Abstract
Tetrazoles represent a class of five-membered heterocyclic compounds with polynitrogen electron-rich planar structural features. This special structure makes tetrazole derivatives useful drugs, explosives, and other functional materials with a wide range of applications in many fields of medicine, agriculture, material science, etc. Based on our research works on azoles and other references in recent years, this review covers reported work on the synthesis and biological activities of tetrazole derivatives.
1. Introduction
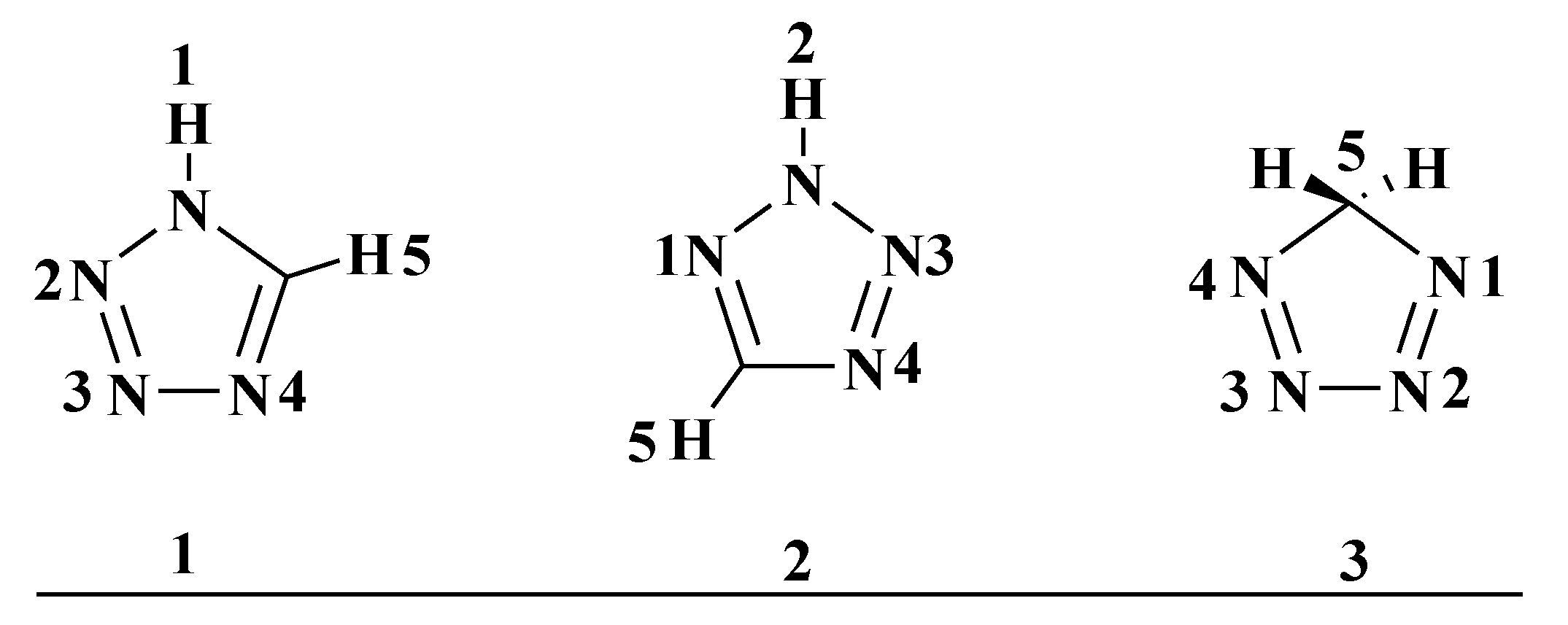
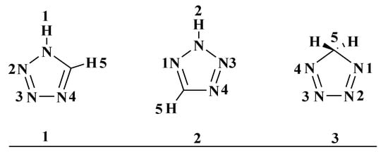
Tetrazole is a heterocyclic compound containing a carbon atom and four nitrogen atoms in a five-membered ring. Theoretically there are three precursor tetrazole isomers: i.e., 1H-tetrazole (1), 2H-tetrazolium (2) and 5H-tetrazole (3) (Figure 1). Substituted tetrazoles exist as a nearly 1:1 ratio of 1H- and 2H-tautomeric forms. Previous studies had shown that the two positional isomers 1 and 2 may be differentiated on the nuclear magnetic resonance (NMR) timescale [1].
Figure 1.
Structures of the regioisomeric tetrazole rings.
Figure 1.
Structures of the regioisomeric tetrazole rings.

Like other azole compounds, due to the relatively late start of the synthesis and study of tetrazole compounds, they did not attracted much attention in the beginning. Since 1885, when Bladin first synthesized tetrazole derivatives (2-cyanophoric-5-phenyltetrazole) to 1950, only some 300 kinds of derivatives were reported [2]. Since the 1950s, when tetrazole compounds became widely used in agriculture, biochemistry, medicine, pharmacology, explosives and other aspects, research began to develop rapidly [3,4]. The tetrazolyl functional group which was often considered as a carboxylic acid replacement in drugs, not only because the pKa is close, but it also has approximately the same planar delocalized system space requirements, and it provided a maximum nitrogen content of any heterocyclic compound [5]. The planar ring skeleton structure and the nitrogen-rich multi-electron conjugated system confer tetrazole derivatives with both donor and acceptor electronic properties. Tetrazole and its derivatives have this attracted the interest of scientists because of their unique structures and their potential applications as antihypertensive, anti-allergic, antibiotic and anticonvulsant agents [6,7,8,9]. In the present review, emphasis was focused on the diverse pharmacological properties associated with substituted tetrazoles in the past few years and a conclusive discussion on structure-activity relationship (SAR) of these compounds is provided.
2. Preparation of Tetrazole Derivatives
Several methods for the synthesis of tetrazoles are widely reported in the literature. The main synthetic routes to tetrazoles are outlined in Scheme 1, Scheme 2 and Scheme 3. Tetrazoles could be synthesized by the reaction of substituted amines 4 with triethyl orthoformate and sodium azide in dimethyl sulfoxide (DMSO) [10,11] (Scheme 1). A new method to convert substituted amines into tetrazoles involves preparing functionalized superparamagnetic Fe3O4·SiO2 possessing high saturation magnetization [12].
Scheme 1.
Synthesized route 1 for tetrazoles.
Scheme 1.
Synthesized route 1 for tetrazoles.

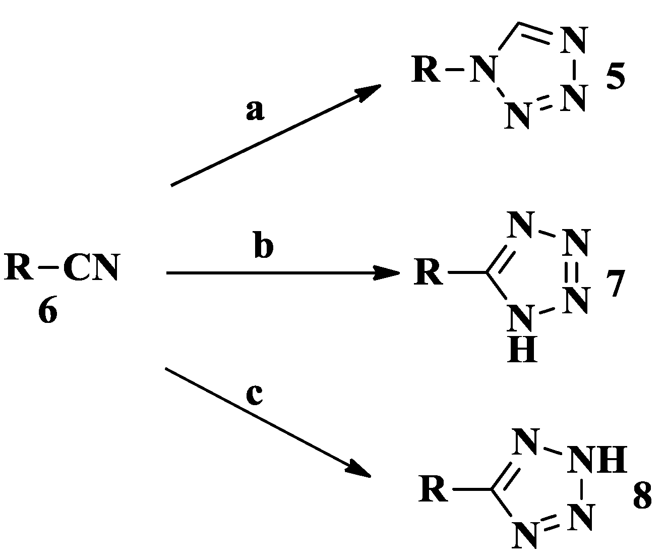
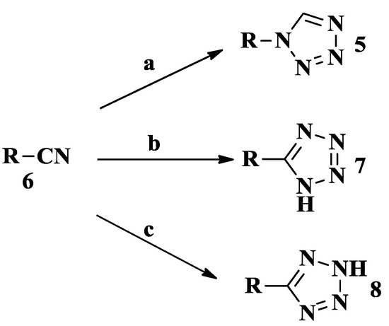
The [3+2] cycloaddition between hydrazoic acid and cyanide derivatives is well known as an efficient route (Scheme 2). We can thus get substituted tetrazoles 5 from isocyanides 6. The reaction of 6 and azidotrimethylsilane (1.5 equiv.) was conducted in MeOH (0.5 M) in the presence of a catalytic amount of HCl (2 mol %, 1.0 M in Et2O solution) at 60 °C [13,14]. One of the main procedures frequently used for the preparation of 5-substituted tetrazoles 7 involves heating a suspension of 6, sodium azide, ammonium chloride and lithium chloride (1.20 g, 28 mmol) in anhydrous dimethylformamide (DMF) under stirring at 110 °C [15,16,17]. Compound 7 was also obtained in a sealed pressure vessel reaction where NaN3 dissolved in H2O, compound 6, ammonium chloride, ammonium fluoride and propane-1,2-diol (DPOL) were stirred and heated for 48 h [18]. Aryloxy tetrazoles were commonly prepared by the reaction of phenols with cyanogen bromide in the first step. Then sodium azide was added into refluxing acetone-water [19]. The most convenient route to 5-substituted-1H-tetrazoles 8 is the reaction of azide ion with nitriles [20]. The literature is full of examples of this conversion method. They can be divided into three main categories using tin or silicon azides [21], acidic media [22], and strong Lewis acids [23,24]. In addition, all of the known methods use organic solvents, in particular, dipolar aprotic solvents such as DMF [25]. A new method for the synthesis of 5-substituted-1H-tetrazoles method was reported where compound 6, water, sodium azide and zinc chloride were refluxed in a hood [26,27,28].
Scheme 2.
Synthesized route 2 for tetrazoles.
Scheme 2.
Synthesized route 2 for tetrazoles.

