Maleimides Designed for Self-Assembly and Reactivity on Graphene
Abstract
:1. Introduction

2. Results and Discussion
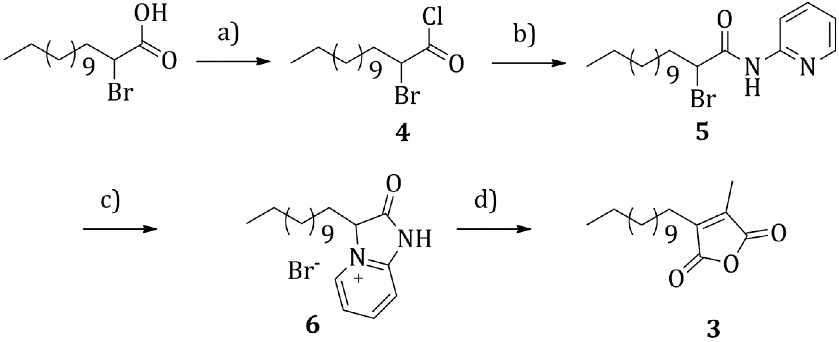
2.1. Maleimide 1





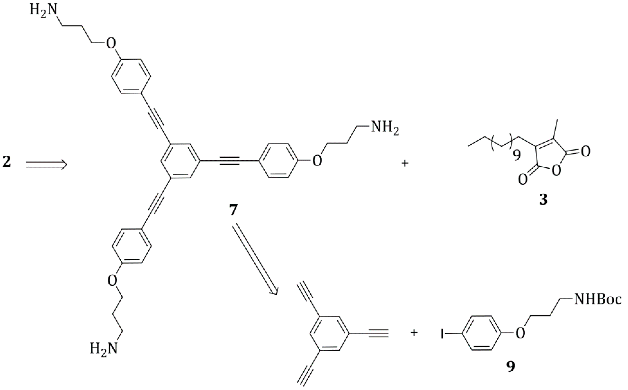
2.2. Maleimide 2

2.2.1. Synthesis of 9

2.2.2. Synthesis of 7


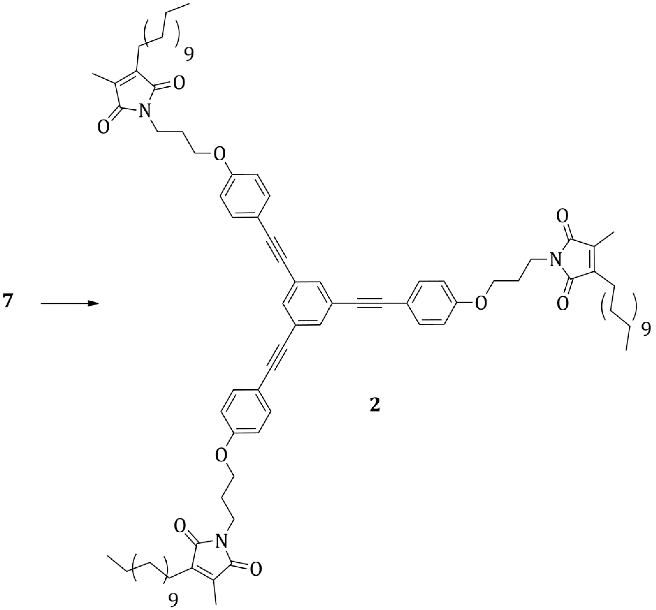
2.2.3. Synthesis of 2

3. Experimental Section
General Information
Supplementary Materials
Acknowledgments
Author Contributions
Conflicts of Interest
References
- Kuilaa, T.; Bosea, S.; Mishrab, A.K.; Khanraa, P.; Kimc, N.H.; Leea, J.H. Chemical functionalization of graphene and its applications. Prog. Mat. Sci. 2012, 57, 1061–1105. [Google Scholar] [CrossRef]
- Sarkar, S.; Bekyarova, E.; Niyogi, S.; Haddon, R.C. Diels-Alder Chemistry of Graphite and Graphene: Graphene as Diene and Dienophile. J. Am. Chem. Soc. 2011, 133, 3324–3327. [Google Scholar] [CrossRef] [PubMed]
- Ondruš, V.; Fišera, L.; Bradac, V. On the use of water as a solvent—Simple and short one-step synthesis of maleimides. ARKIVOC 2001, V, 60–67. [Google Scholar]
- Baldwin, S.P.; Greenspan, P.; Alaimo, C.; McPhail, A.T. Diastereoselective diels-alder reactions between substituted 1,3-butadienes and n-α-methylbenzylmaleimide. Tetrahedron Lett. 1991, 32, 5877–5880. [Google Scholar] [CrossRef]
- Philip, D.; Robertson, A. Recognition-induced control of a Diels–Alder reaction. Chem. Commun. 1998, 879–880. [Google Scholar] [CrossRef]
- Philp, D.; Booth, C.A. Efficient recognition-induced acceleration of a [3 + 2] dipolar cycloaddition reaction. Tetrahedron Lett. 1998, 39, 6987–6990. [Google Scholar]
- Dondoni, A. The Emergence of Thiol-Ene Coupling as a Click Process for Materials and Bioorganic Chemistry. Angew. Chem. Int. Ed. 2008, 47, 8995–8997. [Google Scholar] [CrossRef] [PubMed]
- Corrie, J.E.T. Thiol-reactive fluorescent probes for protein labelling. J. Chem. Soc. Perkin Trans. 1 1994, 1, 2975–2982. [Google Scholar] [CrossRef]
- Corrie, J.E.T.; Trentham, D.R. Synthesis of photoactivatable fluorescein derivatives bearing side chains with varying properties. J. Chem. Soc. Perkin Trans.1 1995, 1, 1993–2000. [Google Scholar] [CrossRef]
- Franc, G.; Mazères, S.; Turrin, C.O.; Vendier, L.; Duhayon, C.; Caminade, A.M.; Majoral, J.P. Synthesis and Properties of Dendrimers Possessing the Same Fluorophore(s) Located Either Peripherally or Off-Center. J. Org. Chem. 2007, 72, 8707–8715. [Google Scholar] [CrossRef] [PubMed]
