scholar]
- Sessa, R.; Di Pietro, M.; de Santis, F.; Ragno, R.; Angiolella, L. Effects of Mentha suaveolens essential oil on Chlamydia trachomatis. BioMed Res. Int. 2015, 2015, 508071. [Google Scholar] [CrossRef] [PubMed]
- Helander, I.M.; Alakomi, H.; Latva-Kala, K.; Mattila-Sandholm, T.; Pol, I.; Smid, E.J.; Gorris, L.G.M.; von Wright, A. Characterization of the action of selected essential oil components on gram-negative bacteria. J. Agric. Food Chem. 1998, 46, 3590–3595. [Google Scholar] [CrossRef]
- Gill, A.O.; Holley, R.A. Disruption of Escherichia coli, Listeria monocytogenes and Lactobacillus sakei cellular membranes by plant oil aromatics. Int. J. Food Microbiol. 2006, 15, 1–9. [Google Scholar] [CrossRef]
- Lakušić, B.; Slavkovska, V.; Pavlović, M.; Milenković, M.; Antić-Stanković, J.; Couladis, M. Chemical composition and antimicrobial activity of the essential oil from Chaerophyllum aureum L. (Apiaceae). Nat. Prod. Commun. 2009, 4, 115–118. [Google Scholar] [PubMed]
- Cosentino, S.; Tuberoso, C.I.; Pisano, B.; Satta, M.; Mascia, V.; Arzedi, E. In vitro antimicrobial activity and chemical composition of Sardinian Thymus essential oils. Lett. Appl. Microbiol. 1999, 29, 130–135. [Google Scholar] [CrossRef] [PubMed]
- Trombetta, D.; Castelli, F.; Sarpietro, M.G.; Venuti, V.; Cristani, M.; Daniele, C.; Saija, A.; Mazzanti, G.; Bisignano, G. Mechanisms of antibacterial action of three monoterpenes. Antimicrob. Agents Chemother. 2005, 49, 2474–2478. [Google Scholar] [CrossRef] [PubMed]
- Cos, P.; Vlietinck, A.J.; Berghe, D.V.; Maes, L. Anti-infective potential of natural products: How to develop a stronger in vitro ‘proof-of-concept’. J. Ethnopharmacol. 2006, 106, 290–302. [Google Scholar] [CrossRef] [PubMed]
- Hyldgaard, M.; Mygind, T.; Meyer, R.L. Essential oils in food preservation: mode of action, synergies, and interactions with food matrix components. Front. Microbiol. 2012, 3. [Google Scholar] [CrossRef]
- Ramarathnam, N.; Osawa, T.; Ochi, H.; Kawakishi, S. The contribution of plant food antioxidants to human health. Trends Food Sci. Technol. 1995, 6, 75–77. [Google Scholar] [CrossRef]
- Sultana, B.; Anwar, F.; Przybylski, R. Antioxidant activity of phenolic components present in barks of Azadirachta indica, Terminalia arjuna, Acacia nilotica and Eugenia jambolana Lam. trees. Food Chem. 2007, 104, 1106–1114. [Google Scholar] [CrossRef]
- Huda-Faujan, N.; Noriham, A.; Norrakiah, A.S.; Babji, A.S. Antioxidant activity of plants methanolic extracts containing phenolic compounds. Afr. J. Biotechnol. 2009, 8, 484–489. [Google Scholar]
- Hussain, A.I.; Anwar, F.; Chatha, S.A.S.; Jabbar, A.; Mahboob, S.; Nigam, P.S. Rosmarinus officinalis essential oil: Antiproliferative, antioxidant and antibacterial activities. Braz. J. Microbiol. 2010, 41, 1070–1078. [Google Scholar] [CrossRef] [PubMed]
- Hussain, A.I.; Anwar, F.; Sherazi, S.T.H.; Przybylski, R. Chemical composition, antioxidant and antimicrobial activities of basil (Ocimum basilicum) essential oils depends on seasonal variations. Food Chem. 2008, 108, 986–995. [Google Scholar] [CrossRef]
