DNA Catalysis: The Chemical Repertoire of DNAzymes
Abstract
:1. Introduction
2. DNAzymes as Bond Cleaving Catalysts


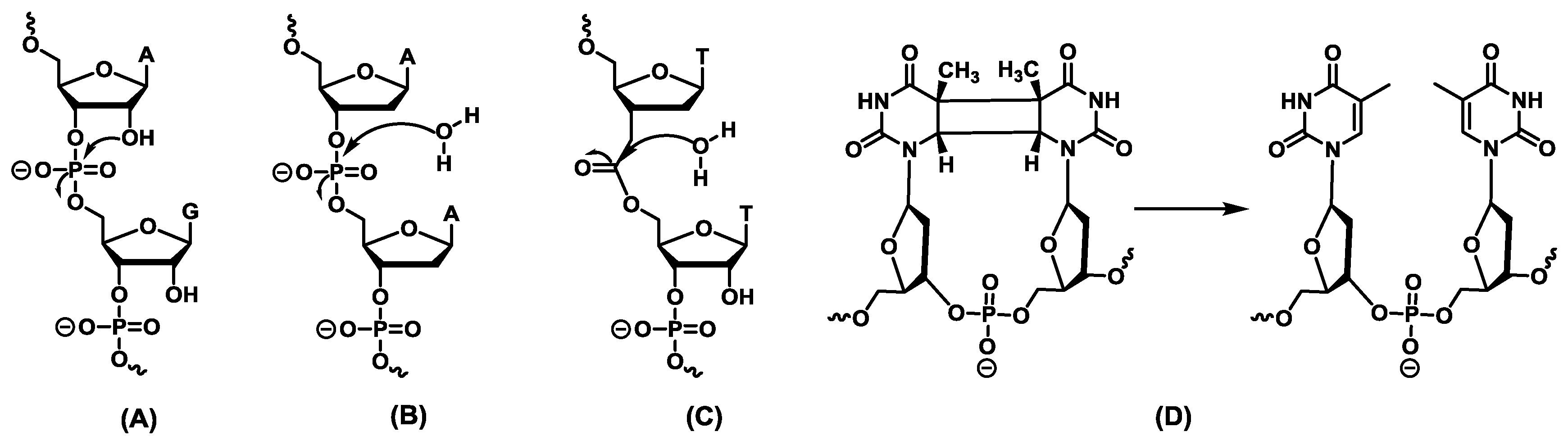
2.1. RNA-Cleaving DNAzymes


2.2. DNA-Cleaving DNAzymes

2.3. Other Bond Cleaving DNAzymes
3. DNAzymes Catalyzing Bond Formation
3.1. C-C Bond Forming DNAzymes

3.2. Ligation Reactions and Modification of Peptide Substrates

4. DNAzymes Catalyzing other Reactions

5. Toward an Expansion of the Catalytic Repertoire of DNAzymes


6. Conclusions and Outlook
Acknowledgments
Conflicts of Interest
Abbreviations
References
- Aldaye, F.A.; Palmer, A.L.; Sleiman, H.F. Assembling Materials with DNA as the Guide. Science 2008, 321, 1795–1799. [Google Scholar] [CrossRef] [PubMed]
- Jones, M.R.; Seeman, N.C.; Mirkin, C.A. Programmable materials and the nature of the DNA bond. Science 2015, 347, 840–852. [Google Scholar] [CrossRef] [PubMed]
- Bennett, C.F.; Swayze, E.E. RNA Targeting Therapeutics: Molecular Mechanisms of Antisense Oligonucleotides as a Therapeutic Platform. Annu. Rev. Pharmacol. Toxicol. 2010, 50, 259–293. [Google Scholar] [CrossRef] [PubMed]
- Goyenvalle, A.; Griffith, G.; Babbs, A.; el Andaloussi, S.; Ezzat, K.; Avril, A.; Dugovic, B.; Chaussenot, R.; Ferry, A.; Voit, T.; et al. Functional correction in mouse models of muscular dystrophy using exon-skipping tricyclo-DNA oligomers. Nat. Med. 2015, 21, 270–275. [Google Scholar] [CrossRef] [PubMed]
- Kim, H.N.; Ren, W.X.; Kim, J.S.; Yoon, J. Fluorescent and colorimetric sensors for detection of lead, cadmium, and mercury ions. Chem. Soc. Rev. 2012, 41, 3210–3244. [Google Scholar] [CrossRef] [PubMed]
- Turner, A.P.F. Biosensors: Sense and sensibility. Chem. Soc. Rev. 2013, 42, 3184–3196. [Google Scholar] [CrossRef] [PubMed]
- Ali, M.M.; Li, F.; Zhang, Z.; Zhang, K.; Kang, D.K.; Ankrum, J.A.; Le, X.C.; Zhao, W. Rolling circle amplification: A versatile tool for chemical biology, materials science and medicine. Chem. Soc. Rev. 2014, 43, 3324–3341. [Google Scholar] [CrossRef] [PubMed]
- Willner, I.; Shlyahovsky, B.; Zayats, M.; Willner, B. DNAzymes for sensing, nanobiotechnology and logic gate applications. Chem. Soc. Rev. 2008, 37, 1153–1165. [Google Scholar] [CrossRef] [PubMed]
- Guo, Y.; Zhou, L.; Xu, L.; Zhou, X.; Hu, J.; Pei, R. Multiple types of logic gates based on a single G-quadruplex DNA strand. Sci. Rep. 2014, 4, 7315. [Google Scholar] [CrossRef] [PubMed]
- Wu, C.; Wan, S.; Hou, W.; Zhang, L.; Xu, J.; Cui, C.; Wang, Y.; Hu, J.; Tan, W. A survey of advancements in nucleic acid-based logic gates and computing for applications in biotechnology and biomedicine. Chem. Commun. 2015, 51, 3723–3734. [Google Scholar] [CrossRef] [PubMed]
- Orbach, R.; Willner, B.; Willner, I. Catalytic nucleic acids (DNAzymes) as functional units for logic gates and computing circuits: From basic principles to practical applications. Chem. Commun. 2015, 51, 4144–4160. [Google Scholar] [CrossRef] [PubMed]
- Bunka, D.H.J.; Stockley, P.G. Aptamers come of age–At last. Nat. Rev. Microbiol. 2006, 4, 588–596. [Google Scholar] [CrossRef] [PubMed]
- Mayer, G. The Chemical Biology of Aptamers. Angew. Chem. Int. Ed. 2009, 48, 2672–2689. [Google Scholar] [CrossRef] [PubMed]
- Tolle, F.; Mayer, G. Dressed for success–applying chemistry to modulate aptamer functionality. Chem. Sci. 2013, 4, 60–67. [Google Scholar] [CrossRef]
- Diafa, S.; Hollenstein, M. Generation of aptamers with an expanded chemical repertoire. Molecules 2015, 20, 16643–16671. [Google Scholar] [CrossRef] [PubMed]
- Joyce, G.F. Forty Years of in vitro Evolution. Angew. Chem. Int. Ed. 2007, 46, 6420–6436. [Google Scholar] [CrossRef] [PubMed]
- Roelfes, G.; Feringa, B.L. DNA-Based Asymmetric Catalysis. Angew. Chem. Int. Ed. 2005, 44, 3230–3232. [Google Scholar] [CrossRef] [PubMed]
- Boersma, A.J.; Coquière, D.; Geerdink, D.; Rosati, F.; Feringa, B.L.; Roelfes, G. Catalytic enantioselective syn hydration of enones in water using a DNA-based catalyst. Nat. Chem. 2010, 2, 991–995. [Google Scholar] [CrossRef] [PubMed]
- Boersma, A.J.; Megens, R.P.; Feringa, B.L.; Roelfes, G. DNA-based asymmetric catalysis. Chem. Soc. Rev. 2010, 39, 2083–2092. [Google Scholar] [CrossRef] [PubMed]
- Breaker, R.R.; Joyce, G.F. A DNA enzyme that cleaves RNA. Chem. Biol. 1994, 1, 223–229. [Google Scholar] [CrossRef]
- Schlosser, K.; Li, Y. Biologically Inspired Synthetic Enzymes Made from DNA. Chem. Biol. 2009, 16, 311–322. [Google Scholar] [CrossRef] [PubMed]
- Silverman, S.K. DNA as a Versatile Chemical Component for Catalysis, Encoding, and Stereocontrol. Angew. Chem. Int. Ed. 2010, 49, 7180–7201. [Google Scholar] [CrossRef] [PubMed]
- Peracchi, A. DNA Catalysis: Potential, Limitations, Open Questions. ChemBioChem 2005, 6, 1316–1322. [Google Scholar] [CrossRef] [PubMed]
- Dass, C.R.; Choong, P.F.M.; Khachigian, L.M. DNAzyme technology and cancer therapy: Cleave and let die. Mol. Cancer Ther. 2008, 7, 243–251. [Google Scholar] [CrossRef] [PubMed]
- Wang, F.; Saran, R.; Liu, J. Tandem DNAzymes for mRNA cleavage: Choice of enzyme, metal ions and the antisense effect. Bioorg. Med. Chem. Lett. 2015, 25, 1460–1463. [Google Scholar] [CrossRef] [PubMed]
- Tuerk, C.; Gold, L. Systematic Evolution of Ligands by Exponential Enrichment: RNA Ligands to Bacteriophage T4 DNA Polymerase. Science 1990, 249, 505–510. [Google Scholar] [CrossRef] [PubMed]
- Robertson, D.L.; Joyce, G.F. Selection in vitro of an RNA enzyme that specifically cleaves single-stranded DNA. Nature 1990, 344, 467–468. [Google Scholar] [CrossRef] [PubMed]
- Ellington, A.D.; Szostak, J.W. In vitro selection of RNA molecules that bind specific ligands. Nature 1990, 346, 818–822. [Google Scholar] [CrossRef] [PubMed]