Reagents and Conditions: a: MeOH, HCl, 60 °C; b: (1) NaN3, NH4Cl, LiCl, DMF, 110 °C; (2) NaN3, NH4Cl, NH4F, DPOL, 48 h; c: N3−, CN−.
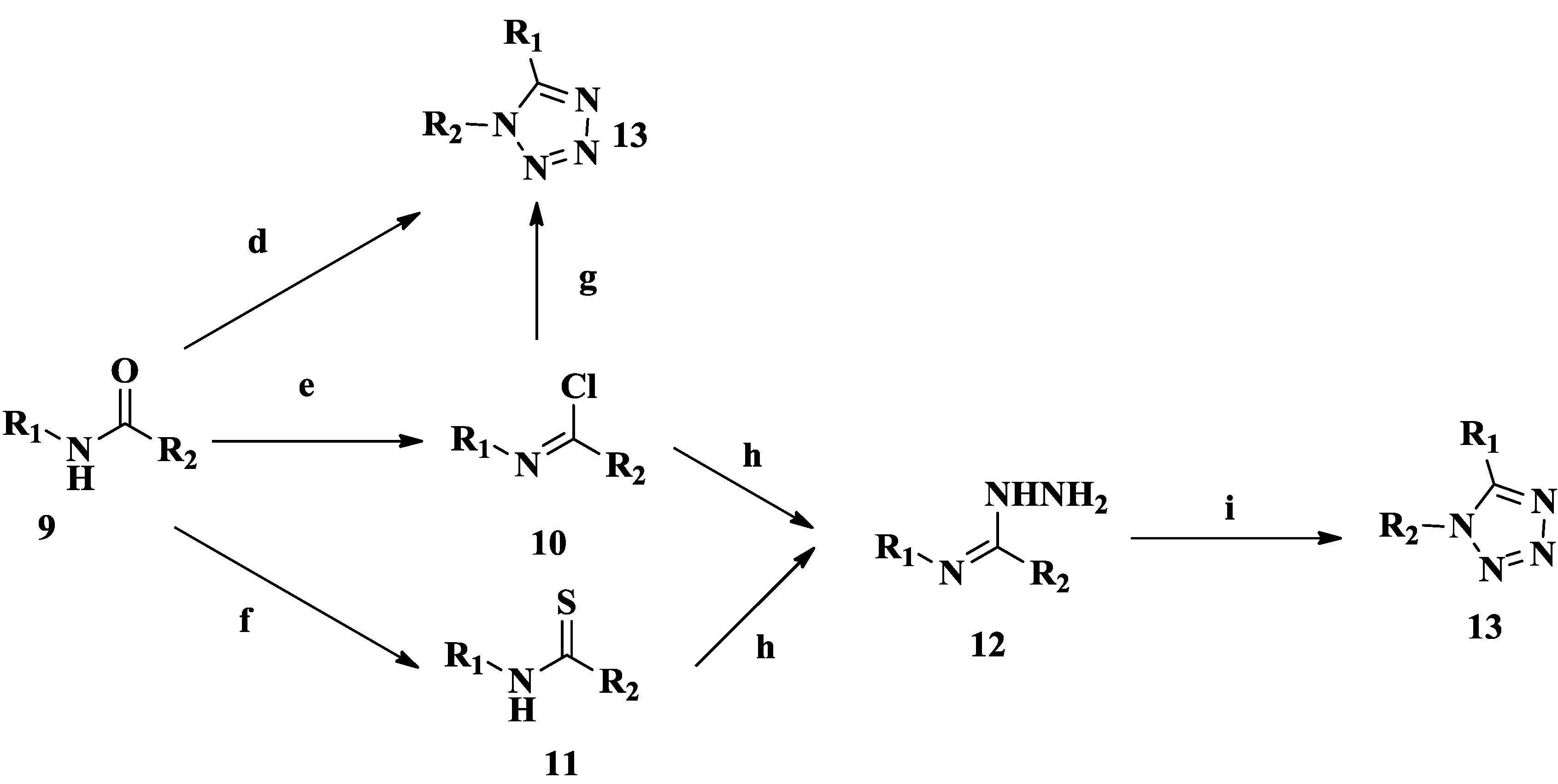
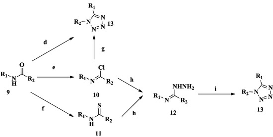
If one wants to prepare 1,5-disubstituted-tetrazoles from the corresponding amide, there are many routes (Scheme 3). First, one can prepare an oxyphosphonium salt under Mitsunobu conditions from the corresponding amide, followed with reaction with trimethylsilyl azide leading to the desired 1,5-disubstituted-tetrazoles. This method proves to be especially useful for applications when an N-protected tetrazole is required. Preservation of chirality in the synthesis of a tetrazole analogue of an amino acid (phenylalanine) was demonstrated [29]. In addition to the above direct approach, we can also through multiple steps to generate 1,5-disubstituted tetrazoles. Usually compounds 9 can be converted to compounds 10 with phosphorus oxychloride (POCl3) and thionylchloride (SOCl2) [30]. Compounds 11 can also be prepared in suitable yields by reaction of compounds 9 with Lawesson’s reagent or phosphorus pentoxide [31]. 1,5-Disubstituted tetrazoles can also be synthesized by reacting compounds 10 with triethyl orthoformate and sodium azide [32]. Compounds 12 can be synthesized by the reaction of compounds 10 and compounds 11 with hydrazine hydrate [33,34]. 1,5-Disubstituted tetrazoles can finally be synthesized by reacting 12 with CH3COOH and aqueous NaNO2 under ice-bath conditions, making sure that the reaction temperature is below 5 °C [35,36].
Scheme 3.
Synthesized route 3 for tetrazoles.
Scheme 3.
Synthesized route 3 for tetrazoles.

Reagents and Conditions: d: oxyphosphonium salt, C3H9N3Si; e: POCl3, SOCl2; f: Lawesson’s reagent/P2O5; g: HC(OC2H5)3, NaN3; h: N2H4·H2O; i: CH3COOH, NaNO2, below 5 °C.
There are some ways to get 2,5-disubstituted-tetrazoles. One of the most efficient routes (Scheme 4) uses lithium trimethylsilyldiazomethane (15) prepared from TMSCHN2 and lithium diisopropylamide (LDA), which reacts smoothly with the methyl esters of carboxylic acids at 0 °C to give compounds 16 in good yields [37].
Scheme 4.
The most efficient route for synthesis of 2,5-disubstituted-tetrazoles.
Scheme 4.
The most efficient route for synthesis of 2,5-disubstituted-tetrazoles.

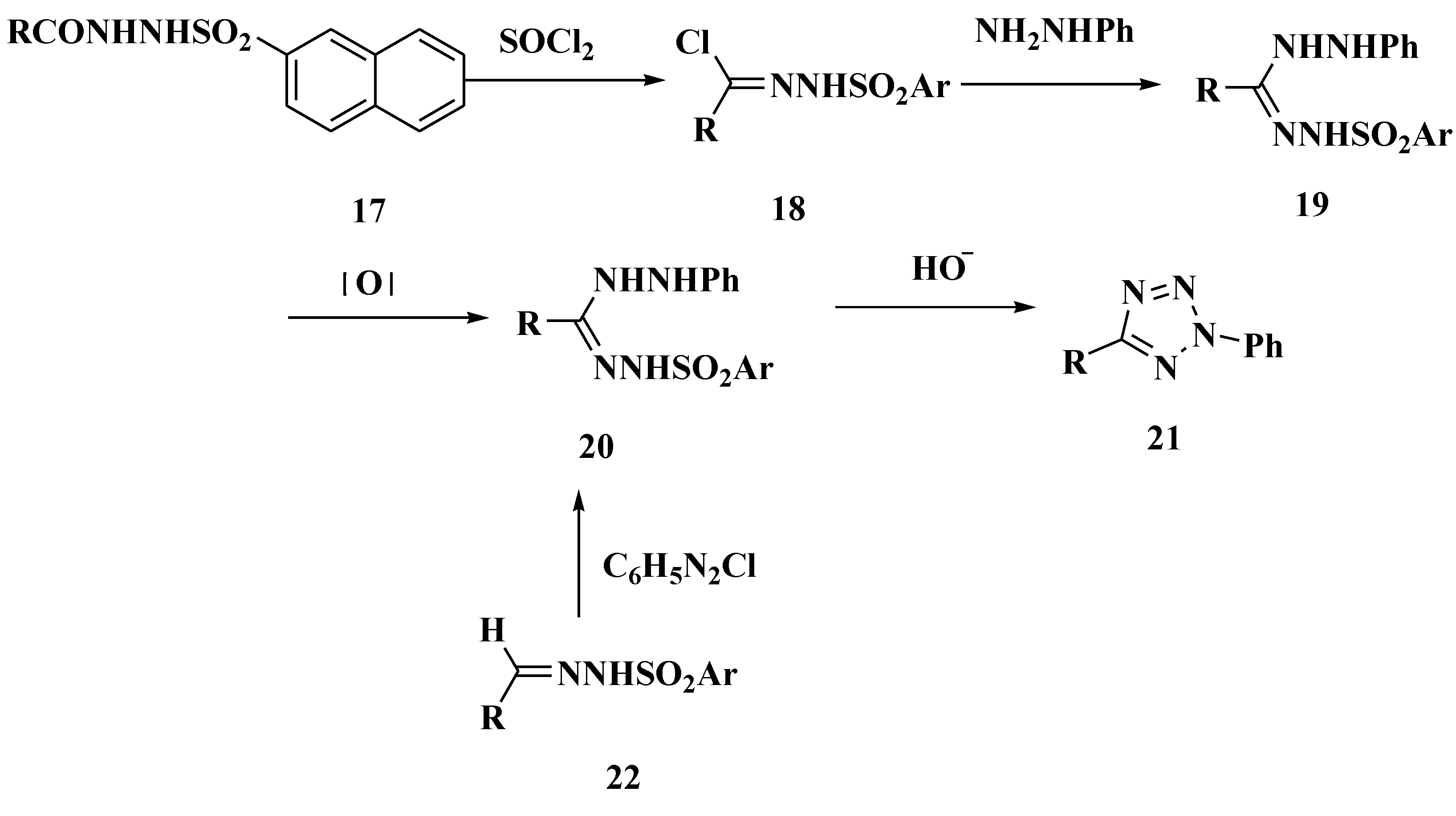
Scheme 5.
Synthesized routes for compounds 18–22.
Scheme 5.
Synthesized routes for compounds 18–22.

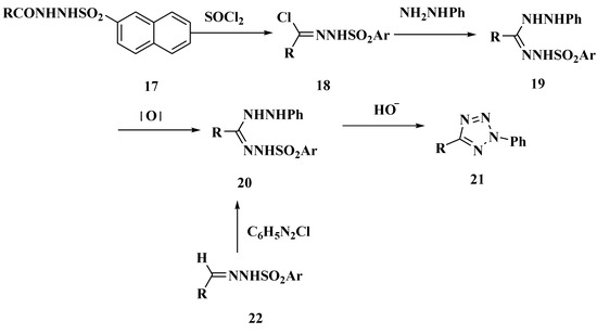
When the hydrazides 17 were treated with thionyl chloride, the corresponding hydrazidoyl compounds 18 were obtained (Scheme 5). Next the reaction of compounds 18 with phenylhdyrazine was examined to prepare the hydrazidines 19 which can be oxidized to formazan derivatives 20. 2,5-Disubstituted tetrazoles 21 can be synthesized by reacting compounds 20 with potassium carbonate [38]. Compounds 20 also can be synthesized from compounds 22 [39].
3. Biological Activity of Tetrazolium Derivatives
Compounds derived from tetrazolium have received particular attention due to their pharmacological properties. Numerous studies have been published on the antibacterial and antifungal properties of these derivatives. Furthermore, these compounds also present anti-inflammatory, analgesic, anticancer, anticonvulsant, antihypertensive, hypoglycemic, antiparasitic, and antiviral activities. The aforementioned properties and the possibility to attach several structurally distinct substituents to the heterocycle ring to modify either the biological or physico-chemical properties of these compounds have prompted the use of this heterocycle as a template in many research programs aimed at the development of new bioactive compounds.
3.1. Antibacterial and Antifungal Activity
7,9-Disubstituted-7H-tetrazolo[1,5-c]pyrrolo[3,2-e]pyrimidines (Figure 2) were synthesized and evaluated for their antibacterial activity. Compound 23 exhibited better activity than ampicillin against all the tested cultures, except S. aureous [40]. A novel series of tetrazole compounds were reported to possess antimicrobial activity in vitro by the disc diffusion method measuring zones of inhibition. The results of the study showed that the synthesized compound 2-methyl-3-{4-[2-(1H-tetrazol-5-yl-ethylamino]phenyl}-3H-quinazolin-4-one (24) displayed fairly good antimicrobial activity against the test organisms, although the activity was less than that of the reference drugs (ciprofloxacin and fluconazole, respectively) [41]. It was reported that a series of new 5-thio-substituted tetrazole derivatives were synthesized and antimicrobial screening showed that all the synthesized compounds showed moderate activity against the tested organisms. Among the newly synthesized compounds, 25 and 26 showed the most effective antibacterial and antifungal activities. The study suggested that further work with similar types of analogues was clearly warranted [42].
Figure 2.
Structures of compounds 23–26.
Figure 2.
Structures of compounds 23–26.

A variety of heterocyclic tetrazole derivatives were synthesized (Figure 3). Among the synthesized compounds, compounds 27, 28, 29, 30, 31 and 32 exhibited antimicrobial activities with minimal inhibitory concentration (MIC) values ranging from 23.40 to 46.87 μg/L. Molecular modeling results were in accordance with the in vitro antimicrobial screening. The SAR research results showed that pyran derivatives were more active than pyridine derivatives and the activity order for the R substituent was: 4-OMe> 4-Me > 3-OH > H > 4-Cl > 4-NO2 [43].
Figure 3.
Structures of compounds 27–32.
Figure 3.
Structures of compounds 27–32.

A new series of oxazolidinone derivatives were synthesized (Figure 4) and evaluated their substituted effects on in vitro and in vivo antibacterial activities activity against clinically relevant resistant gram-positive organisms, M. catarrhlis and H. influenzae with a long half-life.
Figure 4.
Structures of compounds 33–37.
Figure 4.
Structures of compounds 33–37.