- Bichra, M.; El-Modafar, C.; El-Abbassi, A.; Bouamama, H.; Benkhalti, F. Antioxidant activities and phenolic profiles of six Moroccan selected herbs. J. Microbiol. Biotechnol. Food Sci. 2013, 2, 2320–2338. [Google Scholar]
- Bichra, M.; El Modafar, C.; El-Boustani, E.; Benkhalti, F. Antioxidant and anti-browning activities of Mentha suaveolens extracts. Afr. J. Biotechnol. 2012, 11, 8722–8729. [Google Scholar]
- Djeridane, A.; Yousfi, M.; Nadjemi, B.; Boutassouna, D.; Stocker, P.; Vidal, N. Antioxidant activity of some Algerian medicinal plants extracts containing phenolic compounds. Food Chem. 2006, 97, 654–660. [Google Scholar] [CrossRef]
- Wang, M.; Simon, J.E.; Aviles, I.F.; He, K.; Zheng, Q.Y.; Tadmor, Y. Analysis of antioxidative phenolic compounds in Artichoke (Cynara scolymus L.). J. Agric. Food Chem. 2003, 51, 601–608. [Google Scholar] [CrossRef] [PubMed]
- Amarowicz, R.; Pegg, R.B.; Rahimi-Moghaddam, P.; Barl, B.; Weil, J.A. Free-radical scavenging capacity and antioxidant activity of selected plant species from the Canadian prairies. Food Chem. 2004, 84, 551–562. [Google Scholar] [CrossRef]
- Katsube, T.; Tabata, H.; Ohta, Y.; Yamasaki, Y.; Anuurad, E.; Shiwaku, K. Screening for antioxidant activity in edible plant products: Comparison of low-density lipoprotein oxidation assay, DPPH radical scavenging assay and Folin–Ciocalteu assay. J. Agric. Food Chem. 2004, 52, 2391–2396. [Google Scholar] [CrossRef] [PubMed]
- Katalinić, V.; Miloš, M.; Kulišić, T.; Jukić, M. Screening of 70 medicinal plant extracts for antioxidant capacity and total phenols. Food Chem. 2006, 94, 550–557. [Google Scholar] [CrossRef]
- El-Askary, H.I.; El-Kashoury, E.A.; Kandil, Z.A.; Salem, M.A.; Ezzat, S.M. Biological activity and standardization of the ethanolic extract of the aerial parts of Mentha suaveolens Ehrh. World J. Pharm. Pharm. Sci. 2014, 3, 223–241. [Google Scholar]
- Aziz, E.E.; Abbass, M.H. Chemical composition and efficiency of five essential oils against the Pulse Beetle Callosobruchus maculatus (F.) on Vigna radiata Seeds. Am.-Eurasian J. Agric. Environ. Sci. 2010, 8, 411–419. [Google Scholar]
- Boughdad, A.; Elkasimi, R.; Kharchafi, M. Activité insecticide des huiles essentielles de Mentha. sur Callosobrochus maculatus (F) (Coleoptera, Bruchidae). In Proceedings of the AFPP—Neuvième Conférence Internationale sur les ravageurs en Agriculture, Montpellier, France, 26–27 October 2011.
- Abdelgaleil, S.A.; Mohamed, M.I.; Badawy, M.E.; El-Arami, S.A.A. Fumigant and contact toxicities of monoterpenes to Sitophilus oryzae (L.) and Tribolium castaneum (Herbst) and their inhibitory effects on acetylcholinesterase activity. J. Chem. Ecol. 2009, 35, 518–525. [Google Scholar] [CrossRef] [PubMed]
- Franzios, G.; Mirotsou, M.; Hatziapostolou, E.; Kral, J.; Scouras, G.Z.; Mavragani-Tsipidou, P. Insecticidal and genotoxic activities of mint essential oils. J. Agric. Food Chem. 1997, 45, 2690–2694. [Google Scholar] [CrossRef]