- Silverman, S.K. Catalytic DNA (deoxyribozymes) for synthetic applications-current abilities and future prospects. Chem. Commun. 2008, 30, 3467–3485. [Google Scholar] [CrossRef] [PubMed]
- Breaker, R.R.; Joyce, G.F. A DNA enzyme with Mg2+-dependent RNA phosphoesterase activity. Chem. Biol. 1995, 2, 655–660. [Google Scholar] [CrossRef]
- Santoro, S.W.; Joyce, G.F. A general purpose RNA-cleaving DNA enzyme. Proc. Natl. Acad. Sci. USA 1997, 94, 4262–4266. [Google Scholar] [CrossRef] [PubMed]
- Huang, P.-J.J.; Liu, J. Rational evolution of Cd2+-specific DNAzymes with phosphorothioate modified cleavage junction and Cd2+ sensing. Nucleic Acids Res. 2015, 43, 61256133. [Google Scholar] [CrossRef] [PubMed]
- Huang, P.-J.J.; Lin, J.; Cao, J.; Vazin, M.; Liu, J. Ultrasensitive DNAzyme Beacon for Lanthanides and Metal Speciation. Anal. Chem. 2014, 86, 1816–1821. [Google Scholar] [CrossRef] [PubMed]
- Huang, P.-J.J.; Vazin, M.; Liu, J. In vitro Selection of a New Lanthanide-Dependent DNAzyme for Ratiometric Sensing Lanthanides. Anal. Chem. 2014, 86, 9993–9999. [Google Scholar] [CrossRef] [PubMed]
- Huang, P.-J.J.; Vazin, M.; Matuszek, Z.; Liu, J. A new heavy lanthanide-dependent DNAzyme displaying strong metal cooperativity and unrescuable phosphorothioate effect. Nucleic Acids Res. 2015, 43, 461–469. [Google Scholar] [CrossRef] [PubMed]
- Liu, J.; Brown, A.K.; Meng, X.; Cropek, D.M.; Istok, J.D.; Watson, D.B.; Lu, Y. A catalytic beacon sensor for uranium with parts-pertrillion sensitivity and millionfold selectivity. Proc. Natl. Acad. Sci. USA 2007, 104, 2056–2061. [Google Scholar] [CrossRef] [PubMed]
- Roth, A.; Breaker, R.R. An amino acid as a cofactor for a catalytic polynucleotide. Proc. Natl. Acad. Sci. USA 1998, 95, 6027–6031. [Google Scholar] [CrossRef] [PubMed]
- Torabi, S.-F.; Wu, P.; McGhee, C.E.; Chen, L.; Hwang, K.; Zheng, N.; Cheng, J.; Lu, Y. In vitro selection of a sodium-specific DNAzyme and its application in intracellular sensing. Proc. Natl. Acad. Sci. USA 2015, 112, 5903–5908. [Google Scholar] [CrossRef] [PubMed]
- Nelson, K.E.; Bruesehoff, P.J.; Lu, Y. In vitro selection of high temperature Zn2+-dependent DNAzymes. J. Mol. Evol. 2005, 61, 216–225. [Google Scholar] [CrossRef] [PubMed]
- Schlosser, K.; Lam, J.C.F.; Li, Y. A genotype-to-phenotype map of in vitro selected RNA-cleaving DNAzymes: Implications for accessing the target phenotype. Nucleic Acids Res. 2009, 37, 3545–3557. [Google Scholar] [CrossRef] [PubMed]
- Attwater, J.; Wochner, A.; Holliger, P. In-ice evolution of RNA polymerase ribozyme activity. Nat. Chem. 2013, 5, 1011–1018. [Google Scholar] [CrossRef] [PubMed]
- Kasprowicz, A.; Stokowa-Soltys, K.; Wrzesinski, J.; Jezowska-Bojczuk, M.; Ciesiolka, J. In vitro selection of deoxyribozymes active with Cd2+ ions resulting in variants of DNAzyme 8–17. Dalton Trans. 2015, 44, 8138–8149. [Google Scholar] [CrossRef] [PubMed]
- Xiao, Y.; Wehrmann, R.J.; Ibrahim, N.A.; Silverman, S.K. Establishing broad generality of DNA catalysts for site-specific hydrolysis of single-stranded DNA. Nucleic Acids Res. 2012, 40, 1778–1786. [Google Scholar] [CrossRef] [PubMed]
- Velez, T.E.; Singh, J.; Xiao, Y.; Allen, E.C.; Wong, O.Y.; Chandra, M.; Kwon, S.C.; Silverman, S.K. Systematic Evaluation of the Dependence of Deoxyribozyme Catalysis on Random Region Length. ACS Comb. Sci. 2012, 14, 680–687. [Google Scholar] [CrossRef] [PubMed]
- Lam, C.H.; Hipolito, C.J.; Hollenstein, M.; Perrin, D.M. A divalent metal-dependent self-cleaving DNAzyme with a tyrosine side chain. Org. Biomol. Chem. 2011, 9, 6949–6954. [Google Scholar] [CrossRef] [PubMed]
- McManus, S.A.; Li, Y. The Structural Diversity of Deoxyribozymes. Molecules 2010, 15, 6269–6284. [Google Scholar] [CrossRef] [PubMed]
- Ward, W.L.; Plakos, K.; DeRose, V.J. Nucleic Acid Catalysis: Metals, Nucleobases, and Other Cofactors. Chem. Rev. 2014, 114, 4318–4342. [Google Scholar] [CrossRef] [PubMed]
- Chandra, M.; Sachdeva, A.; Silverman, S.K. DNA-Catalyzed Sequence-Specific Hydrolysis of DNA. Nat. Chem. Biol. 2009, 5, 718–720. [Google Scholar] [CrossRef] [PubMed]
- Gu, H.; Furukawa, K.; Weinberg, Z.; Berenson, D.F.; Breaker, R.R. Small, Highly Active DNAs That Hydrolyze DNA. J. Am. Chem. Soc. 2013, 135, 9121–9129. [Google Scholar] [CrossRef] [PubMed]
- Brandsen, B.M.; Hesser, A.R.; Castner, M.A.; Chandra, M.; Silverman, S.K. DNA-Catalyzed Hydrolysis of Esters and Aromatic Amides. J. Am. Chem. Soc. 2013, 135, 16014–16017. [Google Scholar] [CrossRef] [PubMed]
- Chinnapen, D.J.; Sen, D. A Deoxyribozyme That Harnesses Light to Repair Thymine Dimers in DNA. Proc. Natl. Acad. Sci. USA 2004, 101, 65–69. [Google Scholar] [CrossRef] [PubMed]
- Pan, T.; Uhlenbeck, O.C. A small metalloribozyme with a two-step mechanism. Nature 1992, 358, 560–563. [Google Scholar] [CrossRef] [PubMed]
- Pan, T.; Uhlenbeck, O.C. In vitro selection of RNAs that undergo autolytic cleavage with Pb2+. Biochemistry 1992, 31, 3887–3895. [Google Scholar] [CrossRef] [PubMed]
- Li, Y.; Breaker, R.R. Kinetics of RNA Degradation by Specific Base Catalysis of Transesterification Involving the 2′-Hydroxyl Group. J. Am. Chem. Soc. 1999, 121, 5364–5372. [Google Scholar] [CrossRef]
- Faulhammer, D.; Famulok, M. The Ca2+ Ion as a Cofactor for a Novel RNA-Cleaving Deoxyribozyme. Angew. Chem. Int. Ed. 1996, 35, 2837–2841. [Google Scholar] [CrossRef]
- Santoro, S.W.; Joyce, G.F. Mechanism and Utility of an RNA-Cleaving DNA Enzyme. Biochemistry 1998, 37, 13330–13342. [Google Scholar] [CrossRef] [PubMed]
- Cruz, R.P.G.; Withers, J.B.; Li, Y. Dinucleotide Junction Cleavage Versatility of 8–17 Deoxyribozyme. Chem. Biol. 2004, 11, 57–67. [Google Scholar] [CrossRef] [PubMed]
- Schlosser, K.; Gu, J.; Sule, L.; Li, Y. Sequence-function relationships provide new insight into the cleavage site selectivity of the 8–17 RNA-cleaving deoxyribozyme. Nucleic Acids Res. 2008, 36, 1472–1481. [Google Scholar] [CrossRef] [PubMed]
