Coordination and Crystallization Molecules: Their Interactions Affecting the Dimensionality of Metalloporphyrinic SCFs
Abstract
:1. Introduction

2. Results and Discussion
| Compound | 1 | 2 | 3 | 4 | 5 | 6 |
|---|---|---|---|---|---|---|
| structural formula | [CuTCPP]·6DMF | μ-O-[FeTCPP]2·16DMF | ([FeTPPbipy]•)n | [CoTPP(bipy)]·([CoTPP])0.22·(TPP)0.78 | [CoTPPS0.5(bipy) (H2O)2]·6H2O | [FeTCPP] |
| empirical formula | C66H68CuN10O14 | C144H168Fe2N24O33 | C54H36FeN6 | C98H65.56Co1.22N10 | C32H36CoN4O14S2 | C48H27FeN4O8 |
| Fw, g·mol−1 | 1288.85 | 2874.71 | 824.74 | 1455.06 | 811.62 | 843.59 |
| cryst system | Monoclinic | Monoclinic | Monoclinic | Monoclinic | Tetragonal | Monoclinic |
| space group | C2/c | C2/c | C2/c | C2/c | I 41/a | P21 |
| a, Å | 34.4312(9) | 39.3340(4) | 21.6833(8) | 25.1252(4) | 17.9776(2) | 11.0195(2) |
| b, Å | 22.2237(6) | 19.8329(2) | 11.0827(4) | 11.7811(2) | 8.8470(2) | |
| c, Å | 8.3687(2) | 16.0292(2) | 17.6206(6) | 23.9790(4) | 22.3567(3) | 20.0191(4) |
| α, deg | ||||||
| β, deg | 103.783(2) | 98.4180(10) | 97.354(3) | 93.5960(10) | 102.902(2) | |
| γ, deg | ||||||
| V, Å 3 | 6219.2(3) | 12369.8(2) | 4199.6(3) | 7083.9(2) | 7225.55(15) | 1902.38(7) |
| Z | 4 | 4 | 4 | 4 | 8 | 2 |
| ρobs, ρcal, g·cm−3 | 1.346(5), 1.376 | 1.575(5), 0.911 | 1.309(5), 1.304 | 1.371(6), 1.364 | 1.488(4), 1.492 | 1.478(4), 1.473 |
| Crystal size, mm | 0.87 × 0.07 × 0.03 | 0.21 × 0.12 × 0.05 | 0.34 × 0.07 × 0.07 | 0.26 × 0.19 × 0.06 | 0.12 × 0.12 × 0.02 | 0.36 × 0.15 × 0.01 |
| μ, mm−1 | 1.121 | 2.304 | 0.405 | 2.761 | 5.445 | 3.728 |
| absorption correction | Analytical | Analytical | Analytical | Multi-scan | Analytical | Numerical |
| radiation, λ, Å | 1.54184 | 1.54184 | 0.71073 | 1.54184 | 1.54184 | 1.54184 |
| temperature, K | 100.0(2) | 100.0(2) | 100.0(2) | 100.0(2) | 100.0(2) | 100.0(2) |
| reflns collected, unique | 25703, 4660 (Rint = 0.067) | 50744, 12049 (Rint = 0.04) | 10334, 3907 (Rint = 0.04) | 25120, 7352 (Rint = 0.0405) | 23662, 3774 (Rint = 0.096) | 20868, 6320 (Rint = 0.048) |
| final R indices [I > 2σ(I)] | R1 = 0.0481, wR2 = 0.063 | R1 = 0.0608, wR2 = 0.1867 | R1 = 0.0351, wR2 = 0.0714 | R1 = 0.0416, wR2 = 0.1095 | R1 = 0.0669, wR2 = 0.1845 | R1 = 0.0378, wR2 = 0.0877 |
| R indices (all data) | R1 = 0.136, wR2 = 0.1513 | R1 = 0.0788, wR2 = 0.2025 | R1 = 0.0513, wR2 = 0.0738 | R1 = 0.0438, wR2 = 0.1115 | R1 = 0.0856, wR2 = 0.2040 | R1 = 0.0475, wR2 = 0.0921 |
| GOF on F2 | 0.956 | 1.063 | 0.909 | 1.056 | 1.051 | 1.026 |
| parameters/restraints | 421/0 | 555/0 | 279/0 | 504/0 | 274/3 | 554/1 |