Diverse substituted heteroaromatic ring forms were tolerated on the pyridine and the presence or orientation of the methyl group in the heteroaromatic ring affected the antibacterial activity. Among the new compounds, 33 was the most effective compound against a variety of clinically relevant resistant Gram-positive organisms and M. catarrhlis and H. influenzae, and also showed the higher in vivo efficacy with longer half-life than linezolid [44]. The synthesis of a series of novel pyranochromene-containing fused tetrazole derivatives was reported. All of the newly synthesized compounds were screened for their antibacterial activities against the Gram-positive bacteria Bacillus subtilis and Staphylococcus aureus and Gram-negative bacteria (Pseudomonas aeuroginosa and Escherichia coli). The antifungal activity of the compounds was assayed against Candia albicans and Aspergillus niger. The MIC values of the assayed compounds were determined using the microdilution susceptibility method. Ciprofloxacin was used as a reference antibacterial agent. Fluconazole was used as a reference antifungal agent. The study showed that compounds 34, 35, 36 and 37 showed significant antibacterial and antifungal activities compared with other tested samples [45].
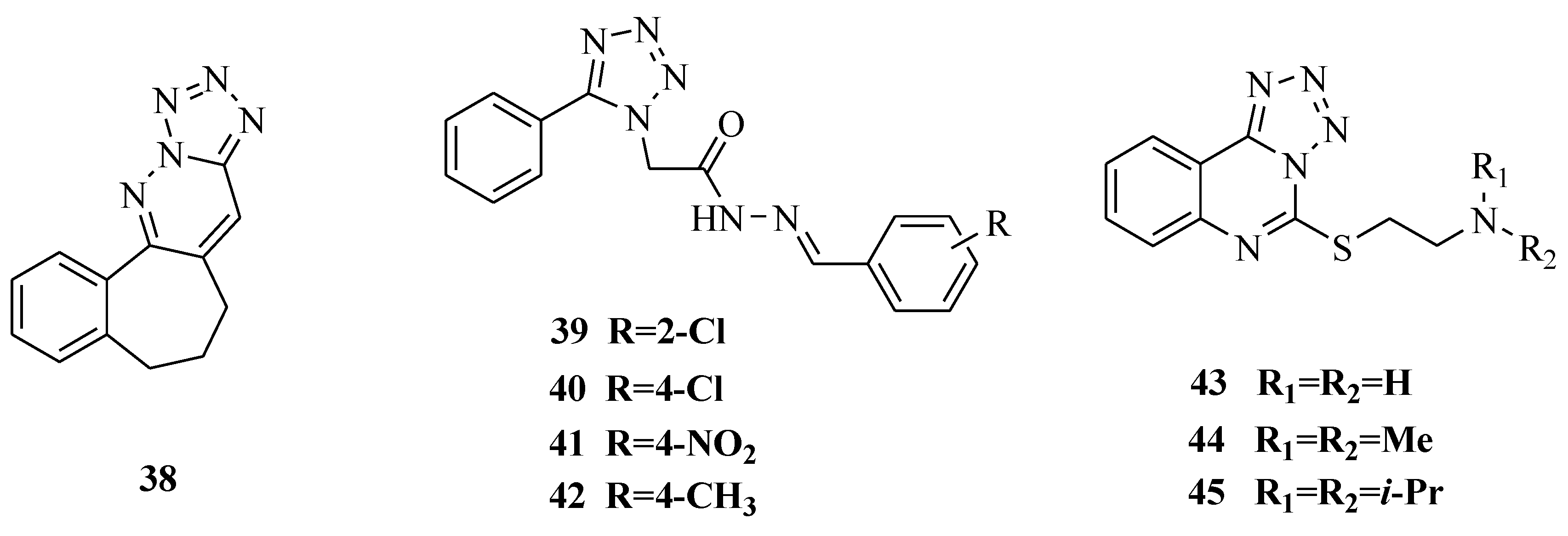
The synthesis of new triazolo/tetrazolo-pyridazine[6,7]benzocycloheptenes (Figure 5) and their antimicrobial activity was reported. All the compounds were screened for the antibacterial activity in the appropriate concentration. The compound 2-methyl-6,7-dihydro-5H benzo[6,7]cyclohepta[1,2,3,4] tetrazolo[1,5-b] pyridazine (38) showed the maximum zone of inhibition (20 mm) against E.coli which was a little smaller than that of doxycyclin (30 mm) [46]. A series of tetrazole Schiff bases were prepared and it was demonstrated that these compounds possessed good antibacterial and antifungal activities when tested by the cup plate method. The most promising compounds with good antibacterial and antifungal activity were 39, 40 and 41, and the best ones for antifungal activity were 39, 40 and 42 [47].
Figure 5.
Structures of compounds 38–45.
Figure 5.
Structures of compounds 38–45.

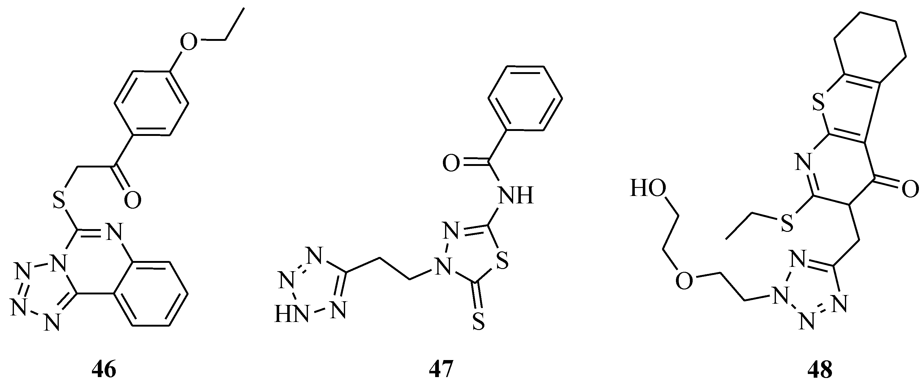
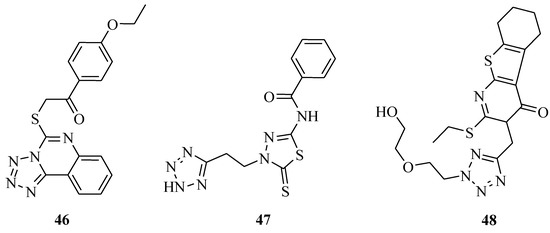
It was reported that a series of tetrazolo[1,5-c]quinazoline-5-thione derivatives (Figure 5 and Figure 6) were synthesized and screened for antibacterial and antifungal activities at the concentration of 100 μg. The results revealed that the most active substances were 43, 44, 45, and 46. The SAR revealed that shortening of the dialkyl amino fragment of substances 43–45 leads to a moderate decrease in antimicrobial activity against Enterococcus faecalis, and otherwise leads to an increase in activity against Staphylococcus aureus and Escherichia coli, and antifungal activity against Candida albicans. Introduction of the 4-methoxyphenyl group at the 5 position of tetrazolo[1,5-c]quinazoline-5-thione (46) resulted in the best antimicrobial agent among all the investigated substances. It even moderately inhibited the growth of Pseudomonas aeruginosa and Klebsiella pneumoniae [48]. Other research results showed that N-(4-(2-(2H-tetrazol-5-yl)ethyl)-5-thioxo-4,5-dihydro-1,3,4-thiadiazol-2-yl)-benzamide (47) exhibited antimicrobial activity against Bacillus subtilis with a MIC value of 100 μg/mL compared with penicillin (31 μg/mL), against Pseudomonas aeruginosa with a MIC value of 125 μg/mL compared with penicillin (46 μg/mL), and against Streptomyces species with a MIC value of 125 μg/mL compared with penicillin (33 μg/mL) [49]. A series of substituted 5,6,7,8-tetrahydro-3H-benzo[4,5]thieno[2,3-d]pyrimidine-4-one derivatives were synthesized and evaluated for antimicrobial activity against Escherichia coli, Bacillus subtilis, Staphylococcus aureus, Aspergillus niger and Candida albicans. The substituted thienopyrimidine derivative (48) was the most highly active compound [50].
Figure 6.
Structures of compounds 46–48.
Figure 6.
Structures of compounds 46–48.

A variety of triazole derivatives with a 5-substituted tetrazole structure were prepared (Figure 7) and evaluated for their antifungal activity against the Aspergillus spp, Cryptococcus neoformans, and Candida spp. in vitro. Some of these compounds possessed good antifungal activity against the different fungal cultures such as Candida species, C. neoformans and Aspergillus species. The location of the methyl group at the C-3 of compound 49 and 50 has been demonstrated to be a key structural element for antifungal potency [51]. It was reported that various 1-(2,4-dihydroxythiobenzoyl)imidazoles, -imidazolines and -tetrazoles were synthesized and evaluated for antibacterial properties. The MIC values against the Candida albicans ATCC 10231 strain, azole-resistant clinical isolates of C. albicans and non-Candida species were determined. Tetrazole derivatives 51 and 52 were the most active against C. albicans. All compounds showed higher activity than reference drugs itraconazole and fluconazole [52].
Figure 7.
Structures of compounds 49–52.
Figure 7.
Structures of compounds 49–52.

Novel tetrazole derivatives containing azatidinone (Figure 8) were designed, synthesized and evaluated for antitubercular activity. The highest activity registered for compounds was 53 which should be regarded as a new hit for further development as a novel class of anti-Mycobacterium tuberculosis agents [53]. A series of tetrazole -earing acylhydrazone derivatives 54 were synthesized. Activity evaluation of some of these compounds showed anti-fungicidal activity [54]. A series of new 1-[(tetrazol-5-yl)methyl]indole derivatives were also synthesized. Compound 55 displayed strong activity against Escherichia coli, Bacillus subtilis, Streptococcus lactis and Pseudomonas sp., compared with ciprofloxacin and exhibited high activities against the tested fungi compared with fusidic acid, while compounds 56 and 57 showed strong activity against the Gram negative bacteria Escherichia coli and Pseudomonas aeruginosa [55]. New a-hydroxyphosphonate 58 and a-acetoxyphosphonate derivatives 59 were synthesized and their antimicrobial activities evaluated. All compounds demonstrated potent inhibition against all the strains tested [56].
Figure 8.
Structures of compounds 53–59.
Figure 8.
Structures of compounds 53–59.

