Abstract
Composite materials prepared by loading polycrystalline TiO2 powders with lipophilic highly branched Cu(II)- and metal-free phthalocyanines or porphyrins, which have been used in the past as photocatalysts for photodegradative processes, have been successfully tested for the efficient photoreduction of carbon dioxide in aqueous suspension affording significant amounts of formic acid. The results indicated that the presence of the sensitizers is beneficial for the photoactivity, confirming the important role of Cu(II) co-ordinated in the middle of the macrocycles. A comparison between Cu(II) phthalocyanines and Cu(II) porphyrins indicated that the Cu(II)- phthalocyanine sensitizer was more efficient in the photoreduction of CO2 to formic acid, probably due to its favorable reduction potential.
1. Introduction
Carbon dioxide (CO2) is a well-known greenhouse gas which can be emitted to the environment by natural sources as well as by human activities. It could be considered one of the simplest alternative feedstocks, and has thus attracted the interest of industrial and academic researchers due to its low cost and worldwide availability.
The production of chemicals from CO2 would not only preserve the oil reserves but also would reduce the CO2 emissions [1,2]. As it is well known, CO2 is extremely thermodynamically stable, and for this reason its reduction is a difficult task.
Some progress has been made to enhance the yield of the reduction by means of various strategies, e.g., by reducing CO2 with H2 in supercritical fluids [3]. The catalytic activation of CO2, however, has been the preferred approach in recent years. In particular the synthesis of formic acid (HCOOH) from CO2 has reached such a state of knowledge that the continued progress of this research may well lead to good practices the treatment of CO2 produced on an industrial scale. A fruitful interaction between investigative work into the reaction mechanism(s) and the development of new catalytic systems would therefore seem desirable [4].
Inoue and co-workers reported pioneering studies concerning the photocatalytic reduction of CO2 in aqueous solution to produce HCOOH, along with other organic molecules, using various semiconductors including titanium dioxide (TiO2) [5].
Photocatalytic reduction of CO2 using photosensitive semiconductor powders has been widely studied in aqueous solutions [6,7,8,9,10,11,12,13,14,15,16,17,18,19,20,21,22] or supercritical fluid [23]. In particular, the photoreduction of CO2 with water into organic compounds using various TiO2 photocatalysts has attracted the major interest.
TiO2 is one of the most widely used photocatalysts in the field of environmental applications due to its low toxicity, ability to resist to photocorrosion, and low cost. However, the large band gap of titania and massive recombination of photogenerated charge carriers limit its overall photocatalytic efficiency.
These problems could be overcome by modifying the electronic band structure of TiO2, which is possible using various strategies like coupling with a narrow band gap semiconductor, metal ion/nonmetal ion doping, co-doping with two or more foreign ions, surface sensitization by organic dyes or metal complexes, and noble metal deposition [2,24].
The presence of suitable modifiers is important in order to perform the photoreduction processes occurring under visible or solar light radiation [25,26,27]. For example CO2 was photocatalytically reduced to produce methanol by using TiO2 and Cu-TiO2 in aqueous suspension under UV irradiation [28]. In other studies an efficient and clean photoreduction to CO was obtained by using enzyme-modified TiO2 nanoparticles under visible light [29].
An alternative strategy might be the use of sensitizers, in order to use visible radiation for the activation of TiO2. Phthalocyanine metalloderivatives (MPcs) or their supramolecular arrangements have recently attracted an increasing interest because they have been used not only as the main species for the preparation of dyes and pigments, but also as the building blocks for the construction of new molecular materials used in various technological applications [30,31,32], including some catalytic ones [33].
In the last years, dye-sensitized TiO2 processes have been employed for solar energy conversion, photocatalysis and (electro)-photography. These technologies can be actually considered affordable because of their relatively low potential costs, low environmental impact, and efficient power conversion [34,35]. The photocatalytic reduction of CO2 under anaerobic conditions, promoted by cobalt and iron phthalocyanines, for instance, produced CO and formate in DMF and acetonitrile solutions [36].
The combination of TiO2 with porphyrins (Pps), metal porphyrins (MPps), phthalocyanines (Pcs), metal phthalocyanines (MPcs) or other structurally similar species, allows one to obtain extremely versatile composite sensitized materials with not only oxidizing properties suitable for photodegrading organic pollutants in water [37,38,39], but also reductive properties to photoreduce CO2 [40,41].
Recently, the photoreduction of CO2 to formic acid in aqueous solution using cobalt (CoPc) and zinc phthalocyanine (ZnPc)-loaded TiO2 synthesized under visible light irradiation has been reported; the quantification of formic acid was performed by UV-Vis spectroscopy [42,43].
The main aim of this work was to compare hybrid photocatalysts, obtained by impregnation of sensitizers (Pcs and Pps) onto the TiO2 surface, previously used successfully for photodegradation reactions [37,38], and to demonstrate how some of them are suitable for an efficient photocatalytic reduction of CO2 to formic acid. In addition a mechanism is proposed for the role of sensitizer, based on the reduction potential values of the macrocycles.
This new class of multipurpose materials (Figure 1) can be actually considered, due to their relatively low potential cost and the efficient power conversion. Their use has a low environmental impact and employs new reaction conditions: in fact the use of organic hole scavengers, previously reported in formic acid photosynthesis from CO2 [44] and also the use of strong alkaline pH values [42,43] is avoided.
Figure 1.
Double activity of CuPc-TiO2.
Figure 1.
Double activity of CuPc-TiO2.

