Phytotoxic Potential and Biological Activity of Three Synthetic Coumarin Derivatives as New Natural-Like Herbicides
Abstract
:1. Introduction
2. Results
2.1. Synthesis of 3-[(Methoxycarbonyl)methyl]coumarins 1–3


2.2. Bioassays on Weeds
2.2.1. Weed Germination Bioassay
2.2.2. Root Growth Bioassay
| Physiological Process | A. retroflexus | E. crus-galli | ||||
|---|---|---|---|---|---|---|
| GT (%) | 1 | 2 | 3 | 1 | 2 | 3 |
| 0 µM | 100 (0.0) a | 100 (0.0) a | 100 (0.0) a | 100 (0.0) a | 100 (0.0) a | 100 (0.0) a |
| 50 µM | 81.8 (3.6) b | 66 (5.1) b | 94 (4.1) a,b | 87.8 (4.9) b | 59.5 (7.9) b | 92 (4.9) ab |
| 100 µM | 0 (0.0) c | 8 (3.7) c | 84 (3.8) b | 54 (3.0) c | 46.5 (6.3) b | 54 (3.0) b |
| 200 µM | 0 (0.0) c | 0 (0.0) d | 0 (0.0) c | 0 (0.0) d | 0 (0.0) c | 10.2 (3.2) c |
| 400 µM | 0 (0.0) c | 0 (0.0) d | 0 (0.0) c | 0 (0.0) d | 0 (0.0) c | 0 (0.0) d |
| 800 µM | 0 (0.0) c | 0 (0.0) d | 0 (0.0) c | 0 (0.0) d | 0 (0.0) c | 0 (0.0) d |
| ED50 (µM) | 53.8 (1.3) a | 58 (1.6) a | 115.3 (5.8) b | 104.6 (2.4) b | 72.3 (7.6) a | 104.9 (3.4) b |
| S | ||||||
| 0 µM | 100 (0.0) a | 100 (0.0) a | 100 (0.0) a | 100 (0.0) a | 100 (0.0) a | 100 (0.0) a |
| 50 µM | 42.5 (2.4) b | 37.2 (2.4) b | 57.3 (2.5) b | 65.5 (4.1) b | 42.2 (5.1) b | 57.5 (3.9) b |
| 100 µM | 0 (0.0) c | 3.6 (1.8) c | 41.9 (1.9) b | 35.2 (3.8) c | 23.9 (3.4) c | 25.8 (1.7) c |
| 200 µM | 0 (0.0) c | 0 (0.0) c | 0 (0.0) c | 0 (0.0) d | 0 (0.0) d | 4.7 (1.5) d |
| 400 µM | 0 (0.0) c | 0 (0.0) c | 0 (0.0) c | 0 (0.0) d | 0 (0.0) d | 0 (0.0) d |
| 800 µM | 0 (0.0) c | 0 (0.0) c | 0 (0.0) c | 0 (0.0) d | 0 (0.0) d | 0 (0.0) d |
| AS | ||||||
| 0 µM | 100 (0.0) a | 100 (0.0) a | 100 (0.0) a | 100 (0.0) a | 100 (0.0) a | 100 (0.0) a |
| 50 µM | 31.1 (1.9) b | 29.7 (2.1) b | 51.3 (2.2) b | 55.5 (4.6) b | 38.5 (4.6) b | 47.2 (3.4) b |
| 100 µM | 0 (0.0) c | 2.1(1.0) c | 30.1 (1.3) c | 24.6 (3.9) c | 14.3 (2.4) c | 15.2 (1.4) c |
| 200 µM | 0 (0.0) c | 0 (0.0) c | 0 (0.0) d | 0 (0.0) d | 0 (0.0) d | 2.7 (0.9) d |