3.2. Anti-Inflammatory and Analgesic Activity
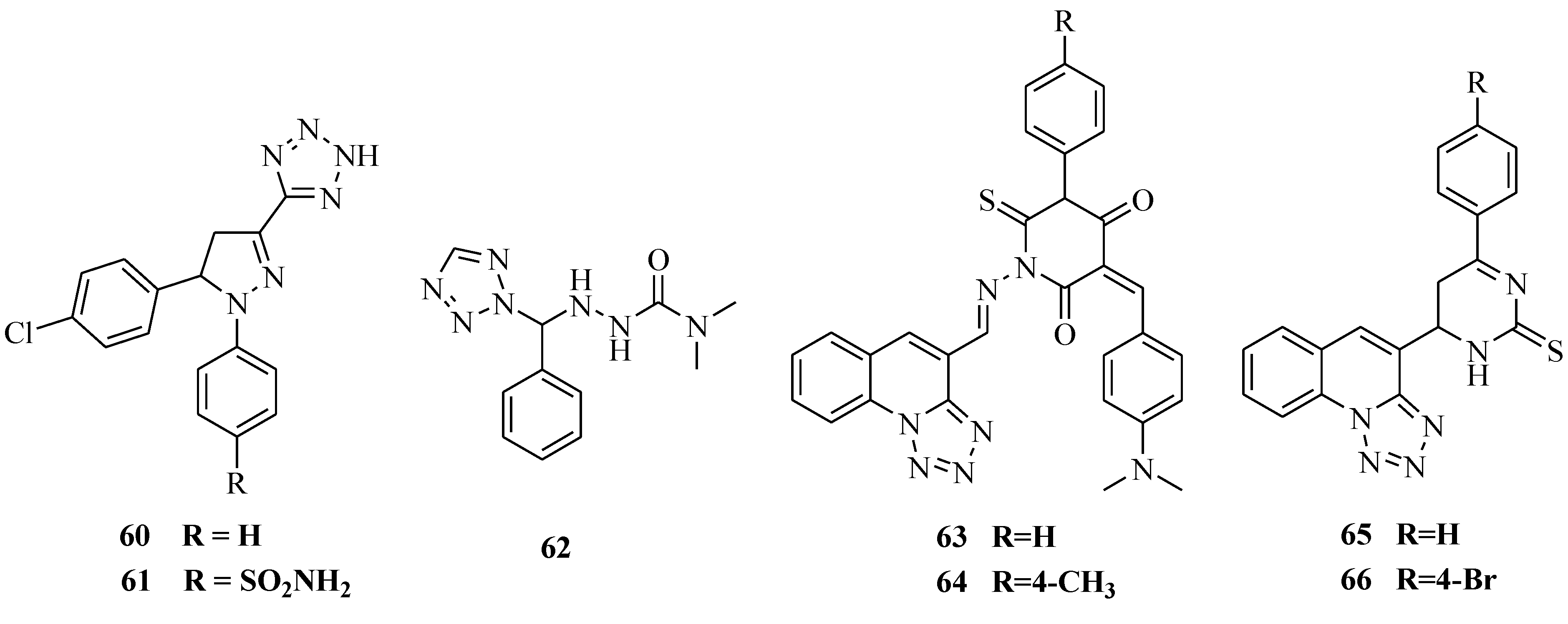
It was reported that a series of 4,5-dihydro-1,5-diaryl-1H-pyrazole-3-substituted-heteroazoles were designed and synthesized (Figure 9). All the compounds were screened for anti-inflammatory activity using the carrageenan-induced rat paw edema method. Diclofenac sodium was used as a standard drug for comparison. Compound 61 which is a tetrazole derivative was found to be the most potent anti-inflammatory compound in the present series as compared to the reference. Even the des-sulfonamide 1,2,4-oxadiazole derivatives 60, 61 showed good in vivo anti-inflammatory potency, meriting further attention in order to develop new leads in this series [57]. A new series of novel substituted tetrazole derivatives were prepared by reacting tetrazole with different types of carbazone derivatives and various substituted type of benzaldehyde were thus synthesized. All synthesized compounds were screened for anti-inflammatory activity in rats by the carrageenan-induced paw oedema method at a dose of 50 mg/kg body weight. All compounds showed moderate enhancement of the activity. Among the tested compound, compound 62 exhibited good potential anti-inflammatory activity when compared to the standard phenylbutazone (PBZ) at 5 mg/kg/po [58]. Three series of tetrazolo[1,5-a]quinoline derivatives were synthesized. All the test compounds significantly inhibited granuloma formation. It could be safely concluded that the median effective dose (ED50) values of compounds 63, 64, 65 and 66 which range from 8.50 to 9.84 μmol have anti-inflammatory activity comparable to that of indomethacin (ED50 value = 9.28 μmol) [59].
Figure 9.
Structures of compounds 60–66.
Figure 9.
Structures of compounds 60–66.

It was reported that a novel series of 1,5-diaryl-substituted tetrazole derivatives (Figure 10) were synthesized and evaluated for their anti-inflammatory activity. All tetrazoles showed half maximal (50%) inhibitory concentration (IC50) values ranging from 0.42 to 8.1 mM for COX-1 and 2.0 to 200 μM for COX-2. The most potent compound 67 (IC50 (COX-2) = 2.0 μM) was further used in molecular modeling docking studies [60]. New water-soluble, parenteral COX-2 inhibitor rofecoxib (compound 68) and celecoxib (compound 69) analogues were designed, synthesized and evaluated as selective cyclooxygenase-2 (COX-2) inhibitors with in vivo anti-inflammatory activity. The rofecoxib and celecoxib analogues 68 and 69 exhibited a high in vitro selectivity (68, COX-1 IC50 = 3.8 nM; COX-2 IC50 = 1.8 nM; SI = 2.11; 69, COX-1 IC50 = 4.1 nM; COX-2 IC50 = 1.9 nM; SI = 2.16) relative to the reference drug celecoxib (COX-1 IC50 = 3.7 nM; COX-2 IC50 = 2.2 nM; SI = 1.68) and also showed good anti-inflammatory activity in a carrageenan-induced rat paw edema assay and high aqueous solubility at pH values higher than 7. Also 68 and 69 caused no significant damage to the gastric mucosa [61].
Figure 10.
Structures of compounds 67–69.
Figure 10.
Structures of compounds 67–69.

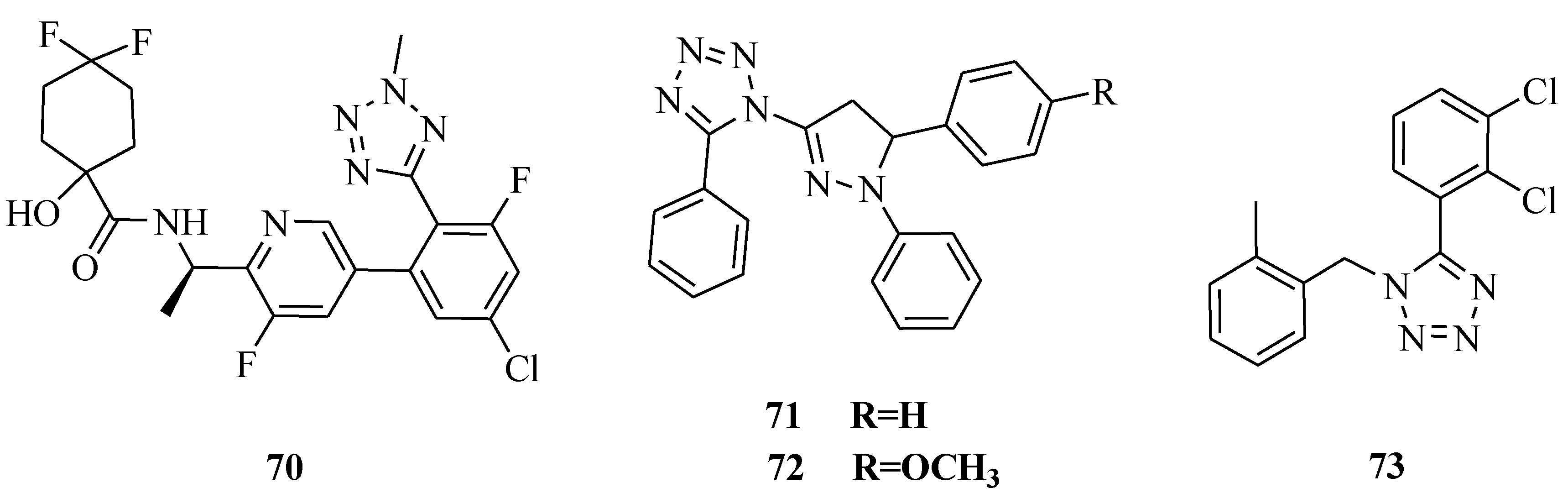
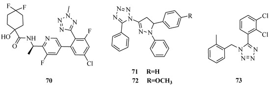
It was reported that a series of 5- and 6-membered carbocyclic and heterocyclic α-hydroxy amide-derived bradykinin B1 antagonists bearing an N-2 methyltetrazole as an oxadiazole replacement were prepared (Figure 11) and evaluated. A number of compounds with excellent B1 binding affinity, good pharmacokinetic properties, and desirable P-gp transport properties were discovered. In particular, compound 70 exhibited excellent binding affinity (hKi = 0.41 nM), P-gp transport, and dog pharmacokinetic profiles (F = 91%) [62]. Various 1-[5-(substituted phenyl)-1-phenyl-4,5-dihydro-1H-pyrazol-3-yl]-5-phenyl-1H-tetrazoles were also synthesized. All the compounds exhibited weak to potent anti-inflammatory activity. The compounds 71 and 72 possessed potent anti-inflammatory activity in comparison with ibuprofen [63]. A series of selective P2X7 receptor antagonists for chronic inflammation and pain ATP, acting on P2X7 receptors was reported. Although highly potent compounds such as compound 73 were discovered, the poor physiochemical properties of these molecules led to an investigation of heterocyclic attachments that might confer improved properties in this regard [64].
Figure 11.
Structures of compounds 70–73.
Figure 11.
Structures of compounds 70–73.

Synthesis of novel 5-[β-(phenothiazinyl-10-yl)ethyl]-1-(acyl)-1,2,3,4-tetrazoles was reported (Figure 12). The synthesized compounds were screened for analgesic and anti-inflammatory activity. Out of the 12 compounds synthesized, compounds 74 and 75 showed promising analgesic activity, while compounds 76 and 77 showed promising anti-inflammatory activity [65].
Figure 12.
Structures of compounds 74–79.
Figure 12.
Structures of compounds 74–79.

1,2,4-Triazole derivatives containing pyrazole, tetrazole, isoxazole and pyrimidine rings were synthesized and evaluated for analgesic activity in vivo. The hot plate and acetic acid induced writhing methods have been described to study analgesic activity. Compound 78 exhibited comparative analgesic properties (up to 60% protection) to the standard drug ibuprofen (66%). The analgesic activity measured by the central nervous system analgesic pentazocine (5 mg/kg) significantly increased the hot plate latency producing a highest % MPE at 69.02. Compound 78 had 60.62% MPE [66]. Twelve different derivatives of substituted-{5-[2-(1,2,3,4-tetrahydrocarbazol-9-yl)ethyl]tetrazol-1-yl}alkanones were synthesized. The compounds were screened for antinociceptive activity by the acetic acid induced writhing method and hot plate method. Compound 79 was found to be the most active compound of the series [67].
3.3. Anticancer Activity
It was reported that a series of new tetrazole derivatives were synthesized from Baylis-Hillman allyl amines in a clean, efficient and straightforward manner (Figure 13). Compound 80 was found particularly more active against liver carcinoma (Hep G2) and lung adenocarcinoma (A 549) cancer cell lines, while compound 80 also displayed significant activity against prostate (DU 145) cancer cell line. The hit compound 80 could bind to DNA and form a stable complex and may act as a potential genotoxic agent for cancer therapy [68].
New (tetrazol-5-yl)methylindole derivatives were synthesized from 2-phenylindole. The synthesized compounds were studied for their anticancer activity against the human liver carcinoma cell line HepG2 and the results showed that compound 81 was highly active among the series of tested compounds and it affected the cell viability in a dose dependent manner with an IC50 value of 4.2 μM [69]. Two series of 1,5-diaryl-substituted-1,2,3,4-tetrazoles were concisely synthesized. Several of the synthesized compounds also had effective activity in inhibiting the growth of multidrug resistant cells overexpressed P-glycoprotein. Compound 82 was a strong inhibitor of tubulin polymerization (IC50 = 1.1 μM) and strongly inhibited the binding of colchicine to tubulin (78% inhibition). The results demonstrated that 82 is a promising new tubulin binding agent worthy of further evaluation as a potential chemotherapeutic agent [70].
Figure 13.
Structures of compounds 80–82.
Figure 13.
Structures of compounds 80–82.

It was reported that a synthesis of several D-ring-substituted steroidal tetrazoles were prepared by means of 1,3-dipolar cycloadditions (Figure 14). The novel synthesized compounds were screened for their activities against a panel of three human gynecological cancer cell lines (HeLa, MCF7 and A2780). The study showed that of all these compounds only 83 had a moderate effect [71]. Some new spirothieno[2,3-d]pyrimidine, imidazolidine, substituted pyrimidinyl and substituted thiazolidine thieno[2,3-d]prymidine derivatives were synthesized. The combination of the potent anticancer activity of compounds 84 and 85 with their less toxicity and the ease of synthesis makes them the promising lead compounds for cancer chemotherapy [72].
Figure 14.
Structures of compounds 83–85.
Figure 14.
Structures of compounds 83–85.

Jackman et al., reported a drug ZD9331 (86 in Figure 15) which exhibits potent growth inhibitory and cytotoxic activity. The results suggested that ZD9331 would have a different, or at least an incompletely overlapping spectrum of antitumor activity and toxicity profile, compared with tomudex and possibly other TS inhibitors currently being studied clinically [73].
Figure 15.
Structure of compound 86.
Figure 15.
Structure of compound 86.