2. Results and Discussion
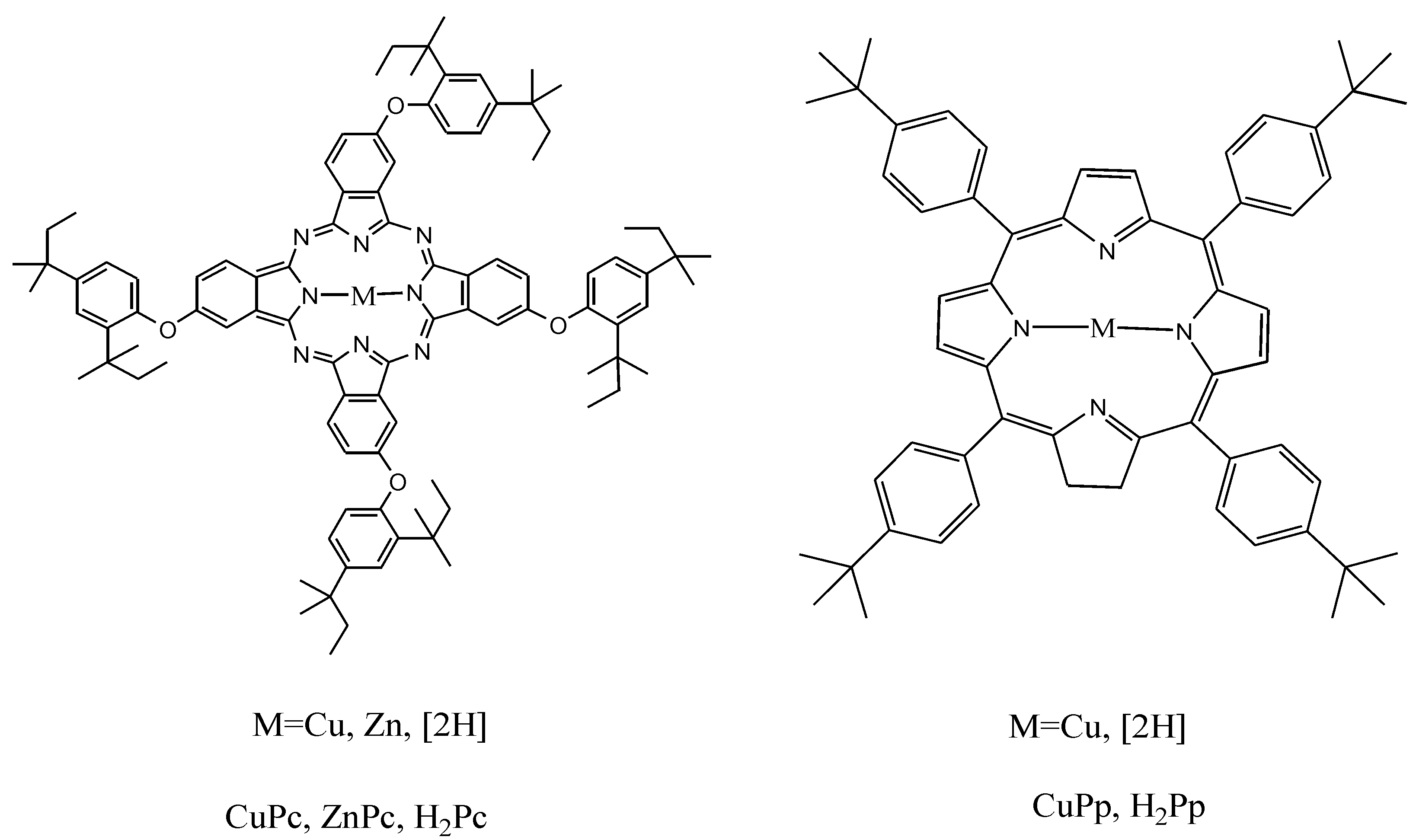
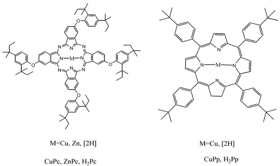
2.1. Structures of the Sensitizers (MPcs, and MPps)
The molecular structures of the metal free and metallo-porhyrins and phthalocyanines used as sensitizers in this work are reported in Figure 2. These compounds were opportunely synthesized, characterized and loaded onto TiO2 as described in the Experimental Section.
Figure 2.
Molecular structure of MPcs and MPps.
Figure 2.
Molecular structure of MPcs and MPps.

2.2. Photoreactivity Experiments
The photoreduction of CO2 to formic acid was chosen as a model reaction in order to evaluate the photocatalytic capabilities of the Pcs/TiO2 and Pps/TiO2 composites in comparison with the pristine TiO2. Three blank tests were carried out, according to the conditions of Process A (see Experimental Section, 3.6.1), in order to ensure that formic acid production derived only from the photoreduction of CO2. The first was carried out by irradiating the reaction system in the absence of catalyst while the second one was run under dark in the presence of catalyst. The third test was performed finally in the absence of CO2 to ensure that the formic acid was not obtained from some other ubiquitous organic species. No hydrocarbon was detected in the above blank tests. Further investigations were carried out in order to establish if the Pps or Pcs supported onto TiO2 were photostable, i.e., if some decomposition of the supported sensitizers occurred under the same conditions used during the photocatalytic experiments.
No significant release of organic degradation sensitizers was observed even after long irradiation times (5–7 h) of the supported sensitizers used and also the sensitizer itself can be recovered quantitatively from the TiO2 surface by extraction with chloroform or dichloromethane. The absence of structural modifications for the phthalocyanine and porphyrins recovered was confirmed by the analytical and spectral data.
The use of ion chromatography to detect formic acid allowed its good separation from the interfering species. Quantification of formic acid by UV-Vis spectroscopy is very difficult, in fact, due to the interference of bicarbonate ions also at very acidic pHs. Optimization of the reaction conditions was performed when CuPc was used as sensitizer. Notably HCOOH was formed when both NaHCO3 and NaHCO313C labelled were used.
A preliminary 13C GC/MS study on formic acid formation was performed using 13C enriched NaHCO3 as described previously (Process B, see Experimental Section, 3.6.2). First, 99% enriched CO2 was generated in situ from labelled bicarbonate by addition of phosphoric acid, then the reaction mixture was irradiated for 8 h.
The use of this particular source of CO2 allowed us only to qualitatively detect the formation of the product. The comparison with an authentic sample of labeled formic acid indicated that the produced formic acid derived from 13CO2 (Figure 3 and Figure 4). The reaction was monitored using the GC/MS in SIM mode acquisition, in this case the main advantage was the increase of the sensitivity of the instrument with respect to the acquisition in “full scan” acquisition.
Figure 3.
Qualitative determination of formic acid performed by GC/MS in SIM Mode analyzing an authentic sample of formic acid-13C 95 wt. % in H2O, 99 atom % 13C.
Figure 3.
Qualitative determination of formic acid performed by GC/MS in SIM Mode analyzing an authentic sample of formic acid-13C 95 wt. % in H2O, 99 atom % 13C.

Figure 4.
Qualitative determination of formic acid performed by GC/MS in SIM Mode analyzing formic acid-13C 9obtained by photoreduction of NaHCO313C labelled.
Figure 4.
Qualitative determination of formic acid performed by GC/MS in SIM Mode analyzing formic acid-13C 9obtained by photoreduction of NaHCO313C labelled.

2.3. Effect of the Amount of Catalyst
In order to determine the effect of the catalyst amount, a set of experiments was carried out by varying the amount of the 6.65-TiO2-CuPc photocatalysts in the range 0.025–0.300 g. The influence of the photocatalyst quantity on formic acid formation is reported in Table 1. It can be observed that 0.025 g represents the amount of catalyst producing the most significant increase of formic acid production if it is compared with bare TiO2 or higher loadings (0.075–0.300 g). Nevertheless a higher quantity, i.e., 0.050 g, was used in the further experiments to avoid difficulties to reproduce the measurements. In the presence of 0.050 g of CuPc-TiO2 sample the yield of formic acid reached the value of 208.5 µmol/gcat after 8 h irradiation, and this figure is close to that obtained by using 0.025 g of catalysts. The value obtained with 0.050 g is higher, however, than those obtained by Ishitani et al. [16], Hirano et al. [17] and Kaneco [23].
Table 1.