| 400 µM | 0 (0.0) c | 0 (0.0) c | 0 (0.0) d | 0 (0.0) d | 0 (0.0) d | 0 (0.0) d |
| 800 µM | 0 (0.0) c | 0 (0.0) | 0 (0.0) d | 0 (0.0) d | 0 (0.0) d | 0 (0.0) d |
| TRL (cm) | ||||||
| 0 µM | 100 (0.0) a | 100 (0.0) a | 100 (0.0) a | 100 (0.0) a | 100 (0.0) a | 100 (0.0) a |
| 50 µM | 76.9 (5.0) b | 67.1 (2.0) b | 83.9 (5.1) b | 69.5 (3.9) b | 74.9 (11.6) b | 75.3 (2.7) b |
| 100 µM | 63.5 (1.6) c | 47.5 (2.9) c | 51.2 (0.6) c | 56.8 (5.0) c | 47.8 (10.1) b | 49.8 (4.5) c |
| 200 µM | 46.4 (3.5) d | 41.6 (1.0) c | 36.8 (0.6) d | 25.1 (4.2) d | 21.6 (2.6) c | 26.3 (1.7) d |
| 400 µM | 27 (2.3) e | 20.8 (1.6) d | 22.6 (1.4) e | 9.4 (2.2) e | 6.9 (1.1) d | 14.2 (2.9) e |
| 800 µM | 8.7 (1.3) f | 7.1 (2.2) e | 7.7 (0.8) f | 4.2 (0.7) f | 4.7 (0.4) e | 4.7 (0.6) f |
| ED50 (µM) | 164 (9.4) c | 105.8 (8.9) a | 126.4 (9.4) b | 104 (6.3) a | 94.7 (7.4) a | 101.8 (4.3) a |
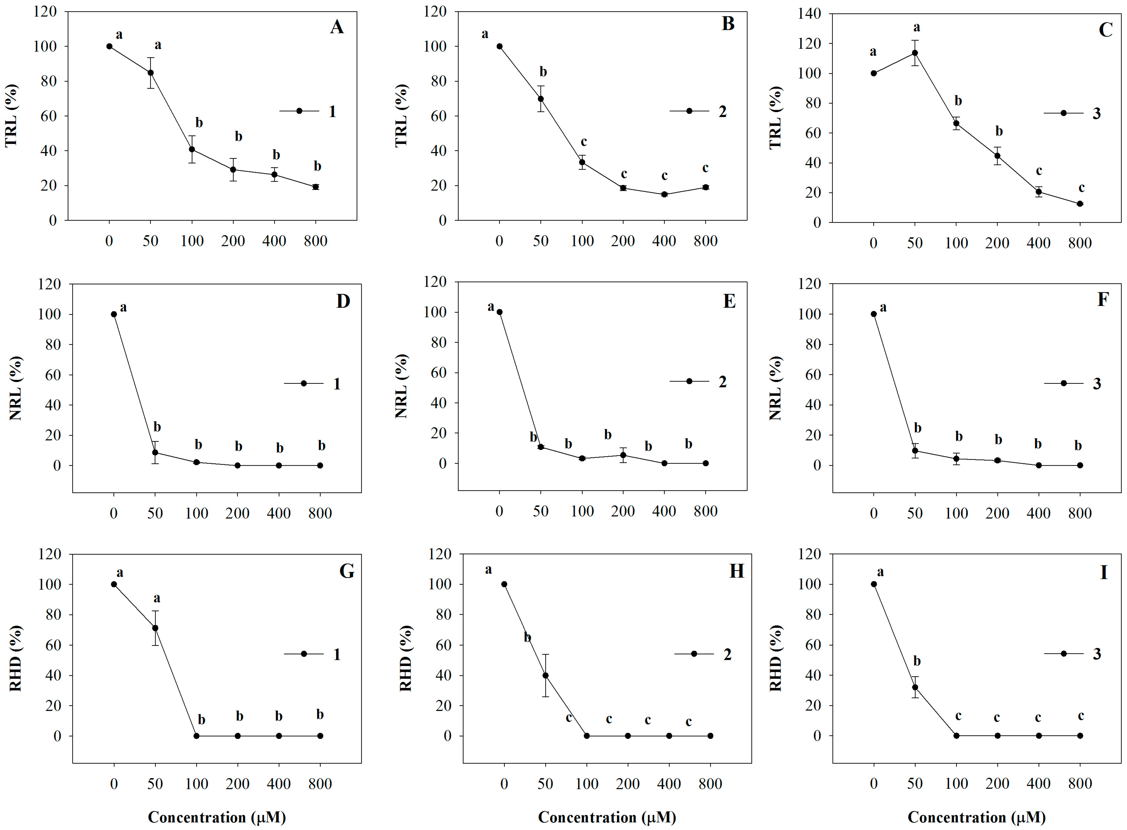
2.3. Bioassays of Arabidopsis thaliana
2.3.1. Effects of the Synthetic Coumarins on Fresh Weight, Leaf Number and Pigments Content
| Molecules | ED50 (µM) | |||
|---|---|---|---|---|
| SFW | TRL | NLR | RHD | |
| 1 | 26.01 (0.16) a | 111.29 (19.3) ab | 42.49 (0.75) a | 55.36 (0.28) a |
| 2 | 53.07 (0.76) b | 74.24 (10.1) a | 43.56 (0.89) a | 56.18 (0.78) a |
| 3 | 59.27 (0.22) b | 173 (18.78) b | 43.34 (0.12) a | 49.27 (0.46) a |



2.3.2. Root Growth and Morphology


2.3.3. Number of Mitotic Sites

3. Discussion
4. Experimental Section
4.1. General Information
4.2. Bioassays on Weeds
4.2.1. Seed Germination Bioassay
4.2.2. Root Elongation Bioassay
4.3. Bioassays of Arabidopsis thaliana
4.3.1. Seedling Growth Bioassays
4.3.2. Determination of Mitotic Sites
4.3.3. Pigment Quantification
4.4. Statistical Analysis
5. Conclusions
Acknowledgments
Author Contributions
Conflicts of Interest
References
- Tilman, D.; Cassman, K.G.; Matson, P.A.; Naylor, R.; Polasky, S. Agricultural sustainability and intensive production practices. Nature 2002, 418, 671–677. [Google Scholar] [PubMed]