A series of new 1,2-substituted tetrazole derivatives were synthesized and evaluated on MCF-7 (ER positive), MDA-MB-231 and ZR-75 (ER negative) breast cancer cell lines. Compounds 87, 88 and 89 showed higher inhibitory effects on MCF-7 cells, whereas compound 90 exhibited a higher inhibition on MDA-MB-231 cells and ZR-75 cells at a concentration of 10−5 M. To know if the compounds are selectively targeting specific cancers, they were screened against the HepG2 cell line. Only 1%–10% inhibition was found at 10−5 M concentration [74]. A series of 1,5-disubstituted tetrazole-tethered combretastatin analogues were developed and evaluated for their antitubulin and antiproliferative activity. Compounds 91 and 92, having hydrogen-bonding donor groups at the ortho- and meta-positions on the 4-methoxyphenyl B ring, are strong inhibitors of tubulin polymerization and antiproliferative agents having IC50 values in micromolar concentrations [75].
A novel synthetic molecule 7a-aza-B-homostigmast-5-eno[7a,7-d] tetrazole was reported (Figure 16). The compound 93 was tested against two human cancer cell lines: CT116 and HepG2 and one non-cancerous HFL1 (human lung fibroblast) cell line. The IC50 values for all compounds were compared to doxorubicin. The results indicated that the compound 93 inhibited the various cancer cell lines in a dose-dependent manner and effectively inhibited cancer cell growth [76].
Figure 16.
Structures of compounds 87–93.
Figure 16.
Structures of compounds 87–93.

3.4. Anticonvulsant Activity
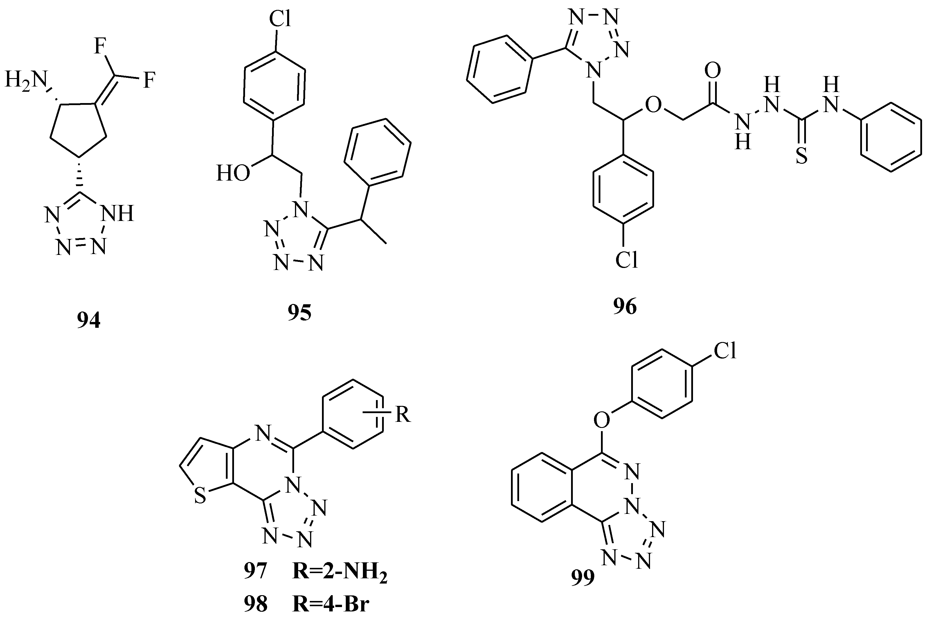
A potent inactivator of GABA-AT was synthesized (Figure 17), which was shown to be a time- and concentration-dependent GABA-AT inhibitor. The study found low brain levels of the inhibitory neurotransmitter γ-aminobutyric acid (GABA) can lead to seizure. Inhibition of GABA aminotransferase can increase the concentration of GABA and can terminate the convulsions. The Kinact/KI value for compound 94 was calculated to be 0.28 min−1·mM−1. Compound 94 also showed good lipophilicity (ClogP = −0.48) [77]. A new series of substituted tetrazoles were reported where all the synthesized compounds exhibited anticonvulsant activity against subcutaneous metrazole (ScMet) and maximal electroshock (MES) induced seizures in mice. Compounds 95 and 96 proved to be the most active compounds in this study, with special high activity in the ScMet test (% protection: 100% and 80%, respectively) [78].
Figure 17.
Structures of compounds 94–99.
Figure 17.
Structures of compounds 94–99.

A series of 5-alkoxytetrazolo-[1,5-c]thieno[2,3-e]pyrimidine derivatives were synthesized and evaluated for anticonvulsant activities. The pharmacological results showed that only four of the synthesized compounds had weak anticonvulsant activity. The more active compounds were 97 and 98 [79]. A new series of 6-alkyoxytetrazolo[5,1-a]phthalazine derivatives was synthesized and their anticonvulsant activity evaluated. The pharmacological results showed that compound 99 was the most potential agent, with an ED50 value of 6.8 mg/kg and a TD50 value of 456.4 mg/kg. The protective index (PI = TD50/ED50) for compound 99 was 67.1, which was significantly higher than that for the reference drug carbamazepine (PI = 6.4) [80]. In our laboratory studies of antiepileptic drugs, this was found to be the best active compound in ten years. It is in preclinical stages and is expected to be eventually registered as an approved drug.
3.5. Antihypertensive Activity
A novel nonpeptide angiotensin AT1 receptor antagonist was reported (Figure 18). The pharmacology results demonstrated that compound 100 inhibited [125I] angiotensin II binding to AT1 receptors in rat liver membranes (Ki = 2.5 ± 0.5 nM) and did not interact with AT2 receptors in bovine cerebellar membranes. Compound 100 inhibited the contractile response to angiotensin II (pD(2)' values: 7.43 and 7.29, respectively) with a significant reduction in the maximum. The study suggested that compound 100 may be useful for treatment of hypertension [81,82]. An angiotensin II receptor antagonist which is selectivity for the AT1 receptor subtype was also reported. The concentration of compound 101 that inhibited the binding of [125I] Ang II to the AT1 receptor from rat adrenal cortex by 50% (IC50) was 0.13 nM, compared with 80.0 nM for losartan. Compound 101 showed excellent inhibitory activity in the contraction of isolated rabbit thoracic aorta contrasted with other ARBs such as losartan and candesartan. The antihypertensive effect of compound 101 was also verified to be maintained for 24 h [83,84]. Arhancet et al., reported the structure-activity relationships of the novel series of cyanoester dihydropyridines. Compound 102 showed improved in vitro metabolic stability and solubility without CYP inhibition liability. On the basis of its MR potency and favorable in vitro pharmacokinetic profile, with its moderate clearance and good half-life, compound 102 might be a suitable candidate for in vivo efficacy studies [85].
Figure 18.
Structures of compounds 100–102.
Figure 18.
Structures of compounds 100–102.

3.6. Hypoglycemic Activity
Novel tetrazole-bearing N-glycosides were designed and synthesized as SGLT2 inhibitors (Figure 19). Their hypoglycemic activity has been tested in vivo by a mice oral glucose tolerance test (OGTT). Two compounds were found to be more potent than the positive control dapagliflozin. The inhibition rates of blood glucose levels in mice OGTT for compounds 103 and 104 were 73.9% and 77.0% as compared with dapagliflozin (68.3%) [86]. Momose et al. prepared a series of 5-(4-alkoxyphenyl-alkyl)-1H-tetrazole derivatives and evaluated their antidiabetic effects in two genetically obese and diabetic animal models, KKAy mice and Wistar fatty rats. A large number of the compounds showed potent glucose and lipid lowering activities in KKAy mice. In particular, compound 105 had potent glucose lowering activity (ED25 = 0.0839 mg·kg−1·d−1), being 72 times more active than pioglitazone hydrochloride (ED25 = 6.0 mg·kg−1·d−1). This compound also showed strong glucose lowering (ED25 = 0.0873 mg·kg−1·d−1) and lipid lowering effects (ED25 = 0.0277 mg·kg−1·d−1) in Wistar fatty rats. The antidiabetic effects of the compound 105 are considered to be due to its potent agonistic activity (EC50 = 6.75 nM) for peroxisome proliferator-activated receptorγ (PPARγ) [87]. Pegklidou et al., synthesized a novel series of pyrrole based on chemotypes and evaluated their activity as selective aldose reductase inhibitors. The data indicated that the presented chemotypes 106 and 107 are promising lead compounds for the development of selective aldose reductase inhibitors, targeting the long-term complications of diabetes mellitus [88].
Figure 19.
Structures of compounds 105–107.
Figure 19.
Structures of compounds 105–107.

3.7. Antiparasitic Activity
A series of compounds bearing a tetrazole and triazine ring structures conjugated with a SO2NH function were synthesized (Figure 20) and tested for their antiamoebic activity. Compounds 108 and 109 were the least cytotoxic (IC50 > 100 μM) and excellent Entamoeba histolytica inhibitors with IC50 values of 1.05 μM and 1.0 2 μM, respectively [89]. A novel series of pyrazoline derivatives were synthesized and screened in vitro to determine the effect on the growth of HM1:IMSS strain of Entamoeba histolytica. Compound 110 had potent antiamoebic activity (IC50= 0.86 μM), the least cytotoxicity (IC50 = >100 μM) and safety index value of >116.28, which was nearly twice better than metronidazole (IC50 > 55.55 μM) [90]. A new series of 5-(1-aryl-3-methyl-1H-pyrazol-4-yl)-1H-tetrazole derivatives and their precursor 1-aryl-3-methyl-1H-pyrazole-4-carbonitriles were synthesized and evaluated as in vitro antileishmanials against Leishmania braziliensis and Leishmania amazonensis promastigotes. In parallel, the cytotoxicity of these compounds was evaluated on the RAW 264.7 cell line. The results showed that among the assayed compounds the substituted 3-chlorophenyl (compound 111) (IC50/24 h = 15 ± 0.14 μM) and 3,4-dichlorophenyl (compound 112) (IC50/24 h = 26 ± 0.09 μM) tetrazoles were the most potent against L. braziliensis promastigotes, as compared with the reference drug pentamidine, which presented IC50 = 13 ± 0.04 μM. In addition, compound 111 and 112 were less cytotoxic than pentamidine [91].
Figure 20.
Structures of compounds 108–112.
Figure 20.
Structures of compounds 108–112.

3.9. Other Miscellaneous Activities
Other tetrazolium compounds that have miscellaneous activities were synthesized (Figure 22 and Figure 23). Karabanovich et al., reported a new class of highly potent antituberculosis agents, 1-substituted-5-[(3,5-dinitrobenzyl)sulfanyl]-1H-tetrazoles 118 and their oxa- and selenyl-analogs 119 and 120. Antimycobacterial activities reached MIC values of 1 μM against M. tuberculosis CNCTC My 331/88 and 0.25–1 μM against six multi-drug resistant clinically isolated strains of M. tuberculosis; these compounds also exhibited no cross-resistance with common anti-TB drugs. Furthermore, these compounds possessed similar activity towards both INH-susceptible and INH-resistant strains of non-tuberculous M. kansasii. Moreover, compounds of series 118, 119 and 120 exhibited highly selective antimycobacterial effects because they exhibit no antibacterial or antifungal effects and exhibit low toxicity on selected mammalian cell lines with IC50 values upwards of 30 μM [96]. Kikuchi et al., investigated an antiglaucoma ophthalmic agent 121 which is an angiotensin AT1 receptor antagonist with a molecular weight of approximately 446. The studies revealed that compound 121 exhibits a solubilizing effect upon insoluble additives as generally seen in detergents. Furthermore, in vitro permeability across rabbit corneal membrane for compound 121 decreased at higher concentrations [97]. Adibi et al., sythesized a series of catecholthioethers having benzoxazole and tetrazole moieties. The antioxidant activity was assessed using two methods, including 1,1-biphenyl-2-picrylhydrazyl (DPPH) radical scavenging and reducing power assays according to the methods described in the literature. All the synthesized compounds except one exhibited very good antioxidant properties. They were also more potent than BHA and Trolox used as reference compounds. The IC50 of compound 122 that the best for antioxidant activity among tetrazolium compounds, with a value of 0.17. Furthermore, 122 could inhibit in vitro growth of Candida albicans having the same inhibitory activity as fluconazole (MIC value 4 mg/mL) [98]. Singh et al. synthesized several regioisomeric tetrazolylindole derivatives and screened them for their ER binding affinity, agonist (estrogenic), antagonist (antiestrogenic) and anti-implantation activities. Compound 123 showed 100% contraceptive efficacy at 10 mg/kg dose. At a lower dose of 5 mg/kg, it was only 67% effective however [99]. Li et al., prepared a novel series of N1 substituted tetrazole amides and showed them to be potent growth hormone (GH) secretagogues. Among them, the most potent analog 124 (EC50 = 0.2 nM) showed an increase in plasma GH levels of approximately 10-fold in an anesthetized IV rat model [100].
Figure 22.
Structures of compounds 118–122.
Figure 22.
Structures of compounds 118–122.