Effect of photocatalyst amount on formic acid production efficiency at pH = 3.
| Catalyst a | g of Catalyst | mg/L *(gcat)−1b | μmol/gcat |
|---|---|---|---|
| TiO2-CuPc | 0.300 | 34.6 | 37.6 |
| TiO2-CuPc | 0.150 | 36.0 | 39.2 |
| TiO2-CuPc | 0.075 | 83.4 | 90.6 |
| TiO2-CuPc | 0.050 | 191.8 | 208.5 |
| TiO2-CuPc | 0.025 | 220.4 | 239.5 |
| TiO2 | 0.050 | 120.5 | 131.0 |
| TiO2 | 0.025 | 169.9 | 184.7 |
| TiO2c | 0.050 | - | - |
| TiO2-CuPc c | 0.050 | - | - |
a Quantity of sensitizer = 6.65 μmol/g TiO2; b Irradiation time 8 h; c Reaction carried out in the absence of CO2.
2.4. Effect of the Initial pH
The influence of pH of the aqueous solution on the process efficiency for the formation of formic acid was studied by using three different initial pH values (3, 7 and 13) without changing or checking them throughout the experiments. In Table 2, the results of CO2 photoreduction at different initial pH’s have been reported. The conversion of CO2 into formic acid increased by decreasing the pH value. The highest conversion (CO2 to HCOOH) observed in this work was 0.65% and this value is reasonable when compared with others reported in the literature (0.2%–0.4%) [42].
Table 2.
Effect of initial pH on the production efficiency of formic acid.
| Catalyst a,b | pH | mg/L *(gcat)−1 c | μmol/gcat |
|---|---|---|---|
| TiO2-CuPc | 13 | 60.0 | 65.2 |
| TiO2-CuPc | 7 | 58.3 | 63.4 |
| TiO2-CuPc | 3 | 191.8 | 208.5 |
| TiO2 | 3 | 120.5 | 131.0 |
a Quantity of sensitizer = 6.65 μmol/g TiO2; b Quantity of catalyst = 0.050 g; c Irradiation time 8 h.
It was calculated as ratio of the concentration of formic acid and the concentration of carbon dioxide in water by assuming the solution saturated by CO2 and by considering the relative constant of solubility equal to 1.45 g/L at 298 K. The hydration equilibrium at pH = 3 was negligible, being the constant of hydration equal to 1.70 × 10−3 at 298 K. This finding can be explained by considering both the role of hole scavengers and the reaction mechanism.
It has been widely reported [45,46,47,48,49] that the presence of hole scavengers enhances the photoactivity of TiO2. The role of scavengers is to prevent the hole-electron recombination and the interaction of h+ with precursor(s) of the desired product.
Under almost neutral or strongly alkaline conditions CO2 can be more easily converted into HCO3− and CO32− (see Equations (1) and (2)):
and both species are able to act as hole scavengers according to the following reactions:
HCO3− + h+ → HCO3•
CO32− + h+ → CO3•−
By taking into account that the amounts of HCO3− and CO32− anions, deriving from CO2, can be considered negligible in acidic solution, their role as radical scavengers can be considered negligible at the beginning of the process. However, their involvement throughout the process cannot be excluded, at least when an increase of pH occurred.
The increased amount of formic acid observed in the case of the acidic solutions may be also ascribed to protonation-deprotonation equilibria involving carbon dioxide or other related species which have been reported to induce desorption of the product from the surface of TiO2, also influencing the photoactivity. It is likely that the positive charge on the carbon atom as well as its formation close to the surface of the catalyst facilitates the reduction.
2.5. Effect of Copper in the CuPc-TiO2 Composite
CuPc-TiO2 sample showed the highest efficiency when compared to pure TiO2, H2Pc and ZnPc samples (Table 3).
Table 3.
Effect of metal on formic acid production efficiency at pH = 3.
| Catalyst a,b | mg/L *(gcat)−1 c | μmol/gcat |
|---|---|---|
| TiO2-CuPc | 191.8 | 208.5 |
| TiO2-H2Pc | 69.0 | 75.0 |
| TiO2-ZnPc | 81.5 | 88.5 |
| TiO2 | 120.5 | 131.0 |
a Quantity of sensitizer = 6.65 μmol/g TiO2; b Quantity of catalyst = 0.050 g; c Irradiation time 8 h.
The better activity of CuPc could be ascribed to the high capacity of Cu2+ to be reduced to Cu+ and to transfer one electron to the [H-O-C=O].+species.
A few years ago some of us demonstrated that the presence of copper coordinated in the middle of the macrocycle could play an important role in photo-oxidation reactions, favouring the formation of oxidant radical OH species [38,39], e.g., Equation (5):
TiO2[Cu(I)Sens] + 3O2 → TiO2[Cu(II)Sens] + •O2−
Analogously, CO2 can be reduced by Cu(I) species present on the surface of TiO2 (see Equation (6)) producing the radical species hypothesized to be the precursor of HCOOH:
TiO2[Cu(I)Sens] + CO2 → TiO2[Cu(II)Sens] + CO2•−
However, the electron transfer involving the protonated CO2 species generated in the acidic media cannot be excluded a priori.
2.6. Effect of the Irradiation Source
The effect of irradiation source on the formic acid formation was investigated to select optimal irradiation conditions. The results are reported in Table 4.
Table 4.
Effect of irradiation sources on formic acid production efficiency at pH = 3.
| Catalyst a,b | Irradiation Source | mg/L *(gcat)−1 c | μmol/gcat |
|---|---|---|---|
| TiO2-CuPc | Sanolux (UV/Vis) Halogen (Vis) | 191.8 | 208.5 |
| TiO2 | Sanolux (UV/Vis) Halogen (Vis) | 120.5 | 131.0 |
| TiO2-CuPc | Sanolux (UV/Vis) | 30.0 | 32.6 |
| TiO2-CuPc | Halogen (Vis) | 48.0 | 52.2 |
a Quantity of sensitizer = 6.65 μmol/g TiO2; b Quantity of catalyst = 0.050 g; c Irradiation time 8 h.
It can be seen that after 8 h the yield of formic acid increased when two irradiation sources were used simultaneously. On the contrary, a negligible photoactivity was observed when a single lamp was used as the irradiation source. Therefore, analogously to what observed for the photodegradation of 4-nitrophenol (4-NP) [37,38,39] it is essential to photoexcite both the components of the system, i.e., TiO2 and the sensitizer, in order to obtain substantial improvement of the photoreduction of CO2. The beneficial effect on the photoreactivity is due probably to a cooperative mechanism as previously reported in the literature [50].
2.7. Effect of the Sensitizers
In order to select the minimal loading of sensitizer able to produce a significant amount of formic acid, three different quantities of CuPc have been supported on TiO2. Typically, porphyrin or phtalocyanine molecules offer enormous potential as the light harvesting components of dye-sensitised TiO2 hybrid systems. These are amongst the most used dyes tested for sensitisation of inorganic semiconducting oxides improving the efficiency and thus the determining fundamental electron transfer steps, from charge photogeneration to recombination.
As shown in Table 5, 6.65 µmol was the amount of CuPc which gave a production of formic acid significantly higher than the bare TiO2. Higher quantity of sensitizer did not give rise to a significant increase of formic acid production. Notably a high quantity of sensitizer could cover the TiO2 surface hindering its photoexcitation. Other types of sensitizers (ZnPp-TiO2, ZnPc-TiO2 and H2Pp-TiO2) showed negligible photoactivity in comparison to CuPc, and for this reason the results are not reported for the sake of brevity.
Table 5.