- Gressel, J. Global advances in weed management. J. Agric. Sci. 2011, 149, 47–53. [Google Scholar]
- Charudattan, R. Biological control of weeds by means of plant pathogens: Significance for integrated weed management in modern agro-ecology. Bio-Control 2001, 46, 229–260. [Google Scholar]
- Rajcan, I.; Swanton, C.J. Understanding maize–weed competition: Resource competition, light quality and the whole plant. Field Crops Res. 2001, 71, 139–150. [Google Scholar] [CrossRef]
- Monaco, T.J.; Weller, S.C.; Ashton, F.M. Weed Science: Principles and Practices, 4th ed.; John Wiley & Sons, Inc.: New York, NY, USA, 2002. [Google Scholar]
- Kraehmer, H.; Laber, B.; Rosinger, C.; Schulz, A. Herbicides as weed control agents: State of the art: I. Weed control research and safener technology: The path to modern agriculture. Plant Physiol. 2014, 166, 1119–1131. [Google Scholar] [CrossRef] [PubMed]
- Bennett, R.; Phipps, R.; Strange, A.; Grey, P. Environmental and human health impacts of growing genetically modified herbicide-tolerant sugar beet: A life-cycle assessment. Plant Biotechbol. J. 2004, 2, 273–278. [Google Scholar] [CrossRef] [PubMed]
- Duke, S.O. The future of natural products in pest management. In Abstracts of Papers, Proceedings of the 230th ACS National Meeting, Washington, DC, USA, 31 August 2005.
- Dayan, F.E.; Owens, D.K.; Duke, S.O. Rationale for a natural products approach to herbicide discovery. Pest Manag. Sci. 2012, 68, 519–528. [Google Scholar] [CrossRef] [PubMed]
- Lee, D.L.; Prisbylla, M.P.; Cromartie, T.H.; Dagarin, D.P.; Howard, S.W.; Provan, W.M.; Mutter, L.C. The discovery and structural requirements of inhibitors of p-hydroxyphenylpyruvate dioxygenase. Weed Sci. 1997, 45, 601–609. [Google Scholar]
- Cornes, D. Callisto: A very successful maize herbicide inspired by allelochemistry. In Proceedings of the Fourth World Congress on Allelopathy, Wagga Wagga, NSW, Australia, 21–26 August 2005; Volume 2, p. 2008.