- Liu, J.; Lu, Y. Rational Design of “Turn-On” Allosteric DNAzyme Catalytic Beacons for Aqueous Mercury Ions with Ultra high Sensitivity and Selectivity. Angew. Chem. Int. Ed. 2007, 46, 7587–7590. [Google Scholar] [CrossRef] [PubMed]
- Li, J.; Zheng, W.; Kwon, A.H.; Lu, Y. In vitro selection and characterization of a highly efficient Zn(II)-dependent RNA-cleaving deoxyribozyme. Nucleic Acids Res. 2000, 28, 481–488. [Google Scholar] [CrossRef] [PubMed]
- Wang, B.; Cao, L.Q.; Chiuman, W.; Li, Y.F.; Xi, Z. Probing the Function of Nucleotides in the Catalytic Cores of the 8–17 and 10–23 DNAzymes by Abasic Nucleotide and C3 Spacer Substitutions. Biochemistry 2010, 49, 7553–7562. [Google Scholar] [CrossRef] [PubMed]
- Faulhammer, D.; Famulok, M. Characterization and divalent metal-ion dependence of in vitro selected deoxyribozymes which cleave DNA/RNA chimeric oligonucleotides. J. Mol. Biol. 1997, 269, 188–202. [Google Scholar] [CrossRef] [PubMed]
- Schlosser, K.; Li, Y. Tracing Sequence Diversity Change of RNA-Cleaving Deoxyribozymes under Increasing Selection Pressure during in vitro Selection. Biochemistry 2004, 43, 9695–9707. [Google Scholar] [CrossRef] [PubMed]
- Schlosser, K.; Gu, J.; Lam, J.C.F.; Li, Y. In vitro selection of small RNA-cleaving deoxyribozymes that cleave pyrimidine–pyrimidine junctions. Nucleic Acids Res. 2008, 36, 4768–4777. [Google Scholar] [CrossRef] [PubMed]
- Lam, J.C.F.; Kwan, S.O.; Li, Y. Characterization of non-8–17 sequences uncovers structurally diverse RNA-cleaving deoxyribozymes. Mol. BioSyst. 2011, 7, 2139–2146. [Google Scholar] [CrossRef] [PubMed]
- Joyce, G.F. Directed Evolution of Nucleic Acid Enzymes. Annu. Rev. Biochem. 2004, 73, 791–836. [Google Scholar] [CrossRef] [PubMed]
- Ellington, A.D.; Chen, X.; Robertson, M.; Syrett, A. Evolutionary origins and directed evolution of RNA. Int. J. Biochem. Cell Biol. 2009, 41, 254–265. [Google Scholar] [CrossRef] [PubMed]
- Hollenstein, M.; Hipolito, C.J.; Lam, C.H.; Perrin, D.M. A DNAzyme with Three Protein-Like Functional Groups: Enhancing Catalytic Efficiency of M2+-Independent RNA Cleavage. ChemBioChem 2009, 10, 1988–1992. [Google Scholar] [CrossRef] [PubMed]
- Nowakowski, J.; Shim, P.J.; Prasad, G.S.; Stout, C.D.; Joyce, G.F. Crystal structure of an 82-nucleotide RNA–DNA complex formed by the 10–23 DNA enzyme. Nat. Struct. Biol. 1999, 6, 151–156. [Google Scholar] [PubMed]
- Kim, H.-K.; Liu, J.; Li, J.; Nagraj, N.; Li, M.; Pavot, C.M.-B.; Lu, Y. Metal-Dependent Global Folding and Activity of the 8–17 DNAzyme Studied by Fluorescence Resonance Energy Transfer. J. Am. Chem. Soc. 2007, 129, 6896–6902. [Google Scholar] [CrossRef] [PubMed]
- Kim, H.-K.; Rasnik, I.; Liu, J.; Ha, T.; Lu, Y. Dissecting metal ion–dependent folding and catalysis of a single DNAzyme. Nat. Chem. Biol. 2007, 3, 763–768. [Google Scholar] [CrossRef] [PubMed]
- Schlosser, K.; Li, Y. A Versatile Endoribonuclease Mimic Made of DNA: Characteristics and Applications of the 8–17 RNA-Cleaving DNAzyme. ChemBioChem 2010, 11, 866–879. [Google Scholar] [CrossRef] [PubMed]
- Lam, J.C.F.; Li, Y. Influence of Cleavage Site on Global Folding of an RNA-Cleaving DNAzyme. ChemBioChem 2010, 11, 1710–1719. [Google Scholar] [CrossRef] [PubMed]
- Jung, J.; Han, K.Y.; Koh, H.R.; Lee, J.; Choi, Y.M.; Kim, C.; Kim, S.K. Effect of Single-Base Mutation on Activity and Folding of 10–23 Deoxyribozyme Studied by Three-Color Single-Molecule ALEX FRET. J. Phys. Chem. B 2012, 116, 3007–3012. [Google Scholar] [CrossRef] [PubMed]
- Zaborowska, Z.; Fürste, J.P.; Erdmann, V.A.; Kurreck, J. Sequence Requirements in the Catalytic Core of the “10–23” DNA Enzyme. J. Biol. Chem. 2002, 43, 40617–40622. [Google Scholar] [CrossRef] [PubMed]
- Zaborowska, Z.; Schubert, S.; Kurreck, J.; Erdmann, V.A. Deletion analysis in the catalytic region of the 10–23 DNA enzyme. FEBS Lett. 2005, 579, 554–558. [Google Scholar] [CrossRef] [PubMed]
- Peracchi, A.; Bonaccio, M.; Clerici, M. A Mutational Analysis of the 8–17 Deoxyribozyme Core. J. Mol. Biol. 2005, 352, 783–794. [Google Scholar] [CrossRef] [PubMed]
- Räz, M.; Hollenstein, M. Probing the effect of minor groove interactions on the catalytic efficiency of DNAzymes 8–17 and 10–23. Mol. BioSyst. 2015, 11, 1454–1461. [Google Scholar] [CrossRef] [PubMed]
- Bonaccio, M.; Credali, A.; Peracchi, A. Kinetic and thermodynamic characterization of the RNA-cleaving 8–17 deoxyribozyme. Nucleic Acids Res. 2004, 32, 916–925. [Google Scholar] [CrossRef] [PubMed]
- Cieslak, M.; Szymanski, J.; Adamiak, R.W.; Cierniewski, C.S. Structural Rearrangements of the 10-23 DNAzyme to b3 Integrin Subunit mRNA Induced by Cations and Their Relations to the Catalytic Activity. J. Biol. Chem. 2003, 278, 47987–47996. [Google Scholar] [CrossRef] [PubMed]
- Lee, N.K.; Koh, H.R.; Han, K.Y.; Kim, S.K. Folding of 8-17 Deoxyribozyme Studied by Three-Color Alternating-Laser Excitation of Single Molecules. J. Am. Chem. Soc. 2007, 129, 15526–15534. [Google Scholar] [CrossRef] [PubMed]
- Breaker, R.R.; Emilsson, G.M.; Lazarev, D.; Nakamura, K.; Puskarz, I.J.; Roth, A.; Sudarsan, N. A common speed limit for RNA-cleaving ribozymes and deoxyribozymes. RNA 2003, 9, 949–957. [Google Scholar] [CrossRef] [PubMed]
- Brown, A.K.; Li, J.; Pavot, C.M.-B.; Lu, Y. A Lead-Dependent DNAzyme with a Two-Step Mechanism. Biochemistry 2003, 42, 7152–7161. [Google Scholar] [CrossRef] [PubMed]
- Takagi, Y.; Warashina, M.; Stec, W.J.; Yoshinari, K.; Taira, K. Recent advances in the elucidation of the mechanisms of action of ribozymes. Nucleic Acids Res. 2001, 29, 1815–1834. [Google Scholar] [CrossRef] [PubMed]
- Emilsson, G.M.; Nakamura, S.; Roth, A.; Breaker, R.R. Ribozyme speed limits. RNA 2003, 9, 907–918. [Google Scholar] [CrossRef] [PubMed]