Effect of sensitizer’s loading on formic acid production efficiency at pH = 3.
| Catalyst a | µmol(CuPc)/gTiO2 | mg/L *(gcat)−1 b | μmol/gcat |
|---|---|---|---|
| TiO2 | 120.5 | 131.0 | |
| TiO2-CuPc | 4.5 | 64.3 | 69.9 |
| TiO2-CuPc | 6.65 | 191.8 | 208.5 |
| TiO2-CuPc | 8.5 | 211.0 | 229.4 |
a Quantity of catalyst = 0.050 g; b Irradiation time 8 h.
In Table 6 only the H2Pp and CuPp samples are reported. They were shown to be efficient for the photodegradation of 4-NP [38].
Table 6.
Comparison between the photoactivity of phthalocyanine/TiO2 and porphyrin/TiO2 samples at pH = 3.
| Catalyst a,b | mg/L *(gcat)−1 c | μmol/gcat |
|---|---|---|
| TiO2-CuPc | 191.8 | 208.5 |
| TiO2-H2Pc | 120.5 | 75.0 |
| TiO2-CuPp | 30.0 | 26.5 |
| TiO2-H2Pp | 48.0 | 32.6 |
| TiO2 | 120.5 | 131.0 |
a Quantity of sensitizer = 6.65 μmol/g TiO2; b Quantity of catalyst = 0.050 g; c Irradiation time 8 h.
Nevertheless, differently from what observed in the photooxidation of 4-NP, TiO2-CuPp and TiO2-H2Pp showed a scarce photoactivity for CO2 photoreduction to formic acid. This behaviour might be ascribed to the energy of their HOMO and LUMO.
As reported in literature [51] the First Oxidation Potential (FOP) and the First Reduction Potential (FRP) (equivalent respectively to HOMO and LUMO) of some CuPp samples are about 0.75 and −0.96 V. The above figures could be subjected to slight fluctuations, depending on the solvent in which the measurements are carried out. The conduction band (CB) and the valence band (VB) of TiO2 are −0.5 and 2.7 V, respectively. FOP and FRP of CuPp together with the conduction band (CB) and the Valence band (VB) of TiO2 are represented in Figure 5.
It can be hypothesized that the negligible activity of CuPp might be caused by the presence of the redox potential of the couple H2O/H2 between the FRP of CuPp and the CB of TiO2. The electron transfer between the sensitizer and the semiconductor, necessary for the occurrence of the photoreduction, could be prevented, whereas reaction (7) can occur:
2 H2O + 2 e−→ H2(g) + 2 OH− (E0 = −0.82 V vs. NHE)
Figure 5.
Representation of energy level of TiO2, CuPp, CuPc and H2O/H2 vs. NHE.
Figure 5.
Representation of energy level of TiO2, CuPp, CuPc and H2O/H2 vs. NHE.

The reason why the same composite (CuPp) works efficiently in photodegradation of 4-NP depends on the role of the positive holes. Formation of Reactive Oxygen Species (ROS), like the radical species, in fact, can occur as shown in the following equations:
OH− + h+VB → •OH
H2O + h+VB → •OH + H+
H2O2 + h+VB → HO2• + H+
HO2• + h+VB → O2 + H+
To our knowledge the values of FRP and FOP of Cu(II) tetrakis[4-(2,4-bis-(1,1-dimethylpropyl)phenoxy)]phthalocyanine are not known; however, these potentials could be considered similar to that measured for the structurally analogous Cu(II) tetra-t-butylphthalocyanine compound [52]. With this assumption, being the FRP of CuPc lower than the potential of water reduction, it could be reasonable to consider the reaction (12) less favored than the CO2 photoreduction (see Equation (6)):
The possibility to modulate the energy level of porphyrins might prove this hypothesis.
2.8. Other Mechanistic Aspects
TiO2 has been selected as the photocatalyst to be sensitized because many studies have been reported its effectiveness for the photocatalytic reduction of CO2 [3,23,26,27,28,29,53]. Previous papers on photooxidation reactions report the classical mechanism involving the photoexcitation of the dye molecule used as sensitizer under visible light and the subsequent injection of electrons into the conduction band (CB) of TiO2 [54,55].
Depending on the experimental conditions used, different reaction pathways can be hypothesized. For example, in the presence of O2 into the suspensions the injected electrons (e−CB) can interact forming the superoxide anion radicals (O2•−) which is the precursor of •OH and •O2H radical species [56]. The latter are reported to have a key role in the photooxidation of many hazardous chemical compounds (like 4-NP) (Equations (13–14)) [38,57,58,59]:
HO2• + 4-NP → oxidation products
HO• + 4-NP → oxidation products
In our case, although no oxygen was purging the reacting system, 62 μmol/gr (1.98 mg/L) of molecular oxygen per gram of catalyst were detected. The presence of ubiquitous O2 was determined by irradiating 8 h at pH = 3 with SANOLUX and RADIUM Xe-Halogen lamps an aqueous suspension (100 mL) of TiO2-CuPc sample (0.100 g) containing the optimum quantity of sensitizer (6.65 μmol/g TiO2). Photoreduction of CO2 by water is only theoretically readily available and inexpensive, due to the high stability of this molecule. Two important species involved in CO2 photo-reduction are carbon dioxide anion radical (CO2•−) and hydrogen radical (H•).
However, for both photoreduction and photodegradation, the key step is the formation of separated charge (hole and electron) on the surface of TiO2 (Equation (15)):
TiO2 + hν → TiO2 (h+ + e−)
The photoinduced process of charge separation promoted by UV-Vis radiation and reported in Figure 6 could be enhanced by the presence of a sensitizer.
Figure 6.
Representation of charge separation enhancement by the use of sensitizer.
Figure 6.
Representation of charge separation enhancement by the use of sensitizer.

By taking into account the results of the present study and the literature data [54,60] the formation of formic acid by irradiation of TiO2 powders can be tentatively explained by the following reaction steps (Figure 7).
Figure 7.
Hypothesized mechanism for the formation of HCOOH on the surface of TiO2.
Figure 7.
Hypothesized mechanism for the formation of HCOOH on the surface of TiO2.

Both in the presence and in the absence of sensitizer, once the charges are separated (A), electrons responsible for the photoreduction could migrate on the surface (B) or recombine with holes. Protonated CO2can be adsorbed onto the surface of TiO2 where it can be reduced to the radical anion CO2•−(C), to which a close hydroxyl group donates a hydrogen (D), then the formed species can be reduced once again and finally the acid pH favors the desorption of formic acid. At the same time the holes can migrate on the surface where they could react with hole scavengers or interfere with CO2•−.
The formation of CO2•−, previously reported as a bent radical anion on a Rh/TiO2 composite [60,61], is probably the first step as the aqueous solvent could partially stabilize the species. The radicals were detected near a g value of 2.00 by ESR measurements [23]. Indeed when irradiation of the TiO2 powders was performed in highly pure nitrogen medium in the absence of CO2, this signal was not observed. The mechanism proposed is alternative to the bidentate linking of CO2 to TiO2 since no dimerization of reaction intermediates took place during the protonation and formation of oxalic acid was not observed.