- Duke, S.O. The role of natural products in crop protection. Planta Med. 2014, 80, 751. [Google Scholar] [CrossRef]
- Grossmann, K.; Hutzler, J.; Tresch, S.; Christiansen, N.; Looser, R.; Ehrhardt, T. On the mode of action of the herbicides cinmethylin and 5-benzyloxymethyl-1, 2-isoxazolines: Putative inhibitors of plant tyrosine aminotransferase. Pest Manag. Sci. 2012, 68, 482–492. [Google Scholar] [CrossRef] [PubMed]
- Kawada, H.; Sasaki, M. Pelargonic Acid-Containing Liquid Agents for Weed Control. Patent JP 2011001337, 7 March 2011. [Google Scholar]
- Huang, H.; Asolkar, R. Use of Sarmentine and Its Analogs for Controlling Plant Pests. Patent WO 2011011415, 27 January 2011. [Google Scholar]
- Bessette, S. Pesticidal Compositions Containing Plant Essential Oils Against Beetles. Patent US 20030091661, 13 December.
- Zobel, A.M.; Brown, S.A. Coumarins in the interaction between plants and its environment. Allelopathy J. 1995, 2, 9–20. [Google Scholar]
- Rice, E.L. Allelopathy, 2nd ed.; Academic Press: New York, NY, USA, 1984. [Google Scholar]
- Mahmood, K.; Khan, M.B.; Song, Y.Y.; Ye, M.; Baerson, S.R.; Zeng, R.S. Differential morphological, cytological, and biochemical responses of two rice cultivars to coumarin. Allelopathy J. 2013, 31, 281–296. [Google Scholar]
- Razavi, S.M. Plant coumarins as allelopathic agents. Int. J. Biol. Chem. 2011, 5, 86–90. [Google Scholar] [CrossRef]
- Calera, M.R.; Mata, R.; Lotina-Hennsen, B.; Anaya, A.L. Uncoupling behavior of the 4-phenylcoumarin in spinach chloroplasts: Structure-activity relationships. J. Agric. Food Chem. 1996, 44, 2966–2969. [Google Scholar] [CrossRef]
- Abenavoli, M.R.; de Santis, C.; Sidari, M.; Sorgonà, A.; Badiani, M.; Cacco, G. Influence of coumarin on the net nitrate uptake in durum wheat. New Phytol. 2001, 150, 619–627. [Google Scholar] [CrossRef]
- Abenavoli, M.R.; Sorgonà, A.; Sidari, M.; Badiani, M.; Fuggi, A. Coumarin inhibits the growth of carrot (Daucus carota L. cv. Saint Valery) cells in suspension culture. J. Plant Physiol. 2003, 160, 227–237. [Google Scholar] [CrossRef] [PubMed]
- Abenavoli, M.R.; Cacco, G.; Sorgonà, A.; Marabottini, R.; Paolacci, A.R.; Ciaffi, M.; Badiani, M. The inhibitory effects of coumarin on the germination of durum wheat (Triticum turgidum ssp. durum, CV. Simeto) seeds. J. Chem. Ecol. 2006, 32, 489–506. [Google Scholar] [CrossRef] [PubMed]
- Pergo, E.M.; Abrahim, D.; da Silva, P.C.S.; Kern, K.A.; da Silva, L.J.; Voll, E.; Ishii-Iwamoto, E.L. Bidens pilosa L. exhibits high sensitivity to coumarin in comparison with three other weed species. J. Chem. Ecol. 2008, 34, 499–507. [Google Scholar] [CrossRef] [PubMed]
- Li, X.; Gruber, M.Y.; Hegedus, D.D.; Lydiate, D.J.; Gao, M.J. Effects of a coumarin derivative, 4-methylumbelliferone, on seed germination and seedling establishment in Arabidopsis. J. Chem. Ecol. 2011, 37, 880–890. [Google Scholar] [CrossRef] [PubMed]
- Kupidlowska, E.; Kowalec, M.; Sulkowski, G.; Zobel, A.M. The effect of coumarins on root elongation and ultrastructure of meristematic cell protoplast. Ann. Bot. 1994, 73, 525–530. [Google Scholar] [CrossRef]
- Abenavoli, M.R.; Sorgonà, A.; Albano, S.; Cacco, G. Coumarin differentially affects the morphology of different root types of maize seedlings. J. Chem. Ecol. 2004, 30, 1871–1883. [Google Scholar] [CrossRef] [PubMed]