- Santiago, F.S.; Lowe, H.C.; Kavurma, M.M.; Chesterman, C.N.; Baker, A.; Atkins, D.G.; Khachigian, L.M. New DNA enzyme targeting Egr-1 mRNA inhibits vascular smooth muscle proliferation and regrowth after injury. Nat. Med. 1999, 5, 1264–1269. [Google Scholar] [CrossRef] [PubMed]
- Schubert, S.; Gül, D.C.; Grunert, H.-P.; Zeichhardt, H.; Erdmann, V.A.; Kurreck, J. RNA cleaving “10-23” DNAzymes with enhanced stability and activity. Nucleic Acids Res. 2003, 31, 5982–5992. [Google Scholar] [CrossRef] [PubMed]
- Fahmy, R.G.; Khachigian, L.M. Locked nucleic acid modified DNA enzymes targeting early growth response-1 inhibit human vascular smooth muscle cell growth. Nucleic Acids Res. 2004, 32, 2281–2285. [Google Scholar] [CrossRef] [PubMed]
- Donini, S.; Clerici, M.; Wengel, J.; Vester, B.; Peracchi, A. The advantages of being locked—Assessing the cleavage of short and long RNAs by locked nucleic acid-containing 8–17 deoxyribozymes. J. Biol. Chem. 2007, 282, 35510–35518. [Google Scholar] [CrossRef] [PubMed]
- Niewiarowska, J.; Sacewicz, I.; Wiktorska, M.; Wysocki, T.; Stasikowska, O.; Wagrowska-Danilewicz, M.; Cierniewski, C.S. DNAzymes to mouse b1 integrin mRNA in vivo: Targeting the tumor vasculature and retarding cancer growth. Cancer Gene Ther. 2009, 16, 713–722. [Google Scholar] [CrossRef] [PubMed]
- Grimpe, B. Deoxyribozymes: New therapeutics to treat central nervous system disorders. Front. Mol. Neurosci. 2011, 4, 25. [Google Scholar] [CrossRef] [PubMed]
- Fokina, A.A.; Meschaninova, M.I.; Durfort, T.; Venyaminova, A.G.; François, J.C. Targeting Insulin-like Growth Factor I with 10-23 DNAzymes: 2′-O-Methyl Modifications in the Catalytic Core Enhance mRNA Cleavage. Biochemistry 2012, 51, 2181–2191. [Google Scholar] [CrossRef] [PubMed]
- Robaldo, L.; Berzal-Herranz, A.; Montserrat, J.M.; Iribarren, A.M. Activity of Core-Modified 10-23 DNAzymes against HCV. ChemMedChem 2014, 9, 2172–2177. [Google Scholar] [CrossRef] [PubMed]
- Robaldo, L.; Izzo, F.; Dellafiore, M.; Proietti, C.; Elizalde, P.V.; Montserrat, J.M.; Iribarren, A.M. Influence of conformationally restricted pyrimidines on the activity of 10-23 DNAzymes. Bioorg. Med. Chem. 2012, 20, 2581–2586. [Google Scholar] [CrossRef] [PubMed]
- Grassi, G.; Grassi, M. First-in-human trial of Dz13 for nodular basal-cell carcinoma. Lancet 2013, 381, 1797–1798. [Google Scholar] [CrossRef]
- Cho, E.A.; Moloney, F.J.; Cai, H.; Au-Yeung, A.; China, C.; Scolyer, R.A.; Yosufi, B.; Raftery, M.J.; Deng, J.Z.; Morton, S.W.; et al. Safety and tolerability of an intratumorally injected DNAzyme, Dz13, in patients with nodular basal-cell carcinoma: A phase 1 first-in-human trial (DISCOVER). Lancet 2013, 381, 1835–1843. [Google Scholar] [CrossRef]
- Krug, N.; Hohlfeld, J.M.; Kirsten, A.M.; Kornmann, O.; Beeh, K.M.; Kappeler, D.; Korn, S.; Ignatenko, S.; Timmer, W.; Rogon, C.; et al. Allergen-Induced Asthmatic Responses Modified by a GATA3-Specific DNAzyme. N. Engl. J. Med. 2015, 372, 1987–1995. [Google Scholar] [CrossRef] [PubMed]
- Khachigian, L.M.; Fahmy, R.G.; Zhang, G.; Bobryshev, Y.V.; Kaniaros, A. c-Jun Regulates Vascular Smooth Muscle Cell Growth and Neointima Formation after Arterial Injury. J. Biol. Chem. 2002, 277, 22985–22991. [Google Scholar] [CrossRef] [PubMed]
- Eferl, R.; Wagner, E.F. AP-1: A double-edged sword in tumorigenesis. Nat. Rev. Cancer 2003, 3, 859–868. [Google Scholar] [CrossRef] [PubMed]
- Cai, H.; Santiago, F.S.; Prado-Lourenco, L.; Wang, B.; Patrikakis, M.; Davenport, M.P.; Maghzal, G.J.; Stocker, R.; Parish, C.R.; Chong, B.H.; et al. DNAzyme Targeting c-jun Suppresses Skin Cancer Growth. Sci. Transl. Med. 2012, 4, 139ra82. [Google Scholar] [CrossRef] [PubMed]
- Zhu, J.; Yamane, H.; Paul, W.E. Differentiation of Effector CD4 T Cell Populations. Annu. Rev. Immunol. 2010, 28, 445–489. [Google Scholar] [CrossRef] [PubMed]
- Bochner, B.S.; Schleimer, R.P. Out of the Orphanage and into the Clinic—Therapeutic Targeting of GATA3. N. Engl. J. Med. 2015, 372, 2060–2061. [Google Scholar] [CrossRef] [PubMed]
- Sel, S.; Wegmann, M.; Dicke, T.; Henke, W.; Yildirim, A.O.; Renz, H.; Garn, H. Effective prevention and therapy of experimental allergic asthma using a GATA-3-specific DNAzyme. J. Allergy Clin. Immunol. 2008, 121, 910–916. [Google Scholar] [CrossRef] [PubMed]
- Turowska, A.; Librizzi, D.; Baumgartl, N.; Kuhlmann, J.; Dicke, T.; Merkel, O.; Homburg, U.; Hoffken, H.; Renz, H.; Garn, H. Biodistribution of the GATA-3-specific DNAzyme hgd40 after inhalative exposure in mice, rats and dogs. Toxicol. Appl. Pharmacol. 2013, 272, 365–372. [Google Scholar] [CrossRef] [PubMed]
- Rosi, N.L.; Giljohann, D.A.; Thaxton, C.S.; Lytton-Jean, A.K.R.; Han, M.S.; Mirkin, C.A. Oligonucleotide-Modified Gold Nanoparticles for Intracellular Gene Regulation. Science 2006, 312, 1027–1030. [Google Scholar] [CrossRef] [PubMed]
- Yehl, K.; Joshi, J.P.; Greene, B.L.; Dyer, R.B.; Nahta, R.; Salaita, K. Catalytic Deoxyribozyme-Modified Nanoparticles for RNAi-Independent Gene Regulation. ACS Nano 2012, 6, 9150–9157. [Google Scholar] [CrossRef] [PubMed]
- Zhang, L.; Gasper, W.J.; Stass, S.A.; Ioffe, O.B.; Davis, M.A.; Mixson, A.J. Angiogenic Inhibition Mediated by a DNAzyme That Targets Vascular Endothelial Growth Factor Receptor 2. Cancer Res. 2002, 62, 5463–5469. [Google Scholar] [PubMed]
- Young, D.D.; Lively, M.O.; Deiters, A. Activation and Deactivation of DNAzyme and Antisense Function with Light for the Photochemical Regulation of Gene Expression in Mammalian Cells. J. Am. Chem. Soc. 2010, 132, 6183–6193. [Google Scholar] [CrossRef] [PubMed]
- Baum, D.A.; Silverman, S.K. Deoxyribozymes: Useful DNA catalysts in vitro and in vivo. Cell. Mol. Life Sci. 2008, 65, 2156–2174. [Google Scholar] [CrossRef] [PubMed]