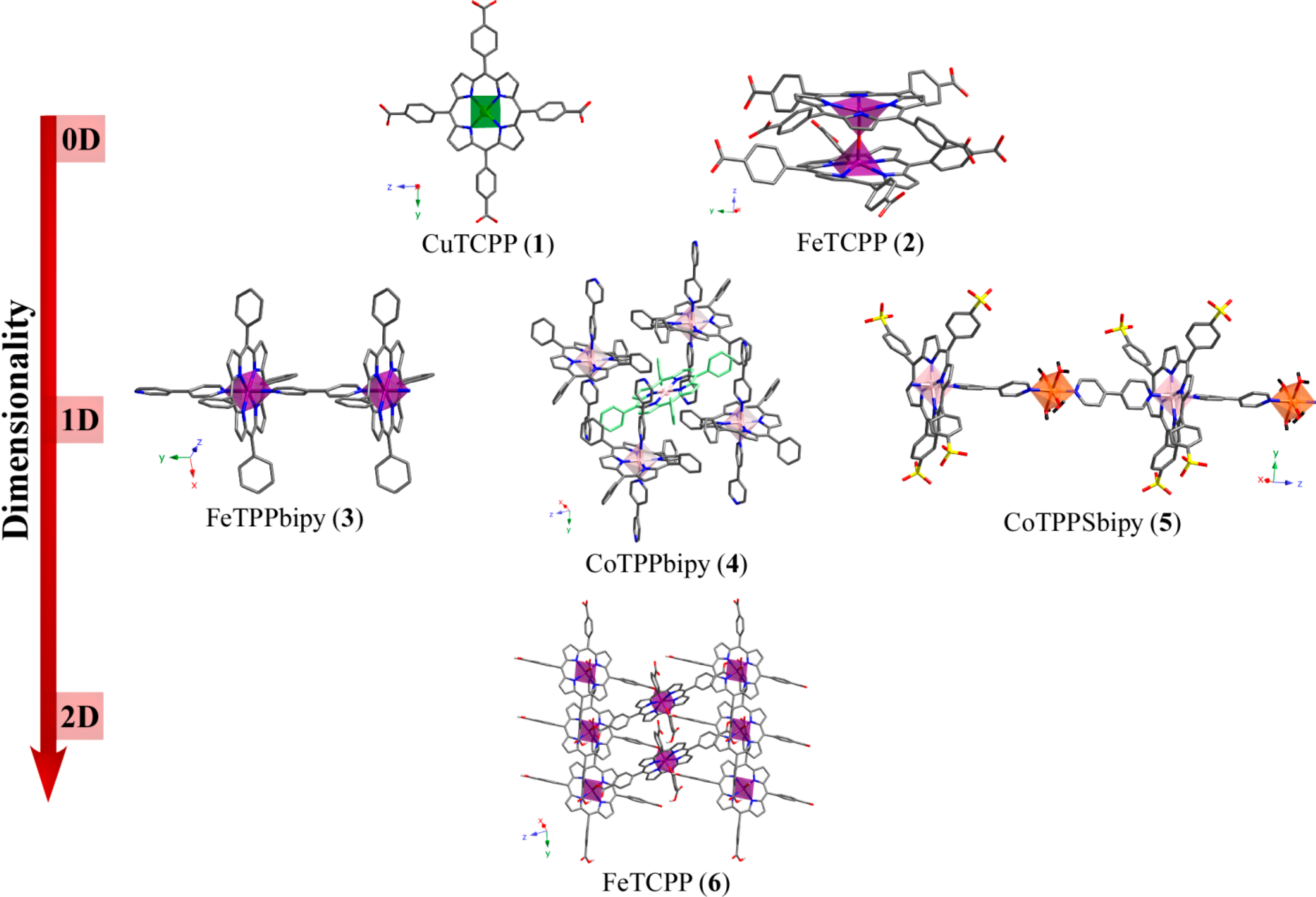
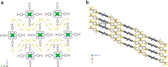
2.1. 0D Crystal Structures



| Substrate | Oxidant | Product | TON a | TOF (h−1) b | |
|---|---|---|---|---|---|
| 1 | ![]() | TBHP | ![]() | 24 | 72 |
| PhI(OAc)2 | 23 | 50 | |||
| 2 | ![]() | TBHP | ![]() | 25 | 91 |
| 3 | ![]() | TBHP | ![]() | 5 | 3 |
| 4 | ![]() | TBHP | ![]() | 3 | 3 |