- Abenavoli, M.R.; Nicolò, A.; Lupini, A.; Oliva, S.; Sorgonà, A. Effects of different allelochemicals on root morphology of Arabidopsis thaliana. Allelopathy J. 2008, 22, 245–252. [Google Scholar]
- Brown, S.A. Biochemistry of plant coumarins. In The Shikimic Acid Pathway; Springer: New York, NY, USA, 1986; pp. 287–316. [Google Scholar]
- Gabriele, B.; Salerno, G.; Costa, M.; Chiusoli, G.P. Recent developments in the synthesis of heterocyclic derivatives by PdI2-catalyzed carbonylation reactions. J. Organomet. Chem. 2003, 687, 219–228. [Google Scholar] [CrossRef]
- Gabriele, B.; Salerno, G.; Costa, M.; Chiusoli, G.P. Recent advances in the synthesis of carbonyl compounds by palladium-catalyzed oxidative carbonylation reactions of unsaturated substrates. Curr. Org. Chem. 2004, 8, 919–946. [Google Scholar] [CrossRef]
- Gabriele, B.; Salerno, G.; Costa, M. PdI2-catalyzed synthesis of heterocycles. Synlett 2004, 14, 2468–2483. [Google Scholar] [CrossRef]
- Gabriele, B.; Salerno, G.; Costa, M. Oxidative carbonylations. Top. Organomet. Chem. 2006, 18, 239–272. [Google Scholar]
- Gabriele, B.; Mancuso, R.; Salerno, G. Oxidative carbonylation as a powerful tool for the direct synthesis of carbonylated heterocycles. Eur. J. Org. Chem. 2012, 35, 6825–6839. [Google Scholar] [CrossRef]
- Gabriele, B.; Mancuso, R.; Salerno, G.; Plastina, P. A novel palladium-catalyzed dicarbonylation process leading to coumarines. J. Org. Chem. 2008, 73, 756–759. [Google Scholar] [CrossRef] [PubMed]
- Nazemi, A.H.; Asadi, G.A.; Ghorbani, R. Herbicidal activity of coumarin when applied as a pre-plant incorporated into soil. Not. Sci. Biol. 2015, 7, 239–243. [Google Scholar]
- Chon, S.U.; Kim, Y.M. Herbicidal potential and quantification of suspected allelochemicals from four grass crop extracts. J. Agric. Crop Sci. 2004, 190, 145–150. [Google Scholar] [CrossRef]
- Mishra, A. Allelopathy: Natural and an environment-friendly unique tool for weed control. Int. J. Adv. Res. Eng. Appl. Sci. 2015, 4, 26–31. [Google Scholar]
- Haig, T.J.; Haig, T.J.; Seal, A.N.; Pratley, J.E.; An, M.; Wu, H. Lavender as a source of novel plant compounds for the development of a natural herbicide. J. Chem. Ecol. 2009, 35, 1129–1136. [Google Scholar] [CrossRef] [PubMed]
- Williams, R.D.; Hoagland, R.E. The effects of naturally occurring phenolic compounds on seed germination. Weed Sci. 1982, 30, 206–212. [Google Scholar]
- Chon, S.U.; Choi, S.K.; Jung, S.; Jang, H.G.; Pyo, B.S.; Kim, S.M. Effects of alfalfa leaf extracts and phenolic allelochemicals on early seedling growth and root morphology of alfalfa and barnyard grass. Crop Prot. 2002, 21, 1077–1082. [Google Scholar] [CrossRef]
- Prabodh, S.; Prajwal, P.; Ananad, K.; Bimala, L.; Noura, S.D.; Debra, M.M.; William, N.S. Bioactivities of volatile components from Nepalese Artemisia species. Nat. Prod. Commun. 2012, 7, 1651–1658. [Google Scholar]
- Khanh, T.D.; Chung, I.M.; Tawata, S.; Xuan, T.D. Weed suppression by Passiflora edulis and its potential allelochemicals. Weed Res. 2006, 46, 296–303. [Google Scholar] [CrossRef]