- Zhang, X.-B.; Kong, R.-M.; Lu, Y. Metal Ion Sensors Based on DNAzymes. Annu. Rev. Anal. Chem. 2011, 4, 105–128. [Google Scholar] [CrossRef] [PubMed]
- Xiang, Y.; Lu, Y. DNA as Sensors and Imaging Agents for Metal Ions. Inorg. Chem. 2014, 53, 1925–1942. [Google Scholar] [CrossRef] [PubMed]
- Gong, L.; Zhao, Z.L.; Lv, Y.F.; Huan, S.Y.; Fu, T.; Zhang, X.B.; Shen, G.L.; Yu, R.Q. DNAzyme-based biosensors and nanodevices. Chem. Commun. 2015, 51, 979–995. [Google Scholar] [CrossRef] [PubMed]
- Mancin, F.; Tecilla, P. Zinc(II) complexes as hydrolytic catalysts of phosphate diester cleavage: From model substrates to nucleic acids. New J. Chem. 2007, 31, 800–817. [Google Scholar] [CrossRef]
- Li, F.Z.; Xie, J.Q.; Feng, F.M. Copper and zinc complexes of a diaza-crown ether as artificial nucleases for the efficient hydrolytic cleavage of DNA. New J. Chem. 2015, 39, 5654–5660. [Google Scholar] [CrossRef]
- Beaudry, A.A.; Joyce, G.F. Directed evolution of an RNA enzyme. Science 1992, 257, 635–641. [Google Scholar] [CrossRef] [PubMed]
- Tsang, J.; Joyce, G.F. Evolutionary Optimization of the Catalytic Properties of a DNA-Cleaving Ribozyme. Biochemistry 1994, 33, 5966–5973. [Google Scholar] [CrossRef] [PubMed]
- Tsang, J.; Joyce, G.F. Specialization of the DNA-cleaving activity of a group I ribozyme through in vitro evolution. J. Mol. Biol. 1996, 262, 31–42. [Google Scholar] [CrossRef] [PubMed]
- Wolfenden, R.; Snider, M.J. The Depth of Chemical Time and the Power of Enzymes as Catalysts. Acc. Chem. Res. 2001, 34, 938–945. [Google Scholar] [CrossRef] [PubMed]
- Schroeder, G.K.; Lad, C.; Wyman, P.; Williams, N.H.; Wolfenden, R. The time required for water attack at the phosphorus atom of simple phosphodiesters and of DNA. Proc. Natl. Acad. Sci. USA 2006, 103, 4052–4055. [Google Scholar] [CrossRef] [PubMed]
- Carmi, N.; Shultz, L.A.; Breaker, R.R. In vitro selection of self-cleaving DNAs. Chem. Biol. 1996, 3, 1039–1046. [Google Scholar] [CrossRef]
- Sheppard, T.L.; Ordoukhanian, P.; Joyce, G.F. A DNA enzyme with N-glycosylase activity. Proc. Natl. Acad. Sci. USA 2000, 97, 7802–7807. [Google Scholar] [CrossRef] [PubMed]
- Wang, M.Q.; Zhang, H.F.; Zhang, W.; Zhao, Y.Y.; Yasmeen, A.; Zhou, L.; Yu, X.Q.; Tang, Z. In vitro selection of DNA-cleaving deoxyribozyme with site-specific thymidine excision activity. Nucleic Acids Res. 2014, 42, 9262–9269. [Google Scholar] [CrossRef] [PubMed]
- Dedon, P.C. The chemical toxicology of 2-deoxyribose oxidation in DNA. Chem. Res. Toxicol. 2008, 21, 206–219. [Google Scholar] [CrossRef] [PubMed]
- Radzicka, A.; Wolfenden, R. Rates of Uncatalyzed Peptide Bond Hydrolysis in Neutral Solution and the Transition State Affinities of Proteases. J. Am. Chem. Soc. 1996, 118, 6105–6109. [Google Scholar] [CrossRef]
- Xiao, Y.; Chandra, M.; Silverman, S.K. Functional Compromises among pH Tolerance, Site Specificity, and Sequence Tolerance for a DNA-Hyrdolyzing Deoxyribozyme. Biochemistry 2010, 49, 9630–9637. [Google Scholar] [CrossRef] [PubMed]
- Xiao, Y.; Allen, E.C.; Silverman, S.K. Merely two mutations switch a DNA-hydrolyzing deoxyribozyme from heterobimetallic (Zn2+/Mn2+) to monometallic (Zn2+-only) behavior. Chem. Commun. 2011, 47, 1749–1751. [Google Scholar] [CrossRef] [PubMed]
- Dokukin, V.; Silverman, S.K. Lanthanide ions as required cofactors for DNA catalysts. Chem. Sci. 2012, 3, 1707–1714. [Google Scholar] [CrossRef] [PubMed]
- Blondal, T.; Thorisdottir, A.; Unnsteinsdottir, U.; Hjorleifsdottir, S.; Aevarsson, A.; Ernstsson, S.; Fridjonsson, O.H.; Skirnisdottir, S.; Wheat, J.O.; Hermannsdottir, A.G.; et al. Isolation and characterization of a thermostable RNA ligase 1 from a Thermus scotoductus bacteriophage TS2126 with good single-stranded DNA ligation properties. Nucleic Acids Res. 2005, 33, 135–142. [Google Scholar] [CrossRef] [PubMed]
- Hollenstein, M. Generation of long, fully modified, and serum-resistant oligonucleotides by rolling circle amplification. Org. Biomol. Chem. 2015, 13, 9820–9824. [Google Scholar] [CrossRef] [PubMed]
- Faraji, S.; Dreuw, A. Physicochemical Mechanism of Light-Driven DNA Repair by (6–4) Photolyases. Annu. Rev. Phys. Chem. 2014, 65, 275–292. [Google Scholar] [CrossRef] [PubMed]
- Chinnapen, D.J.F.; Sen, D. Towards elucidation of the mechanism of UV1C, a deoxyribozyme with photolyase activity. J. Mol. Biol. 2007, 365, 1326–1336. [Google Scholar] [CrossRef] [PubMed]
- Barlev, A.; Sen, D. Catalytic DNAs That Harness Violet Light To Repair Thymine Dimers in a DNA Substrate. J. Am. Chem. Soc. 2013, 135, 2596–2603. [Google Scholar] [CrossRef] [PubMed]
- Dai, X.; de Mesmaeker, A.; Joyce, G.F. Cleavage of an Amide Bond by a Ribozyme. Science 1995, 267, 237–241. [Google Scholar] [CrossRef] [PubMed]
- Joyce, G.F.; Dai, X.; de Mesmaeker, A. Amide Cleavage by a Ribozyme: Correction. Science 1996, 272, 18–19. [Google Scholar] [CrossRef] [PubMed]
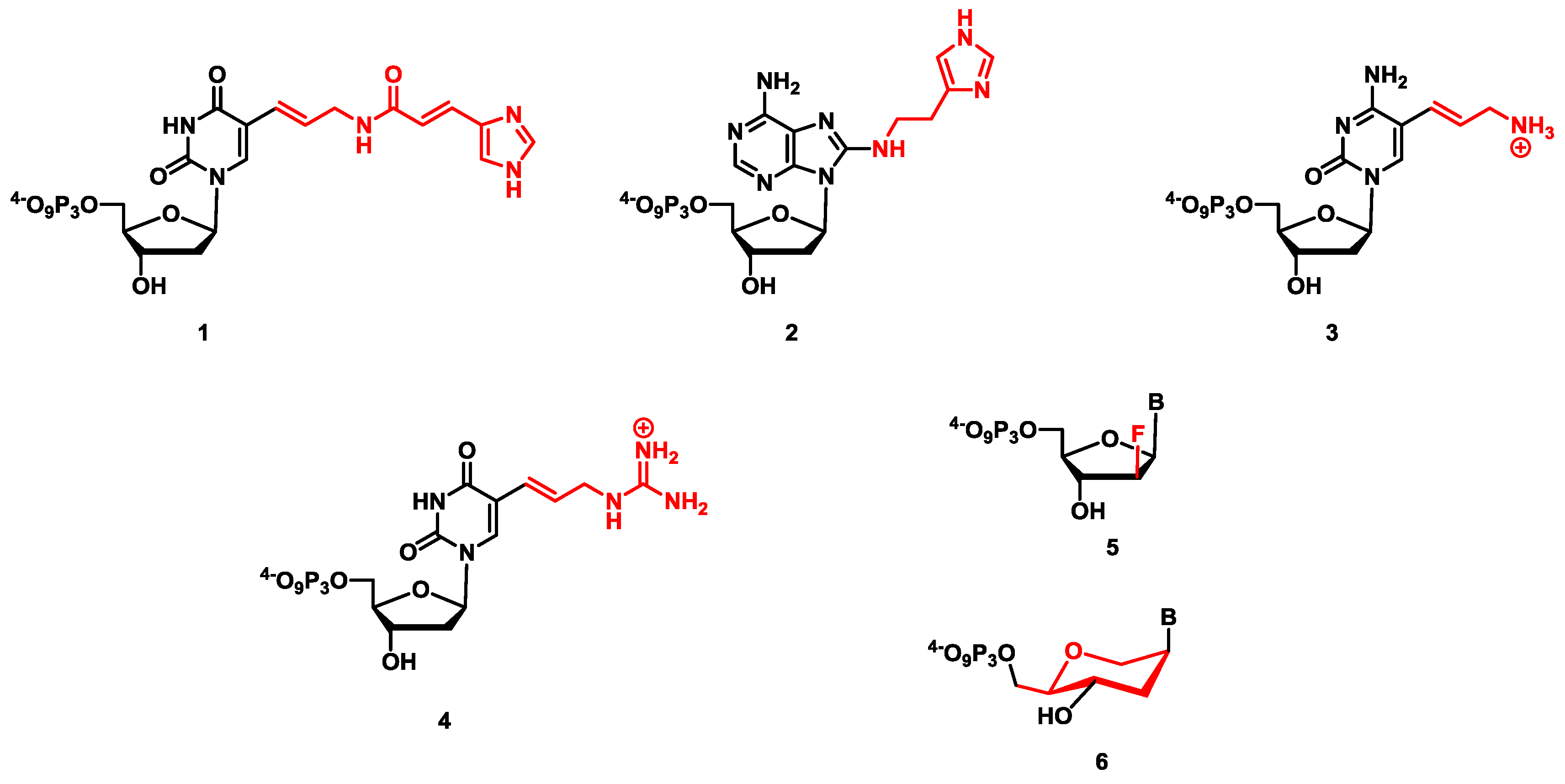
- Hollenstein, M. Deoxynucleoside triphosphates bearing histamine, carboxylic acid, and hydroxyl residues–Synthesis and biochemical characterization. Org. Biomol. Chem. 2013, 11, 5162–5172. [Google Scholar] [CrossRef] [PubMed]
- Silverman, S.K. Pursuing DNA Catalysts for Protein Modification. Acc. Chem. Res. 2015, 48, 1369–1379. [Google Scholar] [CrossRef] [PubMed]
- Chandrasekar, J.; Silverman, S.K. Catalytic DNA with phosphatase activity. Proc. Natl. Acad. Sci. USA 2013, 110, 5315–5320. [Google Scholar] [CrossRef] [PubMed]
- White, C.J.; Yudin, A.K. Contemporary strategies for peptide macrocyclization. Nat. Chem. 2011, 3, 509–524. [Google Scholar] [CrossRef] [PubMed]
- Chandrasekar, J.; Wylder, A.C.; Silverman, S.K. Phosphoserine Lyase Deoxyribozymes: DNA-Catalyzed Formation of Dehydroalanine Residues in Peptides. J. Am. Chem. Soc. 2015, 137, 9575–9578. [Google Scholar] [CrossRef] [PubMed]