IR Spectroscopy for Compounds 1 and 2

2.2. 1D Crystal Structures



IR Spectroscopy for Compounds 3, 4 and 5

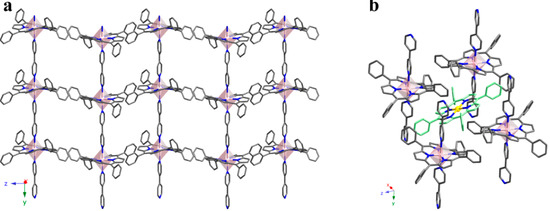
2.3. 2D Crystal Structure

| TPP | TCPP | TPPS | |
|---|---|---|---|
| Fe | compound 3 (+273) | compounds 2 and 6 (+12) | no compounds |
| Co | compound 4 (+79) | (+7) | compound 5 (+1) |
| Cu | (+12) | compound 1 (+9) | no compounds |
IR Spectroscopy for Compound 6

3. Experimental Section
3.1. Materials
3.2. Synthesis
Synthesis of [CuTCPP]·6DMF (1)
3.3. X-ray Structure Determination
3.4. Physicochemical Characterization Techniques
4. Conclusions
Supplementary Materials
Acknowledgments
Author Contributions
Conflicts of Interest
References
- Eddaoudi, M.; Kim, J.; Rosi, N.; Vodak, D.; Wachter, J.; O’Keeffe, M.; Yaghi, O.M. Systematic design of pore size and functionality in isoreticular MOFs and their application in methane storage. Science 2002, 295, 469–472. [Google Scholar] [CrossRef] [PubMed]
- Suh Myunghyun, P.; Park Hye, J.; Prasad Thazhe, K.; Lim, D.-W. Hydrogen storage in metal-organic frameworks. Chem. Rev. 2012, 112, 782–835. [Google Scholar] [CrossRef] [PubMed]
- Wang, C.; Zhang, T.; Lin, W. Rational synthesis of noncentrosymmetric metal-organic frameworks for second-order nonlinear optics. Chem. Rev. 2012, 112, 1084–1104. [Google Scholar] [CrossRef] [PubMed]
- Evans, O.R.; Lin, W. Crystal engineering of NLO materials based on metal-organic coordination networks. Acc. Chem. Res. 2002, 35, 511–522. [Google Scholar] [CrossRef] [PubMed]
- Zhang, W.; Xiong, R.-G. Ferroelectric metal-organic frameworks. Chem. Rev. 2012, 112, 1163–1195. [Google Scholar] [CrossRef] [PubMed]
- Narayan, T.C.; Miyakai, T.; Seki, S.; Dinca, M. High charge mobility in a tetrathiafulvalene-based microporous metal-organic framework. J. Am. Chem. Soc. 2012, 134, 12932–12935. [Google Scholar] [CrossRef] [PubMed]
- Kurmoo, M. Magnetic metal-organic frameworks. Chem. Soc. Rev. 2009, 38, 1353–1379. [Google Scholar] [CrossRef] [PubMed]
- Cui, Y.; Yue, Y.; Qian, G.; Chen, B. Luminescent functional metal-organic frameworks. Chem. Rev. 2012, 112, 1126–1162. [Google Scholar] [CrossRef] [PubMed]
- Liu, D.; Huxford, R.C.; Lin, W. Phosphorescent nanoscale coordination polymers as contrast agents for optical imaging. Angew. Chem. Int. Ed. 2011, 50, 3696–3700. [Google Scholar] [CrossRef]
- Kreno Lauren, E.; Leong, K.; Farha Omar, K.; Allendorf, M.; Van Duyne Richard, P.; Hupp Joseph, T. Metal-organic framework materials as chemical sensors. Chem. Rev. 2012, 112, 1105–1125. [Google Scholar] [CrossRef] [PubMed]
- Horcajada, P.; Chalati, T.; Serre, C.; Gillet, B.; Sebrie, C.; Baati, T.; Eubank, J.F.; Heurtaux, D.; Clayette, P.; Kreuz, C.; et al. Porous metal-organic-framework nanoscale carriers as a potential platform for drug delivery and imaging. Nat. Mater. 2010, 9, 172–178. [Google Scholar] [CrossRef] [PubMed]
- Ma, L.; Falkowski, J.M.; Abney, C.; Lin, W. A series of isoreticular chiral metal-organic frameworks as a tunable platform for asymmetric catalysis. Nat. Chem. 2010, 2, 838–846. [Google Scholar] [CrossRef] [PubMed]
- Feng, D.; Chung, W.-C.; Wei, Z.; Gu, Z.-Y.; Jiang, H.-L.; Chen, Y.-P.; Darensbourg, D.J.; Zhou, H.-C. Construction of ultrastable porphyrin Zr metal-organic frameworks through linker elimination. J. Am. Chem. Soc. 2013, 135, 17105–17110. [Google Scholar] [CrossRef] [PubMed]
- Beletskaya, I.; Tyurin, V.S.; Tsivadze, A.Y.; Guilard, R.; Stern, C. Supramolecular chemistry of metalloporphyrins. Chem. Rev. 2009, 109, 1659–1713. [Google Scholar] [CrossRef] [PubMed]