Figure 23.
Structures of compounds 123–124.
Figure 23.
Structures of compounds 123–124.

4. Conclusions
All in all, some general synthetic methods, new methods of synthesis and improvements to existing procedures have been introduced that make the preparation of many tetrazole derivatives facile and efficient. This review has emphasized the diverse pharmacological properties associated with substituted tetrazoles. As evidenced by the present literature, we can find that tetrazole derivatives are a significant class of heterocyclic compounds. We firmly believe that modifications of the tetrazole moiety must help us find even more valuable biological activities. We hope that in the future more activities of tetrazole can be found and used in the field of medical sciences.
Acknowledgments
This work was support by Inner Mongolia Natural Science Foundation (No. 2012MS1165) and the doctoral scientific research foundation of Inner Mongolia University for the Nationalities (No. BS290).
Author Contributions
Cheng-Xi Wei and Ming Bian did equal work on researching the literature and writing the paper. Guo-Hua Gong directed the work and corrected the manuscript.
Conflicts of Interest
The authors declare no conflict of interest.
References
- Jonassen, H.B.; Nelson, J.H.; Schmitt, D.L.; Henry, R.A.; Moore, D.W. Platinum- and palladium-tetrazole complexes. Inorg. Chem. 1970, 9, 2678–2681. [Google Scholar] [CrossRef]
- Katritsky, A.R.; Rees, C.W.; Rees, K.T. (Eds.) Comprehensive Heterocyclic Chemistry: The Structurt, Reactions, Synthesis and Uses of Heterocyclic Compounds, 1st ed.; Pergamon Press: Oxford, UK, 1984; Volume 5, Part 4A; pp. 791–838.
- Su, W.K.; Hong, Z.; Shan, W.G.; Zhang, X.X. A facile synthesis of 1-substituted-1H-1,2,3,4-tetrazoles catalyzed by ytterbium triflate hydrate. Eur. J. Org. Chem. 2006, 37, 2723–2726. [Google Scholar] [CrossRef]
- Benson, F.R. Theoretical principles of the chemistry of heterocycles. In Heterocylic Compounds; John Wiley & Sons, Inc.: New York, NY, USA, 1967; p. 1. [Google Scholar]
- Demko, Z.P.; Sharpless, K.B. Preparation of 5-substituted-1H-tetrazoles from nitriles in water. J. Org. Chem. 2001, 66, 7945–7950. [Google Scholar] [CrossRef] [PubMed]
- Berghmans, S.; Hunt, J.; Roach, A.; Goldsmith, P. Zebrafish offer the potential for a primary screen to identify a wide variety of potential anticonvulsants. Epilepsy Res. 2007, 75, 18–28. [Google Scholar] [CrossRef] [PubMed]
- Toney, J.H.; Fitzgerald, P.M.; Grover-Sharma, N.; Olson, S.H.; May, W.J.; Sundelof, J.G.; Vanderwall, D.E.; Cleary, K.A.; Grant, S.K.; Wu, J.K.; et al. Antibiotic sensitization using biphenyl tetrazoles as potent inhibitors of Bacteroides fragilis metallo-beta-lactamase. Chem. Biol. 1998, 5, 185–196. [Google Scholar]
- Butter, R.N. Tetrazoles. In Comprehensive Heterocyclic Chemistry; Katritzky, A.R., Rees, C.W., Eds.; Pergamon Press: New York, NY, USA, 1984; Volume 5, Part 4A; p. 791. [Google Scholar]
- Tamura, Y.; Watanabe, F.; Nakatani, T.; Yasui, K.; Fuji, M.; Komurasaki, T.; Tsuzuki, H.; Maekawa, R.; Yoshioka, T.; Kawada, K.; et al. Highly selective and orally active inhibitors of type IV collagenase (MMP-9 and MMP-2): N-sulfonylamino acid derivatives. J. Med. Chem. 1998, 41, 640–649. [Google Scholar]
- Dighe, S.N.; Jain, K.S.; Srinivasan, K.V. A novel synthesis of 1-aryl tetrazoles promoted by employing the synergy of the combined use of DMSO and an ionic liquid as the solvent system at ambient temperature. Tetrahedron Lett. 2009, 50, 6139–6142. [Google Scholar] [CrossRef]
- Palimkar, S.S.; Siddiqui, S.A.; Daniel, T.; Lahoti, R.J.; Srinivasan, K.V. Ionic liquid-promoted regiospecific Friedlander annulation: Novel synthesis of quinolines and fused polycyclic quinolines. J. Org. Chem. 2003, 68, 9371–9378. [Google Scholar] [CrossRef] [PubMed]
- Esmaeilpour, M.; Javidi, J.; Dodeji, F.N.; Abarghoui, M.M. Facile synthesis of 1- and 5-substituted 1H-tetrazoles catalyzed by recyclable ligand complex of copper(II) supported on superparamagnetic Fe3O4@SiO2 nanoparticles. J. Mol. Catal. A-Chem. 2014, 393, 18–29. [Google Scholar] [CrossRef]
- Jin, T.; Kamijo, S.; Yamamoto, Y. Synthesis of 1-substituted tetrazoles via the acid-catalyzed [3+2] cycloaddition between isocyanides and trimethylsilyl azide. Tetrahedron Lett. 2004, 45, 9435–9437. [Google Scholar] [CrossRef]
- Medda, F.; Hulme, C. A facile and rapid route for the synthesis of novel 1,5-substituted tetrazole hydantoins and thiohydantoins via a TMSN3-Ugi/RNCX cyclization. Tetrahedron Lett. 2012, 53, 5593–5596. [Google Scholar] [CrossRef]
- Bond, A.D.; Fleming, A.; Gaire, J.; Kelleher, F.; McGinley, J.; McKee, V.; Sheridan, U. Coordination studies of copper (II), cobalt (II) and iron (II) with isomeric pyridyltetrazole ligands. Polyhedron 2012, 33, 289–296. [Google Scholar] [CrossRef]
- Amanpour, T.; Mirzaei, P.; Bazgir, A. Isocyanide-based four-component synthesis of ferrocenyl 1,5-disubstituted tetrazoles. Tetrahedron Lett. 2012, 53, 1421–1423. [Google Scholar] [CrossRef]
- Mohite, P.B.; Pandhare, R.B.; Khanage, S.G.; Bhaskara, V.H. A novel approach for the synthesis of substituted tetrazoles. Dig. J. Nanomater. Biostruct. 2009, 4, 803–807. [Google Scholar]
- Wang, W.X.; Cai, H.L.; Xiong, R.G. Hydrothermal synthesis method of 5-(4'-methylbiphenyl-2-yl)-1H-tetrazole. Chin. Chem. Lett. 2013, 24, 783–785. [Google Scholar] [CrossRef]
- Dabbagh, H.A.; Chermahini, A.; Banibairami, S. A new family of bis-tetrazole (BIZOL) BINOL-type ligands. Tetrahedron Lett. 2006, 47, 3929–3932. [Google Scholar] [CrossRef]
- Wittenberger, S.J. Recent developments in tetrazole chemistry. A review. Org. Prep. Proced. Int. 1994, 26, 499–531. [Google Scholar] [CrossRef]
- Wittenberger, S.J.; Donner, B.G. Dialkyltin oxide mediated addition of trimethylsilyl azide to nitriles. A novel preparation of 5-substituted tetrazols. J. Org. Chem. 1993, 58, 4139–4141. [Google Scholar]
- Mihina, J.S.; Herbst, R.M. The reaction of nitriles with hydrazoic acid: Synthesis of monosubstituted tetrazoles. J. Org. Chem. 1950, 15, 1082–1092. [Google Scholar] [CrossRef]
- Kumar, A.; Narayanan, R.; Shechter, H. Rearrangement reactions of (hydroxyphenyl)carbenes. J. Org. Chem. 1996, 61, 4462–4465. [Google Scholar] [CrossRef] [PubMed]
- Huff, B.E.; Staszak, M.A. A new method for the preparation of tetrazoles from nitriles using trimethylsilylazide/trimethylaluminum. Tetrahedron Lett. 1993, 34, 8011–8014. [Google Scholar] [CrossRef]
- Fleming, A.; Gaire, J.; Kelleher, F.; McGinley, J.; McKee, V. Synthesis and characterisation of macrocycles containing both tetrazole and pyridine functionalities. Tetrahedron 2011, 67, 3260–3266. [Google Scholar] [CrossRef]
- Das, B.; Reddy, C.R.; Kumar, D.N.; Krishnaiah, M.; Narender, R. A simple, advantageous synthesis of 5-substituted 1H-tetrazoles. Synlett 2010, 3, 391–394. [Google Scholar] [CrossRef]
- Hu, T.P.; Liu, L.J.; Lv, X.L.; Chen, X.H.; He, H.Y.; Dai, F.N.; Zhang, G.Q.; Sun, D.F. Luminescent zinc and cadmium metal-organic frameworks based on tetrazole ligands. Polyhedron 2010, 13, 296–302. [Google Scholar] [CrossRef]
- Sureshbabu, V.V.; Venkataramanarao, R.; Naik, S.A.; Chennakrishnareddy, G. Synthesis of tetrazole analogues of amino acids using FMOC chemistry: isolation of amino free tetrazoles and their incorporation into peptides. Tetrahedron Lett. 2007, 48, 7038–7041. [Google Scholar] [CrossRef]
- Duncia, J.V.; Pierce, M.E.; Santella, J.B., III. Three synthetic routes to a sterically hindered tetrazole. A new one-step mild conversion of an amide into a tetrazole. J. Org. Chem. 1991, 56, 2395–2400. [Google Scholar]
- Hill, J.; Ehrlich, J. Nucleophilic heteroaromatic substitution. II. Phthalazines. J. Org Chem. 1971, 36, 3248–3251. [Google Scholar] [CrossRef]
- Zheng, Y.; Bian, M.; Deng, X.Q.; Wang, S.B.; Quan, Z.S. Synthesis and anticonvulsant activity evaluation of 5-phenyl-[1,2,4]triazolo[4,3-c]quinazolin-3-amines. Arch. Pharm. (Weinheim). 2013, 346, 119–126. [Google Scholar] [CrossRef] [PubMed]
- Abu-Eittah, R.H.; Taha, F.; Hamed, M.M.; el-Kelany, Kh.E. Azido-tetrazole equilibrium in 2-azidothiazole system. Molecular orbital calculation. J. Mol. Struct. THEOCHEM 2009, 895, 142–147. [Google Scholar] [CrossRef]
- Guan, L.P.; Sui, X.; Chang, Y.; Yan, Z.S.; Tong, G.Z.; Qu, Y.L. Design, synthesis and anticonvulsant activity evaluation of 7-substituted-[1,2,4]-triazolo[4,3-f]pyrimidine derivatives. Med. Chem. 2012, 8, 1076–1083. [Google Scholar] [PubMed]
- Suaad, M.H.; Al-Majidi. Synthesis of some new 4-oxo-thiazolidines, tetrazole and triazole derived from 2-SH-benzothiazole and antimicrobial screening of some synthesized. J. Saudi Chem. Soc. 2014, 18, 893–901. [Google Scholar]
- Mojzych, M.; Karczmarzyk, Z.; Wysocki, W.; Urbańczyk-Lipkowska, Z.; Żaczek, N. Valence tautomerism of new pyrazolo[4,3-e]tetrazole[4,5-b][1,2,4]triazines. J. Mol. Struct. 2014, 1067, 147–153. [Google Scholar] [CrossRef]