- Tarasow, T.M.; Tarasow, S.L.; Eaton, B.E. RNA-catalysed carbon-carbon bond formation. Nature 1997, 389, 54–57. [Google Scholar] [CrossRef] [PubMed]
- Seelig, B.; Jäschke, A. A Small Catalytic RNA Motif with Diels-Alderase Activity. Chem. Biol. 1999, 6, 167–176. [Google Scholar] [CrossRef]
- Illangasekare, M.; Sanchez, G.; Nickles, T.; Yarus, M. Aminoacyl-RNA synthesis catalyzed by an RNA. Science 1995, 267, 643–647. [Google Scholar] [CrossRef] [PubMed]
- Chumachenko, N.V.; Novikov, Y.; Yarus, M. Rapid and Simple Ribozymic Aminoacylation Using Three Conserved Nucleotides. J. Am. Chem. Soc. 2009, 131, 5257–5263. [Google Scholar] [CrossRef] [PubMed]
- Balke, D.; Wichert, C.; Appel, B.; Muller, S. Generation and selection of ribozyme variants with potential application in protein engineering and synthetic biology. Appl. Microbiol. Biotechnol. 2014, 98, 3389–3399. [Google Scholar] [CrossRef] [PubMed]
- Lohse, P.A.; Szostak, J.W. Ribozyme-catalysed amino-acid transfer reactions. Nature 1996, 381, 442–444. [Google Scholar] [CrossRef] [PubMed]
- Zhang, B.L.; Cech, T.R. Peptide bond formation by in vitro selected ribozymes. Nature 1997, 390, 96–100. [Google Scholar] [PubMed]
- Wiegand, T.W.; Janssen, R.C.; Eaton, B.E. Selection of RNA amide synthase. Chem. Biol. 1997, 4, 675–683. [Google Scholar] [CrossRef]
- Serganov, A.; Keiper, S.; Malinina, L.; Tereshko, V.; Skripkin, E.; Hobartner, C.; Polonskaia, A.; Phan, A.T.; Wombacher, R.; Micura, R.; et al. Structural basis for Diels-Alder ribozyme-catalyzed carbon-carbon bond formation. Nat. Struct. Mol. Biol. 2005, 12, 218–224. [Google Scholar] [CrossRef] [PubMed]
- Chandra, M.; Silverman, S.K. DNA and RNA Can Be Equally Efficient Catalysts for Carbon-Carbon Bond Formation. J. Am. Chem. Soc. 2008, 130, 2936–2937. [Google Scholar] [CrossRef] [PubMed]
- Mohan, U.; Burai, R.; McNaughton, B.R. In vitro evolution of a Friedel–Crafts deoxyribozyme. Org. Biomol. Chem. 2013, 11, 2241–2244. [Google Scholar] [CrossRef] [PubMed]
- Rueping, M.; Nachtsheim, B.J. A review of new developments in the Friedel-Crafts alkylation-From green chemistry to asymmetric catalysis. Beilstein J. Org. Chem. 2010, 6, 24. [Google Scholar] [CrossRef] [PubMed]
- Boersma, A.J.; Feringa, B.L.; Roelfes, G. Enantioselective Friedel-Crafts Reactions in Water Using a DNA-Based Catalyst. Angew. Chem. Int. Ed. 2009, 48, 3346–3348. [Google Scholar] [CrossRef] [PubMed]
- Sengle, G.; Eisenfuhr, A.; Arora, P.S.; Nowick, J.S.; Famulok, M. Novel RNA catalysts for the Michael reaction. Chem. Biol. 2001, 8, 459–473. [Google Scholar] [CrossRef]
- Fusz, S.; Eisenfuhr, A.; Srivatsan, S.G.; Heckel, A.; Famulok, M. A ribozyme for the aldol reaction. Chem. Biol. 2005, 12, 941–950. [Google Scholar] [CrossRef] [PubMed]
- Breaker, R.R. Natural and engineered nucleic acids as tools to explore biology. Nature 2004, 432, 838–845. [Google Scholar] [CrossRef] [PubMed]
- Cuenoud, B.; Szostak, J.W. A DNA metalloenzyme with DNA ligase activity. Nature 1995, 375, 611–614. [Google Scholar] [CrossRef] [PubMed]
- Li, Y.F.; Breaker, R.R. Phosphorylating DNA with DNA. Proc. Natl. Acad. Sci. USA 1999, 96, 2746–2751. [Google Scholar] [CrossRef] [PubMed]
- Wang, W.; Billen, L.P.; Li, Y.F. Sequence diversity, metal specificity, and catalytic proficiency of metal-dependent phosphorylating DNA enzymes. Chem. Biol. 2002, 9, 507–517. [Google Scholar] [CrossRef]
- Achenbach, J.C.; Jeffries, G.A.; McManus, S.A.; Billen, L.P.; Li, Y.F. Secondary-structure characterization of two proficient kinase deoxyribozymes. Biochemistry 2005, 44, 3765–3774. [Google Scholar] [CrossRef] [PubMed]
- Li, Y.F.; Liu, Y.; Breaker, R.R. Capping DNA with DNA. Biochemistry 2000, 39, 3106–3114. [Google Scholar] [CrossRef] [PubMed]
- Sreedhara, A.; Li, Y.F.; Breaker, R.R. Ligating DNA with DNA. J. Am. Chem. Soc. 2004, 126, 3454–3460. [Google Scholar] [CrossRef] [PubMed]
- Burmeister, J.; von Kiedrowski, G.; Ellington, A.D. Cofactor-assisted self-cleavage in DNA libraries with a 3′-5′-phosphoramidate bond. Angew. Chem. Int. Ed. 1997, 36, 1321–1324. [Google Scholar] [CrossRef]
- Lee, C.S.; Mui, T.P.; Silverman, S.K. Improved deoxyribozymes for synthesis of covalently branched DNA and RNA. Nucleic Acids Res. 39, 269–279. [CrossRef] [PubMed]
- Silverman, S.K. Deoxyribozymes: Selection Design and Serendipity in the Development of DNA Catalysts. Acc. Chem. Res. 2009, 42, 1521–1531. [Google Scholar] [CrossRef] [PubMed]
- Flynn-Charlebois, A.; Wang, Y.M.; Prior, T.K.; Rashid, I.; Hoadley, K.A.; Coppins, R.L.; Wolf, A.C.; Silverman, S.K. Deoxyribozymes with 2′-5′ RNA ligase activity. J. Am. Chem. Soc. 2003, 125, 2444–2454. [Google Scholar] [CrossRef] [PubMed]
- Coppins, R.L.; Silverman, S.K. A DNA enzyme that mimics the first step of RNA splicing. Nat. Struct. Mol. Biol. 2004, 11, 270–274. [Google Scholar] [CrossRef] [PubMed]
- Baum, D.A.; Silverman, S.K. Deoxyribozyme-catalyzed labeling of RNA. Angew. Chem. Int. Ed. 2007, 46, 3502–3504. [Google Scholar] [CrossRef] [PubMed]
- Büttner, L.; Javadi-Zarnaghi, F.; Höbartner, C. Site-Specific Labeling of RNA at Internal Ribose Hydroxyl Groups: Terbium-Assisted Deoxyribozymes at Work. J. Am. Chem. Soc. 2014, 136, 8131–8137. [Google Scholar] [CrossRef] [PubMed]
- Turriani, E.; Hobartner, C.; Jovin, T.M. Mg2+-dependent conformational changes and product release during DNA-catalyzed RNA ligation monitored by Bimane fluorescence. Nucleic Acids Res. 2015, 43, 40–50. [Google Scholar] [CrossRef] [PubMed]
- Kim, H.-K.; Li, J.; Nagraj, N.; Lu, Y. Probing Metal Binding in the 8–17 DNAzyme by TbIII Luminescence Spectroscopy. Chem. Eur. J. 2008, 14, 8696–8703. [Google Scholar] [CrossRef] [PubMed]