- Yeh, H.C.; Wu, W.C.; Wen, Y.S.; Dai, D.C.; Wang, J.K.; Chen, C.T. Derivative of α,β-Dicyanostilbene: Convenient Precursor for the Synthesis of Diphenylmaleimide Compounds, E−Z Isomerization, Crystal Structure, and Solid-State Fluorescence. J. Org. Chem. 2004, 69, 6455–6462. [Google Scholar] [CrossRef] [PubMed]
- Gowda, N.; Kammasandra, S.; Nagappa, M.K. Preparation and Curing Studies of Maleimide Bisphenol-A Based Epoxy Resins. Bull. Korean Chem. Soc. 2006, 27, 1542–1548. [Google Scholar]
- Pfeifer, S.; Lutz, J.F. Development of a Library of N-Substituted Maleimides for the Local Functionalization of Linear Polymer Chains. Chem. Eur. J. 2008, 14, 10949–10957. [Google Scholar] [CrossRef] [PubMed]
- Pauloehrl, T.; Delaittre, G.; Bastmeyer, M.; Barner-Kowollik, C. Ambient temperature polymer modification by in situ phototriggered deprotection and thiol-ene chemistry. Polym. Chem. 2012, 3, 1740–1749. [Google Scholar] [CrossRef]
- Mantovani, G.; Lecolley, F.; Tao, L.; Haddleton, D.M.; Clerx, J.; Cornelissen, J.J.L.M.; Velonia, K. Design and Synthesis of N-Maleimido-Functionalized Hydrophilic Polymers via Copper-Mediated Living Radical Polymerization: A Suitable Alternative to PEGylation Chemistry. J. Am. Chem. Soc. 2005, 127, 2966–2973. [Google Scholar] [CrossRef] [PubMed]
- Asadirad, A.M.; Boutault, S.; Erno, Z.; Branda, N.R. Controlling a Polymer Adhesive Using Light and a Molecular Switch. J. Am. Chem. Soc. 2014, 136, 3024–3027. [Google Scholar] [CrossRef] [PubMed]
- Chen, X.; Zheng, Y.; Shen, Y. Natural Products with Maleic Anhydride Structure: Nonadrides, Tautomycin, Chaetomellic Anhydride, and Other Compounds. Chem. Rev. 2007, 107, 1777–1830. [Google Scholar] [CrossRef] [PubMed]
- Argade, N.P.; Naik, R.H. A simple and efficient synthesis of the ras farnesyl-protein transferase inhibitor chaetomellic acid A. Bioorg. Med. Chem. 1996, 4, 881–883. [Google Scholar] [CrossRef]
- Baumann, M.E.; Bosshard, H.; Breitenstein, W.; Rihs, G.; Winkler, T. Mechanismus der decarboxylativen Dimerisierung von Maleinsäureanhydrid zu Dimethylmaleinsäureanhydrid unter Einfluss von 2-Aminopyridin. Helv. Chim. Acta 1984, 67, 1897–1905. [Google Scholar] [CrossRef]
- Reddy, P.Y.; Kondo, S.; Toru, T.; Ueno, Y. Lewis Acid and Hexamethyldisilazane-Promoted Efficient Synthesis of N-Alkyl- and N-Arylimide Derivatives. J. Org. Chem. 1997, 62, 2652–2654. [Google Scholar] [CrossRef] [PubMed]
- Van Scherpenzeel, M.; van den Bergb, R.J.B.H.N.; Donker-Koopmanc, W.E.; Liskampa, R.M.J.; Aertsc, J.M.F.G.; Overkleeftb, H.S.; Pieters, R.J. Nanomolar affinity, iminosugar-based chemical probes for specific labeling of lysosomal glucocerebrosidase. Bioorg. Med. Chem. 2010, 18, 267–273. [Google Scholar] [CrossRef] [PubMed]