- Tripathi, A.K.; Prajapati, V.; Ahmad, A.; Aggarwal, K.K.; Khanuja, S.P.S. Piperitenone oxide as toxic, repellent, and reproduction retardant toward malarial vector Anopheles Stephensi (Diptera: Anophelinae). J. Med. Entomol. 2004, 41, 691–698. [Google Scholar] [CrossRef] [PubMed]
- Liska, A.; Rozman, V.; Kalinović, I.; Ivezić, M.; Balićević, R. Contact and fumigant activity of 1,8-cineole, eugenol and camphor against Tribolium castaneum (Herbst). Julius.-Kühn.-Arch. 2010, 425, 716–720. [Google Scholar]
- Koliopoulos, G.; Pitarokili, D.; Kioulos, E.; Michaelakis, A.; Tzakou, O. Chemical composition and larvicidal evaluation of Mentha, Salvia and Melissa essential oils against the West Nile virus mosquito Culex pipiens. Parasitol. Res. 2010, 107, 327–335. [Google Scholar] [CrossRef] [PubMed]
- Pavlidou, V.; Karpouhtsis, I.; Franzios, G.; Zambetaki, A.; Scouras, Z.; Mavragani-Tsipidou, P. Insecticidal and genotoxic effects of essential oils of Greek sage, Salvia fruticosa, and mint, Mentha pulegium, on Drosophila melanogaster and Bactrocera oleae (Diptera: Tephritidae). J. Agric. Urban. Entomol. 2004, 21, 39–47. [Google Scholar]
- Lee, S.; Peterson, C.J.; Coats, J.R. Fumigation toxicity of monoterpenoids to several stored product insects. J. Stored Prod. Res. 2002, 39, 349–355. [Google Scholar]
- Praveena, A.; Sanjayak, K.P. Inhibition of acetylcholinesterase in three insects of economic importance by linalool, a monoterpene phytochemical. In Insect Pest Management, A Current Scenario, 2011 ed.; Ambrose, D.P., Ed.; Entomology Research Unit, St. Xavier’s College: Palayamkottai, India, 2011; pp. 340–345. [Google Scholar]
- Price, D.N.; Berry, M.S. Comparison of effects octopamine and insecticidal essential oils on activity in the nerve cord, foregut, and dorsal unpaired median neurons of cockroaches. J. Insect. Physiol. 2006, 52, 309–319. [Google Scholar] [CrossRef] [PubMed]
- Reitsema, R.H. A new ketone from Oil of Mentha rotundifolia. J. Am. Chem. Soc. 1956, 78, 5022–5025. [Google Scholar] [CrossRef]
- Shimizu, S. Studies of the essential oil of Mentha rotundifolia, Part I. Isolation of rotundifolone, a new terpenic ketone. Bull. Agric. Chem. Soc. Jpn. 1956, 20, 84–88. [Google Scholar] [CrossRef]
- Hendriks, H.; van Os, F.H.L. Essential oil of two chemotypes of Mentha suaveolens during ontogenesis. Phytochemistry 1976, 15, 1127–1130. [Google Scholar] [CrossRef]
- Sutour, S. Etude de la Composition Chimique d’huiles Essentielles et d’extraits de Menthe de Corse et de Kumquats. Ph.D. Thesis, University of Corsica, Corsica, France, 2010. [Google Scholar]
- Denslow, M.W.; Poindexter, D.B. Mentha suaveolens and M. x rotundifolia in North Carolina: A clarification of distribution and taconomic identity. J. Bot. Res. Inst. Texas 2009, 31, 383–389. [Google Scholar]