- Javadi-Zarnaghi, F.; Hoebartner, C. Lanthanide Cofactors Accelerate DNA-Catalyzed Synthesis of Branched RNA. J. Am. Chem. Soc. 2013, 135, 12839–12848. [Google Scholar] [CrossRef] [PubMed]
- Brandsen, B.M.; Velez, T.E.; Sachdeva, A.; Ibrahim, N.A.; Silverman, S.K. DNA-Catalyzed Lysine Side Chain Modification. Angew. Chem. Int. Ed. 2014, 53, 9045–9050. [Google Scholar] [CrossRef] [PubMed]
- Nakano, S.; Kitagawa, Y.; Yamashita, H.; Miyoshi, D.; Sugimoto, N. Effects of Cosolvents on the Folding and Catalytic Activities of the Hammerhead Ribozyme. ChemBioChem 2015, 16, 1803–1810. [Google Scholar] [CrossRef] [PubMed]
- Abe, H.; Abe, N.; Shibata, A.; Ito, K.; Tanaka, Y.; Ito, M.; Saneyoshi, H.; Shuto, S.; Ito, Y. Structure Formation and Catalytic Activity of DNA Dissolved in Organic Solvents. Angew. Chem. Int. Ed. 2012, 51, 6475–6479. [Google Scholar] [CrossRef] [PubMed]
- Behera, A.K.; Schlund, K.J.; Mason, A.J.; Alila, K.O.; Han, M.Y.; Grout, R.L.; Baum, D.A. Enhanced deoxyribozyme-catalyzed RNA ligation in the presence of organic cosolvents. Biopolymers 2013, 99, 382–391. [Google Scholar] [CrossRef] [PubMed]
- Pradeepkumar, P.I.; Höbartner, C.; Baum, D.A.; Silverman, S.K. DNA-Catalyzed Formation of Nucleopeptide Linkages. Angew. Chem. Int. Ed. 2008, 47, 1753–1757. [Google Scholar] [CrossRef] [PubMed]
- Sachdeva, A.; Silverman, S.K. DNA-catalyzed serine side chain reactivity and selectivity. Chem. Commun. 2010, 46, 2215–2217. [Google Scholar] [CrossRef] [PubMed]
- Sachdeva, A.; Chandra, M.; Chandrasekar, J.; Silverman, S.K. Covalent Tagging of Phosphorylated Peptides by Phosphate-Specific Deoxyribozymes. ChemBioChem 2012, 13, 654–657. [Google Scholar] [CrossRef] [PubMed]
- Walsh, S.M.; Sachdeva, A.; Silverman, S.K. DNA Catalysts with Tyrosine Kinase Activity. J. Am. Chem. Soc. 2013, 135, 14928–14931. [Google Scholar] [CrossRef] [PubMed]
- Li, Y.; Sen, D. A Catalytic DNA for Porphyrin Metallation. Nat. Struct. Biol. 1996, 3, 743–747. [Google Scholar] [CrossRef] [PubMed]
- Li, Y.F.; Geyer, C.R.; Sen, D. Recognition of anionic porphyrins by DNA aptamers. Biochemistry 1996, 35, 6911–6922. [Google Scholar] [CrossRef] [PubMed]
- Li, Y.F.; Sen, D. Toward an efficient DNAzyme. Biochemistry 1997, 36, 5589–5599. [Google Scholar] [CrossRef] [PubMed]
- Travascio, P.; Li, Y.F.; Sen, D. DNA-enhanced peroxidase activity of a DNA aptamer-hemin complex. Chem. Biol. 1998, 5, 505–517. [Google Scholar] [CrossRef]
- Pavlov, V.; Xiao, Y.; Gill, R.; Dishon, A.; Kotler, M.; Willner, I. Amplified chemiluminescence surface detection of DNA and telomerase activity using catalytic nucleic acid labels. Anal. Chem. 2004, 76, 2152–2156. [Google Scholar] [CrossRef] [PubMed]
- Golub, E.; Freeman, R.; Willner, I. A Hemin/G-Quadruplex Acts as an NADH Oxidase and NADH Peroxidase Mimicking DNAzyme. Angew. Chem. Int. Ed. 2011, 50, 11710–11714. [Google Scholar] [CrossRef]
- Freeman, R.; Sharon, E.; Teller, C.; Henning, A.; Tzfati, Y.; Willner, I. DNAzyme-Like Activity of Hemin-Telomeric G-Quadruplexes for the Optical Analysis of Telomerase and its Inhibitors. ChemBioChem 2010, 11, 2362–2367. [Google Scholar] [CrossRef] [PubMed]
- Kosman, J.; Juskowiak, B. Peroxidase-mimicking DNAzymes for biosensing applications: A review. Anal. Chim. Acta 2011, 707, 7–17. [Google Scholar] [CrossRef] [PubMed]
- Stefan, L.; Denat, F.; Monchaud, D. Insights into how nucleotide supplements enhance the peroxidase-mimicking DNAzyme activity of the G-quadruplex/hemin system. Nucleic Acids Res. 2012, 40, 8759–8772. [Google Scholar] [CrossRef] [PubMed]
- Wang, F.; Lu, C.H.; Willner, I. From Cascaded Catalytic Nucleic Acids to Enzyme-DNA Nanostructures: Controlling Reactivity, Sensing, Logic Operations, and Assembly of Complex Structures. Chem. Rev. 2014, 114, 2881–2941. [Google Scholar] [CrossRef] [PubMed]
- Verga, D.; Welter, M.; Steck, A.L.; Marx, A. DNA polymerase-catalyzed incorporation of nucleotides modified with a G-quadruplex-derived DNAzyme. Chem. Commun. 2015, 51, 7379–7381. [Google Scholar] [CrossRef] [PubMed]
- Nakayama, S.; Wang, J.X.; Sintim, H.O. DNA-Based Peroxidation Catalyst-What Is the Exact Role of Topology on Catalysis and Is There a Special Binding Site for Catalysis? Chem. Eur. J. 2011, 17, 5691–5698. [Google Scholar] [CrossRef] [PubMed]
- Yang, X.; Fang, C.; Mei, H.; Chang, T.; Cao, Z.; Shangguan, D. Characterization of G-Quadruplex/Hemin Peroxidase: Substrate Specificity and Inactivation Kinetics. Chem. Eur. J. 2011, 17, 14475–14484. [Google Scholar] [CrossRef] [PubMed]
- Liu, J.; Cao, Z.; Lu, Y. Functional Nucleic Acid Sensors. Chem. Rev. 2009, 109, 1948–1998. [Google Scholar] [CrossRef] [PubMed]
- Ameta, S.; Jäschke, A. An RNA catalyst that reacts with a mechanistic inhibitor of serine protease. Chem. Sci. 2013, 4, 957–964. [Google Scholar] [CrossRef]
- Franzen, S. Expanding the catalytic repertoire of ribozymes and deoxyribozymes beyond RNA substrates. Curr. Opin. Mol. Ther. 2010, 12, 223–232. [Google Scholar] [PubMed]
- Kuwahara, M.; Sugimoto, N. Molecular Evolution of Functional Nucleic Acids with Chemical Modifications. Molecules 2010, 15, 5423–5444. [Google Scholar] [CrossRef] [PubMed]
- Hollenstein, M. Nucleoside Triphosphates—Building Blocks for the Modification of Nucleic Acids. Molecules 2012, 17, 13569–13591. [Google Scholar] [CrossRef] [PubMed]
- Hocek, M. Synthesis of Base-Modified 2′-Deoxyribonucleoside Triphosphates and Their Use in Enzymatic Synthesis of Modified DNA for Applications in Bioanalysis and Chemical Biology. J. Org. Chem. 2014, 79, 9914–9921. [Google Scholar] [CrossRef] [PubMed]
- Santoro, S.W.; Joyce, G.F.; Sakthivel, K.; Gramatikova, S.; Barbas, C.F. RNA cleavage by a DNA enzyme with extended chemical functionality. J. Am. Chem. Soc. 2000, 122, 2433–2439. [Google Scholar] [CrossRef] [PubMed]