- Saleh, A.M.; El-Soud, W.A. Evidence for “gibberellin-like” activity of coumarin. S. Afr. J. Bot. 2015, 100, 51–57. [Google Scholar] [CrossRef]
- Nebo, L.; Varela, R.M.; Molinillo, J.M.; Sampaio, O.M.; Severino, V.G.; Cazal, C.M.; das Graças Fernandes, M.F.; Fernandes, J.B.; Macias, F.A. Phytotoxicity of alkaloids, coumarins and flavonoids isolated from 11 species belonging to the Rutaceae and Meliaceae families. Phytochem. Lett. 2014, 8, 226–232. [Google Scholar] [CrossRef]
- Pennacchio, M.; Jefferson, L.V.; Havens, K. Arabidopsis thaliana: A new test species for phytotoxic bioassays. J. Chem. Ecol. 2005, 31, 1877–1885. [Google Scholar] [CrossRef] [PubMed]
- Michniewicz, M.; Brewer, P.B.; Friml, J. Polar auxin transport and asymmetric auxin distribution. In The Arabidopsis Book; American Society of Plant Biologists: Rockville, MD, USA, 2007. [Google Scholar]
- Sánchez-Moreiras, A.M.; Martínez-Peñalver, A.; Reigosa, M.J. Early senescence induced by 2-3H-benzoxazolinone (BOA) in Arabidopsis thaliana. J. Plant Physiol. 2011, 168, 863–870. [Google Scholar] [CrossRef]
- Schulz, M.; Marocco, A.; Tabaglio, V.; Macias, F.A.; Molinillo, J.M. Benzoxazinoids in rye allelopathy-from discovery to application in sustainable weed control and organic farming. J. Chem. Ecol. 2013, 39, 154–174. [Google Scholar] [CrossRef]
- Pratt, K.; Kumar, P.; Chilton, W.S. Cyclic hydroxamic acids in dicotyledonous plants. Biochem. System. Ecol. 1995, 23, 781–785. [Google Scholar] [CrossRef]
- Macías, F.A.; Marín, D.; Oliveros-Bastidas, A.; Molinillo, J.M. Optimization of benzoxazinones as natural herbicide models by lipophilicity enhancement. J. Agric. Food Chem. 2006, 54, 9357–9365. [Google Scholar] [CrossRef]
- Macías, F.A.; Marín, D.; Oliveros-Bastidas, A.; Molinillo, J.M. Rediscovering the bioactivity and ecological role of 1,4-benzoxazinones. Nat. Prod. Rep. 2009, 26, 478–489. [Google Scholar] [CrossRef] [PubMed]
- Knypl, J.S. Control of RNA, protein, and chlorophyll synthesis in senescing leaf tissue of kale by coumarin and growth retardants. Physiol. Biochem. 1969, 160, 217–233. [Google Scholar]
- Knypl, J.S. Inhibition of chlorophyll synthesis by growth retardants and coumarin, and its reversal by potassium. Nature 1969, 1025–1026. [Google Scholar] [CrossRef]
- Mata, R.; Pereda-Miranda, R.; Lotina-Hennsen, B. Natural products from mexican plants as a source of potential herbicide agents. In Secondary Metabolites from Mexican Plants: Chemistry and Biological Properties; RodriguezHahn, L., Ed.; Research Signpost: Trivandum, India, 1996; pp. 59–68. [Google Scholar]
- Lotina-Hennsen, B.; Mata, R.; Calderon, J.S.; CéspedesAcuna, C.L.; Jiménez-Estrada, M. Secondary metabolites isolated from mexican plants: Target and mechanism of action on photosynthesis. Recent. Res. Dev. Agric. Food Chem. 1998, 2, 731–749. [Google Scholar]
- Macias, M.L.; Rojas, I.S.; Mata, R.; Lotina-Hennsen, B. Effect of selected coumarins on spinach chloroplast photosynthesis. J. Agric. Food Chem. 1999, 47, 2137–2140. [Google Scholar] [CrossRef]
- Gitelson, A.A.; Peng, Y.; Arkebauer, T.J.; Schepers, J. Relationships between gross primary production, green LAI, and canopy chlorophyll content in maize: Implications for remote sensing of primary production. Remote Sens. Environ. 2014, 144, 65–72. [Google Scholar] [CrossRef]