- Mahmoud, S.S.; Croteau, R.B. Menthofuran regulates essential oil biosynthesis in peppermint by controlling a downstream monoterpene reductase. Proc. Nat. Acad. Sci. USA 2003, 100, 14481–14486. [Google Scholar] [CrossRef] [PubMed]
- Lahlou, S.; Carneiro-Leão, R.F.L.; Leal-Cardoso, J.H.; Toscano, C.F. Cardiovascular Effects of the Essential Oil of Mentha x villosa and its Main Constituent, Piperitenone Oxide, in Normotensive Anaesthetised Rats: Role of the Autonomic Nervous System. Planta Med. 2001, 67, 638–643. [Google Scholar] [CrossRef] [PubMed]
- Guedes, D.N.; Silva, D.F.; Barbosa-Filho, J.M.; Medeiros, I.A. Calcium antagonism and the vasorelaxation of the rat aorta induced by rotundifolone. Braz. J. Med. Biol. Res. 2004, 37, 1881–1887. [Google Scholar] [CrossRef] [PubMed]
- Guedes, D.N.; Silva, D.F.; Barbosa-Filho, J.M.; Medeiros, I.A. Muscarinic Agonist Properties Involved in the Hypotensive and Vasorelaxant Responses of Rotundifolone in Rats. Planta Med. 2002, 68, 700–704. [Google Scholar] [CrossRef] [PubMed]
- Almeida, R.N.; Hiruma, C.A.; Barbosa-Filho, J.M. Analgesic effect of rotundifolone in rodents. Fitoterapia 1996, 4, 334–338. [Google Scholar]
- De Abreu Matos, F.J.; Machado, M.I.L.; Craveiro, A.A.; Alencar, J.; Barbosa, J.M.; Da Cunha, E.V.L.; Hiruma, C.A. Essential oil of Mentha x villosa from northeastern Brazil. J. Essent. Oil Res. 1999, 11, 41–44. [Google Scholar] [CrossRef]
- Sousa, P.J.C.; Linard, C.F.B.M.; Azevedo-Batista, D.; Oliveira, A.C.; Coelho-de-Souza, A.N.; Leal-Cardoso, J.H. Antinociceptive effects of the essential oil of Mentha x villosa leaf and its major constituent piperitenone oxide in mice. Braz. J. Med. Biol. Res. 2009, 42, 655–659. [Google Scholar] [PubMed]
- Matos-Rocha, T.J.; Cavalcanti, M.G.; Barbosa-Filho, J.M.; Lucio, A.S.S.C.; Veras, D.L.; Feitosa, A.P.S.; Siqueira Junior, J.P.; Almeida, R.N.; Marques, M.O.M.; Alves, L.C.; et al. In vitro evaluation of schistosomicidal activity of essential oil of Mentha x villosa and some of its chemical constituents in adult worms of Schistosoma mansoni. Planta Med. 2013, 79, 1307–1312. [Google Scholar] [CrossRef] [PubMed]
- Teles, S.; Pereira, J.A.; Santos, C.H.B.; Menezes, R.V.; Malheiro, R.; Lucchese, A.M.; Silva, F. Effects of geographical origin on the essential oil content and composition of fresh and dried Mentha x villosa Hudson leaves. Ind. Crops Prod. 2013, 46, 1–7. [Google Scholar] [CrossRef]
- Lima, T.C.; Da Silva, T.K.M.; Silva, F.L.; Barbosa-Filho, H.M.; Mayo Marques, M.O.; Santos, R.L.C.; Cavalcanti, S.C.D.H.; de Sousa, D.P. Larvacidal activity of Mentha x villosa Hudson essential oil, rotundifolone and derivates. Chemosphere 2014, 104, 37–43. [Google Scholar] [CrossRef] [PubMed]
- Tomei, P.E.; Manganelli, R.E.U. Composition of the essential oil of Mentha microphylla from the gennargentu mountains (Sardinia, Italy). J. Agric. Food Chem. 2003, 51, 3614–3617. [Google Scholar] [CrossRef] [PubMed]
- Halim, A.F.; Mashaly, M.M.; Sandra, P. Constituents of the essential oil of Mentha microphylla C. Koch. Egypt J. Pharm. Sci. 1990, 31, 437–441. [Google Scholar]