- Perrin, D.M.; Garestier, T.; Hélène, C. Bridging the gap between proteins and nucleic acids: A metal-independent RNAseA mimic with two protein-like functionalities. J. Am. Chem. Soc. 2001, 123, 1556–1563. [Google Scholar] [CrossRef] [PubMed]
- Sidorov, A.V.; Grasby, J.A.; Williams, D.M. Sequence-specific cleavage of RNA in the absence of divalent metal ions by a DNAzyme incorporating imidazolyl and amino functionalities. Nucleic Acids Res. 2004, 32, 1591–1601. [Google Scholar] [CrossRef] [PubMed]
- Hollenstein, M.; Hipolito, C.J.; Lam, C.H.; Perrin, D.M. A self-cleaving DNA enzyme modified with amines, guanidines and imidazoles operates independently of divalent metal cations (M2+). Nucleic Acids Res. 2009, 37, 1638–1649. [Google Scholar] [CrossRef] [PubMed]
- Hipolito, C.J.; Hollenstein, M.; Lam, C.H.; Perrin, D.M. Protein-inspired modified DNAzymes: Dramatic effects of shortening side-chain length of 8-imidazolyl modified deoxyadenosines in selecting RNaseA mimicking DNAzymes. Org. Biomol. Chem. 2011, 9, 2266–2273. [Google Scholar] [CrossRef] [PubMed]
- Hollenstein, M.; Hipolito, C.J.; Lam, C.H.; Perrin, D.M. Toward the Combinatorial Selection of Chemically Modified DNAzyme RNase A Mimics Active Against all-RNA Substrates. ACS Comb. Sci. 2013, 15, 174–182. [Google Scholar] [CrossRef] [PubMed]
- Lermer, L.; Roupioz, Y.; Ting, R.; Perrin, D.M. Toward an RNaseA mimic: A DNAzyme with imidazoles and cationic amines. J. Am. Chem. Soc. 2002, 124, 9960–9961. [Google Scholar] [CrossRef] [PubMed]
- Ting, R.; Thomas, J.M.; Lermer, L.; Perrin, D.M. Substrate specificity and kinetic framework of a DNAzyme with an expanded chemical repertoire: A putative RNaseA mimic that catalyzes RNA hydrolysis independent of a divalent metal cation. Nucleic Acids Res. 2004, 32, 6660–6672. [Google Scholar] [CrossRef] [PubMed]
- Buyst, D.; Gheerardijn, V.; Feher, K.; van Gasse, B.; van den Begin, J.; Martins, J.C.; Madder, A. Identification of a pKa-regulating motif stabilizing imidazole-modified double-stranded DNA. Nucleic Acids Res. 2015, 43, 51–62. [Google Scholar] [CrossRef] [PubMed]
- Pinheiro, V.B.; Taylor, A.I.; Cozens, C.; Abramov, M.; Renders, M.; Zhang, S.; Chaput, J.C.; Wengel, J.; Peak-Chew, S.-Y.; McLaughlin, S.H.; et al. Synthetic Genetic Polymers Capable of Heredity and Evolution. Science 2012, 336, 341–344. [Google Scholar] [CrossRef] [PubMed]
- Taylor, A.I.; Holliger, P. Directed evolution of artificial enzymes (XNAzymes) from diverse repertoires of synthetic genetic polymers. Nat. Protoc. 2015, 10, 1625–1642. [Google Scholar] [CrossRef] [PubMed]
- Taylor, A.I.; Pinheiro, V.B.; Smola, M.J.; Morgunov, A.S.; Peak-Chew, S.; Cozens, C.; Weeks, K.M.; Herdewijn, P.; Holliger, P. Catalysts from synthetic genetic polymers. Nature 2015, 518, 427–430. [Google Scholar] [CrossRef] [PubMed]
- Sakthivel, K.; Barbas, C.F. Expanding the Potential of DNA for Binding and Catalysis: Highly Functionalized dUTP Derivatives That Are Substrates for Thermostable DNA Polymerases. Angew. Chem. Int. Ed. 1998, 37, 2872–2875. [Google Scholar] [CrossRef]
- Jäger, S.; Rasched, G.; Kornreich-Leshem, H.; Engeser, M.; Thum, O.; Famulok, M. A versatile toolbox for variable DNA functionalization at high density. J. Am. Chem. Soc. 2005, 127, 15071–15082. [Google Scholar] [CrossRef] [PubMed]
- Vaught, J.D.; Bock, C.; Carter, J.; Fitzwater, T.; Otis, M.; Schneider, D.; Rolando, J.; Waugh, S.; Wilcox, S.K.; Eaton, B.E. Expanding the Chemistry of DNA for In vitro Selection. J. Am. Chem. Soc. 2010, 132, 4141–4151. [Google Scholar] [CrossRef] [PubMed]
- Hollenstein, M. Synthesis of deoxynucleoside triphosphates that include proline, urea, or sulfamide groups and their polymerase incorporation into DNA. Chem. Eur. J. 2012, 18, 13320–13330. [Google Scholar] [CrossRef] [PubMed]
- Kore, A.R.; Srinivasan, B. Recent Advances in the Syntheses of Nucleoside Triphosphates. Curr. Org. Synth. 2013, 10, 903–934. [Google Scholar] [CrossRef]
- Liu, E.; Lam, C.H.; Perrin, D.M. Synthesis and Enzymatic Incorporation of Modified Deoxyuridine Triphosphates. Molecules 2015, 20, 13591–13602. [Google Scholar] [CrossRef] [PubMed]
- Breaker, R.R.; Joyce, G.F. The Expanding View of RNA and DNA Function. Chem. Biol. 2014, 21, 1059–1065. [Google Scholar] [CrossRef] [PubMed]
- Maret, W. Analyzing free zinc(II) ion concentrations in cell biology with fluorescent chelating molecules. Metallomics 2015, 7, 202–211. [Google Scholar] [CrossRef] [PubMed]
- Kumar, K.K.; Lowe, E.W., Jr.; Aboud, A.A.; Neely, M.D.; Redha, R.; Bauer, J.A.; Odak, M.; Weaver, C.D.; Meiler, J.; Aschner, M.; et al. Cellular manganese content is developmentally regulated in human dopaminergic neurons. Sci. Rep. 2014, 4. [Google Scholar] [CrossRef] [PubMed]
- Renders, M.; Miller, E.; Hollenstein, M.; Perrin, D.M. A Method for Selecting Modified DNAzymes without the Use of Modified DNA as a Template in PCR. Chem. Commun. 2015, 51, 1360–1362. [Google Scholar] [CrossRef] [PubMed]
© 2015 by the authors. Licensee MDPI, Basel, Switzerland. This article is an open access article distributed under the terms and conditions of the Creative Commons by Attribution (CC-BY) license ( http://creativecommons.org/licenses/by/4.0/).
Share and Cite
Hollenstein, M. DNA Catalysis: The Chemical Repertoire of DNAzymes. Molecules 2015, 20, 20777-20804. https://doi.org/10.3390/molecules201119730
Hollenstein M. DNA Catalysis: The Chemical Repertoire of DNAzymes. Molecules. 2015; 20(11):20777-20804. https://doi.org/10.3390/molecules201119730
Chicago/Turabian StyleHollenstein, Marcel. 2015. "DNA Catalysis: The Chemical Repertoire of DNAzymes" Molecules 20, no. 11: 20777-20804. https://doi.org/10.3390/molecules201119730
APA StyleHollenstein, M. (2015). DNA Catalysis: The Chemical Repertoire of DNAzymes. Molecules, 20(11), 20777-20804. https://doi.org/10.3390/molecules201119730