- Zhou, X.; Song, H.; Wang, J. Effects of coumarin on net nitrate uptake and nitrogen metabolism in roots of alfalfa (Medicago sativa). Allelopathy J. 2013, 31, 377. [Google Scholar]
- Yu, J.Q.; Matsui, Y. Effects of root exudates of cucumber (Cucumis sativus) and allelochemicals on ion uptake by cucumber seedlings. J. Chem. Ecol. 1997, 23, 817–827. [Google Scholar] [CrossRef]
- Lehman, M.E.; Blum, U. Evaluation of ferulic acid uptake as a measurement of allelochemical dose: Effective concentration. J. Chem. Ecol. 1999, 25, 2585–2600. [Google Scholar] [CrossRef]
- Furutani, I.; Watanabe, Y.; Prieto, R.; Masukawa, M.; Suzuki, K.; Naoi, K.; Thitamadee, S.; Shikanai, T.; Hashimoto, T. The SPIRAL genes are required for directional control of cell elongation in Arabidopsis thaliana. Development 2000, 127, 4443–4453. [Google Scholar]
- Sugimoto, K.; Himmelspach, R.; Williamson, R.E.; Wasteneys, G.O. Mutation or drug-dependent microtubule disruption causes radial swelling without altering parallel cellulose microfibril deposition in Arabidopsis root cells. Plant Cell 2003, 15, 1414–1429. [Google Scholar] [PubMed]
- Baskin, T.I.; Beemster, G.T.; Judy-March, J.E.; Marga, F. Disorganization of cortical microtubules stimulates tangential expansion and reduces the uniformity of cellulose microfibril alignment among cells in the root of Arabidopsis. Plant Physiol. 2004, 135, 2279–2290. [Google Scholar] [CrossRef]
- Smith, R.D.; Wilson, J.E.; Walker, J.C.; Baskin, T.I. Protein phosphatase inhibitors block root hair development and alter cell shape in Arabidopsis roots. Planta 1994, 194, 516–524. [Google Scholar] [CrossRef]
- Baskin, T.I.; Wilson, J.E. Inhibitors of protein kinases and phosphatases alter root morphology and disorganize cortical microtubules. Plant Physiol. 1997, 113, 493–502. [Google Scholar] [CrossRef] [PubMed]
- Nibau, C.; Gibbs, D.J.; Coates, J.C. Branching out in new directions: The control of root architecture by lateral root formation. New Phytol. 2008, 179, 595–614. [Google Scholar] [CrossRef]
- Ivanchenko, M.G.; Muday, G.K.; Dubrovsky, J.G. Ethylene–auxin interactions regulate lateral root initiation and emergence in Arabidopsis thaliana. The Plant J. 2008, 55, 335–347. [Google Scholar] [CrossRef] [PubMed]
- Araniti, F.; Mancuso, R.; Ziccarelli, I.; Sunseri, F.; Abenavoli, M.R.; Gabriele, B. 3-(Methoxycarbonylmethylene) isobenzofuran-1-imines as a new class of potential herbicides. Molecules 2014, 19, 8261–8275. [Google Scholar] [CrossRef] [PubMed]
- Iamonico, D. Biology, life-strategy and invasiveness of Amaranthus retroflexus L. (Amaranthaceae) in central Italy: Preliminary remarks. Bot. Serbica 2010, 34, 137–145. [Google Scholar]
- Kim, S.K.; Kim, S.Y.; Won, J.G.; Shin, J.H.; Kim, H.Y. Effect of densities of Echinochloa crus-galli and Cyperus serotinus in direct-seeding flooded rice on rice yield and quality, and economic threshold level of the weeds. Korean J. Weed Sci. 2012, 32, 44–51. [Google Scholar] [CrossRef]
- Chiapusio, G.; Sanchez, A.M.; Reigosa, M.J.; Gonzalez, L.; Pellissier, F. Do germination indices adequately reflect allelochemical effects on the germination process? J. Chem. Ecol. 1997, 23, 2445–2453. [Google Scholar]