- Pino, J.A.; Rosado, A.; Sanchez, E. Essential oil of Mentha spicata from Cuba. J. Essent. Oil Res. 1998, 10, 657–659. [Google Scholar] [CrossRef]
- Garg, S.N.; Bahl, J.R.; Bansal, R.P.; Mathur, A.K.; Kumar, S. Piperitenone oxide and/or 1,8-cineole rich essential oils produced by seed progeny clones of Mentha spicata accession grown in Indo-Gangetic plains. J. Med. Aromat. Plant Sci. 2000, 22, 755–759. [Google Scholar]
- Sartoratto, A.; Machado, A.L.M.; Delarmelina, C.; Figueira, G.M.; Duarte, M.C.T.; Rehder, V.L.G. Composition and antimicrobial activity of essential oils from aromatic plants used in Brazil. Braz. J. Microbiol. 2004, 35, 275–280. [Google Scholar] [CrossRef]
- Hua, C.X.; Wang, G.R.; Lei, Y. Evaluation of essential oil composition and DNA diversity of mint resources from China. Afr. J. Biotechnol. 2011, 10, 16740–16745. [Google Scholar]
- Orav, A.; Kapp, K.; Raal, A. Chemosystematic markers for the essential oils in leaves of Mentha species cultivated or growing naturally in Estonia. Proc. Estonian Acad. Sci. 2013, 62, 175–186. [Google Scholar] [CrossRef]
- Padalia, R.C.; Verma, R.S.; Chauhan, A.; Sundaresan, V.; Chanotiya, C.S. Essential oil composition of sixteen elite cultivars of Mentha from western Himalayan region, India. Maejo. Int. J. Sci. Technol. 2013, 7, 83–93. [Google Scholar]
- Riahi, L.; Elferchichi, M.; Ghazghazi, H.; Jebali, J.; Ziadi, S.; Aouadhi, C.; Chograni, H.; Zaouali, Y.; Zoghlami, N.; Mliki, A. Phytochemistry, antioxidant and antimicrobial activities of the essential oils of Mentha rotundifolia L. in Tunisia. Ind. Crops Prod. 2013, 43, 883–889. [Google Scholar] [CrossRef]
- Maffei, M. A chemotype of Mentha longifolia (L.) Hudson particularly rich in piperitenone oxide. Flavour. Frag. J. 1988, 3, 23–26. [Google Scholar]
- Abu-Al-Futuh, I.M.; Abdelmageed, O.H.; Jamil, R.M.; Avato, P. A piperitenone oxide chemotype of Mentha longifolia (L.) Huds growing wild in Jordan. J. Essent. Oil Res. 2000, 12, 530–532. [Google Scholar] [CrossRef]
- Kakhky, A.M.; Rustaiyan, A.; Masoudi, S.; Tabatabaei-Anaraki, M.; Salehi, H.R. Composition of the essential oil of Perovskia abrotanoides Karel and Mentha longifolia L. from Iran. J. Essent. Oils Bear. Plants 2009, 12, 205–212. [Google Scholar] [CrossRef]
- Hussain, A.I.; Anwar, F.; Nigam, P.S.; Ashraf, M.; Gilani, A.H. Seasonal variation in content, chemical composition and antimicrobial and cytotoxic activities of essential oils from four Mentha species. J. Sci. Food Agric. 2010, 90, 1827–1836. [Google Scholar] [PubMed]
- Thach, L.N.; Nhung, T.H.; My, V.T.N.; Tran, H. The new rich source of rotundifolone: Mentha aquatica Linn. var. crispa oil from microwave-assisted hydrodistillation. J. Essent. Oil Res. 2013, 25, 39–43. [Google Scholar]
- Menezes, L.R.A.; Santos, N.N.; Meira, C.S.; Ferreira Dos Santos, J.A.; Guimarães, E.T.; Soares, M.B.P.; Nepel, A.; Barison, A.; Costa, E.V. A New Source of (R)-Limonene and Rotundifolone from Leaves of Lippia pedunculosa (Verbenaceae) and their Trypanocidal Properties. Nat. Prod. Commun. 2014, 9, 737–739. [Google Scholar] [PubMed]