3. Experimental Section
3.1. Materials and Methods
Commercial phosphoric acid 85% (H3PO4) and sodium hydroxide (NaOH) (purchased by Carlo Erba, Milan, Italy) were used for the preparation of the solutions. Titanium dioxide (pure anatase phase, specific surface area 8 m2/g) was kindly provided by Tioxide Huntsman (Scarlino, Italy). CO2 purity was 99.999%. Formic acid, 2,4-bis-(1,1-dimethylpropyl)phenol, 4-nitrophthalonitrile, 1,8-diazabicycl[5.4.0]undec-7-ene (DBU) 4-tert-butylbenzaldehyde, pyrrole, 2,3-dichloro-5,6-dicyano-1,4-benzoquinone and BF3·OEt2, were purchased from Sigma-Aldrich (Steinheim, Germany) and were used without purification.
Formic acid analysis was performed by an Ion Chromatograph (IC) Dionex™ DX120 system (Thermo Fisher Scientific Inc. Wyman Street Waltham, MA, USA) equipped with an Ion Pac ICE-AS6 Analytical Column; heptafluorobutyric acid 0.8 mM (Sigma-Aldrich) was used as eluent (flow 1.00 mL/min) and tetrabutylammonium hydroxide 5.0 mM (Sigma-Aldrich) as regenerant (flow 4.5 mL/min). Formic acid 99% (Sigma Aldrich) was employed as standard for building IC calibration curves. The analyses were carried out using a sample loop of 25 µL, with a column pressure less than 640 PSI and a background of 35–40 µS. UV spectra of sensitizers were obtained by using a UV 2401PC spectrometer (Shimadzu Italia S.r.l., Milano, Italy) after dissolving the samples in chloroform (CHCl3). Molecular oxygen analysis was performed using a polarographic dissolved oxygen probes Orion 0.86020A (Thermo Fisher Scientific Inc., Wyman Street Waltham, MA, USA). Analysis of labelled formic acid was performed by GCMS-QP2010 Ultra Shimadzu in splitless and SIM mode, using a MS 5 (30 m × 0.25 μm ID) capillary column (40 °C × 10 min, tr 1.82 min). An authentic sample of formic acid 13C 95 wt. % in H2O, 99 atom % 13C (Sigma Aldrich) was used as standard. Commercial sodium bicarbonate 13C 98 atom % 13C (Sigma Aldrich) was used as source of 13CO2. 4-[2,4-bis-(1,1-Dimethyl-propyl)phenoxy]phthalonitrile (DPP) was prepared following a procedure reported in the literature [37]. Cu(II)[(5,10,15,20-tetra(4-tertbutylphenyl)] porphyrin (CuPp) and [5,10,15,20-tetra(4-tert-butylphenyl)] porphyrin (H2Pp) were synthesized using a previously reported procedure [38].
3.2. Synthesis of the Cu(II) Tetrakis[4-(2,4-bis-(1,1-dimethylpropyl)phenoxy)]phthalocyanine (CuPc)
The CuPc samples were synthesized according to a previously reported procedure [37] and shown in the Scheme 1. Selected spectroscopic data consistent with the structure of CuPc are the following ones: UV-VIS (CHCl3) λmax: 686, 617, 391, 339, 287 nm.
Scheme 1.
Synthesis of MPcs (M = Cu, Zn) and H2Pc.
Scheme 1.
Synthesis of MPcs (M = Cu, Zn) and H2Pc.

3.3. Synthesis of the Zn(II) Tetrakis[4-(2,4-bis-(1,1-dimethylpropyl)phenoxy)]phthalocyanine (ZnPc)
A solution of DPP (300 mg, 0.83 mmol), 1,8-diazabicyclo [5.4.0] undec-7-ene (DBU) (124 mg, 0.81 mmol), and Zn(OAc)2 (33 mg, 0.25 mmol) in absolute ethanol (2.5 mL, previously distilled from Mg) was refluxed for 24 h under N2 atmosphere. The organic layer enabled the separation of a blue-green solid, which was purified by chromatography (silica, ethyl acetate/hexane 1:9 v/v) and gave a mixture of isomers of the Zn(II)-tetrakis[4-(2,4-bis-(1,1-dimethyl-propyl)-phenoxy)]phthalocyanine (ZnPc) in 50% yield. The structure was consistent with the following characterization: UV–Vis (CHCl3) λmax: 679, 615, 347, 284.5, 248.
3.4. Synthesis of the Tetrakis[4-(2,4-bis-(1,1-dimethylpropyl)phenoxy)]phthalocyanine (H2Pc)
The tetrakis[4-(2,4-bis-(1,1-dimethylpropyl)phenoxy)]phthalocyanine (H2Pc) was prepared by following a procedure reported in literature [62]. ZnPc (126 mg, 0.08 mmol) was dissolved in 10 mL of pyridine and HCl (in molar ratio 4:1). The solution was continuously stirred for 36 h at 120 °C and monitored by TLC (thin-layer chromatography). The reaction mixture was extracted by CH2Cl2 and the crude product of the reaction, obtained after evaporation of the solvent, was purified by chromatography (silica, ethyl acetate/hexane 0.5:9.5 v/v). A dark green solid (H2Pc) was recovered in 40% yield.
3.5. Preparation of TiO2-CuPc, TiO2-H2Pc, TiO2-CuPp, TiO2-H2Pp and TiO2-ZnPc Samples
The loaded samples used as photocatalysts for the photoreactivity experiments were prepared by impregnating TiO2 (Tioxide, anatase phase) with various amounts of CuPp (6.65 μmol/g TiO2); H2Pp (6.65 and μmol/g TiO2); CuPc (4.5, 6.65 and 8.5 μmol/g TiO2); H2Pc (6.65 μmol/g TiO2) and ZnPc (6.65 μmol/g TiO2). The sensitizers were dissolved in 5 mL of CH2Cl2 and 500 mg of finely ground TiO2 (previously sonicated for 30 min) were added to this solution. The mixture was stirred for 6 h and the solvent was removed under vacuum. The code used for the samples is the following: CuPp and CuPc indicate the copper porphyrin and the copper phthalocyanine, H2Pp and H2Pc the metal-free porphyrin and the metal free phthalocyanine and ZnPc the zinc phthalocyanine. For instance 6.65-TiO2–H2Pc represents the sample prepared by using 6.65 μmol of metal free phthalocyanine used to impregnate 1 g of TiO2 (anatase).
3.6. Photoreactivity Experiments
The set-up used for the photocatalytic experiments, reported in Figure 8, consisted of a three necked Pyrex batch photoreactor of cylindrical shape containing 50 mL of aqueous suspension at various pH values. The photoreactor was provided with a jacket for cooling water circulation and ports in its upper section for the inlet and outlet of gases, for sampling and for pH and temperature measurements. A HRC UV-VIS lamp 300 W (Vitalux, OSRAM, Milano, Italy) and Xe-Halogen lamp 400 W (Radium, Wipperfurth, Germany) were placed in proximity (5–6 cm) of the reactor.
Figure 8.
Experimental set-up.
Figure 8.
Experimental set-up.