- Finkelstein, H. Darstellung organischer Jodide aus den entsprechenden Bromiden und Chloriden. Ber. Dtsch. Chem. Ges. 1910, 43, 1528–1532. [Google Scholar] [CrossRef]
- Uhl, W.; Bock, H.R.; Breher, F.; Claesener, M.; Haddadpour, S.; Jasper, B.; Hepp, A. Hydrogallation of Trimethylsilylethynylbenzenes: Generation of Potential Di- and Tripodal Chelating Lewis Acids. Organometallics 2007, 26, 2363–2369. [Google Scholar] [CrossRef]
- Yoosaf, K.; Llanes-Pallas, A.; Marangoni, T.; Belbakra, A.; Marega, R.; Botek, E.; Champagne, B.; Bonifazi, D.; Armaroli, N. From Molecular to Macroscopic Engineering: Shaping Hydrogen-Bonded Organic Nanomaterials. Chem. Eur. J. 2011, 17, 3262–3273. [Google Scholar] [CrossRef] [PubMed]
- Lun, D.J.; Waterhouse, G.I.N.; Telfer, S.G. A General Thermolabile Protecting Group Strategy for Organocatalytic Metal-Organic Frameworks. J. Am. Chem. Soc. 2011, 133, 5806–5809. [Google Scholar] [CrossRef] [PubMed]
- Thaqi, A.; McCluskey, A.; Scott, J.L. A mild Boc deprotection and the importance of a free carboxylate. Tetrahedron Lett. 2008, 49, 6962–6964. [Google Scholar] [CrossRef]
- Wan, Y.; Alterman, M.; Larhed, M.; Hallberg, A. Dimethylformamide as a Carbon Monoxide Source in Fast Palladium-Catalyzed Aminocarbonylations of Aryl Bromides. J. Org. Chem. 2002, 67, 6232–6235. [Google Scholar] [CrossRef] [PubMed]
- Wuts, P.G.M.; Greene, T.W. Greene’s Protective Group in Organic Synthesis, 4th ed.; John Wiley & Sons: New York, NY, USA, 2007. [Google Scholar]
- Sample Availability: Samples of the compounds are not available from the authors.
© 2015 by the authors. Licensee MDPI, Basel, Switzerland. This article is an open access article distributed under the terms and conditions of the Creative Commons Attribution license ( http://creativecommons.org/licenses/by/4.0/).
Share and Cite
Mattioli, C.; Gourdon, A.; Group, N. Maleimides Designed for Self-Assembly and Reactivity on Graphene. Molecules 2015, 20, 18856-18869. https://doi.org/10.3390/molecules201018856
Mattioli C, Gourdon A, Group N. Maleimides Designed for Self-Assembly and Reactivity on Graphene. Molecules. 2015; 20(10):18856-18869. https://doi.org/10.3390/molecules201018856
Chicago/Turabian StyleMattioli, Cristina, André Gourdon, and NanoSciences Group. 2015. "Maleimides Designed for Self-Assembly and Reactivity on Graphene" Molecules 20, no. 10: 18856-18869. https://doi.org/10.3390/molecules201018856
APA StyleMattioli, C., Gourdon, A., & Group, N. (2015). Maleimides Designed for Self-Assembly and Reactivity on Graphene. Molecules, 20(10), 18856-18869. https://doi.org/10.3390/molecules201018856