- Reitsema, R.H. The synthesis of racemic piperitenone oxide and diosphenolene. J. Am. Chem. Soc. 1957, 79, 4465–4468. [Google Scholar] [CrossRef]
- Juliani, H.R.; Koroch, A.; Simon, J.E.; Biurrun, F.N.; Castellano, V.; Zygadlo, J.A. Essential Oils from Argentinean Aromatic Plants. Acta Hortic. 2004, 629, 491–498. [Google Scholar]
- Duschatzky, C.; Bailac, P.; Carrascull, A.; Firpo, N.; Ponzi, M. Essential Oil of Lippia aff. juneliana Grown in San Luis, Argentina. Effect of Harvesting Period on the Essential Oil Composition. J. Essent. Oil Res. 1999, 11, 104–106. [Google Scholar] [CrossRef]
- Mates, F.J.A.; Machado, M.I.L.; Silva, M.G.V.; Craveiro, A.A.; Alencar, J.W. Essential Oils of Lippia alnifolia Schau. (Verbenaceae) and Lippia aff Gracillis H.B.K., two Aromatic Medicinal Shrubs from Northeast Brazil. J. Essent. Oil Res. 2000, 12, 295–297. [Google Scholar] [CrossRef]
- Viturro, C.I.; Molina, A.; Guy, I.; Charles, B.; Guinaudeau, H.; Fournet, A. Essential oils of Satureja Boliviana and S. parvifolia growing in the region of Jujuy, Argentina. Flavour Fragance J. 2000, 15, 377–382. [Google Scholar] [CrossRef]
- Cabana, R.; Silva, L.R.; Valenão, P.; Viturro, C.I.; Andrade, P.B. Effect of different extraction methodologies on the recovery of bioactive metabolites from Satureja parvifolia (Phil.) Epling (Lamiaceae). Ind. Crops Prod. 2013, 48, 49–56. [Google Scholar] [CrossRef]
- Pirbalouti, A.G.; Vosoghi, N.; Craker, L.; Shirmardi, H. Chemical composition of the essential oil of Satureja kallarica Jamzad. J. Essent. Oil Res. 2014, 26, 228–231. [Google Scholar] [CrossRef]
- Tümen, G.; Baser, K.H.C.; Kürkcüoglu, M.; Demircakmak, B. Composition of the essential oil of Calamintha incana (Sm.) Boiss. from Turkey. J. Essent. Oil Res. 1995, 7, 679–680. [Google Scholar] [CrossRef]
- De Pooter, H.L.; de Buyck, L.F.; Schamp, N.M. The volatiles of Calamintha nepeta subsp. glandusola. Phytochemistry 1986, 25, 691–694. [Google Scholar] [CrossRef]
- Krimer, N.; Baser, K.H.C.; Özek, T.; Kürkçüoglu, M. Composition of the essential oil of Calamintha nepeta subsp. glandusola. J. Essent. Oil Res. 1992, 4, 189–190. [Google Scholar] [CrossRef]
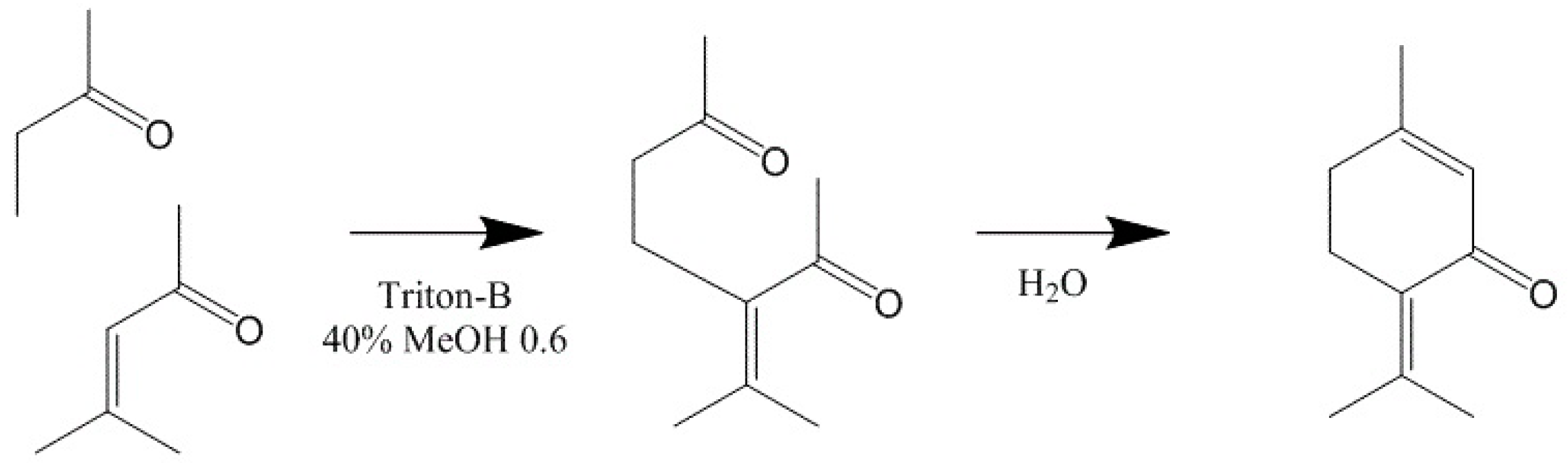
- Bergmann, E.D.; Bracha, P. A simple synthesis of piperitenone. J. Org. Chem. 1959, 24, 994–995. [Google Scholar] [CrossRef]
- Beereboom, J.J. The Synthesis of Piperitenone via Mesityl Oxide and Methyl Vinyl Ketone. J. Org. Chem. 1966, 31, 2026–2027. [Google Scholar] [CrossRef]
- Nakanishim, O.; Fujitani, M.; Ichimoto, I.; Ueda, H. An Improved Process for the Synthesis of Piperitenone from Mesityl oxide and Methyl Vinyl Ketone. Agric. Biol. Chem. 1980, 44, 1667–1668. [Google Scholar] [CrossRef]