Two different processes (indicated as A or B) were carried out in order to reduce CO2 produced from different sources.
3.6.1. Process A
CO2 was bubbled into the suspensions for approximately 0.5 h before switching on the lamps to saturate the reaction mixture. The amount of catalyst used for the optimization of the reaction was between 50 and 300 mg, whereas that to study the effect of the pH, the macrocycle, the metal and the quantity of sensitizers on the formation of formic acid was 50 mg. The initial pH, except in the basic (0.1 M NaOH) and neutral solution, was adjusted to 3 by addition of H3PO4. The reactor was tightly sealed during the reaction, stirred continuously by a magnetic bar to prevent catalyst sedimentation and the temperature inside the reactor was held at approximately 25 °C, due to a continuous circulation of water in the jacket around the photoreactor. The photoreactivity runs lasted 8.0 h. Samples of 2.5 mL volume were extracted from the suspension at the end of reaction and filtered through Teflon syringe filters (1.0 mm, Alltech Associates). The quantitative determination of formic acid was performed by measuring its conductivity with the Dionex DX120 Ion Chromatograph.
3.6.2. Process B
NaHCO3 solid (150 mg, 1.76 mmol) was mixed with 0.050 g of TiO2-CuPc catalyst (6.65 μmol/g TiO2) and afterwards 15 mL of aqueous phosphoric acid solution at pH = 3 were added under vigorous stirring in 15 min. Gaseous CO2 developed under these conditions. The resulting mixture was allowed to react 8 h at 20–25 °C. The irradiation conditions were the same of those used for the process A. The same procedure was brought using NaHCO313C labelled (150 mg, 1.76 mmol). Samples of 2.5 mL volume were extracted from the suspension at the end of reaction and filtered through Teflon syringe filters (1.0 mm, Alltech Associates, Milano, Italy). The qualitative determination of formic acid was performed by GC/MS working in the selected ion monitoring (SIM) mode.
4. Conclusions
In this paper, details of a low-cost, stable, effective catalyst capable of CO2 photoreduction with production of formic acid has been described. TiO2 (anatase) samples impregnated with functionalized metal phthalocyanines can be considered as a versatile class of photocatalysts that can be successfully used not only for the photodegradation of organic micropollutants in aqueous suspension, but also for the efficient photoreduction of CO2 under UV-Vis irradiation. To our knowledge, it is the first time that Cu(II)–phthalocyanine samples are successfully used as sensitizers in photoreduction.
TiO2 (anatase) samples impregnated with functionalized copper phthalocyanines results to be 62% more effective compared to bare TiO2 in the production of formic acid, an important product for its multiple uses. The design of the composites has been inspired by previous studies focused on the utilization of sensitized powders effective for photodegradation of 4-NP. The same materials were tested for CO2 photo-reduction carried out in the absence of O2.
Negligible activity was observed with TiO2 sensitized porphyrins, although it can be excluded that some types of these species could be effective. Further investigation is necessary to clarify the mechanism based on reduction potential, which, if confirmed, could explain why the porphyrins are less effective in the photoreduction than the phthalocyanines.
More details about the FOP and FOM values of the sensitizers could be important to design TiO2 composites having photocatalytic properties oriented towards the production of ROS useful for microorganic pollutants or CO2 photoreduction in water phases.
The absence of leaching, the mild conditions, the utilization of visible light, and the environmental sustainability could stimulate the use of other hybrid photocatalysts, effective for photo-oxidation reactions, to reduce CO2 to formic acid. It would be finally useful to broaden the present study to other sensitizers supported on TiO2 both for the sake of comparison and to better understand some mechanistic aspects.
Acknowledgments
L.P. and G.M. wish to acknowledge MIUR for economical support (PON01_02257); L.D., C.F. and C.A. wish to thanks CNR ICCOM for economical support. D.B. is acknowledged for his technical assistance.
Author Contributions
A.D.R., A.S. performed the synthesis, purification and characterization the porphyrins and phthalocyanines used in this work. G.M., G.V. designed the composites TiO2 sensitizers. G.M., L.P. designed the processes conditions. L.D. and C.F. designed the labeling experiments and analyzed chemical assays. C.A. managed the analysis of labeled and unlabeled formic acid.
Conflicts of Interest
The authors declare no conflict of interest.
References
- Poliakoff, M.; Fitzpatrick, J.M.; Farren, T.R.; Anastas, P.T. Green Chemistry: Science and Politics of Change. Science 2002, 297, 807–810. [Google Scholar]
- Jeyalakshmi, V.; Mahalakshmy, R.; Krishnamurthy, K.R.; Viswanathan, B. Photocatalytic reduction of carbon dioxide by water: A step towards sustainable fuels and chemicals. Mater. Sci. Forum 2013, 734, 1–62. [Google Scholar]
- Jessop, P.G.; Ikariya, T.; Noyori, R. Homogeneous catalytic hydrogenation of supercritical carbon dioxide. Nature 1994, 368, 231–233. [Google Scholar]
- Leitner, W. Carbon dioxide as a raw material: The synthesis of formic acid and its derivatives from CO2. Angew. Chem. Int. Ed. Engl. 1995, 34, 2207–2221. [Google Scholar]
- Inoue, T.; Fujishima, A.; Konishi, S.; Honda, K. Photoelectrocatalytic reduction of carbon dioxide in aqueous suspensions of semiconductor powders. Nature 1979, 277, 637–638. [Google Scholar]
- Ayers, W.M. Catalytic activation of carbon dioxide. ACS Symp. Ser. 1988, 363, 42–204. [Google Scholar]
- Halmann, M.M. Chemical Fixation of Carbon Dioxide: Methods for Recycling CO2 into Useful Products; CRC Press: Boca Raton, FL, USA, 1993; pp. 57–66. [Google Scholar]
- Cook, R.L.; MacDuff, R.C.; Sammells, A.F. Photoelectrochemical carbon dioxide reduction to hydrocarbons at ambient temperature and pressure. J. Electrochem. Soc. 1988, 135, 3069–3070. [Google Scholar]