- Litvinov, A.L.; Konarev, D.V.; Kovalevsky, A.Y.; Neretin, I.S.; Coppens, P.; Lyubovskaya, R.N. [60]fullerene complexes with supramolecular zinc tetraphenylporphyrin assemblies: Synthesis, crystal structures, and optical properties. Cryst. Growth Des. 2005, 5, 1807–1819. [Google Scholar] [CrossRef]
- Litvinov, A.L.; Konarev, D.V.; Kovalevsky, A.Y.; Lapshin, A.N.; Yudanova, E.I.; Drichko, N.V.; Coppens, P.; Lyubovskaya, R.N. Synthesis, crystal structure, and optical properties of a new molecular complex of C60 with a covalently linked (FeIIITPP)2O dimer. Eur. J. Inorg. Chem. 2003, 2003, 3914–3917. [Google Scholar] [CrossRef]
- Kumar, R.K.; Diskin-Posner, Y.; Goldberg, I. Solid-state supramolecular chemistry of porphyrins. Ligand-bridged tetraphenylmetalloporphyrin dimers. J. Incl. Phenom. Macrocycl. Chem. 2000, 37, 219–230. [Google Scholar] [CrossRef]
- Kumar, R.K.; Balasubramanian, S.; Goldberg, I. Crystal engineering with tetraarylporphyrins, an exceptionally versatile building block for the design of multidimensional supramolecular structures. Chem. Commun. 1998, 1435, 1435–1436. [Google Scholar] [CrossRef]
- Konarev, D.V.; Khasanov, S.S.; Slovokhotov, Y.L.; Saito, G.; Lyubovskaya, R.N. Neutral and ionic complexes of C60 with (ZnOEP)2·bpy coordination dimers. CrystEngComm 2008, 10, 48–53. [Google Scholar] [CrossRef]
- Goldberg, I. Design strategies for supramolecular porphyrin-based materials. CrystEngComm 2002, 4, 109–116. [Google Scholar] [CrossRef]
- So, M.C.; Jin, S.; Son, H.-J.; Wiederrecht, G.P.; Farha, O.K.; Hupp, J.T. Layer-by-layer fabrication of oriented porous thin films based on porphyrin-containing metal-organic frameworks. J. Am. Chem. Soc. 2013, 135, 15698–15701. [Google Scholar] [CrossRef] [PubMed]
- Burnett, B.J.; Barron, P.M.; Choe, W. Recent advances in porphyrinic metal-organic frameworks: Materials design, synthetic strategies, and emerging applications. CrystEngComm 2012, 14, 3839–3846. [Google Scholar] [CrossRef]
- Fidalgo-Marijuan, A.; Barandika, G.; Bazan, B.; Urtiaga, M.K.; Arriortua, M.I. Self-assembly of iron TCPP (meso-tetra(4-carboxyphenyl)porphyrin) into a chiral 2D coordination polymer. Polyhedron 2011, 30, 2711–2716. [Google Scholar] [CrossRef]
- Fidalgo-Marijuan, A.; Barandika, G.; Bazan, B.; Urtiaga, M.K.; Arriortua, M.I. Thermal stability and crystallochemical analysis for CoII-based coordination polymers with TPP and TPPS porphyrins. CrystEngComm 2013, 15, 4181–4188. [Google Scholar] [CrossRef]
- Fidalgo-Marijuan, A.; Barandika, G.; Bazan, B.; Urtiaga, M.K.; Lezama, L.; Arriortua, M.I. Fe-TPP coordination network with metalloporphyrinic neutral radicals and face-to-face and edge-to-face π-π stacking. Inorg. Chem. 2013, 52, 8074–8081. [Google Scholar] [CrossRef] [PubMed]
- Fidalgo-Marijuan, A.; Barandika, G.; Bazan, B.; Urtiaga, M.K.; Larrea, E.S.; Iglesias, M.; Lezama, L.; Arriortua, M.I. Heterogeneous catalytic properties of unprecedented μ-O-[FeTCPP]2 dimers (H2TCPP = meso-tetra(4-carboxyphenyl)porphyrin): An unusual superhyperfine EPR structure. Dalton Trans. 2015, 44, 213–222. [Google Scholar] [CrossRef] [PubMed]
- Konarev, D.V.; Khasanov, S.S.; Lyubovskaya, R.N. Transition from free rotation of C70 molecules to static disorder in the molecular C70 complex with covalently linked porphyrin dimers: [(FeIIITPP)2O]·C70. J. Porphyr. Phthalocyanines 2010, 14, 293–297. [Google Scholar] [CrossRef]