- Sousa, P.J.C.; Magalhães, P.J.C.; Lima, C.C.; Oliveira, V.S.; Leal-Cardoso, J.H. Effects of piperitenone oxide on the intestinal smooth muscle of the guinea pig. Braz. J. Med. Biol. Res. 1997, 30, 787–79. [Google Scholar] [CrossRef] [PubMed]
- Santos, M.R.V.; Moreira, F.V.; Fraga, B.P.; de Sousa, D.P.; Bonjardim, L.R.; Quintans-Junior, L.J. Cardiovascular effects of monoterpenes: A review. Rev. Bras. Farmacogn. Braz. J. Pharmacogn. 2011, 21, 764–771. [Google Scholar] [CrossRef]
- Kassouf-Silva, I.; Leal-Cardoso, J.H.; Damiani, C.E.N.; Fogaça, R.T.H. Effect of Piperitenone Oxide on the Skeletal muscle of Toad. J. Nat. Prod. 2011, 4, 65–70. [Google Scholar]
- De Sousa, D.P.; Júnior, E.V.M.; Oliveira, F.S.; de Almeida, R.N.; Nunes, X.P.; Barbosa-Filho, J.M. Antinociceptive Activity of Structural Analogues of Rotundifolone: Structure-Activity Relationship. Z. Naturforsch. 2007, 62c, 39–42. [Google Scholar]
- Silva, D.F.; Araújo, I.G.A.; Albuquerque, J.G.F.; Porto, D.L.; Dias, K.L.G.; Cavalcante, K.V.M.; Veras, R.C.; Nunes, X.P.; Barbosa-Filho, J.M.; Araújo, D.A.M.; et al. Rotundifolone-Induced Relaxation is Mediated by BKCa Channel Activation and Cav Channel Inactivation. Basic Clin. Pharmacol. Toxicol. 2011, 109, 465–475. [Google Scholar] [CrossRef] [PubMed]
- Lima, T.C.; Mota, M.M.; Barbosa-Filho, J.M.; Dos Santos, M.R.V.; de Sousa, D.P. Structural relationships and vasorelaxant activity of monotrpenes. DARU J. Pharm. Sci. 2012, 20, 23. [Google Scholar] [CrossRef]
- Arruda, T.A.; Antunes, R.M.P.; Catão, R.M.R.; Lima, E.O.; Sousa, D.P.; Nunes, X.P.; Pereira, M.S.V.; Barbosa-Filho, J.M.; da Cunha, E.V.L. Preliminary study of the antimicrobial activity of Mentha x villosa Huds. essential oil, rotundifolone and its analogues. Rev. Bras. Farmacogn. 2006, 6, 307–311. [Google Scholar] [CrossRef]
© 2015 by the authors. Licensee MDPI, Basel, Switzerland. This article is an open access article distributed under the terms and conditions of the Creative Commons Attribution license ( http://creativecommons.org/licenses/by/4.0/).
Share and Cite
Božović, M.; Pirolli, A.; Ragno, R. Mentha suaveolens Ehrh. (Lamiaceae) Essential Oil and Its Main Constituent Piperitenone Oxide: Biological Activities and Chemistry. Molecules 2015, 20, 8605-8633. https://doi.org/10.3390/molecules20058605
Božović M, Pirolli A, Ragno R. Mentha suaveolens Ehrh. (Lamiaceae) Essential Oil and Its Main Constituent Piperitenone Oxide: Biological Activities and Chemistry. Molecules. 2015; 20(5):8605-8633. https://doi.org/10.3390/molecules20058605
Chicago/Turabian StyleBožović, Mijat, Adele Pirolli, and Rino Ragno. 2015. "Mentha suaveolens Ehrh. (Lamiaceae) Essential Oil and Its Main Constituent Piperitenone Oxide: Biological Activities and Chemistry" Molecules 20, no. 5: 8605-8633. https://doi.org/10.3390/molecules20058605
APA StyleBožović, M., Pirolli, A., & Ragno, R. (2015). Mentha suaveolens Ehrh. (Lamiaceae) Essential Oil and Its Main Constituent Piperitenone Oxide: Biological Activities and Chemistry. Molecules, 20(5), 8605-8633. https://doi.org/10.3390/molecules20058605