- Mojzych, M.; Karczmarzyk, Z.; Rykowski, A. Synthesis and structure of 7-methyl-5- phenyl-1H-pyrazolo[4,3-e]tetrazolo[4,5-b][1,2,4]triazine. J. Chem. Crystallogr. 2005, 35, 151–155. [Google Scholar] [CrossRef]
- Aoyama, T.; Shioiri, T. New methods and reagents in organic synthesis. 31. Lithium trimethylsilyldiazomethane: A new synthon for the preparation of tetrazoles. Chem. Pharm. Bull. 1982, 30, 3450–3452. [Google Scholar]
- Hassaneen, H.M.; Fahmi, A.A.; Abdelhamid, H.; Yassin, A.A.; Shawali, A.S. Synthesis of some triazole, tetrazole, and tetrazine derivatives from N-β-naphthalenesulfonylbenzohydrazidoyl chlorides. J. Heterocycl. Chem. 1984, 21, 797–800. [Google Scholar] [CrossRef]
- Shawali, A.S.; Fahmi, A.A.; Eweiss, N.F. Azo coupling of benzenesulfonylhydrazones of heterocyclic aldehydes. J. Heterocycl. Chem. 1979, 16, 123–128. [Google Scholar] [CrossRef]
- Dave, C.G.; Shah, R.D. Annellation of triazole and tetrazole systems onto pyrrolo[2,3-d]pyrimidines: Synthesis of tetrazolo[1,5-c]-pyrrolo[3,2-e]-pyrimidines and triazolo[1,5-c]pyrrolo[3,2-e]pyrimidines as potential antibacterial agents. Molecules 2002, 7, 554–565. [Google Scholar] [CrossRef]
- Arulmurugan, S.; Kavitha, H.P. 2-Methyl-3-{4-[2-(1H-tetrazol-5-yl)ethylamino]phenyl}-3H-quinazolin-4-one. Molbank 2010, 2010, M695. [Google Scholar] [CrossRef]
- Dhayanithi, V.; Syed, S.S.; Kumaran, K.; Reguraman, K.; Sankar, J.; Ragavan, R.V.; Kumar Goud, P.S.; Kumari, N.S.; Pati, H.N. Synthesis of selected 5-thio-substituted tetrazole derivatives and evaluation of their antibacterial and antifungal activities. J. Serb. Chem. Soc. 2011, 76, 165–175. [Google Scholar] [CrossRef]
- Moustafa, M.A.; El-Sherbeny, M.A.; El-Sherbiny, D.T.; El-Sayed, S.M. Molecular modeling, synthesis and antimicrobial evaluation of new molecular hybrids of tetrazole derivatives. J. Am. Sci. 2012, 8, 973–986. [Google Scholar]
- Jo, Y.W.; Im, W.B.; Rhee, J.K.; Shim, M.J.; Kim, W.B.; Choi, E.C. Synthesis and antibacterial activity of oxazolidinones containing pyridine substituted with heteroaromatic ring. Bioorg. Med. Chem. 2004, 12, 5909–5915. [Google Scholar] [CrossRef] [PubMed]
- Kanakaraju, S.; Sagar Vijay Kumar, P.; Prasanna, B.; Chandramouli, G.V. Design, synthesis, and in vitro antimicrobial evaluation of fused pyrano[3,2-e]tetrazolo[1,5-c]pyrimidines and diazepines. ISRN Org. Chem. 2013, 21, 635384–635393. [Google Scholar]
- Peesapati, V.; Venkata, S.C. ChemInform abstract: synthesis and antimicrobial activity of new triazolo/tetrazolo-pyridazine [6,7] benzocycloheptenes. Indian J. Chem. 2002, 41, 839–844. [Google Scholar]
- Mohite, P.B.; Bhaskar, V.H. Synthesis, characterization and study of in vitro antimicrobial activity of some substituted N'-[arylidene]-2-(5-phenyl-1H-tetrazol-1-yl) acetohydrazide. Iran. J. Pharm. Sci. 2010, 6, 179–184. [Google Scholar]
- Antypenko, L.M.; Kovalenko, S.I.; Antypenko, O.M.; Katsev, A.M.; Achkasova, O.M. Design and evaluation of novel antimicrobial and anticancer agents among tetrazolo[1,5-c]-quinazoline-5-thione S-derivatives. Sci. Pharm. 2013, 81, 15–42. [Google Scholar] [CrossRef] [PubMed]
- Ramiz, M.M.M.; Abdel-Rahman, A.A.H. Antimicrobial activity of newly synthesized 2,5-disubstituted 1,3,4-thiadiaozle derivatives. Bull. Korean Chem. Soc. 2011, 32, 4227–4232. [Google Scholar] [CrossRef]
- El-Sayed, W.A.; Ali, O.M.; Zyada, R.A.; Mohamed, A.A.; Abdel-Rahman, A.A. Synthesis and antimicrobial activity of new substituted thienopyrimidines, their tetrazolyl and sugar derivatives. Acta Pol. Pharm. 2012, 69, 439–447. [Google Scholar] [PubMed]
- Upadhayaya, R.S.; Jain, S.; Sinha, N.; Kishore, N.; Chandra, R.; Arora, S.K. Synthesis of novel substituted tetrazoles having antifungal activity. Eur. J. Med. Chem. 2004, 39, 579–592. [Google Scholar] [CrossRef] [PubMed]
- Matysiak, J.; Niewiadomy, A.; Krajewska-Kułak, E.; Macik-Niewiadomy, G. Synthesis of some 1-(2,4-dihydroxythiobenzoyl)imidazoles, -imidazolines and -tetrazoles and their potent activity against Candida species. Farmaco 2003, 58, 55–61. [Google Scholar] [CrossRef]
- Mohite, P.B.; Bhaskar, V.H. In vitro evaluation of tetrazoles as a novel class of anti-Mycobacterium tuberculosis agents. Adv. Pharm. Bull. 2012, 2, 31–36. [Google Scholar] [PubMed]
- Malik, M.A.; al-Thabaiti, S.A.; Malik, M.A. Synthesis, structure optimization and antifungal screening of novel tetrazole ring bearing acyl-hydrazones. Int. J. Mol. Sci. 2012, 13, 10880–10898. [Google Scholar] [CrossRef] [PubMed]
- El-Sayed, W.A.; Abdel Megeid, R.E.; Abbas, H.A. Synthesis and antimicrobial activity of new 1-[(tetrazol-5-yl)methyl]indole derivatives, their 1,2,4-triazole thioglycosides and acyclic analogs. Arch. Pharm. Res. 2011, 34, 1085–1096. [Google Scholar] [CrossRef] [PubMed]
- Kategaonkar, A.H.; Pokalwar, R.U.; Sonar, S.S.; Gawali, V.U.; Shingate, B.B.; Shingare, M.S. Synthesis, in vitro antibacterial and antifungal evaluations of new α-hydroxyphosphonate and new α-acetoxyphosphonate derivatives of tetrazolo[1,5-a]quinoline. Eur. J. Med. Chem. 2010, 45, 1128–1132. [Google Scholar] [CrossRef] [PubMed]
- Dekhane, D.V.; Pawar, S.S.; Gupta, S.; Shingare, M.S.; Patil, C.R.; Thore, S.N. Synthesis and anti-inflammatory activity of some new 4,5-dihydro-1,5-diaryl-1H-pyrazole-3-substituted-heteroazole derivatives. Bioorg. Med. Chem. Lett. 2011, 21, 6527–6532. [Google Scholar] [CrossRef] [PubMed]
- Maria Dorathi Anu, M.; Jayanthi, M.; Damodar Kumar, S.; Raja, S.; Thirunavukkarasu, S.V. Synthesis, characterization, antibacterial & anti-inflammatory effects of substituted tetrazole derivatives based on different types of carbazone and benzaldehyde. Int. J. ChemTech Res. 2013, 5, 1982–1990. [Google Scholar]
- Bekhit, A.A.; el-Sayed, O.A.; Aboulmagd, E.; Park, J.Y. Tetrazolo[1,5-a]quinoline as a potential promising new scaffold for the synthesis of novel anti-inflammatory and antibacterial agents. Eur. J. Med. Chem. 2004, 39, 249–255. [Google Scholar] [CrossRef] [PubMed]
- Al-Hourani, B.J.; Sharma, S.K.; Mane, J.Y.; Tuszynski, J.; Baracos, V.; Kniess, T.; Suresh, M.; Pietzsch, J.; Wuest, F. Synthesis and evaluation of 1,5-diaryl-substituted tetrazoles as novel selective cyclooxygenase-2 (COX-2) inhibitors. Bioorg. Med. Chem. Lett. 2011, 21, 1823–1826. [Google Scholar] [CrossRef] [PubMed]
- Navidpour, L.; Amini, M.; Shafaroodi, H.; Abdi, K.; Ghahremani, M.H.; Dehpour, A.R.; Shafiee, A. Design and synthesis of new water-soluble tetrazolide derivatives of celecoxib and rofecoxib as selective cyclooxygenase-2 (COX-2) inhibitors. Bioorg. Med. Chem. Lett. 2006, 16, 4483–4487. [Google Scholar] [CrossRef] [PubMed]
- Kuduk, S.D.; Chang, R.K.; Dipardo, R.M.; di Marco, C.N.; Murphy, K.L.; Ransom, R.W.; Reiss, D.R.; Tang, C.; Prueksaritanont, T.; Pettibone, D.J.; et al. Bradykinin B1 receptor antagonists: An α-hydroxy amide with an improved metabolism profile. Bioorg. Med. Chem. Lett. 2008, 18, 5107–5110. [Google Scholar]
- Bhaskar, V.H.; Mohite, P.B. Design, synthesis, characterization and biological evaluation of some novel 1,5-disubstituted tetrazole as potential anti-inflammatory agents. J. Optoelectron. Biomed. Meter. 2010, 2, 231–237. [Google Scholar]
- Volonté, C.; Apolloni, S.; Skaper, S.D.; Burnstock, G. P2X7 receptors: Channels, pores and more. CNS Neurol. Disord. Drug Targets 2012, 11, 705–721. [Google Scholar] [CrossRef] [PubMed]
- Rajasekaran, A.; Thampi, P.P. Synthesis and analgesic evaluation of some 5-[β-(10-phenothiazinyl)ethyl]-1-(acyl)-1,2,3,4-tetrazoles. Eur. J. Med. Chem. 2004, 39, 273–279. [Google Scholar] [CrossRef] [PubMed]
- Gajanan Khanage, S.; Raju, A.; Baban Mohite, P.; Bhanudas Pandhare, R. Analgesic activity of some 1,2,4-triazole heterocycles clubbed with pyrazole, tetrazole, isoxazole and pyrimidine. Adv. Pharm. Bull. 2013, 3, 13–18. [Google Scholar] [PubMed]
- Rajasekaran, A.; Thampi, P.P. Synthesis and antinociceptive activity of some substituted-{5-[2-(1,2,3,4-tetrahydrocarbazol-9-yl)ethyl]tetrazol-1-yl}alkanones. Eur. J. Med. Chem. 2005, 40, 1359–1364. [Google Scholar] [CrossRef] [PubMed]
- Kumar, C.N.S.S.P.; Parida, D.K.; Santhoshi, A.; Kota, A.K.; Sridhar, B.; Rao, V.J. Synthesis and biological evaluation of tetrazole containing compounds as possible anticancer agents. Med. Chem. Commun. 2011, 2, 486–492. [Google Scholar] [CrossRef]
- El-Sayed, W.A.; El-Kosy, S.M.; Ali, O.M.; Emselm, H.M.; Abdel-Rahman, A.A. Anticancer activity of new (tetrazol-5-yl) methylindole derivatives and their acyclic c-nucleoside analogs. Acta Pol. Pharm. 2012, 69, 669–677. [Google Scholar] [PubMed]
- Romagnoli, R.; Baraldi, P.G.; Salvador, M.K.; Preti, D.; Tabrizi, M.A.; Brancale, A.; Fu, X.H.; Li, J.; Zhang, S.Z.; Hamel, E.; et al. Synthesis and evaluation of 1,5-disubstituted tetrazoles as rigid analogues of combretastatin A-4 with potent antiproliferative and antitumor activity. J. Med. Chem. 2011, 55, 475–488. [Google Scholar]