- Araniti, F.; Marrelli, M.; Lupini, A.; Mercati, F.; Statti, G.A.; Abenavoli, M.R. Phytotoxic activity of Cachrys pungens Jan, a mediterranean species: Separation, identification and quantification of potential allelochemicals. Acta Physiol. Plant. 2014, 36, 1071–1083. [Google Scholar] [CrossRef]
- Araniti, F.; Sunseri, F.; Abenavoli, M.R. Phytotoxic activity and phytochemical characterization of Lotus ornithopodioides L., a spontaneous species of Mediterranean area. Phytochem. Lett. 2014, 8, 179–183. [Google Scholar] [CrossRef]
- Araniti, F.; Graña, E.; Reigosa, M.J.; Sánchez-Moreiras, A.M.; Abenavoli, M.R. Individual and joint activity of terpenoids, isolated from Calamintha nepeta extract, on Arabidopsis thaliana. Nat. Prod. Res. 2013, 27, 2297–2303. [Google Scholar] [CrossRef] [PubMed]
- Canellas, L.P.; Olivares, F.L.; Okorokova-Façanha, A.L.; Façanha, A.R. Humic acids isolated from earthworm compost enhance root elongation, lateral root emergence, and plasma membrane H+-ATPase activity in maize roots. Plant Physiol. 2002, 130, 1951–1957. [Google Scholar] [CrossRef] [PubMed]
- Wellburn, A.R. The spectral determination of chlorophylls a and b, as well as total carotenoids, using various solvents with spectrophotometers of different resolution. J. Plant Physiol. 1994, 144, 307–313. [Google Scholar] [CrossRef]
- Araniti, F.; Lupini, A.; Sorgonà, A.; Conforti, F.; Marrelli, M.; Statti, G.A.; Menichini, F.; Abenavoli, M.R. Allelopathic potential of Artemisia arborescens: Isolation, identification and quantification of phytotoxic compounds through fractionation-guided bioassays. Nat. Prod. Res. 2013, 27, 880–887. [Google Scholar] [CrossRef]
- Sample Availability: Samples of the compounds 1–3 are available from the authors.
© 2015 by the authors. Licensee MDPI, Basel, Switzerland. This article is an open access article distributed under the terms and conditions of the Creative Commons Attribution license ( http://creativecommons.org/licenses/by/4.0/).
Share and Cite
Araniti, F.; Mancuso, R.; Lupini, A.; Giofrè, S.V.; Sunseri, F.; Gabriele, B.; Abenavoli, M.R. Phytotoxic Potential and Biological Activity of Three Synthetic Coumarin Derivatives as New Natural-Like Herbicides. Molecules 2015, 20, 17883-17902. https://doi.org/10.3390/molecules201017883
Araniti F, Mancuso R, Lupini A, Giofrè SV, Sunseri F, Gabriele B, Abenavoli MR. Phytotoxic Potential and Biological Activity of Three Synthetic Coumarin Derivatives as New Natural-Like Herbicides. Molecules. 2015; 20(10):17883-17902. https://doi.org/10.3390/molecules201017883
Chicago/Turabian StyleAraniti, Fabrizio, Raffaella Mancuso, Antonio Lupini, Salvatore V. Giofrè, Francesco Sunseri, Bartolo Gabriele, and Maria Rosa Abenavoli. 2015. "Phytotoxic Potential and Biological Activity of Three Synthetic Coumarin Derivatives as New Natural-Like Herbicides" Molecules 20, no. 10: 17883-17902. https://doi.org/10.3390/molecules201017883
APA StyleAraniti, F., Mancuso, R., Lupini, A., Giofrè, S. V., Sunseri, F., Gabriele, B., & Abenavoli, M. R. (2015). Phytotoxic Potential and Biological Activity of Three Synthetic Coumarin Derivatives as New Natural-Like Herbicides. Molecules, 20(10), 17883-17902. https://doi.org/10.3390/molecules201017883