- Blajeni, B.A.; Halmann, M.; Manassen, J. Photoreduction of carbon dioxide and water into formaldehyde and methanol on semiconductor materials. Sol. Energy 1980, 25, 165–170. [Google Scholar]
- Halmann, M.; Ulman, M.; Blajeni, B.A. Photochemical solar collector for the photoassisted reduction of aqueous carbon dioxide. Sol. Energy 1983, 31, 429–431. [Google Scholar]
- Halmann, M.; Katzir, V.; Borgarello, E.; Kiwi, J. Photoassisted carbon dioxide reduction on aqueous suspensions of titanium dioxide. Sol. Energy Mater. 1984, 10, 85–91. [Google Scholar]
- Rophael, M.W.; Malati, M.A. The photocatalysed reduction of aqueous sodium carbonate to carbon using platinisedtitania. Chem. Commun. 1987, 1418–1420. [Google Scholar] [CrossRef]
- Willner, I.; Maidan, R.; Mandler, D.; Duerr, H.; Doerr, G.; Zengerle, K. Photosensitized reduction of carbon dioxide to methane and hydrogen evolution in the presence of ruthenium and osmium colloids: Strategies to design selectivity of products distribution. J. Am. Chem. Soc. 1987, 109, 6080–6086. [Google Scholar]
- Goren, Z.; Willner, I.; Nelson, A.J.; Frank, A.J. Selective photoreduction of carbon dioxide/bicarbonate to formate by aqueous suspensions and colloids of palladium-titania. J. Phys. Chem. 1990, 94, 3784–3790. [Google Scholar]
- Sayama, K.; Arakawa, H. Significant effect of carbonate addition on stoichiometric photodecomposition of liquid water into hydrogen and oxygen from platinum–titanium(IV) oxide suspension. J. Chem. Soc. Chem. Commun. 1992, 2, 150–152. [Google Scholar]
- Ishitani, O.; Inoue, C.; Suzuki, Y.; Ibusuki, T. Photocatalytic reduction of carbon dioxide to methane and acetic acid by an aqueous suspension of metal-deposited TiO2. Photochem. Photobiol. A Chem. 1993, 72, 269–271. [Google Scholar]
- Hirano, K.; Inoue, K.; Yatsu, T. Photocatalysed reduction of CO2 in aqueous TiO2 suspension mixed with copper powder. J. Photochem. Photobiol. A Chem. 1992, 64, 255–258. [Google Scholar]
- Anpo, M.; Chiba, K. Photocatalytic reduction of CO2 on anchored titanium oxide catalysts. J. Mol. Catal. 1992, 74, 207–212. [Google Scholar]
- Yamashita, H.; Kamada, N.; He, H.; Tanaka, K.; Ehara, S.; Anpo, M. Reduction of CO2 with H2O on TiO2(100) and TiO2(110) Single Crystals under UV-irradiation. Chem. Lett. 1994, 23, 855–858. [Google Scholar]
- Yamanaka, H.; Nishiguchi, H.; Kamada, N.; Anpo, M.; Teraoka, Y.; Hatano, H.; Ehara, S.; Kikui, K.; Palmisano, L.; Sclafani, A.; et al. Photocatalytic reduction of CO2 with H2O on TiO2 and Cu/TiO2 catalysts. Res. Chem. Intermed. 1994, 20, 815–823. [Google Scholar]
- Anpo, M. Approach to photocatalysis at the molecular level design of photocatalysts, detection of intermediate species, and reaction mechanisms. Sol. Energy Mater. Sol. Cells 1995, 38, 221–238. [Google Scholar]
- Anpo, M.; Yamashita, H.; Ichihashi, Y.; Ehara, S. Photocatalytic reduction of CO2 with H2O on various titanium oxide catalysts. J. Electroanal. Chem. 1995, 396, 21–26. [Google Scholar]
- Kaneco, S.; Kurimoto, H.; Shimizu, Y.; Ohta, K.; Mizuno, T. Photocatalytic reduction of CO2 using TiO2 powders in supercritical fluid CO2. Energy 1999, 24, 21–30. [Google Scholar]
- Girish Kumar, S.; Gomathi Devi, L. Review on modified TiO2 photocatalysis under UV/visible light: Selected results and related mechanisms on interfacial charge carrier transfer dynamics. J. Phys. Chem. A 2011, 115, 13211–13241. [Google Scholar]
- Jeyalakshmi, V.; Rajalakshmi, K.; Mahalakshmy, R.; Krishnamurthy, K.R.; Viswanathan, B. Application of photo catalysis for mitigation of carbon dioxide. Res. Chem. Intermed. 2013, 39, 2565–2602. [Google Scholar]
- Jeyalakshmi, V.; Rajalakshmi, K.; Mahalakshmy, R.; Krishnamurthy, K.R.; Viswanathan, B. Titania based catalysts for photoreduction of carbon dioxide: Role of modifiers. Indian J. Chem. A 2012, 51, 1263–1283. [Google Scholar]
- Wang, C.; Thompson, R.; Baltrus, J.; Matranga, C. Visible light photoreduction of CO2 using CdSe/Pt/TiO2 heterostructured catalysts. J. Phys. Chem. Lett. 2010, 1, 48–53. [Google Scholar]
- Tseng, I.-H.; Chang, W.C.; Wu, J.C.S. Photoreduction of CO2 using sol–gel derived titania and titania-supported copper catalysts. Appl. Catal. B Environ. 2002, 37, 37–48. [Google Scholar]
- Woolerton, T.W.; Sheard, S.; Reisner, E.; Pierce, E.; Ragsdale, S.W.; Armstrong, F.A. Efficient and clean photoreduction of CO2 to CO by enzyme-modified TiO2 nanoparticles using visible light. J. Am. Chem. Soc. 2010, 132, 2132–2133. [Google Scholar]
- Nyokong, T.; Ahsen, V. Photosensitizers in Medicine, Environment, and Security; Springer: New York, NY, USA, 2012. [Google Scholar]
- García-Sánchez, M.A.; Rojas-González, F.; Menchaca-Campos, E.C.; Tello-Solís, S.R.; Quiroz-Segoviano, R.I.Y.; Diaz-Alejo, L.A.; Salas-Bañales, E.; Campero, A. Crossed and linked histories of tetrapyrrolicmacrocycles and their use for engineering pores within sol-gel matrices. Molecules 2013, 18, 588–653. [Google Scholar]
- Claessens, C.; Hahn, G.; Torres, U. Phthalocyanines: From outstanding electronic properties to emerging applications. Chem. Rec. 2008, 8, 75–97. [Google Scholar]
- Sorokin, A.B. Phthalocyanine metal complexes in catalysis. Chem. Rev. 2013, 113, 8152–8191. [Google Scholar]
- O’Regan, O.; Gratzel, M. A low-cost, high-efficiency solar-cell based on dye-sensitized colloidal TiO2 films. Nature 1991, 353, 737–740. [Google Scholar]
- Serpone, N. A decade of heterogeneous photocatalysis in our laboratory—Pure and applied studies in energy production and environmental detoxification. Res. Chem. Intermed. 1994, 20, 953–992. [Google Scholar]
- Grodkowski, J.; Dhanasekaran, T.; Neta, P. Reduction of cobalt and iron phthalocyanines and the role of the reduced species in catalyzed photoreduction of CO2. J. Phys. Chem. A 2000, 104, 11332–11339. [Google Scholar]
- Mele, G.; Ciccarella, G.; Vasapollo, G.; García-López, E.; Palmisano, L.; Schiavello, M. Photocatalytic degradation of 4-nitrophenol in aqueous suspension by using polycrystalline TiO2 samples impregnated with Cu(II)-phthalocyanine. Appl. Catal. B Environ. 2002, 38, 309–319. [Google Scholar]