- Kádár, Z.; Kovács, D.; Frank, É.; Schneider, G.; Huber, J.; Zupkó, I.; Bartók, T.; Wölfling, J. Synthesis and in vitro antiproliferative activity of novel androst-5-ene triazolyl and tetrazolyl derivatives. Molecules 2011, 16, 4786–4806. [Google Scholar]
- Al-Duaij, O.K.; Hafez, H.N.; el-Gazzar, A.R.B.A. Synthesis of novel series of benzothieno [2,3-d] pyrimidine derivatives, promising anticancer agents. J. Chem. Chem. Eng. 2013, 7, 725–742. [Google Scholar]
- Jackman, A.L.; Kimbell, R.; Aherne, G.W.; Brunton, L.; Jansen, G.; Stephens, T.C.; Smith, M.N.; Wardleworth, J.M.; Boyle, F.T. Cellular pharmacology and in vivo activity of a new anticancer agent, ZD9331: A water-soluble, nonpolyglutamatable, quinazoline-based inhibitor of thymidylate synthase. Clin. Cancer Res. 1997, 3, 911–921. [Google Scholar] [PubMed]
- Arshad, M.; Bhat, A.R.; Pokharel, S.; Kim, J.E.; Lee, E.J.; Athar, F.; Choi, I. Synthesis, characterization and anticancer screening of some novel piperonyl-tetrazole derivatives. Eur. J. Med. Chem. 2014, 71, 229–236. [Google Scholar] [CrossRef] [PubMed]
- Jedhe, G.S.; Paul, D.; Gonnade, R.G.; Santra, M.K.; Hamel, E.; Nguyen, T.L.; Sanjayan, G.J. Correlation of hydrogen-bonding propensity and anticancer profile of tetrazole-tethered combretastatin analogues. Bioorg. Med. Chem. Lett. 2013, 23, 4680–4684. [Google Scholar] [CrossRef] [PubMed]
- Mahboob, A.; Shahab, A.A.N.; Ahmad, H.; Dong-Ung, L.; Soonheum, P. Synthesis, characterization, X-ray diffraction, antimicrobial and in vitro cytotoxicity studies of 7α-Aza-B-homostigmast-5-eno[7a,7-d]tetrazole. Comptes Rendus Chimie 2013, 16, 201–206. [Google Scholar] [CrossRef]
- Yuan, H.; Silverman, R.B. Structural modifications of (1S,3S)-3-amino-4-difluoromethylene-cyclopentanecarboxylic acid, a potent irreversible inhibitor of GABA aminotransferase. Bioorg. Med. Chem. Lett. 2007, 17, 1651–1654. [Google Scholar] [CrossRef] [PubMed]
- Rostom, S.A.; Ashour, H.M.; El Razik, H.A.; Abd El Fattah, H.; El-Din, N.N. Azole antimicrobial pharmacophore-based tetrazoles: Synthesis and biological evaluation as potential antimicrobial and anticonvulsant agents. Bioorg. Med. Chem. 2009, 17, 2410–2422. [Google Scholar] [CrossRef] [PubMed]
- Wang, S.B.; Deng, X.Q.; Zheng, Y.; Yuan, Y.P.; Quan, Z.S.; Guan, L.P. Synthesis and evaluation of anticonvulsant and antidepressant activities of 5-alkoxytetrazolo[1,5-c]thieno[2,3-e]pyrimidine derivatives. Eur. J. Med. Chem. 2012, 56, 139–144. [Google Scholar] [CrossRef] [PubMed]
- Sun, X.Y.; Wei, C.X.; Deng, X.Q.; Sun, Z.G.; Quan, Z.S. Synthesis and primary anticonvulsant activity evaluation of 6-alkyoxyl-tetrazolo [5,1-a]phthalazine derivatives. Arzneimittelforschung 2010, 60, 289–292. [Google Scholar] [PubMed]
- Wu, J.; Wang, Q.; Guo, J.; Hu, Z.; Yin, Z.; Xu, J.; Wu, X. Characterization of angiotensin II antagonism displayed by Ib, a novel nonpeptide angiotensin AT(1) receptor antagonist. Eur. J. Pharmacol. 2008, 589, 220–224. [Google Scholar] [CrossRef] [PubMed]
- Yan, B.; Wang, G.; Sun, J.; Li, X.; Zheng, Y.; Ai, H.; Lv, H.; Wu, X.; Xu, J. Identification of the major metabolites of 5-n-butyl-4-{4-[2-(1H-tetrazole-5-yl)-1H-pyrrol-1-yl]phenylmethyl}-2,4-dihydro-2-(2,6-dichloridephenyl)-3H-1,2,4-triazol-3-one, a new angiotensin type 1 receptor antagonist, in rat bile by HPLC-diode array detection-MS and HPLC-MS/MS. Biomed. Chromatogr. 2007, 21, 912–924. [Google Scholar] [CrossRef] [PubMed]
- Kim, J.H.; Lee, J.H.; Paik, S.H.; Kim, J.H.; Chi, Y.H. Fimasartan, a novel angiotensin II receptor antagonist. Arch. Pharm. Res. 2012, 35, 1123–1126. [Google Scholar] [CrossRef] [PubMed]
- Choi, M.J.; Kwon, G.H.; Han, N.S.; Yoo, B.W.; Kim, J.H.; Paik, S.H.; Chi, Y.H.; Lee, K.T.; Lee, J.Y. Development of 3D-QSAR CoMSIA models for 5-(biphenyl-2-yl)-1H-tetrazole derivatives as angiotensin II receptor type 1 (AT1) antagonists. Bioorg. Med. Chem. Lett. 2013, 23, 4540–4546. [Google Scholar] [CrossRef] [PubMed]
- Arhancet, G.B.; Woodard, S.S.; Iyanar, K.; Case, B.L.; Woerndle, R.; Dietz, J.D.; Garland, D.J.; Collins, J.T.; Payne, M.A.; Blinn, J.R.; et al. Discovery of novel cyanodihydropyridines as potent mineralocorticoid receptor antagonists. J. Med. Chem. 2010, 53, 5970–5978. [Google Scholar]
- Gao, Y.L.; Zhao, G.L.; Liu, W.; Shao, H.; Wang, Y.L.; Xu, W.R.; Tang, L.D.; Wang, J.W. Design, synthesis and in vivo hypoglycemic activity of tetrazole-bearing N-glycosides as SGLT2 inhibitors. Indian J. Chem. B. 2010, 49, 1499–1508. [Google Scholar]
- Momose, Y.; Maekawa, T.; Odaka, H.; Ikeda, H.; Sohda, T. Novel 5-substituted-1H-tetrazole derivatives as potent glucose and lipid lowering agents. Chem. Pharm. Bull (Tokyo) 2002, 50, 100–111. [Google Scholar] [CrossRef]
- Pegklidou, K.; Koukoulitsa, C.; Nicolaou, I.; Demopoulos, V.J. Design and synthesis of novel series of pyrrole based chemotypes and their evaluation as selective aldose reductase inhibitors. A case of bioisosterism between a carboxylic acid moiety and that of a tetrazole. Bioorg. Med. Chem. 2010, 18, 2107–2114. [Google Scholar]
- Wani, M.Y.; Bhat, A.R.; Azam, A.; Choi, I.; Athar, F. Probing the antiamoebic and cytotoxicity potency of novel tetrazole and triazine derivatives. Eur. J. Med. Chem. 2012, 48, 313–320. [Google Scholar] [CrossRef] [PubMed]
- Wani, M.Y.; Bhat, A.R.; Azam, A.; Lee, D.H.; Choi, I.; Athar, F. Synthesis and in vitro evaluation of novel tetrazole embedded 1,3,5-trisubstituted pyrazoline derivatives as Entamoeba histolytica growth inhibitors. Eur. J. Med. Chem. 2012, 54, 845–854. [Google Scholar] [CrossRef] [PubMed]
- Faria, J.V.; dos Santos, M.S.; Bernardino, A.M.; Becker, K.M.; Machado, G.M.; Rodrigues, R.F.; Canto-Cavalheiro, M.M.; Leon, L.L. Synthesis and activity of novel tetrazole compounds and their pyrazole-4-carbonitrile precursors against Leishmania spp. Bioorg. Med. Chem. Lett. 2013, 23, 6310–6312. [Google Scholar] [CrossRef]
- Hutchinson, D.W.; Naylor, M. The antiviral activity of tetrazole phosphonic acids and their analogues. Nucl. Acids Res. 1985, 13, 8519–8530. [Google Scholar] [CrossRef] [PubMed]
- Wang, S.X.; Fang, Z.; Fan, Z.J.; Wang, D.; Li, Y.D.; Ji, X.T.; Hua, X.W.; Huang, Y.; Kalinina, T.A.; Bakulev, V.A.; et al. Synthesis of tetrazole containing 1,2,3- hiadiazole derivatives via U-4CR and their anti-TMV activity. Chin. Chem. Lett. 2013, 24, 889–892. [Google Scholar]
- Yeung, K.S.; Qiu, Z.; Yin, Z.; Trehan, A.; Fang, H.; Pearce, B.; Yang, Z.; Zadjura, L.; D’Arienzo, C.J.; Riccardi, K.; et al. Inhibitors of HIV-1 attachment. Part 8: the effect of C7-heteroaryl substitution on the potency, and in vitro and in vivo profiles of indole-based inhibitors. Bioorg. Med. Chem. Lett. 2013, 23, 203–208. [Google Scholar]
- Yeung, K.S.; Qiu, Z.; Yang, Z.; Zadjura, L.; D’Arienzo, C.J.; Browning, M.R.; Hansel, S.; Huang, X.S.; Eggers, B.J.; Riccardi, K.; et al. Inhibitors of HIV-1 attachment. Part 9: An assessment of oral prodrug approaches to improve the plasma exposure of a tetrazole-containing derivative. Bioorg. Med. Chem. Lett. 2013, 23, 209–212. [Google Scholar]
- Karabanovich, G.; Roh, J.; Smutný, T.; Němeček, J.; Vicherek, P.; Stolaříková, J.; Vejsová, M.; Dufková, I.; Vávrová, K.; Pávek, P.; et al. 1-Substituted-5-[(3,5-dinitrobenzyl)sulfanyl]-1H-tetrazoles and their isosteric analogs: A new class of selective antitubercular agents active against drug-susceptible and multidrug-resistant mycobacteria. Eur. J. Med. Chem. 2014, 82, 324–340. [Google Scholar]
- Kikuchi, T.; Ito, N.; Suzuki, M.; Kusai, A.; Iseki, K.; Sasaki, H. Self-association properties of 4-[1-hydroxy-1-methylethyl]-2-propyl-1-[4-[2-[tetrazole-5-yl]phenyl]phenyl]methylimidazole-5-carboxylic acid monohydrate (CS-088), an antiglaucoma ophthalmic agent. Int. J. Pharm. 2005, 299, 100–106. [Google Scholar] [CrossRef] [PubMed]
- Adibi, H.; Rashidi, A.; Khodaei, M.M.; Alizadeh, A.; Majnooni, M.B.; Pakravan, N.; Abiri, R.; Nematollahi, D. Catecholthioether derivatives: preliminary study of in vitro antimicrobial and antioxidant activities. Chem. Pharm. Bull. (Tokyo) 2011, 59, 1149–1152. [Google Scholar] [CrossRef]
- Singh, U.S.; Shankar, R.; Yadav, G.P.; Kharkwal, G.; Dwivedi, A.; Keshri, G.; Singh, M.M.; Moulik, P.R.; Hajela, K. Synthesis and structure guided evaluation of estrogen agonist and antagonist activities of some new tetrazolyl indole derivatives. Eur. J. Med. Chem. 2008, 43, 2149–2158. [Google Scholar] [CrossRef] [PubMed]
- Li, J.J.; Wang, H.; Li, J.; Qu, F.; Swartz, S.G.; Hernández, A.S.; Biller, S.A.; Robl, J.A.; Tino, J.A.; Slusarchyk, D.; et al. Tetrazole based amides as growth hormone secretagogues. Bioorg. Med. Chem. Lett. 2008, 18, 2536–2539. [Google Scholar] [CrossRef]
© 2015 by the authors. Licensee MDPI, Basel, Switzerland. This article is an open access article distributed under the terms and conditions of the Creative Commons Attribution license ( http://creativecommons.org/licenses/by/4.0/).