- Spek, A.L. PLATON, a Multipurpose Crystallographic Tool; Utrech University: Utrecht, The Netherlands, 1998. [Google Scholar]
- Asbrink, S.; Norrby, L.J. Refinement of the crystal structure of copper(II) oxide with a discussion of some exceptional e.s.d.'s. Acta Crystallogr. Sect. B Struct. Crystallogr. Cryst. Chem. 1970, 26, 8–15. [Google Scholar] [CrossRef]
- Ercolani, C.; Gardini, M.; Monacelli, F.; Pennesi, G.; Rossi, G. Interaction of (phthalocyaninato)iron(II) with molecular oxygen: Synthesis and characterization of two different crystalline forms of (μ-oxo)bis[(phthalocyaninato)iron(III)]. Inorg. Chem. 1983, 22, 2584–2589. [Google Scholar] [CrossRef]
- Kadish, K.M.; Smith, K.M.; Guilard, R. The Porphyrin Handbook; Academic Press: San Diego, CA, USA, 2000. [Google Scholar]
- Choi, E.-Y.; Wray, C.A.; Hu, C.; Choe, W. Highly tunable metal-organic frameworks with open metal centers. CrystEngComm 2009, 11, 553–555. [Google Scholar] [CrossRef]
- Allen, F.H. The Cambridge Structural Database: A quarter of a million crystal structures and rising. Acta Crystallogr. Sect. B Struct. Sci. 2002, 58, 380–388. [Google Scholar] [CrossRef]
- Sun, Z.-C.; She, Y.-B.; Zhou, Y.; Song, X.-F.; Li, K. Synthesis, characterization and spectral properties of substituted tetraphenylporphyrin iron chloride complexes. Molecules 2011, 16, 2960–2970. [Google Scholar] [CrossRef] [PubMed]
- Yinghua, W. Lorentz-polarization factor for correction of diffraction-line profiles. J. Appl. Crystallogr. 1987, 20, 258–259. [Google Scholar] [CrossRef]
- CrysAlisPro Software System; Agilent Technologies UK Ltd.: Oxford, UK, 2012.
- Palatinus, L.; Chapuis, G. Superflip. A computer program for the solution of crystal structures by charge flipping in arbitrary dimensions. J. Appl. Crystallogr. 2007, 40, 786–790. [Google Scholar] [CrossRef]
- Sheldrick, G.M. A short history of shelx. Acta Crystallogr. Sect. A Found. Crystallogr. 2008, 64, 112–122. [Google Scholar] [CrossRef]
- Sample Availability: Samples of the compounds 1–5 are available from the authors.
© 2015 by the authors. Licensee MDPI, Basel, Switzerland. This article is an open access article distributed under the terms and conditions of the Creative Commons Attribution license ( http://creativecommons.org/licenses/by/4.0/).
Share and Cite
Fidalgo-Marijuan, A.; Amayuelas, E.; Barandika, G.; Bazán, B.; Urtiaga, M.K.; Arriortua, M.I. Coordination and Crystallization Molecules: Their Interactions Affecting the Dimensionality of Metalloporphyrinic SCFs. Molecules 2015, 20, 6683-6699. https://doi.org/10.3390/molecules20046683
Fidalgo-Marijuan A, Amayuelas E, Barandika G, Bazán B, Urtiaga MK, Arriortua MI. Coordination and Crystallization Molecules: Their Interactions Affecting the Dimensionality of Metalloporphyrinic SCFs. Molecules. 2015; 20(4):6683-6699. https://doi.org/10.3390/molecules20046683
Chicago/Turabian StyleFidalgo-Marijuan, Arkaitz, Eder Amayuelas, Gotzone Barandika, Begoña Bazán, Miren Karmele Urtiaga, and María Isabel Arriortua. 2015. "Coordination and Crystallization Molecules: Their Interactions Affecting the Dimensionality of Metalloporphyrinic SCFs" Molecules 20, no. 4: 6683-6699. https://doi.org/10.3390/molecules20046683
APA StyleFidalgo-Marijuan, A., Amayuelas, E., Barandika, G., Bazán, B., Urtiaga, M. K., & Arriortua, M. I. (2015). Coordination and Crystallization Molecules: Their Interactions Affecting the Dimensionality of Metalloporphyrinic SCFs. Molecules, 20(4), 6683-6699. https://doi.org/10.3390/molecules20046683