- Mele, G.; Del Sole, R.; Vasapollo, G.; García-López, E.; Palmisano, L.; Schiavello, M. Photocatalytic degradation of 4-nitrophenol in aqueous suspension by using polycrystalline TiO2 impregnated with functionalized Cu(II)–porphyrin or Cu(II)–phthalocyanine. J. Catal. 2003, 217, 334–342. [Google Scholar]
- Mele, G.; Del Sole, R.; Vasapollo, G.; Marcì, G.; García-López, E.; Palmisano, L.; Coronado, J.M.; Hernandez-Alonso, M.D.; Malitesta, C.; Guascito, M.R. TRMC, XPS, and EPR characterizations of polycrystalline TiO2 porphyrin impregnated powders and their catalytic activity for 4-nitrophenol photodegradation in aqueous suspension. J. Phys. Chem. B 2005, 109, 12347–12352. [Google Scholar]
- Wang, C.; Ma, X.X.; Li, J.; Xua, L.; Zhang, F. Reduction of CO2 aqueous solution by using photosensitized-TiO2 nanotube catalysts modified by supramolecularmetalloporphyrins-ruthenium(II) polypyridyl complexes. J. Mol. Catal. A 2012, 363–364, 108–114. [Google Scholar]
- Mele, G.; Annese, C.; de Riccardis, A.; Fusco, C.; Palmisano, L.; Vasapollo, G.; D’Accolti, L. Turning lipophilic phthalocyanines/TiO2 composites into efficient photocatalysts for the conversion of CO2 into formic acid under Uv–Vis light irradiation. Appl. Catal. A Gen. 2014, 481, 169–172. [Google Scholar]
- Zhao, Z.-H.; Fan, J.-M.; Wang, Z.-Z. Photo-catalytic reduction CO2 using sol-gel derived titania-supported zinc-phthalocyanine. J. Clean. Prod. 2007, 15, 1894–1897. [Google Scholar]
- Zhao, Z.-H.; Fan, J.-M.; Wang, Z.-Z. Photo-catalytic reduction of carbon dioxide with in-situ synthesized CoPc/TiO2 under visible light irradiation. J. Clean. Prod. 2009, 17, 1025–1029. [Google Scholar]
- Premkumar, J.R.; Ramaraj, R. Photoreduction of carbon dioxide by metal phthalocyanine adsorbed Nafion membrane. Chem. Commun. 1997, 343–344. [Google Scholar] [CrossRef]
- Kim, G.; Choi, W. Charge-transfer surface complex of EDTA-TiO2 and its effect on photocatalysis under visible light. Appl. Catal. B 2010, 100, 77–83. [Google Scholar]
- Sato, S.; Morikawa, T.; Saeki, S.; Kajino, T.; Motohiro, T. Visible-light-induced selective CO2 reduction utilizing a ruthenium complex electrocatalyst linked to a p-type nitrogen-doped Ta2O5 semiconductor. Angew. Chem. 2010, 122, 5227–5231. [Google Scholar]
- Fujiwara, H.; Hosokawa, H.; Murakoshi, K.; Wada, Y.; Yanagida, S.; Okada, T.; Kobayashi, H. Effect of surface structures on photocatalytic CO2 reduction using quantized CdS nanocrystallites. J. Phys. Chem. B 1997, 101, 8270–8278. [Google Scholar]
- Qin, S.; Xin, F.; Liu, Y.; Yin, X.; Ma, W. Photocatalytic reduction of CO2 in methanol to methyl formate over CuO–TiO2 composite catalysts. J. Colloid Interface Sci. 2011, 356, 257–261. [Google Scholar]
- Murcia, J.J.; Hidalgo, M.C.; Navìo, J.A.; Vaiano, V.; Ciambelli, P.; Sannino, D. Ethanol partial photoxidation on Pt/TiO2 catalysts as green route for acetaldehyde synthesis. Catal. Today 2012, 196, 101–109. [Google Scholar]
- Mele, G.; García-López, E.; Palmisano, L.; Dyrda, G.; Słota, R. Photocatalytic degradation of 4-nitrophenol in aqueous suspension by using polycrystalline TiO2 impregnated with lanthanide double-decker phthalocyanine complexes. J. Phys. Chem. C 2007, 111, 6581–6588. [Google Scholar]
- Dolphin, D. The Porphyrins Volume V5 Physical Chemistry, Part C; Academic Press Inc.: New York, NY, USA, 1978. [Google Scholar]
- Lever, A.B.P.; Milaeva, E.R.; Speier, G. The redox chemistry of metallophthalocyanines in solution. In Phthalocyanines: Properties and Applications; Leznoff, C.C., Lever, A.B.P., Eds.; VCH: New York, NY, USA, 1993; Volume 3. [Google Scholar]
- Schmidt-Mende, B.L.; Stolarczyk, J.K.; Habisreutinger, S.N. Photocatalytic reduction of CO2 on TiO2 and other semiconductors. Angew. Chem. Int. Ed. 2013, 52, 7372–7408. [Google Scholar]
- Watson, F.; Marton, A.; Stux, A.M.; Meyer, G.J. Influence of surface protonation on the sensitization efficiency of porphyrin-derivatized TiO2. J. Phys. Chem. B 2004, 108, 11680–11688. [Google Scholar]
- Nogueira, A.F.; Furtado, L.F.; Formiga, A.L.; Nakamura, M.; Araki, K.; Toma, H. Sensitization of TiO2 by supramolecules containing zinc porphyrins and ruthenium-polypyridylcomplexes. Inorg. Chem. Commun. 2004, 43, 396–398. [Google Scholar]
- Hoffmann, M.R.; Martin, S.T.; Choi, W.; Bahnemann, D.W. Environmental applications of semiconductor photocatalysis. Chem. Rev. 1995, 95, 69–96. [Google Scholar]
- Schwarz, P.F.; Turro, N.J.; Bossmann, S.H.; Braun, A.M.; Abdel, A.; Dürr, H. A new method to determine the generation of hydroxyl radicals in illuminated TiO2 suspensions. J. Phys. Chem. B 1997, 101, 7127–7134. [Google Scholar]
- Sun, L.; Bolton, J.R. Determination of the quantum yield for the photochemical generation of hydroxyl radicals in TiO2 suspensions. J. Phys. Chem. 1996, 100, 4127–4134. [Google Scholar]
- Iliev, V.; Tomova, D.; Bilyarska, L.; Prahov, L.; Petrov, L. Phtalocyanine modified TiO2 or WO3-catalysts for photooxidation of sulphide and thiosulfate ions upon irradiation with visible light. J. Photochem. Photobiol. A Chem. 2003, 159, 281–287. [Google Scholar]
- Henderson, M.A. A surface science perspective on TiO2 photocatalysis. Surf. Sci. Rep. 2011, 66, 185–297. [Google Scholar]
- Rasko, J.; Solymosi, F. Infrared spectroscopic study of the photoinduced activation of CO2 on TiO2 and Rh/TiO2 catalysts. J. Phys. Chem. 1994, 98, 7147–7152. [Google Scholar]
- Alzeer, J.; Roth, P.J.C. An efficient two-step synthesis of metal-free phthalocyanines using a Zn(II) template. Chem. Commun. 2009, 1970–1971. [Google Scholar] [CrossRef]
- Sample Availability: Samples of all the porphyrins, phthalocyanines as well as the composites used in this work are available from the authors.
© 2014 by the authors. Licensee MDPI, Basel, Switzerland. This article is an open access article distributed under the terms and conditions of the Creative Commons Attribution license ( http://creativecommons.org/licenses/by/4.0/).